ACUERDO 30 DE 2014
(agosto 6)
Diario Oficial No. 49.248 de 19 de agosto de 2014
INSTITUTO COLOMBIANO DE CRÉDITO EDUCATIVO Y ESTUDIOS TÉCNICOS EN EL EXTERIOR
Por el cual se modifica el Manual del Sistema de Administración de Riesgo de Mercado, (Sarm).
LA JUNTA DIRECTIVA,
en ejercicio de sus facultades legales y estatutarias en especial de las que le confiere la Ley 1002 de diciembre 30 de 2005, el numeral 1 del artículo 9o del Decreto número 1050 del 6 de abril de 2006, y
CONSIDERANDO:
Que la Ley 1002 del 30 de diciembre de 2005, transformó al Icetex en una entidad financiera de naturaleza especial, con personería jurídica, autonomía administrativa y patrimonio propio, vinculada al Ministerio de Educación Nacional, cuyas operaciones financieras son vigiladas, inspeccionadas y controladas por la Superintendencia Financiera.
Que el numeral 4 del artículo 9o del Decreto número 1050 de 2006 faculta a la Junta Directiva del Icetex, expedir conforme a la ley y a los estatutos del Icetex, los actos administrativos que se requieran para el cumplimiento de las funciones y de las operaciones autorizadas al Icetex como entidad financiera de naturaleza especial.
Que la Junta Directiva del Icetex, adoptó mediante el Acuerdo número 039 del 12 de diciembre de 2012, el Manual del Sistema de Administración de Riesgo de Mercado (Sarm) el cual integra los lineamientos, las políticas, el marco regulatorio, la estructura organizacional y procedimientos, con el fin de realizar una adecuada, eficiente y eficaz administración del Riesgo de Mercado al que está expuesto el Icetex, en las operaciones realizadas con el libro bancario y de tesorería, para que se desarrollen con un nivel de riesgo acorde a la entidad que contribuya a cumplir con la misión, estrategias y objetivos del Icetex, teniendo en cuenta los requerimientos y regulación al respecto, así como las mejores prácticas sobre el particular.
Que mediante Memorando AOC-2960-046-14 del 18 de julio de 2014, el Jefe de la Oficina de Riesgo de la entidad, propuso a la Junta Directiva la modificación del Manual del Sistema de Administración de Riesgo de Mercado (Sarm), con el fin de incorporar la competencia y la responsabilidad de realizar la grabación de las llamadas al proceso de Gestión Tecnológica y será responsabilidad de la Dirección de Tecnología.
Que el Comité Financiero de la entidad revisó y recomendó la aprobación por parte de la Junta Directiva la modificación del citado manual según consta en el Acta número 007 del 16 de julio de 2014.
Que en la sesión de Junta Directiva Virtual llevada a cabo el día 16 de julio de 2014, aprobó la modificación al Manual del Sistema de Administración de Riesgo de Mercado (Sarm) de la entidad.
En virtud de lo anterior acuerda,
ACUERDA:
ARTÍCULO 1o. Modificar el Manual del Sistema de Administración de Riesgo de Mercado (Sarm) del Icetex, en el siguiente aspecto:
Capítulo 10, Numeral 10.3.1 Control de Grabaciones Telefónicas, el cual quedará:
“El Icetex, cuenta con un sistema de grabación de llamadas que permite garantizar que todas las transacciones realizadas por cuenta propia o por cuenta de terceros, puedan ser reconstruidas desde el momento en que se imparten las órdenes de compra o venta, la ejecución de las mismas y su correspondiente compensación y liquidación.
La efectividad de la herramienta tecnológica empleada para llevar a cabo esta actividad se garantizará a través del proceso de Gestión Tecnológica y será responsabilidad de la Dirección de Tecnología”.
ARTÍCULO 2o. El Manual del Sistema de Administración de Riesgo de Mercado, (Sarm), del Icetex, a que se refiere el artículo anterior hace parte integral de este acuerdo.
ARTÍCULO 3o. VIGENCIAS Y DEROGATORIAS. El presente acuerdo rige a partir de la fecha de su publicación y modifica el Acuerdo número 039 del 12 de diciembre de 2012.
Publíquese, comuníquese y cúmplase.
Dado en Bogotá, D. C., a 6 de agosto de 2014.
La Presidente,
PATRICIA MARTÍNEZ BARRIOS.
El Secretario,
CAMPO ELÍAS VACA PERILLA.
MANUAL DEL SISTEMA DE ADMINISTRACIÓN DE RIESGO DE MERCADO.
INSTITUTO COLOMBIANO DE CRÉDITO EDUCATIVO Y ESTUDIOS TÉCNICOS EN EL EXTERIOR
Noviembre 2012
1. Objetivos
5. Estructura Organizacional Icetex
6. Órganos de Control
7. Infraestructura Tecnológica
8. Divulgación de Información
9. Confidencialidad
10. Etapas de la Gestión de Riesgo de Mercado
11. Metodología y procedimientos para alertas tempranas
12. Establecimiento de Límites
13. Acciones ante el sobrepaso de los límites
14. portafolio eficiente
15. Capítulo Derivados (Forwards y Futuros) Operaciones de cobertura, relativas a operaciones de créditos otorgados por la banca multilateral.
En desarrollo de sus operaciones el Icetex se expone al riesgo de mercado (entendiéndose por este la posibilidad de que el instituto incurra en pérdidas asociadas a la disminución del valor de sus portafolios y los administrados, por efecto de cambios en el precio de los instrumentos financieros, en los cuales se mantienen posiciones dentro o fuera del balance, el cual en caso de materializarse puede llegar a afectar la estabilidad y la viabilidad financiera de la entidad.
El Manual del Sistema de Administración de Riesgo de Mercado (Sarm) integra los lineamientos, las políticas, el marco regulatorio, la estructura organizacional y procedimientos, con el fin de realizar una adecuada, eficiente y eficaz administración del riesgo de mercado al que está expuesto el Icetex, en las operaciones relacionadas con el libro bancario y de tesorería, para que se desarrollen con un nivel de riesgo acorde a la entidad que contribuya a cumplir con la misión, estrategias y objetivos del Icetex, teniendo en cuenta los requerimientos y regulación al respecto, así como las mejores prácticas sobre el particular.
Los funcionarios involucrados dentro del Sarm, deberán cumplir lo establecido en el manual dispuesto para ello y de la misma forma conocer y poner en práctica las distintas actualizaciones que se realicen sobre este; de igual forma el manual Sarm debe ser aplicado en todo su alcance.
Este documento se complementa con el Manual de Inversiones de la entidad, y armoniza con el Manual de Seguridad de la Información, con el Código de Ética y Conducta, el Código de Buen Gobierno y el Manual Sarlaft.
1.1. Objetivos generales
La administración adecuada del Riesgo de Mercado, permitirá al Icetex lograr la mitigación de las posibles pérdidas en que incurriría la entidad, por la disminución del valor de su portafolio, como consecuencia de cambios en los activos o instrumentos financieros que lo componen. El Sarm se encamina a lograr el cumplimiento de las etapas de identificación, medición, control y monitoreo de los riesgos asociados a las posiciones que asuma la entidad.
Lo anterior dentro del marco de buen Gobierno y buenas prácticas corporativas y siguiendo las disposiciones impartidas por la Superintendencia Financiera de Colombia, contenidas en el Capítulo XXI de la Circular Básica, Contable y Financiera (Circular Externa número 100 de 1995), denominado “Reglas Relativas al Sistema de Administración de Riesgo de Mercado”.
1.2. Objetivos Específicos
a) Establecer las políticas y lineamentos generales claros, que permitan el eficiente funcionamiento del Sistema de Administración de Riesgo de Mercado.
b) Implementar la metodología establecida por el ente regulador para identificar los riesgos de mercado al que está expuesta la entidad, en función del tipo de posiciones asumidas y de conformidad con las operaciones autorizadas.
c) Establecer procedimientos aplicables para la adecuada implementación y funcionamiento del Sarm.
d) Documentar las etapas y elementos del Sistema de Administración de Riesgos de Mercado (Sarm) y en las condiciones establecidas en la normatividad vigente.
e) Implementar el monitoreo diario de los límites establecidos por la Junta Directiva, verificando que estos se cumplan y se encuentren dentro de los parámetros establecidos.
El Icetex dando cumplimiento a su política de desarrollo de buenas prácticas y a lo señalado normativamente por la Superintendencia Financiera de Colombia, acoge el Sistema de Administración de Riesgo de Mercado (Sarm), como herramienta de apoyo institucional y es de obligatorio cumplimiento por todos los funcionarios de las áreas del Front, Middle y Back Office, que contribuirá en una gestión de riesgos integral, coherente y transparente de los recursos financieros de la entidad.
2.1. Principios para la administración del Riesgo de Mercado
Son los fundamentos, que orientan y soportan el actuar de los funcionarios para el logro de los objetivos fijados, expresados en reglas de conducta y normas de comportamiento. En el Icetex, todos los funcionarios deben acatar lo consignado en el Código de Ética y Conducta y en el Código de Buen Gobierno, incluidos los funcionarios de las áreas del Front, Middle y Back Office; los cuales deben seguir los lineamientos aquí descritos:
a) Prudencia: Actitud caracterizada por un enfoque conservador en el ámbito financiero a través de la búsqueda permanente de la información, el análisis de situaciones consideradas como riesgosas y la evaluación de los acontecimientos coyunturales. Las personas prudentes suelen evitar el surgimiento de problemas de toda naturaleza.
b) Autocontrol: La creación de una conciencia de legalidad encaminada al cumplimiento estricto de la norma legal, no como una obligación, sino como un valor ético y moral propio de un funcionario y dentro de los valores institucionales.
c) Supervisión: Monitorear y evaluar las estrategias, políticas y desempeño en el manejo de la liquidez de la entidad que verifiquen el cumplimiento a satisfacción de los compromisos en las fechas de vencimiento.
d) Conocimiento del Negocio: Las personas que intervengan en el proceso deben contar con el suficiente conocimiento tanto de la actividad como de las técnicas para efectuar los estimativos.
e) Responsabilidad: La correcta ejecución de los mandatos, buscando siempre el cumplimiento de los fines propuestos y la aceptación de las consecuencias de las acciones y omisiones.
-- Ley 1002 del 30 de diciembre de 2005, por la cual se transforma el instituto colombiano de crédito educativo y estudios técnicos en el exterior “Mariano Ospina Pérez” Icetex, en una entidad financiera de naturaleza especial y se dictan otras disposiciones.
-- Decreto número 1050 del 6 de abril de 2006, por el cual se reglamenta parcialmente la Ley 1002 del 30 de diciembre de 2005.
-- Decreto número 380 del 12 de febrero de 2007, por el cual se establece la estructura del Instituto Colombiano de Crédito Educativo y Estudios Técnicos en el Exterior “Mariano Ospina Pérez”, Icetex.
-- Decreto número 2555 del 15 de julio de 2010 el Libro 7 del Título I del artículo 10.7.1.1.1, por el cual se reglamenta el artículo 6o de la Ley 1002 de 2005.
-- Circular Básica Contable y Financiera (C. E. 100 de 1995. Capítulo XXI Reglas relativas al Sistema de Administración del Riesgo de Mercado).
-- Circular Básica Contable y Financiera (C. E. 100 de 1995. Capítulo I Evaluación de inversiones).
-- Resolución número 0797 del 2 de octubre de 2008, por el cual se organizan los comités de apoyo a la Junta Directiva
-- Acuerdo número 009 del 29 de abril de 2010, por el cual se adopta el nuevo Código para el Buen Gobierno y el nuevo Código de Ética y Conducta del Icetex.
-- Acuerdo número 038 del 13 de diciembre de 2013, por el cual se aprueba el Manual de inversiones del Icetex.
-- Acuerdo número 033 de octubre 15 de 2013, por el cual se establece la metodología y políticas para definir los límites de VaR.
-- Acuerdo número 026, por el cual se establece la política y metodología para definir los cupos por Emisor y Contraparte del Icetex.
-- Riesgo: Es la probabilidad de que suceda un evento, impacto o consecuencia adversos.
-- Riesgo de mercado: Es la posibilidad de incurrir en pérdidas asociadas a la disminución del valor de los portafolios, por efecto de cambios en el precio de los instrumentos financieros en los cuales se mantienen posiciones dentro o fuera del balance. En términos generales se puede esperar que, a mayor riesgo, mayor rentabilidad de la inversión. Existen varias clases de riesgos: de mercado, solvencia, jurídico, de liquidez, de tasa de cambio, riesgo de tasa de interés.
-- Sistema de Administración de Riesgo de Mercado (Sarm): El Sistema de Administración de Riesgo de Mercado es un conjunto de procedimientos, políticas y directrices encaminado a identificar, medir, controlar y monitorear el riesgo de mercado al que se encuentra expuesta una entidad en desarrollo de sus operaciones de tesorería.
-- Portafolio: Es el conjunto de instrumentos financieros adquiridos por parte del Instituto vía operaciones de tesorería o directamente relacionadas con su objeto social, con recursos propios o de terceros, y que se encuentran sometidos con una periodicidad determinada a una valoración que repercute en los resultados financieros de la entidad o fuera de ellos, en cualquiera de los días que se observen. Asimismo, son objeto de reporte en cualquiera de sus circunstancias ante los organismos de control del Estado cuando así lo requieran.
-- Riesgo de Contraparte: Posibilidad de que la contraparte en una operación no entregue el dinero o título correspondiente en la fecha de cumplimiento.
-- Operaciones de tesorería: Son las siguientes: operaciones del mercado cambiario; operaciones con valores de renta fija, de renta variable y aquellos indexados a una tasa o índice de referencia, ya sea en pesos o en cualquier otra denominación, excepto las emisiones propias; operaciones del mercado monetario tales como posiciones en corto, transferencias temporales de valores, operaciones de reporto o repo (repo) y simultáneas; operaciones con derivados y productos estructurados; y en general cualquier otra que sea realizada a nombre de la entidad o a beneficio de ella o por cuenta de terceros.
-- Back office: Es el área encargada de realizar los aspectos operativos de la tesorería. Por ejemplo, el cierre y registro en los sistemas de negociación de valores, el cierre y registro contable y autorización final de las operaciones; es decir, es el área encargada de la complementación y del cumplimiento de las operaciones.
-- Front office: Es el área encargada de la negociación, de las relaciones con los clientes y/o de los aspectos comerciales de la tesorería.
-- Middle office: Es el área encargada de la medición y análisis de riesgos; de la revisión y evaluación periódica de las metodologías de valoración de instrumentos financieros y de la verificación del cumplimiento de las políticas y límites establecidos por la normatividad aplicable y por los administradores de la entidad vigilada.
-- Límite: Variable numérica de unidad y magnitud dependiente del contexto donde se aplique, que determina el alcance de una actividad que conlleva a un resultado, son aquellos valores sobre los cuales se deben enmarcar todas las operaciones que se consideren dentro de la aplicación del sistema.
-- Valor en Riesgo: El VeR (valor en riesgo) resume la pérdida esperada a lo largo de un horizonte de tiempo objetivo dentro de un intervalo de confianza dado.
-- Camel: capital (C), calidad del activo (A), administración (M), ganancias (E), y liquidez (L).
5. ESTRUCTURA ORGANIZACIONAL ICETEX.
La estructura organizacional del Sarm definida por el Icetex contempla los aspectos estratégicos y los de administración para la gestión del riesgo de mercado.

Nota: Esta Organigrama es una extracción de las dependencias involucradas en el proceso de gestión de inversiones y no modifica el Organigrama de Instituto.
5.1. Estructura Estratégica
Para los aspectos estratégicos la estructura se encuentra compuesta por la Junta Directiva, el Comité Financiero y de Inversiones y el Comité CAP. Las funciones de dicha estructura en lo relacionado con la gestión de riesgos contempla, entre otras, discutir y aprobar las estrategias, las políticas y las reglas de actuación, conocer los resultados obtenidos y los riesgos asumidos, garantizar la existencia y asignar los recursos necesarios para la gestión de riesgos, fijar los límites para la toma de riesgos y adoptar las medidas organizacionales necesarias para limitarlos. En tal sentido, la estructura orgánica que interviene en el conjunto de la aplicación del sistema Sarm es la siguiente:
5.1.1. Junta Directiva
Desde la perspectiva de la administración de riesgo de mercado, según lo contemplado en el Capítulo XXI de la Circular Externa número 100 del 95 (Básica Contable y Financiera), emitida por la Superintendencia Financiera de Colombia, la junta directiva debe contemplar como mínimo las siguientes funciones:
-- Definir y aprobar las políticas de la entidad en materia de administración de riesgo de mercado.
-- Aprobar los reglamentos, manuales de procedimientos y funciones de las áreas pertenecientes a la entidad vigilada, así como sus respectivas actualizaciones.
-- Aprobar el código de ética, el sistema de control interno, la estructura organizacional y tecnológica del Sarm.
-- Aprobar las actuaciones en caso de sobrepasar o exceder los límites de exposición frente al riesgo de mercado o cualquier excepción de las reglas, así como los planes de contingencia a adoptar respecto de cada escenario extremo.
-- Realizar el nombramiento del comité de riesgos, definir sus funciones y aprobar su reglamento, de acuerdo con las normas legales que les apliquen.
-- Pronunciarse sobre los informes periódicos que elabora el área de administración de riesgo respecto del nivel de riesgo de mercado de la entidad.
-- Hacer seguimiento sobre los reportes periódicos que le sean presente, correspondientes a las medidas correctivas aplicadas para que se cumplan los límites de riesgo de mercado.
-- Aprobar la metodología que debe elaborar la Oficina de Riesgos para identificar, medir, controlar y monitorear el riesgo de mercado.
5.1.2. Comité Financiero y de Inversión
El Comité Financiero y de Inversión es responsable del análisis de las inversiones y de los emisores, así como de la definición de los cupos internos de inversión y las políticas para adquisición y liquidación de inversiones.
El comité Financiero fue creado mediante Acuerdo número 009 de septiembre 3 de 2003.
5.1.3. Comité de Activos y Pasivos (CAP)
El Comité de activos y pasivos CAP del Icetex, tendrá como objetivo velar por la adecuada administración de la liquidez y su exposición al riesgo, por lo que esta instancia colegiada será la encargada de revisar y recomendar las metodologías, políticas y procedimientos en materia de liquidez de la institución, de la gestión del riesgo de liquidez, de los excedentes de liquidez para inversión y del plan de contingencia.
5.2. Estructura Administrativa
En lo relacionado con los aspectos administrativos, el Instituto establece en su estructura la separación funcional y operacional de las áreas encargadas de la negociación, el registro, apoyo y la medición y control de riesgos.
Las funciones de dicha estructura contempla, entre otras, garantizar el cumplimiento de las estrategias y políticas, implementar los mecanismos para medir y controlar los límites definidos, evaluar la suficiencia de los controles establecidos y los procedimientos adoptados.
5.2.1. Presidencia (Representante Legal)
Desde la perspectiva de la administración de riesgo de mercado, según lo contemplado en el Capítulo XXI de la Circular Externa número 100 del 95 (Básica Contable y Financiera), emitida por la Superintendencia Financiera de Colombia, el Representante Legal debe contemplar como mínimo las siguientes funciones:
-- Establecer y garantizar el efectivo cumplimiento de las políticas definidas por la junta directiva, inherentes a la administración de inversiones.
-- Realizar el seguimiento permanente del cumplimiento de las funciones del área o unidad de gestión de riesgo de mercado y mantener informada a la Junta Directiva.
-- Definir procedimientos a seguir en caso de sobrepasar o exceder los límites de exposición frente al riesgo de mercado, así como los planes de contingencia a adoptar respecto de cada escenario extremo.
-- Hacer seguimiento y pronunciarse cuando así se requiera, respecto de los informes diarios que presente la oficina de riesgos, sobre las posiciones asumidas por la entidad en materia de inversiones.
-- Hacer seguimiento y pronunciarse respecto de los informes que presente el revisor fiscal.
-- Realizar monitoreo y revisión de las funciones del auditor interno.
-- Establecer mecanismos encaminados a realizar seguimiento a las relaciones de los empleados de la tesorería con los clientes o intermediarios, controlando de manera eficiente los conflictos de interés que puedan presentarse.
5.2.2. Negociación de Inversiones (Front Office)
Esta actividad la efectuará el o los funcionarios asignados para tal función y estará(n) encargado(s) de la negociación, de las relaciones con los clientes y/o de los aspectos comerciales en la compra y venta de títulos valores. Queda prohibido a esta área realizar funciones que tengan que ver con actividades de procesamiento, confirmación, contabilización, liquidación y valoración de inversiones. Estas funciones son desarrolladas por un analista que depende directamente de la Vicepresidencia Financiera.
5.2.3. Oficina De Riesgos (Middle Office)
La función de esta área consiste en administrar el riesgo de mercado a través de la identificación, medición, control y monitoreo de dicho riesgo. El área de administración de riesgo tendrá, como mínimo, las siguientes funciones a cargo, desde la perspectiva de la administración del riesgo de mercado:
-- Diseñar la metodología para identificar, medir, controlar y monitorear el riesgo de mercado a que se expone la entidad.
-- Evaluar los límites por líneas de negocios, operaciones y funcionarios, y presentar al Comité de Financiero y de Inversiones y a la Junta Directiva, las observaciones o recomendaciones que considere pertinentes.
-- Objetar la realización de aquellas operaciones que no cumplan con las políticas y/o límites de riesgo establecidas por la entidad.
-- Informar al Comité de Financiero y de Inversiones y a la Junta Directiva sobre los siguientes aspectos:
a) La exposición al riesgo de manera global de la entidad, así como la específica de cada línea de negocio.
b) Las desviaciones presentadas con respecto a los límites de exposición de riesgo establecidos.
c) Operaciones objetadas.
-- Informar diariamente al representante legal y a los responsables de las líneas de negocios, sobre el comportamiento del riesgo de mercado de la entidad.
-- Informar al representante legal y a los responsables de las líneas de negocios sobre los niveles de riesgo y condiciones de las negociaciones realizadas y, en particular, reportar incumplimientos sobre los límites, operaciones poco convencionales o por fuera de las condiciones de mercado y las operaciones con vinculados. Este mismo reporte deberá hacerse de manera mensual a la Junta Directiva.
5.2.4. Dirección de Tesorería (Back Office)
Esta dependencia encargada de las funciones de procesamiento, confirmación y liquidación de operaciones así como del proceso de valoración de las inversiones en el aplicativo. Esta área tiene prohibido realizar actividades referentes a la negociación de títulos valores. Funcionalmente depende de la Vicepresidencia Financiera de la Entidad.
5.2.5. Dirección de Contabilidad (Back Office)
Es la dependencia encargada de las funciones de contabilización de operaciones. Esta área tiene prohibido realizar actividades referentes a la negociación de títulos valores. Funcionalmente depende de la Vicepresidencia Financiera de la entidad.
En el contexto del Sarm, los organismos de control deben realizar auditorías que garanticen el cumplimiento de la totalidad de las disposiciones de esta norma. Se entienden como órganos de control:
-- Revisoría Fiscal
-- Auditoría interna o quien ejerza el control interno.
Sin perjuicio de las funciones asignadas en otras disposiciones, el revisor fiscal debe verificar el estricto cumplimiento de lo dispuesto en el presente manual e incluir un pronunciamiento expreso sobre el Sarm dentro del dictamen de los estados financieros.
7. INFRAESTRUCTURA TECNOLÓGICA.
El Icetex cuenta con una plataforma tecnológica que permite garantizar el funcionamiento eficiente, eficaz y oportuno del Sistema de Administración de Riesgo de Mercado, acorde con su tamaño, naturaleza, complejidad y volumen de operaciones, acogiéndose a las buenas prácticas dictadas por la Superintendencia Financiera de Colombia, en su condición de no intermediario del mercado de valores. De igual forma el sistema de administración de portafolios de inversiones permite realizar controles sobre el cumplimiento de las políticas establecidas; también cuenta con un aplicativo de administración de riesgos de mercado que cumple con todos los requerimientos normativos para el cálculo del Valor en Riesgo, sobre el desempeño de estos aplicativos se realizan pruebas periódicas para garantizar el cumplimiento normativo.
Adicionalmente la infraestructura tecnológica permite realizar el seguimiento y monitoreo sobre las condiciones coyunturales y estructurales de los mercados en los cuales participa el Icetex, que permiten identificar y minimizar la exposición al riesgo de mercado de la entidad, así como la identificación de oportunidades de negocio. El proceso de gestión de Inversiones y el proceso de Administración de Riesgos de Mercado, cuenta con back up de la información con el fin de garantizar la permanencia y la seguridad de la misma.
8. DIVULGACIÓN DE INFORMACIÓN.
Interna: La Oficina de Riesgos, genera mensualmente como resultado del monitoreo reportes que son presentados al Comité Financiero y de Inversiones y a la Junta Directiva, que permiten establecer el perfil de riesgo de la entidad. De igual forma los reportes diarios dirigidos a la Alta Dirección. Así mismo en el informe de gestión anual se presenta la gestión adelantada en materia de administración de riesgos de mercado.
Externa: El Instituto debe suministrar de acuerdo a lo establecido en la normatividad vigente, la información necesaria al público y a los entes de control, para que con ello el mercado pueda evaluar las estrategias de gestión del riesgo de mercado adoptadas por la Entidad. Los resultados de la medición de riesgo de mercado deben reportarse a la Superintendencia Financiera de Colombia, con la periodicidad establecida en los formatos previstos para este propósito.
Revelación contable: El Instituto debe presentar en las notas a los estados financieros un resumen de sus operaciones de tesorería. En este sentido, las notas deberán contener información cualitativa y cuantitativa sobre la naturaleza de las operaciones e ilustrar cómo estas actividades contribuyen a su perfil de ingresos y de riesgo de mercado.
Los funcionarios del Front, Middle y Back Office conocen, aceptan y acatan las cláusulas de confidencialidad de la información establecidas en el Manual de Seguridad de la Información y en el código de Ética y conducta de la entidad. Así como conocen, aceptan y acatan las disposiciones en materia de conflictos de interés que se encuentran especificadas en el Manual de Ética y Buena conducta de la entidad.
10. ETAPAS DE LA GESTIÓN DE RIESGO DE MERCADO.
De acuerdo con lo establecido en el Capítulo XXI de la Circular Básica Contable y Financiera, el Sistema de Administración de Riesgos de Mercado (Sarm) cuenta con procesos, procedimientos y manuales operativos debidamente documentados y gestionados a través del Sistema de Gestión de la Calidad.
10.1. Identificación
Las áreas involucradas en el proceso de Gestión de Inversiones deben identificar los riesgos de mercado a los que está expuesto el Icetex de acuerdo con las metodologías implementadas por la Oficina de Riesgos, en función del tipo de posiciones asumidas en el portafolio de inversiones, de conformidad con las operaciones autorizadas por la Junta Directiva de la entidad. Cuando sean aplicables, se deben considerar como mínimo los siguientes factores de riesgo de mercado:
-- Tasa de interés en moneda legal.
-- Tasa de interés en moneda extranjera.
-- Tasa de interés en operaciones pactadas en UVR.
-- Tasa de cambio.
Esta etapa debe realizarse previamente a la participación en nuevos mercados y a la negociación de nuevos productos, determinando su perfil de riesgo y cuantificando el impacto que estos tienen sobre el nivel de exposición al riesgo de la entidad, al patrimonio y las utilidades de la misma.
Para ello la Vicepresidencia Financiera, presenta la operación a realizar, con la documentación requerida sobre la cual se lleva a cabo el análisis pertinente, determinando el impacto que tendrían sobre el nivel de exposición al riesgo de la entidad.
10.2. Medición
Para la medición del riesgo de mercado el Icetex empleará la metodología estándar para el cálculo del VeR establecida por la Superintendencia Financiera, en el Capítulo XXI, Anexo 1 de la Circular Básica Contable y Financiera. No obstante, la entidad podrá desarrollar una metodología interna para el cálculo del VeR, siempre que los mismos cumplan con los requisitos mínimos establecidos en el capítulo XXI de la Circular Básica Contable y Financiera y no hayan sido objetados por el ente de control. El Icetex, deberá realizar diariamente una medición de los riesgos de mercado a los cuales se encuentra expuesta la entidad, de acuerdo a las posiciones que asume en los portafolios de inversión de recursos propios y de recursos de terceros administrados, basado en la metodología establecida en el Capítulo XXI y sus correspondientes anexos, de la Circular Básica Contable y Financiera (C.E. 100 de 1995).
En consecuencia, las posiciones que conformen los portafolios administrados deben ser valoradas diariamente a precios de mercado, según la normatividad vigente y deberá calcularse el valor en riesgo de las mismas.
La medición de la exposición al riesgo de mercado y su divulgación será responsabilidad de la Oficina de Riesgos.
10.3. Control y monitoreo
La Oficina de Riesgos, controlará y monitoreará el cumplimiento de los cupos y límites establecidos por la entidad, en lo correspondiente a las operaciones realizadas, que constituyan el libro de tesorería y bancos, según lo autorizado por la Junta Directiva, ofreciendo herramientas para el control de los niveles de exposición al riesgo de mercado.
El sistema de monitoreo, control y gestión de riesgos de mercado debe cumplir con los siguientes requisitos:
-- Guardar correspondencia con el volumen y complejidad de las operaciones desarrolladas.
-- Permitir la cuantificación de los diferentes riesgos existentes, así como su incorporación dentro de la estructura de control y gestión de riesgos del portafolio.
-- Servir de apoyo en la fijación de una estrategia de administración del portafolio adecuada a las condiciones del mercado.
-- Elaboración de reportes gerenciales, concisos y completos, de monitoreo de riesgos que evalúen los resultados de las estrategias e incluyan el resumen de las posiciones por producto y demuestren el cumplimiento de los límites.
Dentro de las actividades de control en el marco del Sarm, la Oficina de Riesgos realizará e informará a la Alta Dirección:
-- Medición del Valor en Riesgo (VeR) de los portafolios propios y los administrados por la entidad en forma diaria.
-- Seguimiento de cupos de emisor en forma diaria.
-- Validación de las operaciones realizadas y su correspondencia con las aprobadas por el Comité Financiero y de Inversiones.
-- Informar diariamente sobre el comportamiento del riesgo de mercado de la entidad, así como las operaciones objetadas.
-- Seguimiento a la grabación de llamadas del front, middle y back office, con el fin de garantizar que todas las transacciones realizadas por cuenta propia o por cuenta de terceros, puedan ser reconstruidas desde el momento en que se imparten las órdenes de compra o venta, la ejecución de las mismas y su correspondiente compensación y liquidación.
-- Mensualmente presentará ante el Comité Financiero y de Inversiones y la Junta Directiva, un informe del VeR al cierre del mes inmediatamente anterior, de los portafolios administrados por Icetex y las variaciones más significativas en los mismos, así como el cumplimiento de los límites y políticas establecidas por la entidad, en materia de administración de inversiones.
-- Realizar pruebas de escritorio periódicas de la valoración de los portafolios con el fin de verificar que la metodología utilizada sea la establecida en las normas vigentes para ello.
-- Realizar pruebas de escritorio periódicas sobre el cálculo de valor en riesgo, realizado por el software utilizado para ello.
Cuando se presenten situaciones atípicas en los mercados que afecten las posiciones de los portafolios de la entidad, la Oficina de Riesgos deberá informar mediante un informe especial al Comité Financiero, al representante legal y a los responsables de las líneas de negocios, sobre dicha situación y cómo la misma puede afectar las inversiones de la entidad.
El Sarm debe contar con planes de contingencia para el caso en que se produzcan fallas en los sistemas informáticos con los cuales el Front Office realiza sus negociaciones o las registra; de igual forma para aquellos sistemas con los cuales el Back Office realice la valoración y el cumplimiento de las operaciones, así mismo el Software utilizado para el cálculo del valor en riesgo, planes de contingencia para el caso de ausencia de los funcionarios responsables del manejo de los aplicativos de registro y cumplimiento de operaciones se encuentran establecidos para cada una de las áreas y de igual forma contar con manuales operativos del front, middle y back office.
El Manual de Ética y Conducta, contempla las oportunidades en que se genera conflicto de intereses por parte de los funcionarios inmersos en el proceso Gestión de Inversiones.
10.3.1. Control de grabaciones telefónicas
El Icetex, cuenta con un sistema de grabación de llamadas que permite garantizar que todas las transacciones realizadas por cuenta propia o por cuenta de terceros, puedan ser reconstruidas desde el momento en que se imparten las órdenes de compra o venta, la ejecución de las mismas y su correspondiente compensación y liquidación.
La efectividad de la herramienta tecnológica empleada para llevar a cabo esta actividad se garantizará a través del proceso de Gestión Tecnológica y será responsabilidad de la Dirección de Tecnología.
Se deben considerar los siguientes aspectos para la consulta de las grabaciones de llamadas:
-- Cuando haya discrepancia con alguna contraparte, o siempre que un operador lo solicite se consultará la grabación, la cual será analizada por la persona delegada por la oficina de Riesgos frente al operador implicado, contando con la Oficina de Control Interno quien actuará como veedor.
-- En ningún caso los funcionarios del Front y Back podrán tener acceso a grabaciones de áreas diferentes.
-- Advertir previamente a cada uno de los Intermediarios y Entidades con quienes efectúe operaciones, y de los funcionarios a quienes les aplique la grabación de llamadas.
10.3.2. Proceso a seguir en caso de discrepancias
-- Una vez seleccionada la extensión a revisar, se comparan los documentos soporte de las operaciones realizadas por el funcionario designado por la Vicepresidencia Financiera, que tiene asignada la extensión y se comparan con la información de cierre de la operación consignada en la llamada.
-- Se debe realizar un acta donde queden consignadas las discrepancias, cualquier información inapropiada comentada en la grabación y los incumplimientos a los protocolos de negociación.
Queda prohibido realizar negociaciones a través de teléfonos celulares, o cualquier tipo de sistema de comunicación que no pueda ser monitoreado y grabado para establecer las condiciones de negociación.
11. METODOLOGÍA Y PROCEDIMIENTOS PARA ALERTAS TEMPRANAS.
De manera especial, se realizará seguimiento a la publicación de información relevante publicada por la Superintendencia Financiera de Colombia y al desempeño en el mercado de los títulos que componen los portafolios de inversión. Los informes extraordinarios deberán ser remitidos a la Vicepresidencia Financiera, al Front Office y a los responsables de las líneas de negocios, y así mismo dicho análisis debe ser presentado ante el Comité Financiero y de Inversiones.
La Oficina de Riesgos analizará previamente la propuesta de inversión a presentar al Comité Financiero y de Inversiones mensualmente, calculando un valor de VeR aproximado de las inversiones propuestas al Comité Financiero y de Inversiones, en caso de presentarse por estas un alto nivel de contribución de VeR, se generará una alerta temprana indicando a la Vicepresidencia Financiera, con el fin que sea revaluada dicha propuesta.
12. ESTABLECIMIENTO DE LÍMITES.
12.1. Emisor, Contraparte y Concentración
Los cupos de emisor son los niveles máximos de inversión por emisor para los portafolios administrados por la entidad en todas sus inversiones, los cupos de contraparte corresponden a los montos máximos de negociación permitidos con cada entidad.
Los límites de concentración por sector, grupo económico y demás, son propuestos por la Oficina de Riesgos y presentados para evaluación del Comité Financiero y de Inversiones y posteriormente llevados para aprobación de la Junta Directiva de la entidad, las políticas para cálculos de cupos de emisor y contraparte y los límites de concentración establecidos, están consignados en el acuerdo de Junta Directiva número 026 de septiembre 13 de 2013, por el cual se establece la política y metodología para definir los cupos por Emisor y Contraparte del Icetex.
Las pruebas de desempeño sobre el modelo de cupos de emisor y contraparte, deberá realizarse una vez al año la revisión del modelo estadístico que pondera los indicadores del Camel, dicha revisión debe quedar documentada y en caso que existan cambios en el modelo debe someterse a aprobación del Comité Financiero y de la Junta Directiva.
La Oficina de Riesgos evaluará periódicamente los cupos de emisor, contraparte y las políticas de concentración y evaluará a solicitud de la Vicepresidencia Financiera nuevos emisores del sector real, con el fin de someternos a evaluación del Comité Financiero y de Inversiones y posteriormente aprobación de la Junta Directiva.
12.2. Valor en Riesgo
Los límites de VeR para los portafolios de inversión administrados por Icetex, son propuestos por la Oficina de Riesgos y presentados para evaluación del Comité Financiero y de Inversiones y aprobación de la Junta Directiva.
La entidad cuenta con una metodología para establecer los límites de VeR para cada uno de los portafolios, la cual se encuentra detallada en el acuerdo de Junta Directiva número 033 de octubre 15 de 2013, por el cual se establece la metodología y políticas para definir los límites de VaR.
13. ACCIONES ANTE EL SOBREPASO DE LOS LÍMITES.
La Oficina de Riesgos, informará diariamente el estado de los límites anteriormente mencionados; cuando se registre el incumplimiento de algún límite, la Vicepresidencia Financiera, informará de manera inmediata, por escrito, las razones por las cuales se generó el incumplimiento, emitiendo posibles acciones a seguir para restablecer el límite incumplido, entregándolas para su evaluación a la Oficina de Riesgo y dicha situación se llevará para conocimiento del próximo Comité Financiero y de Inversiones, donde se analizarán los eventos sucedidos y se propondrán acciones a seguir para controlar el riesgo inherente y de igual manera se informará a la Junta Directiva en su próxima sesión.
El informe de portafolio eficiente es una herramienta para los gestores de portafolios de inversión, la cual permite hacer un benchmark de su portafolio frente al propuesto, permitiendo conocer cuál es su desempeño en término de rentabilidad-riesgo.
La Vicepresidencia Financiera utilizará dicha herramienta para sus actividades de análisis
Capítulo Derivados (Forwards y Futuros) Operaciones de Cobertura, relativas a operaciones de créditos otorgados por la banca multilateral.
INTRODUCCIÓN
Por las características del mercado de divisas, tales como la volatilidad e incertidumbre existente en los mercados financieros, la globalización de la economía que da como resultado la interacción de los mercados financieros y el esquema de libre flotación que opera en el país, son factores que hacen difícil y complejo pronosticar los niveles del precio del tipo de cambio de la divisa, ya que su valor se determina por la libre oferta y demanda que se observa en el mercado, que además, también se ve afectado por situaciones políticas y sociales tanto internas como externas.
Para contrarrestar estos factores de riesgo existen las denominadas operaciones de cobertura. La cobertura es una estrategia por la que se intenta reducir el riesgo de precio de un activo o pasivo, es decir la posible pérdida producida por movimientos desfavorables de los precios.
Para realizar una cobertura debe tomarse una posición de sentido contrario a la que se desea cubrir, de manera que los resultados de ambas se compensen mutuamente, manteniendo al conjunto indiferente a los movimientos de precios de mercado. De lo que se trata es que la posible pérdida que pudiera sufrir un activo o pasivo, se vea compensado con la ganancia obtenida en derivados.
Debido a que el Icetex tiene dentro de su operación el manejo de divisas provenientes del crédito del Banco mundial, se plantea la necesidad de efectuar operaciones de cobertura a través de derivados específicamente Forwards y Futuros identificando un capítulo aparte en el Manual de Riesgos de Mercado sobre esta materia.
14.1. Objetivos
Establecer las políticas y procedimientos a seguir en la celebración de operaciones con Instrumentos financieros derivados, con fines de cobertura en la Entidad, con el propósito de disminuir y administrar eficientemente el riesgo cambiario sobre activos o pasivos en moneda extranjera.
14.2. Alcance
Este capítulo cubre los siguientes elementos a considerar en función de las operaciones en términos de derivados estandarizados y OTC, que serán factibles de realizar por parte de la entidad:
-- Políticas en materia de negociación de instrumentos financieros derivados.
-- Perfil de riesgos.
-- Procedimientos y requisitos para la realización de los distintos tipos de instrumentos financieros derivados.
-- Límites de concentración de riesgos del portafolio de instrumentos financieros derivados.
-- Políticas para determinar los cupos para instrumentos financieros derivados.
-- Técnicas de control o mitigación de riesgos a utilizar.
-- Metodologías y procedimientos de valoración usados por la entidad vigilada, incluyendo fuentes de información de los distintos parámetros requeridos.
-- El alcance del presente manual involucra a todas las áreas y funcionarios del Icetex que tengan el manejo de divisas dentro de la operación de cobertura.
14.3. Glosario
Bid: Es el precio al que un inversionista decide comprar una divisa. Es un término inglés que se refiere al precio al que compra el mercado, por tanto, es el precio que pagará el inversionista cuando realiza una operación de venta. También se conoce precio de demanda.
Ask: Es el precio al que vende el mercado y, por tanto, el precio que pagará el inversionista si realiza una operación de compra. También se conoce como precio de oferta (Offer Price).
Cobertura: Es una combinación de operaciones mediante la cual uno o varios instrumentos financieros, denominados instrumentos de cobertura, se designan para reducir o anular un riesgo específico que pueda tener impacto en el estado de resultados como consecuencia de variaciones en el precio justo de intercambio, en el flujo de efectivo o en el tipo de cambio de una o varias partidas, denominadas posiciones primarias.
Cobertura contable: La conforman aquellos instrumentos financieros derivados con fines de cobertura y las posiciones primarias objeto de cobertura.
Compensación de obligaciones con instrumentos financieros derivados: Es un modo de extinguir las obligaciones recíprocas generadas por instrumentos financieros derivados.
Contrato marco: Es un acuerdo celebrado por escrito entre dos (2) o más partes, el cual es necesario para la negociación de instrumentos financieros derivados en el mercado mostrador.
Costo de reposición: Es el precio justo de intercambio de un instrumento financiero derivado cuando este es positivo, en caso contrario su valor es cero (0). En el evento de haberse pactado con una determinada contraparte la posibilidad de compensar posiciones en instrumentos financieros derivados, el costo de reposición del portafolio de tales instrumentos, negociados con esa contraparte, es la suma de los precios justos de intercambio de los mismos, siempre que esta sea positiva, siendo su valor cero (0) en caso contrario.
Cross Currency Swap (CCS): Los Swaps de monedas “CCS” involucran el intercambio de una serie de flujos en una moneda, por otra serie de pagos en una moneda distinta. Las condiciones y la frecuencia de los pagos del Swap son acordados de antemano por las partes. Los CCS pueden ser pactados de tasa fija vs., tasa fija, fija por flotante (y viceversa) o flotante por flotante.
Derivado de crédito: Es un instrumento financiero que permite a una parte transferir a otra el riesgo de crédito de uno o varios activos a los que se está o no expuesto, sin vender o negociar dichos activos.
Exposición crediticia: Mide la máxima pérdida potencial de una operación con instrumentos financieros derivados en caso de incumplimiento de la contraparte.
Exposición potencial futura: Corresponde a la pérdida que podría tener una entidad vigilada en un instrumento financiero derivado, durante el plazo remanente de este, por un eventual incumplimiento de su contraparte, bajo el supuesto de que el precio justo de intercambio evolucione favorablemente para la entidad vigilada y el mismo sea positivo en la fecha de vencimiento del respectivo instrumento.
Futuros de TRM: Son contratos negociados en la Bolsa de Valores de Colombia para comprar o vender dólares americanos en una fecha futura, a un precio determinado. El cumplimiento de estos contratos es financiero, lo cual significa que al momento del vencimiento se debe realizar un neteo comparando el precio pactado en el contrato a futuro contra el precio del mercado y se giren las diferencias entre la parte perdedora y la ganadora. Busca eliminar la incertidumbre sobre el subyacente el cual se está negociando. Estos contratos tienen el respaldo y control de la Cámara Central de Riesgo de Contraparte, la cual es vigilada por la Superintendencia Financiera.
Instrumento financiero derivado: Es una operación cuya principal característica consiste en que su precio justo de intercambio depende de uno o más subyacentes y su cumplimiento o liquidación se realiza en un momento posterior. Dicha liquidación puede ser en efectivo, en instrumentos financieros o en productos o bienes transables, según se establezca en el contrato o en el correspondiente reglamento del sistema de negociación de valores, del sistema de registro de operaciones sobre valores o del sistema de compensación y liquidación de valores.
Instrumento financiero derivado con fines de cobertura: Es aquel que se negocia con el fin de cubrir una posición primaria de eventuales pérdidas ocasionadas por movimientos adversos de los factores de mercado o de crédito que afecten dicho activo, pasivo o contingencia. Con la negociación de este tipo de instrumentos se busca limitar o controlar alguno o varios de los riesgos financieros generados por la posición primaria objeto de cobertura.
Mercado mostrador: Para efectos de los instrumentos financieros derivados y productos estructurados, el mercado mostrador corresponde a los instrumentos o productos que se transen por fuera de bolsas o de sistemas de negociación de valores. También se conocen con la denominación “Over the Counter” (OTC).
Mid: Es el promedio de cierre de las cotizaciones de compra (bid) y de venta (ask).
Pip: Es la unidad que mide la variación más pequeña posible en el precio de una divisa. Son los puntos forward (mid) del mercado forward peso-dólar americano en la fecha de valoración para un plazo de k días. Se expresa en pesos por unidad de dólar americano.
Posición primaria (partida cubierta): Se entiende como tal la exposición a un determinado riesgo generada por un activo o pasivo.
Subyacente: Un subyacente de un instrumento financiero derivado es una variable directamente observable tal como un activo, un precio, una tasa de cambio, una tasa de interés o un índice, que junto con el monto nominal y las condiciones de pago, sirve de base para la estructuración y liquidación de un instrumento financiero derivado.
14.4. Normatividad
14.4.1. Normas Externas
Las operaciones de contratos de derivados que se efectúen en la entidad, se encuentran sujetos a las disposiciones legales de la Bolsa de Valores de Colombia, la Cámara de Riesgo Central de Contraparte de Colombia y a la inspección y vigilancia de la Superintendencia Financiera de Colombia y se encuentran reglamentados por la Circular Básica Contable y Financiera (Circular externa 100 de 1995). Capítulo XVIII Instrumentos Financieros Derivados y Productos Estructurados, Capítulo XXI Reglas relativas a la administración de Riesgo de Mercado, (y anexos correspondientes).
14.4.2. Normas Internas
El Manual de inversiones de la entidad.
14.5. Políticas
14.5.1. Perfil de riesgo
Dada la naturaleza de la operación, el propósito fundamental es disminuir y administrar eficientemente el riesgo cambiario, sobre activos o pasivos en moneda extranjera, orientados a mantener y mejorar el perfil de riesgo conservador de la entidad.
14.5.2. Políticas en materia de negociación de instrumentos financieros derivados:
-- El Front llevará a cabo la negociación de dichas operaciones, enfocadas exclusivamente al cubrimiento de riesgo de tipo de cambio de un determinado valor de activo o pasivo.
-- Los tipos de operaciones que serán efectuadas por la entidad, se podrán realizar a través de los sistemas de negociación de valores autorizados por la Superintendencia Financiara de Colombia, así como en el mercado OTC colombiano.
Teniendo en cuenta lo anterior, la entidad solo podrá realizar operaciones de derivados con fines de cobertura.
14.5.3. Política en materia de límites
Riesgo de concentración
Es el riesgo derivado de la inversión de los recursos, en valores o en activos de un mismo emisor o grupo de emisores relacionados entre sí. Se entenderá que existe un riesgo de concentración cuando la entidad contraiga riesgos de contraparte con un mismo emisor o grupo de emisores relacionados entre sí, que representen en términos de apalancamiento, más del 100% del valor del cupo asignado por la contraparte.
La Entidad cuenta con una metodología aprobada por la Junta Directiva, para el otorgamiento de cupos de Emisor y Contraparte, la cual está descrita en el Acuerdo número 033 de octubre 15 de 2013, por el cual se establece la metodología y políticas para definir los límites de VaR, donde se especifica la metodología a utilizar en materia de otorgamiento de cupos. En materia de límites individuales, estos estarán dados por el valor de la posición que se quiera cubrir, es decir el valor del activo o pasivo en moneda extranjera, expuesto a riesgo cambiario.
14.6. Procedimientos y requisitos para la realización de derivados
14.6.1. Operaciones de Cobertura en OTC (Extrabursátil).
-- Los instrumentos financieros derivados (forward) que ejecute el Icetex a través del mercado mostrador OTC, se entenderá en firme cuando se cuente con un contrato marco, el cual estará conformado por un texto, un suplemento y las cartas de confirmación de las operaciones realizadas.
-- Para efectuar operaciones con instrumentos financieros derivados, el Icetex deberá contar con información de varias entidades que ofrezcan las cotizaciones requeridas.
-- Es necesario que el Icetex cuente con cupos aprobados por las entidades financieras y conocer su valor.
-- Para cada nueva transacción, las normas del acuerdo marco no necesitan ser renegociadas y se aplican automáticamente.
14.6.2. Operaciones de cobertura a través de la Bolsa de Valores (Futuros)
Los derivados estandarizados son contratos transados por bolsa y en Colombia se negocian Futuros y Opciones. Se denominan estandarizados en aspectos como tamaño, fechas de vencimiento y tipo de liquidación y cumplimiento al vencimiento (efectivo o financiero), esta característica brinda la posibilidad de “entrar” y “salir” de las posiciones en cualquier momento, sin que sea una obligación permanecer con la posición hasta la fecha de vencimiento negociada.
La negociación de estos derivados estandarizados cuenta con una Cámara de Compensación denominada en Colombia, Cámara de Riesgo de Contraparte la cual se encarga de compensar y liquidar todas las operaciones realizadas. Esta Cámara elimina el riesgo de contraparte. En la Bolsa de Valores de Colombia para operaciones de derivados con tasa de cambio se encuentra el Futuro de TRM.
Riesgos: Entre los riesgos propios de los mercados de futuros, se encuentran:
Riesgo de mercado: Pérdidas en las posiciones abiertas cuando se presenten movimientos en contra de estas.
Riesgo por apalancamiento: Pequeños movimientos de mercado tienen un impacto proporcionalmente mayor en los fondos depositados. Puede darse un llamado a depositar nuevos recursos y no atender oportunamente estos llamados podría llevar al cierre de las posiciones.
Riesgo por coberturas imperfectas: Pueden existir diferencias en los movimientos de los precios del activo y de los futuros, lo cual minimiza la posibilidad de tener una cobertura completamente perfecta.
14.6.3. Trámites y requisitos
Para poder realizar operaciones en los Mercados de Futuros es indispensable cumplir los siguientes requisitos y dar las órdenes de negociación a corredor certificado ante AMV como Operador con Especialidad Derivados:
-- Abrir una Cuenta de Garantías en la CRCC firmando el Contrato Marco para la Celebración, Compensación y Liquidación de Operaciones sobre Derivados Estandarizados con Valores Bancolombia.
-- Constituir unas garantías ante la Cámara de Riesgo Central de Contraparte, que soporten la operación, las cuales están expresadas en un porcentaje sobre el valor de la posición valorada a precios de mercado. El porcentaje requerido inicial es del 8%, que pueden estar representados en títulos TES o en efectivo.
FRONT
Recolección de información
Respecto del análisis que debe hacer de los mercados financieros, acude a diferentes fuentes de información con el propósito de establecer la estrategia a desarrollar para operar los derivados:
-- Bloomberg, sistema de información y transaccional financiero.
-- Cotizaciones a los Bancos (Precios de los diferentes instrumentos).
Formulación de estrategias
A partir de la información recolectada, se identificarán activos que presentan la necesidad de cobertura, por el riesgo implícito en ellos.
Evaluación de estrategias a implementar
Una vez formuladas las posibles estrategias estas se someten a consideración del comité de inversiones de acuerdo al resultado de las siguientes variables:
-- Monto del capital requerido.
-- Nivel de cobertura.
-- Duración de las posiciones.
Orden de operación a la entidad financiera
Una vez definida la estrategia, da la orden de operación a la entidad financiera correspondiente.
14.7. Valoración del Derivado.
La valoración del instrumento debe realizarse en forma diaria a precio justo de intercambio, con el fin de determinar la utilidad o la pérdida del mismo. La Vicepresidencia Financiera será el área encargada de efectuar la valoración establecida por la Superintendencia Financiera de Colombia, aplicando el procedimiento establecido por esta, en el Anexo 3 del Capítulo XVIII.
El área de riesgos realizará un control dual, con la misma periodicidad de la valoración, con el fin de garantizar el correcto procedimiento y evaluación de la operación y de acuerdo al siguiente procedimiento.
14.7.1. Metodología de valoración operación forward peso-dólar americano
Todas las fórmulas de valoración de instrumentos financieros derivados, se deben trabajar con tasas de interés nominales simples y la base de cálculo 360 días.
La valoración de las operaciones 'forward' peso-dólar con plazo remanente inferior o igual al último plazo para el que exista información diaria publicada debe efectuarse utilizando las cotizaciones de 'puntos forward' (PIPS, expresados en COP/1USD) registradas al cierre diario del mercado 'forward', publicadas por proveedores autorizados de precios y/o firmas de corretaje autorizadas que abarquen la mayor liquidez de ese mercado.
Para este caso particular se utiliza la información generada por ICAP Colombia (Broker electrónico y fuente global de información de los mercados financieros) diariamente.
Para valorar los forward tanto de compra como de venta se debe emplear el promedio de cierre de las cotizaciones de compra (bid) y de venta (ask), vale decir, el precio mid. (Consulta Bloomberg).
14.7.2. Cálculo de Pips para plazo a valorar
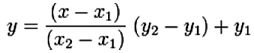
Para efectos de valoración de instrumentos financieros derivados con plazos remanentes que no correspondan directamente a los de las cotizaciones más líquidas publicadas, se calculan los 'puntos forward' para el respectivo plazo efectuando interpolaciones lineales simples entre las cotizaciones existentes más próximas a dicho plazo, utilizando la siguiente fórmula:

Para el cálculo de los Pips se elabora una tabla con dos columnas; una con el plazo que se obtiene en días y la otra con el precio mid de las cotizaciones de los puntos forward (se suma el precio Bid y el ask que se obtienen de las pantallas de bloomberg y se divide entre dos). Debido a que no se tiene información para el día 1, se emplea la fórmula anterior de interpolación Lineal para conocer el precio mid de este día. Las “X” hacen referencia a las tres primeras fechas de la tabla (X=día 1, X1, X2) y las “Y” hacen referencia a las dos primeras cotizaciones mid de la tabla (Y1, Y2). Con la información del día 1 se completa la tabla, la cual es indispensable para hallar los pips para cada uno de los días la cual se denomina curva de devaluación en pesos y las tasas forward interpoladas.
14.7.3. Cálculo de la tasa de interés cero cupón
Para traer a Valor Presente Neto (VPN), los flujos en pesos colombianos de los distintos instrumentos financieros derivados y productos estructurados, se utilizan las tasas cero cupón de acuerdo con los siguientes criterios:
-- El Indicador Bancario de Referencia (IBR), cuando el plazo remanente de la operación se halle dentro de los plazos para los cuales exista cotización del mismo. Para descontar flujos a plazos inferiores al último plazo para el que exista cotización del IBR, se debe utilizar la correspondiente tasa cero cupón que se obtenga mediante la interpolación lineal de las tasas IBR conocidas más cercanas al plazo requerido.
-- Para plazos comprendidos entre el último para el que existe cotización del IBR y el primero para el que existe tasa de interés del mercado 'Cross Currency Swap' (CCS), las entidades deben descontar los flujos utilizando la correspondiente tasa cero cupón que se obtenga mediante la interpolación lineal de la tasa IBR para el último plazo y la tasa CCS (convertida a tasa cero cupón) para el primer plazo que exista.
-- Para los plazos en los que existan tasas de interés del mercado CCS, publicadas diariamente en plataformas de suministro de información financiera, las tasas de descuento deben ser las correspondientes a dicha curva, convertidas a tasas cero cupón.
-- Para descontar flujos a plazos intermedios en los que no haya directamente una cotización en tales plataformas, se deberá utilizar la correspondiente tasa cero cupón que se obtenga mediante la interpolación lineal de las tasas CCS conocidas más cercanas al plazo requerido.
14.7.4. Procedimiento para el cálculo de la tasa cero cupón
-- Se toman como referencia la IBR overnight y la IBR mes vencido para un día y un mes respectivamente. De ahí en adelante se toman los contratos swaps CCS – Tasa fija de Bloomberg desde 1 año hasta 10 años.
-- Partiendo de dichas TIRES del mercado, se genera mediante el método bootstrapping, el cálculo de la curva cero cupón.
-- Dicha curva también es útil para generar los flujos futuros de los CCS, cuando ellos se operen, para valoración de forward peso-dólar es suficiente con la curva cero comentada.
14.7.5. Valoración: derecho-obligación.
DERECHO
Para la liquidación y cálculo del derecho en una posición de venta, el cual será el valor correspondiente a la obligación de la contraparte, se utilizará la siguiente fórmula:

OBLIGACIÓN
Para la liquidación y cálculo de la obligación en una posición de venta, el cual será el valor correspondiente al derecho de la contraparte, se utilizará la siguiente fórmula:
![]()
NUSD = Valor nominal del contrato expresado en dólares americanos.
TCF = Tasa de cambio peso/dólar americano fijada en el contrato 'forward', dada en pesos por dólar.
k = Número de días que hay entre la fecha de valoración y la fecha de vencimiento.
PIPSk = Puntos forward (mid) del mercado forward peso-dólar americano en la fecha de valoración para un plazo de k días. Se expresa en pesos por unidad de dólar americano.
TCRMspot = Tasa de cambio representativa del mercado calculada el día de la valoración, dada en pesos por dólar americano.
rk = Tasa de interés cero cupón para un plazo de k días.
En la fecha de liquidación de la operación (k = 0) la expresión (1) se reduce a NUSD * (TCF – TCRMspot.). En todo caso, según la operación 'forward' se haya pactado con o sin entrega de los dólares americanos, la liquidación del instrumento por las partes puede efectuarse contra la TCRM vigente el día del cumplimiento o contra la TCRM calculada por la Superintendencia Financiera de Colombia en esa fecha o, en general, contra la tasa de cambio específica que hayan acordado las partes.
MIDDLE
Gestión de Riesgos. Factores a considerar:
Tasa de cambio: por ser un derivado cuyo subyacente es la tasa de cambio COP/USD, su valor depende de los movimientos de esta tasa, por lo cual se considera un factor de riesgo.
Riesgo tasa de interés: Es un factor de riesgo cuando en el derivado la tasa de interés que se utiliza para valorar un instrumento financiero tiene efectos en su valor.
Riesgo de contraparte: dado que el forward es un derivado que se negocia en el mercado OTC podría ocurrir que la contraparte incumpliera con los compromisos, si se tuviera el PyG del forward a favor.
Plazo: Es un factor fundamental en el cálculo de la exposición potencial futura y de la exposición crediticia de cualquier instrumento financiero.
Valor del Subyacente: se deben realizar análisis de escenarios que permitan cuantificar la sensibilidad de los precios justos de intercambio de los derivados ante cambios en el valor del subyacente.
14.7.6. VeR para Posiciones de Futuros o Forwards
El VeR es un concepto y una técnica muy utilizada para la medición de riesgo, difundida por J.P. Morgan en 1994, que cuantifica la exposición al riesgo de mercado por medio de técnicas estadísticas tradicionales, pero no es el único método existente. Hay otras herramientas que sirven para medir el riesgo tales como la convexidad, la duración, modelo de Montecarlo, el Back Testing, el Stress Testing, análisis de sensibilidad (griegas) entre otros.
En general el VeR se calcula utilizando dos métodos; los métodos paramétricos y los métodos no paramétricos. Para las posiciones en derivados se utilizará el método paramétrico; este toma como supuesto que los rendimientos del activo en cuestión se distribuyen de acuerdo a una curva de densidad de probabilidad normal, lo cual lleva a que este método no sea más que una aproximación probabilística para medir el riesgo del activo.
El VeR es una medida de la máxima pérdida esperada para un horizonte de tiempo y un nivel de confianza determinado. Responde a la pregunta ¿Cuánto puedo perder bajo un porcentaje de probabilidad en un intervalo de tiempo determinado? La anterior definición solo es válida en condiciones normales de mercado. En momentos de crisis y turbulencia la pérdida esperada se define por pruebas de stress o valores extremos.
En la medición de riesgo usando el VeR para posiciones de Futuros o Forwards, las diferencias en la operación de estos derivados no importan, por lo que el procedimiento es similar. En el cálculo del VeR tendríamos en cuenta la siguiente fórmula o producto:
![]()
Donde:
K = Nivel de Confianza.
= Desviación Estándar (volatilidad).
x = Número de Contratos.
F = Valor del futuro por contrato en el mercado.
t = Raíz cuadrada del horizonte de tiempo cálculo del VeR.
El anterior procedimiento en algunos casos requiere contar con información de volatilidades y correlaciones que es preciso calcularla debido a que no es posible obtenerla ya estimada. Si por ejemplo se tiene un Futuro o Forward a cuatro meses y la información con que se cuenta de volatilidades y correlación es la de 3 o 6 meses, se hace necesario efectuar un mapeo de la posición ya que no contamos con la información que se necesita de 4 meses por lo que se debe descomponer la posición en dos posiciones equivalentes.
El concepto de backtesting es esencial para calibrar y evaluar el modelo VeR. Para realizar el backtesting es necesario comparar el VeR observado con las pérdidas o ganancias reales. Con esto se ve realmente si el modelo está ajustándose de manera satisfactoria al modelo y si no es necesario recalibrar el modelo para que se ajuste mejor al momento y tiempo del mercado.