DECRETO 2509 DE 2015
(diciembre 23)
Diario Oficial No. 49.735 de 23 de diciembre de 2015
MINISTERIO DEL TRABAJO
Por el cual se modifica el Capítulo 9 del Título 4 de la Parte 2 del Libro 2 del Decreto número 1072 de 2015, referente al Sistema de Compensación Monetaria en el Sistema General de Riesgos Laborales.
EL PRESIDENTE DE LA REPÚBLICA DE COLOMBIA,
en ejercicio de sus facultades constitucionales y legales, y en particular, de las consagradas en los artículos 48, 189 numerales 11 y 25, y 335 de la Constitución Política, el artículo 2o de la Ley 100 de 1993, y los artículos 46 literales h) y q), 48 literal f), del Estatuto Orgánico del Sistema Financiero, y
CONSIDERANDO:
Que de conformidad con el artículo 1o de la Ley 1562 de 2012, el Sistema General de Riesgos Laborales es el conjunto de entidades públicas y privadas, normas y procedimientos, destinados a prevenir, proteger y atender a los trabajadores de los efectos de las enfermedades y los accidentes que puedan ocurrirles con ocasión o como consecuencia del trabajo que desarrollan,
Que el literal a) del artículo 4o del Decreto número 1295 de 1994 indica que el Sistema General de Riesgos Laborales es dirigido, orientado, controlado y vigilado por el Estado;
Que el artículo 13 del Decreto número 1295 de 1994, modificado por el artículo 2o de la Ley 1562 de 2012 establece los tipos de trabajadores afiliados al Sistema General de Riesgos Laborales con carácter obligatorio y voluntario;
Que según lo dispuesto por el artículo 85 del Decreto número 1295 de 1994 las Administradoras de Riesgos Laborales (ARL) no pueden rechazar a los trabajadores o empresas que soliciten su afiliación al Sistema;
Que el Sistema General de Riesgos Laborales se financia con cargo exclusivo a las cotizaciones de los afiliados al Sistema;
Que el Gobierno nacional expidió el Decreto número 1442 de 2014, compilado en el Capítulo 9 del Título 4 de la Parte 2 del Libro 2 del Decreto número 1072 de 2015, Decreto Único Reglamentario del Sector Trabajo, y mediante el cual se establecieron algunos términos y condiciones para que las Administradoras de Riesgos Laborales (ARL) elaborarán un mecanismo de compensación que distribuyera equitativamente los costos generados por los riesgos de mayor incidencia siniestral u operativa en el Sistema, señalando para ello un plazo de cuatro (4) meses contados a partir del 31 de julio de 2014;
Que trascurrido el plazo previsto en el citado Capítulo del Decreto Único Reglamentario del Sector Trabajo, las ARL a través de su agremiación, comunicaron a los Ministerios del Trabajo y de Hacienda y Crédito Público que no fue posible llegar a un consenso con una propuesta unificada del mecanismo de compensación;
Que el artículo 76 de la Ley 1753 de 2015 que adiciona el literal q) al artículo 46 del Estatuto Orgánico del Sistema Financiero, faculta al Gobierno nacional para establecer medidas dirigidas a evitar la concentración de riesgos y la selección adversa de afiliados por parte de las ARL;
Que estudios técnicos evidencian que existen entidades del Sistema General de Riesgos Laborales (SGRL), que a pesar de lo dispuesto por el artículo 2o de la Ley 1562 de 2012 y el artículo 85 del Decreto-ley 1295 de 1994, presentan una alta concentración de riesgo en el mercado;
Que se hace necesario establecer un mecanismo que corrija las consecuencias económicas de la concentración de riesgos en el Sistema General de Riesgos Laborales;
En mérito de lo expuesto,
DECRETA:
ARTÍCULO 1o. MODIFICACIÓN DEL CAPÍTULO 9 DEL TÍTULO 4 DE LA PARTE 2 DEL LIBRO 2 DEL DECRETO NÚMERO 1072 DE 2015. <Ver Notas del Editor - Este decreto no esta produciendo efectos jurídicos> Modifíquese el Capítulo 9 del Título 4 de la Parte 2 del Libro 2 del Decreto número 1072 de 2015, Decreto Único Reglamentario del Sector Trabajo denominado “SISTEMA DE COMPENSACIÓN EN EL SISTEMA GENERAL DE RIESGOS LABORALES”, el cual quedará así:
“CAPÍTULO 9
SISTEMA DE COMPENSACIÓN EN EL SISTEMA GENERAL DE RIESGOS LABORALES
SECCIÓN 1
GENERALIDADES SOBRE El SISTEMA DE COMPENSACIÓN”
Artículo 2.2.4.9.1.1. Objeto. Créase un mecanismo de compensación monetaria con el objeto de corregir los efectos de la concentración de riesgos en el Sistema General de Riesgos Laborales y sus consecuencias financieras, así como adoptar medidas para mitigar la concentración de riesgos en dicho Sistema.
Artículo 2.2.4.9.1.2. Obligatoriedad de afiliación. Las Administradoras de Riesgos Laborales están en la obligación de aceptar las afiliaciones de todos los empleadores y sus trabajadores y de los trabajadores independientes, de conformidad con lo previsto en la Ley 1562 de 2012, sin sujeción a la clase de riesgo o actividad económica que desarrollen.
(Decreto número 1442 de 2014, artículo 2o).
Artículo 2.2.4.9.1.3. Implementación. Para garantizar la sostenibilidad financiera del Sistema y los derechos de los trabajadores, las Administradoras de Riesgos Laborales deberán implementar de manera general y única, un mecanismo de compensación económico que impida la selección adversa por clase de riesgo, actividad económica, número de trabajadores o accidentalidad laboral. El incumplimiento a esta obligación, acarreará las sanciones previstas en el artículo 91 del Decreto-ley 1295 de 1994.
(Decreto número 1442 de 2014, artículo 3o).
SECCIÓN 2
TÉRMINOS Y CONDICIONES ESPECÍFICAS DEL SISTEMA DE COMPENSACIÓN MONETARIA
Artículo 2.2.4.9.2.1. Objeto. La presente Sección tiene por objeto señalar los términos y condiciones específicos del mecanismo de compensación monetaria al que se hace referencia en la Sección 1 del presente Capítulo.
Artículo 2.2.4.9.2.2. Ámbito de aplicación. La presente Sección aplica a las entidades aseguradoras autorizadas por la Superintendencia Financiera de Colombia para operar el ramo de Riesgos Laborales, a la Superintendencia Financiera de Colombia, al Ministerio del Trabajo y al Ministerio de Hacienda y Crédito Público.
Artículo 2.2.4.9.2.3. Términos y condiciones del mecanismo de compensación. El mecanismo de compensación monetaria en el Sistema General de Riesgos Laborales, deberá ser aplicado entre las Administradoras de Riesgos Laborales.
El Ministerio de Hacienda y Crédito Público y el Ministerio del Trabajo efectuarán los cálculos y determinarán los valores de compensación.
El presente mecanismo de compensación se aplicará para el año 2015. En los años subsiguientes el Gobierno nacional podrá determinar, a partir del seguimiento de los niveles de concentración de riesgo, modificaciones a la metodología de la compensación monetaria o adoptar mecanismos alternativos de distribución de riesgos.
Se aplicarán los criterios y metodología definidos en el anexo que hace parte integral del presente decreto, y se regirá por los siguientes términos y condiciones:
1. Formarán parte del mecanismo las actividades económicas por clases de riesgo, previstas en el Decreto número 1607 de 2002 o la norma que lo modifique, sustituya o adicione, que pertenezcan a uno de los siguientes conjuntos, según las definiciones que se encuentran contenidas en el anexo que hace parte integral del presente Decreto:
1.1. Alto Riesgo Inherente con Alta Incidencia Siniestral.
1.2 Alta Concentración de Riesgo con Alta Incidencia Siniestral.
1.3. Alta Concentración de Riesgo con Alto Riesgo Inherente y Alta Incidencia Siniestral.
2. Para efectos de los cálculos, se utilizará la información de Ingreso Base de Cotización y siniestros pagados, incluidas las mesadas pensionales, para el periodo comprendido entre el 1o de octubre de 2014 y el 30 de septiembre de 2015.
3. La información necesaria para los cálculos de la compensación se deberá obtener de aquella suministrada por las Administradoras de Riesgos Laborales según lo previsto por la Circular número 00035 de 2015 emanada del Ministerio del Trabajo, incluidas sus modificaciones, y demás instrucciones que imparta para estos efectos dicho Ministerio.
Si las ARL no reportan información al Ministerio del Trabajo, o la información reportada es incompleta o errada respecto a las instrucciones de la Circular número 00035 de 2015, el Ministerio del Trabajo y el Ministerio de Hacienda y Crédito Público deberán realizar los cálculos sobre la última información validada con la que cuenta el Ministerio del Trabajo, que corresponde al periodo comprendido entre el 1o de octubre de 2012 y el 30 de septiembre de 2013.
4. La determinación del valor de la compensación a favor o a cargo de cada Administradora de Riesgos Laborales se efectuará en todo caso sobre el periodo comprendido entre el 1o de octubre de 2014 y el 30 de septiembre de 2015.
El cálculo de la compensación se realizará dentro de los quince (15) días calendario siguientes a la publicación del presente decreto por medio del cual se hace la presente modificación al Decreto número 1072 de 2015, Decreto Único Reglamentario del Sector Trabajo.
5. Se calculará el monto de compensación total, teniendo en cuenta la sumatoria de las diferencias positivas entre las tasas reales observadas para cada ARL, la tasa real para el total del mercado y los valores de Ingreso Base de Cotización. Adicionalmente, en caso que se presente la contingencia establecida en el segundo inciso del numeral 3 del presente artículo, se tendrá en cuenta un factor de corrección de siniestralidad teniendo en cuenta la siniestralidad de cada ARL, las primas devengadas y la siniestralidad del mercado, aplicado al periodo comprendido entre octubre de 2014 y septiembre de 2015.
6. Los resultados de la compensación se comunicarán a las administradoras de riesgos laborales para que hagan el correspondiente registro contable dentro de los tres (3) días siguientes al recibo de la respectiva comunicación.
Artículo 2.2.4.9.2.4. Giro de los recursos. Las Administradoras de Riesgos Laborales con valores de compensación a cargo deberán realizar el giro de los recursos, de acuerdo con lo establecido en el Estatuto Orgánico del Sistema Financiero, dentro del mes siguiente al registro contable, con base en los resultados a que se refiere el numeral 6o del artículo 2.2.4.9.2.3. del presente decreto.
PARÁGRAFO. Los recursos de la compensación a favor se contabilizarán en la cuenta correspondiente a la reserva de siniestros ocurridos no avisados del ramo de Riesgos Laborales. Los recursos de la compensación a cargo se contabilizarán, de conformidad con las instrucciones que para tal efecto imparta la Superintendencia Financiera de Colombia, dentro de los ocho (8) días calendario siguientes a la expedición del Decreto por medio del cual se hace la presente modificación al Decreto número 1072 de 2015, Decreto Único Reglamentario del Sector Trabajo.
Artículo 2.2.4.9.2.5. Seguimiento, Inspección y Vigilancia. La Superintendencia Financiera de Colombia verificará que el giro de los recursos se efectúe dentro de los términos establecidos en esta Sección, de acuerdo con los resultados de los cálculos remitidos; que la revelación de la información financiera sobre los montos de la compensación a favor y a cargo se realice de acuerdo con las instrucciones impartidas de conformidad con el parágrafo del artículo 2.2.4.9.2.4. del presente decreto, y que las Administradoras de Riesgos Laborales adopten las políticas e implementen los procedimientos necesarios para garantizar el adecuado cumplimiento de las obligaciones derivadas de la operación del mecanismo de compensación monetaria establecido en el presente Capítulo. El incumplimiento de lo señalado en el presente artículo por parte de la ARL será sancionado por la Superintendencia Financiera de Colombia, dentro de sus competencias.
El incumplimiento de los demás aspectos regulados en este Capítulo por parte de la ARL será sancionado por el Ministerio del Trabajo, de acuerdo con sus competencias”.
ARTÍCULO 2o. VIGENCIA. El presente decreto rige a partir de su publicación, y modifica el Capítulo 9 del Título 4 de la Parte 2 del Libro 2 del Decreto número 1072 de 2015, Decreto Único Reglamentario del Sector Trabajo.
Publíquese y cúmplase.
Dado en Bogotá, D. C., a 23 de diciembre de 2015.
JUAN MANUEL SANTOS CALDERÓN
El Ministro de Hacienda y Crédito Público,
MAURICIO CÁRDENAS SANTAMARÍA.
El Ministro del Trabajo,
LUIS EDUARDO GARZÓN.
El presente anexo expone el procedimiento a seguir para efectuar los cálculos de la compensación monetaria en Riesgos Laborales, conforme al artículo 2.2.4.9.2.3. del Decreto número 1072 de 2015.
1. Consolidación de las bases de datos. Se consideran en las bases de datos reportadas por las ARL, las variables necesarias para la ejecución de los cálculos de la compensación, las cuales se enumeran a continuación, según la base de datos de origen:
1.1 Variables de la base de datos de expuestos:
| No | Nombre variable |
| 1 | COD_ARL |
| 2 | TPO_IDEN |
| 3 | NRO_IDEN |
| 4 | NRO_AHNO |
| 5 | NRO_ MES |
| 9 | TPO_IDVI |
| 10 | NRO_IDVI |
| 12 | COD_AEEM |
| 20 | VLR_IBC |
| 25 | NRO_DÍAS |
1.2 Variables de la base de datos de siniestros:
| No | Nombre variable |
| 1 | COD_ARL |
| 2 | NRO_AHNO |
| 3 | NRO_MES |
| 14 | FCH_OCUR |
| 15 | FCH_AVIS |
| 19 | TPO_IDEN |
| 20 | NRO_IDEN |
| 21 | TPO_VINC |
| 22 | NRO_IDVI |
| 23 | COD_AEEM |
| 29 | VLR_PAGO |
| 37 | VLR_MESA |
2 Ejecución de los cálculos de la compensación. Se ejecutan los siguientes algoritmos:
2.1 Agrupar y consolidar los datos por actividad económica y ARL. Se agrupan todas las variables de acuerdo al código de la ARL y el código de la actividad económica, según corresponda, en la base de datos de expuestos o en la base de datos de siniestros. Posteriormente, se consolidan todos estos resultados en una sola base de datos.
2.2 Conformar los conjuntos de actividades económicas compensadas. Se clasifican las actividades económicas listadas en la base de datos consolidada, según los siguientes tres conjuntos:
2.2.1 Alta incidencia siniestral: se presenta cuando la tasa de cotización real de mercado en la actividad económica es superior a la tasa pura de cotización actual correspondiente a la clase de riesgo de dicha actividad económica.

Donde:
TCRh es la tasa de cotización real del mercado y corresponde al cociente entre los siniestros pagados por el conjunto de las ARL “i” en la actividad económica “h” y la sumatoria del Ingreso Base de Cotización de los trabajadores afiliados en la actividad económica “h”, lo cual se expresa de la siguiente forma:

TCPh es la tasa pura de cotización actual y corresponde al producto entre la tasa de cotización vigente, conforme al artículo 2.2.4.3.5 del Decreto número 1072 de 2015, y un factor de ajuste de tasa pura de riesgo, equivalente a 0.558 y que corresponde al porcentaje de la cotización que actuarialmente se puede destinar al pago de siniestros, descontado el gasto mínimo en los servicios de promoción y prevención, los gastos de administración, el fondo de Riesgos Laborales, y las reservas de desviación de siniestralidad y enfermedad laboral.
Los valores que toma TCPh son los siguientes:

2.2.2 Alta concentración de riesgo: se presenta cuando el índice normalizado de Herfindahl de la actividad económica “h”, supera el valor de 0.25, lo cual se calcula así:
Sean:
nh: Número de Administradoras de Riesgos Laborales con participación en la actividad económica “h”, y;
hiE: Valor de exposición de la i ésima ARL en la actividad económica h. Donde el valor de exposición hace referencia a la sumatoria del número de días cotizados de los asegurados en la ARL i en la actividad económica h.
hmE: Valor de exposición del mercado en la actividad económica h.
Se procede a calcular el índice de Herfindahl (Hh) de la actividad económica “h”, así:

Con base en el índice de Herfindahl calculado (Hh), se calcula el índice de Herfindahl normalizado (HNh), de la siguiente forma:

2.2.3 Alto riesgo inherente: se presenta cuando el nivel de riesgo de la actividad económica presenta una calificación equivalente a “l”, conforme a la metodología referida en la “Guía para la identificación de los peligros y la valoración de los riesgos en seguridad y salud ocupacional”, Guía Técnica Colombiana 45 de 2012.
De acuerdo con los estudios disponibles se toman las siguientes 296 actividades económicas de Alto Riesgo Inherente:


2.2.4 Listado de actividades compensadas. Con base en la clasificación de los numerales 2.2.1, 2.2.2 y 2.2.3, se conforma el listado de actividades económicas que pertenecen, al menos, a uno de los siguientes conjuntos:
– Actividades económicas con Alto Riesgo Inherente y Alta Incidencia Siniestral;
– Actividades económicas con Alta Concentración de Riesgo y Alta Incidencia Siniestral;
– Actividades económicas con Alta Concentración de Riesgo, Alto Riesgo Inherente y Alta Incidencia Siniestral.
Estas actividades se denominan actividades económicas objeto de compensación. Las restantes actividades son descartadas para efectos de los subsiguientes cálculos.
2.3 Agrupar los datos por las clases de riesgo. Se procede a agrupar toda la información descrita en el numeral 3 del presente anexo, según las cinco clases de riesgo del Sistema General de Riesgos Laborales.
2.4 Determinación de la compensación. Se determina en cada clase de riesgo, la condición de compensación a favor o compensación a cargo que presenta cada Administradora de Riesgos Laborales, según la comparación entre el valor de la tasa de cotización real y su equivalente de mercado, mediante los siguientes algoritmos:
Sean,
W = {I, II, III, IV, V} El conjunto de clases de riesgo donde w es un elemento de
W (w
W).
Aw = {ARL1, ARL2, ... ,ARLnA} El conjunto de Administradoras que participan en la clase de riesgo w donde:
– #Aw = nA.
– a es un elemento de Aw,, (a
Aw).
Se define entonces:
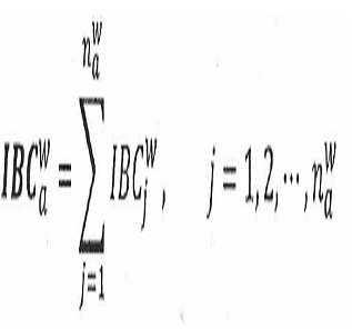
El número de empresas afiliadas a la administradora a en la clase de riesgo w, se notará por
. Se tiene entonces que el ingreso base de cotización asociado a la administradora
está dado por:

Donde,
: Ingreso base de cotización que registra la empresa j afiliada a la Administradora a en la clase de riesgo w.
También se tienen que la siniestralidad asociada a la administradora
está dada por:

Donde,
: Siniestralidad asociada a la empresa j, afiliada a la Administradora a, en la clase de riesgo w.
Por lo tanto se tiene que la tasa de cotización real de la administradora a
Aw,
viene dada por:

Ahora se define:

Dónde,
: Ingreso base de cotización acumulado de la administradora a
Aw, tal como se definió arriba.
También se define la siniestralidad del mercado como
:
Por lo tanto se tiene que la tasa de cotización real del mercado en la clase de riesgo w,
viene dada por:

Luego se tiene:
Fw = {ARL1F, ARL2F, ... ARLnF} El conjunto de Administradoras en la clase de riesgo w con tasa de cotización real superior a la tasa de cotización real del mercado donde:
– #Fw = nF
– f es un elemento de Fw
– f
Fw, si ![]()
Gw = {ARL1G, ARL2GI, ... ARLnG) El conjunto de Administradoras en la clase de riesgo w con tasa de cotización real inferior a la tasa de cotización real del mercado donde:
– #Gw = nG.
– g es un elemento de Gw
– g
Gw, si ![]()
Por lo tanto:
#Aw = #Fw + #Gw = nF + nG = nA
2.4.1 Cálculo de la compensación a favor. Se determina la compensación a favor de cada ARL, en cada clase de riesgo:
Si la ARL a
Fw, entonces:
![]()
Dónde:
: Monto a compensar a favor de la Administradora a en la clase de Riesgo w.
Tal como se definió en el numeral 3.4.
: Siniestros acumulados de la Administradora a
Aw.
: Ingreso base de cotización acumulada de la Administradora a ![]()
Aw.
: Tasa de cotización real del mercado en la clase de riesgo w.
Se determina el monto total de compensación a favor de la Administradora a, sumando los montos individuales por clase de riesgo:
Donde j = 1, ... # W.
2.4.2 Cálculo de la compensación a cargo. Se determina la compensación a cargo de cada ARL, en cada clase de riesgo:
Si la ARL a
Gw, entonces,

Dónde:
: Monto de compensación a cargo de la Administradora a en la clase de Riesgo w.
Tal como se definió en el numeral 3.4.
: Siniestros acumulados de la Administradora a
Aw.
: Ingreso base de cotización acumulada de la Administradora a
Aw.
: Tasa de cotización real del mercado en la clase de riesgo w.
Se determina el monto total de compensación a favor de la Administradora a, sumando los montos individuales por clase de riesgo:

Donde j =l, … , #W.
2.5 Determinar el monto total de compensación. Se agrupan los resultados de los montos de compensación a cargo y a favor, conformando una matriz de la siguiente forma, para obtener el monto total de compensación:

3. El procedimiento del cálculo de la repartición del monto a compensar y ser compensado por cada ARL es el siguiente:
Para calcular los montos de compensación a cargo y a favor se deben definir los siguientes criterios:
I. A el número de ARL que participaron del sector en el periodo de compensación se notará por (N).
II. Siniestralidad del mercado (Sm ):

Donde i = i, … , N.
– Si: Siniestralidad incurrida en el periodo compensación de la ARL i.
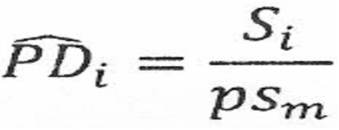
III. Primas Devengadas del mercado (P Dm):

Donde i = i, ... , N.
– P Di: Primas devengadas en el periodo compensación de la ARL i.
MONTOS DE COMPENSACIÓN A CARGO
1. Se calcula psm que es la siniestralidad total del mercado:

– Porcentaje de siniestralidad del mercado (psm):
2. Se seleccionan las ARL cuya siniestralidad sea menor que el resultado calculado en el punto (1)
– La ARL i pertenecerá al conjunto:

– #ARLsuper = nsuper
– Si: Siniestralidad incurrida en el periodo compensación de la ARL i.
– PDi: Primas devengadas en el periodo compensación de la ARL i.
Se considera que la ARL i es superavitaria y por lo tanto estará en el grupo de administradoras con compensación a cargo.
3. Tomando el valor de siniestros incurridos cuenta compañía para cada ARL, se calcula el valor de la prima devengada estimada
, que hace que el valor de siniestros mencionado sea igual a psm:

Donde i = i, ... , nsuper.
4. Se calcula la diferencia entre el valor de las primas devengadas por cada ARL y el valor de primas mencionado en el punto anterior.

5. Se suman los valores mencionados en el punto 4

6. Se toma el “
” que es el resultado de dividir el monto de compensación sobre el periodo octubre de 2012 - septiembre de 2013 entre las primas devengadas en el mismo periodo, y se multiplica por las primas devengadas en el periodo comprendido entre octubre de 2014 y septiembre de 2015.
DA =
x PDm
– DA: Compensación total a cargo.
7. Se calcula el factor “pc” que hace que el valor calculado en el punto 5, multiplicado por ese factor sea igual al calculado en el punto 6.

– pc: Porcentaje de compensación
8. Dicho factor se aplica al resultado del punto 4 para cada ARL
![]()
– DAi = Compensación a cargo de la ARL i, la cual pertenece al conjunto ARLsuper.
MONTOS DE COMPENSACIÓN A FAVOR
1. Se calcula psm que es la siniestralidad total del mercado:
– Porcentaje de siniestralidad del mercado (psm):

2. Se seleccionan las ARL cuya siniestralidad sea mayor que el resultado calculado en el punto (1)
– La ARL i pertenecerá al conjunto:

– #ARLdeficit = ndeficit
– Si: Siniestralidad incurrida en el periodo compensación de la ARL i.
– PDi: Primas devengadas en el periodo compensación de la ARL i.
Se considera que la ARL i es deficitaria y por lo tanto estará en el grupo de administradoras con compensación a favor.
3. Tomando el valor de siniestros incurridos cuenta compañía para cada ARL, se calcula el valor de la prima devengada estimada
, que hace que el valor de siniestros mencionado sea igual a psm:
![]() |
4. Se calcula la diferencia entre el valor de primas mencionado en el punto anterior y el valor de las primas devengadas por cada ARL:
5. Se suman los valores mencionados en el punto 4:

6. Se toma el “
” que es el resultado de dividir el monto de compensación sobre el periodo octubre de 2012 - septiembre de 2013 sobre las primas devengadas en el mismo periodo, y se multiplica por las primas devengadas en el periodo comprendido entre octubre de 2014 y septiembre de 2015.
DM =
x PDm
– DM: Compensación total a favor.
7. Se calcula el factor “pc” que hace que el valor calculado en el punto 5, multiplicado por ese factor sea igual al calculado en el punto 6.

– pc = Porcentaje de compensación
8. Dicho factor se aplica al resultado del punto 4 para cada ARL
![]()
– DMi: Compensación a favor de la ARL i, la cual pertenece al conjunto ARLdeficit.
4. Giro de los recursos. Se procede a ordenar en filas, de menor a mayor monto de compensación a cargo, según corresponda, las ARL que compensan, y en columnas, de mayor a menor monto de compensación a favor, según corresponda, las ARL que son compensadas. Con base en este orden, se asignan los montos de compensación a cargo por cada ARL, hasta que se extinga la obligación con la primera ARL receptora de compensación a favor. Este proceso continúa hasta que la suma de todos los montos de compensación a cargo sea igual a la suma de todos los montos de compensación a favor. El resultado final que se calcula es una matriz de la siguiente forma:

