CIRCULAR EXTERNA 29 DE 2020
(septiembre 18)
Boletín Ministerio de Hacienda, Capítulo Superintendencia Financiera de Colombia, No. 555 de 25 de septiembre de 2020
SUPERINTENDENCIA FINANCIERA
| Señores | REPRESENTANTES LEGALES Y REVISORES FISCALES DE LOS ESTABLECIMIENTOS DE CRÉDITO. |
| Referencia: | Instrucciones en materia de la cobertura condicionada de tasa de interés para la financiación de vivienda urbana nueva NO VIS, de conformidad con lo dispuesto en el Decreto 1233 de 2020 y la Resolución 1783 de 2020 del Ministerio de Hacienda y Crédito Público – FRECH NO VIS. |
Apreciados señores:
El Gobierno Nacional, mediante documento CONPES 4002 del 25 de agosto de 2020 declaró de importancia estratégica el "Programa de cobertura Condicionada de Tasa de Interés para Créditos de Vivienda No Vis, - FRECH NO VIS".
Por lo cual ha decidido ampliar la vigencia del Programa FRECH NO VIS para los años 2020, 2021 y 2022 con la finalidad de continuar impulsando la construcción de vivienda urbana e impactar el crecimiento económico del país.
Tal cobertura consiste en una permuta financiera calculada sobre la tasa de interés pactada en créditos para compra de vivienda y contratos de leasing habitacional, otorgados y/o celebrados por los establecimientos de crédito a deudores y locatarios que cumplan con las condiciones y requisitos señalados en la normatividad mencionada.
Por lo anterior, el Gobierno Nacional, expidió el Decreto 1233 del 14 de septiembre 2020, mediante el cual “se modifica el Decreto 1068 de 2015 Decreto Único Reglamentario del Sector Hacienda y Crédito Público, en lo relacionado con la cobertura del Programa FRECH NO VIS”, y la Resolución 1783 del 17 de septiembre de 2020 del Ministerio de Hacienda y Crédito Público (MHCP), por la cual se modifica la Resolución 0201 de 2016 relacionada con la cobertura de tasa de interés del programa FRECH NO VIS a que se refiere el Decreto 1068 de 2015.
En desarrollo de lo anterior y en virtud de las facultades señaladas en el numeral 4o del artículo 11.2.1.4.2 del Decreto 2555 de 2010, el artículo 2.10.1.7.3.2 del Decreto 1068 de 2015 y el artículo 9 de la Resolución 0201 de 2016 del MHCP, este Despacho considera necesario impartir las siguientes instrucciones:
PRIMERA: Crear el Anexo 8 del Capítulo VI del Título I de la Parte II de la Circular Básica Jurídica, relacionado con las “Reglas relativas a la cobertura condicionada de tasa de interés para la financiación de vivienda urbana nueva NO VIS, de conformidad con lo dispuesto en el Decreto 1233 de 2020 y la Resolución 1783 de 2020 del Ministerio de Hacienda y Crédito Público – FRECH NO VIS”.
SEGUNDA: La presente circular rige a partir de la fecha de su publicación.
Cordialmente,
JORGE CASTAÑO GUTIÉRREZ
Superintendente Financiero de Colombia
SUPERINTENDENCIA FINANCIERA DE COLOMBIA
PARTE II - TÍTULO I - ANEXO 8
ANEXO 8: REGLAS RELATIVAS A LA COBERTURA CONDICIONADA DE TASA DE INTERÉS PARA LA FINANCIACIÓN DE VIVIENDA URBANA NUEVA NO VIS, DE CONFORMIDAD CON LO DISPUESTO EN EL DECRETO 1233 DE 2020 Y LA RESOLUCIÓN 1783 DE 2020 DEL MINISTERIO DE HACIENDA Y CRÉDITO PÚBLICO (MHCP) – FRECH NO VIS.
1. Alcance
Las instrucciones contenidas en este anexo son aplicables a los créditos hipotecarios de vivienda y a los contratos de leasing habitacional que se hubieren acogido a la cobertura condicionada de la tasa de interés ofrecida por el Gobierno Nacional en el Decreto 1233 de 2020, incorporado en el Decreto 1068 de 2015, y la Resolución 1783 de 2020 del MHCP incorporada en la Resolución 0201 de 2016 del MHCP.
La mencionada cobertura se ofrece con cargo a los recursos asignados a favor del fondo de reserva para la estabilización de la cartera hipotecaria -FRECH-, con el fin de facilitar la financiación de vivienda urbana nueva NO VIS y consiste en una permuta financiera sobre la tasa de interés pactada en créditos de vivienda urbana nueva o contratos de leasing habitacional que otorguen o celebren los establecimientos de crédito con los deudores y locatarios que cumplan con las condiciones y requisitos señalados en la normatividad referida.
2. Información para promocionar la cobertura de tasa de interés que ofrece el Gobierno Nacional a través del FRECH NO VIS.
Los establecimientos de crédito deben suministrar, a través de los mecanismos que estimen pertinentes, información clara, oportuna y suficiente respecto de las condiciones de acceso, ejecución y terminación de la cobertura.
Dichos mecanismos deben contemplar, como mínimo, los siguientes aspectos:
2.1. Las condiciones que deben cumplir los créditos o contratos de leasing habitacional y sus beneficiarios para el acceso a la cobertura, conforme a lo señalado en los arts. 2.10.1.7.1.3 y 2.10.1.7.1.4 del Decreto 1068 de 2015.
2.2. El término durante el cual se recibe la cobertura, así como todas y cada una de las formas de terminación anticipada de la cobertura señaladas en el art. 2.10.1.7.1.5 del mencionado Decreto y en el art. 5 de la Resolución 0201 de 2016 del MHCP. Se debe explicar con especial detalle la causal de pérdida de la cobertura cuando el deudor o locatario incurra en mora en el pago de 3 o más cuotas o cánones consecutivos.
2.3. La cobertura y los segmentos de vivienda según lo previsto en el art. 2.10.1.7.1.2 del Decreto 1068 de 2015.
2.4. Precisar que la cobertura se otorga por una sola vez y únicamente a un crédito individual de vivienda urbana nueva o contrato de leasing habitacional para vivienda urbana nueva que cumpla con los criterios establecidos en las disposiciones que reglamentan la cobertura.
2.5. Indicar que el desembolso de créditos y/o la celebración de contratos de leasing habitacional con este beneficio se encuentra limitado al número de coberturas disponibles, según el año de desembolso del crédito, en los términos del art. 8 de la Resolución 0201 de 2016 del MHCP o demás normas que lo modifiquen, sustituyan o adicionen.
2.6. Advertir que en ningún evento los deudores, locatarios o entidades vigiladas pueden utilizar los recursos de la cobertura para cubrir intereses moratorios, así como ningún otro costo derivado del otorgamiento o administración del crédito o contrato de leasing habitacional, según lo establece el numeral 5 del art. 2 de la Resolución 0201 de 2016.
Adicionalmente, los establecimientos de crédito deben advertir al deudor o locatario, que en ningún caso el monto de la cobertura mensual podrá ser superior al monto causado por intereses corrientes en el respectivo mes, conforme a lo establecido en el numeral 3 del art. 2.10.1.7.1.2. del Decreto 1068 de 2015, según sea el caso, y de conformidad con el literal c, numeral 3 del art. 2 de la Resolución 0201 de 2016 del MHCP.
2.7. Aclarar que la solicitud, acceso, ejecución, terminación y liquidación de la cobertura no generan costos ni recargos para los deudores o locatarios, salvo los que son propios de la administración de la cartera hipotecaria, de conformidad con lo previsto por el art. 12 de la Resolución 0201 de 2016 del MHCP.
2.8. Informar sobre el derecho a conocer el resultado de la proyección anual de los valores que deben ser pagados mensualmente por los deudores y locatarios, junto con los saldos de los créditos y/o contratos de leasing habitacional objeto de la cobertura, incluyendo el efecto de la misma, en los términos del art. 14 de la Resolución 0201 de 2016.
2.9. La información adicional que se considere pertinente sobre la forma como funciona la cobertura respecto del crédito o contrato de leasing habitacional, la cual debe ser presentada en forma clara y comprensible.
En caso de que los potenciales deudores y/o eventuales locatarios se encuentren interesados en acceder a la cobertura, los establecimientos de crédito deben indicarles la necesidad de manifestar por escrito su intención, en la cual deben señalar de manera expresa el conocimiento de las obligaciones y condiciones que implica la cobertura, atendiendo lo establecido en el art. 10 de la Resolución 0201 de 2016. Dicho documento debe anexarse al archivo o documentación de cada operación de crédito o contrato de leasing habitacional que sea susceptible de dicha cobertura.
De conformidad con el numeral 6.1 del art. 2.10.1.7.3.2 del Decreto 1068 de 2015, los establecimientos de crédito no pueden desembolsar créditos o dar inicio al contrato de leasing habitacional con derecho a este beneficio en exceso del número de coberturas establecido por el MHCP, so pena de asumir el pago de la misma con sus propios recursos.
Los establecimientos de crédito deben informar a los deudores o locatarios si fueron beneficiarios o no de la cobertura de la tasa de interés, mediante los canales verificables que garanticen su debido acceso. Dicha información debe ser clara y suficiente, y debe ser comunicada antes del pago de la primera cuota o canon, según corresponda.
3. Extractos
Los establecimientos de crédito deben discriminar en los extractos remitidos a los deudores y locatarios, el valor de la cuota o canon con la tasa pactada, el valor fijo de la cobertura y el valor real a pagar. Adicionalmente, en dichos extractos se debe mencionar, con caracteres legibles, la pérdida de la cobertura en caso de mora en el pago de 3 cuotas o cánones consecutivos.
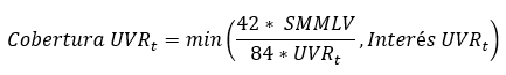
Igualmente, se debe mencionar con caracteres legibles, que la cobertura equivaldrá a un monto máximo mensual en pesos resultante de dividir cuarenta y dos (42) SMMLV al momento del desembolso del crédito o del inicio del contrato y que esta será un monto fijo y que la cobertura asignada no tendrá actualización con el incremento de cada año del SMMLV.
4. Proyección anual de los créditos de vivienda objeto de la cobertura
Según lo establecido en el art. 20 de la Ley 546 de 1999, el art. 2.28.1.3.5 del Decreto 2555 de 2010, en consonancia con el art. 14 de la Resolución 0201 de 2016 del MHCP, los establecimientos de crédito deben incluir dentro de la proyección anual de los créditos individuales de vivienda o leasing habitacional de que trata el subnumeral 3.4.4.2. del Capítulo I, Título III de la Parte I de esta Circular, la discriminación de los valores de la cobertura para la financiación de vivienda.
5. Sistemas de amortización
En adición a los sistemas de amortización establecidos en el numeral 1.6 del Capítulo VI, Título I de la Parte II de esta Circular y siempre que sus características técnicas se ajusten a lo dispuesto en el Decreto 1068 de 2015 y la Resolución 0201 de 2016 del MHCP, los establecimientos de crédito pueden utilizar los sistemas de amortización previstos en el Anexo 1 del presente Capítulo, los cuales se señalan a continuación:
5.1. Sistema de amortización en pesos
Consiste en una cuota en pesos mientras se encuentre vigente la cobertura, de tal forma que, al combinarse con ésta, la cuota que deba pagar el cliente (cuota cliente) sea fija en pesos.
Este sistema tiene la siguiente formulación mientras esté vigente la cobertura:
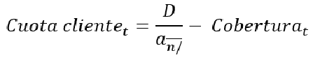
5.1.1. Cuota Total del créditot = Cuota_Clientet + Coberturat
Cuota_Clientet se calcula como una anualidad uniforme ordinaria menos la cobertura al momento t, conforme se establece en la siguiente expresión:

Donde:
Cuota_Clientet = Valor de la cuota cliente mensual uniforme en pesos.
D = Monto del préstamo en pesos.
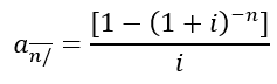
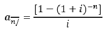
= Corresponde al valor presente de n pagos uniformes unitarios periódicos a la tasa efectiva mensual i, calculado de acuerdo con la siguiente expresión:

n = Plazo en meses del crédito.
i = Tasa efectiva mensual equivalente a la tasa efectiva anual pactada en el crédito ia sobre pesos.

= Tasa efectiva anual pactada en el crédito.
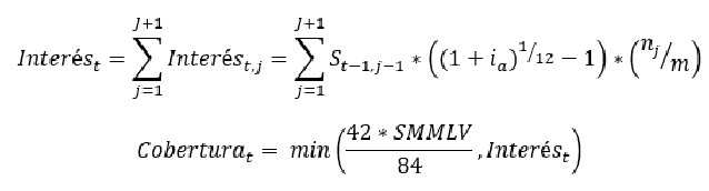
= Es el monto en pesos correspondiente a la cobertura que se calcula como el mínimo entre el monto mensual definido de acuerdo con el Salario Mínimo Mensual Legal Vigente (SMMLV) al momento del desembolso del crédito y los intereses efectivamente causados en el tiempo
, de acuerdo con la siguiente expresión:

Donde:
= Salario Mínimo Mensual Legal Vigente al momento del desembolso del crédito.
5.1.2. Interést= Monto en pesos correspondiente al interés liquidado sobre el saldo de capital vigente no vencido.

ia = tasa efectiva anual sobre pesos pactada en el crédito.
= Saldo del capital vigente no vencido al final de la fecha anterior de liquidación de la cobertura.
5.1.3. Amortizaciónt= Monto en pesos correspondiente al abono a capital de la obligación.
Amortizaciónt = Cuota_Clientet + Coberturat – Interést.
Amortizaciónt = Cuota Total del créditot – Interést.
A partir de la terminación de la cobertura el sistema se calcularía así:
5.1.4. Cuota Total del crédito*t = Cuota_Cliente*t.
Cuota_Cliente*t se calcula como una anualidad uniforme ordinaria:

Donde:
Cuota_Cliente*t = Valor de la cuota cliente mensual uniforme en pesos.
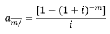
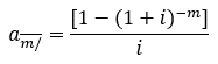
= Corresponde al valor presente de m pagos uniformes unitarios periódicos a la tasa efectiva mensual i, calculado de acuerdo con la siguiente expresión:

D* = Saldo de capital en pesos al momento de la terminación de la cobertura.
m = Plazo restante del crédito en meses = plazo original – meses de cobertura.
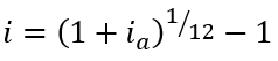
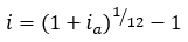
= Tasa efectiva mensual equivalente a la tasa efectiva anual pactada en el crédito i, calculada de la siguiente forma
![]()
ia = tasa efectiva anual sobre pesos pactada en el crédito
5.1.5. Interést = Monto en pesos correspondiente al interés liquidado sobre el saldo de capital vigente no vencido.

Donde:
ia = tasa efectiva anual sobre pesos pactada en el crédito.
= Saldo de capital vigente no vencido al final de la fecha anterior de liquidación.
5.1.6. Amortizaciónt= Monto en pesos correspondiente al abono a capital de la obligación.
Amortizaciónt = Cuota Total del crédito*t – Interést.
5.2. Sistema de amortización en Unidades de Valor Real (UVR)
Consiste en una cuota en UVR mientras se encuentre vigente la cobertura, de tal forma que al combinarse con ésta, la cuota en UVR que deba pagar el cliente (cuota cliente UVR) sea fija.
El sistema tiene la siguiente formulación mientras esté vigente la cobertura:
5.2.1. Cuota Total del crédito UVRt = Cuota_Cliente_UVRt + CoberturatUVR.
Cuota_Cliente_UVRt se calcula como una anualidad uniforme ordinaria en UVR menos la cobertura en UVR al momento t, conforme se establece en la siguiente expresión:

Donde:
Cuota_Cliente_UVRt= Valor de la cuota cliente UVR mensual uniforme en unidades UVR.
= Monto del préstamo en UVR.
= Corresponde al valor presente de n pagos uniformes unitarios periódicos a la tasa efectiva mensual i, calculados de acuerdo con la siguiente expresión:

n = Plazo en meses del crédito
= Tasa efectiva mensual equivalente a la tasa efectiva anual pactada en el crédito i, calculada de la siguiente forma:

= Tasa efectiva anual pactada en el crédito.
= La cobertura se calcula como el mínimo entre el monto mensual de la cobertura calculado de acuerdo con el Salario Mínimo Mensual Legal Vigente (SMMLV) al momento del desembolso del crédito, el valor de la UVR en el tiempo
y los intereses efectivamente causados en el tiempo
, de acuerdo con la siguiente expresión:

Donde:
= Salario Mínimo Mensual Legal Vigente al momento del desembolso del crédito.
= Unidad de Valor Real vigente al momento de liquidación de la cobertura.
5.2.2. Interést UVR= Es el monto en UVR correspondiente al interés liquidado sobre el saldo de capital vigente no vencido.

Donde:
ia = tasa efectiva anual pactada en el crédito.
= Saldo en UVR del capital vigente no vencido al final de la fecha anterior de liquidación de la cobertura.
5.2.3. Amortizaciónt UVR= Monto en UVR correspondiente al abono a capital de la obligación.
![]()
![]()
A partir de la terminación de la cobertura el sistema se calcularía así:
5.2.4. Cuota Total del crédito UVR*t = Cuota_Cliente UVR*t
Cuota_Cliente UVR*t se calcula como una anualidad uniforme ordinaria:

Donde:
Cuota_Cliente UVR*t = Valor de la cuota cliente mensual uniforme en pesos.
= Corresponde al valor presente de m pagos uniformes unitarios periódicos a la tasa efectiva mensual i, calculados de acuerdo con la siguiente expresión:

D* = Saldo de capital en UVR al momento de la terminación de la cobertura.
m = Plazo restante del crédito en meses = plazo original – número de meses de cobertura.
i = Tasa efectiva mensual equivalente a la tasa efectiva anual pactada en el crédito ia.
![]()
ia = tasa efectiva anual sobre pesos pactada en el crédito
5.2.5. Interést UVR= Monto en UVR correspondiente al interés liquidado sobre el saldo de capital vigente no vencido.

Donde:
ia = tasa efectiva anual pactada en el crédito.
= Saldo en UVR del capital vigente no vencido al final de la fecha anterior de liquidación.
5.2.6. AmortizacióntUVR= Monto en UVR correspondiente al abono a capital de la obligación.
AmortizacióntUVR = Cuota Total del créditoUVR*t – InteréstUVR.
6. Aplicación de prepagos o abonos extraordinarios
En el evento de efectuarse prepagos o abonos extraordinarios, el cálculo de los intereses y la cobertura deben tener en cuenta el saldo de capital vigente no vencido para cada etapa (antes y después del abono) y la tasa efectiva ajustada al periodo de tiempo para el que ese saldo de capital es aplicable.
En este sentido, para los créditos denominados en UVR, las fórmulas a aplicar son las siguientes:
![]()
Donde,


= Monto en UVR a reconocer y entregar por los establecimientos de crédito
= Valor en UVR correspondiente al interés liquidado.
= Monto en UVR correspondiente al interés liquidado sobre el saldo de capital vigente no vencido aplicable luego de hacer efectivo el abono extraordinario
. En particular,
corresponde al interés liquidado entre la fecha anterior de liquidación de la cobertura y la fecha del primer abono extraordinario.
corresponde al interés liquidado entre la fecha del último abono extraordinario y la fecha de liquidación de la cobertura.
= Saldo en UVR del capital vigente no vencido aplicable luego de hacer efectivo el abono extraordinario
. En particular,
corresponde al saldo en UVR del capital vigente no vencido al final de la fecha anterior de liquidación de la cobertura.
= Tasa efectiva anual pactada en el crédito.
= Tasa efectiva mensual equivalente a la tasa efectiva anual
.
= Es el índice del pago extraordinario recibido durante el mes que está siendo liquidado.
= Es el número de días calendario transcurridos entre el pago extraordinario
y el pago extraordinario
. En este sentido,
es el número de días calendario transcurridos entre la fecha anterior de liquidación de la cobertura y la fecha del primer pago extraordinario; y
es el número de días calendario transcurridos entre la fecha del último abono extraordinario y la fecha de liquidación de la cobertura.
= Es el número de días calendario del mes para el que se está realizando la liquidación.
= Valor de la UVR en la fecha del abono extraordinario
del periodo. En particular,
es el valor de la UVR en la fecha de liquidación de la cobertura.
= Es el mínimo entre el monto mensual de la cobertura FRECH NO VIS de acuerdo a lo establecido en el Decreto 1068 de 2015, calculada con la UVR vigente en el periodo
y los intereses causados en el mismo periodo.
= Salario Mínimo Mensual Legal Vigente al momento del desembolso del crédito.
= Unidad de Valor Real vigente al momento de liquidación de la cobertura.
De forma análoga, para los créditos denominados en pesos, las fórmulas a aplicar son las siguientes:
![]()
Donde:

= Monto en pesos a reconocer y entregar por los establecimientos de crédito
= Valor en pesos correspondiente al interés liquidado.
= Monto en pesos correspondiente al interés liquidado sobre el saldo de capital vigente no vencido aplicable luego de hacer efectivo el abono extraordinario
. En particular,
corresponde al interés liquidado entre la fecha anterior de liquidación de la cobertura y la fecha del primer abono extraordinario; e,
corresponde al interés liquidado entre la fecha del último abono extraordinario y la fecha de liquidación de la cobertura.
= Saldo en pesos del capital vigente no vencido aplicable luego de hacer efectivo el abono extraordinario
. En particular,
corresponde al saldo en pesos del capital vigente no vencido al final de la fecha anterior de liquidación de la cobertura.
= Tasa efectiva anual pactada en el crédito.
= Tasa efectiva mensual equivalente a la tasa efectiva anual
.
= Es el índice del pago extraordinario recibido durante el mes que está siendo liquidado.
= Es el número de días calendario transcurridos entre el pago extraordinario
y el pago extraordinario
. En este sentido,
es el número de días calendario transcurridos entre la fecha anterior de liquidación de la cobertura y la fecha del primer pago extraordinario; y
es el número de días calendario transcurridos entre la fecha del último abono extraordinario y la fecha de liquidación de la cobertura.
= Es el número de días calendario del mes para el que se está realizando la liquidación.
= Es el mínimo entre el monto mensual de la cobertura FRECH NO VIS de acuerdo a lo establecido en el Decreto 1068 de 2015, y los intereses efectivamente causados en el periodo
.
= Salario Mínimo Mensual Legal Vigente al momento del desembolso del crédito.
7. Práctica abusiva
De conformidad con el art. 12 de la Ley 1328 de 2009, los establecimientos de crédito deben abstenerse de condicionar el acceso, vigencia, terminación y demás condiciones de la cobertura a la tasa de interés, a la adquisición de uno o más productos o servicios que presta directamente o por medio de otras instituciones vigiladas a través de su red de oficinas. En tal virtud, las únicas condiciones de acceso a la cobertura son las establecidas en el Decreto 1068 de 2015 y la Resolución 0201 de 2016 del MHCP.
8. Condiciones para realizar el intercambio de flujos de la cobertura
En virtud de la facultad consagrada en el numeral 3.1 del art. 2 de la Resolución 0201 de 2016 del MHCP, cuando el período de liquidación de la cobertura corresponda a meses completos y se presenten prepagos o abonos extraordinarios, los intereses y la cobertura se calculan aplicando las fórmulas señaladas en el numeral 6 del presente Anexo.
En los demás casos señalados en el art. 2 de la Resolución 0201 de 2016 del MHCP, se debe dar aplicación a las instrucciones allí previstas.
9. Vigencia
Las instrucciones impartidas en este Anexo tienen aplicación mientras se encuentre vigente la cobertura a la que se refiere el Decreto 1068 de 2015 y la Resolución 0201 de 2016 del MHCP.