SUPERINTENDENCIA FINANCIERA DE COLOMBIA
CIRCULAR EXTERNA 45 DE 2014
( Diciembre 29 )
Boletín Ministerio de Hacienda, Capítulo Superintendencia Financiera de Colombia, No. 325 de 30 de diciembre de 2014
SUPERINTENDENCIA FINANCIERA
Señores
REPRESENTANTES LEGALES Y REVISORES FISCALES DE LAS SOCIEDADES ADMINISTRADORAS DE FONDOS DE PENSIONES Y DE CESANTÍA
Referencia: Establece la metodología de agregación de índices de renta variable local, para efectos del cálculo de la rentabilidad mínima obligatoria del portafolio de largo plazo de cesantía y de los tipos de fondos de pensiones obligatorias.
Apreciados señores:
De acuerdo con lo establecido en el parágrafo 4 del artículo 2.6.9.1.2 del Decreto 2555 de 2010, adicionado por el artículo 2 del Decreto 2685 de 2014, relacionado con el “Índice Bursátil de Rentabilidad Mínima de Cesantías”, corresponde a la Superintendencia Financiera de Colombia diseñar una metodología de agregación de índices de renta variable local, para efectos del cálculo de la rentabilidad mínima del portafolio de largo plazo de los fondos de cesantía.
Por su parte, el parágrafo 3 del artículo 2.6.5.1.2 del Decreto 2555 de 2010 dispone que esta Superintendencia debe definir los criterios metodológicos para la composición del Componente de Referencia empleado para el cálculo de la rentabilidad mínima de los fondos de pensiones obligatorias. En tal sentido, en el subnumeral 2.5.2.1 del Capítulo II, Título III, Parte II de la Circular Básica Jurídica está establecido un índice representativo de renta variable local que hace parte del Componente de Referencia.
Ahora bien, en aras de propender por consistencia regulatoria y unidad de criterio, resulta procedente contar con un mismo referente de renta variable local, para los administradores de los recursos del portafolio de largo plazo de los fondos de cesantía y de los tipos de fondos de pensiones obligatorias.
En atención a lo anterior y en ejercicio de las facultades establecidas en el numeral 9 del artículo 11.2.1.4.2 del Decreto 2555 de 2010 este Despacho se permite impartir las siguientes instrucciones:
PRIMERO: Adicionar el subnumeral 1.10.2.3 al Capítulo III, Título III, Parte II de la Circular Básica Jurídica estableciendo la metodología de agregación de índices de renta variable local para efectos del cálculo de la rentabilidad mínima del portafolio de largo plazo de cesantía.
SEGUNDO: En concordancia con la instrucción anterior, modificar los subnumerales 2.5.2.1 y 2.5.3 del Capítulo II, Título III, Parte II de la Circular Básica Jurídica, estableciendo el índice agregado de renta variable local aplicable para efectos del cálculo de la rentabilidad mínima de los tipos de fondos de pensiones obligatorias.
La presente circular rige a partir de su publicación.
Se adjuntan las páginas correspondientes.
Cordialmente,
GERARDO HERNÁNDEZ CORREA
Superintendente Financiero de Colombia
050000
Se entiende como aportes netos, el valor que resulte de deducir los retiros, anulaciones y traslados efectuados, a los aportes y traslados recibidos durante el respectivo mes.
Para efectos de lo dispuesto en este subnumeral y en el anterior, al momento de incluir una inversión en el portafolio de referencia se tendrá en cuenta la oferta de títulos en el mercado, el monto negociado de los mismos y las tasas de negociación previstas en subnumeral 2.5.1.5. de este Capítulo. Además, dentro del proceso de selección de los títulos, se deben tener en cuenta, entre otros, los siguientes criterios:
2.5.1.3.1. Los títulos a incluir corresponderán a inversiones de largo plazo y de menor riesgo crediticio.
2.5.1.3.2. Se procurará que al incluir o excluir un título, se mantenga el porcentaje de participación dentro del portafolio por clase o grupo de títulos.
2.5.1.3.3. El porcentaje de ponderación dentro del componente de referencia de cada una de las clases o grupos de títulos, no podrá exceder el límite máximo de inversión establecido en el régimen de inversiones para los tipos de fondos de pensiones obligatorias.
2.5.1.3.4. El porcentaje de ponderación dentro del componente de referencia de los títulos emitidos por entidades vinculadas a una misma administradora de fondos de pensiones, no puede superar el límite máximo de inversión en vinculados.
2.5.1.4. La tasa nominal a la cual se incluyan los títulos en el portafolio debe ser la establecida contractualmente para cada título.
2.5.1.5. Las tasas de negociación a las cuales se incluyan en el portafolio los títulos, deben tener en cuenta las condiciones de mercado, de la siguiente forma:
2.5.1.5.1. Títulos de Tesorería TES clase B a tasa fija o indexados en UVR: La tasa a la cual se incluyen estos títulos es la tasa de la última subasta realizada con anterioridad a la fecha de inclusión del título en el portafolio, siempre y cuando la misma se realice dentro de los 10 días calendario anteriores y corresponda a inversiones de largo plazo. De no existir subasta dentro del citado plazo se debe tomar la tasa de negociación promedio ponderada por el monto negociado, de las operaciones realizadas el día inmediatamente anterior a la inclusión del título en el portafolio, a través de sistemas de negociación de valores aprobados por la SFC y del mercado mostrador registradas en un sistema de registro de operaciones sobre valores debidamente autorizado por esta Superintendencia.
2.5.1.5.2. Bonos emitidos por entidades vigiladas y no vigiladas por la SFC: La tasa a la cual se incluyen estos títulos al portafolio debe corresponder a la tasa de negociación promedio ponderada por el monto negociado, de las operaciones realizadas sobre inversiones de largo plazo el último día hábil de cotización donde se haya negociado el respectivo título, siempre y cuando se encuentre dentro de los últimos 5 días hábiles a la inclusión del mismo en el portafolio, a través de sistemas de negociación de valores aprobados por la SFC y del mercado mostrador registradas en un sistema de registro de operaciones sobre valores debidamente autorizado por esta Superintendencia.
2.5.1.6. Los títulos de renta fija que conformen el portafolio de referencia deben ser valorados a precios de mercado, de acuerdo con las disposiciones contempladas en el Capítulo I de la CBCF.
2.5.1.7. La rentabilidad del portafolio de referencia, se determinará como la tasa interna de retorno –TIR- en términos efectivos anuales del flujo de caja mensual correspondiente al período de cálculo. Para el efecto, el flujo de caja mensual es aquel que considera como ingresos, el valor inicial del portafolio al primer día del período de cálculo y los aumentos o disminuciones de que trata subnumeral 2.5.1.3. del presente Capítulo y, como egreso, el valor final del portafolio al último día del período de cálculo.
Cabe advertir que dentro de los límites establecidos en el Decreto 2555 de 2010, las entidades se encuentran en libertad de establecer su propio portafolio de inversiones y en ningún momento tienen la obligación de adoptar el portafolio de referencia diseñado por esta Superintendencia.
2.5.2. Índices del mercado
Dentro del componente de referencia a tener en cuenta para el cálculo de rentabilidad mínima de cada uno de los tipos de fondos de pensiones obligatorias, también se tendrá en cuenta la variación porcentual (rentabilidad), en términos efectivos anuales, que durante el período de cálculo correspondiente presenten los siguientes índices:
2.5.2.1. Índice para renta variable local: Índice Agregado de Renta Variable Local (IARVL) establecido en el subnumeral 1.10.2.3. del Capítulo III Título III Parte II de la presente Circular.
2.5.2.2. Índice para renta fija internacional: Barclays Capital Global Aggregate Bond Index.
2.5.2.3. Índice para renta variable internacional: Morgan Stanley Capital International MSCI World (MSCI World).
2.5.3. Componente de referencia
El componente de referencia para cada uno de los tipos de fondos de pensiones obligatorias debe conformarse por la suma ponderada de las rentabilidades del portafolio de referencia y de los índices del mercado mencionados. Para el efecto, las citadas rentabilidades deben ponderar en los siguientes porcentajes:
| Rentabilidad | Porcentaje de ponderación |
Portafolio de referencia | Participación de los títulos y/o valores de deuda de emisores nacionales de que tratan los subnumerales 1.1 a 1.8 del art. 2.6.12.1.2. del Decreto 2555 de 2010, dentro del total de las inversiones descritas en los numerales 1 y 2 del citado artículo. |
Índice para renta variable local: Índice Agregado de Renta Variable Local (IARVL) | Participación de los títulos y/o valores participativos de emisores nacionales de que tratan los subnumerales 1.9 y 1.10 del art. 2.6.12.1.2. del Decreto 2555 de 2010, dentro del total de las inversiones descritas en los |
del título que se va a incluir. Si no existen transacciones en la BVC no debe incorporarse este tipo de títulos en el portafolio de referencia.
1.10.2.2.2. Títulos de Tesorería TES clase B a tasa real: El índice anual de precios al consumidor “IPC” más la tasa real de negociación de la emisión efectuada el día anterior a la inclusión del título en el portafolio, de acuerdo con su plazo. De no existir emisión en dicho día, debe tomarse la rentabilidad promedio ponderada del mercado secundario de los TES B a tasa real en la BVC del día inmediatamente anterior a su inclusión en el portafolio, con los plazos de maduración más cercanos al del título que se va a incluir. Si no existen transacciones en la bolsa no debe incorporarse este tipo de títulos en el portafolio de referencia.
1.10.2.2.3. Certificados de Depósito a Término: Será igual a las tasas de emisión del día de la inclusión del título en el portafolio de acuerdo con su plazo.
1.10.2.2.4. Bonos: La tasa de interés de los bonos debe ser igual al promedio simple de la tasa de interés pactada en las emisiones efectuadas el día inmediatamente anterior a la inclusión del título en el portafolio de referencia, según su plazo. De no existir emisiones en ese día, debe utilizarse la tasa de rentabilidad del mercado secundario promedio ponderada de la BVC para transacciones de bonos del día inmediatamente anterior a su inclusión en el portafolio que tengan plazos de maduración más cercanos al del título que se va a incluir. Si no existen transacciones en la BVC no se debe incorporar este tipo de títulos en el portafolio de referencia.
1.10.2.3. Metodología de agregación de índices de renta variable local
La metodología de agregación de índices de renta variable local busca establecer la forma de cálculo de un referente que se denominará índice agregado de renta variable local (IARVL).
1.10.2.3.1. Consideraciones generales del índice agregado de renta variable local (IARVL)
Para efectos de determinar la rentabilidad mínima, resulta necesario contar con un IARVL específico para el portafolio de largo plazo de cesantías y para cada uno de los tipos de fondos de pensiones obligatorias, considerando la diferencia en los tiempos de sus períodos de cálculo establecidos en los artículos 2.6.5.1.4 y 2.6.9.1.4 del Decreto 2555 de 2010 respectivamente.
1.10.2.3.1.1. Nivel inicial
El nivel inicial del IARVL el 31 de Agosto de 2011 es de 100
1.10.2.3.1.2. Componentes
Hasta tanto no exista otro índice de renta variable local, que de acuerdo con los criterios establecidos en el subnumeral 1.10.2.3.1.3., pueda considerarse en el IARVL, el mismo está compuesto por el índice Colcap publicado por la Bolsa de Valores de Colombia- BVC.
1.10.2.3.1.3. Criterios de elegibilidad de índices de renta variable local para hacer parte del cálculo del IARVL
Con base en lo establecido en el parágrafo 4 del artículo 2.6.9.1.2 del Decreto 2555 de 2010, los criterios que debe cumplir un índice para hacer parte del IARVL son los siguientes:
1.10.2.3.1.3.1. Experiencia del proveedor: el proveedor del índice debe hacer parte del listado de bolsas y entidades reconocidas por la SFC para elaboración de índices, relacionado con los regímenes de inversión de los recursos de los fondos de cesantía y los de los fondos de pensiones obligatorias de que trata el subnumeral 7.2 del Capítulo II, Título II, Parte I de la Circular Básica Jurídica CE 029 de 2014.
1.10.2.3.1.3.2. Representatividad: el índice debe reflejar razonablemente el comportamiento del mercado de renta variable local, buscando diversificación y evitando el sesgo hacia un sector o sectores específicos.
1.10.2.3.1.3.3. Replicabilidad: el índice debe ser replicable mediante un Exchange Traded Fund – ETF listado en el mercado doméstico y negociable en moneda local.
1.10.2.3.1.3.4. Condiciones mínimas de divulgación: la metodología de construcción del índice debe ser de público conocimiento y disponible para consulta en línea, así como sus políticas de rebalanceo y recomposición.
1.10.2.3.1.3.5. Administración: deben estar establecidas las políticas de gobierno corporativo en relación con los procedimientos para administrar los conflictos de interés de los agentes involucrados en la construcción y divulgación del índice hacia el mercado. Esta información debe ser pública y estar disponible para su consulta en línea.
1.10.2.3.1.3.6. Disponibilidad de información histórica: el índice debe contar por lo menos con 12 meses de información histórica real. Adicionalmente debe estar disponible información histórica simulada (backtesting) de 5 años antes del inicio oficial del índice y de la canasta que lo compone. Esta información debe ser pública y estar disponible para su consulta en línea.
El incumplimiento de alguno de los anteriores criterios por parte de un índice es causal de su retiro en el cálculo del IARVL.
1.10.2.3.1.4. Divulgación de cambios en los componentes del IARVL
La Superintendencia debe informar acerca de la inclusión o exclusión de un índice así como el momento a partir del cual tiene efecto en el cálculo del IARVL. La inclusión o exclusión de un índice debe proceder mínimo transcurridos 3 meses después de haber sido informado este hecho. No obstante en el caso de una exclusión, solo excepcionalmente puede proceder un tiempo menor.
1.10.2.3.2. Metodología de cálculo del índice agregado de renta variable local (IARVL)
1.10.2.3.2.1. Determinación del IARVL
El IARVL se calcula mensualmente en función del valor de sus componentes al último día hábil de cada mes. El valor del IARVL se obtiene a partir de su nivel en el mes anterior afectado por la variación porcentual mensual de cada índice que lo conforma, ponderada por su porcentaje de participación, como se muestra a continuación:
![]()
Donde:
![]()
<QUOTE>
: Variación porcentual mensual del índice
en el mes
, calculado como: 
<QUOTE>![]()
: Ponderación porcentual del índice
en el mes ![]()
: Número de índices a ponderar en el mes ![]()
Para todos los casos:
![]()
1.10.2.3.2.2. Cálculo de la ponderación de los índices que hacen parte del IARVL
La ponderación
de cada índice mensualmente hasta completar el tiempo del período de cálculo se determina así:
![]()
![]()
Donde:
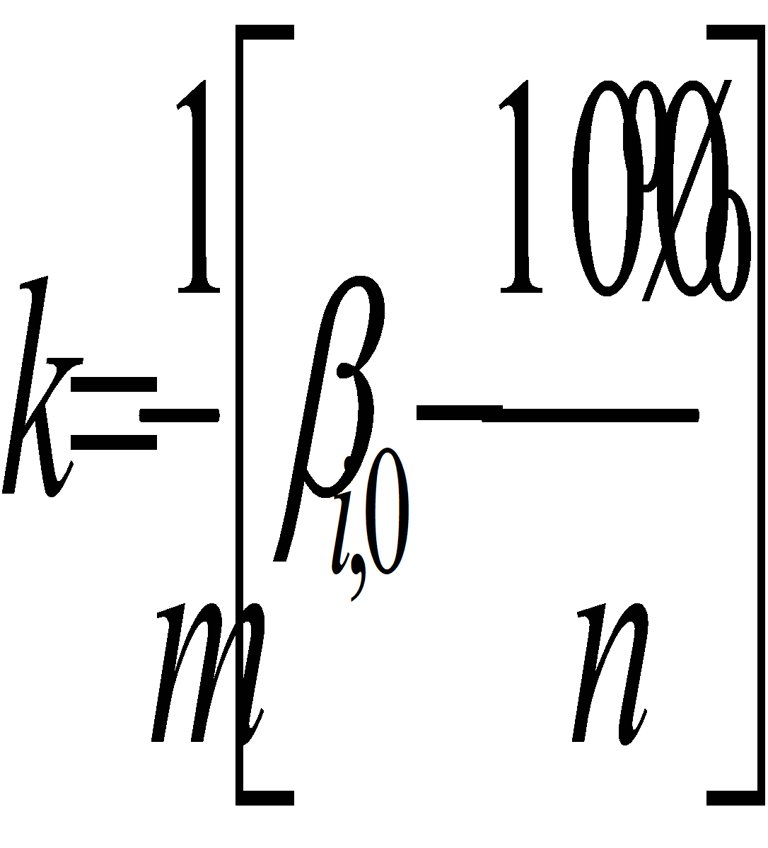
: Variación porcentual a ponderar mensualmente el índice
hasta completar el período de cálculo. Una vez todos los índices que conforman el IARVL completen el tiempo del periodo de cálculo, k=0.
: número de meses del período de cálculo de rentabilidad mínima, establecido en los artículos 2.6.5.1.4 y 2.6.9.1.4 del Decreto 2555 de 2010 para los tipos de fondos de los fondos de pensiones obligatorias y para el portafolio de largo plazo del fondo de cesantía respectivamente.
<QUOTE>![]()
: Ponderación porcentual del índice
, en el mes inmediatamente anterior a un evento de inclusión, o en el último mes del período de exclusión del subnumeral 1.10.2.3.2.3. Este valor solamente se modifica cuando se presenten eventos de inclusión o exclusión.
1.10.2.3.2.3. Cálculo de la ponderación de los índices cuando se presenta un evento de exclusión del IARVL
Para efectos de la exclusión de un índice del IARVL, la SFC de acuerdo con lo establecido en el subnumeral 1.10.2.3.1.4 debe informar a partir del momento en el cual el índice dejará de ponderar dentro del IARVL. El índice a ser excluido, mensualmente debe disminuir proporcionalmente su ponderación dentro del IARVL hasta llegar a 0%. El plazo máximo para la exclusión de un índice es de 6 meses; para este caso se tiene que:
![]()
Donde:
: reducción porcentual mensual en el ponderador del índice
a ser excluido, en el mes![]()
Por lo tanto, la ponderación del índice
a ser excluido en el mes
está dada por:
![]()
Para el mes
, el porcentaje que mensualmente reduce su participación el índice a ser excluido, debe ser distribuido proporcionalmente
entre los demás índices que hagan parte del IARVL, teniendo en cuenta la ponderación relativa entre ellos, en el mes inmediatamente anterior al evento de exclusión, de tal forma que, durante los meses del período de exclusión, el ponderador para los índices que se mantienen en el IARLV está dado por:
![]()
Finalizado el periodo de exclusión, las ponderaciones de éstos índices deben calcularse de acuerdo con lo establecido en el subnumeral 1.10.2.3.2.2.