CIRCULAR 2 DE 2022
(febrero 10)
Boletín Ministerio de Hacienda, Capítulo Superintendencia Financiera de Colombia, No. 617 de 11 de febrero de 2022
Señores
REPRESENTANTES LEGALES Y REVISORES FISCALES DE LOS ESTABLECIMIENTOS DE CRÉDITO
Referencia. FRECH NO VIS - Vivienda Sostenible. Instrucciones en materia de la cobertura condicionada de tasa de interés para la financiación de vivienda sostenible urbana nueva No VIS
Respetados señores:
El Documento CONPES 3919 del 23 de marzo de 2018 contempla la Política Nacional de Edificaciones Sostenibles y reconoce que el sector de la construcción de edificaciones es uno de los motores de crecimiento de la economía colombiana.
De conformidad con lo anterior y con el propósito de incentivar la adquisición de edificaciones de tipo residencial para el segmento No VIS que incluyan requisitos de sostenibilidad en la construcción de vivienda nueva, el Gobierno nacional expidió el Decreto 1727 del 15 de diciembre de 2021, y modificó las condiciones de la cobertura de tasa de interés del programa FRECH NO VIS. Igualmente, el Ministerio de Vivienda, Ciudad y Territorio expidió la Resolución 0019 del 13 de enero de 2022, y señaló los requisitos de sostenibilidad que deben acreditar las edificaciones o viviendas susceptibles de ser adquiridas con la cobertura del mencionado programa.
A su turno, el Ministerio de Hacienda y Crédito Público expidió la Resolución 0188 del 24 de enero de 2022, por la cual modificó la Resolución 0201 de 2016, que reglamenta los términos y condiciones entre el Banco de la República y los establecimientos de crédito en lo que refiere al intercambio de flujos derivados de la cobertura de tasa de interés para la financiación de vivienda urbana nueva No VIS.
En desarrollo de lo expuesto y en virtud de las facultades previstas en el literal a. del numeral 3° del artículo 326 del Estatuto Orgánico del Sistema Financiero y el numeral 4° del artículo 11.2.1.4.2 del Decreto 2555 de 2010, en concordancia con el artículo 9 de la Resolución 0201 de 2016 del MHCP, este Despacho imparte las siguientes instrucciones:
PRIMERA: Modificar el Anexo 8 del Capítulo VI del Título I de la Parte II de la Circular Básica Jurídica, contentivo de las reglas que rigen la cobertura condicionada de tasa de interés para la financiación de vivienda urbana nueva no VIS, en lo relativo al monto total de la misma cuando las viviendas financiadas acrediten los criterios de sostenibilidad definidos por el Ministerio de Vivienda, Ciudad y Territorio.
SEGUNDA: Modificar el Anexo 8 del Capítulo VI del Título I de la Parte II de la Circular Básica Jurídica, en lo relativo a la notación empleada en los numerales 5 y 6 referidos a los sistemas de amortización y aplicación de prepagos o abonos extraordinarios, con el fin de aclarar que la fórmula allí establecida debe ser expresada al equivalente en pesos.
La presente circular rige a partir de la fecha de su expedición.
Cordialmente,
JORGE CASTAÑO GUTIÉRREZ
Superintendente Financiero de Colombia
ANEXO 8: REGLAS RELATIVAS A LA COBERTURA CONDICIONADA DE TASA DE INTERÉS PARA LA FINANCIACIÓN DE VIVIENDA URBANA NUEVA NO VIS, DE CONFORMIDAD CON LO DISPUESTO EN EL DECRETO 1068 DE 2015 Y SUS MODIFICACIONES Y LA RESOLUCIÓN 0201 DE 2016 Y SUS MODIFICACIONES, EXPEDIDA POR EL MINISTERIO DE HACIENDA Y CRÉDITO PÚBLICO (MHCP) – FRECH NO VIS.
1. Alcance
Las instrucciones contenidas en este anexo son aplicables a los créditos hipotecarios de vivienda y a los contratos de leasing habitacional que se hubieren acogido a la cobertura condicionada de la tasa de interés ofrecida por el Gobierno Nacional en el Decreto 1068 de 2015 y sus modificaciones, y la Resolución 0201 de 2016 y sus modificaciones, expedida por el MHCP.
La mencionada cobertura se ofrece con cargo a los recursos asignados a favor del fondo de reserva para la estabilización de la cartera hipotecaria -FRECH-, con el fin de facilitar la financiación de vivienda urbana nueva NO VIS y consiste en una permuta financiera sobre la tasa de interés pactada en créditos de vivienda urbana nueva o contratos de leasing habitacional que otorguen o celebren los establecimientos de crédito con los deudores y locatarios que cumplan con las condiciones y requisitos señalados en la normatividad referida.
2. Información para promocionar la cobertura de tasa de interés que ofrece el Gobierno Nacional a través del FRECH NO VIS.
Los establecimientos de crédito deben suministrar, a través de los mecanismos que estimen pertinentes, información clara, oportuna y suficiente respecto de las condiciones de acceso, ejecución y terminación de la cobertura.
Dichos mecanismos deben contemplar, como mínimo, los siguientes aspectos:
2.1. Las condiciones que deben cumplir los créditos o contratos de leasing habitacional y sus beneficiarios para el acceso a la cobertura, conforme a lo señalado en los arts. 2.10.1.7.1.3 y 2.10.1.7.1.4 del Decreto 1068 de 2015.
2.2. El término durante el cual se recibe la cobertura, así como todas y cada una de las formas de terminación anticipada de la cobertura señaladas en el art. 2.10.1.7.1.5 del mencionado Decreto y en el art. 5 de la Resolución 0201 de 2016 del MHCP. Se debe explicar con especial detalle la causal de pérdida de la cobertura cuando el deudor o locatario incurra en mora en el pago de 3 o más cuotas o cánones consecutivos.
2.3. La cobertura y los segmentos de vivienda según lo previsto en el art. 2.10.1.7.1.2 del Decreto 1068 de 2015.
2.4. Precisar que la cobertura se otorga por una sola vez y únicamente a un crédito individual de vivienda urbana nueva o contrato de leasing habitacional para vivienda urbana nueva que cumpla con los criterios establecidos en las disposiciones que reglamentan la cobertura.
2.5. Indicar que el desembolso de créditos y/o la celebración de contratos de leasing habitacional con este beneficio se encuentra limitado al número de coberturas disponibles, según el año de desembolso del crédito, en los términos del art. 8 de la Resolución 0201 de 2016 del MHCP o demás normas que lo modifiquen, sustituyan o adicionen.
2.6. Advertir que en ningún evento los deudores, locatarios o entidades vigiladas pueden utilizar los recursos de la cobertura para cubrir intereses moratorios, así como ningún otro costo derivado del otorgamiento o administración del crédito o contrato de leasing habitacional, según lo establece el numeral 5 del art. 2 de la Resolución 0201 de 2016.
Adicionalmente, los establecimientos de crédito deben advertir al deudor o locatario, que en ningún caso el monto de la cobertura mensual podrá ser superior al monto causado por intereses corrientes en el respectivo mes, conforme a lo establecido en el numeral 3 del art. 2.10.1.7.1.2. del Decreto 1068 de 2015, según sea el caso, y de conformidad con el literal c, numeral 3 del art. 2 de la Resolución 0201 de 2016 del MHCP.
2.7. Aclarar que la solicitud, acceso, ejecución, terminación y liquidación de la cobertura no generan costos ni recargos para los deudores o locatarios, salvo los que son propios de la administración de la cartera hipotecaria, de conformidad con lo previsto por el art. 12 de la Resolución 0201 de 2016 del MHCP.
2.8. Informar sobre el derecho a conocer el resultado de la proyección anual de los valores que deben ser pagados mensualmente por los deudores y locatarios, junto con los saldos de los créditos y/o contratos de leasing habitacional objeto de la cobertura, incluyendo el efecto de la misma, en los términos del art. 14 de la Resolución 0201 de 2016.
2.9. La información adicional que se considere pertinente sobre la forma como funciona la cobertura respecto del crédito o contrato de leasing habitacional, la cual debe ser presentada en forma clara y comprensible.
En caso de que los potenciales deudores y/o eventuales locatarios se encuentren interesados en acceder a la cobertura, los establecimientos de crédito deben indicarles la necesidad de manifestar por escrito su intención, en la cual deben señalar de manera expresa el conocimiento de las obligaciones y condiciones que implica la cobertura, atendiendo lo establecido en el art. 10 de la Resolución 0201 de 2016. Dicho documento debe anexarse al archivo o documentación de cada operación de crédito o contrato de leasing habitacional que sea susceptible de dicha cobertura.
De conformidad con el numeral 6.1 del art. 2.10.1.7.3.2 del Decreto 1068 de 2015, los establecimientos de crédito no pueden desembolsar créditos o dar inicio al contrato de leasing habitacional con derecho a este beneficio en exceso del número de coberturas establecido por el MHCP, so pena de asumir el pago de la misma con sus propios recursos.
Los establecimientos de crédito deben informar a los deudores o locatarios si fueron beneficiarios o no de la cobertura de la tasa de interés, mediante los canales verificables que garanticen su debido acceso. Dicha información debe ser clara y suficiente, y debe ser comunicada antes del pago de la primera cuota o canon, según corresponda.
3. Extractos
Los establecimientos de crédito deben discriminar en los extractos remitidos a los deudores y locatarios, el valor de la cuota o canon con la tasa pactada, el valor fijo de la cobertura y el valor real a pagar. Adicionalmente, en dichos extractos se debe mencionar, con caracteres legibles, la pérdida de la cobertura en caso de mora en el pago de 3 cuotas o cánones consecutivos.
Igualmente, se debe mencionar con caracteres legibles, que la cobertura equivaldrá a un monto fijo máximo mensual en pesos resultante, bien sea de dividir hasta cuarenta y dos (42) SMMLV, o hasta cincuenta y dos (52) SMMLV tratándose de la adquisición de vivienda sostenible, al momento del desembolso del crédito o del inicio del contrato, entre ochenta y cuatro (84) mensualidades, y que la cobertura asignada no tendrá actualización con el incremento de cada año del SMMLV.
4. Proyección anual de los créditos de vivienda objeto de la cobertura
Según lo establecido en el art. 20 de la Ley 546 de 1999, el art. 2.28.1.3.5 del Decreto 2555 de 2010, en consonancia con el art. 14 de la Resolución 0201 de 2016 del MHCP, los establecimientos de crédito deben incluir dentro de la proyección anual de los créditos individuales de vivienda o leasing habitacional de que trata el subnumeral 3.4.4.2. del Capítulo I, Título III de la Parte I de esta Circular, la discriminación de los valores de la cobertura para la financiación de vivienda.
5. Sistemas de amortización
En adición a los sistemas de amortización establecidos en el numeral 1.6 del Capítulo VI, Título I de la Parte II de esta Circular y siempre que sus características técnicas se ajusten a lo dispuesto en el Decreto 1068 de 2015 y la Resolución 0201 de 2016 del MHCP, los establecimientos de crédito pueden utilizar los sistemas de amortización previstos en el Anexo 1 del presente Capítulo, los cuales se señalan a continuación:
5.1. Sistema de amortización en pesos
Consiste en una cuota en pesos mientras se encuentre vigente la cobertura, de tal forma que, al combinarse con ésta, la cuota que deba pagar el cliente (cuota cliente) sea fija en pesos.
Este sistema tiene la siguiente formulación mientras esté vigente la cobertura:
5.1.1. Cuota Total del créditot = Cuota_Clientet + Coberturat
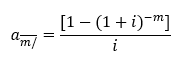
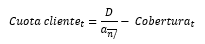
Cuota_Clientet se calcula como una anualidad uniforme ordinaria menos la cobertura al momento t, conforme se establece en la siguiente expresión:
![]()
Donde:
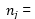
| Cuota_Clientet = | Valor de la cuota cliente mensual uniforme en pesos. |
| D = | Monto del préstamo en pesos. |
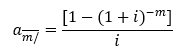
| Corresponde al valor presente de n pagos uniformes unitarios periódicos a la tasa efectiva mensual i, calculado de acuerdo con la siguiente expresión: |
![]()
| n = | Plazo en meses del crédito. |
| i = | Tasa efectiva mensual equivalente a la tasa efectiva anual pactada en el crédito |
| Tasa efectiva anual pactada. | |
| Monto en pesos de la cobertura correspondiente al período de liquidación con fecha de liquidación |

Donde:
| Monto total de la cobertura aplicable al crédito o contrato de leasing habitacional. Éste puede tomar alguno de los siguientes valores: | |
| Cuarenta y dos (42) salarios mínimos mensuales legales vigentes (SMMLV) al momento del desembolso del crédito o de inicio del contrato. | |
| Cincuenta y dos (52) salarios mínimos mensuales legales vigentes (SMMLV) al momento del desembolso del crédito o de inicio del contrato, cuando las viviendas financiadas cumplan con los criterios de sostenibilidad adicionales de acuerdo con el parágrafo 3 del artículo 2.10.1.7.1.2. y el parágrafo 2 del artículo 2.10.1.7.1.3. del Decreto 1068 de 2015. |
5.1.2. Interést= Monto en pesos correspondiente al interés liquidado sobre el saldo de capital vigente no vencido.
| tasa efectiva anual pactada. | |
| Saldo del capital vigente no vencido al final de la fecha anterior de liquidación de la cobertura. |
5.1.3. Amortizaciónt= Monto en pesos correspondiente al abono a capital de la obligación.
Amortizaciónt = Cuota_Clientet + Coberturat – Interést.
Amortizaciónt = Cuota Total del créditot – Interést.
A partir de la terminación de la cobertura el sistema se calcularía así:
5.1.4. Cuota Total del crédito*t = Cuota_Cliente*t.
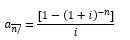
Cuota_Cliente*t se calcula como una anualidad uniforme ordinaria:
![]()
Donde:
Cuota_Cliente*t = Valor de la cuota cliente mensual uniforme en pesos.
= Corresponde al valor presente de m pagos uniformes unitarios periódicos a la tasa efectiva mensual i, calculado de acuerdo con la siguiente expresión:

| D* = | Saldo de capital en pesos al momento de la terminación de la cobertura. |
| m = | Plazo restante del crédito en meses = plazo original – meses de cobertura. |
| Tasa efectiva mensual equivalente a la tasa efectiva anual pactada en el crédito, calculada de la siguiente forma: | |
| tasa efectiva anual pactada. | |
5.1.5. Interést = Monto en pesos correspondiente al interés liquidado sobre el saldo de capital vigente no vencido.
![]()
Donde:
| tasa efectiva anual pactada. | |
| Saldo de capital vigente no vencido al final de la fecha anterior de liquidación. |
5.1.6. Amortizaciónt= Monto en pesos correspondiente al abono a capital de la obligación.
Amortizaciónt = Cuota Total del crédito*t – Interést.
5.2. Sistema de amortización en Unidades de Valor Real (UVR)
Consiste en una cuota en UVR mientras se encuentre vigente la cobertura, de tal forma que, al combinarse con ésta, la cuota en UVR que deba pagar el cliente (cuota cliente UVR) se debe determinar como se describe en el subnumeral 5.2.1.
El sistema tiene la siguiente formulación mientras esté vigente la cobertura:
5.2.1. Cuota Total del crédito UVRt = Cuota_Cliente_UVRt + CoberturatUVR.
Cuota_Cliente_UVRt se calcula como una anualidad uniforme ordinaria en UVR menos la cobertura en UVR al momento t, conforme se establece en la siguiente expresión:

Donde:
| Cuota_Cliente_UVRt= | Valor de la cuota cliente UVR mensual uniforme en unidades UVR. |
| Monto del préstamo en UVR. | |
| Corresponde al valor presente de n pagos uniformes unitarios periódicos a la tasa efectiva mensual i, calculados de acuerdo con la siguiente expresión: | |
| Plazo en meses del crédito | |
| Tasa efectiva mensual equivalente a la tasa efectiva anual pactada en el crédito i, calculada de la siguiente forma: | |
| Tasa efectiva anual pactada sobre UVR. | |
Monto en UVR de la cobertura correspondiente al período de liquidación con fecha de liquidación ![]() |
Donde:
= Monto total de la cobertura aplicable al crédito o contrato de leasing habitacional. Éste puede tomar alguno de los siguientes valores:
: Cuarenta y dos (42) salarios mínimos mensuales legales vigentes (SMMLV) al momento del desembolso del crédito o de inicio del contrato.
: Cincuenta y dos (52) salarios mínimos mensuales legales vigentes (SMMLV) al momento del desembolso del crédito o de inicio del contrato, cuando las viviendas financiadas cumplan con los criterios de sostenibilidad adicionales de acuerdo con el parágrafo 3 del artículo 2.10.1.7.1.2. y el parágrafo 2 del artículo 2.10.1.7.1.3. del Decreto 1068 de 2015.
Donde:
Unidad de Valor Real vigente al momento de liquidación de la cobertura.
5.2.2.
: Es el monto en UVR correspondiente al interés liquidado sobre el saldo de capital vigente no vencido.
![]()
Donde:
| tasa efectiva anual pactada sobre UVR. | |
| Saldo en UVR del capital vigente no vencido al final de la fecha anterior de liquidación de la cobertura. |
5.2.3.
correspondiente al abono a capital de la obligación.
![]()
![]()
A partir de la terminación de la cobertura el sistema se calcularía así:
5.2.4. Cuota Total del crédito UVR*t = Cuota_Cliente UVR*t
Cuota_Cliente UVR*t se calcula como una anualidad uniforme ordinaria:

Donde:
| Valor de la cuota cliente mensual uniforme en UVR. | |
Corresponde al valor presente de m pagos uniformes unitarios periódicos a la tasa efectiva mensual i, calculados de acuerdo con la siguiente expresión: | |
| Saldo de capital en UVR al momento de la terminación de la cobertura. | |
| Plazo restante del crédito en meses = plazo original – número de meses de cobertura. | |
| Tasa efectiva mensual equivalente a la tasa efectiva anual pactada en el crédito | |
| tasa efectiva anual pactada sobre UVR. |
5.2.5.
= Monto en UVR correspondiente al interés liquidado sobre el saldo de capital vigente no vencido.
![]()
Donde:
| tasa efectiva anual pactada sobre UVR. | |
| Saldo en UVR del capital vigente no vencido al final de la fecha anterior de liquidación. |
5.2.6. AmortizacióntUVR= Monto en UVR correspondiente al abono a capital de la obligación.
AmortizacióntUVR = Cuota Total del créditoUVR*t – InteréstUVR
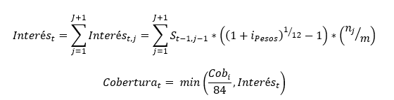
6. Aplicación de prepagos o abonos extraordinarios
En el evento de efectuarse prepagos o abonos extraordinarios, el cálculo de los intereses y la cobertura deben tener en cuenta el saldo de capital vigente no vencido para cada etapa (antes y después del abono) y la tasa efectiva ajustada al periodo de tiempo para el que ese saldo de capital es aplicable.
En este sentido, para los créditos denominados en UVR, las fórmulas a aplicar son las siguientes:

Donde,

| Monto en pesos a reconocer y entregar por los establecimientos de crédito. | |
| Valor en pesos correspondiente al interés liquidado a la UVR vigente. | |
| Monto en pesos a reconocer y entregar por el FRECH NO VIS | |
| Monto en pesos correspondiente al interés liquidado sobre el saldo de capital vigente no vencido aplicable luego de hacer efectivo el abono extraordinario | |
| Saldo en UVR del capital vigente no vencido aplicable luego de hacer efectivo el abono extraordinario | |
| Tasa efectiva anual pactada. | |
| Tasa efectiva mensual equivalente a la tasa efectiva anual | |
| Es el índice del pago extraordinario recibido durante el mes que está siendo liquidado. | |
| Es el número de días calendario transcurridos entre el pago extraordinario | |
| Es el número de días calendario del mes para el que se está realizando la liquidación. | |
| Valor de la UVR en la fecha del abono extraordinario | |
| monto en pesos de la cobertura correspondiente al período de liquidación con fecha de liquidación | |
| monto total de la cobertura aplicable al crédito o contrato de leasing habitacional. Este monto puede tomar alguno de los siguientes valores: | |
| Cuarenta y dos (42) salarios mínimos mensuales legales vigentes (SMMLV) al momento del desembolso del crédito o de inicio del contrato. | |
| Cincuenta y dos (52) salarios mínimos mensuales legales vigentes (SMMLV) al momento del desembolso del crédito o de inicio del contrato, cuando las viviendas financiadas cumplan con los criterios de sostenibilidad adicionales de acuerdo con el parágrafo 3 del artículo 2.10.1.7.1.2 y el parágrafo 2 del artículo 2.10.1.7.1.3. del Decreto 1068 DE 2015 |
De forma análoga, para los créditos denominados en pesos, las fórmulas a aplicar son las siguientes:

Donde:

| Monto en pesos a reconocer y entregar por los establecimientos de crédito | |
| Valor en pesos correspondiente al interés liquidado. | |
| Monto en pesos a reconocer y entregar por el FRECH NO VIS. | |
| Monto en pesos correspondiente al interés liquidado sobre el saldo de capital vigente no vencido aplicable luego de hacer efectivo el abono extraordinario | |
| Saldo en pesos del capital vigente no vencido aplicable luego de hacer efectivo el abono extraordinario | |
| Tasa efectiva anual pactada. | |
| Tasa efectiva mensual equivalente. | |
| Es el índice del pago extraordinario recibido durante el mes que está siendo liquidado. | |
| Es el número de días calendario transcurridos entre el pago extraordinario | |
| Es el número de días calendario del mes para el que se está realizando la liquidación. | |
| monto en pesos de la cobertura correspondiente al período de liquidación con fecha de liquidación | |
| monto total de la cobertura aplicable al crédito o contrato de leasing habitacional. Este monto puede tomar alguno de los siguientes valores: | |
| Cuarenta y dos (42) salarios mínimos mensuales legales vigentes (SMMLV) al momento del desembolso del crédito o de inicio del contrato. | |
| Cincuenta y dos (52) salarios mínimos mensuales legales vigentes (SMMLV) al momento del desembolso del crédito o de inicio del contrato, cuando las viviendas financiadas cumplan con los criterios de sostenibilidad adicionales de acuerdo con el parágrafo 3 del artículo 2.10.1.7.1.2. y el parágrafo 2 del artículo 2.10.1.7.1.3. del Decreto 1068 de 2015. |
7. Práctica abusiva
De conformidad con el art. 12 de la Ley 1328 de 2009, los establecimientos de crédito deben abstenerse de condicionar el acceso, vigencia, terminación y demás condiciones de la cobertura a la tasa de interés, a la adquisición de uno o más productos o servicios que presta directamente o por medio de otras instituciones vigiladas a través de su red de oficinas. En tal virtud, las únicas condiciones de acceso a la cobertura son las establecidas en el Decreto 1068 de 2015 y la Resolución 0201 de 2016 del MHCP.
8. Condiciones para realizar el intercambio de flujos de la cobertura
En virtud de la facultad consagrada en el numeral 3.1 del art. 2 de la Resolución 0201 de 2016 del MHCP, cuando el período de liquidación de la cobertura corresponda a meses completos y se presenten prepagos o abonos extraordinarios, los intereses y la cobertura se calculan aplicando las fórmulas señaladas en el numeral 6 del presente Anexo.
En los demás casos señalados en el art. 2 de la Resolución 0201 de 2016 del MHCP, se debe dar aplicación a las instrucciones allí previstas.
9. Vigencia
Las instrucciones impartidas en este Anexo tienen aplicación mientras se encuentre vigente la cobertura a la que se refiere el Decreto 1068 de 2015 y la Resolución 0201 de 2016 del MHCP.
