DECRETO 1156 DE 2020
(agosto 20)
Diario Oficial No. 51.412 de 20 de agosto de 2020
MINISTERIO DE COMERCIO, INDUSTRIA Y TURISMO
Por el cual se modifica el Capítulo 12 del Título 1 de la Parte 2 del Libro 2 del Decreto Único Reglamentario del Sector Comercio, Industria y Turismo, Decreto número 1074 de 2015, que estableció un Programa de Fomento para la Industria de Astilleros y se dictan otras disposiciones.
EL PRESIDENTE DE LA REPÚBLICA DE COLOMBIA,
en ejercicio de sus facultades constitucionales y legales, y en especial las establecidas en el numeral 25 del artículo 189 de la Constitución Política, con sujeción a las Leyes 7 de 1991 y 1609 de 2013, y
CONSIDERANDO:
Que para promover el potencial del sector astillero, el Comité de Asuntos Aduaneros y Arancelarios en sus sesiones número 290 del 24 de noviembre de 2015 y número 295 del 27 de mayo de 2016, recomendó la creación del Programa de Fomento para la Industria de Astilleros.
Que una vez establecido el Programa de Fomento para la Industria de Astilleros, el Gobierno nacional identificó algunas mejoras a implementar en el proceso administrativo del Programa de Fomento para la Industria Automotriz, las cuales son replicables en el presente Programa de Fomento.
Que en este sentido, se considera adecuado racionalizar el procedimiento administrativo de aprobación aplicable al Programa de Fomento para la Industria de Astilleros, así como unificar y fortalecer los instrumentos de seguimiento y control del Programa.
Que asimismo, con el fin de facilitar la implementación y entendimiento por parte de los distintos actores y ciudadanos de los Programas de Fomento, es necesario modificar la conformación del Comité de Evaluación del Programa de Fomento para la Industria Automotriz.
Que de conformidad con lo previsto en la parte final del parágrafo 2 del artículo 2o de la Ley 1609 de 2013, resulta procedente la entrada en vigencia del presente decreto en la fecha de su publicación en el Diario Oficial, con la finalidad de que la racionalización del procedimiento administrativo aquí establecida sea aplicable de manera inmediata. Lo anterior, preserva la seguridad jurídica de los beneficiarios, en la medida en que se mantienen vigentes y en iguales condiciones, los beneficios arancelarios recomendados por el Comité de Asuntos Aduaneros, Arancelarios y de Comercio Exterior, adoptados a través del Programa de Fomento para la Industria de Astilleros.
Que las normas que se incorporan al Decreto número 1074 de 2015 no inciden en la libre competencia económica en los mercados, en los términos previstos en el artículo 2.2.2.30.7. del Decreto Único Reglamentario 1074 de 2015.
Que en virtud de lo establecido en el numeral 8 del artículo 8o de la Ley 1437 de 2011 y el artículo 2.1.2.1.14. del Decreto número 1081 de 2015, Decreto Reglamentario Único del Sector Presidencia de la República, el presente decreto se publicó en la página web del Ministerio de Comercio, Industria y Turismo.
En mérito de lo expuesto,
DECRETA:
ARTÍCULO 1o. Modifíquese el Capítulo 12 del Título 1 de la Parte 2 del Libro 2 del Decreto Único Reglamentario del Sector Comercio, Industria y Turismo, Decreto número 1074 de 2015, que estableció un Programa de Fomento para la Industria de Astilleros, cuyo texto será el siguiente:
“CAPÍTULO 12
Programa de Fomento para la Industria de Astilleros
SECCIÓN 1
Principios generales
Artículo 2.2.1.12.1.1. Objeto. El Programa de Fomento para la Industria de Astilleros es un instrumento dirigido a las personas jurídicas que fabrican los bienes finales contenidos en las subpartidas arancelarias indicadas en el artículo 2.2.1.12.1.7. del presente decreto, en virtud del cual se autoriza al beneficiario del Programa a importar con franquicia o exoneración de derechos de aduana las mercancías o bienes contenidos en las subpartidas arancelarias señaladas en el artículo 2.2.1.12.1.3. de este decreto, con el compromiso de incorporarlos en la producción de embarcaciones y/o sus partes para la venta en el mercado nacional o externo.
Artículo 2.2.1.12.1.2. Definiciones. Para los efectos del presente Capítulo se adoptan las siguientes definiciones:
Certificado de Producción: Es el documento emitido y presentado a la Unidad Administrativa Especial Dirección de Impuestos y Aduanas Nacionales (DIAN) por el beneficiario del Programa de Fomento para la Industria de Astilleros, que demuestra la incorporación de los bienes importados en un bien final de los relacionados en las subpartidas arancelarias señaladas en el artículo 2.2.1.12.1.7. del presente decreto, y que hará las veces de Declaración de Importación para acreditar la nacionalización o desaduanamiento, y permanencia del bien final en el territorio aduanero nacional. Con la emisión del Certificado de Producción finaliza la modalidad o régimen de importación.
Código Numérico Único: Es el que asigna el Ministerio de Comercio, Industria y Turismo a cada uno de los bienes comprendidos en las subpartidas arancelarias establecidas en el artículo 2.2.1.12.1.3. del presente decreto, porque son sustancialmente diferenciables, o identificables y diferenciables en cuanto a su uso, tecnología y materiales.
Cuadro Insumo Producto (CIP): Es el documento por medio del cual se demuestra la participación de los bienes importados del artículo 2.2.1.12.1.3. del presente decreto en los bienes finales contenidos en las subpartidas arancelarias listadas en el artículo 2.2.1.12.1.7. de este decreto.
Programa General: Es la autorización general que otorga el Ministerio de Comercio, Industria y Turismo a la persona jurídica beneficiaria del Programa de Fomento para la Industria de Astilleros.
Subprograma: Es la autorización específica que otorga el Ministerio de Comercio, Industria y Turismo al tipo, referencia y marca de la parte que fabricará, o al modelo, variante o versión de la embarcación que ensamblará el beneficiario, y que corresponderá al Cuadro Insumo Producto presentado ante la Unidad Administrativa Especial Dirección de Impuestos y Aduanas Nacionales (DIAN).
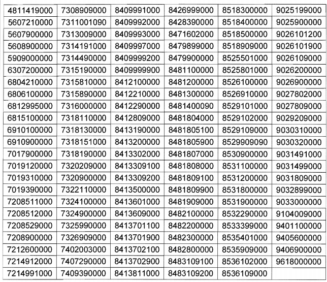
Artículo 2.2.1.12.1.3. Bienes a importar. Al amparo del Programa de Fomento para la Industria de Astilleros, podrán importarse con franquicia o exoneración de derechos de aduana los bienes que corresponden a las siguientes subpartidas arancelarias, siempre y cuando _ el código numérico único asignado a cada bien dentro de la respectiva subpartida no tenga Registro de Producción Nacional vigente a la fecha de embarque de la mercancía, entendiéndose como tal, la fecha de expedición del documento de transporte. Para la mercancía procedente de una zona franca se tendrá en cuenta la fecha de presentación y aceptación de la declaración de importación:



Artículo 2.2.1.12.1.4. Importaciones procedentes de una Zona Franca. Los bienes de procedencia extranjera relacionados en el artículo 2.2.1.12.1.3. del presente decreto, que sean almacenados por un usuario comercial de Zona Franca, podrán importarse al territorio aduanero nacional con el beneficio del Programa de Fomento para la Industria de Astilleros, siempre y cuando se cumplan los requisitos establecidos en el presente Capítulo.
Los beneficiarios del Programa de Fomento para la Industria de Astilleros podrán importar los bienes listados en el artículo 2.2.1.12.1.3. de este decreto, producidos en zona franca por un usuario industrial de bienes o servicios, siempre y cuando se les haya realizado previamente el correspondiente procesamiento industrial o servicio propio del objeto social aprobado en la calificación dada por el usuario operador a cada usuario industrial o por el Ministerio de Comercio, Industria y Turismo para las Zonas Francas Permanentes Especiales o el organismo que señale el Gobierno nacional.
PARÁGRAFO. El Programa de Fomento para la Industria de Astilleros no procede para los usuarios calificados en una Zona Franca.
Artículo 2.2.1.12.1.5. Sistema de control de inventarios. Los beneficiarios del Programa de Fomento para la Industria de Astilleros adoptarán las medidas necesarias para individualizar, diferenciar y separar las mercancías que ingresen al territorio nacional con el beneficio del Programa durante su almacenamiento e ingreso a las instalaciones del proceso industrial, siendo obligatorio establecer un sistema de control de inventarios en cada una de sus etapas, de conformidad con la reglamentación que establezca la Unidad Administrativa Especial Dirección de Impuestos y Aduanas Nacionales (DIAN).
Artículo 2.2.1.12.1.6. Proceso de Importación. El proceso de importación se realizará por la modalidad o régimen de importación con franquicia o exoneración de derechos e impuestos a la importación, y la mercancía quedará en disposición restringida hasta que se incorpore en los bienes finales producidos contenidos en las subpartidas arancelarias indicadas en el artículo 2.2.1.12.1.7. del presente decreto. Una vez se cumpla con el compromiso de producir los bienes objeto del Programa, la libre disposición no requerirá la presentación de una declaración de modificación.
Si los bienes importados con suspensión de los derechos de aduana no van a ser incorporados o no han sido incorporados dentro del plazo establecido a la producción del bien final objeto del Programa, el beneficiario debe presentar la correspondiente declaración de importación bajo modalidad ordinaria o régimen de importación para el consumo o importación de modificación, liquidando y pagando los derechos de aduana, la diferencia de IVA, las sanciones y los intereses moratorias correspondientes, o reexportar las mercancías dentro de los treinta (30) días siguientes al vencimiento del término establecido en el artículo 2.2.1.12.1.8. del presente decreto. En caso contrario, la Unidad Administrativa Especial Dirección de Impuestos y Aduanas Nacionales (DIAN) iniciará el procedimiento administrativo correspondiente para determinar los tributos aduaneros o derechos e impuestos y sanciones exigibles, sin perjuicio de la aprehensión de las mercancías de conformidad con la normativa aduanera cuando a ello hubiera lugar.
Artículo 2.2.1.12.1.7. Bienes finales. Los beneficiarios del Programa de Fomento para la Industria de Astilleros deben utilizar los bienes importados contenidos en las Subpartidas arancelarias que se indican en el artículo 2.2.1.12.1.3. del presente decreto, exclusivamente en la fabricación de los bienes finales a los que corresponden las siguientes subpartidas:


Artículo 2.2.1.12.1.8. Término para producir los bienes finales. Los bienes finales deben fabricarse dentro de los treinta y seis (36) meses siguientes a la· obtención del levante de la mercancía amparada en la primera declaración de importación con franquicia o exoneración de derechos e impuestos a la importación. A solicitud del interesado y por las razones que la Unidad Administrativa Especial Dirección de Impuestos y Aduanas Nacionales (DIAN) considere válidas, se podrá prorrogar el plazo autorizado por una sola vez hasta por doce (12) meses más.
PARÁGRAFO. Cuando se requiera de un plazo mayor a los doce (12) meses indicados en el presente artículo, se podrá conceder una prórroga en el plazo autorizado inicialmente, la cual, en todo caso, no podrá ser superior a treinta y seis (36) meses. Para el efecto, el usuario deberá presentar solicitud justificada a la Unidad Administrativa Especial Dirección de Impuestos y Aduanas Nacionales (DIAN), por lo menos un (1) mes antes del vencimiento del plazo inicial para fabricar el bien final.
SECCIÓN 2
Solicitud y requisitos
Artículo 2.2.1.12.2.1. Solicitud de autorización del Programa de Fomento para la Industria de Astilleros. La solicitud de autorización del Programa de Fomento para la Industria de Astilleros deberá presentarse por escrito dirigido a la Dirección de Productividad y Competitividad del Ministerio de Comercio, Industria y Turismo, o la dependencia que haga sus veces, suscrita por el Representante Legal de la persona jurídica solicitante, en la cual se deberá informar lo siguiente:
1. Nombres e identificación de los representantes legales, los miembros de la junta directiva, si la hay, los socios, los accionistas y los controlantes directos e indirectos del solicitante. De conformidad con lo dispuesto en el Estatuto Tributario, el solicitante, los miembros de la junta directiva, si la hay, los representantes legales, socios y accionistas de la sociedad deberán estar inscritos en el Registro Único Tributario (RUT).
2. Que al menos uno de los representantes legales de la persona jurídica solicitante tenga domicilio en el país.
3. Composición del capital de la persona jurídica, especificando el país de origen de los socios extranjeros, cuando haya lugar a ello.
4. Estructura organizacional de la persona jurídica.
5. Número de cargos relacionados con la producción o ensamble de embarcaciones y sus partes: Personal Directivo, Administrativo, Técnico, Operativo y Auxiliar.
6. Ubicación de la(s) planta(s) donde se fabricarán los bienes que se produzcan al amparo del Programa de Fomento para la Industria de Astilleros.
7. Área de la(s) planta(s) donde se fabricarán los bienes finales.
8. Resumen de la producción y de las ventas proyectadas de las embarcaciones y/o sus partes a producir, discriminada según su clasificación en la nomenclatura arancelaria colombiana para un período de tres (3) años posteriores a la fecha de la solicitud.
9. Los tipos de embarcaciones a producir al amparo del Programa de Fomento para la Industria de Astilleros.
10. Los tipos, marcas (cuando aplique) y referencias de partes que se producirán al amparo del Programa de Fomento para la Industria de Astilleros.
11. Las subpartidas arancelarias, describiendo detalladamente los bienes comprendidos en cada una de ellas que se importarán al amparo del Programa de Fomento para la Industria de Astilleros, con indicación de sus diferencias sustanciales y precisión de los materiales, tecnología y usos respecto de los bienes con Registro de Producción Nacional dentro de la respectiva subpartida arancelaria.
PARÁGRAFO 1o. Los requisitos referidos a los accionistas de sociedades anónimas abiertas solamente deberán cumplirse en relación con aquellos que tengan un porcentaje de participación superior al 30% del capital accionario.
PARÁGRAFO 2o. Las empresas que, al momento de presentar la solicitud de autorización del Programa de Fomento para la Industria de Astilleros, no tengan el Registro de Producción Nacional de alguno de los bienes finales que van a producir, deberán asumir el compromiso de obtenerlo dentro del término establecido para producir el bien final, según lo dispuesto en el artículo 2.2.1.12.1.8. del presente decreto, término que se empieza a contar a partir de la obtención del levante de la mercancía de la primera operación de importación que realice con los beneficios del Programa. En caso de no presentarlo en el término establecido, mediante acto administrativo que así lo declare, se procederá con la terminación del programa en los términos del numeral 4 del artículo 2.2.1.12.4.4., sin perjuicio de la liquidación y pago de los derechos de aduana, la diferencia de IVA, las sanciones y los intereses moratorias correspondientes. En este evento, el Ministerio de Comercio, Industria y Turismo informará inmediatamente a la Unidad Administrativa Especial Dirección de Impuestos y Aduanas Nacionales (DIAN) para que se proceda a deshabilitarlos para la realización del trámite en el sistema informático.
PARÁGRAFO 3o. Toda planta de producción o lugar de almacenamiento al cual ingresen los bienes importados al amparo del Programa de Fomento para la Industria de Astilleros deberá encontrarse previamente autorizado por el Ministerio de Comercio, Industria y Turismo en el acto administrativo que autoriza el Programa General.
Artículo 2.2.1.12.2.2. Evaluación de la autorización del Programa de Fomento para la Industria de Astilleros. Recibida la solicitud de autorización del Programa de Fomento para la Industria de Astilleros, la Dirección de Productividad y Competitividad del Ministerio de Comercio, Industria y Turismo, o la dependencia que haga sus veces, verificará que la documentación exigida en el artículo 2.2.1.12.2.1. del presente decreto esté completa. De no estarlo, se requerirá al solicitante para que la complete en el término máximo de treinta (30) días, de tal manera que si no lo hace en este lapso se entenderá que desistió de la misma, salvo que antes de vencerse dicho plazo solicite prórroga por un término igual por una única vez.
Completada la documentación, la Dirección de Productividad y Competitividad del Ministerio de Comercio, Industria y Turismo, o la dependencia que haga sus veces, consultará y/o solicitará:
1. A las áreas responsables de la Unidad Administrativa Especial Dirección de Impuestos y Aduanas Nacionales (DIAN), certificación de la existencia o no de deudas en mora en materia aduanera, tributaria o cambiaria a favor de la DIAN al momento de la presentación de la solicitud, frente a la persona jurídica; sus socios o accionistas; las personas naturales o jurídicas que ejerzan el control individual o conjunto, directo o indirecto; miembros de la junta directiva; representantes legales; administradores; y beneficiarios reales o efectivos.
La empresa no podrá ser beneficiaria del Programa cuando exista alguna deuda en mora en materia aduanera, tributaria o cambiaria a favor de la DIAN; salvo que exista un acuerdo de pago vigente que se esté cumpliendo de conformidad con las condiciones pactadas con la DIAN, una demanda admitida contra el acto administrativo, o que el deudor haya pagado.
2. A la Junta Central de Contadores, una certificación expedida con una antelación no superior a treinta (30) días calendario, donde conste que el Revisor Fiscal de la sociedad, o el Contador cuando esta no tuviere Revisor Fiscal, no ha sido sancionado por la misma junta durante los últimos cinco (5) años.
3. A Confecámaras, que administra el Registro Único Empresarial y Social, el Certificado de Existencia y Representación Legal del solicitante.
4. En los casos que sean necesarios, a la Subdirección de Diseño y Administración de Operaciones del Ministerio de Comercio, Industria y Turismo, una propuesta de codificación de los bienes que al amparo del Programa de Fomento para la Industria de Astilleros pretende importar el solicitante, la cual para este fin asignará a cada bien un código numérico único dentro de la respectiva subpartida, porque son sustancialmente diferenciables, o identificables y diferenciables en cuanto a su uso, tecnología y materiales, según la reglamentación que sobre la metodología de control para la asignación del código numérico único expida el Ministerio de Comercio, Industria y Turismo.
La propuesta de codificación se publicará durante quince (15) días calendario en el sitio web del Ministerio de Comercio, Industria y Turismo, conforme a lo establecido en la Resolución número 784 de 2017 del Ministerio de Comercio, Industria y Turismo o la que la modifique o sustituya, para que el solicitante y los productores nacionales manifiesten por escrito si están o no de acuerdo, en todo o en parte, con indicación precisa y debidamente documentada de las razones de su disentimiento.
PARÁGRAFO. La Dirección de Productividad y Competitividad del Ministerio de Comercio, Industria y Turismo, o la dependencia que haga sus veces, verificará que el solicitante no se encuentre reportado por la Unidad Administrativa Especial Dirección de Impuestos y Aduanas Nacionales (DIAN) en el Boletín de Deudores Morosos del Estado publicado en la página web de la Contaduría General de la Nación. En caso de encontrar algún reporte de deudas por parte de la DIAN, se procederá de conformidad con el inciso segundo del numeral primero de este artículo.
Artículo 2.2.1.12.2.3. Comité de Análisis. El Comité de Análisis tiene por objeto apoyar el análisis de la información técnica y analizar las dudas en relación con la propuesta de codificación de los bienes que al amparo del Programa de Fomento de la Industria de Astilleros realice la Subdirección de Diseño y Administración de Operaciones del Ministerio de Comercio, Industria y Turismo.
Este Comité estará integrado por el Director de Productividad y Competitividad, por el Subdirector de Diseño y Administración de Operaciones de la Dirección de Comercio Exterior del Ministerio de Comercio Industria y Turismo y por el Coordinador del Grupo Registro de Productores de Bienes Nacionales.
PARÁGRAFO. El Comité de Análisis podrá invitar a las autoridades públicas, a los particulares y a los representantes de los gremios de la Industria de Astilleros, cuya opinión resulte necesaria para dilucidar aspectos relevantes que surjan con ocasión de la propuesta de codificación numérica única.
Artículo 2.2.1.12.2.4. Funcionamiento del Comité de Análisis. Dentro de los cinco (5) días posteriores al recibo del resultado de la publicación de la propuesta de codificación presentada por la Subdirección de Diseño y Administración de Operaciones de la Dirección de Comercio Exterior del Ministerio de Comercio, Industria y Turismo, el Director de Productividad y Competitividad convocará al Comité de Análisis, el cual analizará la información técnica o las dudas presentadas y presentará sus conclusiones, que serán consignadas en el acta que se levante de la respectiva reunión, cuya copia se remitirá a la Subdirección de Diseño y Administración de Operaciones.
PARÁGRAFO. Dentro de los cinco (5) días siguientes al recibo del Acta, la Subdirección de Diseño y Administración de Operaciones emitirá y comunicará al Director de Productividad y Competitividad la codificación numérica única de los bienes que al amparo del Programa pretende importar el solicitante.
Artículo 2.2.1.12.2.5. Comunicación y publicación del acto administrativo de autorización del Programa de Fomento para la Industria de Astilleros. Dentro de los cinco (5) días siguientes a la ejecutoria del acto administrativo de autorización del Programa de Fomento para la Industria de Astilleros, se remitirá copia del mismo a la Unidad Administrativa Especial Dirección de Impuestos y Aduanas Nacionales (DIAN), se publicará en el sitio web del Ministerio de Comercio, Industria y Turismo y se comunicará a los productores nacionales de los bienes codificados dentro de la respectiva subpartida arancelaria, para su actualización en el Registro de Producción Nacional.
Artículo 2.2.1.12.2.6. Duración de la autorización. El Programa de Fomento para la Industria de Astilleros autorizado estará vigente mientras se mantengan las condiciones que generaron su autorización, se cumplan las obligaciones derivadas del mismo, y no se haya declarado la cancelación o terminación del programa en los términos establecidos en los artículos 2.2.1.12.3.2., 2.2.1.12.4.3. y 2.2.1.12.4.4. del presente decreto.
SECCIÓN 3
Información y obligaciones
Artículo 2.2.1.12.3.1. Información para iniciar la ejecución del Programa. Una vez autorizado el Programa, y antes de iniciar las importaciones, la empresa autorizada para utilizar el Programa de Fomento para la Industria de Astilleros, deberá remitir a la Unidad Administrativa Especial Dirección de Impuestos y Aduanas Nacionales (DIAN), en la forma que esta establezca, la siguiente información:
1. Cuadro Insumo Producto, donde se indique por cada uno de los tipos de embarcaciones, o de los tipos, marcas (cuando aplique) o referencias de las partes de las embarcaciones que se van a producir, las cantidades de cada uno de los insumos necesarios para producir el bien final, y en cada caso los porcentajes de residuos, desperdicios o mermas propios del proceso productivo;
2. Subproductos generados de los desperdicios.
PARÁGRAFO 1o. Cuando se presenten modificaciones a las condiciones de un Cuadro Insumo Producto se deberá presentar un nuevo Cuadro Insumo Producto antes de iniciar las correspondientes importaciones.
PARÁGRAFO 2o. La corrección del Cuadro Insumo Producto procede antes de llevar a cabo las importaciones con cargo al respectivo cuadro. En caso de haber iniciado importaciones, este puede ser corregido dentro del término máximo de doce (12) meses posteriores a la presentación de la primera declaración de importación con caro al respectivo Cuadro Insumo Producto. La corrección reemplaza en todas sus partes el Cuadro Insumo Producto inicial, excepto en la fecha de presentación inicial y el número del cuadro.
PARÁGRAFO 3o. Vencido el término de doce (12) meses para presentar las correcciones de que trata el presente artículo, se entenderá que la información es definitiva y los bienes importados deberán incorporarse al bien final relacionado en el respectivo Cuadro Insumo Producto.
Artículo 2.2.1.12.3.2. Obligaciones. Las empresas autorizadas para utilizar el Programa de Fomento para la Industria de Astilleros deberán cumplir las siguientes obligaciones, sin perjuicio de las demás establecidas en el presente decreto:
1. Mantener las condiciones que dieron origen a la autorización para la utilización del Programa e informar cualquier cambio relacionado con la ubicación de los lugares donde se realiza el proceso productivo y los cambios en el uso de los bienes del Programa autorizado.
2. Informar sobre los cambios de la representación legal, miembros de junta directiva si la hay, socios, revisores fiscales y contador, ubicación, composición societaria, indicados en la, solicitud de autorización del Programa, a través del RUT.
3. Presentar a la Dirección de Productividad y Competitividad del Ministerio de Comercio, Industria y Turismo, a más tardar el último día hábil del mes de junio del año siguiente a la realización de las importaciones, un informe anual de cumplimiento del Programa, el cual deberá contener: los bienes importados al amparo del Programa y el nombre del insumo o la parte, tipo, marca, referencia; los bienes producidos durante el año inmediatamente anterior que, para el caso de embarcaciones, deberá indicar los modelos, variantes o versiones de los mismos; el inventario de bienes importados que no se han utilizado o que están incorporados a bienes en proceso de producción; y la relación de partes obsoletas o destruidas y desperdicios del proceso de producción. El informe será presentado por el representante legal de la empresa beneficiaria del Programa y refrendado por el revisor fiscal o contador.
4. Presentar la declaración de importación bajo modalidad ordinaria o régimen de importación para el consumo o reexportar los subproductos, productos defectuosos, residuos y/o desperdicios que tienen valor comercial antes de utilizar los mismos con fines comerciales o de producción de otros bienes no indicados en las subpartidas arancelarias del artículo 2.2.1.12.1.7. del presente decreto.
5. Utilizar los bienes importados al amparo del Programa de Fomento para la Industria de Astilleros, únicamente en la producción de los bienes informados a la Unidad Administrativa Especial Dirección de Impuestos y Aduanas Nacional, de acuerdo con lo establecido en los numerales 9 y 10 del artículo 2.2.1.12.2.1. del presente decreto.
6. Informar al Ministerio de Comercio, Industria y Turismo y a la Unidad Administrativa Especial Dirección de Impuestos y Aduanas Nacionales (DIAN) la fecha a partir de la cual no utilizará el Programa autorizado, sin perjuicio del cumplimiento de todas las obligaciones sobre las mercancías ya importadas al amparo del mismo.
7. En todos los casos que los bienes importados al amparo del Programa de Fomento para la Industria de Astilleros no sean incorporados en los bienes finales descritos en el artículo 2.2.1.12.1.7., el beneficiario del Programa deberá presentar la correspondiente declaración de importación bajo modalidad ordinaria o régimen de importación para el consumo, o la declaración de importación de modificación, liquidando y pagando los derechos de aduana, la diferencia del IVA, las sanciones y los intereses moratorias correspondientes, y en general todos los tributos dejados de cancelar, o deberá reexportar la mercancía.
8. Solicitar autorización a la Unidad Administrativa Especial Dirección de Impuestos y Aduanas Nacionales (DIAN) para destruir la mercancía que no va a ser incorporada a un bien final, declarada en importación o reexportada. El procedimiento de destrucción deberá realizarse en presencia de la autoridad aduanera.
9. Emitir y presentar el certificado de producción dentro del término establecido en el artículo 2.2.1.12.1.8 del presente decreto.
En los eventos previstos en los numerales 4 y 7 del presente artículo, deberá presentarse la declaración de importación, o proceder a su reexportación, dentro del término inicial autorizado, o en el término de la prórroga si esta fue autorizada, de que trata el artículo 2.2.1.12.1.8. Vencido este término, deberá presentarse declaración de legalización, a más tardar dentro del mes siguiente al vencimiento, sin perjuicio de la infracción de que trata el numeral 6 del artículo 2.2.1.12.4.2. del presente decreto.
La presentación de la declaración de importación o el reexportar la mercancía no exime de las responsabilidades generadas en el desarrollo del Programa y que se adelanten los procesos administrativos sancionatorios e imponer las sanciones administrativas en caso de ser procedente.
PARÁGRAFO. El Programa de Fomento para la Industria de Astilleros no exime a sus usuarios del cumplimiento de las normas generales que regulan los bienes importados, fabricados o ensamblados en el territorio nacional.
SECCIÓN 4
Suspensión, infracciones, cancelación y terminación del Programa
Artículo 2.2.1.12.4.1. Suspensión de las importaciones. Cuando no se presente el Informe Anual de Cumplimiento del Programa a más tardar el último día hábil del mes de junio del año siguiente a la realización de las importaciones al amparo del programa, no podrán realizarse nuevas importaciones al amparo del mismo, hasta tanto sea presentado dicho informe y en todo caso con anterioridad al último día hábil del mes de septiembre del mismo año, caso en el cual se procederá de conformidad con el numeral 5 del artículo 2.2.1.12.4.4.
El incumplimiento de los plazos establecidos en el inciso anterior deberá ser informado por el Ministerio de Comercio, Industria y Turismo a la Dirección de Impuestos y Aduanas Nacionales (DIAN) dentro de los cinco (5) días hábiles siguientes a su ocurrencia.
Artículo 2.2.1.12.4.2. Infracciones y sanciones en el Programa de Fomento de la Industria de Astilleros. Las infracciones aduaneras en las que podrán incurrir los beneficiarios de programas de fomento para la industria de astilleros, sancionadas por la Unidad Administrativa Especial Dirección de Impuestos y Aduanas Nacionales, son las siguientes:
1. No someter a importación o destrucción, según el caso, los subproductos, productos defectuosos, residuos y/o desperdicios resultantes del programa. La multa equivaldrá a trescientas Unidades de Valor Tributario (300 UVT).
2. Presentar cuadros insumo producto con valores de consumo diferentes a los realmente utilizados. La sanción a imponer será de multa equivalente a doscientas Unidades de Valor Tributario (200 UVT).
3. Tener mercancía que no está en libre circulación, en lugares distintos a los informados para el desarrollo del Programa. La sanción a imponer será de multa equivalente a doscientas Unidades de Valor Tributario (200 UVT).
4. No presentar el Certificado de Producción definido en el artículo 2.2.1.12.1.2. dentro del término establecido en el artículo 2.2.1.12.1.8. del presente decreto. La sanción a imponer será de multa equivalente al cincuenta por ciento (50%) de los derechos e impuestos de importación sobre la mercancía importada. El acto sancionatorio ordenará, además, declarar que se tenga como certificada de oficio la incorporación al bien final.
Cuando la certificación se produzca de manera extemporánea y hasta antes de la intervención de la autoridad aduanera, la sanción prevista en este numeral se reducirá al ochenta por ciento (80%).
5. Destruir mercancías bajo control aduanero sin contar con la autorización y presencia de la autoridad aduanera. La sanción será de multa equivalente al sesenta por ciento (60%) del valor FOB de las mercancías; cuando no fuere posible establecer dicho valor, la cuantía será de cuatrocientas Unidades de Valor Tributario (400 UVT).
6. No presentar la declaración de importación bajo modalidad ordinaria o régimen de importación para el consumo, o no reexportar las mercancías cuando, en los términos de este decreto, esté obligado a ello. La sanción a imponer será de multa equivalente al veinte por ciento (20%) de los derechos e impuestos correspondientes a esos mismos bienes, determinados en la liquidación oficial correspondiente.
7. No adoptar un sistema de control de inventarios conforme a lo establecido en el artículo 2.2.1.12.1.5. del presente decreto. La sanción será de multa equivalente a doscientas Unidades de Valor Tributario (200 UVT).
Las sanciones referenciadas se impondrán conforme al procedimiento administrativo sancionatorio que prevé la regulación aduanera.
En el evento en que el Ministerio de Comercio, Industria y Turismo encuentre que un beneficiario presuntamente ha incurrido en alguna de las infracciones previstas en el presente artículo, pondrá los hechos en conocimiento de la Unidad Administrativa Especial Dirección de Impuestos y Aduanas Nacionales (DIAN) para lo de su competencia.
Artículo 2.2.1.12.4.3. Sanción de cancelación de la autorización. La Unidad Administrativa Especial Dirección de Impuestos y Aduanas Nacionales (DIAN) sancionará con cancelación de la autorización en los siguientes eventos:
1. Destinar las mercancías importadas al amparo del Programa a propósitos diferentes de los autorizados en el artículo 2.2.1.12.1.7. del presente decreto.
2. Inscribirse en el Registro Único Tributario (RUT) o registro que haga sus veces o actualizarlo con información que no corresponda con la real. También habrá lugar a la cancelación cuando se incumpla con la obligación señalada en el numeral 2 del artículo 2.2.1.12.3.2. del presente decreto.
3. Obtener y utilizar documentos falsos dentro de una operación de comercio exterior.
4. Cuando con ocasión del levantamiento del velo corporativo, se evidencie que el beneficiario del Programa creó o participó en la creación de sociedades para la realización de operaciones de comercio exterior fraudulentas.
La imposición de la sanción de cancelación se hará siguiendo el procedimiento administrativo sancionatorio que prevé la regulación aduanera.
La cancelación de la autorización de un programa se hará sin perjuicio de la exigencia de cumplimiento de las obligaciones aduaneras derivadas de las importaciones realizadas al amparo del Programa.
La persona jurídica a quien se le haya cancelado la autorización del Programa de Fomento para la Industria de Astilleros, no podrá solicitar una nueva autorización dentro de los cinco (5) años siguientes a la ejecutoria del acto administrativo que así lo determine.
En el evento en que el Ministerio de Comercio, Industria y Turismo encuentre que un beneficiario presuntamente ha incurrido en alguna de las causales de cancelación previstas en el presente artículo, pondrá los hechos en conocimiento de la Unidad Administrativa Especial Dirección de Impuestos y Aduanas Nacionales (DIAN) para lo de su competencia.
Dentro de los cinco (5) días hábiles siguientes a la ejecutoria del acto administrativo que declara la cancelación, la Unidad Administrativa Especial Dirección de Impuestos y Aduanas Nacionales (DIAN) remitirá copia del acto administrativo en firme, al Ministerio de Comercio, Industria y Turismo por correo electrónico o en documento físico, para lo de su competencia.
PARÁGRAFO. Sin perjuicio de lo previsto en el presente Capítulo, serán aplicables y exigibles las medidas cautelares, obligaciones y sanciones establecidas en las normas aduaneras, con ocasión de las operaciones de comercio exterior de los beneficiarios del Programa de Fomento para la Industria de Astilleros. Para la aplicabilidad y exigencia de las sanciones y obligaciones, así como para la aplicación de la cancelación de la autorización se aplicará el procedimiento administrativo previsto en la legislación aduanera y/o tributaria vigente.
Artículo 2.2.1.12.4.4. Terminación del Programa. El Ministerio de Comercio, Industria y Turismo declarará la terminación del Programa, por la ocurrencia de cualquiera de los siguientes hechos:
1. Disolución de la sociedad.
2. Renuncia a la utilización del Programa por parte del beneficiario.
3. No realizar durante dos (2) años consecutivos importaciones al amparo del Programa, a partir de la última importación realizada.
4. Cuando no se obtenga el Registro de Producción Nacional en los términos establecidos en el parágrafo 2 del artículo 2.2.1.12.2.1. del presente decreto.
5. No presentar el Informe Anual de Cumplimiento del Programa a más tardar el último día hábil del mes de septiembre del año siguiente a la realización de las importaciones.
6. Cuando no se mantengan las condiciones que dieron origen a la autorización para la utilización del programa, o no se informe sobre cambios relacionados con la ubicación de los lugares donde se realizará el proceso productivo y los cambios en el uso de los bienes del programa autorizado o cuando se hubiere obtenido la autorización del Programa con base en documentación o información que no corresponda con la real.
7. Cuando la Unidad Administrativa Especial Dirección de Impuestos y Aduanas Nacionales (DIAN) haya enviado copia del acto administrativo en firme que impone sanción de cancelación del programa, de conformidad con lo establecido en el artículo anterior.
8. Facilitar, permitir o participar como beneficiario del Programa en operaciones vinculadas a los presuntos delitos de enriquecimiento ilícito, tráfico de armas, municiones, explosivos, minas antipersona, tráfico de estupefacientes, lavado de activos, testaferrato, cohecho, fraude procesal, contra la seguridad pública, contra la fe pública, contra los recursos naturales y medio ambiente, contra los servidores públicos, contra la propiedad industrial y contra los derechos de autor. En estos casos, el proceso de terminación se iniciará cuando quede en firme la decisión judicial.
9. Facilitar, permitir o participar en operaciones de comercio exterior prohibidas, o no autorizadas, o vinculadas a los presuntos delitos de contrabando, favorecimiento de contrabando, defraudación a las rentas de aduana, exportación o importación ficticia. En todos estos eventos, la responsabilidad administrativa se establecerá independientemente de la penal.
La terminación del Programa se ordenará mediante acto administrativo contra el que proceden los recursos establecidos en el Código de Procedimiento Administrativo y de lo Contencioso Administrativo.
En el evento en que la Unidad Administrativa Especial Dirección de Impuestos y Aduanas (DIAN) encuentre que un beneficiario presuntamente ha incurrido en alguna de las causales de terminación aquí descritas, pondrá los hechos en conocimiento del Ministerio de Comercio, Industria y Turismo para lo de su competencia.
Dentro de los cinco (5) días hábiles siguientes a la ejecutoria del acto administrativo que declara la terminación, el Ministerio de Comercio, Industria y Turismo remitirá copia del acto administrativo en firme, conforme al artículo 87 de la Ley 1437 de 2011, a la Unidad Administrativa Especial Dirección de Impuestos y Aduanas Nacionales (DIAN) por correo electrónico o en documento físico, para lo de su competencia.
Artículo 2.2.1.12.4.5. Obligaciones aduaneras derivadas de la terminación y/o cancelación del Programa. En caso de terminación y/o cancelación del programa o subprograma, el usuario deberá cumplir las obligaciones aduaneras derivadas de las importaciones efectuadas al amparo del Programa, mediante la presentación de las declaraciones de importación de los bienes importados que no hayan sido involucrados en el bien final, liquidando los derechos de aduana, la diferencia del IVA, las sanciones y los intereses moratorias correspondientes, o reexportar las mercancías dentro de los treinta (30) días siguientes a la fecha de ejecutoria del acto administrativo de terminación o cancelación del Programa. En caso contrario, la Dirección Seccional de Aduanas competente dará inicio al procedimiento administrativo para la determinación de los derechos de aduana e impuestos a la importación, sanciones e intereses moratorias exigibles.
SECCIÓN 5
Disposiciones finales
Artículo 2.2.1.12.5.1. Control y seguimiento al Programa de Fomento para la Industria de Astilleros. La Unidad Administrativa Especial Dirección de Impuestos y Aduanas Nacionales (DIAN) y el Ministerio de Comercio, Industria y Turismo controlarán y harán seguimiento al cumplimiento de los compromisos de los Programas de Fomento para la Industria de Astilleros en los términos establecidos en el presente decreto y en el marco de sus competencias”.
ARTÍCULO 2o. Modifíquense los artículos 2.2.1.14.2.3. y 2.2.1.14.2.4. del Capítulo 14 del Título 1 de la Parte 2 del Libro 2 del Decreto Único Reglamentario del Sector Comercio, Industria y Turismo, Decreto número 1074 de 2015, que estableció un Programa de Fomento para la Industria Automotriz, cuyo texto será el siguiente:
“Artículo 2.2.1.14.2.3. Comité de Análisis. El Comité de Análisis tiene por objeto apoyar el análisis de la información técnica y analizar las dudas en relación con la propuesta de codificación de los bienes que al amparo del Programa de Fomento de la Industria Automotriz realice la Subdirección de Diseño y Administración de Operaciones del Ministerio de Comercio, Industria y Turismo.
Este Comité estará integrado por el Director de Productividad y Competitividad, por el Subdirector de Diseño y Administración de Operaciones de la Dirección de Comercio Exterior del Ministerio de Comercio Industria y Turismo y por el Coordinador del Grupo Registro de Productores de Bienes Nacionales.
PARÁGRAFO. El Comité de Análisis podrá invitar a las autoridades públicas, a los particulares y a los representantes de los gremios de la Industria Automotriz, cuya opinión resulte necesaria para dilucidar aspectos relevantes que surjan con ocasión de la propuesta de codificación numérica única”.
“Artículo 2.2.1.14.2.4. Funcionamiento del Comité de Análisis. Dentro de los cinco (5) días posteriores al recibo del resultado de la publicación de la propuesta de codificación presentada por la Subdirección de Diseño y Administración de Operaciones de la Dirección de Comercio Exterior del Ministerio de Comercio, Industria y Turismo, el Director de Productividad y Competitividad convocará al Comité de Análisis, el cual analizará la información técnica o las dudas presentadas y presentará sus conclusiones, que serán consignadas en el Acta que se levante de la respectiva reunión, cuya copia se remitirá a la Subdirección de Diseño y Administración de Operaciones.
PARÁGRAFO. Dentro de los cinco (5) días siguientes al recibo del Acta, la Subdirección de Diseño y Administración de Operaciones emitirá y comunicará al Director de Productividad y Competitividad la codificación numérica única de los bienes que al amparo del Programa pretende importar el solicitante”.
ARTÍCULO 3o. VIGENCIA. El presente decreto rige a partir de su publicación.
Publíquese y cúmplase.
Dado en Bogotá, D. C., a 20 de agosto de 2020.
IVÁN DUQUE MÁRQUEZ
El Ministro de Hacienda y Crédito Público,
Alberto Carrasquilla Barrera.
El Ministro de Comercio, Industria y Turismo,
José Manuel Restrepo Abondano.