CIRCULAR EXTERNA 11 DE 2024
(agosto 29)
Boletín Ministerio de Hacienda, Capítulo Superintendencia Financiera de Colombia, No. 726 de 30 de agosto de 2024
SUPERINTENDENCIA FINANCIERA
| Señores | Representantes Legales, Revisores Fiscales y Oficiales de Cumplimiento de las Administradoras de Fondos de Pensiones y de Cesantias |
| Referencia: | Instrucciones relativas al cálculo de la rentabilidad mínima obligatoria de los fondos de pensiones obligatorias y el portafolio de largo plazo de los fondos de cesantías |
Respetados señores:
Con el fin de homogeneizar la metodología utilizada para el cálculo de la rentabilidad mínima obligatoria de los fondos de pensiones obligatorias y del portafolio de largo plazo de los fondos de cesantías, alineándola con la definida para el fondo especial de retiro programado, y en consecuencia, reconocer la cobertura cambiaría dentro de la gestión de los recursos administrados, esta Superintendencia considera necesario modificar las instrucciones relativas al componente de referencia establecido para la determinación de la rentabilidad mínima.
Considerando lo anterior, la Superintendencia Financiera de Colombia en ejercicio de sus facultades legales y en particular las establecidas en los literales (m) y (o) del artículo 48 del EOSF, en el parágrafo 3 del artículo 2.6.5.1.2, en el artículo 2.6.9.1.2, y en el numeral 4o del artículo 11.2.1.4.2 del Decreto 2555 de 2010, imparte las siguientes instrucciones:
PRIMERA: Modificar el subnumeral 2.5.2 del Capítulo II del Título III de la Parte 2 de la Circular Básica Jurídica, relacionado con el componente de referencia para el cálculo de la rentabilidad mínima obligatoria de los fondos de pensiones obligatorias de la etapa de acumulación.
SEGUNDA: Modificar el subnumeral 1.10.2.1 del Capítulo III del Título III de la Parte 2 de la Circular Básica Jurídica, relacionado con la rentabilidad mínima obligatoria para el portafolio de largo plazo de los fondos de cesantías.
TERCERA: VIGENCIA. La presente Circular rige a partir de su publicación. El primer cálculo de la rentabilidad mínima para los fondos de pensiones obligatorias y el portafolio de largo plazo de los fondos de cesantías aplicando las disposiciones de la presente circular, corresponderá al del corte del 31 de enero de 2025.
CÉSAR FERRARI Ph.D
Superintendente Financiero
50000
PARTE II - TÍTULO III - CAPÍTULO II
El componente de referencia para cada uno de los tipos de fondos de pensiones obligatorias de la etapa de acumulación debe conformarse por la suma ponderada de las rentabilidades de los índices del mercado mencionados. Para el efecto, las citadas rentabilidades deben ponderar así:
| Rentabilidad | Descripción |
| índice para renta variable local: índice Agregado de Renta Variable Local (IARVL) | %IARVL: Corresponde al porcentaje de participación en renta variable local, cuya ponderación se determina con base en la participación de las inversiones en acciones de emisores nacionales y fondos de inversión colectiva representativos de índices accionarios locales. %IARVL: 'participación renta variable local' |
| índice para renta variable internacional: Morgan Stanley Capital International All Country World Index (MSCI ACWI) | %ACWI COP: Corresponde al porcentaje de participación en renta variable internacional sin cobertura cambiaría y con rentabilidad en COP. %ACWI COP = [[MIN (A);(B);(C) ] / (A)]*(D) |
| %ACWI USD: Corresponde al porcentaje de participación en renta variable internacional con cobertura cambiaría y con rentabilidad en USD. %ACWI USD = [1 -[[MIN (A);(B);(C) ] / (A)]]*(D) | |
| índice para renta fija internacional: Barclays Capital Global Aggregate Bond Index | %Barclays Capital Global Aggregate Bond Index COP: Corresponde a la participación en renta fija internacional sin cobertura cambiaría y con rentabilidad en COP. %Barclays Capital Global Aggregate Bond Index COP = [[MIN (A);(B);(C) ] / (A)]*(E) |
| %Barclays Capital Global Aggregate Bond Index USD: Corresponde a la participación en renta fija internacional con cobertura cambiaría y con rentabilidad en USD. %Barclays Capital Global Aggregate Bond Index USD = [1-[MIN (A);(B);(C) ] / (A)]*(E ) | |
| índice para renta fija local: Ponderación indicada en el subnumeral 2.5.1.4. del presente Capítulo, según el tipo de fondo | %índice para renta fija local: Corresponde a la participación en renta fija local. %índice para renta fija local = 100% - %IARVL - %ACWI COP - %ACWI USD - %Barclays Capital Global Aggregate Bond Index COP - %Barclays Capital Global Aggregate Bond Index USD |
Siendo:
(A): Porcentaje de la inversión en títulos en moneda extranjera en el portafolio del tipo de fondo (promedio diario de acuerdo con el periodo de rentabilidad mínima de cada tipo de fondo)
(B): Porcentaje del fondo sin cobertura cambiaría en títulos en dólar estadounidense (USD) (promedio mensual sobre el período de rentabilidad mínima de cada tipo de fondo)
(C): Límite de inversión en moneda extranjera sin cobertura para el tipo de fondo, según lo definido en el régimen de inversiones
(D): Porcentaje de la inversión en títulos de renta variable del exterior en el portafolio del tipo de fondo (promedio diario de acuerdo con el periodo de rentabilidad mínima de cada tipo de fondo)
(E): Porcentaje de la inversión en títulos de deuda del exterior en el portafolio del tipo de fondo (promedio diario de acuerdo con el periodo de rentabilidad mínima de cada tipo de fondo)
2.6. Rentabilidad mínima obligatoria para el fondo especial de retiro programado.
2.6.1. índices del mercado
La rentabilidad mínima obligatoria para el fondo especial de retiro programado será determinada de acuerdo con la suma ponderada de las rentabilidades que presenten los siguientes índices.
2.6.1.1. índice representativo del mercado de renta variable local: índice Agregado de Renta Variable Local (IARVL) establecido en el subnumeral 1.10.2.3. del Capítulo III Título III Parte II de la presente Circular.
2.6.1.2. Indice representativo del mercado accionario del exterior: Morgan Stanley Capital International All Country World Index (MSCI ACWI).
2.6.1.3. índice representativo del mercado de TES en UVR: índice de Deuda Pública COLTES UVR.
2.6.2. Porcentajes de ponderación para las rentabilidades de los índices de mercado.
La SFC calculará los porcentajes de ponderación de las rentabilidades de los índices de mercado como el promedio simple, calculado a la fecha de cierre de los doce (12) meses anteriores, de las participaciones de las inversiones en los tipos de activos descritos en el presente subnumeral.
Los porcentajes de ponderación de las rentabilidades de los índices de mercado serán informados por la SFC dentro de los 10 días hábiles del mes de julio de cada año, y se tendrán en cuenta para el cálculo de la rentabilidad mínima obligatoria de los siguientes 12 meses, desde el mes de julio del año de la publicación hasta el mes de junio del año siguiente.
2.6.2.1. El porcentaje de ponderación del índice IARVL será calculado con base en la participación de las inversiones en acciones de emisores nacionales y fondos de inversión colectiva representativos de índices accionarios locales.
%IARVL = "participación renta variable local"
2.6.2.2. Las rentabilidades del índice MSCI ACWI serán calculadas tanto en dólares estadounidenses como en pesos colombianos, las cuales serán ponderadas de acuerdo con los criterios establecidos a continuación.
2.6.2.2.1 El porcentaje de ponderación de la rentabilidad calculada en dólares estadounidenses del índice MSCI ACWI será el mínimo entre el límite establecido en el régimen de inversión para las inversiones en moneda extranjera sin cobertura cambiaría y la participación de las inversiones en moneda extranjera sin cobertura cambiaría en acciones de emisores extranjeros, fondos de inversión internacionales representativos de índices accionarios y activos alternativos del exterior.
%ACWI usd = min ('participación renta variable y activos alternativos del exterior sin cobertura cambiaría', 'límite de inversiones en moneda extranjera sin cobertura cambiaría')
2.6.2.2.2 El porcentaje de ponderación de la rentabilidad calculada en pesos colombianos del índice MSCI ACWI será el resultado de tomar el mínimo entre el límite establecido en el régimen de inversión para las inversiones en títulos y/o valores participativos y la participación de las inversiones en acciones de emisores extranjeros, fondos de inversión internacionales representativos de índices accionarios y activos alternativos del exterior, y restar a este valor el porcentaje de ponderación obtenido en el subnumeral 2.6.2.2.1.
%ACWI cop = min ('participación renta variable y activos alternativos del exterior', 'límite de inversiones en títulos y/o valores participativos') - %ACWI usd
2.6.2.3. El porcentaje de ponderación de la rentabilidad del índice COLTES UVR para las demás inversiones admisibles, será el resultado de restar al 100% los porcentajes obtenidos en los subnumerales de ponderación obtenidos en los subnumerales 2.6.2.1, 2.6.2.2.1, y 2.6.2.2.2.
%COLTES UVR = 100% - %IARVL - %ACWI USD.%ACWI COP
3.1. Para efectos del cálculo del límite de la negociación en divisas a que se refiere el numeral 5 del art. 2.6.12.1.11 del Decreto 2555 de 2010, se debe tener como valor del fondo, el correspondiente al valor promedio de cada tipo de fondo, establecido de conformidad con lo dispuesto en el art. 2.6.12.1.16 del Decreto 2555 de 2010, de los 5 días hábiles anteriores a la fecha de cálculo del límite.
3.2. Se entiende como renovación o ampliación del plazo sobre instrumentos financieros derivados, con la misma u otra contraparte, de conformidad con lo previsto en el literal c del numeral 5, art. 2.6.12.1.11.del Decreto 2555 de 2010 ya mencionado, lo siguiente:
3.2.1. El valor nominal en dólares de los Estados Unidos de Norteamérica de las negociaciones de venta, hasta el monto nominal en dólares de los Estados Unidos de Norteamérica de los vencimientos de venta del mismo día, y
3.2.2. El valor nominal en dólares de los Estados Unidos de Norteamérica de las negociaciones de compra, hasta el monto nominal en dólares de los Estados Unidos de Norteamérica de los vencimientos de compra del mismo día.
En consecuencia, para efectos de establecer el límite de operaciones en divisas, tratándose de las negociaciones y vencimientos de los instrumentos financieros derivados de que trata el primer literal b) del numeral 5 del art. 2.6.12.1.11 del Decreto 2555 de 2010, se debe tener en cuenta el valor que resulte de aplicar para cada día, la siguiente fórmula:
{Valor absoluto (Valor nominal en USD de las negociaciones de venta - Valor nominal en USD de los vencimientos de venta) + Valor absoluto (Valor nominal en USD de las negociaciones de compra - Valor nominal en USD de los vencimientos de compra)}.
Los valores expresados en dólares de los Estados Unidos de Norteamérica se deben convertir a pesos colombianos con base en la tasa representativa del mercado -TRM- calculada y certificada por la SFC en cada uno de los días a tener en cuenta en el cálculo.
4. DISPOSICIONES RELACIONADAS CON NUEVAS MODALIDADES DE PENSIÓN
De conformidad con lo establecido en el literal d) del art. 79 de la Ley 100 de 1993, esta Superintendencia autoriza, de manera general, las siguientes modalidades de pensión, las cuales deben ser ofrecidas a sus afiliados por las entidades administradoras de) RAIS, atendiendo las siguientes instrucciones:
Para efectos de lo establecido en este subnumeral se deben tener en cuenta las siguientes definiciones:
4.1.1. Afiliado: Es la persona que hace parte del SGP en los términos del art. 15 de la Ley 100 de 1993, mediante su afiliación a una sociedad que administre fondos de pensiones.
4.1.2. Pensionado: Es la persona que ha cumplido los requisitos para acceder a una pensión de vejez o invalidez en el RAIS.
4.1.3. Mesada pensional: Corresponde al pago mensual que efectúa la administradora o aseguradora, según el caso, con ocasión del reconocimiento de una pensión por causa de vejez, invalidez o sobrevivencia. Dicho pago se efectúa de manera vencida.
4.1.4. Mesada adicional: Pago adicional a las 12 mesadas anuales a que tienen derecho los pensionados del SGP, de acuerdo con lo establecido en el Acto Legislativo 1 de 2005.
4.1.5. Auxilio funerario: Es el pago que debe efectuar la aseguradora o administradora que tiene a su cargo el pago de la pensión de vejez o invalidez, por causa del fallecimiento del pensionado, a la persona que demuestre haber sufragado los gastos de entierro del pensionado, equivalente al valor correspondiente a la última mesada pensional recibida, el cual no debe ser inferior a 5 salarios mínimos legales mensuales vigentes, ni superior a 10 veces dicho salario.
4.1.6. Renta vitalicia diferida: Corresponde a los pagos de mesadas pensiónales a partir del mes siguiente a aquel en que termina el periodo de diferimiento y hasta la pérdida del derecho del pensionado y del último de los beneficiarios de ley, momento en el cual cesa la obligación. Si dicha pérdida se presenta durante el periodo de diferimiento no habría lugar a la devolución del capital correspondiente a la renta vitalicia diferida.
A la renta vitalicia diferida le son aplicables, en lo pertinente, las previsiones contenidas en el subnumeral 3.3.2.2.2 del Capítulo II, Título IV de la Parte II de esta Circular.
4.1.7. Tomador: Persona que celebra el contrato de seguro con la compañía de seguros seleccionada y que corresponde al pensionado en el caso de pensiones de vejez o invalidez y, a los beneficiarios de ley en el caso de pensiones de sobrevivientes.
(...)
PARTE II - TÍTULO III - CAPÍTULO III
El valor por descontar corresponde al porcentaje de comisión de administración autorizada de acuerdo con el subnumeral 1.3 del presente Capitulo que se haya causado durante el periodo de cálculo correspondiente.
1.10.2.1. índice representativo del mercado accionario del exterior: Morgan Stanley Capital International MSCI All Country World Index (MSCI ACWI).
Para efectos de la ponderación definida en el ordinal ii. del literal b) del numeral 1 del artículo 2.6.9.1.2. del Decreto 2555 de 2010, la rentabilidad del índice MSCI ACWI debe discriminarse en su rendimiento en pesos colombianos (COP) y en dólares estadounidenses (USD), de acuerdo con lo previsto en el subnumeral 2.5.2. del Capítulo II del Título III de la Parte II de la presente Circular.
1.10.2.2. Metodología de agregación de índices de renta fija para el portafolio de largo plazo del fondo de cesantías.
La metodología de agregación de índices de renta fija busca establecer la forma de cálculo de un referente que se denominará índice agregado de renta fija local (IARFL).
1.10.2.2.1. Consideraciones generales del índice agregado de renta fija local (IARFL)
El IARFL es aplicable únicamente para efectos del cálculo de determinar la rentabilidad mínima el portafolio de largo plazo de los fondos de cesantías.
1.10.2.2.1.1. Nivel inicial
El nivel inicial del IARFL el 1 de abril de 2019 es de 100
1.10.2.2.1.2. Componentes
Hasta tanto no exista otro índice de renta fija, que de acuerdo con los criterios establecidos en el subnumeral 1.10.2.2.1.3., pueda considerarse en el IARFL, el mismo está compuesto por el índice de Deuda Pública COLTES publicado por la Bolsa de Valores de Colombia - BVC.
1.10.2.2.1.3. Criterios de elegibilidad de índices de renta fija local para hacer parte del cálculo del IARFL.
Con base en lo establecido en el parágrafo 3 del artículo 2.6.9.1.2 del Decreto 2555 de 2010, los criterios que debe cumplir un índice para hacer parte del IARFL son los siguientes:
1.10.2.2.1.3.1. Experiencia del proveedor: el proveedor del índice debe hacer parte del listado de bolsas y entidades reconocidas por la SFC para elaboración de índices, relacionado con el régimen de inversión de los recursos del portafolio de cesantías de que trata el subnumeral 7.2 del Capítulo II, Título II, Parte I de la presente Circular.
1.10.2.2.1.3.2. Representatividad: el índice debe reflejar razonablemente el comportamiento del mercado de renta fija local de acuerdo con la duración del portafolio de largo plazo de los fondos de cesantías.
1.10.2.2.1.3.3. Replicabilidad: para índices de deuda pública los mismos deben estar compuestos por títulos admisibles para el régimen de inversión. Para índices de deuda privada, los mismos deben ser replicables mediante un Exchange Traded Fund - ETF listado en el mercado doméstico y negociable en moneda local.
1.10.2.2.1.3.4. Condiciones mínimas de divulgación: la metodología de construcción del índice debe ser de público conocimiento y disponible para consulta en línea, así como sus políticas de rebalanceo y recomposición.
1.10.2.2.1.3.5. Administración: deben estar establecidas las políticas de gobierno corporativo en relación con los procedimientos para administrar los conflictos de interés de los agentes involucrados en la construcción y divulgación del índice hacía el mercado. Esta información debe ser pública y estar disponible para su consulta en línea.
1.10.2.2.1.3.6. Disponibilidad de información histórica: el índice debe contar por lo menos con 12 meses de información histórica real. Adicionalmente debe estar disponible información histórica simulada (backtesting) de 5 años antes del inicio oficial del índice y de la canasta que lo compone. Esta información debe ser pública y estar disponible para su consulta en línea.
En los casos en que se modifique el proveedor o la metodología del cálculo de un índice que haga parte del IARFL, la información histórica real debe corresponder a la calculada con la metodología inicial. Asimismo, la nueva metodología debe prever la continuidad en la serie histórica del índice, por lo cual no se requiere la publicación de la información histórica simulada (backtesting).
El incumplimiento de alguno de los anteriores criterios por parte de un índice es causal de su retiro en el cálculo del IARFL.
1.10.2.2.1.4. Divulgación de cambios en los componentes del IARFL
La Superintendencia debe informar acerca de la inclusión o exclusión de un índice, así como el momento a partir del cual tiene efecto en el cálculo del IARFL. La inclusión o exclusión de un índice debe proceder mínimo transcurridos 3 meses después de haber sido informado este hecho. No obstante, en el caso de una exclusión, excepcionalmente puede proceder un tiempo menor.
1.10.2.2.2. Metodología de cálculo del índice agregado de renta fija local (IARFL)
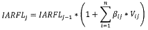
1.10.2.2.2.1. Determinación del IARFL
El IARFL se calcula mensualmente en función del valor de sus componentes al último día hábil de cada mes. El valor del IARFL se obtiene a partir de su nivel en el mes anterior afectado por la variación porcentual mensual de cada índice que lo conforma, ponderada por su porcentaje de participación, como se muestra a continuación:
![]()
Donde:
: Variación porcentual mensual del índice i en el mes
, calculado como: 
: Ponderación porcentual del índice i en el mes ![]()
: Número de índices a ponderar en el mes ![]()
Para todos los casos:
![]()
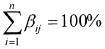
1.10.2.2.2.2. Cálculo de la ponderación de los índices que hacen parte del IARFL
La ponderación
de cada índice mensualmente hasta completar el tiempo del período de cálculo se determina así:
![]()

Donde:
: Variación porcentual a ponderar mensualmente el índice i hasta completar el período de cálculo. Una vez todos los índices que conforman el IARFL completen el tiempo del periodo de cálculo, k=0.
: Número de meses del período de cálculo de rentabilidad mínima, establecido en el artículo 2.6.9.1.4 del Decreto 2555 de 2010.
: Ponderación porcentual del índice i, en el mes inmediatamente anterior a un evento de inclusión, o en el último mes del período de exclusión del subnumeral 1.10.2.2.2.3. Este valor solamente se modifica cuando se presenten eventos de inclusión o exclusión.
Sin perjuicio de lo anterior, en caso de incluir un índice o índices de deuda privada, la suma de las ponderaciones de éstos no podrá ser superior al 30%.
1.10.2.2.2.3. Cálculo de la ponderación de los índices cuando se presenta un evento de exclusión del IARFL
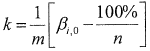
Para efectos de la exclusión de un índice del IARFL, la SFC de acuerdo con lo establecido en el subnumeral 1.10.2.2.1.4 debe informar a partir del momento en el cual el índice dejará de ponderar dentro del IARFL. El índice a ser excluido, mensualmente debe disminuir proporcionalmente su ponderación dentro del IARFL hasta llegar a 0%. El plazo máximo para la exclusión de un índice es de 6 meses; para este caso se tiene que:
![]()
Donde:
: reducción porcentual mensual en el ponderador del índice i a ser excluido, en el mes ![]()
Por lo tanto, la ponderación del índice i a ser excluido en el mes
está dada por:
![]()
Para el mes
, el porcentaje que mensualmente reduce su participación el índice a ser excluido, debe ser distribuido proporcionalmente
entre los demás índices que hagan parte del IARFL, teniendo en cuenta la ponderación relativa entre ellos, en el mes inmediatamente anterior al evento de exclusión, de tal forma que, durante los meses del período de exclusión, el ponderador para los índices que se mantienen en el IARFL está dado por:
![]()
Finalizado el periodo de exclusión, las ponderaciones de éstos índices deben calcularse de acuerdo con lo establecido en el subnumeral 1.10.2.2.2.2.