CIRCULAR EXTERNA 35 DE 2018
(Diciembre 26)
Boletín Ministerio de Hacienda, Capítulo Superintendencia Financiera de Colombia, No. 470 de 27 de diciembre de 2018
Señores
REPRESENTANTES LEGALES DE LAS SOCIEDADES ADMINISTRADORAS DE FONDOS DE PENSIONES Y CESANTÍAS
Referencia: Instrucciones relativas al cálculo de la rentabilidad mínima obligatoria de los fondos de pensiones obligatorias y los portafolios de los fondos de cesantías, la valoración de inversiones del fondo especial de retiro programado, y el régimen de gastos admisibles para los fondos de pensiones obligatorias y los portafolios de los fondos de cesantías.
Apreciados señores:
Con el fin estandarizar la metodología para el cálculo de la rentabilidad mínima obligatoria de los fondos de pensiones obligatorias y el portafolio de largo plazo de los fondos de cesantías, se considera necesario reemplazar el portafolio de referencia que actualmente es divulgado por esta Superintendencia para incluir un conjunto de índices representativos del mercado de renta fija local en el componente de referencia utilizado para el cálculo de la rentabilidad mínima obligatoria de los fondos de pensiones obligatorios, así como definir la metodología de agregación de índices de renta fija para el cálculo de la rentabilidad mínima obligatoria del portafolio de largo plazo de los fondos de cesantías.
Asimismo, se considera necesario impartir instrucciones relativas al cálculo de la rentabilidad mínima obligatoria y la valoración de las inversiones del fondo especial de retiro programado, en desarrollo de las modificaciones introducidas por el Decreto 059 de 2018.
Finalmente, se considera necesario impartir instrucciones relativas al régimen de gastos admisibles para los tipos de fondos de pensiones obligatorios y los portafolios de los fondos de cesantías.
En consecuencia, este Despacho, en ejercicio de sus facultades legales y en particular las establecidas en el artículo 2.6.5.1.2, el parágrafo 3 del artículo 2.6.9.1.2, y el numeral 5o del artículo 11.2.1.4.2 del Decreto 2555 de 2010, y el literal b del artículo 15 del Decreto Ley 656 de 1994, imparte las siguientes instrucciones:
PRIMERA: Adicionar el numeral 2.6 al Capítulo II del Título III de la Parte II de la Circular Básica Jurídica, relativo al cálculo de la rentabilidad mínima obligatoria del fondo especial de retiro programado. <ANEXO 4>
SEGUNDA: Modificar el numeral 2.5 del Capítulo II del Título III de la Parte II de la Circular Básica Jurídica, relativo al cálculo de la rentabilidad mínima obligatoria de los fondos de pensiones obligatorias de la etapa de acumulación. <ANEXO 4>
TERCERA: Modificar los numerales 1.9 y 1.10 del Capítulo III del Título III de la Parte II de la Circular Básica Jurídica, relativos al cálculo de la rentabilidad mínima obligatoria de los portafolios de corto y largo plazo de los fondos de cesantías. <ANEXO 5>
CUARTA: Modificar la numeración de las instrucciones contenidas en los numerales 1.8 y 1.9 del Capítulo III del Título III de la Parte II de la Circular Básica Jurídica, que pasarán a ser los nuevos numerales 1.7 y 1.8 respectivamente. <ANEXO 5>
QUINTA: Modificar el numeral 3.1 del Capítulo I-1 de la Circular Básica Contable y Financiera, relativo a la clasificación de las inversiones del fondo especial de retiro programado. <ANEXO 1>
SEXTA: Modificar el numeral 2.1 del Capítulo II del Título III de la Parte II y el numeral 1.2 del Capítulo III del Título III de la Parte II de la Circular Básica Jurídica, relativos al régimen de gastos admisibles para los tipos de fondos de pensiones obligatorios y los portafolios de los fondos de cesantías. <ANEXO 4> <ANEXO 5>
SÉPTIMA: Modificar el numeral 11 del Capítulo I del Título III de la Parte II de la Circular Básica Jurídica, relativo a la publicación de información para los afiliados al sistema general de pensiones. <ANEXO 3>
OCTAVA: Modificar el subnumeral 1.4. del Capítulo II del Título III de la Parte II de la Circular Básica Jurídica, relativo a las campañas de información y de educación para la promoción del esquema de multifondos y asignación por defecto .<ANEXO 4>
NOVENA: Modificar el instructivo del Formato 137 (Proforma F.6000-03) en lo relativo al periodo de cálculo para el reporte de información de la rentabilidad acumulada del fondo especial de retiro programado.<ANEXO 2>
DÉCIMA: Las instrucciones segunda, tercera y cuarta entrarán en vigencia el 1 de abril de 2019. En consecuencia, la primera verificación de la rentabilidad mínima obligatoria de los fondos de pensiones obligatorias de la etapa de acumulación y del portafolio de largo plazo de los fondos de cesantías según los nuevos criterios metodológicos se realizará a partir del corte del 30 de abril de 2019.
La presente Circular rige a partir de su expedición
Se anexan las páginas objeto de modificación.
Cordialmente,
JORGE CASTAÑO GUTIÉRREZ
Superintendente Financiero de Colombia
cap01-1inversiones
CAPITULO I – 1 CLASIFICACIÓN, VALORACIÓN Y CONTABILIZACIÓN DE INVERSIONES PARA ESTADOS
FINANCIEROS INDIVIDUALES O SEPARADOS
Página 2
diligente, encaminados a la búsqueda, obtención, conocimiento y evaluación de toda la información relevante disponible, de manera tal que el precio que se determine refleje los recursos que razonablemente se recibirían por su venta.
3. CLASIFICACIÓN DE LAS INVERSIONES
Las inversiones deberán ser clasificadas de acuerdo con el modelo de negocio definido por la entidad. Para estos efectos, el modelo de negocio corresponde a la decisión estratégica adoptada por la Junta Directiva, o quien haga sus veces, sobre la forma y actividades a través de las cuales desarrollará su objeto social.
Las inversiones podrán ser clasificadas en: inversiones negociables, inversiones para mantener hasta el vencimiento e inversiones disponibles para la venta.
3.1. Inversiones negociables
Se clasifican como inversiones negociables todo valor o título y, en general, cualquier tipo de inversión que ha sido adquirida con el propósito principal de obtener utilidades por las fluctuaciones a corto plazo del precio.
Forman parte de las inversiones negociables, en todo caso, las siguientes:
a. La totalidad de las inversiones en títulos o valores efectuadas por los fondos de inversión colectiva.
b. La totalidad de las inversiones en títulos o valores efectuadas con los recursos de los fondos de pensiones obligatorias de la etapa de acumulación y de cesantías, las reservas pensionales administradas por entidades del régimen de prima media y patrimonios autónomos o encargos fiduciarios cuyo propósito sea administrar recursos de la seguridad social.
Para las inversiones del fondo especial de retiro programado, una parte no inferior al 70% del valor del fondo deberá ser clasificada como inversiones negociables. Las inversiones restantes que cumplan con los requisitos establecidos en el artículo 2.6.12.1.26 del Decreto 2555 de 2010 podrán clasificarse como inversiones para mantener hasta el vencimiento.
No obstante, las inversiones forzosas u obligatorias suscritas en el mercado primario en los portafolios de los literales a) y b) antes mencionados, así como las que establezca el contratante o fideicomitente en los patrimonios autónomos o encargos fiduciarios cuyo propósito sea administrar recursos pensionales de la seguridad social, podrán clasificarse como inversiones para mantener hasta el vencimiento.
3.2. Inversiones para mantener hasta el vencimiento
Se clasifican como inversiones para mantener hasta el vencimiento, los valores o títulos y, en general, cualquier tipo de inversión respecto de la cual el inversionista tiene el propósito y la capacidad legal, contractual, financiera y operativa de mantenerlas hasta el vencimiento de su plazo de maduración o redención. El propósito de mantener la inversión corresponde a la intención positiva e inequívoca de no enajenar el título o valor.
Con las inversiones clasificadas en esta categoría no se pueden realizar operaciones del mercado monetario (operaciones de reporto o repo, simultáneas o de transferencia temporal de valores), salvo que se trate de las inversiones forzosas u obligatorias suscritas en el mercado primario y siempre que la contraparte de la operación sea el Banco de la República, la Dirección General de Crédito Público y del Tesoro Nacional o las entidades vigiladas por la SFC. Sin perjuicio de lo anterior, los valores clasificados como inversiones para mantener hasta el vencimiento podrán ser entregados como garantías en una cámara de riesgo central de
FORMATO 137 - RENTABILIDAD DE LOS TIPOS DE FONDOS DE PENSIONES OBLIGATORIAS O PORTAFOLIOS DEL FONDO DE CESANTÍA (EN TERMINOS EFECTIVOS ANUALES)
| Unidad Subcta Columna Captura | Descripción |
| 01 005 01 | Rentabilidad diaria: Es el resultado de la siguiente operación: ((Rendimientos abonados en el día/ Valor del tipo de fondo de pensiones obligatorias o portafolio de cesantías al cierre del día anterior + 1)^365) -1. |
| 01 010 01 | Rentabilidad acumulada del tipo de fondo de pensiones obligatorias o portafolio del Fondo de Cesantía: Esta rentabilidad será reportada diariamente. Corresponde a la Tasa Interna de Retorno, en términos efectivos anuales, del flujo de caja diario del período de cálculo que considera como ingresos el valor del tipo de fondo de pensiones obligatorias o portafolio de corto o largo plazo del fondo de cesantías al inicio de operaciones del primer día del período de cálculo y el valor neto de los aportes diarios efectuados durante el mismo y como egreso el valor del tipo de fondo de pensiones obligatorias o portafolio de corto o largo plazo del fondo de cesantías al cierre del último día del período de cálculo, incluidos los rendimientos. Se entenderá como “valor neto de los aportes diarios” el valor que resulte de restarle al valor del tipo de fondo de pensiones obligatorias o portafolio de corto o largo plazo del fondo de cesantías al cierre del día – antes de rendimientos, el valor del tipo de fondo de pensiones obligatorias o portafolio de corto o largo plazo del fondo de cesantías al inicio de operaciones. El período de cálculo para los tipos de fondos de pensiones obligatorias será: Fondo Conservador: Últimos 36 meses Fondo Moderado: Últimos 48 meses Fondo de Mayor Riesgo: Últimos 60 meses Fondo Especial de Retiro Programado Últimos 48 meses |
| Para los portafolios del Fondo de Cesantías será: Largo Plazo: Últimos 24 meses Corto Plazo: Últimos 3 meses Para la Caja de Auxilios y Prestaciones de la Asociación Colombiana de Aviadores Civiles “CAXDAC”, el período de cálculo será el correspondiente a los últimos 36 meses. Para el Fondo Especial de Retiro Programado, el periodo de cálculo de la rentabilidad acumulada se debe ajustar a la transición para la revisión y verificación de rentabilidad mínima establecida en el numeral 1 del artículo 7 del Decreto 059 de 2018. | |
P2 Tít III- Cap I - SGP
PARTE II – TÍTULO III – CAPÍTULO I PÁGINA 9
10. PAGO DE MESADAS PENSIONALES MEDIANTE CONSIGNACIÓN EN CUENTA CORRIENTE O DE AHORROS
10.1. Las entidades de previsión social deben ilustrar a los beneficiarios de mesadas pensionales sobre las diferentes posibilidades con que cuentan para el pago de las mismas, según los mecanismos establecidos para el efecto en los arts. 5 del Decreto 2150 de 1995, 2 y 5 de la Ley 700 de 2001 -modificado por el art. 1 de la Ley 952 de 2005 y art. 16 de la Ley 1171 de 2007, respectivamente-, 1 del Decreto 2751 de 2002 y 13 de la Ley 962 de 1995, e informarles que la decisión sobre el mecanismo a utilizar corresponde exclusivamente a ellos según les resulte más conveniente.
10.2. En el evento en que el pensionado elija la consignación en cuenta corriente o de ahorros como mecanismo para el pago de su mesada pensional, debe seleccionar un establecimiento de crédito vigilado por la SFC, una cooperativa de ahorro y crédito, una cooperativa multiactiva con sección de ahorro y crédito o una cooperativa integral con sección de ahorro y crédito vigilada por la Superintendencia de la Economía Solidaria, con sucursal, agencia o corresponsal, en los términos de los arts. 2.36.9.1.1. y siguientes del Decreto 2555 de 2010, en la localidad donde se efectúe regularmente el pago o en aquella en la cual el pensionado tenga su cuenta corriente o de ahorros.
Para el efecto, es necesario que la entidad administradora de pensiones haya celebrado o tenga vigente un convenio con la respectiva entidad financiera, cooperativa de ahorro y crédito, cooperativa multiactiva con sección de ahorro y crédito o cooperativa integral con sección de ahorro y crédito, en el que se especifique que dichas cuentas sólo pueden debitarse por su titular personalmente o mediante autorización especial, sin que puedan admitirse autorizaciones de carácter general o que la administración de la cuenta se confíe a un apoderado o representante.
En este sentido, las entidades financieras o pagadoras de pensiones al momento de realizar el pago tienen el deber legal de verificar adecuadamente la identidad del titular de la cuenta o beneficiario, a través de medios probatorios idóneos que acrediten tal circunstancia. Así mismo, deben efectuar las consultas respectivas ante la Registraduría Nacional del Estado Civil para confirmar la supervivencia del afiliado pensionado o beneficiario de la pensión.
De otra parte, de conformidad con lo previsto en el parágrafo del art. 5 de la Ley 700 de 2001, las entidades depositarias no pueden cobrar a los beneficiarios cuotas de manejo por la utilización de las cuentas. Y de acuerdo con lo establecido en el art. 145 del Decreto 019 de 2012, las entidades financieras, cooperativas de ahorro y crédito, cooperativas multiactivas con sección de ahorro y crédito o cooperativas integrales con sección de ahorro y crédito, no pueden exigir a los pensionados cuya mesada no exceda de 2 SMMLV, mantener saldo alguno en las cuentas en las cuales se les abonen las respectivas pensiones.
11. PUBLICACIÓN DE INFORMACIÓN AL AFILIADO
Las sociedades administradoras de fondos de pensiones y las administradoras de cesantías con el fin de contribuir a una mayor transparencia en el desarrollo de su actividad deben suministrar a sus afiliados la información a que se refiere el subnumeral 3.4.9.6. del Capítulo I, Título III, de la Parte I de esta Circular, de manera que puedan comparar las distintas opciones del mercado.
En el mismo sentido y sin perjuicio de las obligaciones de información a cargo de las administradoras, la SFC dará a conocer la tabla de rentabilidades de los distintos tipos de fondos de pensiones obligatorias, dentro de los 5 días hábiles siguientes a la divulgación de la rentabilidad mínima obligatoria al corte de cada trimestre; es decir, al corte de marzo, junio, septiembre y diciembre.
Las rentabilidades mínimas de cada tipo de fondo deben incluirse en la citada tabla a partir de su primera verificación.
La SFC incluye en la tabla en mención, las rentabilidades acumuladas del tipo de fondo moderado, teniendo en cuenta para el efecto los flujos de caja del fondo existente al 14 de septiembre de 2010.
12. EDUCACIÓN FINANCIERA DEL SISTEMA GENERAL DE PENSIONES
Las entidades administradoras de los dos regímenes del SGP deben desarrollar programas de capacitación dirigidos a los consumidores financieros en los términos establecidos en el numeral 4 del art. 2.6.10.1.2. del Decreto 2555 de 2010.
Para este efecto, tales programas deben contemplar como mínimo los siguientes aspectos, de acuerdo con el régimen aplicable para las sociedades administradoras del RAIS como para las de prima media con prestación definida:
12.1. Marco regulatorio del SGP y de los dos regímenes pensionales que lo conforman.
12.2. Características de cada uno de los regímenes del SGP.
12.3. Marco regulatorio del esquema de “Multifondos” y las disposiciones relativas a asignación por defecto.
12.4. Facultades de selección y traslado entre los dos regímenes del SGP, entre las administradoras del régimen de ahorro individual y entre los tipos de fondos que éstas administran.
12.5. Composición y características de cada uno de los tipos de fondos ofrecidos dentro del esquema de “Multifondos”, con una clara identificación de los riesgos de cada uno de ellos.
12.6. Marco general sobre el cálculo de pensiones del SGP.
12.7. Modalidades de pensión de cada uno de los regímenes del SGP.
12.8. Marco regulatorio de protección al consumidor financiero en general y en el esquema de “Multifondos”,
12.9. Esquema de comisiones de administración en cada uno de los regímenes del sistema general de pensiones y particularmente en el RAIS.
12.10. Características del servicio social complementario de Beneficios Económicos Periódicos (BEPS).
P2 Tit III- Cap II- RAIS
PARTE II.
MERCADO INTERMEDIADO.
TÍTULO III.
INSTRUCCIONES GENERALES RELATIVAS A LAS OPERACIONES DE LAS ENTIDADES ADMINISTRADORAS DE PENSIONES Y CESANTÍAS.
CAPÍTULO II.
DISPOSICIONES ESPECIALES APLICABLES EN MATERIA DE RÉGIMEN DE AHORRO INDIVIDUAL CON SOLIDARIDAD.
(...)
1.3.2. Comisión por administración de pensiones bajo la modalidad de retiro programado
Las sociedades administradoras de los tipos de fondos de pensiones pueden cobrar por la administración de los recursos de los pensionados bajo la modalidad de retiro programado un valor no superior al 1% de los rendimientos abonados durante el mes en la respectiva cuenta individual de ahorro pensional, sin que en ningún momento el valor de dicha comisión exceda el 1.5% de la mesada pensional. La comisión por este concepto puede cobrarse por cada mes vencido a partir del primer mes en que deba reconocerse la respectiva mesada.
1.3.3. Comisión por concepto de la administración de recursos de afiliados cesantes
Las sociedades administradoras de los tipos de fondos de pensiones pueden percibir en forma mensual como ingreso por concepto de la administración de recursos de afiliados cesantes, un valor no superior al 4.5% de los rendimientos abonados durante el mes en cada cuenta individual.
En todo caso, el valor mensual de esta comisión por cuenta individual no puede ser superior al valor que resulte de aplicar al último ingreso base de cotización del afiliado cesante, el 50% del porcentaje de comisión de administración de cotizaciones obligatorias que se encuentre cobrando la administradora a sus afiliados cotizantes. Para tal efecto, el último ingreso base de cotización debe reajustarse el primero de enero de cada año según la variación del IPC certificado por el DANE para el año inmediatamente anterior.
Con el fin de proceder al cobro de la comisión prevista en este aparte, se entiende que un afiliado dependiente se encuentra cesante durante el lapso comprendido entre la fecha de novedad de terminación del vínculo laboral, legal o reglamentario y el reporte del nuevo vínculo. No puede cobrarse comisión a los afiliados cuyos empleadores se encuentren en mora. Se presumen en mora los empleadores que no han continuado haciendo los aportes respectivos y no han reportado a la administradora la novedad del retiro.
Se presume que un trabajador independiente está cesante, cuando ha dejado de cotizar durante por lo menos 3 meses consecutivos.
1.3.4. Comisión por traslado de afiliados
En el evento en que un afiliado a los tipos de fondos de pensiones opte por trasladarse a otra sociedad administradora del RAIS o al RPMPD, la entidad administradora de la cual se traslada el afiliado puede descontar por concepto de comisión de traslado, un valor no superior al 1% del ingreso base de cotización sobre el cual se efectuó el último recaudo, sin que en ningún caso exceda del 1% de 4 smmlv.
Esta comisión debe ser descontada de la cuenta individual en el momento en que esté a disposición de la administradora a la cual se traslada el afiliado el valor de los recursos a trasladar.
1.3.5. Comisiones diferenciales
Dentro de los límites impuestos por la Ley 100 de 1993 y por esta Circular, las entidades que administren fondos de pensiones pueden establecer comisiones diferenciales por descuento para cada uno de los conceptos señalados en los subnumerales 1.3.1 a 1.3.4. El descuento en la fijación de la comisión debe considerar criterios de permanencia y regularidad de los afiliados en su relación con el tipo de fondo correspondiente y el valor del tipo de fondo individual.
El descuento debe presentarse como un porcentaje único que resulte de las anteriores consideraciones.
Las entidades que opten por fijar comisiones diferenciales no pueden utilizarlas como mecanismo para discriminar a determinados afiliados en el ejercicio de los derechos que la ley les confiere. Para tales efectos, las comisiones deben establecerse con base en los mismos criterios y en forma transparente, lo que significa que debe aplicarse idéntica comisión al afiliado o afiliados que se encuentren bajo los mismos supuestos previamente establecidos por la entidad. Así mismo, las comisiones diferenciales no pueden establecerse por grupos de afiliados, sino que su fijación debe ceñirse a la aplicación de los criterios antes señalados en relación con las condiciones individuales de cada afiliado frente al tipo de fondo.
1.4. Campañas de información y de educación para la promoción del esquema de multifondos
Las AFP deben adelantar campañas de información y de educación financiera para la promoción del esquema de multifondos de los fondos de pensiones obligatorias, con el fin de ofrecer a sus afiliados información clara, completa, oportuna y que genere mayores elementos de juicio, para que éstos puedan adoptar decisiones informadas sobre (i) las alternativas de elección del esquema de multifondos durante la etapa de acumulación de acuerdo con su edad, horizonte de inversión y perfil de riesgo y (ii) los efectos de la toma de tales decisiones.
Las campañas de educación y de información para la promoción de este esquema pueden realizarse a través de la entidad que agremie a las entidades administradoras de fondos de pensiones, utilizando medios masivos de comunicación.
En todo caso, las entidades administradoras de fondos de pensiones deben adelantar dichas campañas a través de mecanismos que procuren que los consumidores financieros conozcan el esquema de multifondos, tales como: página de internet, remisión de cartillas, folletos o volantes educativos junto con los extractos o conferencias en las empresas donde laboren los afiliados de los fondos.
Las administradoras deben mantener a disposición de esta Superintendencia el material de la campaña correspondiente.
Las campañas de información y educación financiera para promover el esquema de multifondos de que trata el presente subnumeral deben contemplar, como mínimo, los siguientes aspectos:
1.4.1. Tipos de fondos que conforman el esquema de multifondos.
1.4.2. Características de cada fondo de pensiones (perfil de riesgo, horizonte de inversión, objetivo, principales activos en que puede invertir, entre otros).
1.4.3. Perfil del afiliado al que está dirigido cada fondo teniendo en cuenta la edad, el horizonte de inversión y el grado de tolerancia al riesgo.
1.4.4. Condiciones para la elección y retracto del tipo de fondo.
1.4.5. Efectos de la elección para el afiliado, de acuerdo con su edad y perfil de riesgo.
1.4.6. Condiciones para el traspaso entre los diferentes tipos de fondos administrados por una misma administradora.
1.4.7. Condiciones para el traslado entre sociedades administradoras y traslado de régimen pensional.
1.4.8. Efectos del traslado de administradora, frente a los recursos pensionales y los tipos de fondos seleccionados.
1.4.9. Derechos y deberes de los afiliados a los fondos de pensiones de conformidad con lo señalado en los arts. 2.6.10.1.3 y 2.6.10.1.4. del Decreto 2555 de 2010.
1.4.10. Las reglas aplicables a la asignación por defecto y los efectos de su aplicación.
Cada vez que se promueva o publicite cualquier tipo de fondo del esquema de multifondos debe indicarse que corresponde al fondo de pensiones obligatorias y el tipo de fondo al que hace referencia, por ejemplo, fondo de pensiones obligatorias (nombre del Fondo) conservador, fondo de pensiones obligatorias (nombre del Fondo) moderado y fondo de pensiones obligatorias (nombre del Fondo) mayor riesgo.
El deber de adelantar campañas de información y educación para la promoción del esquema de multifondos no exime a las administradoras de la obligación de suministrar de manera particular a sus afiliados o potenciales afiliados asesoría e información clara, cierta, completa, comprensible y oportuna, que les permita tomar decisiones informadas.
2. DISPOSICIONES RELACIONADAS CON LOS FONDOS ADMINISTRADOS
2.1. Régimen de gastos admisibles para los tipos de fondos de pensiones obligatorios
Con cargo a los tipos de fondos de pensiones se pueden sufragar exclusivamente los gastos que se señalan a continuación, debiendo quedar expresa constancia en el correspondiente reglamento de administración:
2.1.1. Los honorarios y gastos en que haya de incurrirse para la defensa de los intereses de los tipos de fondos, cuando las circunstancias así lo exijan.
2.1.2. Los correspondientes al pago de comisiones por la utilización de comisionistas de bolsa y corredores de valores especializados en TES (CVTES), así como los gastos en que incurran en la negociación de las inversiones a través de sistemas de negociación de valores aprobados por la SFC o en el mercado mostrador registradas en un sistema de registro de operaciones sobre valores debidamente autorizado por la SFC, incluidos los gastos correspondientes a la utilización y acceso a tales sistemas.
2.1.3. Los intereses y demás rendimientos financieros que deban cancelarse por razón de operaciones de reporto o repo activas / pasivas y operaciones simultáneas activas / pasivas, siempre que estén autorizadas.
2.1.4. La pérdida en venta de inversiones, la pérdida en venta de bienes recibidos en pago y los demás gastos de índole similar que autorice con carácter general esta Superintendencia.
2.1.5. La remuneración correspondiente al revisor fiscal de los tipos de fondos.
2.1.6. Los gastos en que haya de incurrirse para la constitución de las garantías que deban otorgarse para hacer posible la participación de la administradora con recursos de los tipos de fondos en los procesos de privatización a que se refiere la Ley 226 de 1995.
2.1.7. Los gastos en que haya de incurrirse en la realización de operaciones a través de las cámaras de riesgo central de contraparte.
2.1.8. Los gastos de compensación y liquidación provenientes de la negociación de inversiones.
2.1.9. Los gastos derivados del registro de valores y los del depósito centralizado de valores que se generen en la realización de operaciones repo, transferencia temporal de valores (TTVs) y simultáneas.
2.1.10. Los gastos derivados del registro de operaciones con instrumentos financieros derivados y con productos estructurados que no se compensen y liquiden en sistemas de compensación y liquidación, incluido el registro de operaciones en los sistemas de registro de operaciones sobre divisas, y los gastos correspondientes a la utilización y acceso a tales sistemas.
2.1.11. Los gastos derivados del registro de operaciones con instrumentos financieros derivados y con productos estructurados realizadas en el mercado mostrador, en un sistema de registro de operaciones sobre valores debidamente autorizado por la SFC, tengan o no la calidad de valores, incluidos los gastos correspondientes a la utilización y acceso a tales sistemas.
2.2. Elección o cambio de tipo de fondo de pensiones obligatorias
Las AFP deben poner a disposición de sus afiliados medios verificables a través de los cuales éstos puedan realizar la elección o cambio de tipo de fondo dentro del esquema de multifondos.
La disposición de los medios verificables por parte de las AFP debe efectuarse por medios físicos, caso en el cual deben adoptar la Proforma B.6000-17 denominada “Elección o cambio de tipo de fondo de pensiones obligatorias”, junto con su respectivo instructivo, disponibles en el Anexo 2 del presente Capítulo, o a través de su canal de distribución de servicios financieros de internet.
Independientemente del medio verificable que se ponga a disposición de los afiliados, las AFP deben:
2.2.1. Asegurar que al afiliado se le suministre de manera obligatoria y previa toda la información sobre el esquema multifondos y las características de cada uno de los tipos de fondos.
2.2.2. Garantizar que se le exigirá al afiliado ratificar que ha comprendido la información suministrada mediante la aplicación de un cuestionario, siendo obligatorio que éste conteste acertadamente tal evaluación de forma previa a la elección o cambio de tipo de fondo.
2.2.3. Advertir al afiliado antes de que manifieste su “ACEPTACIÓN Y DECLARACIÓN DE VOLUNTAD”, acerca de la importancia de haber entendido la información suministrada.
2.2.4. Para efectos de la utilización del canal de distribución de servicios financieros de internet, es necesario que la respectiva AFP obtenga la no objeción previa de la SFC para lo cual debe:
2.2.4.1. Acreditar que el canal cuenta con los mecanismos y las medidas de seguridad necesarios para establecer en todo momento que es el afiliado quien manifiesta de manera expresa y libre su elección o cambio de tipo de fondo.
2.2.4.2. Contar con un sistema de información que le explique al afiliado como mínimo, los aspectos señalados en la Proforma B.6000-17.
2.2.4.3. Asegurar que el sistema en caracteres destacados, le indica al afiliado los medios de que dispone la sociedad administradora para resolver cualquier duda que se le presente, antes de tomar la decisión de elección o cambio de tipo de fondo.
2.2.4.4. Disponer de mecanismos que permitan validar, si realmente corresponde a la primera elección del afiliado o a un cambio de tipo de fondo.
2.2.4.5. Establecer mecanismos que le informen al afiliado la fecha en la que se hará efectiva la orden impartida.
2.2.5. Tanto para la elección o cambio, por medio de la proforma impresa o a través del canal de distribución de servicios financieros de internet de la AFP, es necesario que el afiliado responda una encuesta que permita establecer su perfil de riesgo, advirtiéndole que la misma arroja como resultado una sugerencia, más no la obligación, del tipo de fondo a seleccionar. La sociedad administradora debe dejar evidencia del resultado de dicha encuesta, la cual debe tener en cuenta, como mínimo, los siguientes aspectos:
2.2.5.1. Rango de edad al momento de realizar la solicitud
2.2.5.2. Años en los que proyecta pensionarse (años contados a partir de la fecha de solicitud)
2.2.5.3 Tolerancia a las pérdidas del capital acumulado
2.2.5.4. Tolerancia del afiliado al riesgo en busca de una mejor rentabilidad
2.2.5.5. Periodicidad con la que el afiliado se informa sobre la rentabilidad de los tipos de fondos de pensiones obligatorias
El modelo de encuesta para evaluar el perfil de riesgo puede realizarse individualmente por cada AFP o a través de la entidad que las agremie. Dicho modelo debe remitirse para no objeción previa de la SFC, indicando cada uno de los aspectos a evaluar, la puntuación asignada a cada una de las respuestas y el procedimiento a seguir para determinar el tipo de fondo sugerido.
2.3. Retracto de la elección de tipo de fondo
El afiliado puede ejercer la opción de retracto de su primera elección de tipo de fondo por una única vez. En el evento en que el afiliado decida ejercer la citada opción de retracto, la misma puede ser presentada por escrito o a través del canal de distribución de servicios financieros de internet. Las AFP deben validar que la solicitud de retracto presentada por el afiliado se ejerce frente a su primera elección y que la misma se ha efectuado dentro de los 3 días hábiles siguientes a la fecha de la decisión inicial de elección.
Surtido el procedimiento anterior, las AFP deben informar al afiliado, dentro de los 5 días hábiles siguientes a la solicitud de retracto sobre la aceptación o rechazo de la misma, utilizando para el efecto el mismo medio empleado por el afiliado. En todos los casos, se debe dejar evidencia de dicha respuesta.
2.4. Transferencia de títulos y/o valores entre los diferentes fondos, como consecuencia de los cambios de tipo de fondo
Las juntas directivas de las sociedades administradoras de fondos de pensiones y de cesantías, deben aprobar las políticas de distribución de títulos y/o valores para aquellos eventos en que el traspaso de recursos entre los diferentes tipos de fondos, como consecuencia de los cambios de tipo de fondo, se realice mediante la transferencia de títulos y/o valores.
Para la definición de las citadas políticas, las juntas directivas deben tener en consideración el objetivo de cada uno de los tipos de fondos de pensiones obligatorias, su perfil de riesgo, su horizonte de inversión y su rentabilidad objetivo. En las citadas políticas se debe indicar que corresponde al comité de inversiones de la administradora tomar la decisión sobre los títulos y/o valores a transferir.
Dichas políticas deben permitirle a la administradora actuar con diligencia e imparcialidad en la distribución de los títulos y/o valores, evitando conflictos de interés en la asignación de beneficios o pérdidas que se puedan dar entre los distintos tipos de fondos.
Cada vez que las sociedades administradoras transfieran títulos y/o valores entre los diferentes tipos de fondos administrados como consecuencia de cambios en los tipos de fondo, deben realizar una compensación entre los valores a trasladar por cada tipo de fondo, de tal forma que únicamente se lleven a cabo transferencias por el neto resultante.
El valor por el cual se transfieren títulos y/o valores entre los diferentes tipos de fondo, como consecuencia de cambios de tipos de fondo, debe corresponder al valor por el cual se encontraban registrados en la contabilidad al cierre del día inmediatamente anterior a la transferencia.
El comité de inversiones de las sociedades administradoras, cada vez que transfieran títulos y/o valores entre los tipos de fondos administrados, como consecuencia de cambios de tipos de fondo debe elaborar y mantener a disposición de la SFC un acta de distribución de los títulos, en donde se indique, por lo menos:
2.4.1. La fecha en que se realiza la transferencia.
2.4.2. Los valores compensados entre los tipos de fondo, junto con los documentos que soportan dichos valores, y el neto transferido.
2.4.3. El número asignado por la entidad a la inversión en el tipo de fondo que la transfiere, el cual debe corresponder al reportado en el formato 351 el día inmediatamente anterior a la transferencia. En ningún caso se pueden transferir títulos y/o valores adquiridos el mismo día de la transferencia.
2.4.4. Valor por el cual se transfiere cada título y/o valor.
2.4.5. Razón por la cual se transfieren cada uno de los títulos, la cual debe ser consistente con las políticas establecidas por la junta directiva.
2.4.6. Nombre y firma de quienes suscriben el acta.
El valor de la unidad con el cual un tipo de fondo traspasa recursos a otro, como consecuencia de cambios de tipo de fondo, debe corresponder al valor de la unidad de operación del día en que se transfieren los títulos y/o valores, esto es el día 20 calendario de cada mes o el día hábil siguiente.
2.5. Criterios metodológicos para la conformación del componente de referencia para tener en cuenta en el cálculo de la rentabilidad mínima obligatoria de los fondos de pensiones obligatorias de la etapa de acumulación.
Para cada uno de los tipos de fondos de pensiones obligatorias de acumulación deben tenerse en cuenta los siguientes criterios metodológicos en la constitución, composición y actualización del componente de referencia para efectos del cálculo de la rentabilidad mínima obligatoria, el cual debe conformarse por la suma ponderada de las rentabilidades calculadas con base en un conjunto de índices del mercado.
2.5.1. Índices del mercado
El componente de referencia para tener en cuenta para el cálculo de rentabilidad mínima de cada uno de los tipos de fondos de pensiones obligatorias de la etapa de acumulación se conforma con la variación porcentual (rentabilidad), en términos efectivos anuales, que durante el período de cálculo correspondiente presenten los siguientes índices:
2.5.1.1. Índice para renta variable local: Índice Agregado de Renta Variable Local (IARVL) establecido en el subnumeral 1.10.2.3. del Capítulo III Título III Parte II de la presente Circular.
2.5.1.2. Índice para renta fija internacional: Barclays Capital Global Aggregate Bond Index.
2.5.1.3. Índice para renta variable internacional: Morgan Stanley Capital International All Country World Index (MSCI ACWI).
2.5.1.4. Ponderación de índices para renta fija local.
2.5.1.4.1. En el caso de los fondos mayor riesgo y moderado se debe tener en cuenta la variación porcentual del promedio simple de las rentabilidades de los índices de Deuda Publica COLTES LP (Largo Plazo) y COLTES UVR.
2.5.1.4.2. En el caso del fondo conservador se debe tener en cuenta el índice de Deuda Pública COLTES.
2.5.2. Componente de referencia
El componente de referencia para cada uno de los tipos de fondos de pensiones obligatorias de la etapa de acumulación debe conformarse por la suma ponderada de las rentabilidades de los índices del mercado mencionados. Para el efecto, las citadas rentabilidades deben ponderar en los siguientes porcentajes:
| Rentabilidad | Porcentaje de ponderación |
| Índice para renta fija local: Ponderación indicada en el subnumeral 2.5.1.4. según el tipo de fondo | Porcentaje del portafolio invertido en títulos y/o valores de deuda de emisores nacionales de que trata el Título 12 del Libro 6 de la Parte 2 del Decreto 2555 de 2010. |
| Índice para renta variable local: Índice Agregado de Renta Variable Local (IARVL) | Porcentaje del portafolio invertido en los títulos y/o valores participativos de emisores nacionales de que trata el Título 12 del Libro 6 de la Parte 2 del Decreto 2555 de 2010. |
| Índice para renta variable internacional: Morgan Stanley Capital International All Country World Index (MSCI ACWI) | Porcentaje del portafolio invertido en los títulos y/o valores participativos de emisores del exterior de que trata el Título 12 del Libro 6 de la Parte 2 del Decreto 2555 de 2010. |
| Índice para renta fija internacional: Barclays Capital Global Aggregate Bond Index | Porcentaje del portafolio invertido en los títulos y/o valores de deuda de emisores del exterior de que trata el Título 12 del libro 6 de la parte 2 del Decreto 2555 de 2010. |
2.6. Rentabilidad mínima obligatoria para el fondo especial de retiro programado.
2.6.1. Índices del mercado
La rentabilidad mínima obligatoria para el fondo especial de retiro programado será determinada de acuerdo con la suma ponderada de las rentabilidades que presenten los siguientes índices.
2.6.1.1. Índice representativo del mercado de renta variable local: Índice Agregado de Renta Variable Local (IARVL) establecido en el subnumeral 1.10.2.3. del Capítulo III Título III Parte II de la presente Circular.
2.6.1.2. Índice representativo del mercado accionario del exterior: Morgan Stanley Capital International All Country World Index (MSCI ACWI).
2.6.1.3. Índice representativo del mercado de TES en UVR: Índice de Deuda Publica COLTES UVR.
2.6.2. Porcentajes de ponderación para las rentabilidades de los índices de mercado.
La SFC calculará los porcentajes de ponderación de las rentabilidades de los índices de mercado como el promedio simple, calculado a la fecha de cierre de los doce (12) meses anteriores, de las participaciones de las inversiones en los tipos de activos descritos en el presente subnumeral.
Los porcentajes de ponderación de las rentabilidades de los índices de mercado serán informados por la SFC dentro de los 10 días hábiles del mes de julio de cada año, y se tendrán en cuenta para el cálculo de la rentabilidad mínima obligatoria de los siguientes 12 meses, desde el mes de julio del año de la publicación hasta el mes de junio del año siguiente.
2.6.2.1. El porcentaje de ponderación del índice IARVL será calculado con base en la participación de las inversiones en acciones de emisores nacionales y fondos de inversión colectiva representativos de índices accionarios locales.
%IARVL = 'participación renta variable local'
2.6.2.2. Las rentabilidades del índice MSCI ACWI serán calculadas tanto en dólares estadounidenses como en pesos colombianos, las cuales serán ponderadas de acuerdo con los criterios establecidos a continuación.
2.6.2.2.1 El porcentaje de ponderación de la rentabilidad calculada en dólares estadounidenses del índice MSCI ACWI será el mínimo entre el límite establecido en el régimen de inversión para las inversiones en moneda extranjera sin cobertura cambiaria y la participación de las inversiones en moneda extranjera sin cobertura cambiaria en acciones de emisores extranjeros, fondos de inversión internacionales representativos de índices accionarios y activos alternativos del exterior.
%ACWI USD = min ('participación renta variable y activos alternativos del exterior sin cobertura cambiaria', 'límite de inversiones en moneda extranjera sin cobertura cambiaria')
2.6.2.2.2 El porcentaje de ponderación de la rentabilidad calculada en pesos colombianos del índice MSCI ACWI será el resultado de tomar el mínimo entre el límite establecido en el régimen de inversión para las inversiones en títulos y/o valores participativos y la participación de las inversiones en acciones de emisores extranjeros, fondos de inversión internacionales representativos de índices accionarios y activos alternativos del exterior, y restar a este valor el porcentaje de ponderación obtenido en el subnumeral 2.6.2.2.1.
%ACWI COP = min ('participación renta variable y activos alternativos del exterior', 'límite de inversiones en títulos y/o valores participativos') - %ACWI USD
2.6.2.3. El porcentaje de ponderación de la rentabilidad del índice COLTES UVR para las demás inversiones admisibles, será el resultado de restar al 100% los porcentajes obtenidos en los subnumerales de ponderación obtenidos en los subnumerales 2.6.2.1, 2.6.2.2.1, y 2.6.2.2.2.
%COLTES UVR = 100% - %IARVL - %ACWI USD - %ACWI COP
3. LÍMITE DE LA NEGOCIACIÓN DE COMPRA Y VENTA DE COP/USD BAJO LA MODALIDAD SPOT (CONTADO) O A TRAVÉS DE INSTRUMENTOS FINANCIEROS DERIVADOS
3.1. Para efectos del cálculo del límite de la negociación en divisas a que se refiere el numeral 5 del art. 2.6.12.1.11 del Decreto 2555 de 2010, se debe tener como valor del fondo, el correspondiente al valor promedio de cada tipo de fondo, establecido de conformidad con lo dispuesto en el art. 2.6.12.1.16 del Decreto 2555 de 2010, de los 5 días hábiles anteriores a la fecha de cálculo del límite.
3.2. Se entiende como renovación o ampliación del plazo sobre instrumentos financieros derivados, con la misma u otra contraparte, de conformidad con lo previsto en el literal c del numeral 5, art. 2.6.12.1.11. del Decreto 2555 de 2010 ya mencionado, lo siguiente:
3.2.1. El valor nominal en dólares de los Estados Unidos de Norteamérica de las negociaciones de venta, hasta el monto nominal en dólares de los Estados Unidos de Norteamérica de los vencimientos de venta del mismo día, y
3.2.2. El valor nominal en dólares de los Estados Unidos de Norteamérica de las negociaciones de compra, hasta el monto nominal en dólares de los Estados Unidos de Norteamérica de los vencimientos de compra del mismo día.
En consecuencia, para efectos de establecer el límite de operaciones en divisas, tratándose de las negociaciones y vencimientos de los instrumentos financieros derivados de que trata el primer literal b) del numeral 5 del art. 2.6.12.1.11 del Decreto 2555 de 2010, se debe tener en cuenta el valor que resulte de aplicar para cada día, la siguiente fórmula:
{Valor absoluto (Valor nominal en USD de las negociaciones de venta – Valor nominal en USD de los vencimientos de venta) + Valor absoluto (Valor nominal en USD de las negociaciones de compra – Valor nominal en USD de los vencimientos de compra)}.
Los valores expresados en dólares de los Estados Unidos de Norteamérica se deben convertir a pesos colombianos con base en la tasa representativa del mercado –TRM- calculada y certificada por la SFC en cada uno de los días a tener en cuenta en el cálculo.
4. DISPOSICIONES RELACIONADAS CON NUEVAS MODALIDADES DE PENSIÓN
De conformidad con lo establecido en el literal d) del art. 79 de la Ley 100 de 1993, esta Superintendencia autoriza, de manera general, las siguientes modalidades de pensión, las cuales deben ser ofrecidas a sus afiliados por las entidades administradoras del RAIS, atendiendo las siguientes instrucciones:
4.1. Definiciones generales
Para efectos de lo establecido en este subnumeral se deben tener en cuenta las siguientes definiciones:
4.1.1. Afiliado: Es la persona que hace parte del SGP en los términos del art. 15 de la Ley 100 de 1993, mediante su afiliación a una sociedad que administre fondos de pensiones.
4.1.2. Pensionado: Es la persona que ha cumplido los requisitos para acceder a una pensión de vejez o invalidez en el RAIS.
4.1.3. Mesada pensional: Corresponde al pago mensual que efectúa la administradora o aseguradora, según el caso, con ocasión del reconocimiento de una pensión por causa de vejez, invalidez o sobrevivencia. Dicho pago se efectúa de manera vencida.
4.1.4. Mesada adicional: Pago adicional a las 12 mesadas anuales a que tienen derecho los pensionados del SGP, de acuerdo con lo establecido en el Acto Legislativo 1 de 2005.
4.1.5. Auxilio funerario: Es el pago que debe efectuar la aseguradora o administradora que tiene a su cargo el pago de la pensión de vejez o invalidez, por causa del fallecimiento del pensionado, a la persona que demuestre haber sufragado los gastos de entierro del pensionado, equivalente al valor correspondiente a la última mesada pensional recibida, el cual no debe ser inferior a 5 salarios mínimos legales mensuales vigentes, ni superior a 10 veces dicho salario.
4.1.6. Renta vitalicia diferida: Corresponde a los pagos de mesadas pensionales a partir del mes siguiente a aquel en que termina el periodo de diferimiento y hasta la pérdida del derecho del pensionado y del último de los beneficiarios de ley, momento en el cual cesa la obligación. Si dicha pérdida se presenta durante el periodo de diferimiento no habría lugar a la devolución del capital correspondiente a la renta vitalicia diferida.
A la renta vitalicia diferida le son aplicables, en lo pertinente, las previsiones contenidas en el subnumeral 3.3.2.2.2 del Capítulo II, Título IV de la Parte II de esta Circular.
4.1.7. Tomador: Persona que celebra el contrato de seguro con la compañía de seguros seleccionada y que corresponde al pensionado en el caso de pensiones de vejez o invalidez y, a los beneficiarios de ley en el caso de pensiones de sobrevivientes.
P2 Tit III- Cap III- Cesantias.docx
PARTE II.
MERCADO INTERMEDIADO.
TÍTULO III.
INSTRUCCIONES GENERALES RELATIVAS A LAS OPERACIONES DE LAS ENTIDADES ADMINISTRADORAS DE PENSIONES Y CESANTÍAS.
CAPÍTULO III.
DISPOSICIONES ESPECIALES APLICABLES A LA ADMINISTRACIÓN DE FONDOS DE CESANTÍAS.
CONTENIDO
(...)
Así mismo, cuando el reglamento contenga previsiones adicionales o que no se ajusten en su contenido, total o parcialmente, a las señaladas en el subnumeral anterior, deben someterse a aprobación de la SFC pero únicamente con respecto a tales previsiones.
Para estos efectos, las sociedades administradoras deben indicar en la solicitud respectiva las previsiones del reglamento materia de la aprobación correspondiente, acompañando copia íntegra del reglamento y copia del acta de la junta directiva o del órgano social competente en la cual conste su adopción.
1.1.3. Información a la SFC
Dentro de los 15 días hábiles siguientes a la fecha en que el fondo de cesantía vaya a entrar en operación, la sociedad administradora debe informar por escrito a la SFC acerca de la adopción del respectivo reglamento de administración, acompañando copia del mismo y del acta de la junta directiva, o del órgano social competente, en la cual conste su correspondiente aprobación.
1.2. Régimen de gastos admisibles para los portafolios de corto y largo plazo del fondo de cesantías
Con cargo a cada uno de los portafolios del fondo de cesantía se pueden sufragar exclusivamente los siguientes gastos, de lo cual debe quedar expresa constancia en su reglamento de administración:
1.2.1. Los honorarios y gastos en que haya de incurrirse para la defensa de los intereses de los portafolios, cuando las circunstancias así lo exijan.
1.2.2. Los correspondientes al pago de comisiones por la utilización de comisionistas de bolsa y corredores de valores especializados en TES (CVTES), así como los gastos en que incurran en la negociación de las inversiones a través de sistemas de negociación de valores aprobados por la SFC o en el mercado mostrador registradas en un sistema de registro de operaciones sobre valores debidamente autorizado por la SFC, incluidos los correspondientes al acceso a tales sistemas.
1.2.3. Los intereses y demás rendimientos financieros que deban cancelarse por razón de operaciones de reporto o repo activas/pasivas y operaciones simultáneas activas/pasivas, siempre que estén autorizadas.
1.2.4. La pérdida en venta de inversiones, la pérdida en venta de bienes recibidos en pago y los demás gastos de índole similar que autorice con carácter general esta Superintendencia, y
1.2.5. La comisión de administración o manejo, en favor de la sociedad administradora, en la forma establecida por la SFC, que se cause, siempre y cuando se supere la rentabilidad mínima a que se refieren las disposiciones legales.
1.2.6. Los gastos en que haya de incurrirse para la constitución de las garantías que deban otorgarse para hacer posible la participación de la administradora con recursos de los portafolios del fondo en los procesos de privatización a que se refiere la Ley 226 de 1995.
1.2.7. Los gastos en que haya de incurrirse en la realización de operaciones a través de las cámaras de riesgo central de contraparte.
1.2.8. Los gastos de compensación y liquidación provenientes de la negociación de inversiones.
1.2.9. Los gastos derivados del registro de valores y los del depósito centralizado de valores que se generen en la realización de operaciones repo, transferencia temporal de valores (TTVs) y simultáneas.
1.2.10. Los gastos derivados del registro de operaciones con instrumentos financieros derivados y con productos estructurados que no se compensen y liquiden en sistemas de compensación y liquidación, incluido el registro de operaciones en los sistemas de registro de operaciones sobre divisas y los gastos correspondientes a la utilización y acceso a tales sistemas.
1.2.11. Los gastos derivados del registro de operaciones con instrumentos financieros derivados y con productos estructurados realizadas en el mercado mostrador, en un sistema de registro de operaciones sobre valores debidamente autorizado por la SFC, tengan o no la calidad de valores, incluidos los gastos correspondientes a la utilización y acceso a tales sistemas.
1.2.12. Los gastos correspondientes a la remuneración del revisor fiscal de los portafolios del fondo de cesantías.
1.3. Comisiones
Las AFPC pueden cobrar por la administración de los portafolios de inversión de los fondos de cesantía a que se refiere el art. 2.6.7.1.1. del Decreto 2555 de 2010, las siguientes comisiones:
1.3.1. Sobre el valor del portafolio de inversión de corto plazo, una comisión de hasta el 1% anual, liquidada en forma diaria.
1.3.2. Sobre el valor del portafolio de inversión de largo plazo, una comisión de hasta el 3% anual, liquidada en forma diaria.
1.3.3. Sobre el valor de cada retiro anticipado, una comisión de hasta el 0.8%.
Las comisiones deben cobrarse con arreglo a lo que se establezca en el reglamento que para el funcionamiento del fondo de cesantías adopte la administradora.
En concordancia con lo dispuesto en el art. 101 de la Ley 50 de 1990, los valores anteriores se causan a favor de la administradora solamente cuando se acredite que ésta ha cumplido con la obligación de obtener la rentabilidad mínima de que trata el art. 101 de la Ley 100 de 1993, modificado por el art. 52 de la Ley 1328 de 2009.
Para todos los efectos a que haya lugar, se entiende por retiro anticipado el que efectúa el afiliado para cualquiera de los fines contemplados en los numerales 2 y 3 del art. 102 de la Ley 50 de 1990.
1.4. Auxilio de cesantía
1.4.1. Consignación del auxilio de cesantías
Con el objeto de recibir de los empleadores la consignación de los dineros correspondientes a la liquidación del auxilio de cesantía de sus trabajadores, las administradoras están en obligación de exigir a los empleadores que tal consignación la efectúen diligenciando un formato de consignación que debe ser suministrado por ellas, el cual debe contener, al menos, la siguiente información:
1.4.1.1. Ciudad, fecha y oficina en la cual se realiza la consignación.
1.4.1.2. Nombre o razón social de la empresa que efectúa la consignación y su NIT o el nombre del empleador y su documento de identificación, si es persona natural.
1.4.1.3. La dirección y el teléfono del empleador.
(...)
1.5.1. Tener a disposición de los afiliados al fondo de cesantías el formato que determine el Ministerio del Trabajo a través del cual el trabajador autoriza la destinación de todo o parte de sus cesantías para ahorro en el mecanismo de protección al cesante.
1.5.2. Divulgar y promover en sus canales de servicio la destinación que pueden dar los afiliados de manera libre y voluntaria a parte o la totalidad de las cesantías para la financiación del mecanismo de protección al cesante. Especialmente, durante el primer trimestre de cada anualidad, deben disponer campañas y acciones orientadas a explicar a sus afiliados la operatividad de dicho mecanismo.
1.5.3. Adoptar los mecanismos que correspondan a fin de que la decisión de los trabajadores sobre destinación de cesantías para ahorro en el mecanismo de protección al cesante pueda realizarse por medios electrónicos, con las debidas seguridades informáticas y de protección de datos.
1.5.4. Trasladar a la caja de compensación familiar requiriente, el ahorro y los rendimientos destinados por el beneficiario para el mecanismo de protección al cesante, dentro del plazo previsto por el art. 7 de la Ley 1636 de 2013 y utilizando el mismo procedimiento definido para el pago de cesantías a los afiliados, propendiendo porque los traslados sean efectuados en línea.
1.5.5. Desarrollar herramientas de información y consulta sobre las condiciones de los beneficiarios del mecanismo de protección al cesante, en particular sobre el registro de éstos para el acceso a los beneficios, consultando los criterios de seguridad y protección de datos que sean aplicables.
1.5.6. Conservar la destinación de ahorro decidida por afiliado a los recursos orientados al citado mecanismo, en caso de traslado entre entidades administradoras de cesantías.
1.5.7. Contabilizar, en forma separada, los recursos de ahorro voluntario destinados por los trabajadores para el mecanismo de protección al cesante.
1.6. Cesión de fondos de cesantía
Con el fin de garantizar que la cesión de los fondos de cesantía se efectúe con sujeción a la ley, en defensa de los intereses de los afiliados al mismo, se considera indispensable impartir las siguientes instrucciones:
1.6.1. Cierre
Las AFPC que de conformidad con lo previsto en el art. 167 del EOSF cedan el fondo de cesantías por ellas administrado deben efectuar un corte de ejercicio en la fecha inmediatamente anterior a aquella en que se produzca la cesión, siguiendo para el efecto el procedimiento de cierre mensual establecido por la SFC.
1.6.2. Identificación
Al momento de la cesión de un fondo de cesantías, la sociedad cedente debe entregar a la sociedad cesionaria la relación de los afiliados al fondo, con indicación de su participación en los portafolios de corto y largo plazo, expresada en pesos y unidades.
1.6.3. Garantía de rentabilidad mínima
La sociedad cedente de un fondo de cesantía debe garantizar la rentabilidad mínima acumulada exigida por la ley para cada uno de los portafolios administrados, con corte a la fecha en que se efectúe la cesión del fondo. Para el efecto, la SFC debe informar la rentabilidad mínima a las sociedades cedente y cesionaria, dentro de los 5 días hábiles siguientes a la cesión del fondo.
Suministrada dicha información, la entidad cedente dispone de un plazo de 5 días comunes para cancelar la suma necesaria para alcanzar la rentabilidad mínima exigida.
Esta suma se cancelará, en primer lugar, con cargo a la comisión de administración causada hasta el día del cierre a favor de la entidad cedente.
Cuando la comisión de administración causada sea insuficiente para alcanzar la rentabilidad mínima exigida, la diferencia debe ser entregada en efectivo a los portafolios del fondo cesionario para su abono en las cuentas de capitalización individual de quienes al momento de la cesión se encontraban afiliados a los portafolios del fondo cedido. Dicho abono se debe efectuarse en unidades.
En caso de fusión de la entidad cedente, o cuando la totalidad de sus acciones en circulación hayan sido adquiridas por otra entidad o sus pasivos hayan sido cedidos, la obligación de garantizar la rentabilidad mínima debe extenderse a la entidad absorbente o a la nueva sociedad resultante de la fusión, así como a la adquirente de las acciones o de los pasivos, según sea el caso.
1.6.4. Procedimiento a realizar en el fondo cesionario
El día de la cesión, el fondo de cesantía cedido debe incorporarse al administrado por la sociedad cesionaria, la cual debe efectuar la reliquidación de todas las cuentas del fondo cedido, con base en el valor de las unidades de los portafolios del fondo de cesantías por ella administrado vigente para el día de la cesión.
1.6.5. Información a la SFC
Copia de todos los documentos en que conste la cesión y los términos en que ésta se ha pactado deben remitirse a la SFC, dentro de los 2 días hábiles siguientes a la fecha en que ella se produzca.
1.7. Información sobre los derechos y obligaciones de los afiliados y efectos de la selección o modificación de perfil de administración
El reglamento del fondo de cesantías administrado, en el cual se incluye la información completa de los derechos y obligaciones de los afiliados, debe estar a disposición de los mismos para consulta permanente a través de la página de Internet de la respectiva sociedad administradora. En todo caso, las sociedades administradoras deben suministrar de manera física o electrónica el referido reglamento a los afiliados que expresamente lo soliciten, dentro de los 3 días hábiles siguientes a tal requerimiento.
Así mismo, deben publicar por lo menos una vez al año, en el mes de enero, en un diario de amplia circulación nacional, información general sobre los derechos y obligaciones de los afiliados al fondo y los efectos que se derivan de la selección entre los diferentes portafolios de inversión de los aportes y/o recursos de los fondos de cesantía. Especialmente se debe informar a los afiliados que tanto en el portafolio de corto plazo como en el de largo plazo es posible que se produzcan pérdidas en el capital o en los rendimientos. Debe señalarse que el portafolio de corto plazo está orientado a los afiliados que tienen proyectado retirar sus cesantías en el corto plazo y por tanto, el objetivo en su administración es mitigar el riesgo de pérdida en los retiros a efectuar en el corto plazo mediante inversiones en las que se tiene un perfil de menor riesgo con una expectativa de menor rentabilidad que la de un portafolio de largo plazo; en tanto que el portafolio de largo plazo está orientado a los afiliados que no tienen proyectado retirar sus cesantías en el corto plazo y por tal razón, está constituido por inversiones de mayor plazo, con un perfil de mayor riesgo y expectativa de mayor rentabilidad.
La mencionada publicación tiene por finalidad ofrecer a los afiliados mayores elementos de juicio para que puedan adoptar decisiones informadas sobre la forma más adecuada de invertir sus aportes y/o recursos. La publicación puede realizarse individualmente por cada administradora o a través de la entidad que las agremie.
Además de la publicación de avisos en diarios de amplia circulación nacional y la remisión de extractos, se consideran válidas las informaciones que sobre los aspectos mencionados se entreguen a los afiliados por cualquier medio o que se incluyan en las páginas de Internet de las administradoras.
1.8. Definición o modificación del perfil de administración de aportes y/o recursos a los fondos de cesantías
Las administradoras de los fondos de cesantías deben poner a disposición de sus afiliados medios verificables a través de los cuales definan y modifiquen el perfil de administración de los aportes y/o recursos en los fondos de cesantías entre los portafolios de corto plazo y largo plazo, ya sea por medio de formatos impresos en los que conste la firma y aceptación del afiliado o a través del canal de distribución de servicios financieros de Internet. En cualquier caso, las administradoras deben atender lo dispuesto en el Anexo 2 del presente Capítulo en el que se presenta la proforma B.6000-16 “Proforma de Definición o Modificación del Perfil de Administración de aportes a los Fondos de Cesantías” con su respectivo instructivo.
Para efectos de la utilización del canal de servicios de Internet, es necesario que la respectiva administradora obtenga la no objeción previa de la SFC, para lo cual debe:
1.8.1. Establecer los criterios de segmentación de sus afiliados con el propósito de determinar a cuáles de ellos les permite el uso de dicho canal para la selección del perfil de administración de los recursos de cesantías.
1.8.2. Contar, a través del canal de servicios de Internet, con un sistema de información que explique de manera amplia y suficiente a los afiliados las características de los portafolios de corto y largo plazo elegibles, los efectos de la selección o modificación del perfil de administración y los tiempos para el traslado de recursos entre uno y otro portafolio. Así mismo, debe advertir a los afiliados acerca de la importancia de haber entendido la información suministrada y que en caso de dudas deben acceder a los medios que disponga la administradora para su aclaración.
Dicho sistema debe asegurar que la información se suministre de manera previa y obligatoria a la selección o modificación del perfil y dejar evidencia de su aceptación por parte del afiliado.
Acreditar que el canal de servicios de Internet cuenta con los mecanismos y las medidas de seguridad necesarios para establecer en todo momento que es el afiliado quien manifiesta de manera expresa y libre su selección de perfil de administración.
Establecer mecanismos que le permitan informar a los afiliados la selección efectuada, dentro de los 5 días hábiles siguientes a la decisión.
1.9. Rentabilidad mínima obligatoria para el portafolio de corto plazo de los fondos de cesantías
De conformidad con el art. 2.6.9.1.1 del Decreto 2555 de 2010, la rentabilidad mínima obligatoria para el portafolio de corto plazo de los fondos de cesantía corresponde a la rentabilidad acumulada efectiva anual disminuida en un 25%, arrojada para el período de cálculo correspondiente de un indicador de referencia de corto plazo neto de comisión de administración.
Para tal efecto, la SFC calcula la rentabilidad de un indicador de referencia construido con la rentabilidad diaria de la tasa IBR overnight, los aportes netos al final del día, y la comisión de administración autorizada.
1.10. Rentabilidad mínima obligatoria para el portafolio de largo plazo de los fondos de cesantías.
1.10.1. La rentabilidad acumulada por el portafolio de largo plazo del fondo de cesantía se calcula de acuerdo con el art. 2.6.9.1.3 del Decreto 2555 de 2010.
1.10.2. En atención a lo dispuesto en art. 2.6.9.1.2 del Decreto 2555 de 2010, la Superintendencia Financiera debe indicar los índices representativos del mercado de renta variable local, el mercado accionario del exterior, y el mercado de renta fija. Para el efecto, se tendrán en cuenta la variación porcentual efectiva anual durante el periodo de cálculo, una vez descontada la comisión de administración autorizada, que presenten los índices enunciados en los siguientes subnumerales.
El valor por descontar corresponde al porcentaje de comisión de administración autorizada de acuerdo con el subnumeral 1.3 del presente Capitulo que se haya causado durante el periodo de cálculo correspondiente.
1.10.2.1. Índice representativo del mercado accionario del exterior: Morgan Stanley Capital International MSCI All Country World Index (MSCI ACWI).
1.10.2.2. Metodología de agregación de índices de renta fija para el portafolio de largo plazo del fondo de cesantías.
La metodología de agregación de índices de renta fija busca establecer la forma de cálculo de un referente que se denominará índice agregado de renta fija local (IARFL).
1.10.2.2.1. Consideraciones generales del índice agregado de renta fija local (IARFL)
El IARFL es aplicable únicamente para efectos del cálculo de determinar la rentabilidad mínima el portafolio de largo plazo de los fondos de cesantías.
1.10.2.2.1.1. Nivel inicial
El nivel inicial del IARFL el 1 de abril de 2019 es de 100
1.10.2.2.1.2. Componentes
Hasta tanto no exista otro índice de renta fija, que de acuerdo con los criterios establecidos en el subnumeral 1.10.2.2.1.3., pueda considerarse en el IARFL, el mismo está compuesto por el Índice de Deuda Pública COLTES publicado por la Bolsa de Valores de Colombia - BVC.
1.10.2.2.1.3. Criterios de elegibilidad de índices de renta fija local para hacer parte del cálculo del IARFL.
Con base en lo establecido en el parágrafo 3 del artículo 2.6.9.1.2 del Decreto 2555 de 2010, los criterios que debe cumplir un índice para hacer parte del IARFL son los siguientes:
1.10.2.2.1.3.1. Experiencia del proveedor: el proveedor del índice debe hacer parte del listado de bolsas y entidades reconocidas por la SFC para elaboración de índices, relacionado con el régimen de inversión de los recursos del portafolio de cesantías de que trata el subnumeral 7.2 del Capítulo II, Título II, Parte I de la presente Circular.
1.10.2.2.1.3.2. Representatividad: el índice debe reflejar razonablemente el comportamiento del mercado de renta fija local de acuerdo con la duración del portafolio de largo plazo de los fondos de cesantías.
1.10.2.2.1.3.3. Replicabilidad: para índices de deuda pública los mismos deben estar compuestos por títulos admisibles para el régimen de inversión. Para índices de deuda privada, los mismos deben ser replicables mediante un Exchange Traded Fund – ETF listado en el mercado doméstico y negociable en moneda local.
1.10.2.2.1.3.4. Condiciones mínimas de divulgación: la metodología de construcción del índice debe ser de público conocimiento y disponible para consulta en línea, así como sus políticas de rebalanceo y recomposición.
1.10.2.2.1.3.5. Administración: deben estar establecidas las políticas de gobierno corporativo en relación con los procedimientos para administrar los conflictos de interés de los agentes involucrados en la construcción y divulgación del índice hacia el mercado. Esta información debe ser pública y estar disponible para su consulta en línea.
1.10.2.2.1.3.6. Disponibilidad de información histórica: el índice debe contar por lo menos con 12 meses de información histórica real. Adicionalmente debe estar disponible información histórica simulada (backtesting) de 5 años antes del inicio oficial del índice y de la canasta que lo compone. Esta información debe ser pública y estar disponible para su consulta en línea.
El incumplimiento de alguno de los anteriores criterios por parte de un índice es causal de su retiro en el cálculo del IARFL.
1.10.2.2.1.4. Divulgación de cambios en los componentes del IARFL
La Superintendencia debe informar acerca de la inclusión o exclusión de un índice, así como el momento a partir del cual tiene efecto en el cálculo del IARFL. La inclusión o exclusión de un índice debe proceder mínimo transcurridos 3 meses después de haber sido informado este hecho. No obstante, en el caso de una exclusión, excepcionalmente puede proceder un tiempo menor.
1.10.2.2.2. Metodología de cálculo del índice agregado de renta fija local (IARFL)
1.10.2.2.2.1. Determinación del IARFL
El IARFL se calcula mensualmente en función del valor de sus componentes al último día hábil de cada mes. El valor del IARFL se obtiene a partir de su nivel en el mes anterior afectado por la variación porcentual mensual de cada índice que lo conforma, ponderada por su porcentaje de participación, como se muestra a continuación:

Donde:
Vij: Variación porcentual mensual del índice
en el mes
, calculado como: 
: Ponderación porcentual del índice
en el mes ![]()
: Número de índices a ponderar en el mes ![]()
Para todos los casos:
![]()
1.10.2.2.2.2. Cálculo de la ponderación de los índices que hacen parte del IARFL
La ponderación
de cada índice mensualmente hasta completar el tiempo del período de cálculo se determina así:
![]()
![]()
Donde:
: Variación porcentual a ponderar mensualmente el índice
hasta completar el período de cálculo. Una vez todos los índices que conforman el IARFL completen el tiempo del periodo de cálculo, k=0.
: Número de meses del período de cálculo de rentabilidad mínima, establecido en el artículo 2.6.9.1.4 del Decreto 2555 de 2010.
: Ponderación porcentual del índice
, en el mes inmediatamente anterior a un evento de inclusión, o en el último mes del período de exclusión del subnumeral 1.10.2.2.2.3. Este valor solamente se modifica cuando se presenten eventos de inclusión o exclusión.
Sin perjuicio de lo anterior, en caso de incluir un índice o índices de deuda privada, la suma de las ponderaciones de éstos no podrá ser superior al 30%.
1.10.2.2.2.3. Cálculo de la ponderación de los índices cuando se presenta un evento de exclusión del IARFL
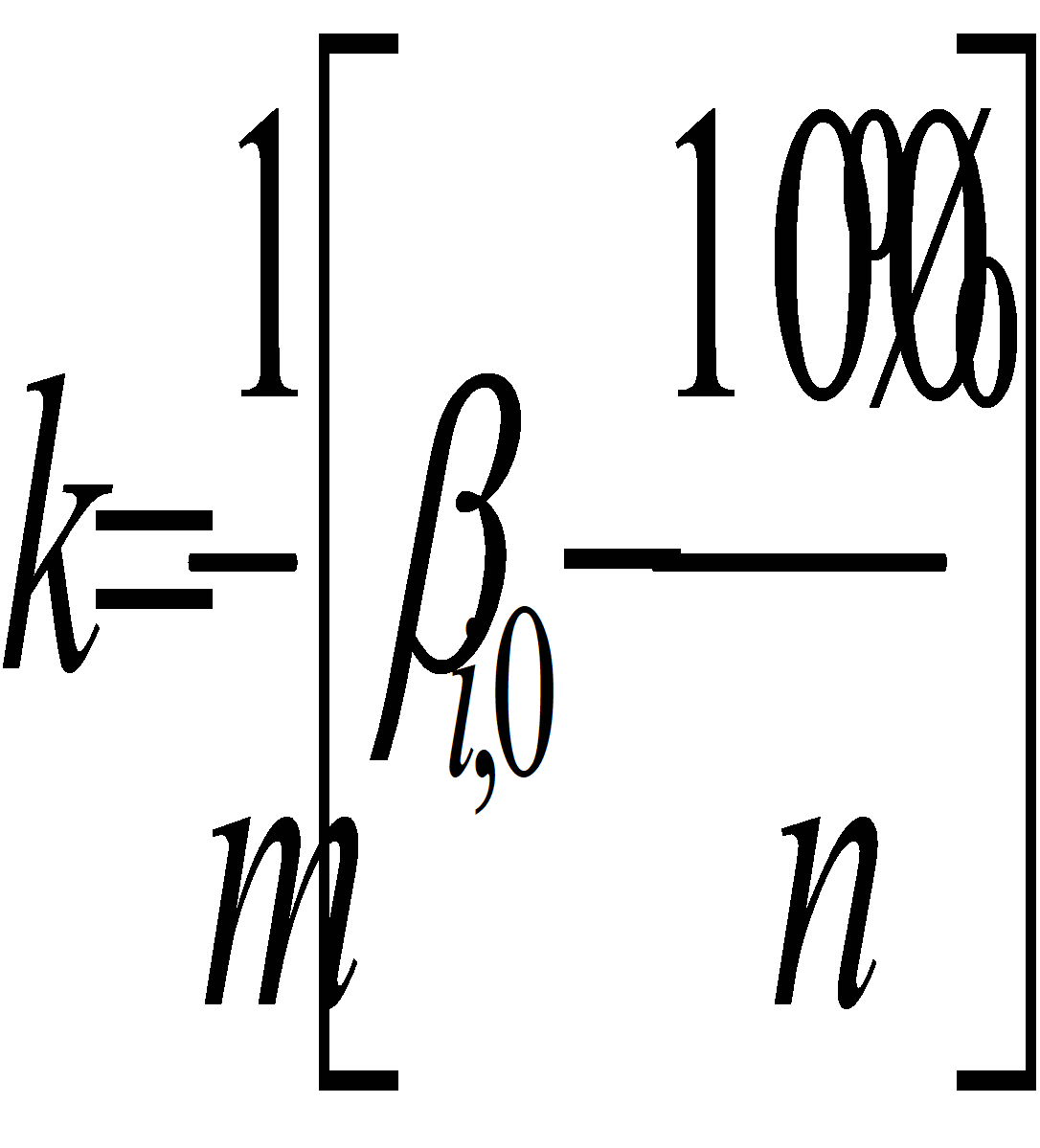
Para efectos de la exclusión de un índice del IARFL, la SFC de acuerdo con lo establecido en el subnumeral 1.10.2.2.1.4 debe informar a partir del momento en el cual el índice dejará de ponderar dentro del IARFL. El índice a ser excluido, mensualmente debe disminuir proporcionalmente su ponderación dentro del IARFL hasta llegar a 0%. El plazo máximo para la exclusión de un índice es de 6 meses; para este caso se tiene que:

Donde:
Eij: reducción porcentual mensual en el ponderador del índice
a ser excluido, en el mes![]()
Por lo tanto, la ponderación del índice
a ser excluido en el mes
está dada por:
![]()
Para el mes
, el porcentaje que mensualmente reduce su participación el índice a ser excluido, debe ser distribuido proporcionalmente
entre los demás índices que hagan parte del IARFL, teniendo en cuenta la ponderación relativa entre ellos, en el mes inmediatamente anterior al evento de exclusión, de tal forma que, durante los meses del período de exclusión, el ponderador para los índices que se mantienen en el IARFL está dado por:
![]()
Finalizado el periodo de exclusión, las ponderaciones de éstos índices deben calcularse de acuerdo con lo establecido en el subnumeral 1.10.2.2.2.2.
1.10.2.3. Metodología de agregación de índices de renta variable local
La metodología de agregación de índices de renta variable local busca establecer la forma de cálculo de un referente que se denominará índice agregado de renta variable local (IARVL).
1.10.2.3.1. Consideraciones generales del índice agregado de renta variable local (IARVL)
Para efectos de determinar la rentabilidad mínima, resulta necesario contar con un IARVL específico para el portafolio de largo plazo de cesantías y para cada uno de los tipos de fondos de pensiones obligatorias, considerando la diferencia en los tiempos de sus períodos de cálculo establecidos en los artículos 2.6.5.1.4 y 2.6.9.1.4 del Decreto 2555 de 2010 respectivamente.
1.10.2.3.1.1. Nivel inicial
El nivel inicial del IARVL el 31 de Agosto de 2011 es de 100
1.10.2.3.1.2. Componentes
Hasta tanto no exista otro índice de renta variable local, que de acuerdo con los criterios establecidos en el subnumeral 1.10.2.3.1.3., pueda considerarse en el IARVL, el mismo está compuesto por el índice Colcap publicado por la Bolsa de Valores de Colombia- BVC.
1.10.2.3.1.3. Criterios de elegibilidad de índices de renta variable local para hacer parte del cálculo del IARVL
Con base en lo establecido en el parágrafo 4 del artículo 2.6.9.1.2 del Decreto 2555 de 2010, los criterios que debe cumplir un índice para hacer parte del IARVL son los siguientes:
1.10.2.3.1.3.1. Experiencia del proveedor: el proveedor del índice debe hacer parte del listado de bolsas y entidades reconocidas por la SFC para elaboración de índices, relacionado con los regímenes de inversión de los recursos de los fondos de cesantía y los de los fondos de pensiones obligatorias de que trata el subnumeral 7.2 del Capítulo II, Título II, Parte I de la presente Circular.
1.10.2.3.1.3.2. Representatividad: el índice debe reflejar razonablemente el comportamiento del mercado de renta variable local, buscando diversificación y evitando el sesgo hacia un sector o sectores específicos.
1.10.2.3.1.3.3. Replicabilidad: el índice debe ser replicable mediante un Exchange Traded Fund – ETF listado en el mercado doméstico y negociable en moneda local.
1.10.2.3.1.3.4. Condiciones mínimas de divulgación: la metodología de construcción del índice debe ser de público conocimiento y disponible para consulta en línea, así como sus políticas de rebalanceo y recomposición.
1.10.2.3.1.3.5. Administración: deben estar establecidas las políticas de gobierno corporativo en relación con los procedimientos para administrar los conflictos de interés de los agentes involucrados en la construcción y divulgación del índice hacia el mercado. Esta información debe ser pública y estar disponible para su consulta en línea.
1.10.2.3.1.3.6. Disponibilidad de información histórica: el índice debe contar por lo menos con 12 meses de información histórica real. Adicionalmente debe estar disponible información histórica simulada (backtesting) de 5 años antes del inicio oficial del índice y de la canasta que lo compone. Esta información debe ser pública y estar disponible para su consulta en línea.
El incumplimiento de alguno de los anteriores criterios por parte de un índice es causal de su retiro en el cálculo del IARVL.
1.10.2.3.1.4. Divulgación de cambios en los componentes del IARVL
La Superintendencia debe informar acerca de la inclusión o exclusión de un índice así como el momento a partir del cual tiene efecto en el cálculo del IARVL. La inclusión o exclusión de un índice debe proceder mínimo transcurridos 3 meses después de haber sido informado este hecho. No obstante en el caso de una exclusión, solo excepcionalmente puede proceder un tiempo menor.