CIRCULAR 39 DE 2016
(septiembre 28)
Boletín Ministerio de Hacienda, Capítulo Superintendencia Financiera de Colombia, No. 389 de 29 de septiembre de 2016
SUPERINTENDENCIA FINANCIERA
| Señores: | REPRESENTANTES LEGALES Y REVISORES FISCALES DE ENTIDADES ASEGURADORAS. |
| Referencia: | Instrucciones en relación con la metodología para la constitución y ajuste de la reserva técnica de siniestros avisados del ramo de riesgos laborales. |
Apreciados señores:
Esta Superintendencia, en ejercicio de sus facultades, en particular las conferidas en el artículo 2.31.4.4.4 del Decreto 2555 de 2010 y el numeral 9o del artículo 11.2.1.4.2 del Decreto 2555 de 2010, imparte las siguientes instrucciones relacionadas con la metodología de cálculo de la reserva de siniestros avisados del ramo de seguro de riesgos laborales:
PRIMERA: Modificar el subnumeral 2.2.5. del Capítulo II, Título IV, Parte II de la Circular Básica Jurídica (CBJ) respecto de la metodología de cálculo de la reserva técnica de siniestros avisados del ramo de seguro de riesgos laborales.
SEGUNDA: Renumerar el subnumeral 2.2.5. del Capítulo II, Título IV, Parte II de la CBJ que se convertirá en el subnumeral 2.2.6. en atención a las modificaciones efectuadas en la instrucción primera de esta circular.
TERCERA: Crear el Anexo 11 del Título IV, Parte II de la CBJ, denominado “Metodología de cálculo de las reservas que componen la reserva técnica de siniestros avisados del ramo de riesgos laborales”.
CUARTA: Adicionar el subnumeral 3.4.5. al Capítulo II, Título IV, Parte II de la CBJ, con el fin de establecer una auditoría médica interna o externa de carácter obligatoria para atender las reclamaciones que se presenten para los seguros de riesgos laborales.
QUINTA: Las entidades aseguradoras tendrán un plazo de un (1) año contado a partir de la fecha de entrada en vigencia de esta circular para acreditar el monto requerido de las reservas técnicas de siniestros avisados.
Para la recopilación de la información de la que tratan los subnumerales 2.1.1.1.1.1, 2.1.1.1.3., 2.1.2.1., 2.1.2.1.1., 2.1.3.1.2., 2.1.3.3.2., y 2.2.1.1. de la instrucción tercera de esta circular, las entidades aseguradoras podrán tomar como referencia los últimos 2 años e ir aumentando dicho término de manera progresiva hasta completar los 3 o 5 años necesarios para los cálculos de la reserva del 1o de enero de 2019 y 1o de enero de 2021, respectivamente.
El plan de ajuste deberá presentarse a la Superintendencia Financiera de Colombia a más tardar el 1o de marzo de 2017.
SEXTA: La presente circular rige a partir del 1o de enero de 2017.
Se anexan las páginas objeto de modificación y el Anexo 11 al que se refiere la instrucción tercera de esta circular.
Cordialmente,
GERARDO HERNÁNDEZ CORREA
Superintendente Financiero de Colombia
------
Exceptuado el seguro previsional de invalidez y sobrevivencia, cuando se inicie la operación de un nuevo ramo, esta reserva se calculará según lo establecido en el parágrafo 4 del art. 2.31.4.2.3 del Decreto 2555 de 2010.
En caso de que la entidad aseguradora se acoja a una metodología de cálculo prospectivo para esta reserva, debe aplicarse lo establecido en el parágrafo 3 del art. 2.31.4.2.3 del Decreto 2555 de 2010.
Los ingresos y egresos relevantes para el cálculo de la reserva por insuficiencia de prima son los siguientes:
2.2.4.2.1. Ingresos:
2.2.4.2.1.1 Primas devengadas de acuerdo con la Proforma F3000-32 (Formato 290), descontando la liberación y/o constitución de las reservas técnicas por insuficiencia de prima e insuficiencia de activos; los ingresos de otros productos de seguros y la remuneración de administración de coaseguro.
2.2.4.2.1.2 Los ingresos de contratos de reaseguro proporcional y no proporcional, correspondientes a comisiones de reaseguro cedido, ingresos de contratos de reaseguro de exceso de pérdida, participaciones de utilidades por reaseguro cedido e intereses y gastos reconocidos por reaseguradores.
2.2.4.2.1.3. Los Ingresos Financieros de los activos que respaldan las reservas técnicas del ramo, sin incluir los rendimientos de las inversiones no asociadas a dichas reservas. Se entiende como Ingresos Financieros aquella entrada bruta de beneficios económicos realizados o causados, según corresponda, durante el periodo de reporte, asociados únicamente a los activos que respaldan las reservas técnicas de los respectivos ramos. Los Ingresos Financieros comprenden:
2.2.4.2.1.3.1. Ingresos realizados de los activos a valor razonable.
2.2.4.2.1.3.2. Ingresos causados de los activos a costo amortizado.
2.2.4.2.1. Egresos:
Los egresos computados deben corresponder en concepto y rango con los establecidos en la respectiva nota técnica.
2.2.4.2.1.1 Siniestros incurridos: Se computan sumando la constitución de reservas de siniestros avisados y ocurridos no avisados neta de reaseguro y los siniestros liquidados; y restando los salvamentos, recobros, reembolsos de siniestros sobre cesiones, así como la liberación de las reservas de siniestros avisados y ocurridos no avisados neta de reaseguro.
En caso de que se excluyan en el cálculo de esta reserva los siniestros caracterizados por baja frecuencia y alta severidad, la entidad aseguradora debe notificarlo a la SFC junto con la documentación que sustente actuarialmente dicha exclusión.
2.2.4.2.1.1. Egresos de contratos de reaseguro: Corresponden al costo de los contratos de exceso de pérdida, los intereses reconocidos a reaseguradores, participaciones de utilidades y otros egresos asociados al reaseguro.
2.2.4.2.1.1. Otros egresos de seguros: Corresponden a los gastos de administración de coaseguro aceptado, contribuciones de seguros y otros egresos.
2.2.4.2.1.1. Gastos de Expedición, en los términos del subnumeral 2.2.4.1.2 de este capítulo.
2.2.4.2.1.1. Gastos de administración y de personal, excluyendo los gastos extraordinarios sufragados con recursos de utilidades acumuladas o aportes de capital para fines específicos, tales como fusiones, adquisiciones, cierre de líneas de negocio y proyectos de infraestructura. Son gastos de administración y de personal aquéllos que no son Gastos de Expedición, ni son gastos de liquidación de siniestros o no están asociados a la gestión de las inversiones de la entidad aseguradora.
2.2.4.2.2.6. Los egresos financieros son aquéllos asociados a la gestión de las inversiones que respaldan las reservas técnicas, tales como pagos a proveedores de precios, remuneración del personal destinado a la labor de la administración de las inversiones, comisiones por concepto de la intermediación de valores y pagos por concepto de infraestructura y equipos destinados a la gestión de las inversiones. Se excluyen de este concepto, los egresos correspondientes a las inversiones propias de las entidades aseguradoras que no respaldan las reservas técnicas.
El monto total de la reserva de siniestros avisados del ramo de seguro de riesgos laborales debe ser igual a la sumatoria de aquella constituida por cada siniestro para cada prestación asistencial y/o económica en la fecha en que la entidad tenga conocimiento de la ocurrencia del siniestro, de acuerdo con el art. 2.31.4.4.4 del Decreto 2555 de 2010.
Para el cálculo de la reserva técnica de siniestros avisados del ramo de seguro de riesgos laborales, por cada siniestro se deben agregar las reservas técnicas constituidas para las siguientes prestaciones y gastos: prestaciones asistenciales (incluyendo, cuando sea del caso, siniestros avisados asistenciales crónicos y siniestros avisados asistenciales vitalicios), incapacidad temporal, incapacidad permanente parcial, pensión de invalidez, pensión de sobrevivencia, auxilio funerario, honorarios de abogados y gastos asociados al siniestro, directos e indirectos. El cálculo de la reserva para cada una de estas prestaciones se debe realizar conforme se indica en el Anexo 11 de este Título.
Los gastos directos asociados al siniestro son aquéllos que se encuentran relacionados de manera específica con un siniestro.
Los gastos indirectos asociados al siniestro son aquellos en que se incurre para la atención de los siniestros pero que no pueden ser asociados a uno solo de ellos.
2.2.6. Instrucciones relativas a la inversión de reservas técnicas en bienes raíces productivos.
De acuerdo con los numerales 3.10 del art. 2.31.3.1.2 y 17 del art. 2.31.3.1.4 del Decreto 2555 de 2010, las reservas técnicas de las entidades aseguradoras de vida, netas del activo de transferencia de riesgo al reasegurador, pueden estar invertidas en bienes raíces productivos ubicados en el territorio colombiano, sin perjuicio de lo dispuesto en el Capítulo V, Título I, Parte I de la presente Circular.
Para que la inversión en bienes raíces productivos sea admisible, es necesario que se cumplan con los siguientes requisitos:
En ese sentido, no se pueden computar como inversión de reservas técnicas aquellas inversiones sobre bienes raíces no productivos. Por lo anterior, estas inversiones tendrán el tratamiento de inversiones de libre inversión de las que trata el art. 2.31.3.1.15 del Decreto 2555 de 2010.
Si un bien raíz deja de ser productivo, la entidad aseguradora tendrá un término de seis (6) meses para volverlo productivo. Si transcurrido dicho término, la entidad aseguradora no ha suscrito un nuevo contrato de arrendamiento o concesión, la respectiva entidad deberá darle el tratamiento de inversiones de libre inversión hasta cuando se celebre un nuevo contrato en las condiciones mencionadas en el primer inciso de este subnumeral.
Las inversiones en bienes raíces productivos deben valorarse teniendo en cuenta el avalúo catastral del inmueble así como la destinación que tenga el bien raíz, esto es, residencial, comercial, industrial u otra y cumplir con las siguientes instrucciones:
Las proyecciones de los flujos deben corresponder a aquellos ingresos establecidos en el contrato de arrendamiento o concesión del bien raíz productivo.
Es necesario que en el informe de valoración del bien raíz se revelen todos los supuestos de rentabilidad y riesgo que se utilizaron para calcular la tasa de descuento y este debe estar a disposición de la SFC.
Cada bien raíz en que se invierta debe identificarse con un solo folio de matrícula inmobiliaria. Si el bien raíz es susceptible de ser fraccionado para su explotación (productividad), sin que lo anterior implique una división de la matrícula inmobiliaria, el cálculo de valoración de la inversión debe tener en cuenta el porcentaje de ocupación del bien raíz y/o las zonas y espacios susceptibles de ser explotados (productivos) pero que no tienen una matrícula inmobiliaria particular.
La no expedición oportuna de la constancia de afiliación a la que se refiere el presente numeral, da lugar a las responsabilidades del caso por impedimento o dilación a la libertad de escoger la entidad administradora de riesgos laborales.
3.4.2.4.7. Información a los trabajadores afiliados. Las entidades administradoras de riesgos laborales deben promover el conocimiento por parte de los trabajadores afiliados de las características y operación del SGRL, mediante cartillas, que deben ponerse a disposición de los trabajadores sin costo alguno.
3.4.3. Reserva de enfermedad laboral
Las entidades aseguradoras autorizadas para la operación del ramo de riesgos laborales deben constituir una reserva técnica acorde con el riesgo del ramo, atendiendo para el efecto las disposiciones contenidas en los arts. 2.31.4.4.4, 2.31.4.4.5., 2.31.4.4.7. y 2.31.4.4.8 del Decreto 2555 de 2010.
3.4.4. Pago de comisiones de intermediación
En virtud de lo dispuesto en el inciso 2 del parágrafo 5 del artículo 11 de la Ley 1562 de 2012, la remuneración a favor de los intermediarios de seguros se debe sufragar con cargo a los recursos propios de las ARL, en consecuencia, la junta directiva de estas entidades o el órgano que haga sus veces, debe adoptar políticas y procedimientos que aseguren el cumplimiento de dicha norma y permitan verificar en todo momento la trazabilidad del origen de los recursos con cargo a los cuales se sufraguen las comisiones de intermediación. Las políticas adoptadas deben garantizar el cumplimiento de la destinación específica de los recursos del SGRL prevista en el artículo 31 de la ley 1562 de 2012.
3.5. Reglas aplicables al seguro de enfermedades de alto costo
3.5.1. Auditoría médica
Para efectos de atender las reclamaciones, la aseguradora debe contar con un sistema de auditoría médica interna o externa, contratada esta última con una sociedad especializada en la materia. En este último evento, la aseguradora debe constatar que la sociedad contratada cuente con una reconocida experiencia en el negocio y una adecuada infraestructura administrativa, técnica, operativa y financiera para el desarrollo de su actividad.
En el caso que se opte por una auditoría médica externa, en el contrato que celebre la aseguradora con la sociedad seleccionada se deben incorporar, en forma clara y precisa, cada una de las actividades que le corresponde ejecutar en los procesos establecidos por la aseguradora y los términos con que cuenta para cumplir su gestión.
3.5.2. Condiciones generales de la póliza
En consideración al marco normativo aplicable a cada régimen, para el ofrecimiento o comercialización de la cobertura de enfermedades de alto costo, se requiere el diseño individual de pólizas de seguro para el contributivo, el subsidiado, así como para aquellas personas catalogadas como vinculados.
Las condiciones generales de la póliza deben incorporar las siguientes estipulaciones:
3.5.2.1. Las tarifas que se aplican para efectos del pago de las indemnizaciones o la manera de determinarlas.
3.5.2.2. En caso que se pacte una participación de utilidades, se debe incluir la fórmula para establecer su monto, la cual debe corresponder a la expresada en la nota técnica.
3.5.2.3. En el evento en que se reconozca una bonificación por buena experiencia, se deben indicar los términos en que ésta se otorga, los cuales deben corresponder a lo expresado en la nota técnica.
3.5.2.4. El procedimiento y términos dentro de los cuales el tomador (EPS) debe notificar a la aseguradora el ingreso y egreso de afiliados a la póliza.
3.5.3. Nota técnica
La nota técnica, además de sustentar la tasa pura de riesgo, debe expresar de manera específica, los porcentajes por concepto de gastos de administración, comisión de intermediación y utilidad esperada por la entidad aseguradora. Así mismo, en la nota técnica se deben incorporar los porcentajes por reconocimiento de bonificaciones y participación de utilidades.
Las modificaciones que con posterioridad a la aprobación del ramo se introduzcan a la nota técnica, se deben remitir a esta Superintendencia en forma previa a su utilización.
3.5.4. Generación y reporte de información al sistema general de seguridad social en salud
Las entidades aseguradoras que otorguen la cobertura de los riesgos derivados de la atención de enfermedades de alto costo, deben estar en capacidad de generar y reportar, en forma oportuna, la información que requieran los organismos de dirección, vigilancia y control del sistema general de seguridad social en salud.
3.6. Reglas aplicables a los seguros de vida
3.6.1. Seguro de vida individual
3.6.1.1. Estadísticas de mortalidad
Anualmente, antes del 9 de agosto, todas las aseguradoras deben allegar la información correspondiente a las pólizas de vida individual del período anual inmediatamente anterior, con corte al 15 de junio, para cuyo efecto a continuación se señala la metodología que deben utilizar.
3.6.1.1.1. Período de observación y convención sobre fechas: Se establece como período de análisis el comprendido entre el 15 de junio de cada anualidad y el 15 de junio del año siguiente. Para todos los efectos, debe asumirse como 15 el día del mes de una fecha dada.
-----------
1. AMBITO DE APLICACIÓN
De acuerdo con las instrucciones del subnumeral 2.2.5. del Capítulo II, Título IV, Parte II de la CBJ, las entidades aseguradoras deben emplear la metodología contenida en este anexo para el cálculo de las reservas constituidas por prestaciones asistenciales, incapacidad temporal, incapacidad permanente parcial, pensión de invalidez, pensión de sobrevivencia, auxilio funerario y honorarios de abogados que deben agregarse para el cálculo de la reserva de siniestros avisados del ramo de riesgos laborales.
2. METODOLOGÍA
2.1. RESERVA DE PRESTACIONES ASISTENCIALES
2.1.1. Para siniestros no crónicos y no vitalicios.
En la fecha en que la entidad aseguradora tenga conocimiento, por cualquier medio, de la ocurrencia del siniestro, debe constituir una reserva por concepto de prestaciones asistenciales. Esta reserva se debe constituir dependiendo del estado en que se encuentre el siniestro:
2.1.1.1. Para los siniestros nuevos, la reserva se constituye de la siguiente forma:
2.1.1.1.1. Siniestros en los que la entidad aseguradora no cuenta con una revisión médica del siniestro por parte de la auditoría médica de la entidad pero ha sido categorizado en los términos del numeral 4 de este anexo.
En los siniestros en los que la entidad aseguradora no cuenta con una revisión médica del siniestro por parte de su auditoría médica o dicha revisión no permita estimar el costo de las prestaciones asistenciales del siniestro, el monto de la reserva para cada siniestro se determina como el Costo Estimado de Prestaciones Asistenciales (CEPA) de la categoría de gravedad asignada en los términos del numeral 4 de este anexo.
2.1.1.1.1.1. Metodología de estimación del CEPA.
El CEPA se calcula por cada categoría de la tabla de categorías de gravedad a la que se refiere el numeral 4 de este anexo.
El CEPA de cada categoría corresponde al promedio simple de los montos pagados por concepto de prestaciones asistenciales para los siniestros pagados de cada categoría (i) en los últimos 3 años, ajustado por un margen de seguridad. El margen de seguridad está definido en función de la desviación estándar de los mismos montos y el número de siniestros considerados. Lo anterior, corresponde a la siguiente fórmula:

: Costo estimado de las prestaciones asistenciales correspondiente a la categoría de gravedad i.
Pk: Monto pagado por concepto de prestaciones asistenciales para el k-ésimo siniestro de la categoría “i”, indexado a la fecha de cálculo de la reserva, de acuerdo con la siguiente fórmula:
![]()
Pj: Monto pagado por concepto de prestaciones asistenciales para el k-ésimo siniestro en el momento “j”.
VIj: Valor del índice de precios al consumidor para el mes “j”, publicado por el DANE.
VIt: Valor del índice de precios al consumidor para el mes “t” publicado por el DANE, siendo “t” el último mes para el cual el índice está disponible.
n: Número total de siniestros que generaron pagos por concepto de prestaciones asistenciales de la categoría “i” durante los últimos 3 años.
DS: Desviación estándar de los montos pagados por concepto de prestaciones asistenciales (Pk) para los “n” siniestros pagados considerados en el cálculo del CEPA.
Para calcular el CEPA, la entidad aseguradora debe tener en cuenta todos los siniestros pagados que le hayan generado desembolsos por concepto de prestaciones asistenciales para cada categoría de gravedad de lesiones o enfermedad laboral, a la que se refiere el numeral 4 de este anexo, en los últimos 3 años. Deben excluirse en el cálculo del CEPA los siniestros para los cuales se calcule la reserva de prestaciones asistenciales de siniestros crónicos y vitalicios.
El cálculo del CEPA debe actualizarse por lo menos una vez al año.
En caso de agotarse la reserva correspondiente a un siniestro avisado por pagos realizados, la entidad debe constituir el 100 % del monto inicial del CEPA para la categoría de gravedad de la lesión o enfermedad laboral en la que está clasificado dicho siniestro.
Esta reserva no se podrá liberar a menos que haya transcurrido 1 año sin que la reclamación haya presentado movimientos.
2.1.1.1.2. Siniestros en los que la entidad aseguradora cuenta con una revisión médica del siniestro por parte de la auditoría médica de la entidad.
Si desde el aviso del siniestro o durante la evolución del mismo, la entidad aseguradora cuenta con una revisión médica del siniestro por parte de la auditoría médica de la entidad que permite realizar el estimado del costo de las prestaciones asistenciales del siniestro, la reserva debe corresponder al monto que se deriva de dicho informe. La entidad aseguradora debe solicitar una actualización de la revisión médica del siniestro para realizar ajustes a esta reserva cuando se generen movimientos por pagos o autorizaciones de tratamientos, cuando se tenga conocimiento de la evolución médica del paciente o, como mínimo, cada 6 meses.
2.1.1.1.3. Siniestros en los que se desconoce la categorización del siniestro.
Cuando la entidad aseguradora no cuente con información del siniestro, bien sea al momento del aviso o del traslado de una entidad aseguradora a otra, la reserva se debe constituir por el monto correspondiente a la categoría de gravedad más alta de acuerdo al numeral 4 de este anexo y la información de los siniestros pagados durante los últimos 3 años.
2.1.1.2. Para siniestros en que se requieran prestaciones asistenciales aunque hayan sido cerrados, la reserva se constituye de la siguiente forma:
2.1.1.2.1. Siniestros en los que la entidad aseguradora no cuenta con una revisión médica del siniestro por parte de la auditoría médica de la entidad y ha sido categorizado en los términos del numeral 4 de este anexo.
En este caso, debe atenderse la instrucción del subnumeral 2.1.1.1.1. de este anexo, descontando el valor de las prestaciones asistenciales pagadas al siniestro. El CEPA utilizado en estos casos corresponde al de la categoría de gravedad de la lesión o enfermedad laboral inmediatamente superior a la categoría con la cual se había cerrado el siniestro, de conformidad con la tabla del numeral 4 de este anexo.
2.1.1.2.2. Siniestros en los que la entidad aseguradora cuenta con una revisión médica del siniestro por parte de la auditoría médica de la entidad.
Debe atenderse la instrucción del subnumeral 2.1.1.1.2. de este anexo.
2.1.1.3. Para siniestros recategorizados.
Cuando haya lugar a recategorizar un siniestro, la reserva debe constituirse de acuerdo con las siguientes instrucciones. En todo caso, la reserva no puede corresponder a un valor negativo o compensarse con los demás siniestros.
2.1.1.3.1. Siniestros en los que la entidad aseguradora no cuenta con una revisión médica del siniestro por parte de la auditoría médica de la entidad:
Debe atenderse la instrucción del subnumeral 2.1.1.1.1. de este anexo, descontando el valor de las prestaciones asistenciales pagadas al siniestro.
El CEPA utilizado en estos casos corresponde al calculado para la nueva categoría de gravedad de la lesión o enfermedad laboral, de conformidad con la tabla del numeral 4 de este anexo.
2.1.1.3.2. Siniestros en los que la entidad aseguradora cuenta con una revisión médica del siniestro por parte de la auditoría médica de la entidad:
Debe atenderse la instrucción del subnumeral 2.1.1.1.2. de este anexo.
2.1.2. Para siniestros crónicos.
Las entidades aseguradoras deben constituir una reserva de prestaciones asistenciales para cada uno de los siniestros avisados para los cuales la auditoría médica de la entidad aseguradora ha emitido un informe en el cual lo cataloga como crónico.
En caso de que la entidad aseguradora no cuente con el informe médico respectivo de su auditoria médica, la entidad debe proceder de acuerdo con el siguiente árbol de decisión, para cada uno de los siniestros avisados a la fecha de cálculo:

*Los años y SMMLV toman como referencia la fecha de cálculo de la reserva.
2.1.2.1. Cálculo de la reserva de prestaciones asistenciales para siniestros crónicos.
Esta reserva debe ser calculada para cada siniestro como una renta en función de la edad, sexo y expectativa de vida del trabajador afiliado. La renta se debe constituir por el tiempo señalado en el informe médico de la auditoría médica o por un periodo de 5 años para los siniestros en los cuales no se cuente con el informe de la auditoría médica de la entidad aseguradora.
En el caso de los siniestros crónicos para los que se tiene un informe médico de la auditoría médica y la recurrencia del pago es mayor a 1 año, la reserva de prestaciones asistenciales para siniestros crónicos se debe constituir como una renta por el tiempo y costo periódico estimado por la auditoría médica de la entidad aseguradora.
El cálculo de la reserva de prestaciones asistenciales para siniestros crónicos que debe realizar la entidad aseguradora debe sujetarse a las instrucciones técnicas del numeral 3.2. de este anexo.
2.1.2.1.1. Cálculo de la reserva de prestaciones asistenciales para siniestros crónicos con recurrencia de pago no mayor a 1 año.
Para cada uno de los siniestros en los cuales el tiempo de constitución (b) de la renta es definido por la auditoría médica de la entidad aseguradora en su informe, la reserva de prestaciones asistenciales para siniestros crónicos se calcula de acuerdo con la siguiente fórmula:
![]()
Donde,
: Corresponde a la reserva de prestaciones asistenciales para el i-ésimo siniestro crónico.
: Corresponde al costo anual de las prestaciones asistenciales definido de acuerdo con el subnumeral 2.1.2.2. de este anexo.
: Corresponde <QUOTE>a una renta temporal a “b” años, vencida contingente de una sola cabeza, anual, la cual paga una unidad monetaria definida en el subnumeral 3.2. de este anexo. Para aquellos casos en los cuales el tiempo de constitución no ha sido determinado por el informe de la auditoría médica de la entidad aseguradora, “b” tomará el valor de 5.
Esta reserva se debe liberar de acuerdo con los pagos que efectúe la entidad aseguradora para cada siniestro. La reserva se debe recalcular anualmente o al agotarse producto de los pagos de las prestaciones por un periodo de 5 años, contados a partir del último pago observado.
2.1.2.1.2. Cálculo de la reserva de prestaciones asistenciales para siniestros crónicos con recurrencia de pago mayor a 1 año.
Para cada uno de los siniestros crónicos para los cuales la entidad aseguradora cuente con el concepto de su auditoría médica que permita estimar el costo medio anual de las prestaciones asistenciales y el tiempo de constitución de la renta y la recurrencia de pago sea superior a 1 año, la reserva de prestaciones asistenciales para siniestros crónicos debe calcularse de acuerdo con la siguiente fórmula:

Donde,
: Corresponde <QUOTE>a la reserva de prestaciones asistenciales para el i-ésimo siniestro crónico con recurrencia de pago mayor a 1 año.
: Corresponde <QUOTE>al costo medio anual de las prestaciones asistenciales para el i-ésimo siniestro, estimado a partir de la revisión de la auditoría médica de la entidad aseguradora.
N: Corresponde <QUOTE>a la duración en años dictaminada por la auditoría médica de la entidad aseguradora.
M: Corresponde a la <QUOTE>recurrencia en años de la prestación asistencial.
a*MPx: Corresponde a la probabilidad de que un individuo de edad “x” sobreviva hasta la edad “x+(a*M)”.
IPCs: Corresponde a la inflación anual proyectada por la entidad aseguradora.
V: El factor de descuento es determinado de acuerdo con la siguiente fórmula:
![]()
Donde,
![]()
j: Variación anual del Índice de Precios al Consumidor publicado por el DANE para cada período.
Esta reserva se debe liberar de acuerdo con los pagos que efectúe la entidad aseguradora para cada siniestro. La reserva se debe recalcular a partir del último pago observado.
2.1.2.2. Cálculo del costo anual de las prestaciones asistenciales.
El costo anual de las prestaciones asistenciales (
) corresponde a la estimación del gasto por prestaciones asistenciales de mantenimiento del siniestro crónico. Este parámetro se debe calcular por siniestro crónico, de acuerdo con el siguiente árbol de decisión:

2.1.2.2.1 El costo anual de las prestaciones asistenciales (
) corresponde al valor determinado a partir del informe presentado por la auditoría médica de la entidad aseguradora.
2.1.2.2.2. El costo anual de las prestaciones asistenciales (
) se debe estimar teniendo en cuenta los siguientes criterios:
2.1.2.2.2.1. El costo anual de las prestaciones asistenciales (
) debe corresponder al costo anual promedio de los pagos de prestaciones asistenciales asociadas al siniestro a partir del primer día del mes 25 contado desde la fecha de aviso del siniestro. El valor de los pagos de las prestaciones asistenciales para realizar dicho cálculo se debe ajustar al último año calendario utilizando el índice de precios al consumidor publicado por el DANE para cada periodo.
2.1.2.2.2.2. Para aquellos siniestros para los que han transcurrido entre 25 y 36 meses contados desde la fecha de aviso y para los cuales la entidad no tiene información de pagos, el costo asistencia anual (
) debe corresponder a la mejor estimación de la entidad aseguradora con base en la información disponible a la fecha de cálculo. El valor de los pagos de las prestaciones asistenciales para realizar dicho cálculo se debe ajustar al último año calendario utilizando el índice de precios al consumidor publicado por el DANE para cada periodo.
El promedio del costo anual de las prestaciones asistenciales de la cartera debe calcularse usando la información de los siniestros crónicos pagados por la entidad. El valor de los pagos anuales por prestaciones asistenciales para realizar dicho cálculo se debe ajustar al último año calendario utilizando el índice de precios al consumidor publicado por el DANE para cada periodo.
2.1.3. Para siniestros vitalicios.
De acuerdo con las siguientes instrucciones, la entidad aseguradora debe calcular la reserva de prestaciones asistenciales para siniestros vitalicios para cada uno de los siniestros de prestación económica de pensión de invalidez, que cumplen alguna de las condiciones del subnumeral 2.1.3.1.
2.1.3.1. Condiciones para la clasificación de siniestros vitalicios.
Los siniestros de prestación económica de pensión de invalidez que cumplen alguna de las siguientes condiciones, deben ser clasificados como asistenciales vitalicios:
2.1.3.1.1. Siniestros que de acuerdo con el criterio de la auditoría médica de la entidad aseguradora generarán pagos vitalicios por concepto de prestaciones asistenciales en periodos subsiguientes.
2.1.3.1.2. Siniestros que han generado pagos por prestaciones asistenciales por un periodo de 3 años o más, no necesariamente consecutivos, contados desde la fecha de aviso y que en los últimos 5 años el valor promedio anual de los pagos generados por prestaciones asistenciales es superior a 1.5 SMMLV.
2.1.3.2. Cálculo de la reserva de prestaciones asistenciales para siniestros vitalicios.
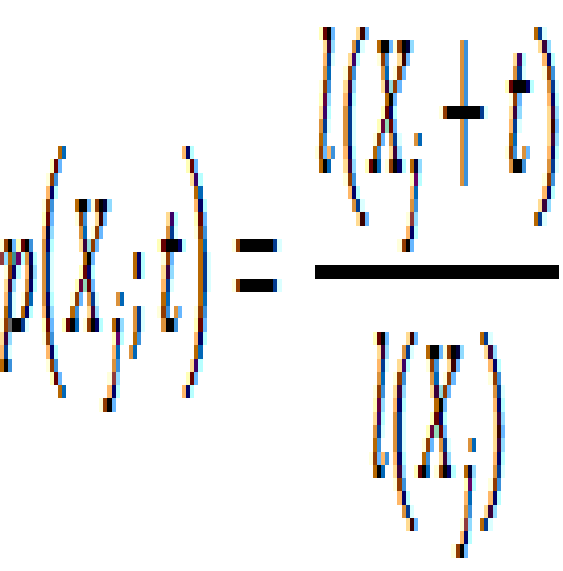
El cálculo de la reserva de prestaciones asistenciales para siniestros vitalicios que debe realizar la entidad aseguradora debe sujetarse a las instrucciones técnicas del subnumeral 3.3. de este anexo. Esta reserva debe ser calculada por cada siniestro vitalicio como una renta en función de la edad, sexo y expectativa de vida del pensionado por invalidez. Para cada uno de los siniestros que se clasifiquen como asistenciales vitalicios, la reserva de prestaciones asistenciales para siniestros vitalicios se debe calcular de acuerdo con la siguiente fórmula:
![]()
Donde,
: Corresponde <QUOTE>a la reserva de prestaciones asistenciales para el i-ésimo siniestro vitalicio.
: Corresponde <QUOTE><QUOTE>al costo anual de las prestaciones asistenciales para el i-ésimo siniestro, definido de acuerdo con el subnumeral 2.1.3.4. de este anexo.
: Corresponde <QUOTE><QUOTE>a la renta vitalicia vencida contingente de una sola cabeza, de edad “x” en el momento del cálculo de la reserva, pagadera anual, la cual paga una unidad monetaria definida en el subnumeral 3.3. de este anexo.
Esta reserva se recalcula el primero de enero de cada año y se debe liberar de acuerdo con los pagos que efectúe la entidad aseguradora para cada siniestro vitalicio.
2.1.3.3. Cálculo del costo anual de las prestaciones asistenciales:
El costo anual de las prestaciones asistenciales (
) corresponde a la estimación del gasto por prestaciones asistenciales de mantenimiento del siniestro vitalicio. Este parámetro se debe calcular por siniestro, de acuerdo con el siguiente árbol de decisión:

2.1.3.3.1. El costo anual de las prestaciones asistenciales (
) corresponde al valor determinado a partir del informe de la auditoría médica de la entidad aseguradora.
2.1.3.3.2. El costo anual de las prestaciones asistenciales (
) es estimado usando la información de pagos anuales por prestaciones asistenciales asociados al siniestro “i” transcurridos ”t” años de acuerdo con la siguiente fórmula:
![]()
Donde,
PAn: Corresponde <QUOTE>al pago anual por concepto de prestaciones asistenciales del siniestro “i”, ajustado a la fecha de cálculo empleando el índice de precios al consumidor publicado por el DANE, transcurridos “n” años desde la fecha de aviso. Es posible que PAk= 0, para algún 1=k <QUOTE>=t.
IPM: Corresponde<QUOTE> a un parámetro elegido de acuerdo con la información histórica de los siniestros asistenciales vitalicios pagados por la entidad aseguradora, el cual denota la probabilidad de que el siniestro no genere pagos adicionales por concepto de prestaciones asistenciales dado que en los últimos 3 años no se han efectuado pagos por ese concepto.
t: Corresponde al número de años transcurridos desde la fecha de aviso.
0 si el siniestro no ha generado <QUOTE>pagos por prestaciones asistenciales en los últimos 3 años.
IPM=
1 si el siniestro ha generado pagos por prestaciones asistenciales en los últimos 3 años.
2.1.3.3.3. En ausencia de información del costo de las prestaciones asistenciales asociadas al siniestro, el (
) estimado debe corresponder al costo anual promedio por prestaciones asistenciales de la cartera de siniestros asistenciales vitalicios de la entidad aseguradora.
El promedio del costo anual por prestaciones asistenciales de la cartera debe calcularse usando la información de los siniestros asistenciales vitalicios pagados por la entidad aseguradora. El valor de los pagos de las prestaciones asistenciales para realizar dicho cálculo se debe ajustar al último año calendario utilizando el índice de precios al consumidor publicado por el DANE para cada periodo.
2.2. RESERVA POR INCAPACIDAD TEMPORAL
2.2.1. Constitución de la reserva inicial.
En la fecha en que la entidad aseguradora tenga conocimiento, por cualquier medio, de la ocurrencia del siniestro, debe constituir una reserva inicial por concepto de incapacidad temporal.
Para los siniestros en los que la entidad aseguradora no cuente con un informe de la auditoría médica o cuando cuente con dicho informe pero este no defina los días de incapacidad, la reserva técnica para cada siniestro avisado se debe constituir de acuerdo con la siguiente fórmula:
![]()
: Reserva de siniestros avisados por concepto de incapacidades temporales para el siniestro “a” perteneciente a la categoría “i” de gravedad de la lesión o enfermedad laboral de que trata el numeral 4. de este anexo.
IBCa: Último ingreso base de cotización del afiliado con base 30 días. Cuando no se disponga del IBC, se debe utilizar el salario registrado en el formato de afiliación o la información disponible en la última planilla de autoliquidación de aportes con las que se cuente, indexado a la fecha de cálculo.
DIEi: Días de incapacidad estimados para la categoría “i” de gravedad de la lesión o enfermedad laboral a la que pertenece el siniestro avisado.
FP: Factor prestacional correspondiente a la cotización para los Sistemas Generales de Pensiones y de Seguridad Social en Salud establecida en la Ley 100 de 1993, correspondiente a los empleadores, durante el periodo de incapacidad.
2.2.1.1 Metodología para el cálculo de los días de incapacidad estimados (DIE)
Los DIE para cada categoría son iguales al promedio simple de los días de incapacidad para los siniestros pagados para la categoría “i” a la que se refiere el numeral 4. de este anexo, en los últimos 3 años, ajustados por un margen de seguridad. El margen de seguridad está definido en función de la desviación estándar de los días de incapacidad temporal de los siniestros que hayan generado pagos de los últimos 3 años para la categoría de referencia y el número de siniestros considerados. Lo anterior se expresa en la siguiente fórmula:
DIEi: Días de incapacidad estimados para la categoría “i” de gravedad de la lesión o enfermedad laboral a la que pertenece el siniestro avisado.
Dk: Número de días de incapacidad temporal para el k-ésimo siniestro de la categoría “i” considerado.
DS: Desviación estándar de los días perdidos para los “n” siniestros pagados considerados en el cálculo de los DIE.
n: Número total de siniestros pagados que causaron pagos por concepto de incapacidad temporal de la categoría “i” durante los últimos 3 años.
Para los siniestros que cuenten con un informe de la auditoría médica de la entidad aseguradora que defina los días de incapacidad, la reserva se constituirá empleando los días determinados en dicho informe.
Para calcular los DIE se debe tener en cuenta la información de los siniestros que hayan generado pago por concepto de incapacidad temporal en los últimos 3 años para cada categoría de gravedad de lesiones o enfermedad laboral de que trata el numeral 4. de este anexo. Según el caso, se debe considerar la fecha de rehabilitación, readaptación o recuperación o de la declaración de incapacidad permanente parcial, pensión de invalidez o de sobrevivencia.
Para cada siniestro se deben calcular los días transcurridos entre el día siguiente a la ocurrencia del accidente de trabajo o de iniciada la incapacidad derivada de enfermedad laboral y el momento de su rehabilitación, readaptación o recuperación o de la declaración de incapacidad permanente parcial, invalidez o muerte, según corresponda.
Cuando la entidad aseguradora no cuente con información de la enfermedad laboral que genera los pagos por prestaciones asistenciales, bien sea al momento del aviso o del traslado de una entidad aseguradora a otra, la reserva por incapacidad temporal se constituirá por el monto correspondiente a la categoría de gravedad moderada, de acuerdo con la información de los siniestros pagados de los últimos 3 años.
2.2.2. Ajuste de la reserva.
Esta reserva técnica debe ajustarse en los siguientes casos:
2.2.2.1. Cuando se cuente con el informe de la auditoría médica de la entidad aseguradora que defina los días de incapacidad del siniestro y estos sean inferiores o superen los días de incapacidad estimados de la categoría DIEi, la reserva debe ajustarse considerando los días que ha estado incapacitado el afiliado con ocasión del siniestro.
2.2.2.2. Cuando el siniestro sea reclasificado y le sea asignada otra categoría de gravedad, de acuerdo con lo establecido en el numeral 4 de este anexo, se debe ajustar la reserva en concordancia con los parámetros de la nueva categoría.
2.2.2.3. En los casos en que se tenga conocimiento de que los días de incapacidad reales superan los días estimados en el DIE o en el informe de la auditoría médica de la entidad aseguradora, la reserva debe ajustarse con base en los días de incapacidad reales.
2.3. RESERVA POR INCAPACIDAD PERMANENTE PARCIAL
En la fecha en que la entidad aseguradora tenga conocimiento por cualquier medio de la ocurrencia del siniestro, la auditoría médica de la entidad aseguradora debe determinar el nivel de pérdida de la capacidad laboral de acuerdo con las características e información disponible del tipo de lesión o enfermedad. Si el grado o porcentaje de pérdida de capacidad laboral es igual o superior al 5 % e inferior al 50 %, la entidad aseguradora debe constituir una reserva por concepto de incapacidad permanente parcial para cada siniestro avisado. Esta reserva se debe constituir de acuerdo con la siguiente fórmula:
: Reserva de siniestros avisados correspondiente a solicitudes de incapacidad permanente parcial para el siniestro avisado “a” a la fecha de cálculo “t”.
MIMa: Monto de la indemnización en meses correspondiente al siniestro avisado “a” de acuerdo con el porcentaje o grado de pérdida de capacidad laboral que define el Decreto 2644 de 1994 y demás normas que lo complementen, modifiquen o sustituyan.
IBLa: Ingreso base de liquidación del afiliado del siniestro avisado “a”, calculado de acuerdo con la normativa vigente, con base 30 días e indexado a la fecha de cálculo.
Esta reserva se debe ajustar durante el período de rehabilitación del trabajador afectado, dependiendo de su evolución y el informe de la auditoría médica de la entidad aseguradora, así como en el transcurso del proceso de determinación de la pérdida de la capacidad laboral, ante una variación del grado o porcentaje de la pérdida declarada por la comisión interdisciplinaria de la entidad aseguradora o las Juntas de Calificación de Invalidez.
2.4. RESERVA POR PENSIÓN DE INVALIDEZ
En la fecha en que la entidad aseguradora tenga conocimiento, por cualquier medio, de la ocurrencia del siniestro, debe constituir una reserva por concepto de pensión de invalidez para cada siniestro avisado en el que a criterio de la auditoría médica de la entidad aseguradora se pueda determinar un porcentaje o grado de pérdida de capacidad laboral igual o superior al 50 %. Esta reserva se debe constituir de acuerdo con la siguiente fórmula:
: Reserva por concepto de pensión de invalidez para el siniestro avisado “a” a la fecha de cálculo “T”.
T0: Tiempo transcurrido, en meses, desde la fecha de estructuración de la invalidez o la fecha de finalización de la última incapacidad temporal pagada, la que sea más reciente, hasta la fecha de cálculo de la reserva, descontando los días de incapacidad conocidos o reconocidos.
: Reserva matemática por concepto de pago de pensiones calculada al momento de evaluación “T” para el siniestro avisado “a”.
: Capital técnico necesario para el pago de pensiones a la fecha de cálculo “T”, determinado de acuerdo con las instrucciones técnicas que se señalan en el subnumeral 3.1. de este anexo.
: Monto de la pensión por invalidez en el mes “h” según el art. 10 de la Ley 776 de 2002 o demás normas que lo modifiquen o sustituyan, para el grado de pérdida de capacidad laboral “C”, considerando el ajuste periódico en el mes “h” que corresponda, la aplicación de los máximos de ley o del contrato, las mesadas adicionales, las actualizaciones correspondientes, etc. Cabe resaltar que cada mesada se debe actualizar hasta la fecha de cálculo de la reserva.
El monto de la pensión inicial se debe determinar de acuerdo con el grado o porcentaje de pérdida de capacidad laboral como se indica continuación:
- Si el porcentaje o grado de pérdida de capacidad laboral es mayor o igual al 50 % y menor al <66 %: PI = 60 %*IBL
- Si el porcentaje o grado de pérdida de capacidad laboral es mayor o igual al 66 %: PI = 75 %*IBL + ATP
Donde,
ATP: beneficio correspondiente al auxilio de terceras personas en los términos de la Ley 776 de 2002 y demás normas que la modifiquen o sustituyan.
IBL: Ingreso base de liquidación del trabajador calculado de acuerdo con la normativa vigente con base 30 días e indexado a la fecha de cálculo.
GAdm1: Gasto de administración mensual de la renta expresado como porcentaje de la mesada pensional, de acuerdo con lo definido en la nota técnica de cada entidad aseguradora, incluyendo los gastos asociados al siniestro directos e indirectos relacionados con la prestación de la pensión de invalidez.
: Reserva matemática por concepto de gastos funerarios correspondiente al siniestro “a” a la fecha de cálculo “T”, determinado de acuerdo con las instrucciones técnicas que se señalan en el subnumeral 3.1. de este anexo.
GAmd2: Gasto de administración expresado como porcentaje del auxilio funerario, de acuerdo con lo definido en la nota técnica de cada entidad aseguradora.
2.5. RESERVA POR PENSIÓN DE SOBREVIVENCIA
En la fecha en que la entidad aseguradora tenga conocimiento, por cualquier medio, de la ocurrencia del siniestro que genere la prestación de pensión de sobrevivencia, debe constituir una reserva por este concepto de acuerdo con la siguiente fórmula:
: Reserva de siniestros avisados por concepto de pensión de sobrevivencia a la fecha de cálculo “T” para el siniestro avisado “a”.
T0: Tiempo transcurrido, en meses, desde la fecha en que se dio origen al beneficio o del fallecimiento hasta la fecha de cálculo “T”.
: Reserva matemática por concepto de pago de pensión, calculada al momento de evaluación “T” para el siniestro avisado “a”.
: Capital técnico necesario para el pago de pensión a la fecha de cálculo “T”, determinado de acuerdo con las instrucciones técnicas que se señalan en el subnumeral 3.1. de este anexo.
PSh: Monto mensual de la pensión de sobrevivencia en el mes “h” según el art. 12 de la Ley 776 de 2002 o las demás normas que lo modifiquen o sustituyan, considerando el ajuste periódico en el mes “h” que corresponda, la aplicación de los máximos de ley o del contrato, las mesadas adicionales, las actualizaciones que correspondan, etc. Cabe resaltar que cada mesada se debe actualizar hasta la fecha de cálculo de la reserva. El monto de la pensión inicial se determina considerando:
- Si el siniestro avisado corresponde a la muerte del afiliado: PSh = 75 % * IBL
- Si el siniestro avisado corresponde a la muerte del pensionado por invalidez: PSh = PI
Donde,
IBL: Ingreso base de liquidación del afiliado, calculado de acuerdo con las normas vigentes con base 30 días e indexado a la fecha de cálculo.
PI: Monto de la pensión que percibía el pensionado por invalidez. En caso de que el pensionado hubiera necesitado la ayuda de otra persona, se deberá descontar el 15 % adicional reconocido al causante.
GAdm1: Gasto de administración mensual expresado como porcentaje de la mesada de acuerdo con lo definido en la nota técnica de la entidad aseguradora.
En los casos en que la persona muera antes de ser notificada de su pensión de invalidez, se deberá reconocer como una pensión de sobrevivencia, calculada de acuerdo con el grupo de beneficiarios de ley.
En caso de que se reconozca la pensión de sobrevivencia a algunos de los beneficiarios del grupo familiar, pero exista controversia respecto de los demás integrantes, la entidad aseguradora debe liberar la reserva técnica de siniestros avisados y constituir la reserva matemática al 100 % de la mesada, con base en el grupo familiar con mayor esperanza de vida.
2.6. RESERVA POR AUXILIO FUNERARIO
En la fecha en que la entidad aseguradora tenga conocimiento, por cualquier medio, de la ocurrencia de un siniestro que da lugar al reconocimiento de la prestación de auxilio funerario, la entidad aseguradora debe constituir una reserva por este concepto. Esta reserva se debe constituir de acuerdo con la siguiente fórmula:
: Reserva de siniestros avisados por concepto de gastos funerarios para el siniestro avisado “a”.
IBCa: Último ingreso base de cotización del afiliado con base 30 días. Cuando no se disponga del IBC, se debe utilizar el salario registrado en el formato de afiliación o la información disponible en la última planilla de autoliquidación de aportes con las que se cuente, indexado a la fecha de cálculo.
SMMLV: Salario mínimo mensual legal vigente a la fecha de cálculo.
2.7. RESERVA POR HONORARIOS DE ABOGADOS
Las entidades aseguradoras deben constituir una reserva por concepto de honorarios de abogados para cada uno de los siniestros avisados que se encuentren en proceso judicial o conciliación (incluyendo aquellos en los cuales la pretensión está por fuera del alcance de la cobertura del seguro de riesgos laborales o la probabilidad de ser fallados en contra de la entidad aseguradora es baja) desde el momento de notificación de admisión de la demanda o solicitud de conciliación. Esta reserva debe corresponder a la mejor estimación que pueda realizarse a la fecha de cálculo de la reserva, con base en la metodología que defina la entidad aseguradora y en el acuerdo que se tenga con el abogado que representa judicial o prejudicialmente a la entidad.
La metodología que adopte la entidad debe estar debidamente documentada, permanecer a disposición de la SFC y corresponder al tipo de acuerdo que se tenga con el abogado.
2.8. AFECTACIÓN DE LA RESERVA TÉCNICA DE SINIESTROS AVISADOS POR PROCESOS JUDICIALES
Para los siniestros avisados que se encuentren en proceso judicial o conciliación (incluyendo aquellos en los cuales la pretensión está por fuera del alcance de la cobertura del seguro de riesgos laborales o la probabilidad de ser fallados en contra de la entidad aseguradora es baja) y en los cuales la pretensión del demandante sea el pago de una incapacidad permanente parcial, una pensión de invalidez o una pensión de sobrevivencia, se debe constituir una reserva de siniestros avisados de acuerdo con las instrucciones técnicas de los numerales 2.3 a 2.6 según corresponda y desde el momento de notificación de admisión de la demanda o solicitud de conciliación, siempre y cuando no exista a la fecha de cálculo, una reserva matemática de pensión de invalidez y de pensión de sobrevivencia.
Para los siniestros avisados que estén en proceso judicial, las entidades aseguradoras deben afectar la reserva de siniestros avisados del ramo de riesgos laborales de acuerdo con la probabilidad del riesgo técnico-jurídico del proceso judicial, correspondiente a la categoría de riesgo técnico-jurídico.
La reserva por honorarios de abogados a la que hace referencia el numeral 2.7 no debe ser afectada por la probabilidad del riesgo técnico-jurídico del proceso judicial de la que trata este subnumeral.
2.8.1. Creación del comité interdisciplinario de evaluación de siniestros en proceso judicial.
Las entidades aseguradoras deben conformar un comité interdisciplinario de evaluación de siniestros en proceso judicial o conciliación, el cual debe ser integrado, al menos, por un experto en medicina laboral, un experto en asuntos legales, un responsable administrativo del área técnica de siniestros y un actuario.
Este comité tiene las siguientes responsabilidades:
2.8.1.1. Determinar la categoría y probabilidad del riesgo técnico-jurídico del proceso judicial, teniendo en cuenta los conocimientos y experiencia de los miembros del comité y la información disponible de los siniestros pagados.
La metodología empleada para fijar las probabilidades de que trata este subnumeral debe estar debidamente documentada y mantenerse a disposición de la SFC.
2.8.1.2. Revisar los nuevos procesos judiciales, los cambios en la instancia jurídica para los procesos en curso y la terminación del proceso por conciliación o fallo.
2.8.1.3. Hacer un seguimiento de los procesos judiciales en curso.
3. INSTRUCCIONES TÉCNICAS
3.1. PARA EL CÁLCULO DEL CAPITAL TÉCNICO NECESARIO DE LA RESERVA MATEMÁTICA Y DE LA RESERVA POR AUXILIO FUNERARIO
3.1.1. Información necesaria para el cálculo de la reserva de siniestros avisados del ramo de seguro de riesgos laborales.
3.1.1.1. Para efectuar el cálculo de la reserva para el pago de una pensión de invalidez o de sobrevivencia, la entidad aseguradora debe contar, como mínimo y según corresponda, con la siguiente información:
3.1.1.1.1. Nombre / identificación del afiliado.
3.1.1.1.2. Sexo del afiliado.
3.1.1.1.3. Fecha de nacimiento.
3.1.1.1.4. Fecha de estructuración de la invalidez o de fallecimiento.
3.1.1.1.5. Fecha de aviso.
3.1.1.1.6. Composición del grupo familiar: fecha de nacimiento, sexo, parentesco (cónyuge, compañero/a, hijo, padre, madre, etc.), estado de salud (activo / inválido).
3.1.1.1.7. Fecha de cálculo de la pensión.
3.1.1.1.8. Ingreso Base de Liquidación (IBL).
3.1.1.1.9. Fecha de finalización de la última incapacidad temporal pagada.
3.1.1.1.10. Número de días de incapacidad reconocidos desde la fecha de estructuración de la invalidez hasta la fecha de finalización de la última incapacidad temporal pagada.
3.1.1.1.11. Porcentaje de pérdida de capacidad laboral.
3.1.1.2. Supuestos para efectuar el cálculo de la reserva para el pago de una pensión de invalidez o de sobrevivencia:
Las entidades aseguradoras deben adoptar una metodología propia para la construcción de los supuestos sobre la información faltante para el cálculo de la reserva para el pago de una pensión de invalidez o de sobrevivencia de que trata el subnumeral 3.1.1.1. de este anexo. La metodología propia debe estar debidamente documentada y mantenerse a disposición de la SFC. Dicha metodología debe ser avalada por el Actuario Responsable de la entidad aseguradora. Sin perjuicio de lo anterior, la entidad aseguradora deberá emplear las siguientes variables:
3.1.1.2.1 Ingreso Base de Base de Liquidación: último salario base de cotización del afiliado o mejor estimación.
3.1.1.2.2 Estado Civil: Casado.
3.1.1.2.3 Edad Cónyuge: si el afiliado es del sexo masculino, se supone un cónyuge femenino 4 años menor. Si el afiliado es del sexo femenino, se supone un cónyuge masculino 4 años mayor.
3.1.1.2.4 Estado de salud del beneficiario activo.
3.1.1.2.5 Cónyuge vitalicio de mínimo 30 años de edad.
3.1.1.2.6 Hijos: No posee.
En caso de que la entidad aseguradora modifique la metodología debe remitirla a la SFC dentro de los 10 días hábiles siguientes, mediante una comunicación que informe dicho cambio y las motivaciones de esta decisión. Los cambios serán aplicables únicamente a partir del siguiente año fiscal.
Para aquellos casos en los cuales la entidad aseguradora no cuente con alguno de los datos enunciados en el subnumeral 3.1.1.1. de este anexo, la entidad aseguradora debe utilizar el supuesto obtenido a partir de la metodología propia adoptada por la entidad.
3.1.2. Definiciones y nomenclaturas
3.1.2.1. Definiciones
3.1.2.1.1. Tabla de mortalidad: Se refiere a las tablas de mortalidad de rentistas válidos e inválidos determinadas por la SFC vigentes a la fecha de cálculo de la reserva.
3.1.2.1.2. Tasa de Interés técnico: Se refiere a la tasa de interés técnico determinada por la SFC vigente a la fecha de cálculo de la reserva.
3.1.2.1.3. Grupo asegurable: se entiende por grupo asegurable, según corresponda, uno de los siguientes:
3.1.2.1.3.1. Grupo 1: Conformado por las personas enumeradas en los literales a), b) y c) del art. 13 de la Ley 797 de 2003 que modificó los arts. 47 y 74 de la Ley 100 de 1993.
3.1.2.1.3.2. Grupo 2: Conformado por los padres del causante del beneficio, de acuerdo con el literal d) del art. 13 de la Ley 797 de 2003 que modificó los arts. 47 y 74 de la Ley 100 de 1993.
3.1.2.1.3.3. Grupo 3: Conformado por los hermanos inválidos del causante del beneficio, según el literal e) del art. 13 de la Ley 797 de 2003 que modificó los arts. 47 y 74 de la Ley 100 de 1993.
3.1.2.1.3.4. Beneficiarios: A partir de la definición de grupo asegurable a la que se refiere el subnumeral 3.1.2.1.3 de este anexo, para el cálculo del Capital Técnico Necesario del numeral 3.1.3. del presente anexo, se consideran beneficiarios las personas que al momento del fallecimiento o estructuración de la invalidez tuviesen derecho y este siga vigente a la fecha de cálculo.
3.1.2.2 Nomenclaturas
T: Tiempo transcurrido, en meses, desde la fecha de inicio del derecho a pensión hasta la fecha de cálculo de la reserva.
t: Subíndice de tiempo expresado en meses.
AF(t): Auxilio funerario estimado correspondiente al mes “
contado a partir del momento “T”. Se debe considerar el ajuste periódico en el mes “
que corresponda.
B(t): Beneficio estimado pagadero en el mes “
contado a partir del momento “T”. Debe considerar el ajuste periódico en el mes “
que corresponda, la aplicación de los máximos de ley o contrato y las mesadas adicionales.
CTN(T): Capital técnico necesario correspondiente al beneficio B(t), calculado a la fecha de cálculo “T”.
h: Cantidad de hijos con derecho a beneficio en el momento “T”.
he: Cantidad de hermanos con derecho a beneficio en el momento “T”.
it: Tasa de interés anual aplicable en el mes t contado a partir del momento “T”
n: Cantidad de personas con derecho al beneficio.
m: Cantidad de cónyuges y/o compañeras(os) permanentes con derecho a beneficio en caso del Grupo 1 o de padres. para el caso del Grupo 2, en el momento “T”.
j: Individualización de la persona, donde toma valores 1 a n. De acuerdo con las siguientes consideraciones se definen los valores que tomará “j” dependiendo del grupo de personas a quienes corresponde asignación de pensión por invalidez y de sobrevivientes de acuerdo con la ley, según sea el caso:
Asignación Pensión por invalidez:
| Grupo 1 | 1 de 2 a m+1 de (m+2) a (m+h +1)=n | Para el causante de la pensión Para cónyuge/compañero permanente supérstite Para los hijos |
| Grupo 2 | De 2 a m+1=n | Para los padres |
| Grupo 3 | De 2 a he+1=n | Para los hermanos inválidos |
Asignación Pensión de sobrevivientes:
| Grupo 1 | De 1 a m de (m +1) a (m +h)=n | Para cónyuge/compañero permanente supérstite Para los hijos |
| Grupo 2 | De 1 a m=n | Para los padres |
| Grupo 3 | De 1 a he=n | Para los hermanos inválidos |
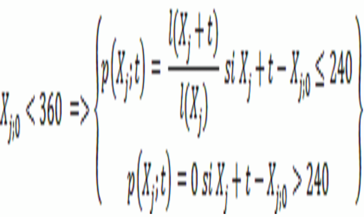
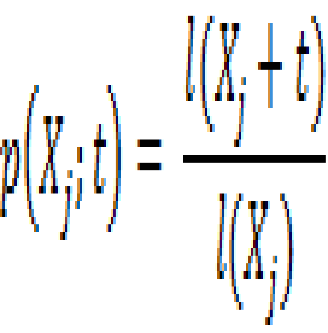
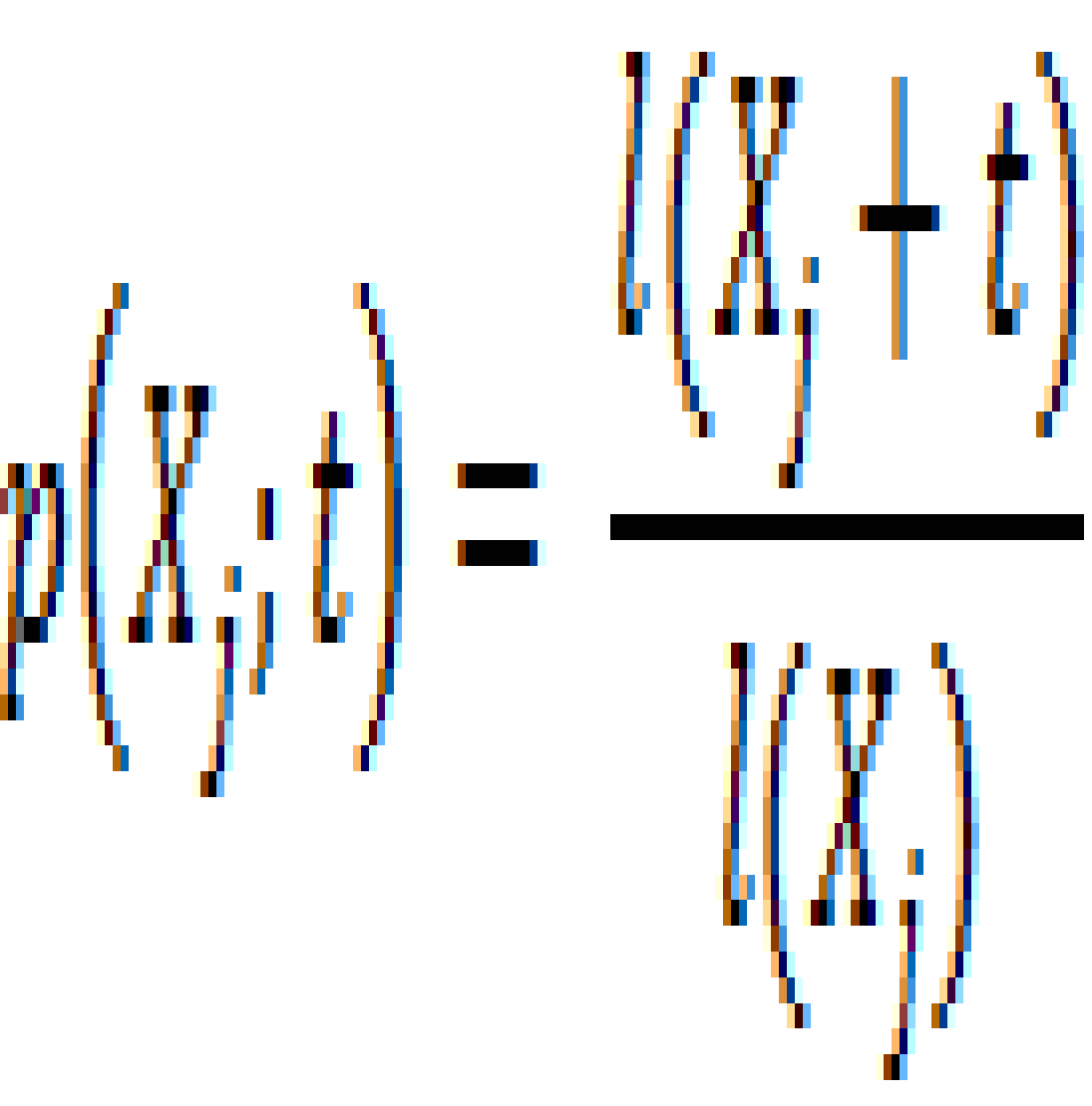
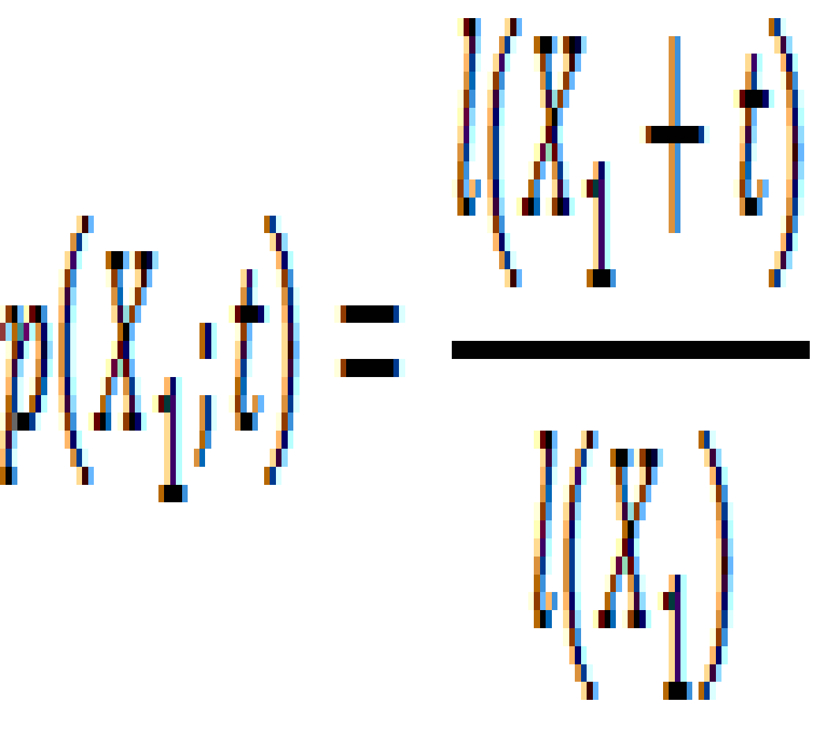
l(Xj): Cantidad de personas vivas a la edad Xj, según la tabla de mortalidad que correspondiera aplicar en función del estado del asegurado y/o beneficiario a la fecha de cálculo.
p(Xj;t): Probabilidad de que una persona de edad Xj sobreviva hasta la edad Xj+t, considerando ambos argumentos en meses, dependiendo del beneficiario al que se refiere la tabla de Asignación Pensión por invalidez y la de Asignación Pensión de sobrevivencia de este anexo. También se puede considerar como la probabilidad condicionada.
:Factor de actualización financiero por “t” periodos.
ù: Última edad de la tabla de mortalidad a ser utilizada, expresada en años enteros.
X1: Edad en meses enteros cumplidos del causante de la pensión alcanzada al momento “T”.
Xj: Edad en meses enteros cumplidos del j-ésimo integrante del grupo de beneficiarios de ley, alcanzada al momento “T”.
Xj;0: Edad en meses enteros cumplidos del j-ésimo integrante del grupo de beneficiarios de ley, alcanzada a la fecha de ocurrencia del fallecimiento del causante.
Xmin: Edad en meses enteros cumplidos del integrante de menos edad calculada al momento “T”.
3.1.3. Metodología de cálculo del capital técnico necesario
El cálculo del capital técnico necesario se debe realizar de acuerdo con la siguiente fórmula:

3.1.4. Metodología de cálculo de la reserva matemática por gastos funerarios.
La reserva matemática por gastos funerarios se debe calcular de acuerdo con la siguiente fórmula:
3.1.5. Cálculo de edades en meses y probabilidades.
A continuación se presentan las bases técnicas para el cálculo de los elementos de edad en meses y de probabilidades incorporados en los subnumerales 3.1.3. y 3.1.4. del presente anexo.
3.1.5.1. Cálculo de la edad en meses.
Las edades a las que se refiere el presente anexo deben ser expresadas en meses enteros cumplidos, de acuerdo con las siguientes instrucciones:
3.1.5.1.1. Si día de cálculo es menor que día de nacimiento:
= (año de cálculo – año de nacimiento)*12 + mes de cálculo – mes de nacimiento -1
3.1.5.1.2. Si día de cálculo es mayor o igual que día de nacimiento:
= (año de cálculo – año de nacimiento)*12 + mes de cálculo – mes de nacimiento
3.1.5.2. Cálculo de probabilidades
Las probabilidades a las que se refiere el presente anexo deben ser calculadas de acuerdo con las siguientes instrucciones:
Donde l(Xj) y l(Xj+t) se obtienen por la interpolación lineal a partir de los valores de tabla de mortalidad rentistas activos o inválidos según correspondiera al estado revestido por el asegurado y tal que:
ENT(a): es la parte entera del número “a”.
f: Fracción que excede el año entero, tal que:
3.2. SINIESTROS ASISTENCIALES CRÓNICOS
3.2.1. Hipótesis demográficas: Para definir los parámetros correspondientes al término durante el cual el siniestro se califica como crónico y a la longevidad del afiliado que da lugar al siniestro crónico, debe emplearse la tabla de mortalidad de rentistas emitida por la SFC vigente a la fecha de cálculo de la reserva.
3.2.2. Hipótesis financieras: El factor de actualización de los gastos asistenciales, la tasa de interés técnico, el crecimiento esperado de los gastos asistenciales y la tasa de descuento, deben sujetarse a lo siguiente:
3.2.2.1 Los gastos asistenciales se deben actualizar anualmente empleando el índice de precios al consumidor publicado por el DANE.
3.2.2.2. Tasa de Interés técnico: Se refiere a la tasa de interés técnico “r” determinada por la SFC vigente a la fecha de cálculo de la reserva.
3.2.2.3. Crecimiento de los gastos asistenciales: El crecimiento esperado de los gastos asistenciales “g” corresponderá al estimado por la entidad aseguradora a partir de la información histórica de los pagos de los siniestros avisados crónicos reservados.
3.2.2.4. Tasa de interés: La tasa de interés “it” se calcula de acuerdo con la siguiente fórmula:
3.2.3.1. Probabilidad de sobrevivencia: La probabilidad de que un individuo de edad “x” sobreviva hasta la edad “x + t” se determina de acuerdo la siguiente fórmula:
lx+t: Corresponde al número de individuos vivos a la edad “x + t”.
lx: Corresponde al número de individuos a la edad “x”.
3.2.3.2. Renta temporal a “b” años: La fórmula para el cálculo de esta renta vencida contingente de una sola cabeza, anual, la cual paga una unidad monetaria, es la siguiente:
: Corresponde <QUOTE>a una renta temporal a “b” años, vencida contingente de una sola cabeza, anual, la cual paga una unidad monetaria.
tPx: Corresponde a la probabilidad de sobrevivencia del trabajador.
g: Corresponde al crecimiento esperado de los gastos asistenciales, calculada por la ARL con base en su metodología propia o en su defecto, la variación anual del Índice de Precios al consumidor publicado por el DANE.
El factor de descuento es determinado de acuerdo con la siguiente fórmula:
3.3. SINIESTROS ASISTENCIALES VITALICIOS
3.3.1. Hipótesis demográficas: Para definir los parámetros correspondientes debe emplearse la tabla de mortalidad de inválidos emitida por la SFC vigente a la fecha de cálculo de la reserva.
3.3.2. Hipótesis financieras: El factor de actualización de los gastos asistenciales, la tasa de interés técnico, el crecimiento esperado de los gastos asistenciales y la tasa de descuento, deben sujetarse a lo siguiente:
3.3.2.1. La actualización de los gastos asistenciales se debe realizar anualmente empleando el índice de precios al consumidor publicado por el DANE.
3.3.2.2. Tasa de Interés técnico: Se refiere a la tasa de interés técnico “r” determinada por la SFC vigente a la fecha de cálculo de la reserva.
3.3.2.3. Crecimiento de los gastos asistenciales: El crecimiento esperado de los gastos asistenciales “g” corresponde al estimado por la entidad aseguradora a partir de la información histórica de los pagos de los siniestros avisados asistenciales vitalicios reservados.
3.3.2.4. Tasa de interés: La tasa de interés “it” se calcula de acuerdo con la siguiente fórmula:
3.3.3.1. Probabilidad de sobrevivencia: La probabilidad de que un individuo de edad “x” sobreviva hasta la edad “x + t” se determina de acuerdo la siguiente fórmula:
lx+t: Corresponde al número de individuos vivos a la edad “x+t”.
lx: Corresponde al número de individuos a la edad “x”.
3.3.3.2. Renta vitalicia vencida contingente de una sola cabeza, pagadera anual de una unidad monetaria: La fórmula para el cálculo de esta renta es la siguiente:
ax: Corresponde <QUOTE><QUOTE>a la renta vitalicia vencida contingente de una sola cabeza, pagadera anual, la cual paga una unidad monetaria.
durax: Definida como “ù-x”, con “ù” el límite de la tabla de mortalidad.
: Corresponde a la probabilidad de sobrevivencia del pensionado por invalidez.
g: Corresponde al crecimiento esperado de los gastos asistenciales.
El factor de descuento es determinado de acuerdo con la siguiente fórmula:
4. CLASIFICACIÓN DE LESIONES O ENFERMEDAD LABORAL
Los siniestros avisados derivados de accidentes de trabajo, lesiones o enfermedad laboral del ramo de seguro de riesgos laborales se deben clasificar, como mínimo, trimestralmente teniendo en cuenta las siguientes tablas de categorías de gravedad. Las entidades aseguradoras que hayan adoptado tablas de enfermedades o lesiones para la constitución de la reserva de siniestros avisados del ramo de seguro de riesgos laborales, deben ajustarlas con el fin de incorporar las categorías de gravedad definidas a continuación:
4.1. Lesiones o accidentes de trabajo
| Categoría | Definición |
| Alta inmediata | Accidente o incidente reportado como de origen laboral que solo genera prestaciones asistenciales de urgencias o medicamento ambulatorio, con incapacidad temporal menor o igual a un día, o sin incapacidad temporal o prestación asistencial hospitalaria. |
| Muy leve | Accidente reportado como de origen laboral que solo genera prestaciones asistenciales de urgencias o medicamento ambulatorio, con incapacidad temporal mayor a un día. |
| Leve | Accidente reportado como de origen laboral que genera prestaciones asistenciales por conceptos de urgencias, cirugía o medicamento ambulatorio, entre otros, pero sin días de estancia hospitalaria. |
| Moderado | Accidente reportado como de origen laboral que genera prestaciones asistenciales por conceptos de urgencias, medicamentos intrahospitalarios o ambulatorios, entre otros, pero con días de estancia hospitalaria. |
| Severo | Accidente reportado como de origen laboral que genera prestaciones asistenciales por conceptos de urgencias, cirugía, medicamentos intrahospitalarios o ambulatorios, entre otros, pero con días de estancia hospitalaria. |
| Grave | Accidente reportado como de origen laboral que genera prestaciones asistenciales por diferentes conceptos siempre que haya permanecido en Unidad de Cuidados Intensivos. |
4.2. Enfermedades laborales
| Categoría | Definición |
| Muy leve | Cuadro de inicio agudo. Ceden con tratamiento médico. Incapacidad laboral de 1 a 15 días. No deja secuelas indemnizables. |
| Leve | Cuadro de inicio lento o agudo. Ceden a tratamiento médico y fisioterapia. Puede requerir órtesis. Incapacidad laboral de 1 a 30 días. Puede generar Incapacidades Permanentes Parciales (IPP) de hasta el 10 %, algunas no generan pérdida. |
| Moderado | Cuadro de inicio generalmente lento. Ceden en general a tratamiento médico de hasta 6 semanas. Algunos requieren cirugía. Incapacidad laboral de hasta 60 ó 70 días. Pueden generar una IPP de hasta el 20 %, algunas no generan pérdida. |
| Severo | Cuadro de inicio generalmente lento. Ceden a tratamiento médico de más de 6 semanas pero en general están resueltas antes de 6 meses. Puede presentar períodos de recaídas pero terminan estabilizando una secuela tolerable y adaptable, no son de requerimientos vitalicios. Puede requerir órtesis. Pueden requerir tratamiento quirúrgico. Incapacidad laboral de hasta 180 días. Genera IPP de hasta el 30 %. |
| Grave | Cuadro de inicio generalmente lento. Tratamiento médico de más de 12 semanas (medicamento de alto costo) con tendencia a manejo vitalicio. Puede requerir prótesis u órtesis. Requiere tratamiento quirúrgico curativo y/o reconstructivo. Requiere manejo paliativo de dolor. Incapacidad laboral promedio mayor a 180 días. Genera IPP inferiores al 50 %. Puede generar invalidez o incluso a la muerte. |








