CIRCULAR EXTERNA 18 DE 2025
(diciembre 12)
Boletín Ministerio de Hacienda, Capítulo Superintendencia Financiera de Colombia, No. 793 de 12 de diciembre de 2025
SUPERINTENDENCIA FINANCIERA DE COLOMBIA
| Señores | Representantes legales y revisores fiscales de las compañías de seguros de vida. |
| Referencia: | Modificación de la Nota Técnica del Ramo BEPS incorporada en el Anexo 9 del Título IV de la Parte II de Circular Básica Jurídica. |
Apreciados señores:
En el marco de la Política de Protección Social Integral y en desarrollo de los objetivos definidos en el Sistema de Beneficios Económicos Periódicos (BEPS), el artículo 2.2.13.10.1. del Decreto 1833 de 2016 establece que corresponde a esta Superintendencia elaborar y mantener actualizada la Nota Técnica del ramo de seguros BEPS, así como los parámetros técnicos aplicables a la estimación de reservas.
Con fundamento en lo anterior, se ha considerado necesario introducir ajustes específicos a la Nota Técnica incorporada en el Anexo 9 del Título IV de la Parte II de la Circular Básica Jurídica, particularmente en lo relacionado con:
- El parámetro del índice de Precios al Consumidor (IPC) utilizado en la estimación mensual de la reserva matemática, con el fin de que este parámetro sea dinámico y capture la variabilidad anual de los últimos doce meses.
- La dinámica de pagos anticipados correspondiente a la mesada de enero, para que se efectúe en diciembre del año inmediatamente anterior, con el fin de generar liquidez a los beneficiarios, sin afectar su derecho al beneficio económico en las condiciones de la Ley.
De esta manera, las modificaciones introducidas buscan asegurar que el cálculo de las obligaciones derivadas del ramo BEPS sea consistente con la realidad operativa del programa, garantizando condiciones de protección a los beneficiarios y también un tratamiento actuarial prudente y suficiente, en concordancia con lo previsto en el artículo 186 del Estatuto Orgánico del Sistema Financiero (EOSF) y las normas reglamentarias vigentes.
En virtud de lo expuesto, en ejercicio de las facultades generales previstas en el literal a) del numeral 3 del artículo 326 del Estatuto Orgánico del Sistema Financiero y en el numeral 4 del artículo 11.2.1.4.2 del Decreto 2555 de 2010, así como de las facultades especiales señaladas en el artículo 2.2.13.10.1. del Decreto 1833 de 2016, esta Superintendencia imparte las siguientes instrucciones:
PRIMERA: Modificar el Anexo 9 «Nota Técnica del Ramo de Seguros del Servicio Social Complementario de Beneficios Económicos Periódicos – BEPS» del Título IV de la Parte II de la Circular Básica Jurídica, en los términos contenidos en el documento anexo a la presente Circular.
La presente Circular rige a partir de su publicación.
Cordialmente,
CÉSAR FERRARI Ph.D
Superintendente Financiero
50000
ANEXO 9: NOTA TÉCNICA DEL RAMO DE SEGUROS DEL SERVICIO SOCIAL COMPLEMENTARIO DE BENEFICIOS ECONÓMICOS PERIÓDICOS - BEPS
1. IDENTIFICACIÓN DE LA NOTA TÉCNICA
1.1 Nombre de la entidad
1.2 Código
Registrar el código de acuerdo con las instrucciones establecidas en el Capítulo Segundo del Título VI de la Circular Básica Jurídica.
1.3 Identificación del producto
El detalle de la presente Nota Técnica corresponde con la descripción de la Póliza del ramo de Seguros del Servicio Social Complementario de Beneficios Económicos Periódicos – BEPS.
1.4 Fecha de elaboración
2. DESCRIPCIÓN DEL PRODUCTO
2.1 Objeto principal del producto
Garantizar un ingreso periódico hasta la muerte, a aquellas personas que cumplan las condiciones descritas en el subnumeral 2.7.2 de la presente nota.
2.2 Descripción del amparo básico
La persona que cumpla con las condiciones descritas en el subnumeral 2.7.2 de la presente nota, tendrá derecho a una anualidad vitalicia pagadera bimestralmente, con cargo a los recursos ahorrados en el mecanismo BEPS (incluyendo los recursos por concepto de devolución de saldos o indemnización sustitutiva, que la persona destine para tal fin), los rendimientos generados y el incentivo periódico a que haya lugar en los términos del Decreto 0604 de 2013 o las normas que lo sustituyan, modifiquen o adicionen.
2.3 Exclusiones
La anualidad vitalicia no estará sujeta a ninguna exclusión.
2.4 Temporalidad
El beneficio será de carácter vitalicio e irrevocable hasta la muerte del asegurado.
2.5 Modalidad del seguro
Es un seguro de carácter individual y se comercializará bajo el ramo de seguros BEPS. Su contratación estará a cargo de la administradora del mecanismo BEPS en virtud del numeral 1 del artículo 12 del Decreto 0604 de 2013.
2.6 Moneda
El beneficio de que trata este seguro quedará establecido en pesos colombianos.
2.7 Medidas de Control
2.7.1 Grupo Asegurable
Serán asegurables las personas que cumplan con los requisitos establecidos en el artículo 11 del Decreto 0604 de 2013 y demás normas que lo modifiquen, sustituyan o adicionen.
2.7.2 Grupo Asegurado
El grupo asegurado estará conformado por aquellas personas que pertenezcan al grupo asegurable señalado en el subnumeral 2.7.1 que opten por contratar una anualidad vitalicia en los términos del numeral 1 del artículo 12 del Decreto 0604 de 2013 y demás normas que lo modifiquen, sustituyan o adicionen.
3. BASES TÉCNICAS
3.1 Hipótesis
3.1.1 Hipótesis Demográficas
Las tablas de mortalidad utilizadas tanto para el cálculo de la prima pura como para las reservas técnicas serán las establecidas por la Superintendencia Financiera de Colombia (SFC).
3.1.2 Hipótesis Financieras
Para el cálculo de la prima pura se tomará el último dato publicado y certificado por el DANE de la variación anual del Índice de Precios al Consumidor de los últimos 12 meses.
La tasa de interés técnico corresponderá a la tasa establecida en el parágrafo del artículo 24A del Decreto 0604 de 2013 o las normas que lo modifiquen, sustituyan o adicionen.
3.2 Prima Pura de Riesgo
3.2.1 Definición
La prima pura de riesgo (
) corresponde al capital con que cuenta el beneficiario BEPS que opte por contratar una anualidad vitalicia conformado por los recursos ahorrados, los rendimientos generados, el incentivo o subsidio periódico otorgado por el Estado, y si es del caso, los recursos que se tengan en el Sistema General de Pensiones a título de indemnización sustitutiva o devolución de saldos, según el régimen al cual se encuentre afiliado, en los términos del Decreto 0604 de 2013 o las normas que lo modifiquen, sustituyan o adicionen.
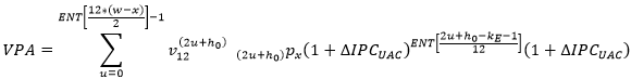
3.2.2. Fórmula de cálculo del beneficio
A partir del capital con el que cuenta el beneficiario BEPS que opte por contratar una anualidad vitalicia, se determinará un beneficio que se pagará en forma bimestral, el cual se calculará de acuerdo con la siguiente expresión:
![]()

![]()
donde:
= Beneficio bimestral el cual será actualizado el 1 de enero de cada año, de acuerdo con lo establecido en el Decreto 0604 de 2013, o las normas que lo modifiquen, sustituyan o adicionen.
= Prima pura de riesgo, definida en el subnumeral 3.2.1 de la presente nota técnica.
= Valor presente actuarial de una anualidad vitalicia con beneficio bimestral, cuyo valor debe ajustarse el 1 de enero de cada año, de acuerdo con lo establecido en el Decreto 0604 de 2013 o las normas que lo modifiquen, sustituyan o adicionen.
= subíndice que pertenece a los números naturales. ![]()
= Número de meses entre la fecha de cálculo del beneficio y la fecha del primer pago. ![]()
=Última edad de la tabla de mortalidad establecida por la SFC.
= Variación del Índice de Precios al Consumidor, calculado de acuerdo con lo establecido en el subnumeral 3.1.2.
donde
es la tasa de interés técnico a la que se refiere el subnumeral 3.1.2.
representa el factor de descuento mensual.
= Parte entera de
, definido como el mayor entero que es menor o igual a ![]()
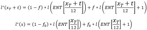
= Edad en meses completos del beneficiario a la fecha de cálculo del beneficio, la cual se determinará de la siguiente forma:
- Si día de cálculo es menor que día de nacimiento:
= (año de cálculo – año de nacimiento)
[(mes de cálculo – mes de nacimiento -1)]
- Si día de cálculo es mayor que día de nacimiento:
= (año de cálculo – año de nacimiento)
[(mes de cálculo – mes de nacimiento)]
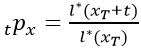
= Probabilidad de que una persona con x meses cumplidos, sobreviva
meses.
se determinará de la siguiente forma:
![]()
=Número de sobrevivientes a la edad
(expresada en meses), el cual se construye a partir de las tablas de mortalidad establecidas por la SFC.

= Número de sobrevivientes a la edad actuarial
, de acuerdo con las tablas de mortalidad establecidas por la SFC.
= Fracción que excede el año entero tal que:
![]()
= Índice correspondiente al número de meses entre el primer día del mes de cálculo del beneficio y el 1 de enero siguiente. ![]()
3.3 Prima Comercial
3.3.1 Definición
Corresponde a la prima pura de riesgo más los gastos de administración. Para este producto no habrá lugar al cobro de comisiones de intermediación dentro del cálculo.
3.3.2 Gastos de Administración
Los gastos de administración dependerán del nivel de carga operativa que requiera la operación de este seguro. Podrán establecerse como un porcentaje de la prima comercial para la anualidad vitalicia o como un valor monetario, de conformidad con los costos de administración autorizados por la Comisión Intersectorial de Pensiones y Beneficios Económicos, en virtud del artículo 20 del Decreto 0604 de 2013 modificado por el Decreto 2983 de 2013.
3.3.3 Fórmula de aplicación
Para la determinación de la prima comercial se debe tener en cuenta lo siguiente:
- Si los gastos de administración se establecen como un porcentaje, la prima comercial (PC) será igual a:
![]()
Siendo:
Prima Comercial
Prima Pura de Riesgo, definida en el subnumeral 3.2.1
% de Gastos de Administración
- Si los gastos de administración se establecen como un valor monetario, la prima comercial PC estará dada por:
![]()
Donde:
= Prima Comercial
= Prima Pura de Riesgo, definida en el subnumeral 3.2.1
= Gastos de Administración
3.4 Reservas Técnicas
Para este ramo deberá constituirse la reserva matemática y demás reservas que apliquen, en los términos estipulados en el Decreto 2555 de 2010 o las normas que lo modifiquen, sustituyan o adicionen.
Reserva Matemática
Para la determinación de la reserva matemática deberá emplearse la tasa de interés técnico a la que se refiere el subnumeral 3.1.2.
La reserva matemática calculada al final del mes T, estará dada por los siguientes casos:
- si
es par

- si
es impar

En caso de que el pago correspondiente al mes de enero se adelante al mes de diciembre se emplean las siguientes ecuaciones:
- Si el cálculo de la reserva matemática se realiza en un mes impar, es decir, enero, marzo, mayo, julio, septiembre y noviembre.
![]()
Donde:
= variable indicadora para el pago adelantado, es decir, diciembre
![]()
= variable indicadora para el pago del IPC del pago adelantado
![]()
- Si el cálculo de la reserva matemática se realiza en un mes par, es decir, febrero, abril, junio, agosto, octubre y diciembre.

Donde:
= variable indicadora que determina el mes de cálculo de la reserva
![]()
= variable indicadora para el pago adelantado, en este caso es diciembre
![]()
= variable indicadora para el pago del IPC del pago adelantado
![]()
Para el cálculo de la reserva matemática en cada uno de los 4 escenarios mencionados anteriormente se tiene la siguiente notación:
= Reserva Matemática calculada al final del mes T.
= Número de meses transcurridos entre el mes en que empezó a pagarse el beneficio y el mes de cálculo de la reserva.
= Subíndice que pertenece a los números naturales. ![]()
= Última edad de la tabla de mortalidad establecida por la SFC.
= Edad del asegurado en meses completos en el mes T, la cual se calculará de acuerdo con lo establecido en el subnumeral 3.2.2.
= Beneficio bimestral definido en el subnumeral 3.2.2.
= Variación del Índice de Precios al Consumidor, calculado como se señala en el subnumeral 3.1.2.
donde
es la tasa de interés técnico, a la que se refiere el subnumeral 3.1.2.
representa el factor de descuento mensual.
= mes de cálculo de la reserva ![]()
Para
y
números enteros,
= representa el residuo
que resulta al dividir
entre
. Es decir:
![]()
donde:
es el cociente entero de la división de
entre
.
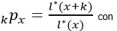
= Probabilidad de que una persona con
meses cumplidos, sobreviva
meses, calculada de la siguiente forma:
![]()
con
= Número de sobrevivientes a la edad
(expresada en meses), el cual se construye a partir de las tablas de mortalidad establecidas por la SFC.

= Número de sobrevivientes a la edad actuarial
, de acuerdo con las tablas de mortalidad establecidas por la SFC.
= Fracción que excede el año entero tal que:
![]()
= Índice correspondiente al número de meses entre el primer día del mes en que se calcula el beneficio y el 1 de Enero siguiente. ![]()
= Índice correspondiente al número de meses entre el último día del mes de cálculo de la reserva y el 31 de Diciembre siguiente. ![]()
= Gasto de administración variable, expresado como porcentaje del beneficio bimestral.
4. Nombre y firma del actuario