DECRETO 1939 DE 2001
(septiembre 14)
Diario Oficial No. 44.557, de 20 de septiembre de 2001
MINISTERIO DE HACIENDA Y CRÉDITO PÚBLICO
Por el cual se reglamenta el artículo 133 de la Ley 633 de 2000 y se dictan otras disposiciones.
El Presidente de la República de Colombia,
en ejercicio de las facultades constitucionales y legales, en especial las conferidas por los artículos 189 numeral 11 y 364 de la Constitución Política, y por las Leyes 141 de 1994, 209 de 1995, 358 de 1997, 533 de 1999, 617 y 633 de 2000,
CONSIDERANDO:
Que la Ley 209 de 1995, creó el Fondo de Ahorro y Estabilización Petrolera, FAEP, como un sistema de manejo de cuentas en el exterior para un traslado temporal de las regalías y compensaciones con fines de ahorro fiscal y de estabilización petrolera;
Que el artículo 14 de la Ley 141 de 1994 modificado por el artículo 11 de la Ley 619 de 2000, establece que los recursos de regalías y compensaciones monetarias distribuidos a los departamentos productores serán destinados en un 90% a inversión en proyectos prioritarios contemplados en el plan general de desarrollo del departamento o en los planes de desarrollo de sus municipios. El 10% restante se utilizará para la interventoría y puesta en operación de los proyectos que se ejecuten con estos recursos;
Que el artículo 15 de la Ley 141 de 1994 modificado por el artículo 12 de la Ley 619 de 2000, establece que los recursos de regalías y compensaciones monetarias distribuidos a los municipios productores serán destinados en un 90% a inversión en proyectos de desarrollo municipal contenidos en el plan de desarrollo con prioridad para aquellos dirigidos al saneamiento ambiental y para los destinados a la construcción y ampliación de la estructura de servicios de salud, educación, electricidad, agua potable, alcantarillado y demás servicios públicos básicos esenciales. El 10% restante se utilizará para la interventoría y la puesta en operación de los proyectos que se ejecuten con estos recursos;
Que mediante Ley 633 de 2000, el Congreso de la República autorizó la disposición de los recursos del Fondo de Ahorro y Estabilización Petrolera, FAEP, y estableció algunos criterios para el reparto y destinación de estos recursos;
Los recursos que por mandato del artículo 133 de la Ley 633 de 2000 se deben entregar a los municipios y departamentos productores con derechos en el Fondo de Ahorro y Estabilización Petrolera, FAEP, deberán estar destinados al pago de la deuda vigente a 29 de diciembre 2000, causada con base en las finalidades para las cuales las regalías y compensaciones son destinadas;
Que la misma ley estableció que el Gobierno podría disponer de los recursos correspondientes al Fondo Nacional de Regalías en el Fondo de Ahorro y Estabilización Petrolera, FAEP, para asignarlos a los municipios y departamentos no productores de hidrocarburos, con destinación exclusiva al pago de la deuda vigente a 29 de diciembre de 2000, causada por la financiación de proyectos y programas de desarrollo;
Que con base en lo ordenado por la Ley 633 de 2000, se hace necesario que el Gobierno Nacional reglamente la distribución de los recursos que los municipios y departamentos productores y el Fondo Nacional de Regalías tienen en el Fondo de Ahorro y Estabilización Petrolera, FAEP, de acuerdo con criterios objetivos de manera tal, que se propenda a una distribución equitativa de tales recursos, se observen los objetivos constitucionales en la utilización de los recursos provenientes de las regalías y no se vulneren las políticas macroeconómicas del Gobierno ni se comprometan las metas de déficit fiscal,
DECRETA:
ARTÍCULO 1o. DEFINICIONES GENERALES.
Deuda: Para los efectos de este decreto se entenderá por deuda toda aquella operación de crédito público, operaciones asimiladas a operación de crédito público u operación de manejo de deuda de que trata el Decreto 2681 de 1993, que hayan sido celebradas por los departamentos productores y no productores, y por los municipios productores y no productores, con entidades vigiladas por la Superintendencia Bancaria, la Nación, entidades públicas descentralizadas de fomento y desarrollo regional, o con proveedores; siempre que estas operaciones estén directamente relacionadas con proyectos de inversión en los términos que lo establecen los artículos 14 y 15 de la Ley 141 de 1994 y el artículo 133 de la Ley 633 de 2000. Asimismo, están incluidas las deudas por concepto de subsidios reconocidos por empresas distribuidoras de energía.
Inversión: Son aquellas erogaciones susceptibles de causar créditos o de ser de algún modo económicamente productivas, o que tengan cuerpo de bienes de utilización perdurable. Asimismo, son aquellos gastos destinados a crear infraestructura social. La característica fundamental de este gasto debe ser que su asignación permita acrecentar la capacidad de producción y productividad en el campo de la estructura física, económica y social.
Departamentos y municipios productores con derechos en el Fondo de Ahorro y Estabilización Petrolera: Para efectos del presente decreto son departamentos productores con derechos en el Fondo de Ahorro y Estabilización Petrolera: Arauca y Casanare y municipios productores: Arauca, Arauquita, Aguazul, y Tauramena.
Departamentos no productores: Para efectos del presente decreto y en concordancia con lo establecido en el parágrafo del artículo 54 de la Ley 141 de 1994, serán departamentos no productores aquellos en los que se exploten menos de setenta mil (70.000) barriles promedio mensual diario a diciembre 29 de 2000, según certificación expedida por el Ministerio de Minas y Energía.
Municipios no productores: Para efectos del presente decreto y en concordancia con lo establecido en el parágrafo del artículo 55 de la Ley 141 de 1994, serán municipios no productores aquellos en los que se exploten menos de siete mil quinientos (7.500) barriles promedio mensual diario a 29 de diciembre de 2000, según certificación expedida por el Ministerio de Minas y Energía. Para efectos de realizar la asignación de los recursos que el Fondo Nacional de Regalías tiene en el FAEP, los distritos especiales y el Distrito Capital serán considerados como municipios no productores.
ARTÍCULO 2o. MONTO DE LOS RECURSOS. El monto de los recursos a los que hace referencia el presente decreto corresponde en el caso de los departamentos y municipios productores con derechos en el Fondo de Ahorro y Estabilización Petrolera y del Fondo Nacional de Regalías, al acumulado en la respectiva subcuenta a tercer trimestre de 2001, según la liquidación definitiva, certificada por Ecopetrol, en el mes de octubre de 2001.
Para el caso del valor de los recursos que corresponden a la liquidación definitiva del Fondo Nacional de Regalías, con destino al pago de la deuda de los departamentos y municipios no productores de hidrocarburos, Ecopetrol solicitará el reintegro de dichos recursos, dentro de los diez días hábiles siguientes a la vigencia de este decreto y el Banco de la República se los trasladará dentro de los cinco (5) días hábiles siguientes al recibo de la solicitud. Ecopetrol mantendrá los recursos en el exterior en una subcuenta de carácter temporal, con el fin de girarlos en los términos que lo establece el presente decreto, una vez se cumplan con los requisitos establecidos para el pago de deuda. Una vez finalice el proceso de asignación de los recursos, el remanente y los rendimientos, si hubiere lugar a ellos, serán trasladados por Ecopetrol al Banco de la República con el fin de que ingresen a la subcuenta original del Fondo Nacional de Regalías en el FAEP.
ARTÍCULO 3o. DESTINACIÓN DE LOS RECURSOS DEL ARTÍCULO 133 DE LA LEY 633 DE 2000. Los recursos provenientes del Fondo de Ahorro y de Estabilización Petrolera que se distribuyan con base en lo ordenado por el artículo 133 de la Ley 633 de 2000 estarán destinados exclusivamente al pago de la deuda vigente al 29 de diciembre de 2000, causada por la financiación de proyectos y programas de desarrollo.
ARTÍCULO 4o. DESTINACIÓN DE RECURSOS LIBERADOS. Los recursos que se liberen como consecuencia de la cancelación de la deuda que los departamentos y municipios productores y no productores tuvieran vigente a 29 de diciembre de 2000, sólo podrán destinarse a inversión.
En ningún caso los recursos que se liberen como consecuencia de la cancelación de la Deuda, tanto en el caso de los municipios y departamentos productores con derechos en el Fondo de Ahorro y de Estabilización Petrolera, FAEP, como en el caso de los municipios y departamentos no productores, podrán ser destinados a gastos de funcionamiento.
ARTÍCULO 5o. PAGO DE LA DEUDA DE LOS DEPARTAMENTOS Y MUNICIPIOS PRODUCTORES Y NO PRODUCTORES. La deuda de que trata este decreto será pagada directamente por ECOPETROL a los acreedores de los municipios y departamentos productores y no productores, que cumplan con las siguientes condiciones:
A. Los municipios y departamentos productores y no productores que no suscribieron Programas de Saneamiento Fiscal y Financiero y/o no reestructuraron deuda vigente al 29 de diciembre de 2000, en los términos y condiciones establecidos en la Ley 617 de 2000 y sus decretos reglamentarios, se efectuará el prepago siempre y cuando se cumplan las siguientes condiciones:
(i) A los intereses que se liquiden de la deuda se le aplican las siguientes reglas:
1. Que únicamente se causen y se cobren intereses corrientes.
2. No se reconocerán intereses moratorios.
3. Que los intereses corrientes no pagados hasta el momento de la liquidación no representen más del diez por ciento (10%) del valor del capital de la deuda objeto de prepago.
(ii) En caso de que no se pague la totalidad de la deuda, el saldo de capital adeudado deberá ser reestructurado a un costo que medido en términos del margen o spread sobre la tasa base del cálculo de los intereses, disminuya como mínimo en doscientos cincuenta (250) puntos base y las condiciones de plazo y período de gracia, permitan a la entidad territorial respectiva, la atención prioritaria de los pasivos exigibles a cargo de la misma.
B. Los municipios y departamentos productores y no productores que hayan suscrito Programas de Saneamiento Fiscal y Financiero en los términos y condiciones establecidas en las Leyes 550 de 1999 y 617 de 2000 y, sus decretos reglamentarios y/o que hayan reestructurado deudas dentro del período comprendido entre el 30 de diciembre de 1999 y el 29 de diciembre de 2000, se efectuará el prepago, máximo a las tasas de interés pactadas en cada uno de los contratos y/o acuerdos de reestructuración.
ARTÍCULO 6o. REINTEGRO DE LAS SUMAS A LOS DEPARTAMENTOS Y MUNICIPIOS PRODUCTORES CON DERECHOS EN EL FONDO DE AHORRO Y ESTABILIZACIÓN PETROLERA. De conformidad con lo establecido en el presente decreto, los departamentos y municipios productores están autorizados, por una sola vez, para disponer del reintegro de sus derechos en el Fondo de Ahorro y de Estabilización Petrolera, para el pago de la Deuda que cumpla con las condiciones establecidas en los literales A o B del artículo quinto de este decreto.
1. <Ver Nota de Vigencia> Los departamentos y municipios productores con derechos en el Fondo de Ahorro y Estabilización Petrolera, FAEP, que deseen utilizar los recursos ahorrados en él, para los fines previstos en el artículo 133 de la Ley 633 de 2000, deberán presentar la solicitud correspondiente al Ministerio de Hacienda y Crédito Público – Dirección General de Crédito Público, dentro de los 30 días hábiles siguientes a la vigencia del presente decreto, acompañándola de la siguiente documentación:
a) Certificación de las deudas que se proyectan prepagar, vigentes a 29 de diciembre de 2000, donde se especifique: entidad acreedora, monto inicial de la deuda, monto adeudado por concepto de capital e intereses corrientes, fecha de celebración del acto o contrato, y la destinación que se le dio al crédito. Dicha información deberá estar debidamente certificada por la entidad acreedora, por el alcalde o gobernador y por la Contraloría del respectivo municipio o departamento, o por la entidad que haga sus veces;
b) Identificación de las cuentas corrientes y/o ahorros en las cuales se deben efectuar los prepagos de las deudas, debidamente certificadas por las entidades financieras y los acreedores correspondientes;
c) Autorización irrevocable del alcalde o gobernador del municipio o departamento productor, en la cual se faculta a Ecopetrol para girar los recursos directamente a la entidad acreedora en la cuenta que determine, según la identificación y certificación mencionada en el literal anterior.
2. Los departamentos y municipios productores con derechos en el Fondo de Ahorro y Estabilización Petrolera deberán cubrir las deudas que tengan a su cargo en el siguiente orden de prelación: Deudas con entidades vigiladas por la Superintendencia Bancaria, Deudas con la Nación y Deudas por concepto de subsidios reconocidos por empresas distribuidoras de energía eléctrica.
3. <Ver Nota de Vigencia> Una vez recibida, procesada y analizada la información contemplada en el numeral primero de este artículo, el Ministerio de Hacienda y Crédito Público-Dirección General de Crédito Público, dentro de los 20 días hábiles siguientes al recibo de la información completa expedirá la certificación correspondiente, la cual será comunicada al respectivo alcalde o gobernador, para que éstos presenten al Concejo o Asamblea, según sea el caso, el proyecto de acuerdo u ordenanza, que apruebe el ingreso y el gasto correspondiente dentro del presupuesto de gastos e ingresos del respectivo departamento o municipio. Dicha certificación contendrá el monto de la Deuda que se cancelará con los recursos que tienen ahorrados en el Fondo de Ahorro y Estabilización Petrolera.
4. <Numeral modificado por el artículo 3 del Decreto 2652 de 2002. El nuevo texto es el siguiente:> Una vez sancionado el acuerdo o la ordenanza, donde se demuestre la inclusión de los montos de recursos para el pago de la Deuda de que trata el presente decreto, el alcalde o gobernador respectivo deberá enviarlo al Ministerio de Hacienda y Crédito Público - Dirección General de Crédito Público, quien comunicará a Ecopetrol dentro de los cinco (5) días hábiles siguientes al recibo, para que este dentro de los días (10) hábiles siguientes al recibo de dicha comunicación, gire los recursos en moneda nacional, equivalentes a su valor en dólares tomando como referencia la tasa de cambio representativa del mercado de la fecha en que se efectúe el pago. Dicha suma será girada directamente al acreedor del departamento o municipio productor.
5. <Numeral derogado por el artículo 4 del Decreto 2652 de 2002>
6. <Ver Nota de Vigencia> El acreedor del departamento y municipio productor deberá enviar a la Dirección General de Crédito Público y al respectivo departamento o municipio productor con derechos en el Fondo de Ahorro y Estabilización Petrolera, dentro de los tres (3) días hábiles siguientes al pago, la constancia del abono respectivo al crédito.
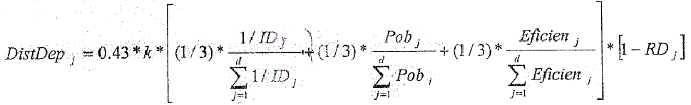
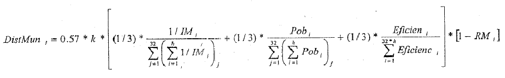
ARTÍCULO 8o. PRINCIPIO GENERAL DE DISTRIBUCIÓN DE LOS RECURSOS DEL FONDO NACIONAL DE REGALÍAS EN EL FONDO DE AHORRO Y ESTABILIZACIÓN PETROLERA. Con base en lo establecido en el artículo 133 de la Ley 633 de 2000, la metodología de distribución de los recursos entre los departamentos y municipios no productores utiliza criterios objetivos que garantizan una distribución equitativa de los recursos que el Fondo Nacional de Regalías tiene ahorrados en el FAEP. Los recursos serán distribuidos por el Departamento Nacional de Planeación en proporción directa a la población de los departamentos y municipios no productores y a su eficiencia fiscal y administrativa, e inversamente proporcional a su grado de desarrollo y al porcentaje de participación en las regalías directas.
ARTÍCULO 9o. METODOLOGÍA DE DISTRIBUCIÓN DE LOS RECURSOS QUE EL FONDO NACIONAL DE REGALÍAS TIENE EN EL FONDO DE AHORRO Y ESTABILIZACIÓN PETROLERA. La metodología involucra los siguientes criterios:
· Indice de desarrollo municipal y departamental, el cual incluye variables sociales y financieras.
· La población departamental y municipal proyectada, según el Censo DANE de 1993.
· Eficiencia fiscal y administrativa promedio de los últimos tres años, como máximo, la cual relaciona ingresos tributarios y gastos de funcionamiento de la administración central.
· Regalías directas percibidas por los municipios y departamentos no productores de hidrocarburos.
La fórmula contendrá los siguientes elementos:
a) El monto global (k) se asigna en proporción a la participación total de los departamentos y municipios en la deuda territorial de que trata el artículo tercero de este decreto, la cual es del 43% y 57%, respectivamente.
(i) Asignación a departamentos:
PASO 1:
1. Una tercera parte del valor a distribuir corresponde a la participación del inverso del índice de Desarrollo de cada departamento (ID) en la suma total de estos inversos (descontando los departamentos productores).
2. Una tercera parte a la participación de la población de cada departamento en la población nacional (descontando la correspondiente a la de los departamentos productores).
3. Una tercera parte a la eficiencia promedio de los últimos tres años, como máximo, (medida como la relación Ingresos Tributarios / Gastos de funcionamiento) de cada departamento comparada con la eficiencia agregada de los departamentos del país (descontando los productores).
PASO 2:
1. El cupo así calculado para cada departamento en el PASO 1, será multiplicado por la diferencia entre 1 y su participación en las regalías directas recibidas por los departamentos (descontando los productores).
2. La suma que se descuenta a los departamentos no productores que reciben regalías directas por el factor anterior se redistribuye entre los departamentos no productores que no perciben regalías directas, aplicando la metodología del PASO 1 de la asignación a departamentos.
(ii) Asignación a municipios:
PASO 1:
1. Un tercio del valor a distribuir corresponde a la participación del inverso del índice de desarrollo del municipio en la suma total de los inversos del IM de los municipios del departamento (h) al cual pertenece (incluido el mismo municipio y descontando los municipios productores), todo ello ponderado por la participación de dicha suma total de los inversos del IM del respectivo departamento en el agregado nacional de estas sumas departamentales (descontando los productores).
2. Un tercio corresponde a la participación de la población del municipio en la población del departamento (h) al cual pertenece (incluido el mismo municipio y descontando los municipios productores), todo ello ponderado por la participación de la población del correspondiente departamento en la población nacional (descontando los municipios productores).
3. Un tercio a la eficiencia fiscal y administrativa promedio de los últimos tres años, como máximo, (medida como Ingresos Tributarios gastos de funcionamiento), comparada con la eficiencia agregada de los municipios del país (descontando los municipios productores).
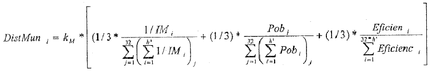
PASO 2:
1. El cupo así calculado para cada municipio en el PASO 1, será multiplicado por la diferencia entre 1 y su participación en las regalías directas recibidas por los municipios (descontando los productores).
2. La suma que se descuenta a los municipios no productores que reciben regalías directas por el factor anterior se redistribuye entre los municipios no productores que no perciben regalías directas, aplicando la metodología del PASO 1 de la asignación a municipios.
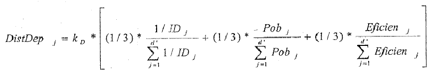
Con base en lo anterior, la metodología de distribución propuesta y los criterios establecidos se formula como sigue:
1. Asignación a departamentos:
PASO 1:

PASO 2:

2. Asignación a municipios:
PASO 1:

PASO 2:

· j: departamento
· i: municipio
· DistDepj corresponde al monto distribuido que corresponde a cada departamento j.
· IDj es el índice de desarrollo del departamento j.
· Pob j es la población del departamento j.
· DistMuni corresponde al monto distribuido que corresponde a cada municipioi.
· IMi es el índice de desarrollo del municipio i,
· Pobj es la población del municipio i.
· k es el monto de recursos a distribuir.
· kD es el monto a distribuir que resulta de los descuentos hechos en el PASO 1 de la asignación a departamentos.
· kM es el monto a distribuir que resulta de los descuentos hechos en el PASO 1 de la asignación a municipios.
· Eficien j: Es la eficiencia administrativa del departamento, medida como el promedio de los últimos tres años, como máximo, de la relación ingresos tributarios / gastos de funcionamiento de la administración central.
· Eficieni: Es la eficiencia administrativa del municipio i, medida como el promedio de los últimos tres años, como máximo, de la relación ingresos tributarios / gastos de funcionamiento de la administración central.
· RDj: Es la participación del departamento j no productor en las regalías directas percibidas por los departamentos no productores.
· Rmj: Es la participación del municipio i no productor en las regalías directas percibidas por los municipios no productores.
· d: Se refiere al número de departamentos que se beneficiarían con recursos del FNR en el FAEP (es decir, los no productores de hidrocarburos).
· d' número de departamentos no productores de hidrocarburos que no reciben regalías directas.
· h: Corresponde al número de municipios no productores de hidrocarburos que se encuentran en el departamento del cual hace parte el municipio i.
· h': Corresponde al número de municipios no productores de hidrocarburos que no reciben regalías directas y que se encuentran en el departamento del cual hace parte el municipio i.
ARTÍCULO 10. DISTRIBUCIÓN DE LOS RECURSOS DEL FONDO NACIONAL DE REGALÍAS ENTRE LOS DEPARTAMENTOS Y MUNICIPIOS NO PRODUCTORES. De acuerdo con los criterios que se fijaron en el artículo anterior y según lo establecido en el artículo 133 de la Ley 633 de 2000, los recursos que el Fondo Nacional de Regalías tiene en el Fondo de Ahorro y Estabilización Petrolera deben ser destinados al pago de la Deuda, entendida en los términos establecidos en el presente decreto.
1. <Ver Nota de Vigencia> Los departamentos y municipios no productores que deseen acceder a los recursos que el Fondo Nacional de Regalías tiene ahorrados en el Fondo de Ahorro y Estabilización Petrolera, FAEP, para los fines previstos en el artículo 133 de la Ley 633 de 2000, deberán presentar la solicitud correspondiente al Ministerio de Hacienda y Crédito Público– Dirección General de Crédito Público, dentro de los 30 días hábiles siguientes a la fecha de entrada en vigencia del presente decreto, acompañándola de la siguiente documentación:
a) Certificación de la calidad de departamento y municipio no productor expedida por el Ministerio de Minas y Energía;
b) Certificación de las Deudas que se proyectan prepagar, vigentes a 29 de diciembre de 2000, donde se especifique: entidad acreedora, monto inicial de la Deuda, monto adeudado por concepto de capital e intereses corrientes, fecha de celebración del acto o contrato, y la destinación que se le dio al crédito. Dicha información deberá estar debidamente certificada por la entidad acreedora, por el alcalde o gobernador y por la Contraloría del respectivo municipio o departamento, o la entidad que haga sus veces;
c) Identificación de las cuentas corrientes y/o ahorros en las cuales se deben efectuar los prepagos de las Deudas, debidamente certificadas por las entidades financieras y los acreedores correspondientes;
d) Autorización irrevocable del alcalde o gobernador del municipio o departamento no productor, en la cual se faculta a Ecopetrol para girar los recursos directamente a la entidad acreedora en la cuenta que determine, según la identificación y certificación mencionada en el literal anterior.
2. Los departamentos y municipios no productores deberán cubrir las Deudas que tengan a su cargo en el siguiente orden: Deudas con entidades vigiladas por la Superintendencia Bancaria, Deudas con la Nación, Deudas con entidades públicas descentralizadas de fomento y desarrollo regional, Deudas por concepto de subsidios reconocidos por empresas distribuidoras de energía eléctrica y finalmente las Deudas con proveedores.
Los municipios y departamentos no productores que a 29 de diciembre de 2000, tuvieran deudas con entidades públicas descentralizadas de fomento y desarrollo regional podrán solicitar, dentro del término establecido para la presentación de la documentación completa, la modificación de la prelación establecida en el presente numeral a la Dirección de Apoyo Fiscal del Ministerio de Hacienda y Crédito Público quien podrá emitir la autorización correspondiente cuando existan circunstancias objetivas que justifiquen dicha modificación.
Asimismo, los departamentos y municipios no productores sólo podrán destinar hasta el 15% del cupo asignado a que hace referencia el siguiente numeral al pago de las deudas por conceptos de subsidios reconocidos por empresas distribuidoras de energía eléctrica.
3. <Ver Nota de Vigencia> El Ministerio de Hacienda y Crédito Público-Dirección General del Crédito Público, teniendo en cuenta la predistribución de los recursos que el Fondo Nacional de Regalías tiene en el FAEP, realizada por el Departamento Nacional de Planeación y la información entregada por los departamentos y municipios no productores comunicarán el monto de los recursos asignados para el pago de la Deuda a cada departamento y municipio no productor, dentro de los veinte (20) días hábiles siguientes al recibo de la documentación completa. Esta comunicación estará destinada a que el respectivo alcalde o gobernador presente al concejo o Asamblea, el proyecto de acuerdo u ordenanza, que apruebe el ingreso y el gasto correspondiente dentro del presupuesto de gastos e ingresos del respectivo departamento o municipio, según sea el caso.
4. <Ver Nota de Vigencia> Una vez sea sancionado el acuerdo o la ordenanza, donde se demuestre la inclusión de los montos de los recursos asignados para el pago de la Deuda, el alcalde o gobernador respectivo deberá enviarla al Ministerio de Hacienda y Crédito Público – Dirección General de Crédito Público, quien comunicará a Ecopetrol dentro de los 5 días hábiles siguientes al recibo, con el fin de que éste gire dentro de los diez (10) días hábiles siguientes a la comunicación, la suma respectiva, en moneda nacional a la tasa de cambio representativa del mercado de la fecha en que se efectúe el pago. Dicha suma será girada directamente al acreedor del departamento y municipio no productor.
5. <Ver Nota de Vigencia> El acreedor del departamento y municipio no productor deberá enviar a la Dirección General de Crédito Público y al respectivo departamento o municipio no productor, dentro de los tres (3) días hábiles siguientes al pago, la constancia del abono al crédito.
ARTÍCULO 11. CÁLCULO DE LOS INDICADORES ESTABLECIDOS EN LA LEY 358 DE 1997. Para efectuar el cálculo de los indicadores intereses/ahorro operacional y saldo de deuda/ingresos corrientes a los que se refiere la Ley 358 de 1997, no se tendrán como parte de los ingresos corrientes los recursos del Fondo de Ahorro y Estabilización Petrolera, FAEP, de que habla el artículo 133 de la Ley 633 de 2000.
ARTÍCULO 12. PROGRAMAS DE SANEAMIENTO FISCAL Y FINANCIERO. Las entidades territoriales, que a la fecha de entrada en vigencia de este decreto, se encuentren en alguno de los programas de saneamiento fiscal y financiero, en los términos establecidos en la Ley 617 de 2000, el Decreto 192 de 2001, y las normas que la complementen y desarrollen, continuarán en dichos programas, no obstante el recibo de estos recursos para el prepago de deuda.
ARTÍCULO 13. VIGENCIA. El presente decreto rige a partir del treinta (30) de septiembre del 2001, previa su publicación en el Diario Oficial.
Dado en Bogotá, D. C., a 14 de septiembre de 2001.
Publíquese y cúmplase.
ANDRES PASTRANA ARANGO
El Ministro de Hacienda y Crédito Público,
JUAN MANUEL SANTOS.
La Viceministra de Energía y Gas encargada de las funciones del despacho del Ministro de Minas y Energía,
EVA MARÍA URIBE TOBÓN.
El Director del Departamento Nacional de Planeación,
JUAN CARLOS ECHEVERRI.