CIRCULAR EXTERNA 26 DE 2015
(septiembre 4)
Boletín Ministerio de Hacienda, Capítulo Superintendencia Financiera de Colombia, No. 350 de 1 de septiembre de 2015
SUPERINTENDENCIA FINANCIERA
Señores
REPRESENTANTES LEGALES Y REVISORES FISCALES DE LOS ESTABLECIMIENTOS DE CRÉDITO
Referencia: Instrucciones en materia de la cobertura de tasa de interés para la financiación de vivienda de interés social nueva urbana a los potenciales deudores de crédito pertenecientes a los hogares que resulten beneficiarios del Programa de Promoción de Acceso a la Vivienda de Interés Social – Mi Casa Ya, de conformidad con lo dispuesto en el Decreto 1581 de 2015 y la Resolución 1450 de 2015 del Fondo Nacional de Vivienda - FONVIVIENDA – FRECH - Mi Casa Ya.
Apreciados Señores:
El Gobierno Nacional expidió el Decreto 1581 de 2015, mediante el cual se adicionó el Decreto 1077 de 2015, y la Resolución 1450 de 2015 de FONVIVIENDA, con el fin de facilitar la financiación de vivienda de interés social nueva urbana a los potenciales deudores de crédito pertenecientes a los hogares que resulten beneficiarios del Programa de Promoción de Acceso a la Vivienda de Interés Social – Mi Casa Ya, a que hace referencia el Decreto 428 de 2015, para financiar la compra de una vivienda que cumpla las condiciones señaladas en el marco del mencionado programa, mediante el ofrecimiento de una cobertura de tasa de interés con cargo a los recursos del Fondo de Reserva para la Estabilización de la Cartera Hipotecaria – FRECH, administrado por el Banco de la República.
Tal cobertura consiste en una permuta financiera calculada sobre la tasa de interés pactada en créditos nuevos otorgados por los establecimientos de crédito a deudores que cumplan con las condiciones y requisitos señalados en la normatividad mencionada.
En desarrollo de lo anterior y en virtud de las facultades señaladas en el numeral 9o del artículo 11.2.1.4.2 del Decreto 2555 de 2010, el artículo 2.1.1.4.2.11 del Decreto 1077 de 2015 y el artículo 9 de la Resolución 1450 de 2015 de FONVIVIENDA, la Superintendencia Financiera de Colombia imparte las siguientes instrucciones:
PRIMERA: Modificar el numeral 4 del Capítulo VI del Título I de la Parte II de la Circular Básica Jurídica, relacionado con las reglas relativas a las coberturas condicionadas con cargo a los recursos del FRECH para financiación de vivienda.
SEGUNDA: Crear el Anexo 5 del Capítulo VI del Título I de la Parte II de la Circular Básica Jurídica, relacionado con las “Reglas relativas a la cobertura de tasa de interés para la financiación de vivienda de interés social nueva urbana a los potenciales deudores de crédito pertenecientes a los hogares que resulten beneficiarios del Programa de Promoción de Acceso a la Vivienda de Interés Social – Mi Casa Ya, de conformidad con lo dispuesto en el Decreto 1581 de 2015 y la Resolución 1450 de 2015 del Fondo Nacional de Vivienda - FONVIVIENDA – FRECH - Mi Casa Ya”.
La presente circular rige a partir de la fecha de su publicación y tendrá aplicación hasta la fecha de vigencia de la cobertura.
Cordialmente,
JORGE CASTAÑO GUTIÉRREZ
Superintendente Financiero de Colombia (E)
P2 Tit I - Cap VI Anexo 5
ANEXO 5: REGLAS RELATIVAS A LA COBERTURA DE TASA DE INTERÉS PARA LA FINANCIACIÓN DE VIVIENDA DE INTERÉS SOCIAL NUEVA URBANA A LOS POTENCIALES DEUDORES DE CRÉDITO PERTENECIENTES A LOS HOGARES QUE RESULTEN BENEFICIARIOS DEL PROGRAMA DE PROMOCIÓN DE ACCESO A LA VIVIENDA DE INTERÉS SOCIAL – MI CASA YA, DE CONFORMIDAD CON LO DISPUESTO EN EL DECRETO 1581 DE 2015 Y LA RESOLUCIÓN 1450 DE 2015 DEL FONDO NACIONAL DE VIVIENDA - FONVIVIENDA – FRECH - MI CASA YA.
Son aplicables las instrucciones contenidas en este numeral a los créditos hipotecarios de vivienda individual que se hubieren acogido a la cobertura condicionada de tasa de interés ofrecida por el Gobierno Nacional en el Decreto 1581 de 2015, mediante el cual se adicionó el Decreto 1077 de 2015, y la Resolución 1450 de 2015 de FONVIVIENDA.
La mencionada cobertura se ofrece con cargo a los recursos del fondo de reserva para la estabilización de la cartera hipotecaria –FRECH con el fin de facilitar la financiación de vivienda de interés social nueva urbana a los potenciales deudores de crédito pertenecientes a los hogares que resulten beneficiarios del Programa de Promoción de Acceso a la Vivienda de Interés Social – Mi Casa Ya, a que hace referencia el Decreto 428 de 2015, para financiar la compra de una vivienda que cumpla las condiciones señaladas en el marco del mencionado programa.
Tal cobertura consiste en una permuta financiera calculada sobre la tasa de interés pactada en créditos nuevos otorgados por los establecimientos de crédito a deudores que cumplan con las condiciones y requisitos señalados en la normatividad mencionada.
2. Información para promocionar la cobertura de tasa de interés que ofrece el Gobierno Nacional a través del FRECH – Mi Casa Ya
Los créditos de vivienda otorgados por las entidades vigiladas en virtud de esta alternativa gozan de la cobertura mientras se sostengan las condiciones establecidas en las disposiciones citadas, siendo obligación de los establecimientos de crédito suministrar información clara, oportuna y suficiente respecto de las condiciones de acceso, ejecución y terminación de la cobertura condicionada.
Dichos mecanismos deben contemplar los siguientes aspectos como mínimo:
2.1. Las condiciones que deben cumplir los créditos y sus beneficiarios para el acceso a la cobertura, conforme a lo señalado en los arts. 2.1.1.4.2.3 y 2.1.1.4.2.4 del Decreto 1077 de 2015.
2.2. El término durante el cual se recibe el beneficio, así como todas y cada una de las formas de terminación anticipada de la cobertura señaladas en el art. 2.1.1.4.2.5 del mencionado Decreto 1077, así como en el art. 5 de la Resolución 1450 de 2015 de FONVIVIENDA. Se debe explicar con especial detalle la causal de pérdida de la cobertura cuando el deudor incurra en mora en el pago de 3 o más cuotas consecutivas.
2.3. La cobertura en las condiciones previstas en el art. 2.1.1.4.2.2 del Decreto 1077 de 2015.
2.4. Precisar que la cobertura se otorga por una sola vez y únicamente a un crédito individual para compra de vivienda nueva que cumpla con los criterios establecidos en mencionadas disposiciones que reglamentan la cobertura y es aplicable a todos los deudores del crédito, a cualquier título.
2.5. Indicar que el desembolso de créditos con el beneficio de la cobertura se encuentra limitado al número de coberturas disponibles según el año de desembolso del crédito, en los términos del art. 8 de la Resolución 1450 de 2015 de FONVIVIENDA.
2.6. Advertir que en ningún evento los deudores o entidades vigiladas pueden utilizar los recursos de la cobertura para cubrir intereses moratorios, así como ningún otro costo derivado del otorgamiento o administración del crédito, según lo establece el numeral 5 del art. 2 de la mencionada Resolución.
2.7. Aclarar que la solicitud, acceso, ejecución, terminación y liquidación de la cobertura no generan costos ni recargos para los deudores, salvo los propios de la administración de la cartera hipotecaria, de conformidad con lo previsto por el art. 12 de la Resolución 1450 de 2015 de FONVIVIENDA.
2.8. Informar sobre el derecho a conocer el resultado de la proyección anual de los valores que los deudores deben pagar mensualmente, con los saldos de los créditos objeto de la cobertura, incluyendo el efecto de la misma en los términos del art. 14 de la citada Resolución.
2.9. La demás información que se considere pertinente sobre la forma como funciona la cobertura respecto del crédito, la cual debe ser presentada en forma clara y comprensible.
Los establecimientos de crédito deben contar con mecanismos para informar a los potenciales deudores de créditos de vivienda acerca de las condiciones de acceso, vigencia y terminación anticipada de la cobertura de tasa de interés de que trata el art. 2.1.1.4.2.2 del Decreto 1077 de 2015, de conformidad con la disponibilidad de que trata el art. 8 de la Resolución 1450 de 2015 de FONVIVIENDA.
En caso de que los potenciales deudores se encuentren interesados en acceder a la cobertura, los establecimientos de crédito deben indicarles la necesidad de manifestar por escrito su intención, en la cual deben señalar de manera expresa el conocimiento de las obligaciones y condiciones que implica la cobertura, atendiendo lo establecido en el art. 10 de la citada Resolución. Dicho documento debe anexarse al archivo o documentación de cada operación de crédito con cobertura.
De conformidad con el art. 2.1.1.4.2.11 del Decreto 1077 de 2015, los establecimientos de crédito no pueden desembolsar créditos con derecho a la cobertura, en exceso del número de coberturas establecido por FONVIVIENDA, so pena de asumir el pago de la misma con sus propios recursos.
Los establecimientos de crédito deben informar a los deudores si fueron beneficiarios o no de la cobertura.
3. Extractos
Los establecimientos de crédito deben discriminar en los extractos remitidos a los deudores, el valor de la cuota con la tasa pactada, el valor de la cobertura y el valor real a pagar. Adicionalmente, en dichos extractos se debe mencionar, con caracteres legibles, la pérdida de la cobertura en caso de mora en el pago de 3 cuotas consecutivas.
4. Proyección anual de los créditos de vivienda objeto de la cobertura
Según lo establecido en el art. 20 de la Ley 546 de 1999, el art. 2.28.1.3.5 del Decreto 2555 de 2010, en consonancia con el art. 14 de la Resolución 1450 de 2015 de FONVIVENDA, los establecimientos de crédito deben incluir dentro de la proyección anual de los créditos individuales de vivienda de que trata el subnumeral 3.4.4.2. del Capítulo I, Título III de la Parte I de esta Circular, la discriminación de los valores de la cobertura para la financiación de vivienda.
En adición a los sistemas de amortización establecidos en el numeral 1.6 del Capítulo VI, Título I de la Parte II de esta Circular y siempre que sus características técnicas se ajusten a lo dispuesto en el Decreto 1581 de 2015 y la Resolución 1450 de 2015 de FONVIVENDA, los establecimientos de crédito pueden utilizar los sistemas de amortización previstos en el Anexo 1 del presente Capítulo, señalados a continuación:
5.1. Sistema de amortización en pesos
Consiste en una cuota decreciente en pesos mientras se encuentre vigente la cobertura, de tal forma que al combinarse con ésta, la cuota que deba pagar el cliente (cuota cliente) sea fija en pesos.
Este sistema tiene la siguiente formulación mientras esté vigente la cobertura:
5.1.1. Cuota Total del créditot = Cuota_Clientet + Coberturat
Cuota_Clientet se calcula como una anualidad uniforme ordinaria:
![]()
Donde:
Cuota_Clientet = Valor de la cuota cliente mensual uniforme en pesos.
= Valor presente de n pagos uniformes unitarios periódicos a la tasa ineta por período.
D = Monto del préstamo en pesos.
n = Plazo en meses.
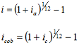
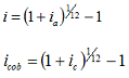
ineta = i – icob
i = Tasa efectiva mensual equivalente a la tasa efectiva anual pactada en el crédito ia sobre pesos.

icob = Tasa efectiva mensual equivalente a la tasa efectiva anual de cobertura ic (4%).
Coberturat es el monto en pesos correspondiente a la cobertura liquidada sobre el saldo de capital vigente no vencido que se calcula según lo establecido en la Resolución 1450 de 2015 de FONVIVIENDA:
![]()
Donde:
St-1 es el saldo de capital vigente no vencido al final de la fecha anterior de liquidación de la cobertura.
ic es la tasa efectiva anual de cobertura (4%).
5.1.2. Interést= Monto en pesos correspondiente al interés liquidado sobre el saldo de capital vigente no vencido.
![]()
Donde:
ia = tasa efectiva anual sobre pesos pactada en el crédito.
5.1.3. Amortizaciónt= Monto en pesos correspondiente al abono a capital de la obligación.
Amortizaciónt = Cuota_Clientet + Coberturat – Interést.
Amortizaciónt = Cuota Total del créditot – Interést.
A partir de la terminación de la cobertura el sistema se calcularía así:
5.1.4. Cuota Total del crédito*t = Cuota_Cliente*t.
Cuota_Cliente*t se calcula como una anualidad uniforme ordinaria:
![]()
Donde:
Cuota_Cliente*t = Valor de la cuota cliente mensual uniforme en pesos.
= Valor presente de m pagos uniformes unitarios periódicos a la tasa i por período.
D* = Saldo de capital en pesos al momento de la terminación de la cobertura.
m = Plazo restante del crédito en meses = plazo original – meses de cobertura.
i = Tasa efectiva mensual equivalente a la tasa efectiva anual pactada en el crédito ia sobre pesos.
![]()
5.1.5. Interést = Monto en pesos correspondiente al interés liquidado sobre el saldo de capital vigente no vencido.
![]()
Donde:
ia = tasa efectiva anual sobre pesos pactada en el crédito.
5.1.6. Amortizaciónt= Monto en pesos correspondiente al abono a capital de la obligación.
Amortizaciónt = Cuota Total del crédito*t – Interést.
5.2. Sistema de amortización en Unidades de Valor Real (UVR)
Consiste en una cuota decreciente en UVR mientras se encuentre vigente la cobertura, de tal forma que al combinarse con ésta, la cuota en UVR que deba pagar el cliente (cuota cliente UVR) sea fija.
El sistema tiene la siguiente formulación mientras esté vigente la cobertura:
5.2.1. Cuota Total del crédito UVRt = Cuota_Cliente_UVRt + CoberturatUVR.
Cuota_Cliente_UVRt se calcula como una anualidad uniforme ordinaria en UVR.
![]()
Donde:
Cuota_Cliente_UVRt= Valor de la cuota cliente UVR mensual uniforme en unidades UVR.
= Valor presente de n pagos uniformes unitarios periódicos a la tasa ineta por período.
= Monto del préstamo en UVR.
n = Plazo en meses.
ineta = i – icob
i = tasa efectiva mensual equivalente a la tasa efectiva anual pactada en el crédito ia.

icob = tasa efectiva mensual equivalente a la tasa efectiva anual de cobertura ic (4%).
CoberturatUVR es el monto en UVR correspondiente a la cobertura liquidada sobre el saldo de capital vigente no vencido que se calcula según lo establecido en la Resolución 1450 de 2015 de FONVIVIENDA:
![]()
Donde:
SUVRt-1 es el saldo en UVR de capital vigente no vencido al final de la fecha anterior de liquidación de la cobertura.
ic es la tasa efectiva anual de cobertura (4%).
5.2.2. Interést UVR= Monto en UVR correspondiente al interés liquidado sobre el saldo de capital vigente no vencido.
![]()
Donde:
ia = tasa efectiva anual pactada en el crédito.
5.2.3. Amortizaciónt UVR= Monto en UVR correspondiente al abono a capital de la obligación.
Amortizaciónt UVR = Cuota_Cliente_UVRt + CoberturatUVR – InteréstUVR.
AmortizacióntUVR = Cuota Total del crédito UVRt – InteréstUVR
A partir de la terminación de la cobertura el sistema se calcularía así:
5.2.4. Cuota Total del crédito UVR*t = Cuota_Cliente UVR*t
Cuota_Cliente UVR*t se calcula como una anualidad uniforme ordinaria:
![]()
Donde:
Cuota_Cliente UVR*t = Valor de la cuota cliente mensual uniforme en pesos.
=Valor presente de m pagos uniformes unitarios periódicos a la tasa i por período.
D* = Saldo de capital en UVR al momento de la terminación de la cobertura.
m = Plazo restante del crédito en meses = plazo original – número de meses de cobertura.
i = Tasa efectiva mensual equivalente a la tasa efectiva anual pactada en el crédito ia.
![]()
5.2.5. Interést UVR= Monto en UVR correspondiente al interés liquidado sobre el saldo de capital vigente no vencido.
![]()
Donde:
ia = tasa efectiva anual pactada en el crédito.
5.2.6. AmortizacióntUVR= Monto en UVR correspondiente al abono a capital de la obligación.
AmortizacióntUVR = Cuota Total del créditoUVR*t – InteréstUVR.
6. Aplicación de prepagos o abonos extraordinarios
En el evento de efectuarse prepagos o abonos extraordinarios, el cálculo de los intereses y la cobertura deben tener en cuenta el saldo de capital vigente no vencido para cada etapa (antes y después del abono) y la tasa efectiva ajustada al periodo de tiempo para el que ese saldo de capital es aplicable.
En este sentido, para los créditos denominados en UVR, las fórmulas a aplicar son las siguientes:

Donde:
: Monto en pesos a reconocer y entregar por los establecimientos de crédito.
: Monto en pesos a reconocer y entregar por el FRECH - Mi Casa Ya.
: Monto en pesos correspondiente al interés liquidado sobre el saldo de capital vigente no vencido aplicable luego de hacer efectivo el abono extraordinario j. En particular,
corresponde al interés liquidado entre la fecha anterior de liquidación de la cobertura y la fecha del primer abono extraordinario; e,
corresponde al interés liquidado entre la fecha del último abono extraordinario y la fecha de liquidación de la cobertura.
: Monto en pesos correspondiente a la cobertura liquidada sobre el saldo de capital vigente no vencido aplicable luego de hacer efectivo el abono extraordinario j. En particular,
corresponde a la cobertura liquidada entre la fecha anterior de liquidación de la misma y la fecha del primer abono extraordinario; y,
corresponde a la cobertura liquidada entre la fecha del último abono extraordinario y la fecha de liquidación de la cobertura.
: Saldo en UVR de capital vigente no vencido aplicable luego de hacer efectivo el abono extraordinario j-1. En particular,
corresponde al saldo en UVR de capital vigente no vencido al final de la fecha anterior de liquidación de la cobertura.
: Tasa efectiva anual pactada.
: Tasa efectiva mensual equivalente a la tasa efectiva anual
.
j = 1,…,J Es el índice del pago extraordinario recibido durante el mes que está siendo liquidado.
: Es el número de días calendario transcurridos entre el pago extraordinario j-1 y el pago extraordinario j. En este sentido,
es el número de días calendario transcurridos entre la fecha anterior de liquidación de la cobertura y la fecha del primer pago extraordinario; y
es el número de días calendario transcurridos entre la fecha del último abono extraordinario y la fecha de liquidación de la cobertura.
m : Es el número de días calendario del mes para el que se está realizando la liquidación.
: Porcentaje de cobertura aplicable al rango i del valor de la vivienda (4%).
: Valor de la UVR en la fecha del abono extraordinario j del periodo. En particular,
es el valor de la UVR en la fecha de liquidación de la cobertura.
De forma análoga, para los créditos denominados en pesos, las fórmulas a aplicar son las siguientes:

Donde:
: Saldo de capital vigente no vencido aplicable luego de hacer efectivo el abono extraordinario j-1.
corresponde al saldo de capital vigente no vencido al final de la fecha anterior de liquidación de la cobertura.
: Tasa efectiva anual pactada.
: Tasa efectiva mensual equivalente a la tasa efectiva anual pactada
.
7. Práctica abusiva
De conformidad con el art. 12 de la Ley 1328 de 2009, los establecimientos de crédito deben abstenerse de condicionar el acceso, vigencia, terminación y demás condiciones de la cobertura a la tasa de interés, a la adquisición de uno o más productos o servicios que presta directamente o por medio de otras instituciones vigiladas a través de su red de oficinas. En tal virtud, las únicas condiciones de acceso son las establecidas en el Decreto 1581 de 2015 y la Resolución 1450 de 2015 de FONVIVIENDA.
8. Condiciones para realizar el intercambio de flujos de la cobertura
En virtud de la facultad consagrada en el numeral 3.1 del art. 2 de la Resolución 1450 de 2015 de FONVIVIENDA, cuando el período de liquidación de la cobertura corresponda a meses completos y se presenten prepagos o abonos extraordinarios, los intereses y la cobertura se calculan aplicando las fórmulas señaladas en el numeral 6 del presente Anexo.
En los demás casos señalados en el art. 2 de la Resolución 1450 de 2015 de FONVIVIENDA, se debe dar aplicación a las instrucciones allí previstas.
Las instrucciones impartidas en este Anexo tienen aplicación mientras se encuentre vigente la cobertura a que se refiere el Decreto 1581 de 2015 incorporado en el Decreto 1077 de 2015 y la Resolución 1450 de 2015 de FONVIVIENDA.
P2 Tit I Cap VI
3.3. Proyección anual de los créditos de vivienda objeto de la cobertura
A efectos del cumplimiento del art. 20 de la Ley 546 de 1999, en la proyección anual del crédito a que se refiere el subnumeral 3.4.4.2. del Capítulo I, Título III de la Parte I de esta Circular, las entidades deben incluir, en las cuotas y saldos estimados, los valores a pagar por cuenta de la cobertura, indicando que tales datos se suministran a título informativo, pues los reales dependerán de la situación que se presente durante cada uno de los meses del año.
En adición a los requerimientos generales ya establecidos para los extractos de los créditos de vivienda, aquellos que cuenten con la cobertura de que trata este Capítulo, deben incluir, además de los datos indicados de manera general, información clara y comprensible que le permita al deudor conocer adecuadamente el funcionamiento de la cobertura.
En tal sentido, los extractos deben discriminar expresamente entre los montos que el deudor debe pagar en virtud de la operación de cobertura o los beneficios obtenidos de ésta, y aquellos estrictamente originados en el crédito de vivienda.
En relación con los pagos que debe efectuar el deudor o los beneficios obtenidos por la operación de cobertura, los extractos deben incluir información clara sobre la forma en que fueron liquidados, discriminando entre los valores originados en la aplicación de la diferencia de tasas al capital e intereses comprendidos en las cuotas que correspondan al período de liquidación y los originados en la aplicación de dicha diferencia al saldo de capital del crédito objeto de la cobertura.
Las instrucciones impartidas en este aparte tendrán aplicación mientras se encuentre vigente de la cobertura a que se refiere este numeral.
4. REGLAS RELATIVAS A LAs COBERTURAS CONDICIONADAS CON CARGO A LOS RECURSOS DEL FRECH PARA FINANCIACIÓN DE VIVIENDA
Los créditos hipotecarios de vivienda individual y los contratos de leasing habitacional, si es del caso, que se hubieren acogido al mecanismo de la cobertura condicionada de tasa de interés ofrecida por el Gobierno Nacional, en los distintos momentos y bajo las condiciones establecidas para ellos en las disposiciones expedidas individualmente, mientras estén vigentes, se rigen por las instrucciones contenidas en los anexos del presente Capítulo.