RESOLUCIÓN 275 DE 2022
(junio 24)
Diario Oficial No. 52.079 de 28 de junio de 2022
AGENCIA NACIONAL DE CONTRATACIÓN PÚBLICA COLOMBIA COMPRA EFICIENTE
Por la cual se modifican los documentos tipo adoptados por la Agencia Nacional de Contratación Pública –Colombia Compra Eficiente.
NOTAS DE VIGENCIA: - Las modificaciones a los documentos tipo adoptados por la Resolución 240 de 2020 derogadas por el artículo 8 de la Resolución 465 de 10 de septiembre de 2024, 'por la cual se adopta la versión -4- de los Documentos Tipo para los procesos de selección de licitación de obra pública del sector de infraestructura de transporte y se deroga la Resolución número 240 de 2020', publicada en el Diario Oficial No. 52.876 de 11 de septiembre de 2024. Rige a partir de su publicación en el Diario Oficial. Aplica a los procesos de selección de licitación de obra pública de infraestructura de transporte, cuyo aviso de convocatoria se publique a partir del 3 de febrero de 2025. - Las modificaciones a los documentos tipo adoptados por la Resolución 241 de 2020 derogadas por el artículo 7 de la Resolución 463 de 10 de septiembre de 2024, 'por la cual se adopta la versión -3- de los Documentos Tipo para los procesos de selección abreviada de menor cuantía de obra pública de infraestructura de transporte y se deroga la Resolución número 241 de 2020', publicada en el Diario Oficial No. 52.876 de 11 de septiembre de 2024. Rige a partir de su publicación en el Diario Oficial, y aplica a los procesos de selección abreviada de menor cuantía de obra pública de infraestructura de transporte, cuyo aviso de convocatoria se publique a partir del 3 de febrero de 2025. |
EL DIRECTOR GENERAL (E),
en ejercicio de sus facultades legales y reglamentarias, en especial las que le confiere el parágrafo 7 del artículo 2o de la Ley 1150 de 2007, y
CONSIDERANDO:
Que el Decreto ley 4170 de 2011 creó la Agencia Nacional de Contratación Pública –Colombia Compra Eficiente–, entidad adscrita al Departamento Nacional de Planeación, como ente rector de la contratación pública, la cual tiene como objetivo desarrollar e impulsar políticas y herramientas orientadas a la organización y articulación de los partícipes en los procesos de compras y contratación con el fin de lograr una mayor eficiencia, transparencia y optimización de los recursos del Estado.
Que conforme al inciso 1 del parágrafo 7 del artículo 2o de la Ley 1150 de 2007 – adicionado por el artículo 4o de la Ley 1882 de 2018 y modificado por el artículo 1o de la Ley 2022 de 2020– la Agencia Nacional de Contratación Pública – Colombia Compra Eficiente-adoptará documentos tipo de obligatorio cumplimiento en la actividad contractual de todas las entidades sometidas al Estatuto General de Contratación de la Administración Pública.
Que el artículo 11 de la Resolución 160 de 2020 expedida por la Agencia Nacional de Contratación Pública – Colombia Compra Eficiente-, “Por la cual se adopta el procedimiento para implementar los documentos tipo y se define el sistema para su revisión”, dispone que la Agencia en cualquier momento, ante el cambio de circunstancias fácticas o jurídicas sobre las cuales se sustentó la adopción de los documentos tipo o la identificación de apartes o reglas que requieran ajustes, realizará su revisión y adoptará las modificaciones a que haya lugar mediante acto administrativo motivado.
Que la Ley 2069 de 2020, “por medio de la cual se impulsa el emprendimiento en Colombia”, establece un marco regulatorio que propicia el emprendimiento, crecimiento, consolidación y sostenibilidad de las empresas, con el fin de aumentar el bienestar social y generar equidad.
Que el Capítulo III de la Ley 2069 de 2020, entre otras medidas, creó una serie de incentivos para las Mipyme y los emprendimientos y empresas de mujeres interesados en celebrar contratos con el Estado, así como para el fomento en la ejecución de contratos de la provisión de bienes y servicios por parte de sujetos de especial protección constitucional.
Que los artículos 31 y 32 de la Ley 2069 de 2020 ordenaron al Gobierno nacional expedir un reglamento para definir tanto los requisitos diferenciales y los puntajes adicionales para promover y facilitar el acceso de las Mipyme al sistema de compra pública, como el concepto de “emprendimientos y empresas de mujeres”.
Que el artículo 12 de la Ley 1150 de 2007, modificado por el artículo 34 de la Ley 2069 de 2020, dispone que el Gobierno Nacional definirá las condiciones y montos para la adopción de convocatorias limitadas a Mipyme, en las que, previo a la resolución de apertura del proceso respectivo, se haya manifestado el interés de por lo menos dos (2) Mipyme.
Que el inciso cuarto del referido artículo 34 requiere reglamentación para definir, a través de los pliegos de condiciones, mecanismos que fomenten en la ejecución de los contratos estatales la provisión de bienes y servicios por población en pobreza extrema, desplazados por la violencia, personas en proceso de reintegración o reincorporación y sujetos de especial protección constitucional.
Que el artículo 35 de la Ley 2069 de 2020 define un nuevo marco jurídico en relación con los criterios de desempate previstos en los Procesos de Contratación realizados con cargo a recursos públicos, los Procesos de Contratación efectuados por las Entidades Estatales indistintamente de su régimen de contratación, así como los Procesos de Contratación adelantados por patrimonios autónomos constituidos por Entidades Estatales.
Que con fundamento en lo anterior, el Gobierno nacional expidió el Decreto 1860 de 2021 que modificó el Decreto 1082 de 2015, Único Reglamentario del Sector Administrativo de Planeación Nacional, incorporando una regulación detallada de las normas anteriormente citadas para la efectiva aplicación de la Ley 2069 de 2020 en el sistema de compras y contratación pública.
Que el artículo 3o del Decreto 1860 de 2021 adicionó los artículos 2.2.1.2.4.2.14, 2.2.1.2.4.2.15, 2.2.1.2.4.2.16, 2.2.1.2.4.2.17 y 2.2.1.2.4.2.18 al Decreto 1082 de 2015.
Que el artículo 2.2.1.2.4.2.14 del Decreto 1082 de 2015 establece los supuestos para la definición de los “emprendimientos y empresas de mujeres” en el sistema de compras y contratación pública y la forma de acreditación en cada caso.
Que el artículo 2.2.1.2.4.2.15 del Decreto 1082 de 2015 reglamenta los criterios diferenciales en favor de los “emprendimientos y empresas de mujeres”, señalando que las Entidades Estatales deberán incluir requisitos habilitantes diferenciales y puntajes adicionales en los procesos de licitación pública, selección abreviada de menor cuantía y concurso de méritos, así como en los procesos competitivos que adelanten las Entidades Estatales que no apliquen en su gestión contractual el Estatuto General de Contratación de la Administración Pública.
Que el artículo anterior señala que para incorporar los requisitos habilitantes diferenciales en favor de los “emprendimientos y empresas de mujeres” las Entidades Estatales deben tener en cuenta alguno o algunos de los siguientes aspectos: i) tiempo de experiencia, ii) número de contratos para la acreditación de la experiencia, iii) índices de capacidad financiera, iv) índices de capacidad organizacional, o v) valor de la garantía de seriedad de la oferta. En desarrollo de lo anterior, se establecerán condiciones más exigentes respecto de alguno o algunos de estos criterios de participación frente a los demás proponentes que concurran al procedimiento de selección que no sean empresas o emprendimientos de mujeres.
Que el artículo 2.2.1.2.4.2.15 del Decreto 1082 de 2015 establece un porcentaje máximo para el puntaje adicional de hasta el cero punto veinticinco por ciento (0.25 %) del valor total de los puntos contemplados en el pliego de condiciones o documento equivalente, a los proponentes que acrediten alguno de los supuestos del artículo 2.2.1.2.4.2.14.
Que tratándose de proponentes plurales, los criterios diferenciales y los puntajes adicionales incluidos en el artículo 2.2.1.2.4.2.15 del Decreto 1082 de 2015 solo se aplicarán si por lo menos uno de los integrantes acredita que es emprendimiento y empresa de mujer bajo los supuestos dispuestos en el artículo 2.2.1.2.4.2.14 y que tiene una participación igual o superior al diez por ciento (10 %) en el consorcio o en la unión temporal.
Que el artículo 2.2.1.2.4.2.16 del Decreto 1082 de 2015 permite incorporar obligaciones para el cumplimiento del objeto contractual tendientes a la provisión de bienes y servicios por parte de población en pobreza extrema, desplazados por la violencia, personas en proceso de reintegración o reincorporación y sujetos de especial protección constitucional, en el pliego de condiciones o documento equivalente, garantizando las condiciones de calidad y sin perjuicio de los Acuerdos Comerciales vigentes. La participación de los sujetos mencionados se fomentará previo análisis de su oportunidad y conveniencia en los Documentos del Proceso, teniendo en cuenta el objeto contractual y el alcance de las obligaciones.
Que el artículo referido reglamenta un rango dentro del cual la Entidad Estatal determinará en el pliego de condiciones o documento equivalente el porcentaje de la provisión de bienes o servicios por parte de población en pobreza extrema, desplazados por la violencia, personas en proceso de reintegración o reincorporación y sujetos de especial protección constitucional que el contratista debe incorporar para el cumplimiento del objeto contractual. En este sentido, se establece un porcentaje mínimo del cinco por ciento (5 %) y máximo del diez por ciento (10 %), de los bienes o servicios requeridos para la ejecución del contrato, de manera que no se ponga en riesgo su cumplimiento adecuado.
Que conforme con lo anterior, la Entidad Estatal debe determinar en la minuta del contrato las sanciones pecuniarias producto del incumplimiento injustificado de los porcentajes señalados a través de las causales de multa que estime pertinentes, advirtiéndose el deber del supervisor o del interventor, según el caso, de hacer seguimiento y verificar que las personas vinculadas al inicio y durante la ejecución del contrato pertenezcan a los grupos poblacionales enunciados anteriormente.
Que el parágrafo 1 del artículo 2.2.1.2.4.2.16 del Decreto 1082 de 2015 define los sujetos de especial protección constitucional, señalando que su acreditación se realizará en las condiciones que disponga la ley o el reglamento, aplicando en lo pertinente lo definido en el artículo 2.2.1.2.4.2.17 del Decreto 1082 de 2015. En ausencia de una condición especial prevista en la normativa vigente, se acreditará en los términos que determine el pliego de condiciones o documento equivalente.
Que el parágrafo 2 del artículo 2.2.1.2.4.2.16 del Decreto 1082 de 2015 establece que en los procedimientos de selección regidos por documentos tipo se regulará el porcentaje de sujetos de especial protección constitucional que el contratista destinará al cumplimiento de las obligaciones, las condiciones para incorporarlos a la ejecución del contrato y las sanciones pecuniarias producto del incumplimiento injustificado de la obligación.
Que el artículo 2.2.1.2.4.2.17 del Decreto 1082 de 2015, atendiendo a lo previsto en el artículo 35 de la Ley 2069 de 2020, reglamenta en detalle la forma de aplicar y acreditar los criterios de desempate en los procedimientos de selección. De esta manera, se estandariza la forma de probar las circunstancias a las que se refieren cada uno de los numerales del artículo citado, permitiendo la debida aplicación de los factores de desempate y garantizando la selección objetiva de los contratistas.
Que el artículo 2.2.1.2.4.2.18 del Decreto 1082 de 2015 regula los criterios diferenciales en favor de las Mipyme domiciliadas en Colombia que las Entidades Estatales incluirán como requisitos habilitantes diferenciales y puntajes adicionales en los Procesos de Contratación competitivos para promover y fomentar la participación de las Mipyme domiciliadas en Colombia en función de los criterios de clasificación empresarial.
Que para establecer los requisitos habilitantes diferenciales en favor de las Mipyme domiciliadas en Colombia la Entidad Estatal debe tener en cuenta alguno o alguno de los siguientes aspectos: i) tiempo de experiencia, ii) número de contratos para la acreditación de la experiencia, iii) índices de capacidad financiera, iv) índices de capacidad organizacional, y v) valor de la garantía de seriedad de la oferta. En desarrollo de lo anterior, se establecerán condiciones más exigentes respecto a alguno o algunos de estos criterios de participación frente a los demás proponentes que concurran al procedimiento de selección que no sean Mipyme.
Que para el otorgamiento del puntaje adicional en favor de Mipyme el artículo 2.2.1.2.4.2.18 del Decreto 1082 de 2015 fija un porcentaje techo de hasta el cero punto veinticinco por ciento (0.25 %) del valor total de los puntos establecidos en el pliego de condiciones o documento equivalente.
Que tratándose de proponentes plurales, los criterios diferenciales y los puntajes adicionales incluidos en el artículo 2.2.1.2.4.2.18 del Decreto 1082 de 2015 solo se aplicarán si por lo menos uno de los integrantes acredita la calidad de Mipyme y tiene una participación igual o superior al diez por ciento (10 %) en el consorcio o en la unión temporal.
Que el artículo 5o del Decreto 1860 de 2021 modificó los artículos 2.2.1.2.4.2.2., 2.2.1.2.4.2.3. y 2.2.1.2.4.2.4 del Decreto 1082 de 2015, reglamentando los requisitos para limitar las convocatorias de los Procesos de Contratación con pluralidad de oferentes a las Mipyme colombianas con mínimo un (1) año de existencia, las condiciones para realizar convocatorias limitadas a Mipyme colombianas que tengan domicilio en los departamentos o municipios en donde se va a ejecutar el contrato y la acreditación de los requisitos para participar en estas convocatorias limitadas.
Que el parágrafo del artículo 8o del Decreto 1860 de 2021 otorga un plazo de seis (6) meses contados a partir de su expedición para que la Agencia Nacional de Contratación Pública – Colombia Compra Eficiente adecuara los documentos tipo a las disposiciones previstas en dicho decreto.
Que como consecuencia de lo anterior, se requiere modificar la reglas previstas para la acreditación de la experiencia establecidas en los documentos tipo de obra de infraestructura de transporte adelantados bajo la modalidad de licitación pública y de selección abreviada de menor cuantía, en los documentos tipo de consultoría de estudios de ingeniería de infraestructura de transporte, en los documentos tipo de agua potable y saneamiento básico y en los documentos tipo de licitación de obra pública de infraestructura social. Lo anterior con el fin de incluir el requisito habilitante diferencial en favor de los emprendimientos y empresas de mujeres y de las Mipyme con domicilio en el territorio nacional relacionado con el criterio de «Número de contratos para la acreditación de la experiencia». Para estos efectos, el proponente que acredite la calidad de Mipyme o emprendimiento y/o empresa de mujer con domicilio en Colombia podrá demostrar la experiencia exigida con contratos adicionales a los permitidos en relación con los demás proponentes.
Que en este sentido se requiere modificar los numerales respectivos de los documentos tipo señalados, relacionados con el requisito habilitante de experiencia, así como ajustar los formatos y matrices correspondientes, con el objetivo de armonizar las reglas descritas en el Decreto 1860 de 2021.
Que igualmente se requiere modificar las reglas previstas para la capacidad financiera establecidas en los documentos tipo de obra de infraestructura de transporte adelantados bajo la modalidad de licitación pública y de selección abreviada de menor cuantía, en los documentos tipo de consultoría de estudios de ingeniería de infraestructura de transporte, en los documentos tipo de agua potable y. saneamiento básico y en los documentos tipo de licitación de obra pública de infraestructura social. Lo anterior con el fin de incluir el requisito habilitante diferencial en favor de las Mipyme con domicilio en Colombia concerniente con los criterios de «índices de capacidad financiera» e «índices de capacidad organizacional». Para estos efectos, el proponente que pruebe la calidad de Mipyme con domicilio en el territorio nacional podrá acreditar valores más flexibles en relación con los indicadores de capacidad financiera y organizacional, que los demás proponentes. En desarrollo de lo expuesto, se modifica la Matriz 2 – Indicadores financieros y organizacionales de los documentos tipo señalados, con el objetivo de armonizar las reglas descritas en el Decreto 1860 de 2021.
Que se requiere modificar las reglas previstas de la evaluación de la oferta, asignación de puntaje y criterios de desempate establecidas en los documentos tipo de obra de infraestructura de transporte adelantados bajo la modalidad de licitación pública y de selección abreviada de menor cuantía, en los documentos tipo de consultoría de estudios de ingeniería de infraestructura de transporte, en los documentos tipo de agua potable y saneamiento básico y en los documentos tipo de licitación de obra pública de infraestructura social. Lo anterior, con el fin de incluir el puntaje adicional en favor de los emprendimientos y empresas de mujeres y de las Mipyme con domicilio en Colombia, así como ajustar los criterios de desempate determinados en el Decreto 1860 de 2021. Para estos efectos, el proponente que pruebe la calidad de Mipyme y/o emprendimiento y empresa de mujer con domicilio en el territorio nacional podrá obtener un puntaje adicional de hasta el cero punto veinticinco por ciento (0.25%) del total de los puntos.
Que en desarrollo de lo anterior, se requiere modificar los numerales respectivos del capítulo de evaluación, asignación de puntaje y criterios de desempate de los documentos tipo señalados con el objetivo de armonizar las reglas descritas en el Decreto 1860 de 2021. Para estos efectos se incluyen los numerales relacionados con los factores de calificación tanto de emprendimientos y empresas de mujeres como de Mipymes, además de reorganizar los numerales de este capítulo.
Que se requiere incorporar en la minuta del contrato obligaciones para el cumplimiento del objeto contractual tendientes a la provisión de bienes y servicios por parte de población en pobreza extrema, desplazados por la violencia, personas en proceso de reintegración o reincorporación y sujetos de especial protección constitucional, garantizando las condiciones de calidad y sin perjuicio de los Acuerdos Comerciales vigentes, así como las sanciones correspondientes en caso de incumplimiento. En consecuencia, se modificará el Anexo 5 - Minuta del Contrato de los documentos tipo de obra de infraestructura de transporte adelantados bajo la modalidad de licitación pública y de selección abreviada de menor cuantía, en los documentos tipo de agua potable y saneamiento básico y el Anexo 4 – Minuta del Contrato de los documentos tipo de licitación de obra pública de infraestructura social.
Que conforme con lo dispuesto en los artículos 2.2.1.2.4.2.2., 2.2.1.2.4.2.3., 2.2.1.2.4.2.4. del Decreto 1082 de 2015, se requiere modificar los documentos tipo de obra de infraestructura de transporte adelantados bajo la modalidad de licitación pública y de selección abreviada de menor cuantía, los documentos tipo de consultoría de estudios de ingeniería de infraestructura de transporte, los documentos tipo de agua potable y saneamiento básico y los documentos tipo de licitación de obra pública de infraestructura social, para ajustar las reglas referentes a la limitación de Mipyme de acuerdo con la normativa vigente.
Que la Agencia Nacional de Contratación – Colombia Compra Eficiente en cualquier momento, ante el cambio de circunstancias fácticas o jurídicas sobre las cuales se sustentaron la adopción de los documentos tipo o la identificación de imperfecciones en la elaboración o implementación de estos, procederá a realizar su revisión y adoptará las modificaciones a que haya lugar mediante acto administrativo. De acuerdo con lo anterior, teniendo en cuenta los comentarios realizados por las Entidades Estatales y ciudadanos que hacen parte del repositorio de observaciones, se considera necesario ajustar en varios aspectos los documentos tipo de obra de infraestructura de transporte adelantados bajo la modalidad de licitación pública y de selección abreviada de menor cuantía, de consultoría de estudios de ingeniería de infraestructura de transporte, de agua potable y saneamiento básico y de licitación de obra pública de infraestructura social, con el fin de armonizar las circunstancias fácticas actuales con su contenido y brindar mayor claridad en su aplicación.
Que en cumplimiento de lo dispuesto en el artículo 7o de la Ley 1340 de 2009 y el artículo 2.1.2.1.9 del Decreto 1081 de 2015, la Superintendencia de Industria y Comercio, en adelante SIC, mediante oficio con radicado 22-206577-2-0 del 8 de junio de 2022 se pronunció sobre el proyecto de resolución realizando algunas recomendaciones, las cuales fueron acogidas parcialmente como se explica en la memoria justificativa, donde se analizó cada una de ellas.
No obstante, no se acogió la recomendación de “Especificar de manera taxativa cuáles son los resultados del análisis del sector que pueden justificar la inclusión de las reglas para el fomento a la ejecución de contratos estatales por parte de la población en pobreza extrema, desplazados por la violencia, personas en proceso de reintegración o reincorporación y sujetos de especial protección constitucional”. Lo anterior, debido a que conforme al artículo 2.2.1.2.4.2.16. del Decreto 1082 de 2015 corresponde a la Entidad realizar el análisis de oportunidad y conveniencia en los Documentos del Proceso, teniendo en cuenta el objeto contractual y el alcance de las obligaciones, por lo que en los documentos tipo queda a cargo de cada entidad realizar el respectivo análisis de acuerdo a las condiciones particulares de cada proyecto. Finalmente conviene resaltar que esta entidad manifestó que las modificaciones adelantadas con ocasión de comentarios realizados por las entidades técnicas y/o especializadas no afectan la libre competencia económica, por el contrario, favorece la consolidación de reglas más claras para los proponentes.
Que, en mérito de lo expuesto,
RESUELVE:
DOCUMENTOS TIPO DE INFRAESTRUCTURA DE TRANSPORTE.
ARTÍCULO 1o. – MODIFÍQUESE EL NUMERAL 3.5.1 DE LOS DOCUMENTOS TIPO DE OBRA DE INFRAESTRUCTURA DE TRANSPORTE ADELANTADOS BAJO LA MODALIDAD DE LICITACIÓN PÚBLICA Y SELECCIÓN ABREVIADA DE MENOR CUANTÍA. <Resolución 240 de 2020 derogada por el artículo 8 de la Resolución 465 de 2024> <Resolución 241 de 2020 derogada por el artículo 7 de la Resolución 463 de 2024> Modifíquese el numeral 3.5.1 - Determinación de los requisitos mínimos de experiencia según la Matriz 1 – Experiencia, de los documentos tipo de obra pública de infraestructura de transporte adelantados bajo la modalidad de licitación pública –Versión 3–, adoptados mediante la Resolución 240 de 2020 y de los documentos tipo de obra pública de infraestructura de transporte desarrollados bajo la modalidad de selección abreviada de menor cuantía –Versión 2–, expedidos a través de la Resolución 241 de 2020, en los siguientes términos:
“3.5.1 DETERMINACIÓN DE LOS REQUISITOS MÍNIMOS DE EXPERIENCIA SEGÚN LA MATRIZ 1 – EXPERIENCIA
La complejidad técnica del proyecto se establece de la siguiente manera, en concordancia con lo previsto en la “Matriz 1 – Experiencia”:
JUSTIFICACIÓN DE LA COMPLEJIDAD TÉCNICA:
La complejidad técnica del proyecto se establece de la siguiente manera, en concordancia con lo previsto en la “Matriz 1 – Experiencia”:
| Baja – Media Complejidad | Alta Complejidad | |
| Complejidad técnica del proyecto y Matriz 1 – Experiencia | [Marque con una X la complejidad técnica del proyecto] | [Marque con una X la complejidad técnica del proyecto] |
| Justificación de la complejidad técnica de la Matriz 1 - Experiencia | [La Entidad deberá justificar y detallar en esta casilla la complejidad técnica del proyecto, de acuerdo con las consideraciones plasmadas en los siguientes apartados después de esta tabla] | |
[La Entidad debe indicar en esta sección las reglas de experiencia que serán requeridas en el Proceso de Contratación de acuerdo con la Matriz 1 – Experiencia. De igual forma, tiene que justificar expresa y suficientemente la implementación de las condiciones para un proyecto de baja-media o alta complejidad técnica según la Matriz 1 – Experiencia. Para tal fin, la Entidad puede tener en cuenta las siguientes variables que se señalan a modo de ejemplo, sin limitarse exclusivamente a estas, que puedan incidir en la determinación de la complejidad técnica: condiciones geográficas, geológicas, hidrológicas, climáticas, así como el alcance físico del proyecto de infraestructura de transporte].
[La Entidad no podrá limitarse exclusivamente a la cuantía del Proceso de Contratación para establecer la complejidad técnica, pues su definición obedece a aspectos técnicos]
De conformidad con lo anterior, los requisitos de experiencia son: [la Entidad deberá indicar el número de la actividad a contratar y transcribir textualmente lo consignado en la Matriz 1 – Experiencia. En caso de requerir combinar experiencia, se procederá según los lineamientos del literal A del numeral 3.5.2]”.
ARTÍCULO 2o. – MODIFÍQUENSE LOS LITERALES A), B), C) Y E) DEL NUMERAL 3.5.2 DE LOS DOCUMENTOS TIPO DE OBRA DE INFRAESTRUCTURA DE TRANSPORTE ADELANTADOS BAJO LA MODALIDAD DE LICITACIÓN PÚBLICA Y SELECCIÓN ABREVIADA DE MENOR CUANTÍA. <Resolución 240 de 2020 derogada por el artículo 8 de la Resolución 465 de 2024> <Resolución 241 de 2020 derogada por el artículo 7 de la Resolución 463 de 2024> Modifíquense los literales A), B), C) y E) del numeral 3.5.2 – Características de los contratos presentados para acreditar la experiencia exigida de los documentos tipo de obra pública de infraestructura de transporte adelantados bajo la modalidad de licitación pública –Versión 3–, adoptados mediante la Resolución 240 de 2020 y de los documentos tipo de obra pública de infraestructura de transporte realizados bajo la modalidad de selección abreviada de menor cuantía –Versión 2–, expedidos por medio de la Resolución 241 de 2020, en los siguientes términos:
3.5.2 CARACTERÍSTICAS DE LOS CONTRATOS PRESENTADOS PARA ACREDITAR LA EXPERIENCIA EXIGIDA.
[…]
“A. Que hayan contenido la ejecución de: [En este espacio la Entidad debe incluir, sin modificar, la actividad o actividades válidas para acreditar la experiencia general y específica señaladas en la Matriz 1 – Experiencia. Para definir la experiencia exigible la Entidad tiene que: i) identificar el alcance del objeto a contratar, ii) identificar el tipo de infraestructura de transporte, iii) verificar las actividades definidas allí y iv) establecer los requisitos exigibles según la cuantía del Proceso de Contratación, así como los lineamientos para combinación de experiencia entre actividades, en caso de requerirse.
De conformidad con lo anterior, la Entidad debe diligenciar este literal, exclusivamente, con lo señalado en la Matriz 1 - Experiencia, sin modificar los requisitos de experiencia general, específica y los % de dimensionamiento, lo cual implicaría la alteración de las reglas del Documento Tipo.
Dependiendo del rango en SMMLV, la Entidad deberá exigir la experiencia específica señalada en la Matriz 1 – Experiencia en la(s) actividad(es) requeridas para la ejecución del objeto del contrato. La Entidad únicamente podrá solicitar experiencia específica cuando la Matriz 1 – Experiencia lo establezca.
i) [En el caso que eventualmente se soliciten combinaciones de diferentes actividades a contratar con una misma o diferentes matrices de experiencia, la Entidad en esta sección identificará y definirá la actividad principal o de mayor relevancia, y la actividad secundaria o accesoria a la principal, de acuerdo con las características del proyecto en particular. La Entidad podrá analizar la relevancia en función del valor de las actividades en el Presupuesto Oficial o por la complejidad técnica, para lo cual establecerá:
Actividad Principal: [La Entidad identificará y definirá la actividad a contratar principal aplicable en el Proceso de Contratación de acuerdo con la Matriz 1 – Experiencia. Para esta actividad principal se solicitará la experiencia general y específica de la respectiva actividad a contratar de mayor relevancia.]
[La Entidad deberá establecer como actividad principal alguna de las “actividades a contratar” definidas en la Matriz 1 – Experiencia de estos Documentos Tipo].
Actividad Secundaria (1): [La Entidad definirá la actividad secundaria o accesoria aplicable en el Proceso de Contratación de acuerdo con la matriz de experiencia aplicable, ya sea cuando: i) en un mismo proyecto se incluyen otras actividades definidas en la Matriz 1 – Experiencia de estos Documentos Tipo o ii) cuando en un Proceso de Contratación aplican matrices de experiencia de otros Documentos Tipo y la Entidad considera conveniente incluir dicha experiencia, como por ejemplo: las Matrices de Experiencia de los Documentos Tipo de licitación de obra pública de infraestructura de social o de licitación de obra pública de infraestructura de agua potable y saneamiento básico.]
Actividad Secundaria (2): [La Entidad diligenciará la experiencia aplicable a esta actividad secundaria de acuerdo con los lineamientos previstos en el párrafo anterior, en caso de que aplique y si considera conveniente incluir dicha experiencia.]
En caso de que se combinen diferentes actividades, la Entidad en este espacio definirá los requisitos de experiencia exigibles conforme con la Matriz 1 – Experiencia, optando por una de las siguientes alternativas:
a) No solicitar experiencia para la actividad secundaria, sino únicamente la experiencia de la actividad principal, siempre que esta se trate de una de las actividades definidas en la Matriz 1 – Experiencia de estos Documentos Tipo.
b) Solicitar la experiencia general y específica de la “actividad a contratar” de la actividad principal y para las demás actividades secundarias a contratar requerir la experiencia general o específica. Esto significa que la Entidad, de acuerdo con el alcance del proyecto decidirá cuál experiencia pedirá para la actividad secundaria. En el evento en que la matriz de experiencia no contemple experiencia específica para la actividad secundaria, se solicitará la experiencia general. En todo caso en la actividad secundaria no será posible exigir la experiencia general y la específica, sino solo una de ellas.
Para la actividad secundaria en caso de requerirse la experiencia específica, se entenderá en el contexto de la experiencia general solicitada en dicha actividad.
ii) La experiencia exigible para estas actividades (principal o secundaria) se definirá en función de los rangos de cuantías aplicables al Proceso de Contratación. En el caso que el requisito de experiencia a solicitarse esté expresado en un componente o actividad correspondiente a un porcentaje del Presupuesto Oficial, este deberá calcularse respecto del cien por ciento (100 %) del valor del Presupuesto Oficial. En todo caso para la demostración de la experiencia exigida en la actividad secundaria, si la Entidad desagrega el valor de las actividades, la acreditación de la experiencia de los componentes que están supeditados a un porcentaje del Presupuesto Oficial se realizará de acuerdo con el valor de cada actividad secundaria. En este último caso, la Entidad indicará en este literal el valor del Presupuesto Oficial que corresponde a cada uno.
iii) La Entidad no podrá incluir más de dos (2) combinaciones de experiencia adicionales a la prevista para la actividad principal. Esto significa que la Entidad solicitará la experiencia general y la específica de la actividad principal y máximo dos (2) experiencias, general o específica, para las actividades secundarias aplicables al Proceso de Contratación.
iv) Si en la actividad secundaria se solicita la experiencia específica y ésta contempla más de un requisito, la Entidad escogerá solo la que sea de mayor relevancia para el proyecto a ejecutar.
v) En los casos en que la Entidad opte por la exigencia de la experiencia específica para las actividades distintas a la actividad principal, deberá incluirse la siguiente nota:
“Nota: Para el caso de experiencias combinadas un Proponente podrá acreditar experiencia en una o más actividades con un contrato o con contratos distintos”.
vi) [En los Procesos de Contratación estructurados por lotes o por grupos, la Entidad establecerá la experiencia de cada uno de ellos, de acuerdo con las actividades definidas en la matriz de experiencia aplicable]
[La experiencia que deberá acreditar el Proponente será la establecida por la Entidad de forma independiente para cada uno de los lotes o grupos de acuerdo con las actividades definidas en la matriz de experiencia aplicable en el respectivo proyecto de infraestructura de transporte, en el literal A de esta sección].
B. Estar relacionados en el Formato 3 – Experiencia con el número consecutivo del contrato en el RUP. Los Proponentes Plurales deben indicar qué integrante aporta cada uno de los contratos señalados en el Formato 3 – Experiencia. Este documento debe presentarlo el Proponente Plural y no sus integrantes.
Si el Proponente no diligencia el Formato 3 – Experiencia, la Entidad pedirá su subsanación en los términos del numeral 1.6. En caso de que el oferente no subsane se tendrán en cuenta para la evaluación los cinco (5) contratos de mayor valor aportados. Con estos la Entidad verificará la acreditación de los requisitos de experiencia general y específica solicitados para la actividad principal, al igual que los requeridos para la actividad secundaria en atención a las combinaciones de experiencia aplicables y la experiencia exigida respecto de los bienes o servicios adicionales a la obra pública de infraestructura de transporte, en caso de que aplique.
Tratándose de Proponentes que acrediten la calidad de Mipyme o emprendimientos y empresas de mujeres con domicilio en el territorio nacional, se tendrán en cuenta como máximo los seis (6) contratos aportados de mayor valor. En caso de que el Proponente pruebe la calidad de Mipyme y de emprendimiento y empresa de mujer con domicilio en el territorio nacional de manera conjunta, se valdrán como máximo los siete (7) contratos aportados de mayor valor.
El Formato 3 – Experiencia deberá aportarse diligenciado en formato Excel.
C. El Proponente podrá acreditar la experiencia solicitada con mínimo uno (1) y máximo cinco (5) contratos, los cuales serán evaluados teniendo en cuenta la tabla del numeral 3.5.8 del Pliego de Condiciones, así como el contenido de la Matriz 1 – Experiencia. [En los procesos estructurados por lotes o por grupos, el Proponente podrá aportar mínimo uno (1) y máximo cinco (5) contratos para cada uno de los lotes o grupos o podrá allegar los mismos para todos los lotes o grupos].
El Proponente persona natural o jurídica que acredite la calidad de Mipyme o de emprendimiento y empresa de mujer con domicilio en el territorio nacional de conformidad con lo previsto en el artículo 2.2.1.13.2.2 del Decreto 1074 de 2015 y los artículos 2.2.1.2.4.2.4. y 2.2.1.2.4.2.14 del Decreto 1082 de 2015, o las normas que los modifiquen, sustituyan o complementen, podrá probar la experiencia solicitada con un (1) contrato adicional a los cinco (5) inicialmente previstos, para un máximo de seis (6) contratos.
En caso de que el Proponente persona natural o jurídica acredite la calidad de Mipyme y de emprendimiento y empresa de mujer con domicilio en el territorio nacional de manera conjunta, podrá demostrar la experiencia solicitada con dos (2) contratos adicionales a los cinco (5) inicialmente previstos, para un máximo de siete (7).
Para el caso de Proponentes Plurales bastará con que uno de sus integrantes tenga una participación igual o superior al diez por ciento (10 %) en el Consorcio o en la Unión Temporal y acredite la calidad de Mipyme o emprendimiento y empresa de mujer de conformidad con lo previsto en el artículo 2.2.1.13.2.2 del Decreto 1074 de 2015 y los artículos 2.2.1.2.4.2.4. y 2.2.1.2.4.2.14 del Decreto 1082 de 2015, o las normas que los modifiquen, sustituyan o complementen, para probar la experiencia solicitada con un (1) contrato adicional a los cinco (5) inicialmente contemplados, para un máximo de seis (6) contratos.
En caso de que el mismo integrante u otro que haga parte del Proponente Plural tenga una participación igual o superior al diez por ciento (10 %) en el Consorcio o en la Unión Temporal y acredite la calidad de Mipyme y de emprendimiento y empresa de mujer con domicilio en el territorio nacional de manera conjunta o separada, podrá demostrar la experiencia solicitada con dos (2) contratos adicionales a los cinco (5) inicialmente previstos, para un máximo de siete (7) contratos. En todo caso no será posible aportar más de dos (2) contratos adicionales aun cuando otros integrantes del Proponente Plural también cumplan las condiciones previamente definidas.
Para acreditar la condición de Mipyme, el Proponente entregará copia del certificado del Registro Único de Proponentes, el cual deberá encontrarse vigente y en firme al momento de su presentación. Por su parte, la condición de emprendimientos y/o empresas de mujeres se probará mediante el diligenciamiento del Formato 12 – Acreditación de emprendimientos y empresas de mujeres, el cual deberá aportarse con la documentación requerida en el artículo 2.2.1.2.4.2.14 del Decreto 1082 de 2015, o la norma que lo modifique, complemente o sustituya.
Para los efectos de este literal entiéndase por experiencia solicitada la general y la específica requerida en la actividad principal, al igual que la exigida para la actividad secundaria en atención a las combinaciones de experiencia aplicables y la experiencia adicional respecto de los bienes y servicios ajenos a la obra pública de infraestructura de transporte.
[En las convocatorias limitadas a Mipyme, únicamente se aplicará este criterio diferencial respecto de los emprendimientos y empresas de mujeres]
[…]
E. Para los contratos que sean aportados por personas jurídicas que no cuentan con más de tres (3) años de constituidas, que pretendan acreditar la experiencia de sus socios, accionistas o constituyentes, de conformidad con la posibilidad establecida en el numeral 2.5 del artículo 2.2.1.1.1.5.2. del Decreto 1082 de 2015, además del RUP deben adjuntar un documento suscrito por el representante legal y el revisor fiscal o contador público (según corresponda) donde se indique la conformación de la persona jurídica. La Entidad tendrá en cuenta la experiencia de los accionistas, socios o constituyentes de las sociedades con menos de tres (3) años de constituidas. Pasado este tiempo, la sociedad conservará esta experiencia, tal y como haya quedado registrada en el RUP.
De acuerdo con el inciso anterior, en los casos en que se presente un Proponente Plural conformado por una persona jurídica, en conjunto con sus socios, accionistas o constituyentes y se alleguen contratos en los que estos le hayan transferido experiencia a aquella, solo podrán ser acreditados como experiencia en el Proceso de Contratación por uno de los integrantes, de manera tal que al Proponente Plural solo podrá avalársele una misma experiencia una sola vez”.
ARTÍCULO 3o. – MODIFÍQUESE EL LITERAL H DEL NUMERAL 3.5.2 DE LOS DOCUMENTOS TIPO DE OBRA DE INFRAESTRUCTURA DE TRANSPORTE ADELANTADOS BAJO LA MODALIDAD DE LICITACIÓN PÚBLICA. <Resolución 240 de 2020 derogada por el artículo 8 de la Resolución 465 de 2024> Modifíquese el literal H) del numeral 3.5.2 - Características de los contratos presentados para acreditar la experiencia exigida de los documentos tipo de obra pública de infraestructura de transporte adelantados bajo la modalidad de licitación pública –Versión 3–, adoptados mediante la Resolución 240 de 2020, en los siguientes términos:
“H. [Cuando el objeto contractual incluya bienes o servicios ajenos a la obra pública de infraestructura de transporte y de manera excepcional se requiere incluir experiencia adicional para evaluar la idoneidad respecto de dichos bienes o servicios, la Entidad verificará si estos están incorporados en otros Documentos Tipo. En este caso, la Entidad observará las reglas de combinación de experiencia definidas en el literal A) de este numeral y, por tanto, la Entidad no podrá definir requisitos de experiencia distintos a los determinados por esta Agencia. En todo caso, si el objeto contractual contempla bienes o servicios ajenos que no están regulados en los Documentos Tipo, la Entidad Estatal aplicará los parámetros del artículo 4o de la Resolución 240 de 2020.
Conforme con esta disposición, la Entidad no puede requerir experiencia adicional que incluya volúmenes o cantidades de obra específica expresada en SMMLV.
La Entidad tampoco puede exigir experiencia general o específica adicional a la señalada en la Matriz 1 – Experiencia relacionada con Planes de Manejo Ambiental, Planes de Manejo de Tránsito o el Plan de Adaptación de la Guía Ambiental, porque no son bienes o servicios ajenos a la obra pública de infraestructura de transporte]”
ARTÍCULO 4o. – MODIFÍQUESE EL LITERAL H DEL NUMERAL 3.5.2 DE LOS DOCUMENTOS TIPO DE OBRA DE INFRAESTRUCTURA DE TRANSPORTE ADELANTADOS BAJO LA MODALIDAD SELECCIÓN ABREVIADA DE MENOR CUANTÍA. <Resolución 241 de 2020 derogada por el artículo 7 de la Resolución 463 de 2024> Modifíquese el literal H) del numeral 3.5.2 - Características de los contratos presentados para acreditar la experiencia exigida de los documentos tipo de obra pública de infraestructura de transporte desarrollados bajo la modalidad de selección abreviada de menor cuantía –Versión 2–, expedidos mediante la Resolución 241 de 2020, en los siguientes términos:
“H. [Cuando el objeto contractual incluya bienes o servicios ajenos a la obra pública de infraestructura de transporte y de manera excepcional se requiere incluir experiencia adicional para evaluar la idoneidad respecto de dichos bienes o servicios, la Entidad Estatal verificará si estos están incorporados en otros Documentos Tipo. En este caso, la Entidad Estatal observará las reglas de combinación de experiencia definidas en el literal A) de este numeral y, por tanto, la Entidad no podrá definir requisitos de experiencia distintos a los determinados por esta Agencia. En todo caso, si el objeto contractual contempla bienes o servicios ajenos que no están regulados en los Documentos Tipo, la Entidad Estatal aplicará los parámetros del artículo 4o de la Resolución 241 de 2020.
Conforme con esta disposición, la Entidad no puede requerir experiencia adicional que incluya volúmenes o cantidades de obra específica expresadas en SMMLV.
La Entidad tampoco puede exigir experiencia general o específica adicional a la señalada en la Matriz 1 – Experiencia relacionada con Planes de Manejo Ambiental, Planes de Manejo de Tránsito o el Plan de Adaptación de la Guía Ambiental, porque no son bienes o servicios ajenos a la obra pública de infraestructura de transporte]”
ARTÍCULO 5o. – MODIFÍQUENSE LOS LITERALES C), D) E I) DEL NUMERAL 3.5.3 DE LOS DOCUMENTOS TIPO DE OBRA DE INFRAESTRUCTURA DE TRANSPORTE ADELANTADOS BAJO LA MODALIDAD DE LICITACIÓN PÚBLICA Y SELECCIÓN ABREVIADA DE MENOR CUANTÍA. <Resolución 240 de 2020 derogada por el artículo 8 de la Resolución 465 de 2024> <Resolución 241 de 2020 derogada por el artículo 7 de la Resolución 463 de 2024> Modifíquense los literales C), D) e I) del numeral 3.5.3 - Consideraciones para la validez de la experiencia requerida de los documentos tipo de obra pública de infraestructura de transporte adelantados bajo la modalidad de licitación pública –Versión 3, adoptados mediante la Resolución 240 de 2020 y de los documentos tipo de obra pública de infraestructura de transporte desarrollados bajo la modalidad de selección abreviada de menor cuantía –Versión 2–, expedidos a través de la Resolución 241 de 2020, en los siguientes términos:
“3.5.3 CONSIDERACIONES PARA LA VALIDEZ DE LA EXPERIENCIA REQUERIDA
[…]
C. Si el Proponente relaciona o anexa más de cinco (5) contratos en el Formato 3 - Experiencia, para efectos de evaluar la experiencia se tendrá en cuenta como máximo los cinco (5) contratos aportados de mayor valor.
Tratándose de Proponentes que acrediten la calidad de Mipyme o emprendimiento y empresa de mujer con domicilio en el territorio nacional, se tendrá en cuenta como máximo los seis (6) contratos aportados de mayor valor. En caso de que el Proponente pruebe la calidad de Mipyme y de emprendimiento y empresa de mujer con domicilio en el territorio nacional de manera conjunta, se valdrán como máximo los siete (7) contratos allegados de mayor valor.
D. Tratándose de Proponentes Plurales se tendrá en cuenta lo siguiente: i) uno de los integrantes debe aportar como mínimo el cincuenta por ciento (50 %) de la experiencia solicitada; ii) los demás integrantes deben acreditar al menos el cinco por ciento (5 %) de la experiencia solicitada; y iii) sin perjuicio de lo anterior, solo uno (1) de los integrantes, si así lo considera pertinente, podrá no acreditar experiencia. En este último caso, el porcentaje de participación del integrante que no aporta experiencia en la estructura plural no podrá superar el diez por ciento (10 %).
Estos porcentajes que acreditarán los integrantes del Proponente Plural se podrán cumplir con contratos válidos que acrediten cualquier requisito de experiencia solicitada en el pliego de condiciones, y se calcularán sobre el “valor mínimo a certificar (como % del Presupuesto Oficial de obra expresado en SMMLV)” de conformidad con el numeral 3.5.8. Independientemente de él o los integrantes del Proponente Plural que aporten contratos para acreditar la experiencia, estos se tendrán en cuenta para calcular el “número de contratos con los cuales el Proponente cumple la experiencia acreditada" de que trata el numeral citado.
En armonía con lo anterior, para cumplir el requisito previsto en este literal no se solicitará la acreditación de longitudes, magnitudes, volúmenes o porcentajes requeridos en la experiencia específica, sino que bastará con acreditar los SMMLV.
[En caso de que el Proceso de Contratación se adelante por lotes o por grupos, estos porcentajes de experiencia se calcularán sobre el "valor mínimo a certificar (como % del Presupuesto Oficial de obra expresado en SMMLV)” de conformidad con el numeral 3.5.8., esto es, en relación con el valor del Presupuesto Oficial establecido para cada lote o grupo]
[…]
I. Para los proyectos de concesiones viales, únicamente se tendrá en cuenta la experiencia adquirida en la etapa constructiva y/o de intervención de la obra de infraestructura de transporte, lo cual deberá demostrarse con los documentos que la soporten. En consecuencia, no será válida la experiencia obtenida en la etapa de operación, administración y/o mantenimiento de la infraestructura concesionada.
Para estos efectos, el oferente deberá acreditar los valores ejecutados expresados en SMMLV de la etapa constructiva y/o de intervención de la obra de infraestructura de transporte, empleando alguno de los documentos válidos establecidos en el numeral 3.5.6 del Pliego de Condiciones. En el evento en que los valores de los documentos aportados se expresen en moneda extranjera, se procederá de conformidad con lo previsto en el literal A del numeral 1.13. Para este caso, la fecha de terminación de la etapa constructiva y/o de intervención de la obra hará las veces de fecha de terminación del contrato. Ahora, para la conversión de dichos valores a SMMLV se seguirá el proceso descrito en el literal B del numeral 1.13, para lo cual se emplearán los valores históricos de SMMLV señalados por el Banco de la República (http://www.banrep.gov.co/es/mercado-laboral/salarios), del año correspondiente a la fecha de terminación de la etapa constructiva y/o de intervención de la obra.
En los casos en que el Proponente no cumpla la exigencia antes señalada, la Entidad permitirá la subsanación, en los términos del numeral 1.6 del Pliego de Condiciones, requiriendo al Proponente para que demuestre los valores ejecutados. De no lograrse la discriminación de los valores ejecutados en el marco del respectivo contrato, la Entidad no lo tendrá en cuenta para la evaluación.
En caso de que el valor ejecutado que consta en el RUP sea distinto al verificado en el documento aportado por el Proponente, la Entidad Estatal para evaluar el requisito de la experiencia tomará el dato del valor de alguno de los documentos válidos establecidos el numeral 3.5.6 del Pliego de Condiciones. Lo anterior, debido a que estos últimos discriminan el valor ejecutado en la etapa constructiva y/o de intervención de la obra de infraestructura de transporte.
ARTÍCULO 6o. – INCLÚYANSE LOS LITERALES K) Y L) AL NUMERAL 3.5.3 DE LOS DOCUMENTOS TIPO DE OBRA DE INFRAESTRUCTURA DE TRANSPORTE ADELANTADOS BAJO LA MODALIDAD DE LICITACIÓN PÚBLICA Y SELECCIÓN ABREVIADA DE MENOR CUANTÍA. <Resolución 240 de 2020 derogada por el artículo 8 de la Resolución 465 de 2024> <Resolución 241 de 2020 derogada por el artículo 7 de la Resolución 463 de 2024> Inclúyanse los literales K) y L) al numeral 3.5.3 - Consideraciones para la validez de la experiencia requerida de los documentos tipo de obra pública de infraestructura de transporte adelantados bajo la modalidad de licitación pública –Versión 3–, adoptados mediante la Resolución 240 de 2020 y de los documentos tipo de obra pública de infraestructura de transporte desarrollados bajo la modalidad de selección abreviada de menor cuantía –Versión 2–, expedidos por medio de la Resolución 241 de 2020, en los siguientes términos:
K. Las auto certificaciones no servirán para acreditar la experiencia requerida, ya que con estas no puede constatarse la ejecución de contratos que deben certificar los terceros que recibieron la obra, bien o servicio. Para la aplicación de esta regla, se entiende por auto certificaciones aquellas expedidas por el mismo Proponente, sus representantes, los integrantes del Proponente Plural o del mismo grupo empresarial para demostrar su propia experiencia.
L. Las certificaciones de experiencia expedidas por el interventor de obra no servirán para probar la experiencia requerida.
ARTÍCULO 7o. – MODIFÍQUESE EL NUMERAL 3.5.8 DE LOS DOCUMENTOS TIPO DE OBRA DE INFRAESTRUCTURA DE TRANSPORTE ADELANTADOS BAJO LA MODALIDAD DE LICITACIÓN PÚBLICA Y SELECCIÓN ABREVIADA DE MENOR CUANTÍA. <Resolución 240 de 2020 derogada por el artículo 8 de la Resolución 465 de 2024> <Resolución 241 de 2020 derogada por el artículo 7 de la Resolución 463 de 2024> Modifíquese el numeral 3.5.8 – Relación de los contratos frente al presupuesto oficial de los documentos tipo de obra pública de infraestructura de transporte adelantados bajo la modalidad de licitación pública –Versión 3–, adoptados mediante la Resolución 240 de 2020 y de los documentos tipo de obra pública de infraestructura de transporte adelantados bajo la modalidad de selección abreviada de menor cuantía –Versión 2–, expedidos a través de la Resolución 241 de 2020, en los siguientes términos:
“3.5.8 RELACIÓN DE LOS CONTRATOS FRENTE AL PRESUPUESTO OFICIAL
La verificación del número de contratos para acreditar la experiencia se realiza de la siguiente manera:
| Número de contratos con los cuales el Proponente cumple la experiencia acreditada | Valor mínimo a certificar (como % del Presupuesto Oficial de obra expresado en SMMLV) |
| De 1 hasta 2 | 75% |
| De 3 hasta 4 | 120% |
| Hasta 5 | 150% |
Si el número de contratos aportados supera los cinco (5) inicialmente previstos en este numeral, debido a la posibilidad de allegar contratos adicionales por tratarse de una Mipyme y/o emprendimiento y empresa de mujer, estos contratos adicionales, ya sean seis (6) o siete (7) - dependiendo si acredita una o ambas condiciones-, se tendrán en cuenta para demostrar el valor del ciento cincuenta por ciento (150 %) del valor del Presupuesto Oficial.
La verificación se hará con base en la sumatoria de los valores totales ejecutados (incluido IVA) en SMMLV de los contratos que cumplan con los requisitos establecidos en este Pliego de Condiciones.
El Proponente cumple el requisito de experiencia si la sumatoria de los valores totales ejecutados (incluido IVA) de los contratos expresados en SMMLV es mayor o igual al valor mínimo a certificar establecido en la tabla anterior.
En caso de que el número de contratos con los cuales el Proponente acredita la experiencia no satisface el porcentaje mínimo a certificar establecido en la tabla anterior, se calificará la propuesta como no hábil y el Proponente podrá subsanarla en los términos contemplados en la sección 1.6.
[En los procesos estructurados por lotes o por grupos, el valor mínimo a certificar debe ser en relación con el valor del Presupuesto Oficial del respectivo lote o grupo expresado en SMMLV]”.
ARTÍCULO 8o. – MODIFÍQUESE EL NUMERAL 3.6 DE LOS DOCUMENTOS TIPO DE OBRA DE INFRAESTRUCTURA DE TRANSPORTE ADELANTADOS BAJO LA MODALIDAD DE LICITACIÓN PÚBLICA Y SELECCIÓN ABREVIADA DE MENOR CUANTÍA. <Resolución 240 de 2020 derogada por el artículo 8 de la Resolución 465 de 2024> <Resolución 241 de 2020 derogada por el artículo 7 de la Resolución 463 de 2024> Modifíquese el numeral 3.6 – Capacidad financiera de los documentos tipo de obra pública de infraestructura de transporte adelantados bajo la modalidad de licitación pública –Versión 3–, adoptados mediante la Resolución 240 de 2020 y de los documentos tipo de obra pública de infraestructura de transporte adelantados bajo la modalidad de selección abreviada de menor cuantía –Versión 2–, expedidos a través de la Resolución 241 de 2020, en los siguientes términos:
"3.6. CAPACIDAD FINANCIERA
Los Proponentes deberán acreditar los siguientes indicadores en los términos señalados en la Matriz 2 – Indicadores financieros y organizacionales y bajo las condiciones señaladas en el numeral 3.9:
| Indicador | Fórmula |
| Liquidez | |
| Nivel de Endeudamiento | |
| Razón de Cobertura de Intereses |
Si el Proponente es Plural cada indicador debe calcularse así:
![]()
Donde n es el número de integrantes del Proponente Plural (Unión Temporal o Consorcio).
El Proponente que no tiene pasivos corrientes está habilitado respecto del índice de liquidez.
El Proponente que no tiene gastos de intereses está habilitado respecto de la razón de cobertura de intereses, siempre y cuando la utilidad operacional sea igual o mayor a cero (0).
El Proponente que demuestre la condición de Mipyme domiciliada en Colombia probará la capacidad financiera de acuerdo con los indicadores señalados en la Matriz 2 – Indicadores financieros y organizacionales. El Proponente acreditará la condición de Mipyme con la copia del certificado del Registro Único de Proponentes, el cual deberá encontrarse vigente y en firme al momento de su presentación.
ARTÍCULO 9o. – MODIFÍQUESE EL NUMERAL 3.8 DE LOS DOCUMENTOS TIPO DE OBRA DE INFRAESTRUCTURA DE TRANSPORTE ADELANTADOS BAJO LA MODALIDAD DE LICITACIÓN PÚBLICA Y SELECCIÓN ABREVIADA DE MENOR CUANTÍA. <Resolución 240 de 2020 derogada por el artículo 8 de la Resolución 465 de 2024> <Resolución 241 de 2020 derogada por el artículo 7 de la Resolución 463 de 2024> Modifíquese el numeral 3.8 – Capacidad organizacional de los documentos tipo de obra pública de infraestructura de transporte adelantados bajo la modalidad de licitación pública –Versión 3, adoptados mediante la Resolución 240 de 2020 y de los documentos tipo de obra pública de infraestructura de transporte desarrollados bajo la modalidad de selección abreviada de menor cuantía –Versión 2–, expedidos a través de la Resolución 241 de 2020, en los siguientes términos:
3.8. CAPACIDAD ORGANIZACIONAL
Los Proponentes deben acreditar los siguientes indicadores en los términos señalados en la Matriz 2- Indicadores financieros y organizacionales:
| Indicador | Fórmula |
| Rentabilidad sobre Patrimonio (Roe) | |
| Rentabilidad del Activo (Roa) |
Si el Proponente es plural cada indicador debe calcularse así:
![]()
Donde n es el número de integrantes del Proponente Plural (Unión Temporal o Consorcio).
El Proponente que demuestre la condición de Mipyme domiciliada en Colombia acreditará la capacidad organizacional de acuerdo con los indicadores señalados en la Matriz 2 – Indicadores financieros y organizacionales. El Proponente probará la condición de Mipyme con la copia del certificado del Registro Único de Proponentes, el cual deberá encontrarse vigente y en firme al momento de su presentación.
ARTÍCULO 10. – MODIFÍQUESE EL CAPÍTULO IV DE LOS DOCUMENTOS TIPO DE OBRA PÚBLICA DE INFRAESTRUCTURA DE TRANSPORTE ADELANTADOS BAJO LA MODALIDAD DE LICITACIÓN PÚBLICA. <Resolución 240 de 2020 derogada por el artículo 8 de la Resolución 465 de 2024> Modifíquese el Capítulo IV - Criterios de evaluación, asignación de puntaje y criterios de desempate de los documentos tipo de obra pública de infraestructura de transporte adelantados bajo la modalidad de licitación pública –Versión 3–, adoptados mediante la Resolución 240 de 2020, en los siguientes términos:
CRITERIOS DE EVALUACIÓN, ASIGNACIÓN DE PUNTAJE Y CRITERIOS DE DESEMPATE.
La Entidad calificará las ofertas que hayan cumplido con los requisitos habilitantes con los siguientes puntajes:
| Concepto | Puntaje máximo |
| Oferta económica | 59,5 |
| Factor de calidad | 19 |
| Apoyo a la industria nacional | 20 |
| Vinculación de personas con discapacidad | 1 |
| Emprendimientos y empresas de mujeres | 0,25 |
| Mipyme | 0,25 |
| Total | 100 |
De conformidad con el artículo 67 de la Ley 915 de 2004, cuando el objeto del contrato deba ser desarrollado en el territorio del departamento Archipiélago de San Andrés, Providencia y Santa Catalina, la Entidad calificará las ofertas que hayan cumplido con los requisitos habilitantes con los siguientes puntajes:
| Concepto | Puntaje máximo |
| Oferta económica | 54,5 |
| Factor de calidad | 19 |
| Apoyo a la industria nacional | 20 |
| Vinculación de personas con discapacidad | 1 |
| Tarjeta de Circulación y Residencia “OCCRE” | 5 |
| Concepto | Puntaje máximo |
| Emprendimientos y empresas de mujeres | 0,25 |
| Mipyme | 0,25 |
| Total | 100 |
[Cuando el objeto del contrato deba ser desarrollado en el territorio del departamento Archipiélago, de San Andrés, Providencia y Santa Catalina, las Entidades deberán ajustar los puntajes y fórmulas de los métodos de ponderación de acuerdo con el anterior cuadro]
En las convocatorias limitadas a Mipyme el puntaje por este concepto se trasladará al puntaje de oferta económica. En este caso, en el Pliego de Condiciones definitivo se incluirá el siguiente cuadro:
La Entidad calificará las ofertas que hayan cumplido con los requisitos habilitantes con los siguientes puntajes:
| Concepto | Puntaje máximo |
| Oferta económica | 59,75 |
| Factor de calidad | 19 |
| Apoyo a la industria nacional | 20 |
| Vinculación de personas con discapacidad | 1 |
| Emprendimientos y empresas de mujeres | 0,25 |
| Total | 100 |
De conformidad con el artículo 67 de la Ley 915 de 2004, cuando el objeto del contrato deba ser desarrollado en el territorio del departamento Archipiélago de San Andrés, Providencia y Santa Catalina, la Entidad calificará las ofertas que hayan cumplido con los requisitos habilitantes con los siguientes puntajes:
| Concepto | Puntaje máximo |
| Oferta económica | 54,75 |
| Factor de calidad | 19 |
| Apoyo a la industria nacional | 20 |
| Vinculación de personas con discapacidad | 1 |
| Tarjeta de Circulación y Residencia “OCCRE” | 5 |
| Emprendimientos y empresas de mujeres | 0,25 |
| Total | 100 |
[Cuando el objeto del contrato deba ser desarrollado en el territorio del departamento Archipiélago, de San Andrés, Providencia y Santa Catalina, las Entidades deberán ajustar los puntajes y fórmulas de los métodos de ponderación de acuerdo con el anterior cuadro]
Las Entidades deberán reducir durante la evaluación de las ofertas dos (2) puntos a los Proponentes que se les haya impuesto una o más multas o cláusulas penales durante el último año, contado a partir de la fecha prevista para el cierre del proceso, sin importar la cuantía y sin perjuicio de las demás consecuencias derivadas del incumplimiento. Esta reducción también afectará a los Consorcios y a las Uniones Temporales si alguno de sus integrantes se encuentra en la situación anterior.
La reducción del puntaje antes señalada no se materializará en caso de que los actos administrativos que hayan impuesto las multas sean objeto de medios de control jurisdiccional previstos en la Ley 1437 de 2011 o las normas que la modifiquen, adicionen o sustituyan. Además, se aplicará sin perjuicio de lo dispuesto en el artículo 6o de la Ley 2020 de 2020. Lo anterior de conformidad con el artículo 58 de la Ley 2195 de 2022 y las normas que lo modifiquen, sustituyan, adicionen o reglamenten.
ARTÍCULO 11. – MODIFÍQUESE EL CAPÍTULO IV DE LOS DOCUMENTOS TIPO DE OBRA PÚBLICA DE INFRAESTRUCTURA DE TRANSPORTE ADELANTADOS BAJO LA MODALIDAD DE SELECCIÓN ABREVIADA DE MENOR CUANTÍA. <Resolución 241 de 2020 derogada por el artículo 7 de la Resolución 463 de 2024> Modifíquese el Capítulo IV - Criterios de evaluación, asignación de puntaje y criterios de desempate de los documentos tipo de obra pública de infraestructura de transporte adelantados bajo la modalidad de selección abreviada de menor cuantía –Versión 2–, expedidos mediante la Resolución 241 de 2020, en los siguientes términos:
CRITERIOS DE EVALUACIÓN, ASIGNACIÓN DE PUNTAJE Y CRITERIOS DE DESEMPATE.
La Entidad calificará las ofertas que hayan cumplido con los requisitos habilitantes con los siguientes puntajes:
| Concepto | Puntaje máximo |
| Oferta económica | 59,5 |
| Factor de calidad | 20 |
| Apoyo a la industria nacional | 20 |
| Emprendimientos y empresas de mujeres | 0,25 |
| Mipyme | 0,25 |
| Total | 100 |
En las convocatorias limitadas a Mipyme el puntaje por este concepto se trasladará al puntaje de oferta económica. En este caso, en el Pliego de Condiciones definitivo se incluirá el siguiente cuadro:
La Entidad calificará las ofertas que hayan cumplido con los requisitos habilitantes con los siguientes puntajes:
| Concepto | Puntaje máximo |
| Oferta económica | 59,75 |
| Factor de calidad | 20 |
| Apoyo a la industria nacional | 20 |
| Emprendimientos y empresas de mujeres | 0,25 |
| Total | 100 |
Las Entidades deberán reducir durante la evaluación de las ofertas dos (2) puntos a los Proponentes que se les haya impuesto una o más multas o cláusulas penales durante el último año, contado a partir de la fecha prevista para el cierre del proceso, sin importar la cuantía y sin perjuicio de las demás consecuencias derivadas del incumplimiento. Esta reducción también afectará a los Consorcios y a las Uniones Temporales si alguno de sus integrantes se encuentra en la situación anterior.
La reducción del puntaje antes señalada no se materializará en caso de que los actos administrativos que hayan impuesto las multas sean objeto de control jurisdiccional previstos en la Ley 1437 de 2011 o las normas que la modifiquen, adicionen o sustituyan. Además, se aplicará sin perjuicio de lo dispuesto en el artículo 6o de la Ley 2020 de 2020. Lo anterior de conformidad con el artículo 58 de la Ley 2195 de 2022 y las normas que lo modifiquen, sustituyan, adicionen o reglamenten.
ARTÍCULO 12. – MODIFÍQUESE EL NUMERAL 4.1.4 DE LOS DOCUMENTOS TIPO DE OBRA DE INFRAESTRUCTURA DE TRANSPORTE ADELANTADOS BAJO LA MODALIDAD DE LICITACIÓN PÚBLICA. <Resolución 240 de 2020 derogada por el artículo 8 de la Resolución 465 de 2024> Modifíquese el numeral 4.1.4 – Determinación del método para la ponderación de la propuesta económica de los documentos tipo de obra pública de infraestructura de transporte adelantados bajo la modalidad de licitación pública –Versión 3, adoptados mediante la Resolución 240 de 2020, en los siguientes términos:
4.1.4. DETERMINACIÓN DEL MÉTODO PARA LA PONDERACIÓN DE LA PROPUESTA ECONÓMICA:
[…]
Las propuestas que al aplicar las fórmulas obtengan puntajes negativos obtienen cero (0) puntos en la oferta económica.
A. Mediana con valor absoluto
La Entidad calculará el valor de la mediana con los valores de las propuestas hábiles. En esta alternativa se entenderá por mediana de un grupo de valores el resultado del cálculo que se obtiene a través de la aplicación del siguiente proceso: la Entidad ordenará los valores de las propuestas hábiles de manera descendente. Si el número de valores es impar, la mediana corresponde al valor central, si el número de valores es par, la mediana será el promedio de los dos valores centrales.
![]()
Donde:
- Vi: Es el valor total corregido de cada una de las propuestas “i”.
- m: Es el número total de propuestas económicas válidas recibidas por la Entidad.
- Me: Es la mediana calculada con los valores de las propuestas económicas válidas.
Bajo este método la Entidad asignará el puntaje así:
I. Si el número de valores de las propuestas hábiles es impar, el máximo puntaje será asignado a la propuesta que se encuentre en el valor de la mediana. Para las otras propuestas, se utilizará la siguiente fórmula:
![]()
Donde:
- Me: Es la mediana calculada con los valores de las propuestas económicas válidas.
- Vi: Es el valor total corregido de cada una de las propuestas “i”.
II. Si el número de valores de las propuestas hábiles es par, se asignará el máximo puntaje a la propuesta que se encuentre inmediatamente por debajo de la mediana. Para las otras propuestas, se utilizará la siguiente fórmula:
![]()
Donde:
- VMe: Es el valor de la propuesta económica válida inmediatamente por debajo de la mediana.
- Vi: Es el valor total corregido de cada una de las propuestas “i”.
B. Media Geométrica
Para calcular la Media Geométrica se tomará el valor de las propuestas hábiles para el respectivo factor de calificación para asignar el puntaje de conformidad con el siguiente procedimiento:
![]()
Donde:
- MG: Es la media geométrica de todas las ofertas habilitadas.
- V1: Es el valor de una propuesta habilitada.
- Vn: Es el valor de la propuesta n habilitada.
- n: La cantidad total de propuestas habilitadas.
Para efectos de la asignación de puntaje se tendrá en cuenta lo siguiente: se otorgará el máximo puntaje al valor de la propuesta que se encuentre más cerca (por exceso o por defecto) al valor de la media geométrica calculada para el factor correspondiente.
Las demás propuestas recibirán puntaje de acuerdo con la siguiente ecuación:
![]()
C. Media Aritmética Baja
Consiste en determinar el promedio aritmético entre la propuesta válida más baja y el promedio simple de las ofertas hábiles para calificación económica.
![]()
Donde:
- Vmin: Es el valor total corregido de la propuesta válida más baja.
- X: Es el promedio aritmético simple de las propuestas económicas válidas.
- XB: Es la media aritmética baja.
La Entidad procederá a ponderar las propuestas de acuerdo con la siguiente formula:

Donde:
- XB: Es la media aritmética baja.
- Vi: Es el valor total corregido de cada una de las propuestas “i”.
D. Menor Valor
La Entidad otorgará el máximo puntaje a la oferta económica hábil para calificación económica de menor valor.
![]()
Donde:
- Vi: Es el valor total corregido de cada una de las propuestas “i”.
- m: Es el número total de propuestas económicas válidas recibidas por la Entidad.
- Vmin: Es el valor total corregido de la propuesta válida más baja.
La Entidad procederá a ponderar las propuestas de acuerdo con la siguiente fórmula:
![]()
Donde:
- Vmin: Es el valor total corregido de la propuesta válida más baja.
- Vi: Es el valor total corregido de cada una de las propuestas “i”.
ARTÍCULO 13. – MODIFÍQUESE EL NUMERAL 4.1.4 DE LOS DOCUMENTOS TIPO DE OBRA DE INFRAESTRUCTURA DE TRANSPORTE ADELANTADOS BAJO LA MODALIDAD DE SELECCIÓN ABREVIADA DE MENOR CUANTÍA. <Resolución 241 de 2020 derogada por el artículo 7 de la Resolución 463 de 2024> Modifíquese el numeral 4.1.4 – Determinación del método para la ponderación de la propuesta económica de los documentos tipo de obra pública de infraestructura de transporte adelantados bajo la modalidad de selección abreviada de menor cuantía –Versión 2, adoptados mediante la Resolución 241 de 2020, en los siguientes términos:
4.1.4. DETERMINACIÓN DEL MÉTODO PARA LA PONDERACIÓN DE LA PROPUESTA ECONÓMICA
[…]
Las propuestas que al aplicar las fórmulas obtengan puntajes negativos obtienen cero (0) puntos en la oferta económica.
A. Mediana con valor absoluto
La Entidad calculará el valor de la mediana con los valores de las propuestas hábiles. En esta alternativa se entenderá por mediana de un grupo de valores el resultado del cálculo que se obtiene a través de la aplicación del siguiente proceso: la Entidad ordenará los valores de las propuestas hábiles de manera descendente. Si el número de valores es impar, la mediana corresponde al valor central, si el número de valores es par, la mediana será el promedio de los dos valores centrales.
![]()
Donde:
- Vi: Es el valor total corregido de cada una de las propuestas “i”.
- m: Es el número total de propuestas económicas válidas recibidas por la Entidad.
- Me: Es la mediana calculada con los valores de las propuestas económicas válidas.
Bajo este método la entidad asignará el puntaje así:
I. Si el número de valores de las propuestas hábiles es impar, el máximo puntaje será asignado a la propuesta que se encuentre en el valor de la mediana. Para las otras propuestas, se utilizará la siguiente fórmula:
![]()
Donde:
- Me: Es la mediana calculada con los valores de las propuestas económicas válidas.
- Vi: Es el valor total corregido de cada una de las propuestas “i”.
II. Si el número de valores de las propuestas hábiles es par, se asignará el máximo puntaje a la propuesta que se encuentre inmediatamente por debajo de la mediana. Para las otras propuestas, se utilizará la siguiente fórmula:
![]()
Donde:
- VMe: Es el valor de la propuesta económica válida inmediatamente por debajo de la mediana.
- Vi: Es el valor total corregido de cada una de las propuestas “i”.
B. Media Geométrica
Para calcular la Media Geométrica se tomará el valor de las propuestas hábiles para el respectivo factor de calificación para asignar el puntaje de conformidad con el siguiente procedimiento:
![]()
Donde:
- MG: Es la media geométrica de todas las ofertas habilitadas.
- V1: Es el valor de una propuesta habilitada.
- Vn: Es el valor de la propuesta n habilitada.
- n: La cantidad total de propuestas habilitadas.
Para efectos de la asignación de puntaje se tendrá en cuenta lo siguiente: se otorgará el máximo puntaje al valor de la propuesta que se encuentre más cerca (por exceso o por defecto) al valor de la media geométrica calculada para el factor correspondiente.
Las demás propuestas recibirán puntaje de acuerdo con la siguiente ecuación:
![]()
C. Media Aritmética Baja
Consiste en determinar el promedio aritmético entre la propuesta válida más baja y el promedio simple de las ofertas hábiles para calificación económica.
![]()
Donde:
-Vmin: Es el valor total corregido de la propuesta válida más baja.
- X: Es el promedio aritmético simple de las propuestas económicas válidas.
- XB: Es la media aritmética baja.
La Entidad procederá a ponderar las propuestas de acuerdo con la siguiente formula:

Donde:
- XB: Es la media aritmética baja.
- Vi: Es el valor total corregido de cada una de las propuestas “i”.
D. Menor Valor
La Entidad otorgará el máximo puntaje a la oferta económica hábil para calificación económica de menor valor.
![]()
Donde:
-Vi: Es el valor total corregido de cada una de las propuestas “i”.
- m: Es el número total de propuestas económicas válidas recibidas por la Entidad.
- Vmin: Es el valor total corregido de la propuesta válida más baja.
La Entidad procederá a ponderar las propuestas de acuerdo con la siguiente fórmula:
![]()
Donde:
- Vmin: Es el valor total corregido de la propuesta válida más baja.
-Vi: Es el valor total corregido de cada una de las propuestas “i”.
ARTÍCULO 14. – MODIFÍQUESE EL NUMERAL 4.6. DE LOS DOCUMENTOS TIPO DE OBRA PÚBLICA DE INFRAESTRUCTURA DE TRANSPORTE ADELANTADOS BAJO LA MODALIDAD DE LICITACIÓN PÚBLICA. <Resolución 240 de 2020 derogada por el artículo 8 de la Resolución 465 de 2024> Modifíquese el numeral 4.6 - Emprendimientos y empresas de mujeres de los documentos tipo de obra pública de infraestructura de transporte adelantados bajo la modalidad de licitación pública –Versión 3–, adoptados mediante la Resolución 240 de 2020, en los siguientes términos:
“4.6 EMPRENDIMIENTOS Y EMPRESAS DE MUJERES
La Entidad asignará un puntaje de cero punto veinticinco (0.25) puntos al Proponente que acredite la calidad de emprendimientos y empresas de mujeres con domicilio en el territorio nacional de conformidad con la previsto en el artículo 2.2.1.2.4.2.14. del Decreto 1082 de 2015 o la norma que lo modifique, sustituya o complemente.
Para que el Proponente obtenga este puntaje debe diligenciar el Formato 12 – Acreditación de emprendimientos y empresas de mujeres y aportar la documentación requerida. Si el Proponente debió subsanar la entrega de dicho formato y/o los documentos exigidos para probar esta condición será válido para el criterio diferencial en cuanto al requisito habilitante relacionado con el número de contratos aportados para demostrar la experiencia solicitada. Sin embargo, no se tendrán en cuenta para la asignación de puntaje, por lo que obtendrá cero (0) puntos por este factor de evaluación.
Tratándose de Proponentes Plurales este puntaje solo se otorgará si por lo menos uno de los integrantes acredita la calidad de emprendimientos y empresas de mujeres y tiene una participación igual o superior al diez por ciento (10 %) en el Consorcio o en la Unión Temporal.
La asignación de este puntaje no excluye la aplicación del puntaje para Mipyme.”
ARTÍCULO 15. – MODIFÍQUESE EL NUMERAL 4.4. LOS DOCUMENTOS TIPO DE OBRA PÚBLICA DE INFRAESTRUCTURA DE TRANSPORTE ADELANTADOS BAJO LA MODALIDAD DE SELECCIÓN ABREVIADA DE MENOR CUANTÍA. <Resolución 241 de 2020 derogada por el artículo 7 de la Resolución 463 de 2024> Modifíquese el numeral 4.4. – Emprendimientos y empresas de mujeres de los documentos tipo de obra pública de infraestructura de transporte adelantados bajo la modalidad de selección abreviada de menor cuantía –Versión 2–, expedidos mediante la Resolución 241 de 2020, en los siguientes términos:
“4.4 EMPRENDIMIENTOS Y EMPRESAS DE MUJERES
La Entidad asignará un puntaje de cero punto veinticinco (0.25) puntos al Proponente que acredite la calidad de emprendimientos y empresas de mujeres con domicilio en el territorio nacional de conformidad con la previsto en el artículo 2.2.1.2.4.2.14. del Decreto 1082 de 2015 o la norma que lo modifique, sustituya o complemente.
Para que el Proponente obtenga este puntaje debe diligenciar el Formato 12 – Acreditación de emprendimientos y empresas de mujeres y aportar la documentación requerida. Si el Proponente debió subsanar la entrega de dicho formato y/o los documentos exigidos para probar esta condición será válido para el criterio diferencial en cuanto al requisito habilitante relacionado con el número de contratos aportados para demostrar la experiencia solicitada. Sin embargo, no se tendrán en cuenta para la asignación de puntaje, por lo que obtendrá cero (0) puntos por este criterio de evaluación.
Tratándose de Proponentes Plurales este puntaje se otorgará si por lo menos uno de los integrantes acredita la calidad de emprendimientos y empresas de mujeres y tiene una participación igual o superior al diez por ciento (10 %) en el Consorcio o en la Unión Temporal.
La asignación de este puntaje no excluye la aplicación del puntaje para Mipyme.”
ARTÍCULO 16. – INCLÚYASE EL NUMERAL 4.7. DE LOS DOCUMENTOS TIPO DE OBRA PÚBLICA DE INFRAESTRUCTURA DE TRANSPORTE ADELANTADOS BAJO LA MODALIDAD DE LICITACIÓN PÚBLICA. <Resolución 240 de 2020 derogada por el artículo 8 de la Resolución 465 de 2024> Inclúyase el numeral 4.7 – Mipyme domiciliada en Colombia de los documentos tipo de obra pública de infraestructura de transporte adelantados bajo la modalidad de licitación pública –Versión 3, adoptados mediante la Resolución 240 de 2020, en los siguientes términos:
“4.7 MIPYME DOMICILIADA EN COLOMBIA
[En las convocatorias limitadas a Mipyme no aplicará este puntaje adicional. En este caso, los puntos por este concepto se trasladarán al puntaje de la oferta económica]
La Entidad otorgará un puntaje de cero punto veinticinco (0.25) puntos al Proponente que acredite la calidad de Mipyme domiciliada en Colombia de conformidad con el artículo 2.2.1.2.4.2.4 del Decreto 1082 de 2015, en concordancia con el parágrafo del artículo 2.2.1.13.2.4 del Decreto 1074 de 2015, o la norma que lo modifique, complemente o sustituya.
Así las cosas, para obtener el puntaje, el Proponente entregará copia del certificado del Registro Único de Proponentes, el cual deberá encontrarse vigente y en firme al momento de su presentación. Si el Proponente debió subsanar la entrega del RUP, éste será válido para los criterios diferenciales en cuanto a los requisitos habilitantes relacionados con el número de contratos aportados para demostrar la experiencia solicitada y los índices de de la Capacidad Financiera y Organizacional. Sin embargo, el certificado no se tendrá en cuenta para la asignación del puntaje adicional, por lo que obtendrá cero (0) puntos por este factor de evaluación.
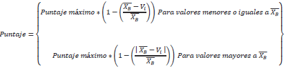
Tratándose de Proponentes Plurales este puntaje se otorgará si por lo menos uno de los integrantes acredita la calidad de Mipyme y tiene una participación igual o superior al diez por ciento (10 %) en el Consorcio o en la Unión Temporal”.
ARTÍCULO 17. – INCLÚYASE EL NUMERAL 4.5. DE LOS DOCUMENTOS TIPO DE OBRA PÚBLICA DE INFRAESTRUCTURA DE TRANSPORTE ADELANTADOS BAJO LA MODALIDAD DE SELECCIÓN ABREVIADA DE MENOR CUANTÍA. <Resolución 241 de 2020 derogada por el artículo 7 de la Resolución 463 de 2024> Inclúyase el numeral 4.5 – Mipyme domiciliada en Colombia de los documentos tipo de obra pública de infraestructura de transporte adelantados bajo la modalidad de selección abreviada de menor cuantía –Versión 2–, expedidos mediante la Resolución 241 de 2020, en los siguientes términos:
“4.5 MIPYME DOMICILIADA EN COLOMBIA
[En las convocatorias limitadas a Mipyme no aplicará este puntaje adicional. En este caso, los puntos por este concepto se trasladarán al puntaje de la oferta económica]
La Entidad otorgará un puntaje de cero punto veinticinco (0.25) puntos al Proponente que acredite la calidad de Mipyme domiciliada en Colombia de conformidad con el artículo 2.2.1.2.4.2.4 del Decreto 1082 de 2015, en concordancia con el parágrafo del artículo 2.2.1.13.2.4 del Decreto 1074 de 2015, o la norma que lo modifique, complemente o sustituya.
Así las cosas, para obtener el puntaje, el Proponente entregará copia del certificado del Registro Único de Proponentes, el cual deberá encontrarse vigente y en firme al momento de su presentación. Si el Proponente debió subsanar la entrega del RUP, éste será válido para los criterios diferenciales en cuanto a los requisitos habilitantes relacionados con el número de contratos aportados para demostrar la experiencia solicitada y los índices de la Capacidad Financiera y Organizacional. Sin embargo, el certificado, no se tendrá en cuenta para la asignación del puntaje adicional, por lo que obtendrá cero (0) puntos por este factor de evaluación.
Tratándose de Proponentes Plurales este puntaje se otorgará si por lo menos uno de los integrantes acredita la calidad de Mipyme y tiene una participación igual o superior al diez por ciento (10%) en el Consorcio o en la Unión Temporal.”
ARTÍCULO 18. – INCLÚYASE EL NUMERAL 4.8 DE LOS DOCUMENTOS TIPO DE OBRA PÚBLICA DE INFRAESTRUCTURA DE TRANSPORTE ADELANTADOS BAJO LA MODALIDAD DE LICITACIÓN PÚBLICA. <Resolución 240 de 2020 derogada por el artículo 8 de la Resolución 465 de 2024> Inclúyase el numeral 4.8 – Criterios de desempate de los documentos tipo de obra pública de infraestructura de transporte adelantados bajo la modalidad de licitación pública –Versión 3–, adoptados mediante la Resolución 240 de 2020, en los siguientes términos:
“4.8. CRITERIOS DE DESEMPATE
En caso de empate en el puntaje total de dos o más ofertas deberán aplicarse las siguientes reglas de acuerdo con cada uno de los numerales, de forma sucesiva y excluyente, para seleccionar al Proponente favorecido, respetando en todo caso las obligaciones contenidas en los Acuerdos Comerciales vigentes, especialmente en materia de trato nacional:
1. Preferir la oferta de bienes o servicios nacionales frente a la oferta de bienes o servicios extranjeros. El Proponente acreditará este factor de desempate de acuerdo con las reglas definidas en el numeral 4.3.1 y con los documentos señalados en la sección 4.3.1.1 del Pliego de Condiciones. Por tanto, este criterio de desempate se probará con los mismos documentos que se presentan para el puntaje de apoyo a la industria nacional. Para el caso de los Proponentes Plurales, todos los integrantes deberán demostrar el origen nacional de la oferta en las condiciones indicadas en los numerales anteriormente citados.
2. Preferir la propuesta de la mujer cabeza de familia. Su acreditación se realizará en los términos del parágrafo del artículo 2o de la Ley 82 de 1993, modificado por el artículo 1o de la Ley 1232 de 2008, o la norma que lo modifique, aclare, adicione o sustituya, es decir, la condición de mujer cabeza de familia y la cesación de esta se otorgará desde el momento en que ocurra el respectivo evento y se declare ante un notario. Esta certificación debe tener una fecha de expedición no mayor a treinta (30) días calendario anteriores a la fecha del cierre del Proceso de Contratación y en esta deberá verificarse el cumplimiento de los requisitos indicados en el artículo 1o de la Ley 1232 de 2008. En caso de modificarse la fecha de cierre del proceso, se tendrá como referencia para establecer el plazo de vigencia del certificado la fecha originalmente contemplada en el Pliego de Condiciones definitivo."
Igualmente, se preferirá la propuesta de la mujer víctima de violencia intrafamiliar, la cual acreditará esta condición de conformidad con el artículo 21 de la Ley 1257 de 2008 o la norma que lo modifique, aclare, adicione o sustituya, esto es, cuando se profiera una medida de protección expedida por la autoridad competente. En virtud del artículo 16 de la Ley 1257 de 2008 o la norma que lo modifique, aclare, adicione o sustituya, la medida de protección la debe impartir el comisario de familia del lugar donde ocurrieron los hechos y, a falta de este, del juez civil municipal o promiscuo municipal, o la autoridad indígena en los casos de violencia intrafamiliar en las comunidades de esa naturaleza.
En el caso de las personas jurídicas se preferirá a aquellas en las que participen mayoritariamente mujeres cabeza de familia y/o mujeres víctimas de violencia intrafamiliar, para lo cual el representante legal o el revisor fiscal, según corresponda, diligenciará el «Formato 10A – Participación mayoritaria de mujeres cabeza de familia y/o mujeres víctimas de violencia intrafamiliar (persona jurídica)», mediante el cual acreditará, bajo la gravedad del juramento, que más del cincuenta por ciento (50 %) de la composición accionaria o cuota parte de la persona jurídica está constituida por mujeres cabeza de familia y/o mujeres víctimas de violencia intrafamiliar. Además, deberá probar la condición indicada de cada una de las mujeres que participen en la sociedad, aportando los documentos que avalen el cumplimiento de los requisitos, de acuerdo con los dos incisos anteriores.
Finalmente, en el caso de los Proponentes Plurales, se preferirá la oferta cuando cada uno de los integrantes acredite alguna de las condiciones señaladas en los incisos anteriores de este numeral.
Debido a que para el otorgamiento de este criterio de desempate se entregan certificados que contienen datos sensibles de acuerdo con el artículo 5o de la Ley 1581 de 2012 o la norma que lo modifique, aclare, adicione o sustituya, se requiere que el titular de la información, como son las mujeres víctimas de violencia intrafamiliar, en los términos del literal a) del artículo 6o de la Ley 1581 de 2012, diligencien el «Formato 11 – Autorización para el tratamiento de datos personales» mediante el cual autoricen de manera previa y expresa el tratamiento de esta información, como requisito para el otorgamiento del criterio de desempate.
3. Preferir la propuesta presentada por el Proponente que acredite en las circunstancias establecidas en la ley que por lo menos el diez por ciento (10 %) de su nómina está en condición de discapacidad, de acuerdo con el artículo 24 de la Ley 361 de 1997 o la norma que lo modifique, aclare, adicione o sustituya, debidamente certificadas por la oficina del Ministerio del Trabajo de la respectiva zona, que hayan sido contratados con por lo menos un (1) año de anterioridad a la fecha de cierre del presente Proceso de Contratación o desde el momento de la constitución de la persona jurídica cuando esta es inferior a un (1) año y que manifieste adicionalmente que mantendrá dicho personal por un lapso igual al término de ejecución del contrato, para lo cual deberá diligenciar el «Formato 10 B – Vinculación de personas en condición de discapacidad». En caso de modificarse la fecha de cierre del proceso, se tendrá como referencia para establecer el plazo de vigencia del certificado la fecha originalmente contemplada en el Pliego de Condiciones definitivo.
Si la oferta es presentada por un Proponente Plural, el integrante que acredite que el diez por ciento (10 %) de su nómina está en condición de discapacidad, en los términos del presente numeral, debe tener una participación de por lo menos el veinticinco por ciento (25 %) en la estructura plural y aportar como mínimo el veinticinco por ciento (25 %) de la experiencia acreditada en la oferta.
El tiempo de vinculación en la planta referida de que trata este numeral se acreditará con el certificado de aportes a seguridad social del último año o del tiempo de su constitución cuando su conformación sea inferior a un (1) año, en el que se demuestren los pagos realizados por el empleador.
4. Preferir la propuesta presentada por el oferente que acredite la vinculación en mayor proporción de personas que no sean beneficiarios de la pensión de vejez, familiar o de sobrevivencia y que hayan cumplido el requisito de edad de pensión establecido en la ley. Para ello la persona natural, el representante legal de la persona jurídica o el revisor fiscal, según corresponda, diligenciará el «Formato 10 C – Vinculación de personas no beneficiarias de la pensión de vejez, familiar o sobrevivencia – (Empleador – Proponente)», mediante la cual certificará bajo la gravedad del juramento las personas vinculadas en su nómina y el número de trabajadores que no son beneficiarios de la pensión de vejez, familiar o de sobrevivencia y que cumplieron el requisito de edad de pensión. Solo se valdrá la vinculación de aquellas personas que se encuentren en las condiciones descritas y que hayan estado vinculadas con una anterioridad igual o mayor a un (1) año contado a partir de la fecha del cierre del Proceso de Contratación. Para los casos de constitución inferior a un (1) año, se tendrá en cuenta a aquellos que hayan estado vinculados desde el momento de la constitución de la persona jurídica. En caso de modificarse la fecha de cierre del proceso, se tendrá como referencia para establecer el plazo de vigencia del certificado la fecha originalmente contemplada en el Pliego de Condiciones definitivo.
El tiempo de vinculación en la planta referida de que trata el inciso anterior se acreditará con el certificado de aportes a la seguridad social del último año o del tiempo de constitución de la persona jurídica en caso de que esta sea inferior a un (1) año, en el que se demuestre los pagos realizados por el empleador.
En el caso de los Proponentes Plurales, su representante legal diligenciará el «Formato 10C – Vinculación de personas no beneficiarias de la pensión de vejez, familiar o sobrevivencia – (Empleador – Proponente)», mediante el cual certifique el número de trabajadores vinculados que son personas no beneficiarias de la pensión de vejez, familiar o de sobrevivencia, y que cumplieron el requisito de edad de pensión establecido en la ley, de todos los integrantes del Proponente. Las personas enunciadas anteriormente podrán estar vinculadas a cualquiera de sus integrantes.
En cualquiera de los dos supuestos anteriores, para el otorgamiento del criterio de desempate, cada uno de los trabajadores que cumpla las condiciones previstas por la ley diligenciará el «Formato 10 C – Vinculación de personas no beneficiarias de la pensión de vejez, familiar o sobrevivencia (Trabajador)», mediante el cual certifica bajo la gravedad del juramento que no es beneficiario de pensión de vejez, familiar o sobrevivencia, y cumple la edad de pensión; además, se deberá allegar el documento de identificación del trabajador que lo firma.
La mayor proporción se definirá en relación con el número total de trabajadores vinculados en la planta de personal, por lo que se preferirá al oferente que acredite un mayor porcentaje. En el caso de Proponentes Plurales, la mayor proporción se definirá con la sumatoria de trabajadores vinculados en la planta de personal de cada uno de sus integrantes.
5. Preferir la propuesta presentada por el oferente que acredite que por lo menos el diez por ciento (10 %) de su nómina pertenece a población indígena, negra, afrocolombiana, raizal, palanquera, Rrom o gitana, para lo cual la persona natural, el representante legal o el revisor fiscal, según corresponda, bajo la gravedad del juramento, diligenciará el «Formato 10D – Vinculación de población indígena, negra, afrocolombiana, raizal, palenquera, Rrom o gitana» mediante el cual certifica las personas vinculadas a su nómina y el número de identificación y el nombre de las personas que pertenecen a la población indígena, negra, afrocolombiana, raizal, palanquera, Rrom o gitana. Solo se tendrá en cuenta aquellas personas que hayan estado vinculadas con una anterioridad igual o mayor a un (1) año contado a partir de la fecha del cierre del proceso. Para los casos de constitución inferior a un (1) año, se valdrá aquellos que hayan estado vinculados desde el momento de la constitución de la persona jurídica. En caso de modificarse la fecha de cierre del proceso, se tendrá como referencia para establecer el plazo de vigencia del certificado la fecha originalmente contemplada en el Pliego de Condiciones definitivo.
El tiempo de vinculación en la planta referida de que trata el inciso anterior se acreditará con el certificado de aportes a seguridad social en el que se demuestren los pagos realizados por el empleador en el último año contado a partir de la fecha del cierre del proceso o del tiempo de su constitución cuando esta es inferior a un (1) año.
Además, deberá aportar la copia de la certificación expedida por el Ministerio del Interior en la cual acredite que los trabajadores pertenecen a la población indígena, negra, afrocolombiana, raizal, palenquera, Rrom o gitana en los términos del Decreto Ley 2893 de 2011, o la norma que lo modifique, sustituya o complemente.
En el caso de los Proponentes Plurales, su representante legal diligenciará el «Formato 10 D – Vinculación de población indígena, negra, afrocolombiana, raizal, palenquera, Rrom o gitana», mediante el cual certifica que por lo menos el diez por ciento (10 %) del total de la nómina de sus integrantes pertenece a población indígena, negra, afrocolombiana, raizal, palanquera, Rrom o gitana. Este porcentaje se definirá de acuerdo con la sumatoria de la nómina de cada uno de los integrantes del Proponente Plural. Las personas enunciadas anteriormente podrán estar vinculadas a cualquiera de sus integrantes. En todo caso, deberá aportar la copia de la certificación expedida por el Ministerio del Interior, en la cual acredite que el trabajador pertenece a la población indígena, negra, afrocolombiana, raizal, palenquera, Rrom o gitana en los términos del Decreto Ley 2893 de 2011, o la norma que lo modifique, sustituya o complemente.
Debido a que para el otorgamiento de este criterio de desempate se entregan certificados que contienen datos sensibles de acuerdo con el artículo 5o de la Ley 1581 de 2012 o la norma que lo modifique, aclare, adicione o sustituya, se requiere que el titular de la información de estos, como son las personas que pertenecen a la población indígena, negra, afrocolombiana, raizal, palenquera, Rrom o gitana, en los términos del literal a) del artículo 6o de la Ley 1581 de 2012, diligencien el «Formato 11- Autorización para el tratamiento de datos personales» mediante el cual autoriza de manera previa y expresa el tratamiento de la información, como requisito para el otorgamiento del criterio de desempate.
6. Preferir la propuesta de personas naturales en proceso de reintegración o reincorporación para lo cual presentará copia de alguno de los siguientes documentos: i) la certificación en las desmovilizaciones colectivas que expida la Oficina del Alto Comisionado para la Paz, ii) el certificado que emita el Comité Operativo para la Dejación de las Armas respecto de las personas desmovilizadas en forma individual, iii) el certificado que emita la Agencia para la Reincorporación y la Normalización que acredite que la persona se encuentra en proceso de reincorporación o reintegración o iv) cualquier otro certificado que para el efecto determine la Ley. Además, se entregará copia del documento de identificación de la persona en proceso de reintegración o reincorporación.
En el caso de las personas jurídicas, el representante legal o el revisor fiscal, si están obligados a tenerlo, diligenciarán el «Formato 10 E- Participación mayoritaria de personas en proceso de reincorporación y/o reintegración (personas jurídicas)», por medio del cual certificarán bajo la gravedad del juramento que más del cincuenta por ciento (50 %) de la composición accionaria o cuotas partes de la persona jurídica está constituida por personas en proceso de reintegración o reincorporación. Además, deberá aportar alguno de los certificados del inciso anterior, junto con los documentos de identificación de cada una de las personas que está en proceso de reincorporación o reintegración.
Tratándose de Proponentes Plurales, se preferirá la oferta cuando todos los integrantes sean personas en proceso de reincorporación, para lo cual se entregará alguno de los certificados del inciso primero de este numeral, y/o personas jurídicas donde más del cincuenta por ciento (50 %) de la composición accionaria o cuotas partes esté constituida por personas en proceso de reincorporación, para lo que el representante legal, o el revisor fiscal, si está obligado a tenerlo, diligenciarán, bajo la gravedad del juramento, el «Formato 10 E - Participación mayoritaria de personas en proceso de reincorporación (personas jurídica integrante del Proponente Plural)», y aportará los documentos de identificación de las personas en proceso de reincorporación.
Debido a que para el otorgamiento de este criterio de desempate se entregan certificados que contienen datos sensibles de acuerdo con el artículo 5o de la Ley 1581 de 2012 o la norma que lo modifique, aclare, adicione o sustituya, se requiere que el titular de la información, como son las personas en proceso de reincorporación o reintegración, en los términos del literal a) del artículo 6o de la Ley 1581 de 2012, diligencien el «Formato 11- Autorización para el tratamiento de datos personales» mediante el cual autoriza de manera previa y expresa el tratamiento de la información, como requisito para el otorgamiento del criterio de desempate.
7. Preferir la oferta presentada por un Proponente Plural siempre que se cumplan las condiciones de los siguientes literales:
(a) Esté conformado por al menos una madre cabeza de familia y/o una persona en proceso de reincorporación o reintegración, para lo cual se acreditarán estas condiciones de acuerdo con lo previsto en el inciso 1 del numeral 2 y/o el inciso 1 del numeral 6, de los criterios de desempate del presente Pliego de Condiciones; o por una persona jurídica en la cual participe o participen mayoritariamente madres cabeza de familia y/o personas en proceso de reincorporación o reintegración, para lo cual el representante legal o el revisor fiscal, si están obligados a tenerlo, diligenciará el «Formato 10 F – Participación mayoritaria de mujeres cabeza de familia y/o personas en proceso de reincorporación o reintegración (personas jurídicas)», mediante el cual certifica, bajo la gravedad del juramento, que más del cincuenta por ciento (50 %) de la composición accionaria o cuota parte de la persona jurídica está constituida por madres cabeza de familia y/o personas en proceso de reincorporación o reintegración. Además, deberá acreditar la condición indicada de las personas que participe en la sociedad que sean mujeres cabeza de familia y/o personas en proceso de reincorporación o reintegración, allegando los documentos de cada uno de ellos, de acuerdo con lo previsto en este literal. Este integrante debe tener una participación de por lo menos el veinticinco por ciento (25 %) en el Proponente Plural.
(b) el integrante del Proponente Plural de que trata el anterior literal debe aportar mínimo el veinticinco por ciento (25 %) de la experiencia acreditada en la oferta.
(c) en relación con el integrante del literal a) ni la madre cabeza de familia o la persona en proceso de reincorporación o reintegración, ni la persona jurídica, ni sus accionistas, socios o representantes legales podrán ser empleados, socios o accionistas de otro de los integrantes del Proponente Plural, para lo cual el integrante persona natural o el representante legal de la persona jurídica de que trata el literal a) lo manifestará diligenciando el «Formato 10 F Participación mayoritaria de mujeres cabeza de familia y/o personas en proceso de reincorporación y/o reintegración».
Debido a que para el otorgamiento de este criterio de desempate se entregan certificados que contienen datos sensibles de acuerdo con el artículo 5o de la Ley 1581 de 2012 o la norma que lo modifique, aclare, adiciona o sustituya, se requiere que el titular de la información, como son las personas en proceso de reincorporación y/o reintegración, en los términos del literal a) del artículo 6o de la Ley 1581 de 2012, diligencien el «Formato 11- Autorización para el tratamiento de datos personales» mediante el cual autoriza de manera previa y expresa el tratamiento de esta información, como requisito para el otorgamiento del criterio de desempate.
8. Preferir la oferta presentada por una Mipyme, lo cual se verificará en los términos del parágrafo del artículo 2.2.1.2.4.2.4 del Decreto 1082 de 2015, en concordancia con el parágrafo del artículo 2.2.1.13.2.4 del Decreto 1074 de 2015. En este sentido, el tamaño empresarial se acreditará con la copia del certificado del Registro Único de Proponentes, el cual deberá encontrarse vigente y en firme al momento de su presentación.
Asimismo, se preferirá la oferta presentada por una cooperativa o asociaciones mutuales para lo cual se aportará el certificado de existencia y representación legal expedido por la cámara de comercio o la autoridad respectiva. En el caso específico en que el empate se presente entre cooperativas o asociaciones mutuales que tengan el tamaño empresarial de grandes empresas junto con micro, pequeñas o medianas, se preferirá la oferta de las cooperativas o asociaciones mutuales que cumplan con los criterios de clasificación empresarial definidos por el Decreto 1074 de 2015 o la norma que lo modifique, aclare, adicione o sustituya, que sean micro, pequeñas o medianas.
Tratándose de Proponentes Plurales, se preferirá la oferta cuando cada uno de los integrantes acredite alguna de las condiciones señaladas en los incisos anteriores de este numeral. En el evento en que se presente empate entre Proponentes Plurales cuyos integrantes estén conformados únicamente por cooperativas y asociaciones mutuales que tengan la calidad de grandes empresas junto con otras en las que los integrantes tengan la condición de micro, pequeñas o medianas, se preferirá la oferta de aquellos Proponentes Plurales en los cuales al menos uno de sus integrantes sea una cooperativa o asociación mutual que cumpla con los criterios de clasificación empresarial definidos por el Decreto 1074 de 2015 o la norma que lo modifique, aclare, adicione o sustituya, que sean micro, pequeñas o medianas.
9. Preferir la oferta presentada por el Proponente Plural constituido en su totalidad por micro y/o pequeñas empresas, cooperativas o asociaciones mutuales.
La condición de micro o pequeña empresa se verificará en los términos del artículo 2.2.1.2.4.2.4 del Decreto 1082 de 2015, en concordancia con el parágrafo del artículo 2.2.1.13.2.4 del Decreto 1074 de 2015, esto es, el tamaño empresarial se acreditará con la copia del certificado del Registro Único de Proponentes, el cual deberá encontrarse vigente y en firme al momento de su presentación.
La condición de cooperativa o asociación mutual se acreditará con el certificado de existencia y representación legal expedido por la cámara de comercio o la autoridad respectiva. En el evento en que el empate se presente entre Proponentes Plurales cuyos integrantes estén conformados únicamente por cooperativas y asociaciones mutuales que tengan la calidad de grandes empresas junto con otras en las que los integrantes tengan la calidad de micro, pequeñas o medianas, se preferirá la oferta de aquellos Proponentes Plurales en los cuales al menos uno de sus integrantes sea una cooperativa o asociación mutual que cumpla con los criterios de clasificación empresarial definidos por el Decreto 1074 de 2015 o la norma que lo modifique, aclare, adicione o sustituya, que sean micro, pequeñas o medianas.
10. Preferir al oferente persona natural o jurídica que acredite, de acuerdo con sus estados financieros o información contable con corte al 31 de diciembre del año anterior, que por lo menos el veinticinco por ciento (25 %) del total de sus pagos fueron realizados a Mipyme, cooperativas o asociaciones mutuales por concepto de proveeduría del oferente, efectuados durante el año anterior, para lo cual el Proponente persona natural y contador público; o el representante legal de la persona jurídica y el revisor fiscal para las personas obligadas por ley; o del representante legal de la persona jurídica y contador público, según corresponda, diligenciará bajo la gravedad del juramento el «Formato 10 G- Pagos realizados a Mipyme, cooperativas o asociaciones mutuales», en el que conste que por lo menos el veinticinco por ciento (25 %) del total de pagos fueron realizados a Mipyme, cooperativas o asociaciones mutuales.
Igualmente, cuando la oferta es presentada por un Proponente Plural se preferirá a este siempre que:
(a) esté conformado por al menos una Mipyme, cooperativa o asociación mutual que tenga una participación de por lo menos el veinticinco por ciento (25 %) en el Proponente Plural, para lo cual se presentará el documento de conformación del Proponente Plural y, además, ese integrante acredite la condición de Mipyme, cooperativa o asociación mutual en los términos del numeral 8;
(b) la Mipyme, cooperativa o asociación mutual aporte mínimo el veinticinco por ciento (25 %) de la experiencia acreditada en la oferta; y
(c) ni la Mipyme, cooperativa o asociación mutual ni sus accionistas, socios o representantes legales sean empleados, socios o accionistas de los integrantes del Proponente Plural, para lo cual el integrante respectivo lo manifestará diligenciando el «Formato 10 H – Acreditación Mipyme», suscrito por la persona natural o el representante legal de la persona jurídica.
En el evento en que el empate se presente entre Proponentes Plurales, que cumplan con los requisitos de los incisos anteriores, cuyos integrantes estén conformados únicamente por cooperativas y asociaciones mutuales que tengan la calidad de grandes empresas junto con otras en las que los integrantes tengan la condición de micro, pequeñas o medianas, se preferirá la oferta de aquellos Proponentes Plurales en los cuáles al menos uno de sus integrantes sea una cooperativa o asociación mutual que cumpla con los criterios de clasificación empresarial definidos por el Decreto 1074 de 2015, que sean micro, pequeñas o medianas.
11. Preferir las empresas reconocidas y establecidas como Sociedad de Beneficio e Interés Colectivo o Sociedad BIC, del segmento Mipyme, para lo cual se presentará el certificado de existencia y representación legal en el que conste el cumplimiento de los requisitos del artículo 2o de la Ley 1901 de 2018, o la norma que la modifique o la sustituya. Asimismo, acreditará la condición de Mipyme en los términos del numeral 8.
Tratándose de Proponentes Plurales, se preferirá la oferta cuando cada uno de los integrantes acredite las condiciones señaladas en el inciso anterior de este numeral.
12. Si después de aplicar los criterios anteriormente mencionados persiste el empate:
(a) La Entidad ordenará a los Proponentes empatados en orden alfabético según el nombre completo de la persona natural, la persona jurídica o el Proponente Plural. En caso de que dos o más proponentes tengan el mismo nombre se colocará primero en el orden a quienes hayan presentado primero en el tiempo sus ofertas. Una vez ordenados, le asignará un número entero a cada uno de estos de forma ascendente, de tal manera que al primero de la lista le corresponda el 1.
(b) Seguidamente, la Entidad debe tomar la parte entera (números a la izquierda de la coma decimal) de la TRM que rigió el día del cierre del proceso. La Entidad debe dividir esta parte entera entre el número total de Proponentes en empate, para posteriormente tomar su residuo y utilizarlo en la selección final.
(c) Realizados estos cálculos, la Entidad seleccionará a aquel Proponente que presente coincidencia entre el número asignado y el residuo encontrado. En caso de que el residuo sea cero (0), se escogerá al Proponente con el mayor número asignado.
Nota 1: Los factores de desempate deberán aplicarse en armonía con los Acuerdos Comerciales vigentes suscritos por Colombia. De esta manera, en el evento en que el empate se presente entre ofertas cubiertas por un Acuerdo Comercial, se aplicarán los factores de desempate que sean compatibles con los mencionados Acuerdos.
Nota 2: Si el empate entre las propuestas se presenta con un Proponente, bien o servicio extranjero cuyo país de origen no tiene Acuerdo Comercial con Colombia, ni trato nacional por reciprocidad o con ocasión de la normativa comunitaria, se dará aplicación a todos los criterios de desempate previstos en el presente numeral.
Nota 3: Conforme con el artículo 18 de la Ley 1712 de 2014 y los artículos 5o y 6o de la Ley 1581 de 2012, la Entidad garantizará el derecho a la reserva legal de toda aquella información que acredita el cumplimiento de los factores de desempate de: i) las mujeres víctimas de violencia intrafamiliar, ii) las personas en proceso de reincorporación y/o reintegración y iii) la población indígena, negra, afrocolombiana, raizal, palenquera, Rrom o gitana.
De acuerdo con lo anterior, en la plataforma del SECOP no se publicará la información relacionada con los factores de desempate de personas en procesos de reincorporación o reintegración o mujeres víctimas de violencia intrafamiliar o la población indígena, negra, afrocolombiana, raizal, palenquera, Rrom o gitana, puesto que su público conocimiento puede afectar el derecho a la intimidad de los oferentes o de sus trabajadores o socios o accionistas.
Nota 4: Para efectos de los factores de desempate dispuestos en este numeral, se entiende por experiencia acreditada en la oferta, la sumatoria de los contratos que demuestren la experiencia general de la actividad principal, expresados en salarios mínimos mensuales legales vigentes (SMMLV).
ARTÍCULO 19. – INCLÚYASE EL NUMERAL 4.6 DE LOS DOCUMENTOS TIPO DE OBRA PÚBLICA DE INFRAESTRUCTURA DE TRANSPORTE ADELANTADOS BAJO LA MODALIDAD DE SELECCIÓN ABREVIADA DE MENOR CUANTÍA. <Resolución 241 de 2020 derogada por el artículo 7 de la Resolución 463 de 2024> Inclúyase el numeral 4.6 -Criterios de desempate de los documentos tipo de obra pública de infraestructura de transporte adelantados bajo la modalidad de selección abreviada de menor cuantía –Versión 2–, expedidos mediante la Resolución 241 de 2020, en los siguientes términos:
“4.6. CRITERIOS DE DESEMPATE
En caso de empate en el puntaje total de dos o más ofertas deberán aplicarse las siguientes reglas de acuerdo con cada uno de los numerales, de forma sucesiva y excluyente, para seleccionar al Proponente favorecido, respetando en todo caso las obligaciones contenidas en los Acuerdos Comerciales vigentes, especialmente en materia de trato nacional:
1. Preferir la oferta de bienes o servicios nacionales frente a la oferta de bienes o servicios extranjeros. El Proponente acreditará este factor de desempate de acuerdo con las reglas definidas en el numeral 4.3.1 y con los documentos señalados en la sección 4.3.1.1 del Pliego de Condiciones. Por tanto, este criterio de desempate se probará con los mismos documentos que se presentan para el puntaje de apoyo a la industria nacional. Para el caso de los Proponentes Plurales, todos los integrantes deberán demostrar el origen nacional de la oferta en las condiciones indicadas en los numerales anteriormente citados.
2. Preferir la propuesta de la mujer cabeza de familia. Su acreditación se realizará en los términos del parágrafo del artículo 2o de la Ley 82 de 1993, modificado por el artículo 1o de la Ley 1232 de 2008, o la norma que lo modifique, aclare, adicione o sustituya, es decir, la condición de mujer cabeza de familia y la cesación de esta se otorgará desde el momento en que ocurra el respectivo evento y se declare ante un notario. Esta certificación debe tener una fecha de expedición no mayor a treinta (30) días calendario anteriores a la fecha del cierre del Proceso de Contratación y en esta deberá verificarse el cumplimiento de los requisitos indicados en el artículo 1o de la Ley 1232 de 2008. En caso de modificarse la fecha de cierre del proceso, se tendrá como referencia para establecer el plazo de vigencia del certificado la fecha originalmente contemplada en el Pliego de Condiciones definitivo.
Igualmente, se preferirá la propuesta de la mujer víctima de violencia intrafamiliar, la cual acreditará esta condición de conformidad con el artículo 21 de la Ley 1257 de 2008 o la norma que lo modifique, aclare, adicione o sustituya, esto es, cuando se profiera una medida de protección expedida por la autoridad competente. En virtud del artículo 16 de la Ley 1257 de 2008 o la norma que lo modifique, aclare, adicione o sustituya, la medida de protección la debe impartir el comisario de familia del lugar donde ocurrieron los hechos y, a falta de este, del juez civil municipal o promiscuo municipal, o la autoridad indígena en los casos de violencia intrafamiliar en las comunidades de esta naturaleza.
En el caso de las personas jurídicas se preferirá a aquellas en las que participen mayoritariamente mujeres cabeza de familia y/o mujeres víctimas de violencia intrafamiliar, para lo cual el representante legal o el revisor fiscal, según corresponda, diligenciará el «Formato 8 A – Participación mayoritaria de mujeres cabeza de familia y/o mujeres víctimas de violencia intrafamiliar (persona jurídica)», mediante el cual acreditará, bajo la gravedad del juramento, que más del cincuenta por ciento (50 %) de la composición accionaria o cuota parte de la persona jurídica está constituida por mujeres cabeza de familia y/o mujeres víctimas de violencia intrafamiliar. Además, deberá probar la condición indicada de cada una de las mujeres que participen en la sociedad, aportando los documentos que avalen el cumplimiento de los requisitos, de acuerdo con los dos incisos anteriores.
Finalmente, en el caso de los Proponentes Plurales, se preferirá la oferta cuando cada uno de los integrantes acredite alguna de las condiciones señaladas en los incisos anteriores de este numeral.
Debido a que para el otorgamiento de este criterio de desempate se entregan certificados que contienen datos sensibles, de acuerdo con el artículo 5o de la Ley 1581 de 2012 o la norma que lo modifique, aclare, adicione o sustituya, se requiere que el titular de la información, como son las mujeres víctimas de violencia intrafamiliar, en los términos del literal a) del artículo 6o de la Ley 1581 de 2012, diligencien el «Formato 11 – Autorización para el tratamiento de datos personales» mediante el cual autoricen de manera previa y expresa el tratamiento de esta información, como requisito para el otorgamiento del criterio de desempate.
3. Preferir la propuesta presentada por el Proponente que acredite en las circunstancias establecidas en la ley que por lo menos el diez por ciento (10 %) de su nómina está en condición de discapacidad, de acuerdo con el artículo 24 de la Ley 361 de 1997 o la norma que lo modifique, aclare, adicione o sustituya, debidamente certificadas por la oficina del Ministerio del Trabajo de la respectiva zona, que hayan sido contratados con por lo menos un (1) año de anterioridad a la fecha de cierre del presente Proceso de Contratación o desde el momento de la constitución de la persona jurídica cuando esta es inferior a un (1) año y que manifieste adicionalmente que mantendrá dicho personal por un lapso igual al término de ejecución del contrato, para lo cual deberá diligenciar el «Formato 8 B – Vinculación de personas en condición de discapacidad». En caso de modificarse la fecha de cierre del proceso, se tendrá como referencia para establecer el plazo de vigencia del certificado la fecha originalmente contemplada en el Pliego de Condiciones definitivo.
Si la oferta es presentada por un Proponente Plural, el integrante que acredite que el diez por ciento (10 %) de su nómina está en condición de discapacidad, en los términos del presente numeral, debe tener una participación de por lo menos el veinticinco por ciento (25 %) en la estructura plural y aportar como mínimo el veinticinco por ciento (25 %) de la experiencia acreditada en la oferta.
El tiempo de vinculación en la planta referida de que trata este numeral se acreditará con el certificado de aportes a seguridad social del último año o del tiempo de su constitución cuando su conformación sea inferior a un (1) año, en el que se demuestren los pagos realizados por el empleador.
4. Preferir la propuesta presentada por el oferente que acredite la vinculación en mayor proporción de personas que no sean beneficiarios de la pensión de vejez, familiar o de sobrevivencia y que hayan cumplido el requisito de edad de pensión establecido en la ley. Para ello la persona natural, el representante legal de la persona jurídica o el revisor fiscal, según corresponda, diligenciará el «Formato 8 C – Vinculación de personas no beneficiarias de la pensión de vejez, familiar o sobrevivencia – (Empleador – Proponente)», mediante la cual certificará bajo la gravedad de juramento las personas vinculadas en su nómina y el número de trabajadores que no son beneficiarios de la pensión de vejez, familiar o de sobrevivencia y que cumplieron el requisito de edad de pensión. Solo se valdrá la vinculación de aquellas personas que se encuentren en las condiciones descritas y que hayan estado vinculadas con una anterioridad igual o mayor a un (1) año contado a partir de la fecha del cierre del Proceso de Contratación. Para los casos de constitución inferior a un (1) año, se tendrá en cuenta a aquellos que hayan estado vinculados desde el momento de la constitución de la persona jurídica. En caso de modificarse la fecha de cierre del proceso, se tendrá como referencia para establecer el plazo de vigencia del certificado la fecha originalmente contemplada en el Pliego de Condiciones definitivo.
El tiempo de vinculación en la planta referida de que trata el inciso anterior se acreditará con el certificado de aportes a la seguridad social del último año o del tiempo de constitución de la persona jurídica en caso de que esta sea inferior a un (1) año, en el que se demuestren los pagos realizados por el empleador.
En el caso de los Proponentes Plurales, su representante legal diligenciará el «Formato 8 C – Vinculación de personas no beneficiarias de la pensión de vejez, familiar o sobrevivencia – (Empleador – Proponente)», mediante el cual certifique el número de trabajadores vinculados que son personas no beneficiarias de la pensión de vejez, familiar o de sobrevivencia, y que cumplieron el requisito de edad de pensión establecido en la ley, de todos los integrantes del Proponente. Las personas enunciadas anteriormente podrán estar vinculadas a cualquiera de sus integrantes.
En cualquiera de los dos supuestos anteriores, para el otorgamiento del criterio de desempate, cada uno de los trabajadores que cumpla las condiciones previstas por la ley diligenciará el «Formato 8 C – Vinculación de personas no beneficiarias de la pensión de vejez, familiar o sobrevivencia (Trabajador)», mediante el cual certifica bajo la gravedad del juramento que no es beneficiario de pensión de vejez, familiar o sobrevivencia, y cumple la edad de pensión; además, se deberá allegar el documento de identificación del trabajador que lo firma.
La mayor proporción se definirá en relación con el número total de trabajadores vinculados en la planta de personal, por lo que se preferirá al oferente que acredite un mayor porcentaje. En el caso de Proponentes Plurales, la mayor proporción se definirá con la sumatoria de trabajadores vinculados en la planta de personal de cada uno de sus integrantes.
5. Preferir la propuesta presentada por el oferente que acredite, que por lo menos el diez por ciento (10 %) de su nómina pertenece a población indígena, negra, afrocolombiana, raizal, palanquera, Rrom o gitana, para lo cual, la persona natural, el representante legal o el revisor fiscal, según corresponda, bajo la gravedad de juramento, diligenciará el «Formato 8 D – Vinculación de población indígena, negra, afrocolombiana, raizal, palenquera, Rrom o gitanas» mediante el cual certifica las personas vinculadas a su nómina y el número de identificación y el nombre de las personas que pertenecen a la población indígena, negra, afrocolombiana, raizal, palanquera, Rrom o gitana. Solo se tendrá en cuenta aquellas personas que hayan estado vinculadas con una anterioridad igual o mayor a un (1) año contado a partir de la fecha del cierre del proceso. Para los casos de constitución inferior a un (1) año, se valdrá aquellos que hayan estado vinculados desde el momento de constitución de la persona jurídica. En caso de modificarse la fecha de cierre del proceso, se tendrá como referencia para establecer el plazo de vigencia del certificado la fecha originalmente contemplada en el Pliego de Condiciones definitivo.
El tiempo de vinculación en la planta referida de que trata el inciso anterior se acreditará con el certificado de aportes a la seguridad social en el que se demuestren los pagos realizados por el empleador en el último año contado a partir de la fecha del cierre del proceso o del tiempo de su constitución cuando esta es inferior a un (1) año.
Además, deberá aportar la copia de la certificación expedida por el Ministerio del Interior en la cual acredite que los trabajadores pertenecen a la población indígena, negra, afrocolombiana, raizal, palenquera, Rrom o gitana en los términos del Decreto Ley 2893 de 2011, o la norma que lo modifique, sustituya o complemente.
En el caso de los Proponentes Plurales, su representante legal diligenciará el «Formato 8 D – Vinculación de población indígena, negra, afrocolombiana, raizal, palenquera, Rrom o gitana», mediante el cual certifica que por lo menos el diez por ciento (10 %) del total de la nómina de sus integrantes pertenece a población indígena, negra, afrocolombiana, raizal, palanquera, Rrom o gitana. Este porcentaje se definirá de acuerdo con la sumatoria de la nómina de cada uno de los integrantes del Proponente Plural. Las personas enunciadas anteriormente podrán estar vinculadas a cualquiera de sus integrantes. En todo caso, deberá aportar la copia de la certificación expedida por el Ministerio del Interior, en la cual acredite que el trabajador pertenece a la población indígena, negra, afrocolombiana, raizal, palenquera, Rrom o gitana en los términos del Decreto Ley 2893 de 2011, o la norma que lo modifique, sustituya o complemente.
Debido a que para el otorgamiento de este criterio de desempate se entregan certificados que contienen datos sensibles, de acuerdo con el artículo 5o de la Ley 1581 de 2012 o la norma que lo modifique, aclare, adicione o sustituya, se requiere que el titular de la información de estos, como son las personas que pertenecen a la población indígena, negra, afrocolombiana, raizal, palenquera, Rrom o gitana, en los términos del literal a) del artículo 6o de la Ley 1581 de 2012, diligencien el «Formato 11- Autorización para el tratamiento de datos personales» mediante el cual autoriza de manera previa y expresa el tratamiento de la información, como requisito para el otorgamiento del criterio de desempate.
6. Preferir la propuesta de personas naturales en proceso de reintegración o reincorporación para lo cual presentará copia de alguno de los siguientes documentos: i) la certificación en las desmovilizaciones colectivas que expida la Oficina del Alto Comisionado para la Paz, ii) el certificado que emita el Comité Operativo para la Dejación de las Armas respecto de las personas desmovilizadas en forma individual, iii) el certificado que emita la Agencia para la Reincorporación y la Normalización que acredite que la persona se encuentra en proceso de reincorporación o reintegración o iv) cualquier otro certificado que para el efecto determine la Ley. Además, se entregará copia del documento de identificación de la persona en proceso de reintegración o reincorporación.
En el caso de las personas jurídicas, el representante legal o el revisor fiscal, si están obligados a tenerlo, diligenciarán el «Formato 8 E- Participación mayoritaria de personas en proceso de reincorporación y/o reintegración (personas jurídicas)», por medio del cual certificarán bajo la gravedad del juramento que más del cincuenta por ciento (50 %) de la composición accionaria o cuotas partes de la persona jurídica está constituida por personas en proceso de reintegración o reincorporación. Además, deberá aportar alguno de los certificados del inciso anterior, junto con los documentos de identificación de cada una de las personas que está en proceso de reincorporación o reintegración.
Tratándose de Proponentes Plurales, se preferirá la oferta cuando todos los integrantes sean personas en proceso de reincorporación, para lo cual se entregará alguno de los certificados del inciso primero de este numeral, y/o personas jurídicas donde más del cincuenta por ciento (50 %) de la composición accionaria o cuotas partes esté constituida por personas en proceso de reincorporación, para lo que el representante legal, o el revisor fiscal, si está obligado a tenerlo, diligenciarán, bajo la gravedad del juramento, el «Formato 8 E – Participación mayoritaria de personas en proceso de reincorporación (personas jurídica integrante del Proponente Plural)», y aportará los documentos de identificación de las personas en proceso de reincorporación.
Debido a que para el otorgamiento de este criterio de desempate se entregan certificados que contienen datos sensibles, de acuerdo con el artículo 5o de la Ley 1581 de 2012 o la norma que lo modifique, aclare, adicione o sustituya, se requiere que el titular de la información, como son las personas en proceso de reincorporación o reintegración, en los términos del literal a) del artículo 6o de la Ley 1581 de 2012, diligencien el «Formato 11- Autorización para el tratamiento de datos personales» mediante el cual autoriza de manera previa y expresa el tratamiento de la información, como requisito para el otorgamiento del criterio de desempate.
7. Preferir la oferta presentada por un Proponente Plural siempre que se cumplan las condiciones de los siguientes literales:
(a) Esté conformado por al menos una madre cabeza de familia y/o una persona en proceso de reincorporación o reintegración, para lo cual se acreditarán estas condiciones de acuerdo con lo previsto en el inciso 1 del numeral 2 y/o el inciso 1 del numeral 6, de los criterios de desempate del presente Pliego de Condiciones; o por una persona jurídica en la cual participe o participen mayoritariamente madres cabeza de familia y/o personas en proceso de reincorporación o reintegración, para lo cual el representante legal o el revisor fiscal, si están obligados a tenerlo, diligenciará el «Formato 8 F – Participación mayoritaria de mujeres cabeza de familia y/o personas en proceso de reincorporación o reintegración (personas jurídicas)», mediante el cual certifica, bajo la gravedad del juramento, que más del cincuenta por ciento (50 %) de la composición accionaria o cuota parte de la persona jurídica está constituida por madres cabeza de familia y/o personas en proceso de reincorporación o reintegración. Además, deberá acreditar la condición indicada de las personas que participe en la sociedad que sean mujeres cabeza de familia y/o personas en proceso de reincorporación o reintegración, allegando los documentos de cada uno de ellos, de acuerdo con lo previsto en este literal. Este integrante debe tener una participación de por lo menos el veinticinco por ciento (25 %) en el Proponente Plural.
(b) el integrante del Proponente Plural de que trata el anterior literal debe aportar mínimo el veinticinco por ciento (25 %) de la experiencia acreditada en la oferta.
(c) en relación con el integrante del literal a) ni la madre cabeza de familia o la persona en proceso de reincorporación o reintegración, ni la persona jurídica, ni sus accionistas, socios o representantes legales podrán ser empleados, socios o accionistas de otro de los integrantes del Proponente Plural, para lo cual el integrante persona natural o el representante legal de la persona jurídica de que trata el literal a) lo manifestará diligenciando el «Formato 8 F Participación mayoritaria de mujeres cabeza de familia y/o personas en proceso de reincorporación y/o reintegración».
Debido a que para el otorgamiento de este criterio de desempate se entregan certificados que contienen datos sensibles, de acuerdo con el artículo 5o de la Ley 1581 de 2012 o la norma que lo modifique, aclare, adiciona o sustituya, se requiere que el titular de la información, como son las personas en proceso de reincorporación y/o reintegración, en los términos del literal a) del artículo 6o de la Ley 1581 de 2012, diligencien el «Formato 11- Autorización para el tratamiento de datos personales» mediante el cual autoriza de manera previa y expresa el tratamiento de esta información, como requisito para el otorgamiento del criterio de desempate.
8. Preferir la oferta presentada por una Mipyme, lo cual se verificará en los términos del parágrafo del artículo 2.2.1.2.4.2.4 del Decreto 1082 de 2015, en concordancia con el parágrafo del artículo 2.2.1.13.2.4 del Decreto 1074 de 2015. En este sentido, el tamaño empresarial se acreditará con la copia del certificado del Registro Único de Proponentes, el cual deberá encontrarse vigente y en firme al momento de su presentación.
Asimismo, se preferirá la oferta presentada por una cooperativa o asociaciones mutuales para lo cual se aportará el certificado de existencia y representación legal expedido por la cámara de comercio o la autoridad respectiva. En el caso específico en que el empate se presente entre cooperativas o asociaciones mutuales que tengan el tamaño empresarial de grandes empresas junto con micro, pequeñas o medianas, se preferirá la oferta de las cooperativas o asociaciones mutuales que cumplan con los criterios de clasificación empresarial definidos por el Decreto 1074 de 2015 o la norma que lo modifique, aclare, adicione o sustituya, que sean micro, pequeñas o medianas.
Tratándose de Proponentes Plurales, se preferirá la oferta cuando cada uno de los integrantes acredite alguna de las condiciones señaladas en los incisos anteriores de este numeral. En el evento en que se presente empate entre Proponentes Plurales cuyos integrantes estén conformados únicamente por cooperativas y asociaciones mutuales que tengan la calidad de grandes empresas junto con otras en las que los integrantes tengan la condición de micro, pequeñas o medianas, se preferirá la oferta de aquellos Proponentes Plurales en los cuales al menos uno de sus integrantes sea una cooperativa o asociación mutual que cumpla con los criterios de clasificación empresarial definidos por el Decreto 1074 de 2015 o la norma que lo modifique, aclare, adicione o sustituya, que sean micro, pequeñas o medianas.
9. Preferir la oferta presentada por el Proponente Plural constituido en su totalidad por micro y/o pequeñas empresas, cooperativas o asociaciones mutuales.
La condición de micro o pequeña empresa se verificará en los términos del artículo 2.2.1.2.4.2.4 del Decreto 1082 de 2015, en concordancia con el parágrafo del artículo 2.2.1.13.2.4 del Decreto 1074 de 2015, esto es, el tamaño empresarial se acreditará con la copia del certificado del Registro Único de Proponentes, el cual deberá encontrarse vigente y en firme al momento de su presentación.
La condición de cooperativa o asociación mutual se acreditará con el certificado de existencia y representación legal expedido por la cámara de comercio o la autoridad respectiva. En el evento en que el empate se presente entre Proponentes Plurales cuyos integrantes estén conformados únicamente por cooperativas y asociaciones mutuales que tengan la calidad de grandes empresas junto con otras en las que los integrantes tengan la calidad de micro, pequeñas o medianas, se preferirá la oferta de aquellos Proponentes Plurales en los cuales al menos uno de sus integrantes sea una cooperativa o asociación mutual que cumpla con los criterios de clasificación empresarial definidos por el Decreto 1074 de 2015 o la norma que lo modifique, aclare, adicione o sustituya, que sean micro, pequeñas o medianas.
10. Preferir al oferente persona natural o jurídica que acredite, de acuerdo con sus estados financieros o información contable con corte al 31 de diciembre del año anterior, que por lo menos el veinticinco por ciento (25 %) del total de sus pagos fueron realizados a Mipyme, cooperativas o asociaciones mutuales por concepto de proveeduría del oferente, efectuados durante el año anterior, para lo cual el Proponente persona natural y contador público; o el representante legal de la persona jurídica y el revisor fiscal para las personas obligadas por ley; o del representante legal de la persona jurídica y contador público, según corresponda, diligenciará bajo la gravedad de juramento el «Formato 8 G-Pagos realizados a Mipyme, cooperativas o asociaciones mutuales», en el que conste que por lo menos el veinticinco por ciento (25%) del total de pagos fueron realizados a Mipyme, cooperativas o asociaciones mutuales.
Igualmente, cuando la oferta es presentada por un Proponente Plural se preferirá a este siempre que:
(a) esté conformado por al menos una Mipyme, cooperativa o asociación mutual que tenga una participación de por lo menos el veinticinco por ciento (25 %) en el Proponente Plural, para lo cual se presentará el documento de conformación del Proponente Plural y, además, ese integrante acredite la condición de Mipyme, cooperativa o asociación mutual en los términos del numeral 8;
(b) la Mipyme, cooperativa o asociación mutual aporte mínimo el veinticinco por ciento (25 %) de la experiencia acreditada en la oferta; y
(c) ni la Mipyme, cooperativa o asociación mutual ni sus accionistas, socios o representantes legales sean empleados, socios o accionistas de los integrantes del Proponente Plural, para lo cual el integrante respectivo lo manifestará diligenciando el «Formato 8 H – Acreditación Mipyme», suscrito por la persona natural o el representante legal de la persona jurídica.
En el evento en que el empate se presente entre Proponentes Plurales, que cumplan con los requisitos de los incisos anteriores, cuyos integrantes estén conformados únicamente por cooperativas y asociaciones mutuales que tengan la calidad de grandes empresas junto con otras en las que los integrantes tengan la condición de micro, pequeñas o medianas, se preferirá la oferta de aquellos Proponentes Plurales en los cuáles al menos uno de sus integrantes sea una cooperativa o asociación mutual que cumpla con los criterios de clasificación empresarial definidos por el Decreto 1074 de 2015, que sean micro, pequeñas o medianas.
11. Preferir las empresas reconocidas y establecidas como Sociedad de Beneficio e Interés Colectivo o Sociedad BIC, del segmento Mipyme, para lo cual se presentará el certificado de existencia y representación legal en el que conste el cumplimiento de los requisitos del artículo 2o de la Ley 1901 de 2018, o la norma que la modifique o la sustituya. Asimismo, acreditará la condición de Mipyme en los términos del numeral 8.
Tratándose de Proponentes Plurales, se preferirá la oferta cuando cada uno de los integrantes acredite las condiciones señaladas en el inciso anterior de este numeral.
12. Si después de aplicar los criterios anteriormente mencionados persiste el empate:
(a) La Entidad ordenará a los Proponentes empatados en orden alfabético según el nombre completo de la persona natural, la persona jurídica o el Proponente Plural. En caso de que dos o más proponentes tengan el mismo nombre se colocará primero en el orden a quienes hayan presentado primero en el tiempo sus ofertas. Una vez ordenados, le asignará un número entero a cada uno de estos de forma ascendente, de tal manera que al primero de la lista le corresponda el 1.
(b) Seguidamente, la Entidad debe tomar la parte entera (números a la izquierda de la coma decimal) de la TRM que rigió el día del cierre del proceso. La Entidad debe dividir esta parte entera entre el número total de Proponentes en empate, para posteriormente tomar su residuo y utilizarlo en la selección final.
(c) Realizados estos cálculos, la Entidad seleccionará a aquel Proponente que presente coincidencia entre el número asignado y el residuo encontrado. En caso de que el residuo sea cero (0), se escogerá al Proponente con el mayor número asignado.
Nota 1: Los factores de desempate deberán aplicarse en armonía con los Acuerdos Comerciales vigentes suscritos por Colombia. De esta manera, en el evento en que el empate se presente entre ofertas cubiertas por un Acuerdo Comercial, se aplicarán los factores de desempate que sean compatibles con los mencionados Acuerdos.
Nota 2: Si el empate entre las propuestas se presenta con un Proponente, bien o servicio extranjero cuyo país de origen no tiene Acuerdo Comercial con Colombia, ni trato nacional por reciprocidad o con ocasión de la normativa comunitaria, se dará aplicación a todos los criterios de desempate previstos en el presente numeral.
Nota 3: Conforme con el artículo 18 de la Ley 1712 de 2014 y los artículos 5o y 6o de la Ley 1581 de 2012, la Entidad garantizará el derecho a la reserva legal de toda aquella información que acredita el cumplimiento de los factores de desempate de: i) las mujeres víctimas de violencia intrafamiliar, ii) las personas en proceso de reincorporación y/o reintegración y iii) la población indígena, negra, afrocolombiana, raizal, palenquera, Rrom o gitana.
De acuerdo con lo anterior, en la plataforma del SECOP no se publicará la información relacionada con los factores de desempate de personas en procesos de reincorporación o reintegración o mujeres víctimas de violencia intrafamiliar o la población indígena, negra, afrocolombiana, raizal, palenquera, Rrom o gitana, puesto que su público conocimiento puede afectar el derecho a la intimidad de los oferentes o de sus trabajadores o socios o accionistas.
Nota 4: Para efectos de los factores de desempate dispuestos en este numeral, se entiende por experiencia acreditada en la oferta, la sumatoria de los contratos que demuestren la experiencia general de la actividad principal, expresados en salarios mínimos mensuales legales vigentes (SMMLV).”
ARTÍCULO 20. – MODIFÍQUESE LA CLÁUSULA 9 OBLIGACIONES GENERALES DEL CONTRATISTA DE LOS DOCUMENTOS TIPO DE OBRA DE INFRAESTRUCTURA DE TRANSPORTE ADELANTADOS BAJO LA MODALIDAD DE LICITACIÓN PÚBLICA. <Resolución 240 de 2020 derogada por el artículo 8 de la Resolución 465 de 2024> Modifíquese parcialmente la cláusula 9 – Obligaciones Generales del Contratista del Anexo 5 – Minuta del Contrato de los documentos tipo de obra pública de infraestructura de transporte adelantados bajo la modalidad de licitación pública –Versión 3–, adoptados mediante la Resolución 240 de 2020. Dicha cláusula quedará así:
“9. OBLIGACIONES GENERALES DEL CONTRATISTA
Además de las derivadas de la esencia y la naturaleza del contrato, la ley, las obligaciones y condiciones señaladas en el Pliego de Condiciones y demás Documentos del Proceso y de las establecidas en [documento adicional aplicable al Proceso de Contratación], vigente durante la ejecución del contrato, el Contratista se obliga a:
1. Destinar a la ejecución del contrato mano de obra no calificada de la región en un porcentaje no inferior [la Entidad establecerá el porcentaje mínimo dentro del rango del diez por ciento (10%) al treinta por ciento (30%), sin perjuicio de que el contratista incorpore un porcentaje superior al definido por la Entidad] de acuerdo con el personal del contratista de obra destinado a la ejecución del contrato. En todo caso, [el cinco por ciento (5 %), sin perjuicio de establecer un porcentaje superior, de acuerdo con el estudio del sector y características propias de la región, que no podrá superar el treinta por ciento (30 %)] de la mano de obra no calificada de la región serán mujeres.
Para efectos de esta obligación, se entiende por personal de la región a aquellos domiciliados por al menos el último año, contado a partir de la fecha del cierre del proceso, en el municipio o los municipios donde se ejecutará el contrato. En caso de modificarse la fecha de cierre del proceso, se tendrá como referencia la fecha originalmente contemplada en el Pliego de Condiciones definitivo.
Cuando las condiciones demográficas del lugar en donde se ejecutará el contrato imposibiliten vincular el porcentaje anteriormente previsto, será posible contratar personal del departamento en donde se desarrolla el contrato.
Esta obligación no se entenderá incumplida en los supuestos en que el Contratista acredite su debida diligencia, mediante la realización de actuaciones dirigidas a lograr la destinación mínima del personal requerido para la ejecución del contrato.
2. [Previo análisis de oportunidad y conveniencia que se plasmará en los Documentos del Proceso, la Entidad Estatal incluirá la siguiente obligación]. Destinar a la ejecución del contrato, en un porcentaje del [la Entidad establecerá el porcentaje mínimo dentro del rango de cinco por ciento (5 %) al diez por ciento (10%) sin perjuicio de que el contratista incorpore un porcentaje superior al definido por la Entidad], la provisión de bienes o servicios por parte de alguno o algunos de los siguientes sujetos de especial protección constitucional: población en pobreza extrema, desplazados por la violencia, personas en proceso de reintegración o reincorporación, víctimas de conflicto armado interno, mujeres cabeza de hogar, adultos mayores, personas en condición de discapacidad, así como la población de las comunidades indígena, negra, afrocolombiana, raizal, palanquera, Rrom o gitana, entre otros sujetos identificados por la Ley o la jurisprudencia de esta manera.
El porcentaje de sujetos mencionados incorporados a la ejecución del contrato deberá mantenerse durante toda su vigencia en el porcentaje mínimo establecido en este numeral, so pena del incumplimiento contractual.
El Interventor hará el seguimiento y verificará que las personas vinculadas al inicio y durante la ejecución del contrato pertenezcan a los grupos poblacionales enunciados anteriormente. Para estos efectos, el contratista presentará la documentación respectiva que acredite la condición de los sujetos mencionados y la forma en la que participarán durante la ejecución del contrato. El cumplimiento de esta obligación deberá probarse ante al Interventor dentro de los [incluir el número de días] días siguientes contados a partir de [punto de inicio].
Para la acreditación de la condición de mujer cabeza de familia, personas en condición de discapacidad, adultos mayores, población de las comunidades indígena, negra, afrocolombiana, raizal, palanquera, Rrom o gitana, personas en proceso de reintegración o reincorporación, se aplicará en lo pertinente lo dispuesto en el artículo 2.2.1.2.4.2.17 del Decreto 1082 de 2015 o la norma que lo modifique, complemente o sustituya. Por su parte, la condición de población en pobreza extrema se constatará en las bases de datos del Sistema de Identificación de Potenciales Beneficiarios de Programas Sociales (Sisbén IV) y la condición de víctima de conflicto armado y de desplazados por la violencia deberá demostrarse con el certificado de inclusión en el Registro Único de Víctimas – RUV, en los términos del Decreto 1084 de 2015 o la norma que lo modifique, complemente o sustituya.
La condición de los sujetos de especial protección constitucional que no se encuentre definida en esta cláusula deberá ser acreditada por el contratista de conformidad con lo determinado por la ley y la jurisprudencia en ausencia de norma aplicable.
[La Entidad podrá seleccionar algunas de las siguientes opciones de obligaciones, combinarlas, eliminarlas o incluir las que considere convenientes, ajustando la numeración respectiva:]
[…]”
ARTÍCULO 21. – MODIFÍQUESE LA CLÁUSULA 9 OBLIGACIONES GENERALES DEL CONTRATISTA DE LOS DOCUMENTOS TIPO DE OBRA DE INFRAESTRUCTURA DE TRANSPORTE ADELANTADOS BAJO LA MODALIDAD DE SELECCIÓN ABREVIADA DE MENOR CUANTÍA. <Resolución 241 de 2020 derogada por el artículo 7 de la Resolución 463 de 2024> Modifíquese parcialmente la cláusula 9 – Obligaciones Generales del Contratista del Anexo 5 – Minuta del Contrato de los documentos tipo de obra pública de infraestructura de transporte adelantados bajo la modalidad de selección abreviada de menor cuantía –Versión 2–, adoptados mediante la Resolución 241 de 2020. Dicha cláusula quedará así:
“9. OBLIGACIONES GENERALES DEL CONTRATISTA
Además de las derivadas de la esencia y la naturaleza del contrato, la ley, las obligaciones y condiciones señaladas en el Pliego de Condiciones y demás Documentos del Proceso y de las establecidas en [documento adicional aplicable al Proceso de Contratación], vigente durante la ejecución del contrato, el Contratista se obliga a:
1.Destinar a la ejecución del contrato mano de obra no calificada de la región en un porcentaje no inferior [la Entidad establecerá el porcentaje mínimo dentro del rango del diez por ciento (10%) al treinta por ciento (30%), sin perjuicio de que el contratista incorpore un porcentaje superior al definido por la Entidad] de acuerdo con el personal del contratista de obra destinado a la ejecución del contrato. En todo caso, [el cinco por ciento (5%), sin perjuicio de establecer un porcentaje superior, de acuerdo con el estudio del sector y características propias de la región, que no podrá superar el treinta por ciento (30%)] de la mano de obra no calificada de la región serán mujeres.
Para efectos de esta obligación, se entiende por personal de la región a aquellos domiciliados por al menos el último año, contado a partir de la fecha del cierre del proceso, en el municipio o los municipios donde se ejecutará el contrato. En caso de modificarse la fecha de cierre del proceso, se tendrá como referencia la fecha originalmente contemplada en el Pliego de Condiciones definitivo.
Cuando las condiciones demográficas del lugar en donde se ejecutará el contrato imposibiliten vincular el porcentaje anteriormente previsto, será posible contratar personal del departamento en donde se desarrolla el contrato.
Esta obligación no se entenderá incumplida en los supuestos en que el Contratista acredite su debida diligencia, mediante la realización de actuaciones dirigidas a lograr la destinación mínima del personal para la ejecución del contrato.
2. [Previo análisis de oportunidad y conveniencia que se plasmará en los Documentos del Proceso, la Entidad Estatal incluirá la siguiente obligación]. Destinar a la ejecución del contrato, en un porcentaje del [la Entidad establecerá el porcentaje mínimo dentro del rango de cinco por ciento (5%) al diez por ciento (10%) sin perjuicio de que el contratista incorpore un porcentaje superior al definido por la Entidad], la provisión de bienes o servicios por parte de alguno o algunos de los siguientes sujetos de especial protección constitucional: población en pobreza extrema, desplazados por la violencia, personas en proceso de reintegración o reincorporación, víctimas de conflicto armado interno, mujeres cabeza de hogar, adultos mayores, personas en condición de discapacidad, así como la población de las comunidades indígena, negra, afrocolombiana, raizal, palanquera, Rrom o gitana, entre otros sujetos identificados por la Ley o la jurisprudencia de esta manera.
El porcentaje de sujetos mencionados incorporados a la ejecución del contrato deberá mantenerse durante toda su vigencia en el porcentaje mínimo establecido en este numeral, so pena del incumplimiento contractual.
El supervisor o Interventor hará el seguimiento y verificará que las personas vinculadas al inicio y durante la ejecución del contrato pertenezcan a los grupos poblacionales enunciados anteriormente. Para estos efectos, el contratista presentará la documentación respectiva que acredite la condición de los sujetos mencionados y la forma en la que participarán durante la ejecución del contrato. El cumplimiento de esta obligación deberá probarse ante al supervisor o el Interventor dentro de los [incluir el número de días] días siguientes contados a partir de [punto de inicio].
Para la acreditación de la condición de mujer cabeza de familia, personas en condición de discapacidad, adultos mayores, población de las comunidades indígena, negra, afrocolombiana, raizal, palanquera, Rrom o gitana, personas en proceso de reintegración o reincorporación, se aplicará en lo pertinente lo dispuesto en el artículo 2.2.1.2.4.2.17 del Decreto 1082 de 2015 o la norma que lo modifique, complemente o sustituya. Por su parte, la condición de población en pobreza extrema se constatará en las bases de datos del Sistema de Identificación de Potenciales Beneficiarios de Programas Sociales (Sisbén IV) y la condición de víctima de conflicto armado y de desplazados por la violencia deberá demostrarse con el certificado de inclusión en el Registro Único de Víctimas – RUV, en los términos del Decreto 1084 de 2015 o la norma que lo modifique, complemente o sustituya.
La condición de los sujetos de especial protección constitucional que no se encuentre definida en esta cláusula deberá ser acreditada por el contratista de conformidad con lo determinado por la ley y la jurisprudencia en ausencia de norma aplicable.
[La Entidad podrá seleccionar algunas de las siguientes opciones de obligaciones, combinarlas, eliminarlas o incluir las que considere convenientes, ajustando la numeración respectiva:]
[…]”
ARTÍCULO 22. – MODIFÍQUESE LA CLÁUSULA 15 MULTAS DE LOS DOCUMENTOS TIPO DE OBRA DE INFRAESTRUCTURA DE TRANSPORTE ADELANTADOS BAJO LA MODALIDAD DE LICITACIÓN PÚBLICA Y SELECCIÓN ABREVIADA DE MENOR CUANTÍA. <Resolución 240 de 2020 derogada por el artículo 8 de la Resolución 465 de 2024> <Resolución 241 de 2020 derogada por el artículo 7 de la Resolución 463 de 2024> Modifíquese parcialmente la cláusula 15 – Multas del Anexo 5 – Minuta del Contrato de los documentos tipo de obra pública de infraestructura de transporte adelantados bajo la modalidad de licitación pública –Versión 3–, adoptados mediante la Resolución 240 de 2020 y de los documentos tipo de obra pública de infraestructura desarrollados bajo la modalidad de selección abreviada de menor cuantía – Versión 2– acogidos a través de la Resolución 241 de 2020. Estas modificaciones corresponden a las obligaciones 1 y 2 de la cláusula novena en los siguientes términos:
“CLÁUSULA 15. MULTAS
[…]
1. Incumplir la obligación de destinar mínimamente el [la Entidad establecerá el porcentaje mínimo definido en el numeral 1 de la Cláusula 9 del presente contrato] de mano de obra no calificada de la región causará multas equivalentes a [_____ SMMLV ó % del contrato] por cada día de incumplimiento. Por su parte, no cumplir con el porcentaje mínimo de vinculación de mujeres durante la ejecución del contrato, de conformidad con la misma obligación indicada, causará multas equivalentes al [1% del valor total del contrato].
2. [La Entidad Estatal incluirá esta multa si del análisis de conveniencia y oportunidad decide incluir la obligación relacionada con la provisión de bienes y servicios por parte de sujetos de especial protección constitucional] 1. Incumplir la obligación de destinar mínimamente el [la Entidad establecerá el porcentaje mínimo definido en el numeral 2 de la Cláusula 9 del presente contrato] de la provisión de bienes o servicios por parte de alguno o alguno de siguientes sujetos: población en pobreza extrema, desplazados por la violencia, personas en proceso de reintegración o reincorporación y sujetos de especial protección constitucional mencionados en el numeral 2 de la Cláusula 9 del presente contrato”, causará multas equivalentes a [______ SMMLV] por cada día de incumplimiento. La imposición de esta multa no procederá en aquellos casos en que dicha obligación se hace imposible de cumplir o de ejecutar por causas no imputables al contratista, que deberá probarse debidamente a la Entidad Estatal.
[….]
ARTÍCULO 23. – MODIFÍQUESE EL NUMERAL 2.9 DE LOS DOCUMENTOS TIPO DE OBRA PÚBLICA DE INFRAESTRUCTURA DE TRANSPORTE ADELANTADOS BAJO LA MODALIDAD DE LICITACIÓN PÚBLICA. <Resolución 240 de 2020 derogada por el artículo 8 de la Resolución 465 de 2024> Modifíquese el numeral 2.9 –Limitación a Mipyme de los documentos tipo de obra pública de infraestructura de transporte adelantados bajo la modalidad de licitación pública –Versión 3, adoptados mediante la Resolución 240 de 2020, en los siguientes términos:
“2.9 LIMITACIÓN A MIPYME
[En caso de que el proceso no sea susceptible de limitarse a Mipyme, la Entidad señalará lo siguiente en este numeral: el presente procedimiento de selección no es susceptible de limitarse a Mipyme.
En caso de que el proceso sea susceptible de limitarse a Mipyme, una vez cumplidos los requisitos del artículo 2.2.1.2.4.2.2. del Decreto 1082 de 2015, o la norma que lo modifique, complemente o sustituya, se seguirán las siguientes instrucciones:]
[La Entidad adaptará este numeral dependiendo del momento en el cual se encuentre el Proceso de Contratación]:
[En el proyecto de Pliego de Condiciones se incluirá lo siguiente:]
[Para los procesos adelantados en el SECOP I se incluirá el siguiente texto:] El interesado persona natural o el representante legal de la persona jurídica manifestará mediante un escrito la intención de limitar la convocatoria del Proceso de Contratación a Mipyme, el cual será remitido a [dirección de la Entidad e identificación de la oficina donde se debe radicar] en [nombre de la ciudad o municipio] de [lunes al último día de atención en la semana] entre [horario de atención al público]. Asimismo, podrá enviarlo por medios electrónicos al siguiente correo electrónico: [la Entidad diligenciará el correo electrónico dispuesto].
[En esta sección la Entidad podrá definir si es procedente alguna limitación territorial y las condiciones bajo las cuales procedería, para lo cual podrá modificar este apartado estableciendo la regulación correspondiente. En este escrito, el interesado persona natural o el representante legal del interesado persona jurídica manifestará si la intención es que la limitación sea a Mipyme nacional o territorial, de acuerdo con las reglas definidas en el proyecto de Pliego de Condiciones.]
De igual manera, los interesados deberán acreditar el cumplimiento de los demás requisitos definidos en el artículo 2.2.1.2.4.2.4 del Decreto 1082 de 2015 o la norma que lo modifique, sustituya o complemente, para lo cual diligenciarán el Formato 13 – Acreditación de Mipyme y aportarán los soportes requeridos para que proceda la limitación de la convocatoria a Mipyme. En caso de que la condición de Mipyme se acredite mediante la presentación del RUP, en los términos establecidos en el artículo 2.2.1.2.4.2.4 del Decreto 1082 de 2015, no será necesario presentar el formato indicado.
[Para los procesos adelantados en el SECOP II se incluirá el siguiente texto:] Los interesados manifestarán su intención de limitar las convocatorias a Mipyme en la sección mensajes o en el módulo dispuesto en la plataforma del SECOP II. Asimismo, los interesados deberán acreditar el cumplimiento de los requisitos definidos en el artículo 2.2.1.2.4.2.4 del Decreto 1082 de 2015 o la norma que lo modifique, sustituya o complemente, para lo cual diligenciarán el Formato 13 – Acreditación de Mipyme y aportarán los soportes requeridos para que proceda la limitación de la convocatoria a Mipyme. En caso de que la condición de Mipyme se pruebe con la presentación del RUP, en los términos contemplados en el artículo 2.2.1.2.4.2.4 del Decreto 1082 de 2015, no será necesario presentar el formato indicado.
[En el Pliego de Condiciones definitivo se incluirá lo siguiente:]
[Para los procesos adelantados en el SECOP I, la Entidad, en atención a las solicitudes realizadas por los interesados para limitar la convocatoria a Mipyme, incluirá alguna de las dos (2) opciones:]
[Si procede la limitación de las convocatorias del Proceso de Contratación a Mipyme] La Entidad limita la convocatoria de este Proceso de Contratación a las Mipyme colombianas por haberse verificado las condiciones establecidas en los artículos 2.2.1.2.4.2.2. y 2.2.1.2.4.2.4 del Decreto 1082 de 2015, o la norma que lo modifique, complemente o sustituya. [En todo caso, la Entidad en esta sección determinará si la limitación es territorial en los términos del artículo 2.2.1.2.4.2.3. del Decreto 1082 de 2015 y las reglas establecidas en el proyecto de Pliego de Condiciones]
[Si no procede la limitación de las convocatorias del Proceso de Contratación a Mipyme, la Entidad incluirá lo siguiente] La Entidad no limita el Proceso de Contratación a las Mipyme colombianas por no haberse cumplido las condiciones establecidas en los artículos 2.2.1.2.4.2.2. y 2.2.1.2.4.2.4 del Decreto 1082 de 2015, o la norma que lo modifique, complemente o sustituya. En consecuencia, podrá participar cualquier interesado.
[Para los procesos adelantados en el SECOP II, la Entidad, en atención a las solicitudes realizadas por los interesados para limitar la convocatoria a Mipyme, incluirá la limitación del Proceso de Contratación a Mipyme en el espacio dispuesto por la plataforma del SECOP II.]”
ARTÍCULO 24. – MODIFÍQUESE EL NUMERAL 2.5 DE LOS DOCUMENTOS TIPO DE OBRA PÚBLICA DE INFRAESTRUCTURA DE TRANSPORTE ADELANTADO BAJO LA MODALIDAD DE SELECCIÓN ABREVIADA DE MENOR CUANTÍA. <Resolución 241 de 2020 derogada por el artículo 7 de la Resolución 463 de 2024> Modifíquese el numeral 2.5 –Limitación a Mipyme de los documentos tipo de obra pública de infraestructura de transporte adelantados bajo la modalidad de selección abreviada de menor cuantía –Versión 2–, expedidos mediante la Resolución 241 de 2020, en los siguientes términos:
“2.5 LIMITACIÓN A MIPYME
[En caso de que el proceso no sea susceptible de limitarse a Mipyme, la Entidad señalará lo siguiente en este numeral: el presente procedimiento de selección no es susceptible de limitarse a Mipyme.
En caso de que el proceso sea susceptible de limitarse a Mipyme, una vez cumplidos los requisitos del artículo 2.2.1.2.4.2.2. del Decreto 1082 de 2015, o la norma que lo modifique, complemente o sustituya, se seguirán las siguientes instrucciones:]
[La Entidad adaptará este numeral dependiendo del momento en el cual se encuentre el Proceso de Contratación]:
[En el proyecto de Pliego de Condiciones se incluirá lo siguiente:]
[Para los procesos adelantados en el SECOP I se incluirá el siguiente texto:] El interesado persona natural o el representante legal de la persona jurídica manifestará mediante un escrito, la intención de limitar la convocatoria del Proceso de Contratación a Mipyme, el cual será remitido a [dirección de la Entidad e identificación de la oficina donde se debe radicar] en [nombre de la ciudad o municipio] de [lunes al último día de atención en la semana] entre [horario de atención al público]. Asimismo, podrá enviarlo por medios electrónicos al siguiente correo electrónico: [la Entidad diligenciará el correo electrónico dispuesto].
[En esta sección, la Entidad podrá definir si es procedente alguna limitación territorial y las condiciones bajo las cuales procedería, para lo cual podrá modificar este apartado estableciendo la regulación correspondiente. En este escrito, el interesado persona natural o el representante legal del interesado persona jurídica manifestará si la intención es que la limitación sea a Mipyme nacional o territorial, de acuerdo con las reglas definidas en el proyecto de Pliego de Condiciones].
De igual manera, los interesados deberán acreditar el cumplimiento de los demás requisitos definidos en el artículo 2.2.1.2.4.2.4 del Decreto 1082 de 2015, o la norma que lo modifique, sustituya o complemente, para lo cual diligenciarán el Formato 13 – Acreditación de Mipyme y aportarán los soportes requeridos para que proceda la limitación de la convocatoria a Mipyme. En caso de que la condición de Mipyme se acredite mediante la presentación del RUP, en los términos establecidos en el artículo 2.2.1.2.4.2.4 del Decreto 1082 de 2015, no será necesario presentar el formato indicado.
[Para los procesos adelantados en el SECOP II se incluirá el siguiente texto:] Los interesados manifestarán su intención de limitar las convocatorias a Mipyme en la sección mensajes o en el módulo dispuesto en la plataforma del SECOP II. Asimismo, los interesados deberán acreditar el cumplimiento de los requisitos definidos en el artículo 2.2.1.2.4.2.4 del Decreto 1082 de 2015 o la norma que lo modifique, sustituya o complemente, para cual diligenciarán el Formato 13 – Acreditación de Mipyme y aportarán los soportes requeridos para que proceda la limitación de la convocatoria a Mipyme. En caso de que la condición de Mipyme se pruebe con la presentación del RUP, en los términos contemplados en el artículo 2.2.1.2.4.2.4 del Decreto 1082 de 2015, no será necesario presentar el formato indicado
[En el Pliego de Condiciones definitivo se incluirá lo siguiente:]
[Para los procesos adelantados en el SECOP I, la Entidad, en atención a las solicitudes realizadas por los interesados para limitar la convocatoria a Mipyme, incluirá alguna de las dos (2) opciones:]
[Si procede la limitación de las convocatorias del Proceso de Contratación a Mipyme] La Entidad limita la convocatoria de este Proceso de Contratación a las Mipyme colombianas por haberse verificado las condiciones establecidas en los artículos 2.2.1.2.4.2.2. y 2.2.1.2.4.2.4 del Decreto 1082 de 2015, o la norma que lo modifique, complemente o sustituya. [En todo caso, la Entidad en esta sección determinará si la limitación es territorial en los términos del artículo 2.2.1.2.4.2.3. del Decreto 1082 de 2015 y las reglas establecidas en el proyecto de Pliego de Condiciones]
[Si no procede la limitación de las convocatorias del Proceso de Contratación a Mipyme, la Entidad incluirá lo siguiente] La Entidad no limita el Proceso de Contratación a las Mipyme colombianas por no haberse cumplido las condiciones establecidas en los artículos 2.2.1.2.4.2.2. y 2.2.1.2.4.2.4 del Decreto 1082 de 2015, o la norma que lo modifique, complemente o sustituya. En consecuencia, podrá participar cualquier interesado.
[Para los procesos adelantados en el SECOP II, la Entidad, en atención a las solicitudes realizadas por los interesados para limitar la convocatoria a Mipyme, incluirá la limitación del Proceso de Contratación a Mipyme en el espacio dispuesto por la plataforma del SECOP II].”
ARTÍCULO 25. – MODIFÍQUENSE LOS LITERALES N), CC) E INCLÚYASE EL LITERAL DD) AL NUMERAL 1.15 DE LOS DOCUMENTOS TIPO DE OBRA PÚBLICA DE INFRAESTRUCTURA DE TRANSPORTE ADELANTADOS BAJO LA MODALIDAD DE LICITACIÓN PÚBLICA. <Resolución 240 de 2020 derogada por el artículo 8 de la Resolución 465 de 2024> Modifíquense los literales N), CC) e inclúyase el literal DD) al numeral 1.15 – Causales de rechazo de los documentos tipo de obra pública de infraestructura de transporte adelantados bajo la modalidad de licitación pública –Versión 3–, adoptados mediante la Resolución 240 de 2020, en los siguientes términos:
“1.15 CAUSALES DE RECHAZO
[…]
N) Presentar la oferta con tachaduras o enmendaduras en alguno de los documentos que acreditan los requisitos habilitantes o los factores de evaluación de la oferta y no estén convalidadas en la forma indicada en la sección 2.3 del Pliego de Condiciones, sin perjuicio de la posibilidad de subsanar los primeros en los términos del numeral 1.6.
[…]
CC) [Incluir cuando la convocatoria del Proceso de Contratación esté limitada a Mipyme] Cuando el que presenta oferta o alguno de los miembros del Proponente Plural no acredita la condición de Mipyme y, en consecuencia, no aporta el RUP vigente y en firme al momento de su presentación y no subsana su entrega en los términos del numeral 1.6.
DD) Las demás previstas en la ley”.
ARTÍCULO 26. – MODIFÍQUENSE LOS LITERALES N), GG) E INCLÚYASE EL LITERAL HH) AL NUMERAL 1.15 DE LOS DOCUMENTOS TIPO DE OBRA PÚBLICA DE INFRAESTRUCTURA DE TRANSPORTE ADELANTADO BAJO LA MODALIDAD DE SELECCIÓN ABREVIADA DE MENOR CUANTÍA. <Resolución 241 de 2020 derogada por el artículo 7 de la Resolución 463 de 2024> Modifíquense los literales N), GG) e inclúyase el literal HH) al numeral 1.15 – Causales de rechazo de los documentos tipo de obra pública de infraestructura de transporte adelantados bajo la modalidad de selección abreviada de menor cuantía –Versión 2–, expedidos mediante la Resolución 241 de 2020, en los siguientes términos:
“1.15 CAUSALES DE RECHAZO
[…]
N) Presentar la oferta con tachaduras o enmendaduras en alguno de los documentos que acreditan los requisitos habilitantes o los factores de evaluación de la oferta y no estén convalidadas en la forma indicada en la sección 2.6 del Pliego de Condiciones, sin perjuicio de la posibilidad de subsanar los primeros en los términos del numeral 1.6.
[…]
GG) [Incluir cuando la convocatoria del Proceso de Contratación esté limitada a Mipyme] Cuando el que presenta oferta o alguno de los miembros del Proponente Plural no acredita la condición de Mipyme y, en consecuencia, no aporta el RUP vigente y en firme al momento de su presentación y no subsana su entrega, en los términos del numeral 1.6.
HH) Las demás previstas en la ley”.
ARTÍCULO 27. – MODIFÍQUESE EL NUMERAL 2.3 DE LOS DOCUMENTOS TIPO DE OBRA PÚBLICA DE INFRAESTRUCTURA DE TRANSPORTE ADELANTADOS BAJO LA MODALIDAD DE LICITACIÓN PÚBLICA. <Resolución 240 de 2020 derogada por el artículo 8 de la Resolución 465 de 2024> Modifíquese el numeral 2.3 – Elaboración y presentación de la oferta de los documentos tipo de obra pública de infraestructura de transporte adelantados bajo la modalidad de licitación pública –Versión 3–, adoptados mediante la Resolución 240 de 2020, en los siguientes términos (el aparte subrayado y en negrilla es el ajuste realizado en este numeral):
“2.3 ELABORACIÓN Y PRESENTACIÓN DE LA OFERTA
[Para las Entidades que utilicen SECOP II la presentación de la oferta deberá adaptarse a las condiciones de la plataforma y no será posible allegar documentos en físico]
[Las Entidades que publican sus procesos en SECOP I incorporarán el siguiente contenido:]
La oferta estará conformada por dos sobres, los cuales deben cumplir todos los requisitos establecidos en los Documentos del Proceso. Los sobres deberán entregarse cerrados, separados e identificados.
[Para el caso de SECOP II el Proponente deberá diferenciar los requisitos contenidos en cada uno de los sobres, de acuerdo con el cuestionario diligenciado por la Entidad estatal en el SECOP II]
Cada sobre debe indicar: i) el nombre de la Entidad; ii) la dirección de radicación; iii) el objeto; iv) el número del Proceso de Contratación; v) el nombre y dirección comercial del Proponente, y vi) el nombre del representante legal del Proponente. [Esto para el SECOP I donde el sobre económico deberá ser entregado en físico en la Entidad Estatal]
Los documentos que conforman los Sobres 1 y 2 deberán presentarse legajados, foliados, escritos en idioma castellano y en medio mecánico. Se deben numerar todas las hojas que contiene la oferta. La propuesta debe tener un índice, en el que se identifique en forma clara la documentación de la oferta y el folio o folios a los que corresponde. [Para los procesos en SECOP II, los documentos se adjuntarán de acuerdo con el orden requerido en el cuestionario por la Entidad, los cuales deben ser legibles y escaneados correctamente]
La Entidad solo recibirá una oferta por Proponente, salvo los procesos estructurados por lotes o por grupos, cuando la Entidad haya establecido esta posibilidad. En caso de presentarse para varios Procesos de Contratación con la Entidad, el Proponente dejará constancia para qué proceso allega su ofrecimiento. La radicación de la propuesta implica la aceptación y conocimiento de la legislación colombiana acerca de los temas objeto del proceso y de todas las condiciones y obligaciones contenidas en el mismo. [Adicionalmente si se hace a través del SECOP II el Proponente deberá cumplir con el Manual de Usos y Condiciones de la plataforma]
Cuando el proceso se estructure por lotes o por grupos, el Proponente debe allegar un Sobre 1 para todos los lotes o grupos a los cuales presenta oferta y el Sobre 2 que contiene la oferta económica de forma independiente para cada uno de ellos.
Estarán a cargo del Proponente todos los costos asociados a la elaboración y presentación de su oferta y la Entidad en ningún caso será responsable de los mismos.
Las tachaduras y/o enmendaduras sobre alguno de los documentos que acreditan los requisitos habilitantes o los factores de evaluación de la oferta, deberán estar salvados con la firma de quien suscribe el correspondiente documento al pie de la misma y con una nota al margen donde manifieste clara y expresamente la corrección realizada.
Los sobres deben contener la siguiente información y, para su entrega, se deberán tener en cuenta estas indicaciones:
[…]”
ARTÍCULO 28. – MODIFÍQUESE EL NUMERAL 2.6 DE LOS DOCUMENTOS TIPO DE OBRA PÚBLICA DE INFRAESTRUCTURA DE TRANSPORTE ADELANTADO BAJO LA MODALIDAD DE SELECCIÓN ABREVIADA DE MENOR CUANTÍA. <Resolución 241 de 2020 derogada por el artículo 7 de la Resolución 463 de 2024> Modifíquese el numeral 2.6 – Elaboración y presentación de la oferta de los documentos tipo de obra pública de infraestructura de transporte adelantados bajo la modalidad de selección abreviada de menor cuantía –Versión 2–, expedidos mediante la Resolución 241 de 2020, en los siguientes términos (el aparte subrayado y en negrilla es el ajuste realizado en este numeral):
“2.6 ELABORACIÓN Y PRESENTACIÓN DE LA OFERTA
[Para las Entidades que utilicen SECOP II la presentación de la oferta deberá adaptarse a las condiciones de la plataforma y no será posible allegar documentos en físico]
[Las Entidades que publican sus procesos en SECOP I incorporarán el siguiente contenido:]
La oferta estará conformada por un sobre, el cual contiene los documentos e información de los requisitos habilitantes y los documentos a los que se les asigne puntaje, incluida la oferta económica, y debe entregarse cumpliendo todas las exigencias establecidas en los Documentos del Proceso. El sobre deberá presentarse cerrado e identificado.
El sobre debe contener la siguiente información y para su entrega se deberán tener en cuenta las siguientes instrucciones:
A. Indicar: (i) el nombre de la Entidad; (ii) la dirección de radicación; (iii) el objeto; (iv) el número del Proceso de Contratación; (v) el nombre y dirección comercial del Proponente, y (vi) el nombre del representante legal del Proponente.
B. Los documentos que conforman el sobre debe presentarse legajados, foliados, escritos en idioma castellano y en medio mecánico. Se deben numerar todas las hojas que contiene la oferta. La propuesta debe tener un índice, en el que se identifique en forma clara la documentación de la oferta y el folio o folios a los que corresponde.
C. El Proponente debe presentar el sobre en físico. Sin perjuicio de lo anterior, el Proponente podrá adicionalmente allegar el contenido del sobre en medio magnético u óptico.
D. Sin perjuicio de la oportunidad para subsanar o aclarar, la falta de presentación física de los documentos necesarios para comparar las propuestas, incluyendo los criterios de desempate, impedirá tenerla en cuenta para su evaluación y posterior adjudicación.
E. La información en físico y en medio magnético debe ser idéntica. En caso de presentarse discrepancias entre la información consignada en medio físico y la incluida en el medio magnético, prevalecerá la física.
F. Debe incluir la propuesta económica diligenciada de conformidad con todos los ítems exigidos y relacionados en el Formulario 1 – Formulario de Presupuesto Oficial. [En los procesos estructurados por lotes o grupos el Proponente debe presentar en un mismo sobre los documentos e información de los requisitos habilitantes y los documentos a los que se les asigne puntaje, incluyendo la oferta económica para cada lote o grupo al que se presente]
G. La propuesta económica debe estar firmada.
[La Entidad puede establecer que la recepción de las ofertas, además de realizarse de forma física, conforme con los anteriores parámetros, también se pueda hacer por medios electrónicos, siempre que se asegure el acceso a dichos medios para cualquier interesado en participar y que se garanticen los mecanismos de confidencialidad que impidan conocer el valor de las ofertas económicas hasta antes del cierre del proceso. Para ello podrá adaptar el contenido de este numeral, señalando los parámetros para esta forma de presentación de las ofertas]
[Para los procesos en SECOP II, los documentos se adjuntarán de acuerdo con el orden requerido en el cuestionario por la Entidad, los cuales deben ser legibles y escaneados correctamente]
La Entidad solo recibirá una oferta por Proponente, salvo los procesos estructurados por lotes o grupos cuando la Entidad haya establecido esta posibilidad. En caso de presentarse para varios Procesos de Contratación con la Entidad, el Proponente deberá dejar constancia para qué proceso allega su ofrecimiento. La presentación de la propuesta implica la aceptación y conocimiento de la legislación colombiana acerca de los temas objeto del proceso y de todas las condiciones y obligaciones contenidas en el mismo. [Adicionalmente si se hace a través del SECOP II el Proponente deberá cumplir con el Manual de Usos y Condiciones de la plataforma]
Estarán a cargo del Proponente todos los costos asociados a la elaboración y presentación de su oferta y la Entidad en ningún caso será responsable de los mismos.
Las tachaduras y/o enmendaduras sobre alguno de los documentos que acreditan los requisitos habilitantes o los factores de evaluación de la oferta, deberán estar salvados con la firma de quien suscribe el correspondiente documento al pie de la misma y, con una nota al margen donde manifieste clara y expresamente la corrección realizada”.
ARTÍCULO 29. – MODIFÍQUESE EL LITERAL C) DEL NUMERAL 2.10 DE LOS DOCUMENTOS TIPO DE OBRA DE INFRAESTRUCTURA DE TRANSPORTE ADELANTADOS BAJO LA MODALIDAD DE LICITACIÓN PÚBLICA. <Resolución 240 de 2020 derogada por el artículo 8 de la Resolución 465 de 2024> Modifíquese el literal C) del numeral 2.10 – Reglas para los procesos estructurados por lotes o grupos de los documentos tipo de obra pública de infraestructura de transporte adelantados bajo la modalidad de licitación pública –Versión 3–, adoptados mediante la Resolución 240 de 2020 en los siguientes términos:
“C. Para acreditar la experiencia el Proponente podrá aportar mínimo uno (1) y máximo cinco (5) contratos para cada uno de los lotes o grupos o podrá allegar los mismos para todos o varios de ellos, sin perjuicio de lo previsto en las reglas de los criterios diferenciales por ser Mipyme y/o emprendimientos y empresas de mujeres, en cuanto a los requisitos habilitantes relacionados con el número de contratos entregados para demostrar la experiencia solicitada. En la verificación del número de contratos frente al Presupuesto Oficial, el valor mínimo se certificará de acuerdo con el valor del Presupuesto Oficial del respectivo lote o grupo expresado en SMMLV.”
ARTÍCULO 30. – MODIFÍQUESE EL LITERAL B) DEL NUMERAL 2.12 DE LOS DOCUMENTOS TIPO DE OBRA DE INFRAESTRUCTURA DE TRANSPORTE ADELANTADOS BAJO LA MODALIDAD DE SELECCIÓN ABREVIADA DE MENOR CUANTÍA. <Resolución 241 de 2020 derogada por el artículo 7 de la Resolución 463 de 2024> Modifíquese el literal B) del numeral 2.12 – Reglas para los procesos estructurados por lotes o por grupos de los documentos tipo de obra pública de infraestructura de transporte adelantados bajo la modalidad de selección abreviada de menor cuantía –Versión 2–, expedidos a través de la Resolución 241 de 2020, en los siguientes términos:
“B. Para acreditar la experiencia el Proponente podrá aportar mínimo uno (1) y máximo cinco (5) contratos para cada uno de los lotes o grupos o podrá allegar los mismos para todos o varios de ellos, sin perjuicio de lo previsto en las reglas de los criterios diferenciales por ser Mipyme y/o emprendimientos y empresas de mujeres, en cuanto a los requisitos habilitantes relacionados con el número de contratos entregados para demostrar la experiencia solicitada. En la verificación del número de contratos frente al Presupuesto Oficial, el valor mínimo se certificará de acuerdo con el valor del Presupuesto Oficial del respectivo lote o grupo expresado en SMMLV.”
ARTÍCULO 31. – MODIFÍQUENSE LOS LITERALES B), C) Y F) DEL NUMERAL 3.3.3 DE LOS DOCUMENTOS TIPO DE OBRA DE INFRAESTRUCTURA DE TRANSPORTE ADELANTADOS BAJO LA MODALIDAD DE LICITACIÓN PÚBLICA Y SELECCIÓN ABREVIADA DE MENOR CUANTÍA. <Resolución 240 de 2020 derogada por el artículo 8 de la Resolución 465 de 2024> <Resolución 241 de 2020 derogada por el artículo 7 de la Resolución 463 de 2024> Modifíquense los literales B), C) y F) del numeral 3.3.3 – Proponentes plurales de los documentos tipo de obra pública de infraestructura de transporte adelantados bajo la modalidad de licitación pública –Versión 3–, adoptados mediante la Resolución 240 de 2020 y de los documentos tipo de obra pública de infraestructura de transporte desarrollados bajo la modalidad de selección abreviada de menor cuantía –Versión 2–, expedidos a través de la Resolución 241 de 2020, en los siguientes términos:
B. Acreditar el nombramiento de un representante y un suplente, este último en caso de considerarlo conveniente, cuya designación deberá constar en el Formato 2 – Conformación de Proponente Plural (Formato 2A – Consorcios) (Formato 2B – Uniones Temporales), quien representará a todas las personas naturales y/o jurídicas asociadas, con facultades suficientes para la representación sin limitaciones de cada uno de los integrantes, en todos los aspectos que se requieran para la presentación de la oferta, para la suscripción y ejecución del contrato, así como también la facultad para firmar el acta de terminación y liquidación o cualquier otra acta o documento.
C. Aportar copia del documento de identificación del representante principal y, en caso de que se haya nombrado, del suplente del Proponente Plural.
[…]
F. En la etapa contractual no podrán modificarse los porcentajes de participación sin el consentimiento previo de la Entidad. En todo caso, en la etapa precontractual no será posible modificar los porcentajes de los integrantes del Proponente Plural después de la fecha del cierre del Proceso de Contratación. Cualquier modificación en los porcentajes de los integrantes será ineficaz y, por tanto, carecerá de efecto.
ARTÍCULO 32. – MODIFÍQUESE EL NUMERAL 3.5.6 DE LOS DOCUMENTOS TIPO DE OBRA DE INFRAESTRUCTURA DE TRANSPORTE ADELANTADOS BAJO LA MODALIDAD DE LICITACIÓN PÚBLICA Y SELECCIÓN ABREVIADA DE MENOR CUANTÍA. <Resolución 240 de 2020 derogada por el artículo 8 de la Resolución 465 de 2024> <Resolución 241 de 2020 derogada por el artículo 7 de la Resolución 463 de 2024> Modifíquese el numeral 3.5.6 – Documentos válidos para la acreditación de la experiencia requerida de los documentos tipo de obra pública de infraestructura de transporte adelantados bajo la modalidad de licitación pública –Versión 3–, adoptados mediante la Resolución 240 de 2020 y de los documentos tipo de obra pública de infraestructura de transporte desarrollados bajo la modalidad de selección abreviada de menor cuantía –Versión 2–, expedidos por medio de la Resolución 241 de 2020, en los siguientes términos:
3.5.6 DOCUMENTOS VÁLIDOS PARA LA ACREDITACIÓN DE LA EXPERIENCIA REQUERIDA
En aquellos casos que por las características del objeto a contratar se requiera verificar información adicional a la contenida en el RUP, el Proponente podrá aportar uno o algunos de los documentos que se establecen a continuación, para que la Entidad realice la verificación en forma directa. Los mismos deberán estar debidamente diligenciados y suscritos por el contratante, el contratista o el Interventor, según corresponda. En caso de existir discrepancias entre dos (2) o más documentos aportados por el Proponente para la acreditación de experiencia, se tendrá en cuenta el orden de prevalencia establecido a continuación:
A. Acta de liquidación
B. Acta de entrega, terminación, final o de recibo definitivo.
C. Certificación de experiencia. Expedida con posterioridad a la fecha de terminación del contrato en la que conste el recibo a satisfacción de la obra contratada debidamente suscrita por quien esté en capacidad u obligación de hacerlo.
D. Acta de inicio o la orden de inicio. La misma sólo será válida para efectos de acreditar la fecha de inicio.
E. Para los contratos que hayan sido objeto de cesión, el contrato deberá encontrarse debidamente inscrito y clasificado en el RUP o en uno o alguno de los documentos considerados como válidos para la acreditación de experiencia de la empresa cesionaria, según aplique. La experiencia se admitirá para el cesionario y no se reconocerá experiencia alguna al cedente.
Para efectos de acreditación de experiencia entre particulares, el Proponente deberá aportar adicionalmente alguno de los documentos que se describen a continuación:
A. Certificación de facturación expedida con posterioridad a la fecha de terminación del contrato emitida por el revisor fiscal o contador público del Proponente que acredita la experiencia, según corresponda, con la copia de la tarjeta profesional y certificado de antecedentes disciplinarios vigente, expedido por la Junta Central de Contadores, o los documentos equivalentes que hagan sus veces en el país donde se expide el documento del profesional.
ARTÍCULO 33. – MODIFÍQUESE EL NUMERAL 3.5.7 DE LOS DOCUMENTOS TIPO DE OBRA DE INFRAESTRUCTURA DE TRANSPORTE ADELANTADOS BAJO LA MODALIDAD DE LICITACIÓN PÚBLICA Y SELECCIÓN ABREVIADA DE MENOR CUANTÍA. <Resolución 240 de 2020 derogada por el artículo 8 de la Resolución 465 de 2024> <Resolución 241 de 2020 derogada por el artículo 7 de la Resolución 463 de 2024> Modifíquese el numeral 3.5.7 – Para Subcontratos de los documentos tipo de obra pública de infraestructura de transporte adelantados bajo la modalidad de licitación pública –Versión 3–, adoptados mediante la Resolución 240 de 2020 y de los documentos tipo de obra pública de infraestructura de transporte desarrollados bajo la modalidad de selección abreviada de menor cuantía –Versión 2–, expedidos por medio de la Resolución 241 de 2020, en los siguientes términos:
“3.5.7 PARA SUBCONTRATOS
Para acreditar la experiencia de subcontratos, cuyo contrato principal fue suscrito con particulares, se aplicarán las disposiciones establecidas en el numeral anterior.
Para acreditar la experiencia de contratos derivados de contratos suscritos con Entidades Estatales, el Proponente deberá aportar los documentos que se enlistan a continuación:
A. Certificación del subcontrato. Certificación expedida con posterioridad a la fecha de terminación del subcontrato, la cual deberá estar suscrita por el representante legal del contratista del contrato principal, del Concesionario, o del EPC o Consorcio Constructor. Así mismo, debe contener la información requerida en el Pliego de Condiciones para efectos de la acreditación de la experiencia.
B. Certificación expedida por la Entidad Estatal del contrato principal del cual se derivó el subcontrato. Esta certificación debe contener la información básica del contrato principal y la siguiente:
I. Alcance de las obras ejecutadas en el contrato principal.
II. Información en la cual se evidencie que la figura de la subcontratación es permitida en el marco del contrato principal. En caso de que no requiera autorización para subcontratar, el Proponente podrá aportar con su propuesta alguno de los siguientes documentos que den cuenta de esa circunstancia: i) copia del contrato o ii) certificación emitida por la Entidad Estatal, donde acredite que para subcontratar no se requería autorización.
La información solicitada en el literal B únicamente se exige en relación con el contrato principal suscrito con la Entidad Estatal.
En caso de que se presenten varios niveles de subcontratación, las reglas de los literales A y B aplicarán hasta el primer nivel de subcontratación. Para los siguientes niveles de subcontratación, la acreditación de la experiencia se realizará con las disposiciones establecidas en el numeral anterior. Para estos efectos, entiéndase el primer nivel de subcontratación como aquel contrato suscrito entre particulares, cuyo contrato principal del cual se deriva directamente, es el contrato estatal firmado entre una Entidad Estatal y un particular.
Cuando el contratista directo y el subcontratista presenten ofertas en un mismo Proceso de Contratación, la experiencia derivada de las actividades subcontratadas solo pertenecerá al subcontratista. En este contexto, el contratista directo no podrá acreditar dichas actividades, por lo que no serán tenidas en cuenta para la verificación de la experiencia.
Los Proponentes deberán advertir a la Entidad cuando en otros procesos el contratista directo hubiera certificado que, dentro de su contrato, se llevó a cabo la subcontratación, por cuanto tales actividades no serán tenidas en cuenta para efectos de acreditación de experiencia del contratista directo. Para tal fin, deberán informar a la Entidad, mediante comunicación escrita, indicando el proceso en el cual el contratista certificó la respectiva subcontratación.
La obligación de informar las situaciones de subcontratación estará en cabeza de los Proponentes y de ninguna manera dicha carga será de la Entidad. En aquellos casos en los que el Proponente no advierta tal situación, la Entidad no tendrá responsabilidad alguna por cuanto no fue avisada. En ese caso, el contrato se contabilizará como un todo y no se tendrá en cuenta lo relacionado con la subcontratación.
Cuando la Entidad haya sido advertida por alguno los Proponentes sobre situaciones de subcontratación, aplicará el numeral 1.11 del Pliego de Condiciones”.
ARTÍCULO 34. – MODÍFIQUESE EL LITERAL I) DEL REQUISITO «A. CAPACIDAD DE ORGANIZACIÓN (CO)» DEL NUMERAL 3.10.2 CÁLCULO DE LA CAPACIDAD RESIDUAL DEL PROPONENTE DE LOS DOCUMENTOS TIPO DE OBRA DE INFRAESTRUCTURA DE TRANSPORTE ADELANTADOS BAJO LA MODALIDAD DE LICITACIÓN PÚBLICA Y SELECCIÓN ABREVIADA DE MENOR CUANTÍA. <Resolución 240 de 2020 derogada por el artículo 8 de la Resolución 465 de 2024> <Resolución 241 de 2020 derogada por el artículo 7 de la Resolución 463 de 2024> Modifíquese el literal I) del requisito A. Capacidad de organización (CO) del numeral 3.10.2 – Cálculo de la capacidad residual del Proponente de los documentos tipo de obra pública de infraestructura de transporte adelantados bajo la modalidad de licitación pública –Versión 3–, adoptados mediante la Resolución 240 de 2020 y de los documentos tipo de obra pública de infraestructura de transporte desarrollados bajo la modalidad de selección abreviada de menor cuantía –Versión 2–, expedidos a través de la Resolución 241 de 2020, en los siguientes términos:
“3.10.2. CÁLCULO DE LA CAPACIDAD RESIDUAL EL PROPONENTE (CRP)
A. Capacidad de organización (CO):
[…]
Para acreditar el factor (CO) el Proponente obligado a tener RUP debe presentar los siguientes documentos:
I. Estado de resultados integral (estado de resultado o pérdida o ganancias), del año en que hayan obtenido el mayor ingreso operacional en los últimos cinco (5) años, debidamente firmado por el representante legal y el contador bajo cuya responsabilidad se han preparado y por el revisor fiscal o, en caso de no haberlo, por no estar obligado a tenerlo, por contador público independiente, acompañados de su dictamen u opinión de conformidad con el artículo 38 de la Ley 222 de 1995”.
[…]”
ARTÍCULO 35. – MODIFÍQUESE EL NUMERAL 4.1.2 DE LOS DOCUMENTOS TIPO DE OBRA DE INFRAESTRUCTURA DE TRANSPORTE ADELANTADOS BAJO LA MODALIDAD DE LICITACIÓN PÚBLICA Y SELECCIÓN ABREVIADA DE MENOR CUANTÍA. <Resolución 240 de 2020 derogada por el artículo 8 de la Resolución 465 de 2024> <Resolución 241 de 2020 derogada por el artículo 7 de la Resolución 463 de 2024> Modifíquese el numeral 4.1.2 – Correcciones aritméticas de los documentos tipo de obra pública de infraestructura de transporte adelantados bajo la modalidad de licitación pública –Versión 3–, adoptados mediante la Resolución 240 de 2020 y de los documentos tipo de obra pública de infraestructura de transporte desarrollados bajo la modalidad de selección abreviada de menor cuantía –Versión 2–, expedidos por medio de la Resolución 241 de 2020, en los siguientes términos:
“4.1.2. CORRECCIONES ARITMÉTICAS
La Entidad solo efectuará correcciones aritméticas originadas por:
A. Las operaciones aritméticas a que haya lugar en la propuesta económica, cuando exista un error que surja de un cálculo meramente aritmético cuando la operación ha sido erróneamente realizada.
B. El ajuste al peso ya sea por exceso o por defecto de los precios unitarios contenidos en la propuesta económica y del valor del IVA, así: cuando la fracción decimal del peso sea igual o superior a punto cinco (0.5) se aproximará por exceso al número entero siguiente del peso y cuando la fracción decimal del peso sea inferior a punto cinco (0.5) se aproximará por defecto al número entero.
La Entidad a partir del valor total corregido de las propuestas asignará el puntaje de conformidad con el proceso del numeral 4.1.4.”
ARTÍCULO 36. – MODIFÍQUESE EL NUMERAL 4.2. DE LOS DOCUMENTOS TIPO DE OBRA DE INFRAESTRUCTURA DE TRANSPORTE ADELANTADOS BAJO LA MODALIDAD DE LICITACIÓN PÚBLICA. <Resolución 240 de 2020 derogada por el artículo 8 de la Resolución 465 de 2024> Modifíquese el numeral 4.2. – Factor de calidad de los documentos tipo de obra pública de infraestructura de transporte adelantados bajo la modalidad de licitación pública –Versión 3–, adoptados mediante la Resolución 240 de 2020 en los siguientes términos:
“4.2. FACTOR DE CALIDAD
La Entidad asignará el puntaje de factor de calidad como sigue:
| Concepto | Puntaje |
| [La Entidad debe elegir una o algunas de las siguientes opciones, de acuerdo con la justificación consignada en el estudio del sector, estudios y documentos previos: (i) implementación del programa de gerencia de proyectos; (ii) disponibilidad y condiciones funcionales de la maquinaria de obra; (iii) presentación de un plan de calidad; | 19 |
| Total | 19 |
Las Entidades Estatales deben consultar y analizar las anotaciones vigentes que reposen en el Registro Nacional de Obras Civiles Inconclusas, de que trata la Ley 2020 de 2020. En el evento que las personas naturales o jurídicas, nacionales o extranjeras domiciliadas o con sucursal en Colombia, o integrantes de Proponentes Plurales, cuenten con alguna anotación vigente de obra civil inconclusa, en el mencionado registro, se descontará un (1) punto de la sumatoria obtenida en relación con el factor de calidad.
En todo caso, no se descontará el puntaje en los términos previstos en el inciso anterior cuando el Proponente no oferte el factor de calidad, por lo que éste obtendrá cero (0) puntos en este criterio de evaluación. En esta circunstancia, la Entidad no podrá reducir el puntaje de la sumatoria obtenida en los demás factores de ponderación.
[De acuerdo con las características del objeto a contratar y con el principio de proporcionalidad y razonabilidad la Entidad debe elegir una o varias de las opciones previstas para otorgar el puntaje del factor de calidad. En todo caso, la distribución del puntaje asignado no puede ser superior a 19 puntos y la Entidad no podrá incluir criterios, documentos, compromisos o aspectos distintos a los señalados]”
ARTÍCULO 37. – MODIFÍQUESE EL NUMERAL 4.2. DE LOS DOCUMENTOS TIPO DE OBRA DE INFRAESTRUCTURA DE TRANSPORTE ADELANTADOS BAJO LA MODALIDAD DE SELECCIÓN ABREVIADA DE MENOR CUANTÍA. <Resolución 241 de 2020 derogada por el artículo 7 de la Resolución 463 de 2024> Modifíquese el numeral 4.2. – Factor de calidad de los documentos tipo de obra pública de infraestructura de transporte adelantados bajo la modalidad de selección abreviada de menor cuantía –Versión 2–, adoptados mediante la Resolución 241 de 2020, en los siguientes términos:
“4.2. FACTOR DE CALIDAD
La Entidad asignará el puntaje de factor de calidad como sigue:
| Concepto | Puntaje |
| [La Entidad debe elegir una o algunas de las siguientes opciones, de acuerdo con la justificación consignada en el estudio del sector, estudios y documentos previos: (i) implementación del programa de gerencia de proyectos; (ii) disponibilidad y condiciones funcionales de la maquinaria de obra; (iii) presentación de un plan de calidad; | 20 |
| Total | 20 |
Las Entidades Estatales deben consultar y analizar las anotaciones vigentes que reposen en el Registro Nacional de Obras Civiles Inconclusas, de que trata la Ley 2020 de 2020. En el evento que las personas naturales o jurídicas, nacionales o extranjeras domiciliadas o con sucursal en Colombia, o integrantes de Proponentes Plurales, cuenten con alguna anotación vigente de obra civil inconclusa, en el mencionado registro, se descontará un (1) punto de la sumatoria obtenida en relación con el factor de calidad.
En todo caso, no se descontará el puntaje en los términos previstos en el inciso anterior cuando el Proponente no oferte el factor de calidad, por lo que éste obtendrá cero (0) puntos en este criterio de evaluación. En esta circunstancia, la Entidad no podrá reducir el puntaje de la sumatoria obtenida en los demás factores de ponderación.
[De acuerdo con las características del objeto a contratar y con el principio de proporcionalidad y razonabilidad la Entidad debe elegir una o varias de las opciones previstas para otorgar el puntaje del factor de calidad. En todo caso, la distribución del puntaje asignado no puede ser superior a 20 puntos y la Entidad no podrá incluir criterios, documentos, compromisos o aspectos distintos a los señalados]”
ARTÍCULO 38. – ELIMÍNESE EL NUMERAL 4.2.4 DE LOS DOCUMENTOS TIPO DE OBRA DE INFRAESTRUCTURA DE TRANSPORTE ADELANTADOS BAJO LA MODALIDAD DE LICITACIÓN PÚBLICA Y SELECCIÓN ABREVIADA DE MENOR CUANTÍA. <Resolución 240 de 2020 derogada por el artículo 8 de la Resolución 465 de 2024> <Resolución 241 de 2020 derogada por el artículo 7 de la Resolución 463 de 2024> Elimínese el numeral 4.2.4 – Garantía suplementaria o adicional de los documentos tipo de obra pública de infraestructura de transporte adelantados bajo la modalidad de licitación pública –Versión 3–, adoptados mediante la Resolución 240 de 2020 y de los documentos tipo de obra pública de infraestructura de transporte desarrollados bajo la modalidad de selección abreviada de menor cuantía –Versión 2–, expedidos por medio de la Resolución 241 de 2020.
ARTÍCULO 39. – MODIFÍQUESE EL NUMERAL 9.2 DE LOS DOCUMENTOS TIPO DE OBRA PÚBLICA DE INFRAESTRUCTURA DE TRANSPORTE ADELANTADOS BAJO LA MODALIDAD DE LICITACIÓN PÚBLICA. <Resolución 240 de 2020 derogada por el artículo 8 de la Resolución 465 de 2024> Modifíquese el numeral 9.2 Formatos de los documentos tipo de obra pública de infraestructura de transporte adelantados bajo la modalidad de licitación pública –Versión 3–, adoptados mediante la Resolución 240 de 2020. Dicho numeral quedará así:
9.2 FORMATOS
1. Formato 1 -Carta de presentación de la oferta
2. Formato 2 – Conformación de Proponente Plural (Formato 2A- Consorcios) (Formato 2B- UT)
3. Formato 3 – Experiencia
4. Formato 4 – Capacidad financiera y organizacional
5. Formato 5 – Capacidad residual
6. Formato 6 – Pagos de seguridad social y aportes legales
7. Formato 7 – Factor de calidad
8. Formato 8 – Vinculación de personas en condición de discapacidad
9. Formato 9 – Puntaje de Industria Nacional.
10. Formato 10 – Factores de desempate
11. Formato 11 – Autorización para el tratamiento de datos personales
12. Formato 12 – Acreditación de emprendimientos y empresas de mujeres
13. Formato 13 – Acreditación de Mipyme
ARTÍCULO 40. – MODIFÍQUESE EL NUMERAL 9.2 DE LOS DOCUMENTOS TIPO DE OBRA PÚBLICA DE INFRAESTRUCTURA DE TRANSPORTE ADELANTADOS BAJO LA MODALIDAD DE SELECCIÓN ABREVIADA DE MENOR CUANTÍA. <Resolución 241 de 2020 derogada por el artículo 7 de la Resolución 463 de 2024> Modifíquese el numeral 9.2 Formatos de los documentos tipo de obra pública de infraestructura de transporte adelantados bajo la modalidad de selección abreviada de menor cuantía –Versión 2–, adoptados mediante la Resolución 241 de 2020. Dicho numeral quedará así:
9.2 FORMATOS
1. Formato 1 – Carta de presentación de la oferta
2. Formato 2 – Conformación de Proponente Plural (Formato 2A- Consorcios) (Formato 2B- UT)
3. Formato 3 – Experiencia
4. Formato 4 – Capacidad financiera y organizacional
5. Formato 5 – Capacidad residual
6. Formato 6 – Pagos de seguridad social y aportes legales
7. Formato 7 – Factor de calidad
8. Formato 8 – Factores de desempate
9. Formato 9 – Puntaje de Industria Nacional.
10. Formato 10 – Carta Manifestación de Interés
11. Formato 11 – Autorización para el tratamiento de datos personales
12. Formato 12 – Acreditación de emprendimientos y empresas de mujeres
13. Formato 13 – Acreditación de Mipyme
ARTÍCULO 41. – MODIFÍQUESE EL FORMATO 3 DE LOS DOCUMENTOS TIPO DE OBRA DE INFRAESTRUCTURA DE TRANSPORTE ADELANTADOS BAJO LA MODALIDAD DE LICITACIÓN PÚBLICA. <Resolución 240 de 2020 derogada por el artículo 8 de la Resolución 465 de 2024> Modifíquese el Formato 3 – Experiencia de los documentos tipo de obra pública de infraestructura de transporte adelantados bajo la modalidad de licitación pública –Versión 3–, adoptados mediante la Resolución 240 de 2020 (Anexo 1: Formato 3 – Experiencia).
ARTÍCULO 42. – MODIFÍQUESE EL FORMATO 3 DE LOS DOCUMENTOS TIPO DE OBRA DE INFRAESTRUCTURA DE TRANSPORTE ADELANTADOS BAJO LA MODALIDAD DE SELECCIÓN ABREVIADA DE MENOR CUANTÍA. <Resolución 241 de 2020 derogada por el artículo 7 de la Resolución 463 de 2024> Modifíquese el Formato 3 – Experiencia de los documentos tipo de obra pública de infraestructura de transporte adelantados bajo la modalidad de selección abreviada de menor cuantía – Versión 2–, adoptados mediante la Resolución 241 de 2020 (Anexo 2: Formato 3 – Experiencia).
ARTÍCULO 43. – MODIFÍQUESE EL FORMATO 7 DE LOS DOCUMENTOS TIPO DE OBRA DE INFRAESTRUCTURA DE TRANSPORTE ADELANTADOS BAJO LA MODALIDAD DE LICITACIÓN PÚBLICA. <Resolución 240 de 2020 derogada por el artículo 8 de la Resolución 465 de 2024> Modifíquese el Formato 7 – Factor de calidad de los documentos tipo de obra pública de infraestructura de transporte adelantados bajo la modalidad de licitación pública –Versión 3-, adoptados mediante la Resolución 240 de 2020 (Anexo 3: Formato 7 – Factor de calidad).
ARTÍCULO 44. – MODIFÍQUESE EL FORMATO 7 DE LOS DOCUMENTOS TIPO DE OBRA DE INFRAESTRUCTURA DE TRANSPORTE ADELANTADOS BAJO LA MODALIDAD DE SELECCIÓN ABREVIADA DE MENOR CUANTÍA. <Resolución 241 de 2020 derogada por el artículo 7 de la Resolución 463 de 2024> Modifíquese el Formato 7 – Factor de Calidad de los documentos tipo de obra pública de infraestructura de transporte adelantados bajo la modalidad de selección abreviada de menor cuantía – Versión 2-, adoptados mediante la Resolución 241 de 2020 (Anexo 4: Formato 7 – Factor de calidad).
ARTÍCULO 45. – MODIFÍQUESE EL FORMATO 10 DE LOS DOCUMENTOS TIPO DE OBRA PÚBLICA DE INFRAESTRUCTURA DE TRANSPORTE ADELANTADOS BAJO LA MODALIDAD DE LICITACIÓN PÚBLICA. <Resolución 240 de 2020 derogada por el artículo 8 de la Resolución 465 de 2024> Modifíquese el Formato 10 – Factores de desempate de los documentos tipo de obra pública de infraestructura realizados bajo la modalidad de licitación pública –Versión 3–, adoptados por la Resolución 240 de 2020. El modelo de este formato se adjunta como anexo (Anexo 5: Formato 10 – Factores de desempate).
ARTÍCULO 46. – MODIFÍQUESE EL FORMATO 8 DE LOS DOCUMENTOS TIPO DE OBRA PÚBLICA DE INFRAESTRUCTURA DE TRANSPORTE ADELANTADOS BAJO LA MODALIDAD DE SELECCIÓN ABREVIADA DE MENOR CUANTÍA. <Resolución 241 de 2020 derogada por el artículo 7 de la Resolución 463 de 2024> Modifíquese el Formato 8 – Factores de desempate de los documentos tipo de obra pública de infraestructura adelantados bajo la modalidad de selección abreviada de menor cuantía –Versión 2–, adoptados por la Resolución 241 de 2020. El modelo de este formato se adjunta como anexo (Anexo 6: Formato 8 – Factores de desempate).
ARTÍCULO 47. – MODIFÍQUESE EL FORMATO 11 DE LOS DOCUMENTOS TIPO DE OBRA PÚBLICA DE INFRAESTRUCTURA DE TRANSPORTE ADELANTADOS BAJO LA MODALIDAD DE LICITACIÓN PÚBLICA. <Resolución 240 de 2020 derogada por el artículo 8 de la Resolución 465 de 2024> Modifíquese el Formato 11 – Autorización para el tratamiento de datos personales de los documentos tipo de obra pública de infraestructura realizados bajo la modalidad de licitación pública –Versión 3–, adoptados por la Resolución 240 de 2020. El modelo de este formato se adjunta como anexo (Anexo 7: Formato 11 – Autorización para el tratamiento de datos personales).
ARTÍCULO 48. – MODIFÍQUESE EL FORMATO 11 DE LOS DOCUMENTOS TIPO DE OBRA PÚBLICA DE INFRAESTRUCTURA DE TRANSPORTE ADELANTADOS BAJO LA MODALIDAD DE SELECCIÓN ABREVIADA DE MENOR CUANTÍA. <Resolución 241 de 2020 derogada por el artículo 7 de la Resolución 463 de 2024> Modifíquese el Formato 11 – Autorización para el tratamiento de datos personales de los documentos tipo de obra pública de infraestructura adelantados bajo la modalidad de selección abreviada de menor cuantía –Versión 2–, adoptados por la Resolución 241 de 2020. El modelo de este formato se adjunta como anexo (Anexo 8: Formato 11 – Autorización para el tratamiento de datos personales).
ARTÍCULO 49. – INCLÚYASE EL FORMATO 12 A LOS DOCUMENTOS TIPO DE OBRA PÚBLICA DE INFRAESTRUCTURA DE TRANSPORTE ADELANTADOS BAJO LA MODALIDAD DE LICITACIÓN PÚBLICA. <Resolución 240 de 2020 derogada por el artículo 8 de la Resolución 465 de 2024> Inclúyase el Formato 12 – Acreditación de emprendimientos y empresas de mujeres a los documentos tipo de obra pública de infraestructura de transporte adelantados bajo la modalidad de licitación pública –Versión 3–, adoptados mediante la Resolución 240 de 2020. El formato se adjunta como anexo (Anexo 9: Formato 12 – Acreditación de emprendimientos y empresas de mujeres).
ARTÍCULO 50. – INCLÚYASE EL FORMATO 12 A LOS DOCUMENTOS TIPO DE OBRA PÚBLICA DE INFRAESTRUCTURA DE TRANSPORTE ADELANTADOS BAJO LA MODALIDAD DE SELECCIÓN ABREVIADA DE MENOR CUANTÍA. <Resolución 241 de 2020 derogada por el artículo 7 de la Resolución 463 de 2024> Inclúyase el Formato 12 – Acreditación de emprendimientos y empresas de mujeres a los documentos tipo de obra pública de infraestructura de transporte realizados bajo la modalidad de selección abreviada de menor cuantía –Versión 2– adoptados a través de la Resolución 241 de 2020. El formato se adjunta como anexo (Anexo 10: Formato 12 – Acreditación de emprendimientos y empresas de mujeres).
ARTÍCULO 51. – INCLÚYASE EL FORMATO 13 A LOS DOCUMENTOS TIPO DE OBRA PÚBLICA DE INFRAESTRUCTURA DE TRANSPORTE ADELANTADOS BAJO LA MODALIDAD DE LICITACIÓN PÚBLICA. <Resolución 240 de 2020 derogada por el artículo 8 de la Resolución 465 de 2024> Inclúyase el Formato 13 – Acreditación de Mipyme a los documentos tipo de obra pública de infraestructura de transporte adelantados bajo la modalidad de licitación pública –Versión 3–, adoptados mediante la Resolución 240 de 2020. El formato se adjunta como anexo (Anexo 11: Formato 13 – Acreditación de Mipyme)
ARTÍCULO 52. – INCLÚYASE EL FORMATO 13 A LOS DOCUMENTOS TIPO DE OBRA PÚBLICA DE INFRAESTRUCTURA DE TRANSPORTE ADELANTADOS BAJO LA MODALIDAD DE SELECCIÓN ABREVIADA DE MENOR CUANTÍA. <Resolución 241 de 2020 derogada por el artículo 7 de la Resolución 463 de 2024> Inclúyase el Formato 13 – Acreditación de Mipyme a los documentos tipo de obra pública de infraestructura de transporte adelantados bajo la modalidad de selección abreviada de menor cuantía –Versión 2– adoptados a través de la Resolución 241 de 2020. El formato se adjunta como anexo (Anexo 12: Formato 13 – Acreditación de Mipyme)
ARTÍCULO 53. – MODIFÍQUESE LA MATRIZ 1 – EXPERIENCIA DE LOS DOCUMENTOS TIPO DE OBRA PÚBLICA DE INFRAESTRUCTURA DE TRANSPORTE ADELANTADOS BAJO LA MODALIDAD DE LICITACIÓN PÚBLICA. <Resolución 240 de 2020 derogada por el artículo 8 de la Resolución 465 de 2024> Modifíquese la Matriz 1–Experiencia de los documentos tipo de obra pública de infraestructura de transporte adelantados bajo la modalidad de licitación pública –Versión 3–, adoptados mediante la Resolución 240 de 2020. El modelo de esta Matriz se adjunta como anexo (Anexo 13: Matriz 1– Experiencia).
ARTÍCULO 54. – MODIFÍQUESE LA MATRIZ 1 – EXPERIENCIA DE LOS DOCUMENTOS TIPO DE OBRA PÚBLICA DE INFRAESTRUCTURA DE TRANSPORTE ADELANTADOS BAJO LA MODALIDAD DE SELECCIÓN ABREVIADA DE MENOR CUANTÍA. <Resolución 241 de 2020 derogada por el artículo 7 de la Resolución 463 de 2024> Modifíquese la Matriz 1 – Experiencia de los documentos tipo de obra pública de infraestructura de transporte adelantados bajo la modalidad de selección abreviada de menor cuantía –Versión 2– adoptados mediante la Resolución 241 de 2020. El modelo de esta Matriz se adjunta como anexo (Anexo 14: Matriz 1– Experiencia).
ARTÍCULO 55. – MODIFÍQUESE LA MATRIZ 2 DE LOS DOCUMENTOS TIPO DE OBRA PÚBLICA DE INFRAESTRUCTURA DE TRANSPORTE ADELANTADOS BAJO LA MODALIDAD DE LICITACIÓN PÚBLICA. <Resolución 240 de 2020 derogada por el artículo 8 de la Resolución 465 de 2024> Modifíquese la Matriz 2– Indicadores financieros y organizaciones de los documentos tipo de obra pública de infraestructura de transporte adelantados bajo la modalidad de licitación pública –Versión 3–, adoptados mediante la Resolución 240 de 2020. El modelo de esta Matriz se adjunta como anexo (Anexo 15: Matriz 2– Indicadores financieros y organizacionales).
ARTÍCULO 56. – MODIFÍQUESE LA MATRIZ 2 DE LOS DOCUMENTOS TIPO DE OBRA PÚBLICA DE INFRAESTRUCTURA DE TRANSPORTE ADELANTADOS BAJO LA MODALIDAD DE SELECCIÓN ABREVIADA DE MENOR CUANTÍA. <Resolución 241 de 2020 derogada por el artículo 7 de la Resolución 463 de 2024> Modifíquese la Matriz 2– Indicadores financieros y organizaciones de los documentos tipo de obra pública de infraestructura de transporte adelantados bajo la modalidad de selección abreviada de menor cuantía –Versión 2–, adoptados a través de la Resolución 241 de 2020. El modelo de esta Matriz se adjunta como anexo (Anexo 16: Matriz 2– Indicadores financieros y organizacionales).
ARTÍCULO 57. – MODIFÍQUESE EL ANEXO 3 DE LOS DOCUMENTOS TIPO DE OBRA PÚBLICA DE INFRAESTRUCTURA DE TRANSPORTE ADELANTADOS BAJO LA MODALIDAD DE LICITACIÓN PÚBLICA. <Resolución 240 de 2020 derogada por el artículo 8 de la Resolución 465 de 2024> Modifíquese el Anexo 3– Glosario de los documentos tipo de obra pública de infraestructura de transporte adelantados bajo la modalidad de licitación pública –Versión 3–, adoptados mediante la Resolución 240 de 2020. El modelo de este Anexo se adjunta (Anexo 17: Anexo 3 - Glosario).
ARTÍCULO 58. – MODIFÍQUESE EL ANEXO 3 DE LOS DOCUMENTOS TIPO DE OBRA PÚBLICA DE INFRAESTRUCTURA DE TRANSPORTE ADELANTADOS BAJO LA MODALIDAD DE SELECCIÓN ABREVIADA DE MENOR CUANTÍA. <Resolución 241 de 2020 derogada por el artículo 7 de la Resolución 463 de 2024> Modifíquese el Anexo 3 – Glosario de los documentos tipo de obra pública de infraestructura de transporte adelantados bajo la modalidad de selección abreviada de menor cuantía –Versión 2– adoptados a través de la Resolución 241 de 2020. El modelo de este Anexo se adjunta (Anexo 18: Anexo 3– Glosario).
ARTÍCULO 59. – INCLÚYASE UN PARÁGRAFO AL ARTÍCULO 4 DE LA RESOLUCIÓN 240 DE 2020 POR LA CUAL SE ACTUALIZAN LOS DOCUMENTOS TIPO PARA LOS PROCESOS DE SELECCIÓN DE LICITACIÓN DE OBRA PÚBLICA DE INFRAESTRUCTURA DE TRANSPORTE. <Resolución 240 de 2020 derogada por el artículo 8 de la Resolución 465 de 2024> Inclúyase un parágrafo al artículo 4 – Bienes y servicios adicionales a la de obra pública de la Resolución 240 de 2020 por la cual se actualizan los documentos tipo para los procesos de selección de licitación de obra pública de infraestructura de transporte, en los siguientes términos:
PARÁGRAFO. En los casos que el objeto contractual incluya actividades que son abarcadas por otros Documentos Tipo, la Entidad Estatal aplicará las reglas de combinación de experiencia previstas en el numeral 3.5.2 del documento base.
ARTÍCULO 60. – INCLÚYASE UN PARÁGRAFO AL ARTÍCULO 4 DE LA RESOLUCIÓN 241 DE 2020 POR LA CUAL SE ACTUALIZAN LOS DOCUMENTOS TIPO PARA LOS PROCESOS DE SELECCIÓN ABREVIADA DE MENOR CUANTÍA DE OBRA PÚBLICA DE INFRAESTRUCTURA DE TRANSPORTE. <Resolución 241 de 2020 derogada por el artículo 7 de la Resolución 463 de 2024> Inclúyase un parágrafo al artículo 4 – Bienes y servicios adicionales a la de obra pública de la Resolución 241 de 2020 por la cual se actualizan los documentos tipo para los procesos de selección abreviada de menor cuantía de obra pública de infraestructura de transporte, en los siguientes términos:
PARÁGRAFO. En los casos que el objeto contractual incluya actividades que son abarcadas por otros Documentos Tipo, la Entidad estatal aplicará las reglas de combinación de experiencia previstas en el numeral 3.5.2 del documento base.
ARTÍCULO 61. – INCLÚYASE EL ARTÍCULO 7 A LA RESOLUCIÓN 240 DE 2020 POR LA CUAL SE ACTUALIZAN LOS DOCUMENTOS TIPO PARA LOS PROCESOS DE SELECCIÓN DE LICITACIÓN DE OBRA PÚBLICA DE INFRAESTRUCTURA DE TRANSPORTE. <Resolución 240 de 2020 derogada por el artículo 8 de la Resolución 465 de 2024> Inclúyase el artículo 7 – Proyectos que contengan la ejecución de objetos contractuales cobijados por otros documentos tipo a la Resolución 240 de 2020 por la cual se actualizan los documentos tipo para los procesos de selección de licitación de obra pública de infraestructura de transporte, en los siguientes términos:
“Artículo 7o. Proyectos que contengan la ejecución de objetos contractuales cobijados por otros Documentos Tipo. Cuando el objeto contractual incluya actividades de obra pública de infraestructura de transporte, en conjunto con actividades cobijadas por otros Documentos Tipo, la Entidad deberá definir qué Documentos Tipo aplica dependiendo de la relevancia técnica del proyecto, impacto o el valor que representan en el presupuesto oficial.
Teniendo en cuenta los criterios anteriores, la Entidad Estatal debe determinar cuál documento tipo aplica. Esto sin perjuicio de que pueda utilizar las reglas de combinación de experiencia establecidas en esos documentos, siempre que ello resulte necesario con ocasión de las distintas actividades a ejecutar en el Proceso de Contratación, de conformidad con lo contemplado en el parágrafo del artículo 4 de esta resolución.
PARÁGRAFO. La Entidad Estatal justificará en el estudio previo las razones que soportan la escogencia de un determinado Documento Tipo.”
ARTÍCULO 62. – INCLÚYASE EL ARTÍCULO 6 A LA RESOLUCIÓN 241 DE 2020 POR LA CUAL SE ACTUALIZAN LOS DOCUMENTOS TIPO PARA LOS PROCESOS DE SELECCIÓN ABREVIADA DE MENOR CUANTÍA DE OBRA PÚBLICA DE INFRAESTRUCTURA DE TRANSPORTE. <Resolución 241 de 2020 derogada por el artículo 7 de la Resolución 463 de 2024> Inclúyase el artículo 6 – Proyectos que contengan la ejecución de objetos contractuales cobijados por otros documentos tipo, a la Resolución 241 de 2020, por la cual se actualizan los documentos tipo para los procesos de selección abreviada de menor cuantía de obra pública de infraestructura de transporte, en los siguientes términos:
“Artículo 6o. Proyectos que contengan la ejecución de objetos contractuales cobijados por otros Documentos Tipo. Cuando el objeto contractual incluya actividades de obra pública de infraestructura de transporte, en conjunto con actividades cobijadas por otros Documentos Tipo, la Entidad deberá definir qué Documentos Tipo aplica dependiendo de la relevancia técnica del proyecto, impacto o el valor que representan en el presupuesto oficial.
Teniendo en cuenta los criterios anteriores, la Entidad Estatal debe determinar cuál documento tipo aplica. Esto sin perjuicio de que pueda utilizar las reglas de combinación de experiencia establecidas en esos documentos, siempre que ello resulte necesario con ocasión de las distintas actividades a ejecutar en el Proceso de Contratación, de conformidad con lo contemplado en el parágrafo del artículo 4 de esta resolución.
PARÁGRAFO. La Entidad Estatal justificará en el estudio previo las razones que soportan la escogencia de un determinado Documento Tipo.”
ARTÍCULO 63. – MODIFÍQUESE EL NUMERAL 10.1. DE LOS DOCUMENTOS TIPO DE CONSULTORÍA DE ESTUDIOS DE INGENIERÍA DE INFRAESTRUCTURA DE TRANSPORTE. Modifíquese el numeral 10.1 – Acreditación de la experiencia del proponente de los documentos tipo de consultoría de estudios de ingeniería de infraestructura de transporte adelantados bajo la modalidad de concurso de méritos abierto expedidos mediante la Resolución 193 de 2021, en los siguientes términos:
“10.1. ACREDITACIÓN DE LA EXPERIENCIA DEL PROPONENTE
Para que a los Proponentes se les otorgue puntaje por su experiencia aportarán: (i) el RUP, para aquellos que estén obligados a tenerlo; (ii) el “Formato 3 – Experiencia” y (iii) alguno de los documentos válidos señalados en el numeral 10.1.5 que acredite su experiencia relacionada en el RUP.
Para los Proponentes que estén obligados a estar inscritos en el RUP solo serán tenidos en cuenta para la acreditación de la experiencia los contratos inscritos en dicho registro.
En caso tal que no sea posible validar la información a través del RUP, el “Formato 3 – Experiencia” o los documentos soporte, la Entidad no tendrá en cuenta dicho contrato para la evaluación realizada y la asignación de puntaje. Esta condición es aplicable en los casos en los cuales sea diligenciado indebidamente el “Formato 3 – Experiencia” y que no puedan ser verificados con el RUP, situación en la cual no será considerado dicho contrato durante la evaluación y asignación de puntaje.
Los Proponentes podrán acreditar la experiencia proveniente de contratos celebrados con particulares o con Entidades Estatales. En ambos casos, los Proponentes obligados a estar registrados en el RUP deberán aportar solo los contratos que estén inscritos en dicho registro. Igualmente, todos los contratos aportados tendrán que cumplir con las exigencias de los numerales 10.1.1. a 10.1.5 de este Pliego de Condiciones.
La evaluación de los Proponentes se efectuará de acuerdo con la experiencia contenida en el Registro Único de Proponentes (RUP) vigente y en firme antes del cierre del Proceso de Contratación.
[Por regla general, el Proponente solo puede acreditar la experiencia que ha obtenido y no la de su matriz, subsidiarias o integrantes del mismo grupo empresarial. Cuando de acuerdo con el estudio de sector sea necesario que el Proponente acredite la experiencia de su matriz como en los casos de contratos de franquicia, la Entidad debe justificar dicha circunstancia en los estudios y documentos previos e indicar en el Pliego de Condiciones la forma de demostrar la experiencia que no aparece en el RUP].
JUSTIFICACIÓN DE LA COMPLEJIDAD TÉCNICA:
La complejidad técnica del proyecto se establece de la siguiente manera, en concordancia con lo previsto en la “Matriz 1 – Experiencia”:
| Baja – Media Complejidad | Alta Complejidad | |
| Complejidad técnica del proyecto y Matriz 1 – Experiencia | [Marque con una X la complejidad técnica del proyecto] | [Marque con una X la complejidad técnica del proyecto] |
| Justificación de la complejidad técnica de la Matriz 1 – Experiencia | [La Entidad deberá justificar y detallar en esta casilla la complejidad técnica del proyecto, de acuerdo con las consideraciones plasmadas en los siguientes apartados después de esta tabla] | |
[La Entidad debe indicar en esta sección las reglas de experiencia que serán requeridas en el Proceso de Contratación de acuerdo con la Matriz 1 – Experiencia. De igual forma, debe justificar expresa y suficientemente la implementación de las exigencias para un proyecto de consultoría de baja-media, o alta complejidad técnica según la Matriz 1 – Experiencia. Para tal fin, la Entidad puede tener en cuenta las siguientes variables que se señalan a modo de ejemplo, sin limitarse exclusivamente a estas, que puedan incidir en la determinación de la complejidad técnica asociadas con el rol del consultor: condiciones geográficas, geológicas, hidrológicas, climáticas, de seguridad, así como el alcance físico del proyecto de consultoría de infraestructura de transporte y el alcance que se pretende con el mismo].
[La Entidad no podrá limitarse exclusivamente a la cuantía del Proceso de Contratación para establecer la complejidad técnica, pues su definición obedece a aspectos técnicos.]
De conformidad con lo anterior, los requisitos de experiencia son: [la Entidad deberá indicar el número de la actividad a contratar, y transcribir textualmente lo consignado en la Matriz 1 – Experiencia. En caso de requerir combinar experiencia, se procederá según los lineamientos establecidos en el literal A del numeral 10.1.1”].
Los contratos que el Proponente pretenda acreditar como experiencia deberán cumplir con las condiciones detalladas en los siguientes numerales”.
ARTÍCULO 64. – MODIFÍQUENSE LOS LITERALES A), D), E) Y J) DEL NUMERAL 10.1.1 DE LOS DOCUMENTOS TIPO DE CONSULTORÍA DE ESTUDIOS DE INGENIERÍA DE INFRAESTRUCTURA DE TRANSPORTE. Modifíquense los literales A), D), E) y J) del numeral 10.1.1 – Características de los contratos presentados para acreditar la experiencia del proponente de los documentos tipo de consultoría de estudios de ingeniería de infraestructura de transporte adelantados bajo la modalidad de concurso de méritos abierto expedidos mediante la Resolución 193 de 2021, en los siguientes términos:
“10.1.1 CARACTERÍSTICAS DE LOS CONTRATOS PRESENTADOS PARA ACREDITAR LA EXPERIENCIA DEL PROPONENTE
[...]
A. Que hayan contenido la ejecución de: [En este espacio la Entidad debe incluir, sin modificar, la actividad o actividades válidas para acreditar la experiencia general y específica señaladas en la Matriz 1 – Experiencia. Para definir la experiencia exigible la Entidad tiene que: i) identificar el alcance del objeto a contratar, ii) identificar el tipo de infraestructura de transporte a la cual se realizará las labores de consultoría, iii) verificar las actividades definidas allí y iv) establecer los requisitos exigibles según la cuantía del Proceso de Contratación, así como los lineamientos para combinación de experiencia entre actividades en caso de requerirse.
De conformidad con lo anterior, la Entidad debe diligenciar este literal, exclusivamente, con lo señalado en la Matriz 1- Experiencia, sin modificar los requisitos de experiencia general, específica y los % de dimensionamiento, lo cual implicaría la alteración de las reglas del Documento Tipo.
Dependiendo del rango en SMMLV, la Entidad deberá exigir la experiencia específica señalada en la Matriz 1 – Experiencia en la(s) actividad(es) requeridas para la ejecución del objeto del contrato. La Entidad únicamente podrá solicitar experiencia específica cuando la Matriz 1 – Experiencia lo establezca.
i) [En el caso que eventualmente se soliciten combinaciones de diferentes actividades a contratar de la matriz de experiencia de estos Documentos Tipo o de diferentes matrices de experiencia relacionadas con actividades de consultoría, la Entidad en esta sección identificará y definirá la actividad principal o de mayor relevancia, y la actividad secundaria o accesoria a la principal, de acuerdo con las características del proyecto en particular. La Entidad podrá analizar la relevancia en función del valor de las actividades en el Presupuesto Oficial o por la complejidad técnica, para lo cual establecerá:
Actividad Principal: [La Entidad identificará y definirá la actividad a contratar principal aplicable en el Proceso de Contratación de acuerdo con la Matriz 1 – Experiencia. Para esta actividad principal se solicitará la experiencia general y específica de la respectiva actividad a contratar de mayor relevancia.]
[La Entidad deberá establecer como actividad principal alguna de las “actividades a contratar” definidas en la Matriz 1 – Experiencia de estos Documentos Tipo]
Actividad Secundaria (1): [La Entidad definirá la actividad secundaria o accesoria aplicable en el Proceso de Contratación de acuerdo con la matriz de experiencia aplicable, ya sea cuando: i) en un mismo proyecto se incluyen otras actividades definidas en la Matriz 1 – Experiencia de estos Documentos Tipo o ii) cuando en un Proceso de Contratación aplican matrices de experiencia de otros Documentos Tipo referidos a actividades de consultoría y la Entidad considera conveniente incluir dicha experiencia.]
Actividad Secundaria (2): [La Entidad diligenciará la experiencia aplicable a esta actividad secundaria de acuerdo con los lineamientos previstos en el párrafo anterior, en caso de que aplique y si considera conveniente exigir dicha experiencia.]
En caso de que se combinen diferentes actividades, la Entidad en este espacio definirá los requisitos de experiencia exigibles conforme con la Matriz 1 – Experiencia, optando por una de las siguientes alternativas:
a) No solicitar experiencia para la actividad secundaria, sino únicamente la experiencia de la actividad principal, siempre que esta se trate de una de las actividades definidas en la Matriz 1 – Experiencia de estos Documentos Tipo.
b) Solicitar la experiencia general y específica de la “actividad a contratar” de la actividad principal y para las demás actividades secundarias a contratar requerir la experiencia general o específica. Esto significa que la Entidad de acuerdo con el alcance del proyecto decidirá cuál experiencia pedirá para la actividad secundaria. En el evento en que la matriz de experiencia no contemple experiencia específica para la actividad secundaria, se solicitará la experiencia general. En todo caso en la actividad secundaria no será posible exigir la experiencia general y específica, sino solo una de ellas.
Para la actividad secundaria en caso de requerirse la experiencia específica, se entenderá en el contexto de la experiencia general solicitada en dicha actividad.
ii) La experiencia exigible para estas actividades (principal o secundaria) se definirá en función de los rangos de cuantías aplicables al Proceso de Contratación. En el caso que el requisito de experiencia a solicitarse esté expresado en un componente o actividad correspondiente a un porcentaje del Presupuesto Oficial, este deberá calcularse respecto del cien por ciento (100 %) del valor del Presupuesto Oficial. En todo caso para la demostración de la experiencia exigida en la actividad secundaria, si la Entidad desagrega el valor de las actividades, la acreditación de la experiencia de los componentes que están supeditados a un porcentaje del Presupuesto Oficial se realizará de acuerdo con el valor de cada actividad secundaria. En este último caso, la Entidad indicará en este literal el valor del Presupuesto Oficial que corresponde a cada uno.
iii) La Entidad no podrá incluir más de dos (2) combinaciones de experiencia adicionales a la prevista para la actividad principal. Esto significa que la Entidad solicitará la experiencia general y la específica de la actividad principal y máximo dos (2) experiencias, general o específica, para las actividades secundarias aplicables al Proceso de Contratación.
iv) Si en la actividad secundaria se solicita la experiencia específica y ésta contempla más de un requisito, la Entidad escogerá solo la que sea de mayor relevancia para el proyecto a ejecutar.
v) En los casos en que la Entidad opte por la exigencia de la experiencia específica para las actividades distintas a la actividad principal, deberá incluirse la siguiente nota:
“Nota: Para el caso de experiencias combinadas un Proponente podrá acreditar experiencia en una o más actividades con un contrato o con contratos distintos”.
vi) [En los Procesos de Contratación estructurados por lotes o por grupos, la Entidad establecerá la experiencia de cada uno de ellos, de acuerdo con las actividades definidas en la matriz de experiencia aplicable]
[La experiencia que deberá acreditar el Proponente será la establecida por la Entidad de forma independiente para cada uno de los lotes o grupos de acuerdo con las actividades definidas en la matriz de experiencia aplicable en el respectivo proyecto de infraestructura de transporte, en el literal A de esta sección]
[…]
D) El Proponente podrá aportar mínimo uno (1) y máximo cinco (5) contratos para la evaluación y asignación de puntaje por concepto de experiencia. [En los procesos estructurados por lotes o por grupos, el Proponente podrá aportar mínimo uno (1) y máximo cinco (5) contratos para cada uno de los lotes o grupos o podrá allegar los mismos para todos los lotes o grupos].
El Proponente persona natural o jurídica que acredite la calidad de Mipyme o de emprendimiento y empresa de mujer con domicilio en el territorio nacional de conformidad con lo previsto en el artículo 2.2.1.13.2.2 del Decreto 1074 de 2015 y los artículos 2.2.1.2.4.2.4. y 2.2.1.2.4.2.14 del Decreto 1082 de 2015, o las normas que los modifiquen, sustituyan o complementen, podrá probar la experiencia solicitada con un (1) contrato adicional a los cinco (5) inicialmente previstos, para un máximo de seis (6) contratos.
En caso de que el Proponente persona natural o jurídica acredite la calidad de Mipyme y de emprendimiento y empresa de mujer con domicilio en el territorio nacional de manera conjunta, podrá demostrar la experiencia solicitada con dos (2) contratos adicionales a los cinco (5) inicialmente previstos, para un máximo de siete (7).
Para el caso de Proponentes Plurales bastará con que uno de sus integrantes tenga una participación igual o superior al diez por ciento (10 %) en el Consorcio o en la Unión Temporal y acredite la calidad de Mipyme o emprendimiento y empresa de mujer de conformidad con lo previsto en el artículo 2.2.1.13.2.2 del Decreto 1074 de 2015 y los artículos 2.2.1.2.4.2.4. y 2.2.1.2.4.2.14 del Decreto 1082 de 2015, o las normas que los modifiquen, sustituyan o complementen, para demostrar la experiencia solicitada con un (1) contrato adicional a los cinco (5) inicialmente previstos, para un máximo de seis (6) contratos.
En caso de que el mismo integrante u otro que haga parte del Proponente Plural tenga una participación igual o superior al diez por ciento (10 %) en el Consorcio o en la Unión Temporal y acredite la calidad de Mipyme y de emprendimiento y empresa de mujer con domicilio en el territorio nacional de manera conjunta o separada, podrá demostrar la experiencia solicitada con dos (2) contratos adicionales a los cinco (5) inicialmente previstos, para un máximo de siete (7) contratos. En todo caso no será posible aportar más de dos (2) contratos adicionales aun cuando otros integrantes del Proponente Plural también cumplan las condiciones previamente definidas.
Para acreditar la condición de Mipyme, el Proponente entregará copia del certificado del Registro Único de Proponentes, el cual deberá encontrarse vigente y en firme al momento de su presentación. Por su parte, la condición de emprendimientos y/o empresas de mujeres se probará mediante el diligenciamiento del Formato 12 – Acreditación de emprendimientos y empresas de mujeres, el cual deberá aportarse con la documentación requerida en el artículo 2.2.1.2.4.2.14 del Decreto 1082 de 2015, o la norma que la modifique o la sustituya.
Para los efectos de este literal entiéndase por experiencia solicitada la general y la especifica requerida en la actividad principal, al igual que la exigida para la actividad secundaria en atención a las combinaciones de experiencia aplicables y la experiencia adicional respecto a los servicios adicionales a los estudios de ingeniería de infraestructura de transporte.
[En las convocatorias limitadas a Mipyme únicamente se aplicará este criterio diferencial respecto de los emprendimientos y empresas de mujeres]
E. Estar relacionados en el Formato 3 – Experiencia. Los Proponentes Plurales deben indicar qué integrante aporta cada uno de los contratos señalados en el Formato 3 – Experiencia. Este documento debe presentarlo el Proponente Plural y no sus integrantes.
Si el Proponente no diligencia el Formato 3 – Experiencia, la Entidad requerirá su subsanación en los términos del numeral 1.6. En caso de que el oferente no subsane se tendrán en cuenta para la evaluación los cinco (5) contratos de mayor valor aportados. Con estos la Entidad verificará la acreditación de los requisitos de experiencia general y específica solicitados para la actividad principal, al igual que los requeridos para la actividad secundaria en atención a las combinaciones de experiencia aplicables y la experiencia exigida respecto de los bienes y servicios adicionales a la obra pública de infraestructura de transporte, en caso de que aplique.
Tratándose de Proponentes que acrediten la calidad de Mipyme o emprendimientos y empresas de mujeres con domicilio en el territorio nacional, se tendrán en cuenta como máximo los seis (6) contratos aportados de mayor valor. En caso de que el Proponente pruebe la calidad de Mipyme y de emprendimiento y empresa de mujer con domicilio en el territorio nacional de manera conjunta, se valdrán como máximo los siete (7) contratos aportados de mayor valor.
El Formato 3 – Experiencia deberá aportarse diligenciado en formato Excel.
[…]
J. [Cuando el objeto contractual incorpore servicios ajenos a la consultoría de estudios de ingeniería de infraestructura de transporte y de manera excepcional se requiere incluir experiencia adicional para evaluar la idoneidad respecto de dichos servicios, la Entidad Estatal verificará si los servicios extraños a la consultoría de estudios de ingeniería de transporte están incorporados en otros Documentos Tipo, referidos a las actividades de consultoría. En este caso, la Entidad observará las reglas de combinación de experiencia definidas en el literal A) de este numeral y, por tanto, la Entidad no podrá definir requisitos de experiencia distintos a los determinados por esta Agencia. En todo caso, si el objeto contractual incluye servicios ajenos que no están regulados en los Documentos Tipo, la Entidad Estatal aplicará los parámetros del artículo 4o de la Resolución 193 de 2021.
Conforme con esta disposición, la Entidad no puede requerir experiencia adicional que incluya volúmenes o cantidades de obra específica expresada en SMMLV.
La Entidad tampoco puede exigir experiencia general o específica adicional a la señalada en la “Matriz 1 – Experiencia” relacionada con Planes de Manejo Ambiental, Planes de Manejo de Tránsito o el Plan de Adaptación de la Guía Ambiental, porque no son servicios ajenos a la consultoría de estudios de ingeniería de infraestructura de transporte].”
ARTÍCULO 65. – INCLÚYASE EL LITERAL M) AL NUMERAL 10.1.2 DE LOS DOCUMENTOS TIPO DE CONSULTORÍA DE ESTUDIOS DE INGENIERÍA DE INFRAESTRUCTURA DE TRANSPORTE. Inclúyase el literal M) al numeral 10.1.2 – Consideraciones para la validez de la experiencia del proponente de los documentos tipo de consultoría de estudios de ingeniería de infraestructura de transporte adelantados bajo la modalidad de concurso de méritos abierto expedidos mediante la Resolución 193 de 2021, en los siguientes términos:
10.1.2. CONSIDERACIONES PARA LA VALIDEZ DE LA EXPERIENCIA DEL PROPONENTE
M. Si el Proponente relaciona o anexa más de cinco (5) contratos en el Formato 3 – Experiencia, para efectos de evaluar la experiencia se tendrá en cuenta como máximo los cinco (5) contratos aportados de mayor valor.
Tratándose de Proponentes que acrediten la calidad de Mipyme o emprendimiento y empresa de mujer con domicilio en el territorio nacional, se tendrá en cuenta como máximo los seis (6) contratos aportados de mayor valor. En caso de que el Proponente pruebe la calidad de Mipyme y de emprendimiento y empresa de mujer con domicilio en el territorio nacional de manera conjunta, se valdrán como máximo los siete (7) contratos allegados de mayor valor.
ARTÍCULO 66. – MODIFÍQUENSE LOS LITERALES C), I) Y L) DEL NUMERAL 10.1.2 DE LOS DOCUMENTOS TIPO DE CONSULTORÍA DE ESTUDIOS DE INGENIERÍA DE INFRAESTRUCTURA DE TRANSPORTE. Modifíquese los literales C), I) y L) del numeral 10.1.2 – Consideraciones para la validez de la experiencia del proponente de los documentos tipo de consultoría de estudios de ingeniería de infraestructura de transporte adelantados bajo la modalidad de concurso de méritos abierto expedidos mediante la Resolución 193 de 2021, en los siguientes términos:
“C) Tratándose de Proponentes Plurales se tendrá en cuenta lo siguiente: i) uno de los integrantes debe aportar como mínimo el cincuenta por ciento (50 %) de la experiencia solicitada; ii) los demás integrantes deben acreditar al menos el cinco por ciento (5 %) de la experiencia solicitada; y iii) sin perjuicio de lo anterior, solo uno (1) de los integrantes, si así lo considera pertinente, podrá no acreditar experiencia. En este último caso, el porcentaje de participación del integrante que no aporta experiencia en la estructura plural no podrá superar el diez por ciento (10 %).
Estos porcentajes que acreditarán los integrantes del Proponente Plural se podrán cumplir con contratos válidos que acrediten cualquier requisito de experiencia solicitada en el pliego de condiciones y se verificarán de conformidad con el porcentaje mínimo de experiencia exigido en el numeral 3.8.1., esto es, el cien por ciento (100 %) del Presupuesto Oficial.
En armonía con lo anterior, para cumplir el requisito previsto en este literal no se solicitará la acreditación de longitudes, magnitudes, volúmenes o porcentajes requeridos en la experiencia específica, sino que bastará con acreditar los SMMLV.
[En caso de que el Proceso de Contratación se adelante por lotes o grupos este porcentaje de experiencia mínima se realizará en relación con el ciento por ciento (100 %) del valor total del Presupuesto Oficial establecido para cada lote o grupo]
[…]
I) Para los proyectos de concesiones viales, únicamente se tendrá en cuenta la experiencia adquirida en la consultoría previa a la etapa constructiva y/o de intervención de la obra de infraestructura de transporte, lo cual deberá demostrarse con los documentos que la soporten. En consecuencia, no será válida la experiencia obtenida en la etapa de operación, administración y/o mantenimiento de la infraestructura concesionada.
Para estos efectos, el oferente deberá acreditar los valores ejecutados expresados en SMMLV dentro del respectivo contrato correspondientes a la consultoría previa a la etapa constructiva y/o de intervención de infraestructura de transporte, empleando alguno de los documentos válidos establecidos en el numeral 10.1.5 del Pliego de Condiciones. En el evento en que los valores de los documentos aportados se expresen en moneda extranjera se procederá de conformidad en el literal A del numeral 1.13. Para este caso, la fecha de terminación a la consultoría previa a la etapa constructiva y/o de intervención de la obra hará las veces de fecha de terminación del contrato. Ahora, para la conversión de dichos valores a SMMLV se seguirá el proceso descrito en el literal B del numeral 1.13, para lo cual se emplearán los valores históricos de SMMLV señalados por el Banco de la República (http://www.banrep.gov.co/es/mercado-laboral/salarios), del año correspondiente a la fecha de terminación en la consultoría previa a la etapa constructiva y/o de intervención de la obra.
En los casos en que el Proponente no cumpla la exigencia antes señalada, la Entidad permitirá la subsanación, en los términos del numeral 1.6 del Pliego de Condiciones, requiriendo al Proponente para que demuestre los valores ejecutados. En caso de que el Proponente subsane, en relación con este contrato se aplicará lo dispuesto en el literal A) del numeral 4.1 del Pliego de Condiciones. De no lograrse la discriminación de los valores ejecutados en el marco del respectivo contrato, la Entidad no lo tendrá en cuenta para la evaluación.
En caso de que el valor ejecutado que consta en el RUP sea distinto al verificado en el documento aportado por el Proponente, la Entidad Estatal para evaluar el requisito de la experiencia tomará el dato del valor de alguno de los documentos válidos establecidos el numeral 10.1.5. del Pliego de Condiciones. Lo anterior, debido a que estos últimos discriminan el valor ejecutado a la consultoría previa a la etapa constructiva y/o de intervención de la obra de infraestructura de transporte.
[…]
L. Las auto certificaciones no servirán para acreditar la experiencia requerida, ya que con estas no puede constatarse la ejecución de contratos que deben certificar los terceros que recibieron la obra, bien o servicio. Para la aplicación de esta regla, se entiende por auto certificaciones aquellas expedidas por el mismo Proponente, sus representantes, los integrantes del Proponente Plural o del mismo grupo empresarial para demostrar su propia experiencia”.
ARTÍCULO 67. – MODIFÍQUESE EL NUMERAL 3.5 DE LOS DOCUMENTOS TIPO DE CONSULTORÍA DE ESTUDIOS DE INGENIERÍA DE INFRAESTRUCTURA DE TRANSPORTE. Modifíquese el numeral 3.5 – Capacidad financiera de los documentos tipo de consultoría de estudios de ingeniería de infraestructura de transporte adelantados bajo la modalidad de concurso de méritos abierto expedido mediante la Resolución 193 de 2021, en los siguientes términos:
3.5 CAPACIDAD FINANCIERA
Los Proponentes deberán acreditar los siguientes indicadores en los términos señalados en la Matriz 2 – Indicadores financieros y organizacionales y bajo las condiciones señaladas en el numeral 3.7:
| Indicador | Fórmula |
| Liquidez | |
| Nivel de Endeudamiento | |
| Razón de Cobertura de Intereses |
Si el Proponente es plural cada indicador debe calcularse así:
![]()
Donde n es el número de integrantes del Proponente Plural (Unión Temporal o Consorcio).
El Proponente que no tiene pasivos corrientes está habilitado respecto del índice de liquidez.
El Proponente que no tiene gastos de intereses está habilitado respecto de la razón de cobertura de intereses, siempre y cuando la utilidad operacional sea igual o mayor a cero (0).
El Proponente que demuestre la condición de Mipyme domiciliada en Colombia acreditará la capacidad financiera de acuerdo con los indicadores señalados en la Matriz 2 – Indicadores financieros y organizacionales. El Proponente acreditará la condición de Mipyme con la copia del certificado del Registro Único de Proponentes, el cual deberá encontrarse vigente y en firme al momento de su presentación.”
ARTÍCULO 68. – MODIFÍQUESE EL NUMERAL 3.7 DE LOS DOCUMENTOS TIPO DE CONSULTORÍA DE ESTUDIOS DE INGENIERÍA DE INFRAESTRUCTURA DE TRANSPORTE. Modifíquese el numeral 3.7 – Capacidad organizacional de los documentos tipo de consultoría de estudios de ingeniería de infraestructura de transporte adelantados bajo la modalidad de concurso de méritos abierto expedido mediante la Resolución 193 de 2021, en los siguientes términos:
“3.7 CAPACIDAD ORGANIZACIONAL
Los Proponentes deberán acreditar los siguientes indicadores en los términos señalados en la Matriz 2 – Indicadores financieros y organizacionales:
| Indicador | Fórmula |
| Rentabilidad sobre Patrimonio (ROE) | |
| Rentabilidad del Activo (ROA) |
Si el Proponente es plural cada indicador debe calcularse así:
![]()
Donde n es el número de integrantes del Proponente Plural (Unión Temporal o Consorcio).
El Proponente que demuestre la condición de Mipyme domiciliada en Colombia acreditará la capacidad organizacional de acuerdo con los indicadores señalados en la Matriz 2 – Indicadores financieros y organizacionales. El Proponente probará la condición de Mipyme con la copia del certificado del Registro Único de Proponentes, el cual deberá encontrarse vigente y en firme al momento de su presentación”.
ARTÍCULO 69. – MODIFÍQUESE EL CAPÍTULO IV DE LOS DOCUMENTOS TIPO DE CONSULTORÍA DE ESTUDIOS DE INGENIERÍA DE INFRAESTRUCTURA DE TRANSPORTE. Modifíquese el Capítulo IV – Criterios de evaluación, asignación de puntaje y criterios de desempate de los documentos tipo de consultoría de estudios de ingeniería de infraestructura de transporte, adelantados bajo la modalidad de concurso de méritos adoptados mediante la Resolución 193 de 2021, en los siguientes términos:
“CAPÍTULO IV. CRITERIOS DE EVALUACIÓN, ASIGNACIÓN DE PUNTAJE Y CRITERIOS DE DESEMPATE
La Entidad calificará las ofertas que hayan cumplido los requisitos habilitantes con los siguientes criterios de evaluación y puntajes:
| Concepto | Puntaje máximo |
| Experiencia del Proponente | 67,5 |
| Equipo de trabajo (Personal Clave Evaluable) | 10 |
| Factor de sostenibilidad | 1 |
| Apoyo a la industria nacional | 20 |
| Vinculación de personas con discapacidad | 1 |
| Emprendimientos y empresas de mujeres | 0,25 |
| Mipyme | 0,25 |
| Total | 100 |
En las convocatorias limitadas a Mipyme el puntaje por este concepto se trasladará al puntaje de Experiencia del Proponente. En este caso el Pliego de Condiciones definitivo incluirá el siguiente cuadro:
La Entidad calificará las ofertas que hayan cumplido los requisitos habilitantes con los siguientes criterios de evaluación y puntajes:
| Concepto | Puntaje máximo |
| Experiencia del Proponente | 67,75 |
| Equipo de trabajo (Personal Clave Evaluable) | 10 |
| Factor de sostenibilidad | 1 |
| Apoyo a la industria nacional | 20 |
| Vinculación de personas con discapacidad | 1 |
| Emprendimientos y empresas de mujeres | 0,25 |
| Total | 100 |
Las Entidades deberán reducir durante la evaluación de las ofertas dos (2) puntos a los Proponentes que se les haya impuesto una o más multas o cláusulas penales durante el último año, contado a partir de la fecha prevista para el cierre del proceso, sin importar la cuantía y sin perjuicio de las demás consecuencias derivadas del incumplimiento. Esta reducción también afectará a los Consorcios y a las Uniones Temporales si alguno de sus integrantes se encuentra en la situación anterior.
La reducción del puntaje antes señalada no se materializará en caso de que los actos administrativos que hayan impuesto las multas sean objeto de control jurisdiccional previstos en la Ley 1437 de 2011 o las normas que la modifiquen, adicionen o sustituyan. Además, se aplicará sin perjuicio de lo dispuesto en el artículo 6o de la Ley 2020 de 2020. Lo anterior de conformidad con el artículo 58 de la Ley 2195 de 2022 y las normas que lo modifiquen, sustituyan, adicionen o reglamenten.”
ARTÍCULO 70. – MODIFÍQUESE EL NUMERAL 4.6 DE LOS DOCUMENTOS TIPO DE CONSULTORÍA DE ESTUDIOS DE INGENIERÍA DE INFRAESTRUCTURA DE TRANSPORTE. Modifíquese el numeral 4.6 – Emprendimientos y empresas de mujeres de los documentos tipo de consultoría de estudios de ingeniería de infraestructura de transporte, adelantados bajo la modalidad de concurso de méritos adoptados mediante la Resolución 193 de 2021, en los siguientes términos:
“4.6 EMPRENDIMIENTOS Y EMPRESAS DE MUJERES
La Entidad asignará un puntaje de cero punto veinticinco (0.25) puntos al Proponente que acredite la calidad de emprendimientos y empresas de mujeres con domicilio en el territorio nacional de conformidad con la previsto en el artículo 2.2.1.2.4.2.14. del Decreto 1082 de 2015 o la norma que lo modifique, sustituya o complemente.
Para que el Proponente obtenga este puntaje debe diligenciar el Formato 13 – Acreditación de emprendimientos y empresas de mujeres y aportar la documentación requerida. Si el Proponente debió subsanar la entrega de dicho formato y/o los documentos exigidos para probar esta condición será válido para el criterio diferencial en cuanto al requisito habilitante relacionado con el número de contratos aportados para demostrar la experiencia solicitada. Sin embargo, no se tendrán en cuenta para la asignación de puntaje, por lo que obtendrá cero (0) puntos por este factor de evaluación.
Tratándose de Proponentes Plurales este puntaje solo se otorgará si por lo menos uno de los integrantes acredita la calidad de emprendimientos y empresas de mujeres y tiene una participación igual o superior al diez por ciento (10 %) en el Consorcio o en la Unión Temporal.
La asignación de este puntaje no excluye la aplicación del puntaje para Mipyme.”
ARTÍCULO 71. – INCLÚYASE EL NUMERAL 4.7 DE LOS DOCUMENTOS TIPO DE CONSULTORÍA DE ESTUDIOS DE INGENIERÍA DE INFRAESTRUCTURA DE TRANSPORTE. Inclúyase el numeral 4.7 Mipyme domiciliada en Colombia de los documentos tipo de consultoría de estudios de ingeniería de infraestructura de transporte, adelantados bajo la modalidad de concurso de méritos adoptados mediante la Resolución 193 de 2021, en los siguientes términos:
“4.7 MIPYME DOMICILIADA EN COLOMBIA
[En las convocatorias limitadas a Mipyme no aplicará este puntaje adicional. En este caso, los puntos por este concepto se trasladarán al puntaje de la Experiencia del Proponente.]
La Entidad otorgará un puntaje de cero punto veinticinco puntos (0.25) al Proponente que acredite la calidad de Mipyme domiciliada en Colombia de conformidad con el artículo 2.2.1.2.4.2.4 del Decreto 1082 de 2015, en concordancia con el parágrafo del artículo 2.2.1.13.2.4 del Decreto 1074 de 2015, o la norma que lo modifique, complemente o sustituya.
Así las cosas, para obtener el puntaje, el Proponente entregará copia del certificado del Registro Único de Proponentes, el cual deberá encontrarse vigente y en firme al momento de su presentación. Si el Proponente debió subsanar la entrega del RUP, éste será válido para los criterios diferenciales en cuanto a los requisitos habilitantes relacionados con el número de contratos aportados para demostrar la experiencia solicitada y los índices de la Capacidad Financiera y Organizacional. Sin embargo, el certificado no se tendrá en cuenta para la asignación del puntaje adicional, por lo que obtendrá cero (0) puntos por este factor de evaluación.
Tratándose de Proponentes Plurales este puntaje se otorgará si por lo menos uno de los integrantes acredita la calidad de Mipyme y tiene una participación igual o superior al diez por ciento (10 %) en el Consorcio o en la Unión Temporal.”
ARTÍCULO 72. – INCLÚYASE EL NUMERAL 4.8 DE LOS DOCUMENTOS TIPO DE CONSULTORÍA DE ESTUDIOS DE INGENIERÍA DE INFRAESTRUCTURA DE TRANSPORTE. Inclúyase el numeral 4.8 – Criterios de desempate de los documentos tipo de consultoría de estudios de ingeniería de infraestructura de transporte, expedidos a través de la Resolución 193 de 2021, en los siguientes términos:
“4.8. CRITERIOS DE DESEMPATE
En caso de empate en el puntaje total de dos o más ofertas deberán aplicarse las siguientes reglas de acuerdo con cada uno de los numerales, de forma sucesiva y excluyente, para seleccionar al Proponente favorecido, respetando en todo caso las obligaciones contenidas en los Acuerdos Comerciales vigentes, especialmente en materia de trato nacional:
1. Preferir la oferta de bienes o servicios nacionales frente a la oferta de bienes o servicios extranjeros. El Proponente acreditará este factor de desempate de acuerdo con las reglas definidas en el numeral 4.4.1 y con los documentos señalados en la sección 4.4.1.1 del Pliego de Condiciones. Por tanto, este criterio de desempate se probará con los mismos documentos que se presentan para el puntaje de apoyo a la industria nacional. Para el caso de los Proponentes Plurales, todos los integrantes deberán demostrar el origen nacional de la oferta en las condiciones indicadas en los numerales anteriormente citados.
2. Preferir la propuesta de la mujer cabeza de familia. Su acreditación se realizará en los términos del parágrafo del artículo 2o de la Ley 82 de 1993, modificado por el artículo 1o de la Ley 1232 de 2008, o la norma que lo modifique, aclare, adicione o sustituya, es decir, la condición de mujer cabeza de familia y la cesación de esta se otorgará desde el momento en que ocurra el respectivo evento y se declare ante un notario. Esta certificación debe tener una fecha de expedición no mayor a treinta (30) días calendario anteriores a la fecha del cierre del Proceso de Contratación y en esta deberá verificarse el cumplimiento de los requisitos indicados en el artículo 1o de la Ley 1232 de 2008. En caso de modificarse la fecha de cierre del proceso, se tendrá como referencia para establecer el plazo de vigencia del certificado la fecha originalmente establecida en el Pliego de Condiciones definitivo.”
Igualmente, se preferirá la propuesta de la mujer víctima de violencia intrafamiliar, la cual acreditará esta condición de conformidad con el artículo 21 de la Ley 1257 de 2008 o la norma que lo modifique, aclare, adicione o sustituya, esto es, cuando se profiera una medida de protección expedida por la autoridad competente. En virtud del artículo 16 de la Ley 1257 de 2008 o la norma que lo modifique, aclare, adicione o sustituya, la medida de protección la debe impartir el comisario de familia del lugar donde ocurrieron los hechos y, a falta de este, del juez civil municipal o promiscuo municipal, o la autoridad indígena en los casos de violencia intrafamiliar en las comunidades de esa naturaleza.
En el caso de las personas jurídicas se preferirá a aquellas en las que participen mayoritariamente mujeres cabeza de familia y/o mujeres víctimas de violencia intrafamiliar, para lo cual el representante legal o el revisor fiscal, según corresponda, diligenciará el «Formato 11 A – Participación mayoritaria de mujeres cabeza de familia y/o mujeres víctimas de violencia intrafamiliar (persona jurídica)», mediante el cual acreditará, bajo la gravedad del juramento, que más del cincuenta por ciento (50 %) de la composición accionaria o cuota parte de la persona jurídica está constituida por mujeres cabeza de familia y/o mujeres víctimas de violencia intrafamiliar. Además, deberá probar la condición indicada de cada una de las mujeres que participen en la sociedad, aportando los documentos que avalen el cumplimiento de los requisitos, de acuerdo con los dos incisos anteriores.
Finalmente, en el caso de los Proponentes Plurales, se preferirá la oferta cuando cada uno de los integrantes acredite alguna de las condiciones señaladas en los incisos anteriores de este numeral.
Debido a que para el otorgamiento de este criterio de desempate se entregan certificados que contienen datos sensibles, de acuerdo con el artículo 5o de la Ley 1581 de 2012 o la norma que lo modifique, aclare, adicione o sustituya, se requiere que el titular de la información, como son las mujeres víctimas de violencia intrafamiliar, en los términos del literal a) del artículo 6o de la Ley 1581 de 2012, diligencien el «Formato 12 – Autorización para el tratamiento de datos personales» mediante el cual autoricen de manera previa y expresa el tratamiento de esta información, como requisito para el otorgamiento del criterio de desempate.
3. Preferir la propuesta presentada por el Proponente que acredite en las circunstancias establecidas en la ley que por lo menos el diez por ciento (10 %) de su nómina está en condición de discapacidad, de acuerdo con el artículo 24 de la Ley 361 de 1997 o la norma que lo modifique, aclare, adicione o sustituya, debidamente certificadas por la oficina del Ministerio del Trabajo de la respectiva zona, que hayan sido contratados con por lo menos un (1) año de anterioridad a la fecha de cierre del presente Proceso de Contratación o desde el momento de la constitución de la persona jurídica cuando esta es inferior a un (1) año y que manifieste adicionalmente que mantendrá dicho personal por un lapso igual al término de ejecución del contrato, para lo cual deberá diligenciar el «Formato 11 B – Vinculación de personas en condición de discapacidad». En caso de modificarse la fecha de cierre del proceso, se tendrá como referencia para establecer el plazo de vigencia del certificado la fecha originalmente contemplada en el Pliego de Condiciones definitivo.
Si la oferta es presentada por un Proponente Plural, el integrante que acredite que el diez por ciento (10 %) de su nómina está en condición de discapacidad, en los términos del presente numeral, debe tener una participación de por lo menos el veinticinco por ciento (25 %) en la estructura plural y aportar como mínimo el veinticinco por ciento (25 %) de la experiencia acreditada en la oferta.
El tiempo de vinculación en la planta referida de que trata este numeral se acreditará con el certificado de aportes a seguridad social del último año o del tiempo de su constitución cuando su conformación sea inferior a un (1) año, en el que se demuestren los pagos realizados por el empleador.
4. Preferir la propuesta presentada por el oferente que acredite la vinculación en mayor proporción de personas que no sean beneficiarios de la pensión de vejez, familiar o de sobrevivencia y que hayan cumplido el requisito de edad de pensión establecido en la ley. Para ello la persona natural, el representante legal de la persona jurídica o el revisor fiscal, según corresponda, diligenciará el «Formato 11 C – Vinculación de personas no beneficiarias de la pensión de vejez, familiar o sobrevivencia – (Empleador – Proponente)», mediante la cual certificará bajo la gravedad de juramento las personas vinculadas en su nómina y el número de trabajadores que no son beneficiarios de la pensión de vejez, familiar o de sobrevivencia y que cumplieron el requisito de edad de pensión. Solo se valdrá la vinculación de aquellas personas que se encuentren en las condiciones descritas y que hayan estado vinculadas con una anterioridad igual o mayor a un (1) año contado a partir de la fecha del cierre del Proceso de Contratación. Para los casos de constitución inferior a un (1) año, se tendrá en cuenta a aquellos que hayan estado vinculados desde el momento de la constitución de la persona jurídica. En caso de modificarse la fecha de cierre del proceso, se tendrá como referencia para establecer el plazo de vigencia del certificado la fecha originalmente contemplada en el Pliego de Condiciones definitivo.
El tiempo de vinculación en la planta referida de que trata el inciso anterior se acreditará con el certificado de aportes a la seguridad social del último año o del tiempo de constitución de la persona jurídica en caso de que esta sea inferior a un (1) año, en el que se demuestre los pagos realizados por el empleador.
En el caso de los Proponentes Plurales, su representante legal diligenciará el «Formato 11 C – Vinculación de personas no beneficiarias de la pensión de vejez, familiar o sobrevivencia – (Empleador – Proponente)», mediante el cual certifique el número de trabajadores vinculados que son personas no beneficiarias de la pensión de vejez, familiar o de sobrevivencia, y que cumplieron el requisito de edad de pensión establecido en la ley, de todos los integrantes del Proponente. Las personas enunciadas anteriormente podrán estar vinculadas a cualquiera de sus integrantes.
En cualquiera de los dos supuestos anteriores, para el otorgamiento del criterio de desempate, cada uno de los trabajadores que cumpla las condiciones previstas por la ley diligenciará el «Formato 11 C – Vinculación de personas no beneficiarias de la pensión de vejez, familiar o sobrevivencia (Trabajador)», mediante el cual certifica bajo la gravedad del juramento que no es beneficiario de pensión de vejez, familiar o sobrevivencia, y cumple la edad de pensión; además, se deberá allegar el documento de identificación del trabajador que lo firma.
La mayor proporción se definirá en relación con el número total de trabajadores vinculados en la planta de personal, por lo que se preferirá al oferente que acredite un mayor porcentaje. En el caso de Proponentes Plurales, la mayor proporción se definirá con la sumatoria de trabajadores vinculados en la planta de personal de cada uno de sus integrantes.
5. Preferir la propuesta presentada por el oferente que acredite, que por lo menos el diez por ciento (10 %) de su nómina pertenece a población indígena, negra, afrocolombiana, raizal, palanquera, Rrom o gitana, para lo cual, la persona natural, el representante legal o el revisor fiscal, según corresponda, bajo la gravedad de juramento, diligenciará el «Formato 11 D – Vinculación de población indígena, negra, afrocolombiana, raizal, palenquera, Rrom o gitanas» mediante el cual certifica las personas vinculadas a su nómina y el número de identificación y el nombre de las personas que pertenecen a la población indígena, negra, afrocolombiana, raizal, palanquera, Rrom o gitana. Solo se tendrá en cuenta aquellas personas que hayan estado vinculadas con una anterioridad igual o mayor a un (1) año contado a partir de la fecha del cierre del proceso. Para los casos de constitución inferior a un (1) año, se valdrá aquellos que hayan estado vinculados desde el momento de la constitución de la persona jurídica. En caso de modificarse la fecha de cierre del proceso, se tendrá como referencia para establecer el plazo de vigencia del certificado la fecha originalmente contemplada en el Pliego de Condiciones definitivo
El tiempo de vinculación en la planta referida de que trata el inciso anterior se acreditará con el certificado de aportes a la seguridad social en el que se demuestren los pagos realizados por el empleador en el último año contado a partir de la fecha del cierre del proceso o del tiempo de su constitución cuando esta es inferior a un (1) año.
Además, deberá aportar la copia de la certificación expedida por el Ministerio del Interior en la cual acredite que los trabajadores pertenecen a la población indígena, negra, afrocolombiana, raizal, palenquera, Rrom o gitana en los términos del Decreto Ley 2893 de 2011, o la norma que lo modifique, sustituya o complemente.
En el caso de los Proponentes Plurales, su representante legal diligenciará el «Formato 11 D – Vinculación de población indígena, negra, afrocolombiana, raizal, palenquera, Rrom o gitana», mediante el cual certifica que por lo menos el diez por ciento (10 %) del total de la nómina de sus integrantes pertenece a población indígena, negra, afrocolombiana, raizal, palanquera, Rrom o gitana. Este porcentaje se definirá de acuerdo con la sumatoria de la nómina de cada uno de los integrantes del Proponente Plural. Las personas enunciadas anteriormente podrán estar vinculadas a cualquiera de sus integrantes. En todo caso, deberá aportar la copia de la certificación expedida por el Ministerio del Interior, en la cual acredite que el trabajador pertenece a la población indígena, negra, afrocolombiana, raizal, palenquera, Rrom o gitana en los términos del Decreto Ley 2893 de 2011, o la norma que lo modifique, sustituya o complemente.
Debido a que para el otorgamiento de este criterio de desempate se entregan certificados que contienen datos sensibles, de acuerdo con el artículo 5o de la Ley 1581 de 2012 o la norma que lo modifique, aclare, adicione o sustituya, se requiere que el titular de la información de estos, como son las personas que pertenecen a la población indígena, negra, afrocolombiana, raizal, palenquera, Rrom o gitana, en los términos del literal a) del artículo 6o de la Ley 1581 de 2012, diligencien el «Formato 12- Autorización para el tratamiento de datos personales» mediante el cual autoriza de manera previa y expresa el tratamiento de la información, como requisito para el otorgamiento del criterio de desempate.
6. Preferir la propuesta de personas naturales en proceso de reintegración o reincorporación para lo cual presentará copia de alguno de los siguientes documentos: i) la certificación en las desmovilizaciones colectivas que expida la Oficina del Alto Comisionado para la Paz, ii) el certificado que emita el Comité Operativo para la Dejación de las Armas respecto de las personas desmovilizadas en forma individual, iii) el certificado que emita la Agencia para la Reincorporación y la Normalización que acredite que la persona se encuentra en proceso de reincorporación o reintegración o iv) cualquier otro certificado que para el efecto determine la Ley. Además, se entregará copia del documento de identificación de la persona en proceso de reintegración o reincorporación.
En el caso de las personas jurídicas, el representante legal o el revisor fiscal, si están obligados a tenerlo, diligenciarán el «Formato 11 E- Participación mayoritaria de personas en proceso de reincorporación y/o reintegración (personas jurídicas)», por medio del cual certificarán bajo la gravedad del juramento que más del cincuenta por ciento (50 %) de la composición accionaria o cuotas partes de la persona jurídica está constituida por personas en proceso de reintegración o reincorporación. Además, deberá aportar alguno de los certificados del inciso anterior, junto con los documentos de identificación de cada una de las personas que está en proceso de reincorporación o reintegración.
Tratándose de Proponentes Plurales, se preferirá la oferta cuando todos los integrantes sean personas en proceso de reincorporación, para lo cual se entregará alguno de los certificados del inciso primero de este numeral, y/o personas jurídicas donde más del cincuenta por ciento (50 %) de la composición accionaria o cuotas partes esté constituida por personas en proceso de reincorporación, para lo que el representante legal, o el revisor fiscal, si está obligado a tenerlo, diligenciarán, bajo la gravedad del juramento, el «Formato 11 E – Participación mayoritaria de personas en proceso de reincorporación (personas jurídica integrante del Proponente Plural)», y aportará los documentos de identificación de las personas en proceso de reincorporación.
Debido a que para el otorgamiento de este criterio de desempate se entregan certificados que contienen datos sensibles, de acuerdo con el artículo 5o de la Ley 1581 de 2012 o la norma que lo modifique, aclare, adicione o sustituya, se requiere que el titular de la información, como son las personas en proceso de reincorporación o reintegración, en los términos del literal a) del artículo 6o de la Ley 1581 de 2012, diligencien el «Formato 12- Autorización para el tratamiento de datos personales» mediante el cual autoriza de manera previa y expresa el tratamiento de la información, como requisito para el otorgamiento del criterio de desempate.
7. Preferir la oferta presentada por un Proponente Plural siempre que se cumplan las condiciones de los siguientes literales:
(a) Esté conformado por al menos una madre cabeza de familia y/o una persona en proceso de reincorporación o reintegración, para lo cual se acreditarán estas condiciones de acuerdo con lo previsto en el inciso 1 del numeral 2 y/o el inciso 1 del numeral 6, de los criterios de desempate del presente Pliego de Condiciones; o por una persona jurídica en la cual participe o participen mayoritariamente madres cabeza de familia y/o personas en proceso de reincorporación o reintegración, para lo cual el representante legal o el revisor fiscal, si están obligados a tenerlo, diligenciará el «Formato 11 F – Participación mayoritaria de mujeres cabeza de familia y/o personas en proceso de reincorporación o reintegración (personas jurídicas)», mediante el cual certifica, bajo la gravedad del juramento, que más del cincuenta por ciento (50 %) de la composición accionaria o cuota parte de la persona jurídica está constituida por madres cabeza de familia y/o personas en proceso de reincorporación o reintegración. Además, deberá acreditar la condición indicada de las personas que participe en la sociedad que sean mujeres cabeza de familia y/o personas en proceso de reincorporación o reintegración, allegando los documentos de cada uno de ellos, de acuerdo con lo previsto en este literal. Este integrante debe tener una participación de por lo menos el veinticinco por ciento (25 %) en el Proponente Plural.
(b) el integrante del Proponente Plural de que trata el anterior literal debe aportar mínimo el veinticinco por ciento (25 %) de la experiencia acreditada en la oferta.
(c) en relación con el integrante del literal a) ni la madre cabeza de familia o la persona en proceso de reincorporación o reintegración, ni la persona jurídica, ni sus accionistas, socios o representantes legales podrán ser empleados, socios o accionistas de otro de los integrantes del Proponente Plural, para lo cual el integrante persona natural o el representante legal de la persona jurídica de que trata el literal a) lo manifestará diligenciando el «Formato 11 F Participación mayoritaria de mujeres cabeza de familia y/o personas en proceso de reincorporación y/o reintegración».
Debido a que para el otorgamiento de este criterio de desempate se entregan certificados que contienen datos sensibles, de acuerdo con el artículo 5o de la Ley 1581 de 2012 o la norma que lo modifique, aclare, adiciona o sustituya, se requiere que el titular de la información, como son las personas en proceso de reincorporación y/o reintegración, en los términos del literal a) del artículo 6o de la Ley 1581 de 2012, diligencien el «Formato 12- Autorización para el tratamiento de datos personales» mediante el cual autoriza de manera previa y expresa el tratamiento de esta información, como requisito para el otorgamiento del criterio de desempate.
8. Preferir la oferta presentada por una Mipyme, lo cual se verificará en los términos del parágrafo del artículo 2.2.1.2.4.2.4 del Decreto 1082 de 2015, en concordancia con el parágrafo del artículo 2.2.1.13.2.4 del Decreto 1074 de 2015. En este sentido, el tamaño empresarial se acreditará con la copia del certificado del Registro Único de Proponentes, el cual deberá encontrarse vigente y en firme al momento de su presentación.
Asimismo, se preferirá la oferta presentada por una cooperativa o asociaciones mutuales para lo cual se aportará el certificado de existencia y representación legal expedido por la cámara de comercio o la autoridad respectiva. En el caso específico en que el empate se presente entre cooperativas o asociaciones mutuales que tengan el tamaño empresarial de grandes empresas junto con micro, pequeñas o medianas, se preferirá la oferta de las cooperativas o asociaciones mutuales que cumplan con los criterios de clasificación empresarial definidos por el Decreto 1074 de 2015 o la norma que lo modifique, aclare, adicione o sustituya, que sean micro, pequeñas o medianas.
Tratándose de Proponentes Plurales, se preferirá la oferta cuando cada uno de los integrantes acredite alguna de las condiciones señaladas en los incisos anteriores de este numeral. En el evento en que se presente empate entre Proponentes Plurales cuyos integrantes estén conformados únicamente por cooperativas y asociaciones mutuales que tengan la calidad de grandes empresas junto con otras en las que los integrantes tengan la condición de micro, pequeñas o medianas, se preferirá la oferta de aquellos Proponentes Plurales en los cuales al menos uno de sus integrantes sea una cooperativa o asociación mutual que cumpla con los criterios de clasificación empresarial definidos por el Decreto 1074 de 2015 o la norma que lo modifique, aclare, adicione o sustituya, que sean micro, pequeñas o medianas.
9. Preferir la oferta presentada por el Proponente Plural constituido en su totalidad por micro y/o pequeñas empresas, cooperativas o asociaciones mutuales.
La condición de micro o pequeña empresa se verificará en los términos del artículo 2.2.1.2.4.2.4 del Decreto 1082 de 2015, en concordancia con el parágrafo del artículo 2.2.1.13.2.4 del Decreto 1074 de 2015, esto es, el tamaño empresarial se acreditará con la copia del certificado del Registro Único de Proponentes, el cual deberá encontrarse vigente y en firme al momento de su presentación.
La condición de cooperativa o asociación mutual se acreditará con el certificado de existencia y representación legal expedido por la cámara de comercio o la autoridad respectiva. En el evento en que el empate se presente entre Proponentes Plurales cuyos integrantes estén conformados únicamente por cooperativas y asociaciones mutuales que tengan la calidad de grandes empresas junto con otras en las que los integrantes tengan la calidad de micro, pequeñas o medianas, se preferirá la oferta de aquellos Proponentes Plurales en los cuales al menos uno de sus integrantes sea una cooperativa o asociación mutual que cumpla con los criterios de clasificación empresarial definidos por el Decreto 1074 de 2015 o la norma que lo modifique, aclare, adicione o sustituya, que sean micro, pequeñas o medianas.
10. Preferir al oferente persona natural o jurídica que acredite, de acuerdo con sus estados financieros o información contable con corte al 31 de diciembre del año anterior, que por lo menos el veinticinco por ciento (25 %) del total de sus pagos fueron realizados a Mipyme, cooperativas o asociaciones mutuales por concepto de proveeduría del oferente, efectuados durante el año anterior, para lo cual el Proponente persona natural y contador público; o el representante legal de la persona jurídica y el revisor fiscal para las personas obligadas por ley; o del representante legal de la persona jurídica y contador público, según corresponda, diligenciará bajo la gravedad del juramento el «Formato 11 G- Pagos realizados a Mipyme, cooperativas o asociaciones mutuales», en el que conste que por lo menos el veinticinco por ciento (25%) del total de pagos fueron realizados a Mipyme, cooperativas o asociaciones mutuales.
Igualmente, cuando la oferta es presentada por un Proponente Plural se preferirá a este siempre que:
(a) esté conformado por al menos una Mipyme, cooperativa o asociación mutual que tenga una participación de por lo menos el veinticinco por ciento (25 %) en el Proponente Plural, para lo cual se presentará el documento de conformación del Proponente Plural y, además, ese integrante acredite la condición de Mipyme, cooperativa o asociación mutual en los términos del numeral 8;
(b) la Mipyme, cooperativa o asociación mutual aporte mínimo el veinticinco por ciento (25 %) de la experiencia acreditada en la oferta; y
(c) ni la Mipyme, cooperativa o asociación mutual ni sus accionistas, socios o representantes legales sean empleados, socios o accionistas de los integrantes del Proponente Plural, para lo cual el integrante respectivo lo manifestará diligenciando el «Formato 11 H – Acreditación Mipyme», suscrito por la persona natural o el representante legal de la persona jurídica.
En el evento en que el empate se presente entre Proponentes Plurales, que cumplan con los requisitos de los incisos anteriores, cuyos integrantes estén conformados únicamente por cooperativas y asociaciones mutuales que tengan la condición de grandes empresas junto con otras en las que los integrantes tengan la calidad de micro, pequeñas o medianas, se preferirá la oferta de aquellos Proponentes Plurales en los cuáles al menos uno de sus integrantes sea una cooperativa o asociación mutual que cumpla con los criterios de clasificación empresarial definidos por el Decreto 1074 de 2015, que sean micro, pequeñas o medianas.
11. Preferir las empresas reconocidas y establecidas como Sociedad de Beneficio e Interés Colectivo o Sociedad BIC, del segmento Mipyme, para lo cual se presentará el certificado de existencia y representación legal en el que conste el cumplimiento de los requisitos del artículo 2o de la Ley 1901 de 2018, o la norma que la modifique o la sustituya. Asimismo, acreditará la condición de Mipyme en los términos del numeral 8.
Tratándose de Proponentes Plurales, se preferirá la oferta cuando cada uno de los integrantes acredite las condiciones señaladas en el inciso anterior de este numeral.
12. Si después de aplicar los criterios anteriormente mencionados persiste el empate:
(a) La Entidad ordenará a los Proponentes empatados en orden alfabético según el nombre completo de la persona natural, la persona jurídica o el Proponente Plural. En caso de que dos o más proponentes tengan el mismo nombre se colocará primero en el orden a quienes hayan presentado primero en el tiempo sus ofertas. Una vez ordenados, le asignará un número entero a cada uno de estos de forma ascendente, de tal manera que al primero de la lista le corresponda el 1.
(b) Seguidamente, la Entidad debe tomar la parte entera (números a la izquierda de la coma decimal) de la TRM que rigió el día del cierre del proceso. La Entidad debe dividir esta parte entera entre el número total de Proponentes en empate, para posteriormente tomar su residuo y utilizarlo en la selección final.
(c) Realizados estos cálculos, la Entidad seleccionará a aquel Proponente que presente coincidencia entre el número asignado y el residuo encontrado. En caso de que el residuo sea cero (0), se escogerá al Proponente con el mayor número asignado.
Nota 1: Los factores de desempate deberán aplicarse en armonía con los Acuerdos Comerciales vigentes suscritos por Colombia. De esta manera, en el evento en que el empate se presente entre ofertas cubiertas por un Acuerdo Comercial, se aplicarán los factores de desempate que sean compatibles con los mencionados Acuerdos.
Nota 2: Si el empate entre las propuestas se presenta con un Proponente, bien o servicio extranjero cuyo país de origen no tiene Acuerdo Comercial con Colombia, ni trato nacional por reciprocidad o con ocasión de la normativa comunitaria, se dará aplicación a todos los criterios de desempate previstos en el presente numeral.
Nota 3: Conforme con el artículo 18 de la Ley 1712 de 2014 y los artículos 5o y 6o de la Ley 1581 de 2012, la Entidad garantizará el derecho a la reserva legal de toda aquella información que acredita el cumplimiento de los factores de desempate de: i) las mujeres víctimas de violencia intrafamiliar, ii) las personas en proceso de reincorporación y/o reintegración y iii) la población indígena, negra, afrocolombiana, raizal, palenquera, Rrom o gitana.
De acuerdo con lo anterior, en la plataforma del SECOP no se publicará la información relacionada con los factores de desempate de personas en procesos de reincorporación o reintegración o mujeres víctimas de violencia intrafamiliar o la población indígena, negra, afrocolombiana, raizal, palenquera, Rrom o gitana, puesto que su público conocimiento puede afectar el derecho a la intimidad de los oferentes o de sus trabajadores o socios o accionistas.
Nota 4: Para efectos de los factores de desempate dispuestos en este numeral, se entiende por experiencia acreditada en la oferta, la sumatoria de los contratos que demuestren la experiencia general de la actividad principal, expresados en salarios mínimos mensuales legales vigentes (SMMLV).”
ARTÍCULO 73. – MODIFÍQUESE EL NUMERAL 2.3 DE LOS DOCUMENTOS TIPO DE CONSULTORÍA DE ESTUDIOS DE INGENIERÍA DE INFRAESTRUCTURA DE TRANSPORTE. Modifíquese el numeral 2.3 – Limitación a Mipyme de los documentos tipo de consultoría de estudios de ingeniería de infraestructura de transporte, adelantados bajo la modalidad de concurso de méritos adoptados mediante la Resolución 193 de 2021, en los siguientes términos:
“2.3 LIMITACIÓN A MIPYME
[En caso de que el proceso no sea susceptible de limitarse a Mipyme, la Entidad señalará lo siguiente en este numeral: el presente procedimiento de selección no es susceptible de limitarse a Mipyme.
En caso de que el proceso sea susceptible de limitarse a Mipyme, una vez cumplidos los requisitos del artículo 2.2.1.2.4.2.2. del Decreto 1082 de 2015, o la norma que lo modifique, complemente o sustituya, se seguirán las siguientes instrucciones:]
[La Entidad adaptará este numeral dependiendo del momento en el cual se encuentre el Proceso de Contratación]:
[En el proyecto de Pliego de Condiciones se incluirá lo siguiente:]
[Para los procesos adelantados en el SECOP I se incluirá el siguiente texto:] El interesado persona natural o el representante legal de la o persona jurídica manifestará mediante un escrito la intención de limitar la convocatoria del Proceso de Contratación a Mipyme, el cual será remitido a [dirección de la Entidad e identificación de la oficina donde se debe radicar] en [nombre de la ciudad o municipio] de [lunes al último día de atención en la semana] entre [horario de atención al público]. Asimismo, podrá enviarlo por medios electrónicos al siguiente correo electrónico: [la Entidad diligenciará el correo electrónico dispuesto].
[En esta sección, la Entidad podrá definir si es procedente alguna limitación territorial y las condiciones bajo las cuales procedería, para lo cual podrá modificar este apartado estableciendo la regulación correspondiente. En este escrito, el interesado persona natural o el representante legal del interesado persona jurídica manifestará si la intención es que la limitación sea a Mipyme nacional o territorial, de acuerdo con las reglas definidas en el proyecto de Pliego de Condiciones].
De igual manera, los interesados deberán acreditar el cumplimiento de los demás requisitos definidos en el artículo 2.2.1.2.4.2.4 del Decreto 1082 de 2015 o la norma que lo modifique, sustituya o complemente, para lo cual diligenciarán el Formato 14 – Acreditación de Mipyme y aportarán los soportes requeridos para que proceda la limitación de la convocatoria a Mipyme. En caso de que la condición de Mipyme se acredite mediante la presentación del RUP, en los términos establecidos en el artículo 2.2.1.2.4.2.4 del Decreto 1082 de 2015, no será necesario presentar el formato indicado.
[Para los procesos adelantados en el SECOP II se incluirá el siguiente texto:] Los interesados manifestarán su intención de limitar las convocatorias a Mipyme en la sección mensajes o en el módulo dispuesto en la plataforma del SECOP II. Asimismo, los interesados deberán acreditar el cumplimiento de los requisitos definidos en el artículo 2.2.1.2.4.2.4 del Decreto 1082 de 2015 o la norma que lo modifique, sustituya o complemente, para lo cual diligenciarán el Formato 14 – Acreditación de Mipyme y aportarán los soportes requeridos para que proceda la limitación de la convocatoria a Mipyme. En caso de que la condición de Mipyme se pruebe con la presentación del RUP, en los términos contemplados en el artículo 2.2.1.2.4.2.4 del Decreto 1082 de 2015, no será necesario presentar el formato indicado.
[En el Pliego de Condiciones definitivo se incluirá lo siguiente:]
[Para los procesos adelantados en el SECOP I, la Entidad, en atención a las solicitudes realizadas por los interesados para limitar la convocatoria a Mipyme, incluirá alguna de las dos (2) opciones:]
[Si procede la limitación de las convocatorias del Proceso de Contratación a Mipyme] La Entidad l limita la convocatoria de este Proceso de Contratación a las Mipyme colombianas por haberse verificado las condiciones establecidas en los artículos 2.2.1.2.4.2.2. y 2.2.1.2.4.2.4 del Decreto 1082 de 2015 o la norma que lo modifique, complemente o sustituya. [En todo caso, la Entidad en esta sección determinará si la limitación es territorial en los términos del artículo 2.2.1.2.4.2.3. del Decreto 1082 de 2015 y las reglas establecidas en el Proyecto de Pliego de Condiciones]
[Si no procede la limitación de las convocatorias del Proceso de Contratación a Mipyme, la Entidad incluirá lo siguiente] La Entidad l no limita el Proceso de Contratación a las Mipyme colombianas por no haberse cumplido las condiciones establecidas en los artículos 2.2.1.2.4.2.2. y 2.2.1.2.4.2.4 del Decreto 1082 de 2015, o la norma que lo modifique, complemente o sustituya. En consecuencia, podrá participar cualquier interesado.
[Para los procesos adelantados en el SECOP II, la Entidad, en atención a las solicitudes realizadas por los interesados para limitar la convocatoria a Mipyme, incluirá la limitación del Proceso de Contratación a Mipyme en el espacio dispuesto por la plataforma del SECOP II.]”
ARTÍCULO 74. – MODIFÍQUENSE LOS LITERALES A), B) Y W) E INCLÚYASE EL LITERAL X) AL NUMERAL 1.15 LOS DOCUMENTOS TIPO DE CONSULTORÍA DE ESTUDIOS DE INGENIERÍA DE INFRAESTRUCTURA DE TRANSPORTE. Modifíquense los literales A), B) y W) e inclúyase el literal X) al numeral 1.15 – Causales de rechazo de los documentos tipo de consultoría de estudios de ingeniería de infraestructura de transporte, adelantados bajo la modalidad de concurso de méritos adoptados por la Resolución 193 de 2021, en los siguientes términos:
“1.15 CAUSALES DE RECHAZO
“A. Que el Proponente o alguno de los integrantes del Proponente Plural esté incurso en causal de inhabilidad, incompatibilidad o prohibiciones previstas en la legislación para contratar.
[Cuando en un mismo proceso de contratación se encuentren oferentes en la situación descrita por los literales g) y h) del numeral 1 del artículo 8o de la Ley 80 de 1993, la Entidad solo admitirá la primera oferta presentada en el tiempo]
B. Cuando una misma persona natural o jurídica, o integrante de un Proponente Plural presente o haga parte en más de una propuesta para el Proceso de Contratación.
[Cuando el proceso se estructure por lotes o por grupos reemplazar por el siguiente texto: Cuando una misma persona natural o jurídica, o integrante de un Proponente plural presente o haga parte en más de una propuesta para el mismo lote o grupo de este Proceso de Contratación].
[…]
W. [Incluir cuando la convocatoria del Proceso de Contratación esté limitada a Mipyme] Cuando el que presenta oferta o alguno de los miembros del Proponente Plural no acredita la condición de Mipyme y, en consecuencia, no aporta el RUP vigente y en firme al momento de su presentación y no subsana su entrega, en los términos del numeral 1.6.
X. Las demás previstas en la ley”.
ARTÍCULO 75. – MODIFÍQUESE EL NUMERAL 2.1 DE LOS DOCUMENTOS TIPO DE CONSULTORÍA DE ESTUDIOS DE INGENIERÍA DE INFRAESTRUCTURA DE TRANSPORTE. Modifíquese el numeral 2.1 – Carta de presentación de la oferta de los documentos tipo de consultoría de estudios de ingeniería de infraestructura de transporte adelantados bajo la modalidad de concurso de méritos abierto expedidos a través de la Resolución 193 de 2021, en los siguientes términos:
“2.1 CARTA DE PRESENTACIÓN DE LA OFERTA
El proponente allegará el Formato 1 – Carta de presentación de la oferta el cual debe estar firmado por la persona natural Proponente o por el representante legal del Proponente individual o por el representante del Proponente Plural o por el apoderado.
En virtud de lo previsto en la Ley 842 de 2003 y con el fin de evitar el ejercicio ilegal de la ingeniería, la persona natural (Proponente individual o integrante de la estructura plural) que pretenda participar en el Proceso de Contratación, debe acreditar que posee título como ingeniero, para lo cual adjuntará copia de la tarjeta profesional y del certificado de la vigencia de matrícula profesional expedida por el COPNIA o Consejo Profesional de Ingeniería de Transportes y Vías de Colombia en la respectiva rama de la ingeniería, según corresponda, vigente a la fecha de cierre del Proceso de Contratación. El requisito de la tarjeta profesional se puede suplir con el requisito de que trata el artículo 18 del Decreto - Ley 2106 de 2019.
De acuerdo con el artículo 20 de la Ley 842 de 2003 si el representante legal o apoderado del Proponente individual persona jurídica o el representante o apoderado del Proponente Plural, no posee título de una de las profesiones catalogadas como ejercicio de la ingeniería, la oferta tendrá que ser avalada por un ingeniero, para lo cual adjuntará copia de la tarjeta profesional y del certificado de vigencia de matrícula profesional expedida por el COPNIA o el Consejo Profesional de Ingeniería de Transportes y Vías de Colombia, en la respectiva rama de la ingeniería, según corresponda, vigente a la fecha de cierre de este Proceso de Contratación. El requisito de la tarjeta profesional se puede suplir con el registro de que trata el artículo 18 del Decreto- Ley 2106 de 2019.
El aval del ingeniero del que trata el artículo 20 de la Ley 842 de 2003 hace parte integral del "Formato 1 – Carta de presentación de la oferta” cuando el Proponente deba allegarlo.
La carta de presentación debe suscribirse. Con la firma de este documento se entiende que el Proponente conoce y acepta las obligaciones del Anexo 4 – Pacto de Transparencia y, por lo tanto, no será necesaria la entrega de este documento al momento de radicar la oferta.
El Proponente debe diligenciar los Formatos. Todos los espacios en blanco deben completarse con la información solicitada.
[Cuando el proceso se estructure por lotes o por grupos, el Proponente debe indicar en el “Formato 1 – Carta de presentación de la oferta”, el lote/grupo o lotes/grupos a los cuales allega oferta, según las posibilidades que otorgue la Entidad].
ARTÍCULO 76. – MODIFÍQUESE EL NUMERAL 2.7 DE LOS DOCUMENTOS TIPO DE CONSULTORÍA DE ESTUDIOS DE INGENIERÍA DE INFRAESTRUCTURA DE TRANSPORTE. Modifíquese el numeral 2.7. – Adjudicación de los documentos tipo de consultoría de estudios de ingeniería de infraestructura de transporte adelantados bajo la modalidad de concurso de méritos abierto expedidos mediante la Resolución 193 de 2021, en los siguientes términos:
“2.7 ADJUDICACIÓN
En la fecha establecida en el Anexo 2 – Cronograma, la Entidad mediante acto administrativo adjudicará el proceso al Proponente ubicado en el primer lugar del orden de elegibilidad y cuya oferta económica esté acorde con el presupuesto del Proceso de Contratación.
[En los procesos estructurados por lotes o grupos, la Entidad debe indicar en este numeral el orden que seguirá para establecer el orden de elegibilidad de los lotes o grupos que conforman el Proceso de Contratación, esto es, si se iniciará por el lote con el mayor valor en el Presupuesto Oficial hasta el de menor valor, o viceversa, o si se observará el orden de elegibilidad de acuerdo con el número de lote o grupo definido en el numeral 1.1]
[La Entidad Estatal podrá, previo a la expedición del acto administrativo de adjudicación, si así lo estima conveniente, realizar audiencia en la cual se comunique la respuesta a las observaciones frente al informe de evaluación y se establezca el orden de elegibilidad de las propuestas. En el evento que la Entidad determine la realización de la audiencia, deberá fijarla en el Anexo 2 – Cronograma y podrá hacerla presencialmente o a través del uso de los medios virtuales que garanticen la participación y la interacción de los interesados. Además, se deberá dejar constancia de lo ocurrido mediante acta y/o grabación de la misma, para promover la correcta gestión contractual. La audiencia se desarrollará de la siguiente manera:] La Entidad procederá a instalar y desarrollar la audiencia para comunicar la respuesta a las observaciones frente al informe de evaluación y establecer el orden de elegibilidad. La Entidad iniciará la audiencia comunicando la respuesta a las observaciones frente al informe de evaluación, sin que ello implique una nueva oportunidad para presentar observaciones. Con posterioridad a ello se fijará el orden de elegibilidad a través de la sumatoria de los puntajes obtenidos por las propuestas para cada uno de los criterios contenidos en el CAPÍTULO IV ordenados de mayor a menor.
[En caso de presentarse un empate, la Entidad dará aplicación al numeral 4.8 del presente documento].
Establecido el orden de elegibilidad, la Entidad, por medio de acto administrativo motivado, adjudicará el proceso al Proponente ubicado en el primer lugar del orden de elegibilidad y cuya oferta económica esté acorde con el Presupuesto Oficial del Proceso de Contratación.”
ARTÍCULO 77. – MODIFÍQUESE EL LITERAL VI DEL NUMERAL 3.3.3 DE LOS DOCUMENTOS TIPO DE CONSULTORÍA DE ESTUDIOS DE INGENIERÍA DE INFRAESTRUCTURA DE TRANSPORTE. Modifíquese el literal VI del numeral 3.3.3. - Proponentes plurales de los documentos tipo de consultoría de estudios de ingeniería de infraestructura de transporte adelantados bajo la modalidad de concurso de méritos abierto expedidos mediante la Resolución 193 de 2021, en los siguientes términos:
“VI. En la etapa contractual no podrán modificarse los porcentajes de participación sin el consentimiento previo de la Entidad. En todo caso, en la etapa precontractual no será posible modificar los porcentajes de los integrantes del Proponente Plural después de la fecha del cierre del Proceso de Contratación. Cualquier modificación en los porcentajes de los integrantes será ineficaz y, por tanto, carecerá de efecto.
ARTÍCULO 78. – MODIFÍQUESE EL NUMERAL 3.8.1 DE LOS DOCUMENTOS TIPO DE CONSULTORÍA DE ESTUDIOS DE INGENIERÍA DE INFRAESTRUCTURA DE TRANSPORTE. Modifíquese el numeral 3.8.1 – Exigencia mínima de la experiencia del proponente de los documentos tipo de consultoría de estudios de ingeniería de infraestructura de transporte adelantados bajo la modalidad de concurso de méritos expedidos mediante la Resolución 193 de 2021, en los siguientes términos:
“3.8.1 EXIGENCIA MÍNIMA DE LA EXPERIENCIA DEL PROPONENTE
Para habilitarse en el Proceso de Contratación, el Proponente acreditará que la sumatoria de los contratos aportados como experiencia es mayor o igual al cien por ciento (100 %) respecto del valor total del Presupuesto Oficial establecido para el Proceso de Contratación expresado en SMMLV. Estos contratos serán verificados en el RUP y en el Formato 3 – Experiencia, para los Proponentes que no están obligados a estar inscritos en el RUP, cumpliendo con los requisitos de experiencia previstos en el numeral “10.1 Acreditación de la experiencia del Proponente”.
Además, para habilitarse en el Proceso de Contratación, mediante los contratos aportados, en caso de ser procedente, deberá acreditarse la experiencia solicitada frente a la actividad principal; al igual que la experiencia en las actividades secundarias en el evento de que se solicite combinación de experiencia de la Matriz 1 – Experiencia. Igualmente, deberá demostrarse la experiencia adicional cuando el proyecto a ejecutar incluya servicios adicionales a la consultoría de estudios de ingeniería de infraestructura de transporte. Lo anterior, de conformidad con lo exigido en el numeral 10.1.1.
En caso de que con los contratos aportados no se acrediten los requisitos exigidos en los dos párrafos anteriores, la Entidad solicitará al Proponente que subsane su oferta en los términos del numeral 1.6. Si el Proponente subsana el requisito mínimo de experiencia se habilitará en el Proceso de Contratación, pero no se tendrán en cuenta estos contratos para la asignación del puntaje. En otras palabras, el otorgamiento de puntaje se realizará con los contratos válidos allegados en su oferta y que no fueron objeto de subsanación por parte del Proponente.
[En los Procesos de Contratación estructurados por lotes o por grupos incluir el siguiente texto:] En los procesos estructurados por lotes o por grupos, el Proponente para habilitarse en el Proceso de Contratación acreditará que la experiencia es mayor o igual al cien por ciento (100 %) respecto del valor total del Presupuesto Oficial expresado en SMMLV del lote o grupo al cual se presenta la oferta.
Asimismo, el Proponente demostrará para cada lote o grupo la experiencia solicitada frente a la actividad principal; al igual que la experiencia en las actividades secundarias en caso de que se exija combinación de experiencia de la “Matriz 1 – Experiencia”. Igualmente, deberá acreditarse la experiencia adicional cuando el proyecto a ejecutar incluya servicios adicionales a la consultoría de estudios de ingeniería de infraestructura de transporte. En consecuencia, si el Proponente se presenta a varios lotes o grupos, la experiencia mínima se evaluará de manera independiente para cada uno de ellos.
En todo caso, un Proponente podrá probar la experiencia solicitada en uno o más lotes o grupos con un mismo contrato o mediante contratos distintos.”
ARTÍCULO 79. – MODIFÍQUENSE LOS LITERALES C) Y D) DEL NUMERAL 4.1 DE LOS DOCUMENTOS TIPO DE CONSULTORÍA DE ESTUDIOS DE INGENIERÍA DE INFRAESTRUCTURA DE TRANSPORTE. Modifíquense los literales C y D del numeral 4.1 – Forma de verificación y asignación de puntaje por la experiencia del proponente de los documentos tipo de consultoría de estudios de ingeniería de infraestructura de transporte adoptados por la Resolución 193 de 2021, en los siguientes términos:
“4.1 FORMA DE VERIFICACIÓN Y ASIGNACIÓN DE PUNTAJE POR LA EXPERIENCIA DEL PROPONENTE
C. Posteriormente, se seleccionará un método aleatorio en función de la Tasa de Cambio Representativa del Mercado (TRM) certificada por la Superintendencia Financiera de Colombia [en su sitio web: https://www.superfinanciera.gov.co/publicacion/60819].
La TRM que la Entidad utilizará para determinar el método de ponderación será la que rija el segundo día hábil después del cierre del proceso, aun cuando la fecha de la adjudicación se modifique posteriormente durante el Proceso de Contratación. Esto es, la que la Superintendencia publique en horas de la tarde del día hábil siguiente a la fecha efectiva del cierre del Proceso de Contratación [Por ejemplo, si el cierre del Proceso de Contratación se realiza el 10 de febrero, la TRM que se usará para determinar el método de evaluación será la del 12 de febrero, que se publica en la tarde del 11 de febrero]
El método de ponderación se determinará de acuerdo con los rangos del siguiente cuadro, en función de la parte decimal –centavos– de la TRM:
| Rango (inclusive) | Número | Método |
| De 0.00 a 0.33 | 1 | Mediana con valor absoluto |
| De 0.34 a 0.66 | 2 | Media geométrica |
| De 0.67 a 0.99 | 3 | Media aritmética alta |
En todos los casos se tendrá en cuenta hasta el séptimo (7) decimal del valor obtenido como puntaje y las fórmulas se aplicarán con las propuestas que no han sido rechazadas y se encuentran válidas.
[En los Procesos de Contratación estructurados por lotes o grupos, la TRM definirá el método con el cual se asignará el puntaje para el primer lote o grupo a adjudicar, según el orden definido por la Entidad. Para la adjudicación del segundo lote o grupo se tomará el siguiente método de acuerdo con la tabla anterior, en orden ascendente, y así sucesivamente; teniendo en cuenta que se reiniciará desde el primer método en caso de agotarse el último método].
D. Dependiendo del método aleatorio establecido según la TRM, cada uno de los Proponentes habilitados participarán con el valor del promedio de los contratos válidos aportados que no fueron objeto de subsanación según la metodología descrita para cada alternativa.
Las alternativas de evaluación son detalladas a continuación:
A. Mediana con valor absoluto
La Entidad calculará el valor de la mediana con el promedio de los SMMLV de los contratos válidos aportados de las propuestas hábiles y que no fueron objeto de subsanación. En esta alternativa se entenderá por mediana de un grupo de valores el resultado del cálculo que se obtiene mediante la aplicación del siguiente proceso:
- La Entidad ordena los valores de las propuestas hábiles de manera descendente. - Si el número de valores es impar, la mediana corresponde al valor central.
- Si el número de valores es par, la mediana corresponde al promedio de los dos valores centrales.
Bajo este método la Entidad asignará el puntaje así:
I. Si el número de valores de las propuestas hábiles es impar, el máximo puntaje será asignado a la propuesta que se encuentre en el valor de la mediana de SMMLV de los contratos válidos de los Proponentes habilitados y que no fueron objeto de subsanación. Para las otras propuestas, se utiliza la siguiente fórmula de asignación de puntaje:
![]()
Donde:
- Me: Es la mediana calculada con los promedios de los contratos válidos y que no fueron objeto de subsanación de los Proponentes habilitados.
- Vi: Es el valor del promedio de los contratos válidos aportados en SMMLV de la propuesta “i” y que no fueron objeto de subsanación.
II. Si el número de valores de las propuestas hábiles es par, se asignará el máximo puntaje a la propuesta que se encuentre inmediatamente por debajo de la mediana. Para las otras propuestas, se aplica la siguiente fórmula:
![]()
Donde:
- VME: Es el valor promedio de los SMMLV válidos y que no fueron objeto de subsanación de la propuesta válida inmediatamente por debajo de la mediana.
- Vi: Es el valor del promedio de los contratos válidos aportados en SMMLV y que no fueron objeto de subsanación de la propuesta “i”.
Nota: Cuando el resultado de la fórmula anterior sea un número negativo, se asignará 0,0 puntos.
B. Media Geométrica
Para calcular la Media Geométrica se tomará el valor promedio de los SMMLV de los contratos válidos aportados de las propuestas hábiles y que no fueron objeto de subsanación para el factor de ponderación para la asignación del puntaje de conformidad con el siguiente procedimiento:
![]()
Donde:
- MG: Es la media geométrica del promedio de los SMMLV de los contratos válidos y que no fueron objeto de subsanación de las propuestas hábiles.
- V1: Es el valor promedio de los SMMLV válidos de una propuesta habilitada y que no fueron objeto de subsanación.
- Vn: Es el valor promedio de los SMMLV válidos de la propuesta “n” habilitada y que no fueron objeto de subsanación.
- n: La cantidad total de propuestas habilitadas.
Para efectos de la asignación de puntaje se tendrá en cuenta lo siguiente: se asignará el máximo puntaje al promedio de los SMMLV válidos y que no fueron objeto de subsanación de la propuesta que se encuentre más cerca (por exceso o por defecto) al valor de la media geométrica calculada para el factor correspondiente.
Las demás propuestas recibirán puntaje de acuerdo con la siguiente ecuación:
![]()
Nota: Cuando el resultado de la fórmula anterior sea un número negativo, se asignará 0,0 puntos.
C. Media Aritmética Alta
Consiste en la determinación de la media aritmética entre el valor de los promedios de los contratos válidos aportados y que no fueron objeto de subsanación expresado en SMMLV de la propuesta válida más alta y el promedio aritmético del promedio de los contratos válidos y que no fueron objeto de subsanación de las propuestas hábiles que no han sido rechazadas y se encuentran válidas, para esto se aplicará la siguiente fórmula:
![]()
Donde:
-
Es el valor total corregido del promedio de los SMMLV válidos más alto y que no fueron objeto de subsanación.
- X: Es el promedio aritmético simple de los promedios de los SMMLV de los contratos válidos de las otras propuestas habilitadas y que no fueron objeto de subsanación.
- XA: Es la media aritmética alta.
Obtenida la media aritmética alta se procederá a ponderar las propuestas habilitadas de acuerdo con la siguiente fórmula:

Donde:
- XA: Es la media aritmética alta.
- Vi: Es el valor promedio de los SMMLV válidos y que no fueron objeto de subsanación de cada una de las propuestas “i”.
Nota: Cuando el resultado de la fórmula anterior sea un número negativo, se asignará 0,0 puntos.
ARTÍCULO 80. – MODIFÍQUESE EL NUMERAL 5.1 DE LOS DOCUMENTOS TIPO DE CONSULTORÍA DE ESTUDIOS DE INGENIERÍA DE INFRAESTRUCTURA DE TRANSPORTE. Modifíquese el numeral 5.1 – Correcciones aritméticas de los documentos tipo de consultoría de estudios de ingeniería de infraestructura de transporte, adoptados mediante la Resolución 193 de 2021. Dicho numeral quedará así:
“5.1. CORRECCIONES ARITMÉTICAS
La Entidad solo efectuará correcciones aritméticas originadas por:
A. Las operaciones aritméticas a que haya lugar en la propuesta económica, cuando exista un error que surja de un cálculo meramente aritmético cuando la operación ha sido erróneamente realizada.
B. El ajuste al peso ya sea por exceso o por defecto de los precios unitarios contenidos en la propuesta económica y del valor del IVA, así: cuando la fracción decimal del peso sea igual o superior a punto cinco (0.5) se aproximará por exceso al número entero siguiente del peso y cuando la fracción decimal del peso sea inferior a punto cinco (0.5) se aproximará por defecto al número entero.
La Entidad a partir del valor total corregido de las propuestas valorará la oferta económica según la normativa vigente aplicable”.
ARTÍCULO 81. – MODIFÍQUESE EL NUMERAL 10.1.5 DE LOS DOCUMENTOS TIPO DE CONSULTORÍA DE ESTUDIOS DE INGENIERÍA DE INFRAESTRUCTURA DE TRANSPORTE. Modifíquese el numeral 10.1.5 – Documentos válidos para la acreditación de la experiencia requerida de los documentos tipo de consultoría de estudios de ingeniería de infraestructura de transporte adoptados mediante la Resolución 193 de 2021. Dicho numeral quedará así:
“10.1.5 DOCUMENTOS VÁLIDOS PARA LA ACREDITACIÓN DE LA EXPERIENCIA REQUERIDA
En aquellos casos en que por las características del objeto a contratar se requiera verificar información adicional a la contenida en el RUP, o tratándose de personas naturales o jurídicas extranjeras sin domicilio o sucursal en Colombia, el Proponente podrá aportar uno o algunos de los documentos que se indican a continuación para que la Entidad realice la verificación directamente. Los mismos deberán estar debidamente diligenciados y suscritos por quienes intervinieron en la elaboración del documento. En caso de existir discrepancias entre dos (2) o más documentos aportados por el Proponente para la acreditación de la experiencia, se tendrá en cuenta el orden de prevalencia establecido a continuación:
A. Acta de liquidación y/o recibo final del Contrato de Consultoría.
B. Acta de liquidación y/o recibo final del contrato de obra al cual se le realizó la interventoría al proyecto de consultoría, en la cual se puede verificar las actividades ejecutadas y el alcance de las mismas.
C. Certificación de experiencia. Expedida [con posterioridad a la fecha de terminación del contrato o antes del cierre del Proceso de Contratación que acredite el porcentaje ejecutado hasta esa fecha] en la que conste la información de la consultoría debidamente suscrita por quien esté en capacidad u obligación de hacerlo en la Entidad contratante. [En el caso que la Entidad permita la experiencia de contratos en ejecución en el certificado de experiencia debe verificarse el porcentaje ejecutado y facturado antes del cierre del Proceso de Contratación y las demás condiciones establecidas por la Entidad que permitan conocer las actividades realizadas y el respectivo valor.]
D. Acta de inicio o la orden de inicio. La misma solo será válida para efectos de acreditar la fecha de inicio.
E. Los contratos que hayan sido objeto de cesión deberán encontrarse debidamente inscritos y clasificados en el RUP o en uno o alguno de los documentos considerados como válidos para la acreditación de experiencia de la empresa cesionaria, según aplique. La experiencia se admitirá para el cesionario y no se reconocerá experiencia alguna al cedente.
Para efectos de acreditación de experiencia entre particulares, el Proponente deberá aportar, además, la certificación de facturación expedida con posterioridad a la fecha de terminación del contrato emitida por el revisor fiscal o contador público del Proponente que demuestre la experiencia, según corresponda, con la copia de la tarjeta profesional y el certificado de antecedente disciplinarios vigente, emitido por la Junta Central de Contadores, o los documentos equivalentes que hagan sus veces en el país donde se originó el documento del profesional”.
ARTÍCULO 82. – MODIFÍQUESE EL NUMERAL 10.1.6 DE LOS DOCUMENTOS TIPO DE CONSULTORÍA DE ESTUDIOS DE INGENIERÍA DE INFRAESTRUCTURA DE TRANSPORTE. Modifíquese el numeral 10.1.6 – Para Subcontratos los documentos tipo de consultoría de estudios de ingeniería de infraestructura de transporte, adoptados por la Resolución 193 de 2021. Dicho numeral quedará así:
“10.1.6 PARA SUBCONTRATOS
Para acreditar la experiencia de subcontratos, cuyo contrato principal fue suscrito con particulares, se aplicarán las disposiciones establecidas en el numeral anterior.
Para acreditar la experiencia de contratos derivados de contratos suscritos con Entidades Estatales el Proponente deberá aportar los documentos que se enlistan a continuación:
A. Certificación del subcontrato. Certificación expedida con posterioridad a la fecha de terminación del subcontrato, la cual deberá estar suscrita por el representante legal del contratista del contrato principal, del Concesionario, o del EPC o Consorcio Constructor. Así mismo, debe contener la información requerida en el Pliego de Condiciones para efectos de la acreditación de la experiencia.
B. Certificación expedida por la Entidad Estatal del contrato principal del cual se derivó el subcontrato. Esta certificación debe contener la información básica del contrato principal y la siguiente:
I. Alcance de las actividades de consultoría en el contrato principal.
II. Información en la cual se evidencie que la figura de la subcontratación es permitida en el marco del contrato principal. En caso de que no requiera autorización para subcontratar, el Proponente podrá aportar con su propuesta alguno de los siguientes documentos que den cuenta de esa circunstancia: i) copia del contrato o ii) certificación emitida por la Entidad Estatal, donde acredite que para subcontratar no se requería autorización.
La información solicitada en el literal B únicamente se exige en relación con el contrato principal suscrito con la Entidad Estatal.
En caso de que se presenten varios niveles de subcontratación, las reglas de los literales A y B aplicarán hasta el primer nivel de subcontratación. Para los siguientes niveles de subcontratación, la acreditación de la experiencia se realizará con las disposiciones establecidas en el numeral anterior. Para estos efectos, entiéndase el primer nivel de subcontratación como aquel contrato suscrito entre particulares, cuyo contrato principal del cual se deriva directamente, es el contrato estatal firmado entre una Entidad Estatal y un particular.
Cuando el contratista directo y el subcontratista presenten ofertas en un mismo Proceso de Contratación, la experiencia derivada de las actividades subcontratadas solo pertenecerá al subcontratista. En este contexto, el contratista directo no podrá acreditar dichas actividades, por lo que no serían tenidas en cuenta para la verificación de la experiencia.
Los Proponentes deberán advertir a la Entidad cuando en otros procesos el contratista directo hubiera certificado que, dentro de su contrato, se llevó a cabo la subcontratación, por cuanto tales actividades no serán tenidas en cuenta para efectos de acreditación de la experiencia del contratista directo. Para tal fin, deberán informar a la Entidad, mediante comunicación escrita, indicando el proceso en el cual el contratista certificó la respectiva subcontratación.
La obligación de informar las situaciones de subcontratación estará en cabeza de los Proponentes y de ninguna manera dicha carga será de la Entidad. En aquellos casos en los que el Proponente no advierta tal situación, la Entidad no tendrá responsabilidad alguna por cuanto no fue avisada. En ese caso, el contrato se contabilizará como un todo y no se tendrá en cuenta lo relacionado con la subcontratación.
Cuando la Entidad haya sido advertida por alguno los Proponentes sobre situaciones de subcontratación, aplicará el numeral 1.11 del Pliego de Condiciones.”
ARTÍCULO 83. – MODIFÍQUESE EL NUMERAL 10.2.3 DE LOS DOCUMENTOS TIPO DE CONSULTORÍA DE ESTUDIOS DE INGENIERÍA DE INFRAESTRUCTURA DE TRANSPORTE. Modifíquese el numeral 10.2.3 - Acreditación de la formación académica del equipo de trabajo y el personal clave evaluable de los documentos tipo de consultoría de estudios de ingeniería de infraestructura de transporte adoptados mediante la Resolución 193 de 2021. Dicho numeral quedará así:
“10.2.3 ACREDITACIÓN DE LA FORMACIÓN ACADÉMICA DEL EQUIPO DE TRABAJO Y EL PERSONAL CLAVE EVALUABLE
Para acreditar la formación académica de los integrantes del equipo de trabajo se aportarán los siguientes documentos: i) copia del acta de grado o del diploma de grado y ii) copia de la tarjeta profesional o de la matrícula profesional en los casos en que aplique y su certificado de antecedentes profesionales. El requisito de la tarjeta profesional se puede suplir con el registro de que trata el artículo 18 del Decreto 2106 de 2019.
Por otro lado, el Proponente que ofrezca personal con títulos académicos otorgados en el exterior deberá acreditar la convalidación de estos títulos en Colombia ante el Ministerio de Educación Nacional. En este sentido, para probar los títulos académicos conseguidos en el exterior se requiere presentar la Resolución expedida por el Ministerio de Educación Nacional que convalida el título obtenido en el exterior”.
ARTÍCULO 84. – MODIFÍQUESE EL NUMERAL 11.2 DE LOS DOCUMENTOS TIPO DE CONSULTORÍA DE ESTUDIOS DE INGENIERÍA DE INFRAESTRUCTURA DE TRANSPORTE. Modifíquese el numeral 11.2 Formatos de los documentos tipo de consultoría de estudios de ingeniería de infraestructura de transporte adoptados mediante la Resolución 193 de 2021. Dicho numeral quedará así:
11.2 FORMATOS
1. Formato 1 – Carta de presentación de la oferta
2. Formato 2 – Conformación de Proponente Plural (Formato 2A- Consorcios) (Formato 2B- UT)
3. Formato 3 – Experiencia
4. Formato 4 – Capacidad financiera y organizacional para extranjeros
5. Formato 5 – Pagos de seguridad social y aportes legales
6. Formato 6 – Vinculación de personas con discapacidad
7. Formato 7 – Puntaje de Industria Nacional
8. Formato 8 – Aceptación y cumplimiento de la formación y experiencia del Personal Clave Evaluable
9. Formato 9 – Experiencia y formación académica adicional del Personal Clave Evaluable
10. Formato 10 – Factor de sostenibilidad
11. Formato 11 – Factores de desempate
12. Formato 12 – Autorización para el tratamiento de datos personales
13. Formato 13 – Acreditación de emprendimientos y empresas de mujeres
14. Formato 14 - Acreditación de Mipyme
ARTÍCULO 85. – MODIFÍQUESE EL FORMATO 3 DE LOS DOCUMENTOS TIPO DE CONSULTORÍA DE ESTUDIOS DE INGENIERÍA DE INFRAESTRUCTURA DE TRANSPORTE. Modifíquese el Formato 3 - Experiencia de los documentos tipo de consultoría de estudios de ingeniería de infraestructura de transporte, adoptados mediante la Resolución 193 de 2021. El modelo de este formato se adjunta como anexo (Anexo 19: Formato–3 - Experiencia).
ARTÍCULO 86. – MODIFÍQUESE EL FORMATO 11 DE LOS DOCUMENTOS TIPO DE CONSULTORÍA DE ESTUDIOS DE INGENIERÍA DE INFRAESTRUCTURA DE TRANSPORTE. Modifíquese el Formato 11 – Factores de desempate de los documentos tipo de consultoría de estudios de ingeniería de infraestructura de transporte, adoptados por la Resolución 193 de 2021. El modelo de este formato se adjunta como anexo (Anexo 20: Formato 11 – Factores de desempate)
ARTÍCULO 87. – MODIFÍQUESE EL FORMATO 12 DE LOS DOCUMENTOS TIPO DE CONSULTORÍA DE ESTUDIOS DE INGENIERÍA DE INFRAESTRUCTURA DE TRANSPORTE. Modifíquese el Formato 12 – Autorización para el tratamiento de datos personales de los documentos tipo de consultoría de estudios de ingeniería de infraestructura de transporte, adoptados por la Resolución 193 de 2021. El modelo de este formato se adjunta como anexo (Anexo 21: Formato 12 – Autorización para el tratamiento de datos personales).
ARTÍCULO 88. – INCLÚYASE EL FORMATO 13 A LOS DOCUMENTOS TIPO DE CONSULTORÍA DE ESTUDIOS DE INGENIERÍA DE INFRAESTRUCTURA DE TRANSPORTE. Inclúyase el Formato 13 – Acreditación de emprendimientos y empresas de mujeres a los documentos tipo de consultoría de estudios de ingeniería de infraestructura de transporte, adoptados mediante la Resolución 193 de 2021. El formato se adjunta como anexo (Anexo 22: Formato 13 – Acreditación de emprendimientos y empresas de mujeres).
ARTÍCULO 89. –. INCLÚYASE EL FORMATO 14 A LOS DOCUMENTOS TIPO DE CONSULTORÍA DE ESTUDIOS DE INGENIERÍA DE INFRAESTRUCTURA DE TRANSPORTE. Inclúyase el Formato 14 – Acreditación de Mipyme a los documentos tipo de consultoría de estudios de ingeniería de infraestructura de transporte, adoptados por la Resolución 193 de 2021. El formato se adjunta como anexo (Anexo 23: el Formato 14 – Acreditación de Mipyme).
ARTÍCULO 90. – MODIFÍQUESE LA MATRIZ 1 – EXPERIENCIA DE LOS DOCUMENTOS TIPO DE CONSULTORÍA DE ESTUDIOS DE INGENIERÍA DE INFRAESTRUCTURA DE TRANSPORTE. Modifíquese la Matriz 1– Experiencia de los documentos tipo de consultoría de estudios de ingeniería de infraestructura de transporte adoptados mediante la Resolución 193 de 2021. El modelo de esta Matriz se adjunta como anexo (Anexo 24: Matriz 1– Experiencia).
ARTÍCULO 91. – MODIFÍQUESE LA MATRIZ 2 DE LOS DOCUMENTOS TIPO DE CONSULTORÍA DE ESTUDIOS DE INGENIERÍA DE INFRAESTRUCTURA DE TRANSPORTE. Modifíquese la Matriz 2– Indicadores financieros y organizaciones de los documentos tipo consultoría de estudios de ingeniería de infraestructura de transporte adoptados a través de la Resolución 193 de 2021. El modelo de esta Matriz se adjunta como anexo (Anexo 25: Matriz 2– Indicadores financieros y organizacionales).
ARTÍCULO 92. – MODIFÍQUESE EL ANEXO 3 DE LOS DOCUMENTOS TIPO DE CONSULTORÍA DE ESTUDIOS DE INGENIERÍA DE INFRAESTRUCTURA DE TRANSPORTE. Modifíquese el Anexo 3– Glosario de los documentos tipo consultoría de estudios de ingeniería de infraestructura de transporte adoptados a través de la Resolución 193 de 2021. El modelo de este Anexo se adjunta (Anexo 26: Anexo 3–Glosario).
ARTÍCULO 93. – INCLÚYASE EL PARÁGRAFO 3° AL ARTÍCULO 4 DE LA RESOLUCIÓN 193 DE 2021 POR LA CUAL SE ADOPTAN LOS DOCUMENTOS TIPO PARA LOS PROCESOS DE SELECCIÓN DE CONCURSO DE MÉRITOS, PARA CONTRATAR LA CONSULTORÍA DE ESTUDIOS DE INGENIERÍA DE INFRAESTRUCTURA DE TRANSPORTE. Inclúyase el parágrafo 3 al artículo 4 - Servicios adicionales a la consultoría de estudios de ingeniería de infraestructura de transporte de la Resolución 193 de 2021 por la cual se adoptan los documentos tipo para los procesos de contratación adelantados bajo la modalidad de concurso de méritos cuyo objeto consista en la consultoría de estudios de ingeniería de infraestructura de transporte, en los siguientes términos:
PARÁGRAFO 3o. En los casos que el objeto contractual incluya actividades que son abarcadas por otros Documentos Tipo, la Entidad Estatal aplicará las reglas de combinación de experiencia previstas en el numeral 10.1.1 del documento base.
ARTÍCULO 94. – INCLÚYASE EL ARTICULO 6 A LA RESOLUCIÓN 193 DE 2021 POR LA CUAL SE ADOPTAN LOS DOCUMENTOS TIPO PARA LOS PROCESOS DE SELECCIÓN DE CONCURSO DE MÉRITOS, PARA CONTRATAR LA CONSULTORÍA DE ESTUDIOS DE INGENIERÍA DE INFRAESTRUCTURA DE TRANSPORTE. Inclúyase el artículo 6 – Proyectos que contengan la ejecución de objetos contractuales cobijados por otros documentos tipo, a la Resolución 193 de 2021 por la cual se adoptan los documentos tipo para los procesos de contratación adelantados bajo la modalidad de concurso de méritos cuyo objeto consista en la consultoría de estudios de ingeniería de infraestructura de transporte, en los siguientes términos:
Artículo 6o. Proyectos que contengan la ejecución de objetos contractuales cobijados por otros Documentos Tipo. Cuando el objeto contractual incluya actividades de consultoría de obra pública de infraestructura de transporte, en conjunto con actividades de consultoría cobijadas por otros Documentos Tipo, la Entidad deberá definir qué Documentos Tipo aplica dependiendo de la relevancia técnica del proyecto, impacto o el valor que representan en el presupuesto oficial.
Teniendo en cuenta los criterios anteriores, la Entidad Estatal debe determinar cuál documento tipo aplica. Esto sin perjuicio de que pueda utilizar las reglas de combinación de experiencia establecidas en esos documentos, siempre que ello resulte necesario con ocasión de las distintas actividades a ejecutar en el Proceso de Contratación, de conformidad con lo contemplado en el parágrafo 3 del artículo 4 de esta resolución.
PARÁGRAFO. La Entidad Estatal justificará en el estudio previo las razones que soportan la escogencia de un determinado Documento Tipo
CAPÍTULO II – DOCUMENTOS TIPO DE AGUA POTABLE Y SANEAMIENTO BÁSICO
ARTÍCULO 95. – MODIFÍQUESE EL NUMERAL 3.5.1 DE LOS DOCUMENTOS TIPO DE LICITACIÓN DE OBRA PÚBLICA DE INFRAESTRUCTURA DE AGUA POTABLE Y SANEAMIENTO BÁSICO. Modifíquese el numeral 3.5.1 – Determinación de los requisitos mínimos de experiencia según la Matriz 1 – Experiencia de los documentos tipo para procesos de licitación pública para obras de infraestructura de agua potable y saneamiento básico, adoptados mediante la Resolución 248 de en los siguientes términos:
“3.5.1. DETERMINACIÓN DE LOS REQUISITOS MÍNIMOS DE EXPERIENCIA SEGÚN LA MATRIZ 1 – EXPERIENCIA
La experiencia a solicitar en el mencionado proyecto se establece de la siguiente manera, en concordancia con lo previsto en la Matriz 1 – Experiencia. De conformidad con lo anterior, los requisitos de experiencia son: [la Entidad deberá indicar el número y el nombre de la actividad a contratar, y transcribir textualmente lo indicado en la Matriz 1 – Experiencia. En caso de requerir combinar experiencia, se procederá según lo establecido en el literal A) del numeral 3.5.2.]”
ARTÍCULO 96. – MODIFÍQUESE EL NUMERAL 3.5.1 DE LOS DOCUMENTOS TIPO DE LICITACIÓN DE OBRA PÚBLICA DE INFRAESTRUCTURA DE AGUA POTABLE Y SANEAMIENTO BÁSICO EN LA MODALIDAD LLAVE EN MANO. Modifíquese el numeral 3.5.1 - Determinación de los requisitos mínimos de experiencia según la Matriz 1 – Experiencia de los documentos tipo para procesos de licitación pública para obras de infraestructura de agua potable y saneamiento básico en la modalidad llave en mano expedidos mediante la Resolución 249 de 2020, en los siguientes términos:
“3.5.1. DETERMINACIÓN DE LOS REQUISITOS MÍNIMOS DE EXPERIENCIA SEGÚN LA MATRIZ 1 – EXPERIENCIA
La experiencia a solicitar en el mencionado proyecto se establece de la siguiente manera, en concordancia con lo previsto en la Matriz 1 – Experiencia. De conformidad con lo anterior, los requisitos de experiencia son: [la Entidad deberá indicar el número y el nombre de la actividad a contratar, y transcribir textualmente lo indicado en la Matriz 1 – Experiencia, y aplicar las reglas de combinación de experiencia según lo establecido en el literal A) del numeral 3.5.2.]
Para el caso de procesos bajo la modalidad de llave en mano, el Proponente deberá tener en cuenta las siguientes condiciones para acreditar la experiencia:
- El Proponente deberá acreditar experiencia en labores de consultoría y/o estudios y/o diseños que contemplen actividades de consultoría enfocados a la actividad a contratar de acuerdo con los lineamientos de la Matriz 1 – Experiencia, el cual corresponde a: [En esta sección la Entidad debe indicar los requisitos de experiencia en cuanto a la etapa de consultoría se refiere acorde con lo establecido en la Matriz 1 – Experiencia].
- De igual manera, el Proponente deberá acreditar experiencia en las actividades de obra en infraestructura de agua potable y saneamiento básico de acuerdo con los lineamientos definidos en la Matriz 1 – Experiencia, el cual corresponde a: [En esta sección la Entidad debe indicar los requisitos de experiencia en cuanto a la etapa de obra se refiere acorde con lo establecido en el literal A) del numeral 3.5.2].
- Asimismo, a través de uno de los contratos válidos aportados deberá contener actividades de operación, administración o puesta en funcionamiento de la infraestructura objeto del proceso de selección.
ARTÍCULO 97. – MODIFÍQUENSE LOS LITERALES A), B), C) Y E) DEL NUMERAL 3.5.2 DE LOS DOCUMENTOS TIPO DE LICITACIÓN DE OBRA PÚBLICA DE INFRAESTRUCTURA DE AGUA POTABLE Y SANEAMIENTO BÁSICO. Modifíquense los literal A), B), C) y E) del numeral 3.5.2 - Características de los contratos presentados para acreditar la experiencia exigida de los documentos tipo para procesos de licitación pública para obras de infraestructura de agua potable y saneamiento básico, adoptados mediante la Resolución 248 de 2020, en los siguientes términos:
“3.5.2 CARACTERÍSTICAS DE LOS CONTRATOS PRESENTADOS PARA ACREDITAR LA EXPERIENCIA EXIGIDA.
[…]
“A. Que hayan contenido la ejecución de: [En este espacio la Entidad debe incluir, sin modificar, la actividad o actividades válidas para acreditar la experiencia general y específica señaladas en la Matriz 1 – Experiencia. Para definir la experiencia exigible la Entidad tiene que: i) identificar el alcance del objeto a contratar, ii) identificar el tipo de infraestructura de agua potable y saneamiento básico, iii) verificar las actividades definidas allí y iv) establecer los requisitos exigibles según la cuantía del Proceso de Contratación, así como los lineamientos para combinación de experiencia entre actividades, en caso de requerirse.
De conformidad con lo anterior, la Entidad debe diligenciar este literal, exclusivamente, con lo señalado en la Matriz 1- Experiencia, sin modificar los requisitos de experiencia general, específica y los % de dimensionamiento, lo cual implicaría la alteración de las reglas del Documento Tipo.
Dependiendo del rango en SMMLV, la Entidad deberá exigir la experiencia específica señalada en la Matriz 1 – Experiencia en la(s) actividad(es) requeridas para la ejecución del objeto del contrato. La Entidad únicamente podrá solicitar experiencia específica cuando la Matriz 1 – Experiencia lo establezca.
i) [En el caso que eventualmente se soliciten combinaciones de diferentes actividades a contratar con una misma o diferentes matrices de experiencia, la Entidad en esta sección identificará y definirá la actividad principal o de mayor relevancia y la actividad secundaria o accesoria a la principal, de acuerdo con las características del proyecto en particular. La Entidad podrá analizar la relevancia en función del valor de las actividades en el Presupuesto Oficial para lo cual establecerá:
Actividad Principal: [La Entidad identificará y definirá la actividad a contratar principal aplicable en el Proceso de Contratación de acuerdo con la Matriz 1 – Experiencia. Para esta actividad principal se solicitará la experiencia general y específica de la respectiva actividad a contratar de mayor relevancia.]
[La Entidad deberá establecer como actividad principal alguna de las “actividades a contratar” definidas en la Matriz 1 – Experiencia de estos Documentos Tipo].
Actividad Secundaria (1): [La Entidad definirá la actividad secundaria o accesoria aplicable en el Proceso de Contratación de acuerdo con la matriz de experiencia aplicable, ya sea cuando: i) en un mismo proyecto se incluyen otras actividades definidas en la Matriz 1 – Experiencia de estos Documentos Tipo o ii) cuando en un Proceso de Contratación aplican matrices de experiencia de otros Documentos Tipo y la Entidad considera conveniente incluir dicha experiencia, como por ejemplo: las Matrices de Experiencia de los Documentos Tipo de licitación de obra pública de infraestructura de social o de licitación de obra pública de infraestructura de transporte.]
Actividad Secundaria (2): [La Entidad diligenciará la experiencia aplicable a esta actividad secundaria de acuerdo con los lineamientos previstos en el párrafo anterior, en caso de que aplique y si considera conveniente exigir dicha experiencia]
En caso de que se combinen diferentes actividades, la Entidad en este espacio definirá los requisitos de experiencia exigibles conforme con la Matriz 1 – Experiencia, optando por una de las siguientes alternativas:
a. No solicitar experiencia para la actividad secundaria, sino únicamente la experiencia de la actividad principal, siempre que esta se trate de una de las actividades definidas en la Matriz 1 – Experiencia de estos Documentos Tipo.
b. Solicitar la experiencia general y específica de la “actividad a contratar” de la actividad principal y para las demás actividades secundarias a contratar requerir la experiencia general o específica. Esto significa que la Entidad, de acuerdo con el alcance del proyecto decidirá cuál experiencia pedirá para la actividad secundaria. En el evento en que la matriz de experiencia no contemple experiencia específica para la actividad secundaria, se solicitará la experiencia general. En todo caso en la actividad secundaria no será posible exigir la experiencia general y la específica, sino solo una de ellas.
Para la actividad secundaria en caso de requerirse la experiencia específica, se entenderá en el contexto de la experiencia general solicitada en dicha actividad.
ii) La experiencia exigible para estas actividades (principal o secundaria) se definirá en función de los rangos de cuantías aplicables al Proceso de Contratación. En el caso que el requisito de experiencia a solicitarse esté expresado en un componente o actividad correspondiente a un porcentaje del Presupuesto Oficial, este deberá calcularse respecto del cien por ciento (100%) del valor del Presupuesto Oficial. En todo caso para la demostración de la experiencia exigida en la actividad secundaria, si la Entidad desagrega el valor de las actividades, la acreditación de la experiencia de los componentes que están supeditados a un porcentaje del Presupuesto Oficial se realizará de acuerdo con el valor de cada actividad secundaria. En este último caso, la Entidad indicará en este literal el valor del Presupuesto Oficial que corresponde a cada uno.
iii) La Entidad no podrá incluir más de dos (2) combinaciones de experiencia adicionales a la prevista para la actividad principal. Esto significa que la Entidad solicitará la experiencia general y la específica de la actividad principal y máximo dos (2) experiencias específicas, general o específica, para las actividades secundarias aplicables al Proceso de Contratación.
iv)Si en la actividad secundaria se solicita la experiencia específica y en esta se contempla más de un requisito, la Entidad escogerá solo la que sea de mayor relevancia para el proyecto a ejecutar.
v) En los casos en que la Entidad opte por la exigencia de la experiencia específica para las actividades distintas a la actividad principal, deberá incluirse la siguiente nota:
“Nota: Para el caso de experiencias combinadas un Proponente podrá acreditar experiencia en una o más actividades con un contrato o con contratos distintos”.
vi) [En los Procesos de Contratación estructurados por lotes o por grupos, la Entidad establecerá la experiencia de cada uno de ellos, de acuerdo con las actividades definidas en la matriz de experiencia aplicable]
La experiencia que deberá acreditar el Proponente será la establecida por la Entidad de forma independiente para cada uno de los lotes o grupos de acuerdo con las actividades definidas en la matriz de experiencia aplicable en el respectivo proyecto de infraestructura para agua potable y saneamiento básico en el literal A de esta sección].
B. Estar relacionados en el Formato 3 – Experiencia con el número consecutivo del contrato en el RUP. Los Proponentes Plurales deben indicar qué integrante aporta cada uno de los contratos señalados en el Formato 3 – Experiencia. Este documento debe presentarlo el Proponente Plural y no sus integrantes.
Si el Proponente no diligencia el Formato 3 – Experiencia, la Entidad pedirá su subsanación en los términos del numeral 1.6. En caso de que el oferente no subsane se tendrán en cuenta para la evaluación los cinco (5) contratos de mayor valor aportados. Con estos la Entidad verificará la acreditación de los requisitos de experiencia general y específica solicitados para la actividad principal, al igual que los requeridos para la actividad secundaria en atención a las combinaciones de experiencia aplicables y la experiencia exigida respecto de los bienes o servicios adicionales a la obra pública de infraestructura para agua potable y saneamiento básico, en caso de que aplique.
Tratándose de Proponentes que acrediten la calidad de Mipyme o emprendimientos y empresas de mujeres con domicilio en el territorio nacional, se tendrán en cuenta como máximo los seis (6) contratos aportados de mayor valor. En caso de que el Proponente pruebe la calidad de Mipyme y de emprendimiento y empresa de mujer con domicilio en el territorio nacional de manera conjunta, se valdrán como máximo los siete (7) contratos aportados de mayor valor.
El Formato 3 – Experiencia deberá aportarse diligenciado en formato Excel.
C. El Proponente podrá acreditar la experiencia solicitada con mínimo uno (1) y máximo cinco (5) contratos, los cuales serán evaluados teniendo en cuenta la tabla del numeral 3.5.8 del Pliego de Condiciones, así como el contenido establecido en la Matriz 1 – Experiencia. [En los procesos estructurados por lotes o por grupos, el Proponente podrá aportar mínimo uno (1) y máximo cinco (5) contratos para cada uno de los lotes o grupos o podrá allegar los mismos para todos los lotes o grupos].
El Proponente persona natural o jurídica que acredite la calidad de Mipyme o de emprendimiento y empresa de mujer con domicilio en el territorio nacional de conformidad con lo previsto en el artículo 2.2.1.13.2.2 del Decreto 1074 de 2015 y los artículos 2.2.1.2.4.2.4. y 2.2.1.2.4.2.14 del Decreto 1082 de 2015, o las normas que los modifiquen, sustituyan o complementen, podrá probar la experiencia solicitada con un (1) contrato adicional a los cinco (5) inicialmente previstos, para un máximo de seis (6) contratos.
En caso de que el Proponente persona natural o jurídica acredite la calidad de Mipyme y de emprendimiento y empresa de mujer con domicilio en el territorio nacional de manera conjunta, podrá demostrar la experiencia solicitada con dos (2) contratos adicionales a los cinco (5) inicialmente previstos, para un máximo de siete (7).
Para el caso de Proponentes Plurales bastará con que uno de sus integrantes tenga una participación igual o superior al diez por ciento (10 %) en el Consorcio o en la Unión Temporal y acredite la calidad de Mipyme o emprendimiento y empresa de mujer de conformidad con lo previsto en el artículo 2.2.1.13.2.2 del Decreto 1074 de 2015 y los artículos 2.2.1.2.4.2.4. y 2.2.1.2.4.2.14 del Decreto 1082 de 2015 o las normas que los modifiquen, sustituyan o complementen, para probar la experiencia solicitada con un (1) contrato adicional a los cinco (5) inicialmente contemplados, para un máximo de seis (6) contratos.
En caso de que el mismo integrante u otro que haga parte del Proponente Plural tenga una participación igual o superior al diez por ciento (10 %) en el Consorcio o en la Unión Temporal y acredite la calidad de Mipyme y de emprendimiento y empresa de mujer con domicilio en el territorio nacional de manera conjunta o separada, podrá demostrar la experiencia solicitada con dos (2) contratos adicionales a los cinco (5) inicialmente previstos, para un máximo de siete (7) contratos. En todo caso no será posible aportar más de dos (2) contratos adicionales aun cuando otros integrantes del Proponente Plural también cumplan las condiciones previamente definidas.
Para acreditar la condición de Mipyme, el Proponente entregará copia del certificado del Registro Único de Proponentes, el cual deberá encontrarse vigente y en firme al momento de su presentación. Por su parte, la condición de emprendimientos y/o empresas de mujeres, se probará mediante el diligenciamiento del Formato 12- Acreditación de emprendimientos y empresas de mujeres, –el cual deberá aportarse con la documentación requerida en el artículo 2.2.1.2.4.2.14 del Decreto 1082 de 2015 o la norma que lo modifique, complemente o sustituya.
Para los efectos de este literal entiéndase por experiencia solicitada la general y la específica requerida en la actividad principal, al igual que la exigida para la actividad secundaria en atención a las combinaciones de experiencia aplicables y la experiencia adicional respecto de los bienes y servicios ajenos a la obra pública de infraestructura para agua potable y saneamiento básico.
[En las convocatorias limitadas a Mipyme únicamente se aplicará este criterio diferencial respecto de los emprendimientos y empresas de mujeres]”
[…]
E. Para los contratos que sean aportados por personas jurídicas que no cuentan con más de tres (3) años de constituidas, que pretendan acreditar la experiencia de sus socios, accionistas o constituyentes, de conformidad con la posibilidad establecida en el numeral 2.5 del artículo 2.2.1.1.1.5.2. del Decreto 1082 de 2015, además del RUP deben adjuntar un documento suscrito por el representante legal y el revisor fiscal o contador público (según corresponda) donde se indique la conformación de la persona jurídica. La Entidad tendrá en cuenta la experiencia de los accionistas, socios o constituyentes de las sociedades con menos de tres (3) años de constituidas. Pasado este tiempo, la sociedad conservará esta experiencia, tal y como haya quedado registrada en el RUP.
De acuerdo con el inciso anterior, en los casos en que se presente un Proponente Plural conformado por una persona jurídica, en conjunto con sus socios, accionistas o constituyentes y se alleguen contratos en los que estos le hayan transferido experiencia a aquella, solo podrán ser acreditados como experiencia en el Proceso de Contratación por uno de los integrantes, de manera tal que al Proponente Plural solo podrá avalársele una misma experiencia una sola vez”
ARTÍCULO 98. – MODIFÍQUENSE LOS LITERALES A), B), C) Y E) DEL NUMERAL 3.5.2 DE LOS DOCUMENTOS TIPO DE LICITACIÓN DE OBRA PÚBLICA DE INFRAESTRUCTURA DE AGUA POTABLE Y SANEAMIENTO BÁSICO EN LA MODALIDAD LLAVE EN MANO. Modifíquense los literal A), B), C) y E) del numeral 3.5.2 - Características de los contratos presentados para acreditar la experiencia exigida de los documentos tipo para procesos de licitación pública para obras de infraestructura de agua potable y saneamiento básico en la modalidad llave en mano expedidos con la Resolución 249 de 2020, en los siguientes términos:
“3.5.2 CARACTERÍSTICAS DE LOS CONTRATOS PRESENTADOS PARA ACREDITAR LA EXPERIENCIA EXIGIDA.
[…]
“A. Que hayan contenido la ejecución de: [En este espacio la Entidad debe incluir, sin modificar, la actividad o actividades válidas para acreditar la experiencia general y específica señaladas en la Matriz 1 – Experiencia. Para definir la experiencia exigible la Entidad tiene que: i) identificar el alcance del objeto a contratar, ii) identificar el tipo de infraestructura de agua potable y saneamiento básico, iii) verificar las actividades definidas allí y iv) establecer los requisitos exigibles según la cuantía del Proceso de Contratación, así como los lineamientos para combinación de experiencia entre actividades.
De conformidad con lo anterior, la Entidad debe diligenciar este literal exclusivamente con lo señalado en la Matriz 1- Experiencia, sin modificar los requisitos de experiencia general, específica y los % de dimensionamiento, lo cual implicaría la alteración de las reglas del Documento Tipo.
Dependiendo del rango en SMMLV, la Entidad deberá exigir la experiencia específica señalada en la Matriz 1 – Experiencia en la(s) actividad(es) requeridas para la ejecución del objeto del contrato. La Entidad únicamente podrá solicitar experiencia específica cuando la Matriz 1 – Experiencia lo establezca.
i) En el entendido que se requiera acreditar experiencia en actividades de consultoría para estudios y diseños deberá combinarse la experiencia de obra con lo establecido en el numeral 7 de la Matriz 1 - Experiencia. [Para las combinaciones de diferentes actividades a contratar con una misma o diferentes matrices de experiencia, la Entidad en esta sección identificará y definirá la actividad principal o de mayor relevancia incluida en el numeral 7 de la Matriz 1 - Experiencia y la actividad secundaria o accesoria a la principal, de acuerdo con las características del proyecto en particular, para lo cual establecerá:
Actividad Principal: [La Entidad identificará y definirá la actividad a contratar principal aplicable en el Proceso de Contratación de acuerdo con la Matriz 1 – Experiencia. Para esta actividad principal se solicitará la experiencia general y específica de la respectiva actividad a contratar de mayor relevancia.]
[La Entidad deberá establecer como actividad principal alguna de las “actividades a contratar” definidas en el numeral 7 de la Matriz 1 – Experiencia de estos Documentos Tipo].
Actividad Secundaria (1): [La Entidad definirá la actividad secundaria o accesoria aplicable en el Proceso de Contratación de acuerdo con la matriz de experiencia aplicable, ya sea cuando: i) en un mismo proyecto se incluyen otras actividades definidas en la Matriz 1 – Experiencia de estos Documentos Tipo o ii) cuando en un Proceso de Contratación aplican matrices de experiencia de otros Documentos Tipo y la Entidad considera conveniente incluir dicha experiencia, como por ejemplo: las Matrices de Experiencia de los Documentos Tipo de licitación de obra pública de infraestructura de social o de licitación de obra pública de infraestructura de transporte.]
Actividad Secundaria (2): [La Entidad diligenciará la experiencia aplicable a esta actividad secundaria de acuerdo con los lineamientos previstos en el párrafo anterior, en caso de que aplique y si considera conveniente exigir dicha experiencia.]
Para la combinación de diferentes actividades, la Entidad en este espacio definirá los requisitos de experiencia exigibles conforme con la Matriz 1 – Experiencia, de acuerdo con lo siguiente:
- Solicitar la experiencia general y la específica de la “actividad a contratar” de la actividad principal establecida en el numeral 7 de la Matriz 1 - Experiencia y para las demás actividades secundarias a contratar requerir la experiencia general o específica. Esto significa que la Entidad, de acuerdo con el alcance del proyecto decidirá cuál experiencia pedirá para la actividad secundaria. En el evento en que la matriz de experiencia no contemple experiencia específica para la actividad secundaria, se exigirá la experiencia general. En todo caso en la actividad secundaria no será posible exigir la experiencia general y la específica, sino solo una de ellas.
Para la actividad secundaria en caso de requerirse la experiencia específica, se entenderá en el contexto de la experiencia general solicitada en dicha actividad.
ii) La experiencia exigible para estas actividades (principal o secundaria) se definirá en función de los rangos de cuantías aplicables al Proceso de Contratación. En el caso que el requisito de experiencia a solicitarse esté expresado en un componente o actividad correspondiente a un porcentaje del Presupuesto Oficial, este deberá calcularse respecto del cien por ciento (100%) del valor del Presupuesto Oficial. En todo caso para la demostración de la experiencia exigida en la actividad secundaria, si la Entidad desagrega el valor de las actividades, la acreditación de la experiencia de los componentes que están supeditados a un porcentaje del Presupuesto Oficial se realizará de acuerdo con el valor de cada actividad secundaria. En este último caso, la Entidad indicará en este literal el valor del Presupuesto Oficial que corresponde a cada uno.
iii)La Entidad no podrá incluir más de dos (2) combinaciones de experiencia adicionales a la prevista para la actividad principal. Esto significa que la Entidad solicitará la experiencia general y la específica de la actividad principal y máximo dos (2) experiencias, general o específica, para las actividades secundarias aplicables al Proceso de Contratación.
iv)Si en la actividad secundaria se solicita la experiencia específica y en esta se contempla más de un requisito, la Entidad escogerá solo el que sea de mayor relevancia para el proyecto a ejecutar.
v) En los casos en que la Entidad opte por la exigencia de la experiencia específica para las actividades distintas a la actividad principal, se deberá incluir la siguiente nota:
“Nota: Para el caso de experiencias combinadas un Proponente podrá acreditar experiencia en una o más actividades con un contrato o con contratos distintos”.
vi) [En los Procesos de Contratación estructurados por lotes o por grupos, la Entidad establecerá la experiencia de cada uno de ellos, de acuerdo con las actividades definidas en la matriz de experiencia aplicable]
La experiencia que deberá acreditar el Proponente será la establecida por la Entidad de forma independiente para cada uno de los lotes o grupos de acuerdo con las actividades definidas en la matriz de experiencia aplicable en el respectivo proyecto de infraestructura para agua potable y saneamiento básico en el literal A de esta sección].
B. Estar relacionados en el Formato 3 – Experiencia con el número consecutivo del contrato en el RUP. Los Proponentes Plurales deben indicar qué integrante aporta cada uno de los contratos señalados en el Formato 3 – Experiencia. Este documento debe presentarlo el Proponente Plural y no sus integrantes.
Si el Proponente no diligencia el Formato 3 – Experiencia, la Entidad pedirá su subsanación en los términos del numeral 1.6. En caso de que el oferente no subsane se tendrán en cuenta para la evaluación los cinco (5) contratos de mayor valor aportados. Con estos la Entidad verificará la acreditación de los requisitos de experiencia general y específica solicitados para la actividad principal, al igual que los requeridos para la actividad secundaria en atención a las combinaciones de experiencia aplicables y la experiencia exigida respecto de los bienes o servicios adicionales a la obra pública de infraestructura para agua potable y saneamiento básico, en caso de que aplique.
Tratándose de Proponentes que acrediten la calidad de Mipyme o emprendimientos y empresas de mujeres con domicilio en el territorio nacional, se tendrán en cuenta como máximo los seis (6) contratos aportados de mayor valor. En caso de que el Proponente pruebe la calidad de Mipyme y de emprendimiento y empresa de mujer con domicilio en el territorio nacional de manera conjunta, se valdrán como máximo los siete (7) contratos aportados de mayor valor.
El Formato 3 – Experiencia deberá aportarse diligenciado en formato Excel.
C. El Proponente podrá acreditar la experiencia solicitada con mínimo uno (1) y máximo cinco (5) contratos, los cuales serán evaluados teniendo en cuenta la tabla del numeral 3.5.8 del Pliego de Condiciones, así como el contenido establecido en la Matriz 1 – Experiencia. [En los procesos estructurados por lotes o por grupos, el Proponente podrá aportar mínimo uno (1) y máximo cinco (5) contratos para cada uno de los lotes o grupos o podrá allegarlos mismos para todos los lotes o grupos].
El Proponente persona natural o jurídica que acredite la calidad de Mipyme o de emprendimiento y empresas de mujer con domicilio en el territorio nacional de conformidad con lo previsto en el artículo 2.2.1.13.2.2 del Decreto 1074 de 2015 y los artículos 2.2.1.2.4.2.4.y 2.2.1.2.4.2.14 del Decreto 1082 de 2015, o las normas que los modifiquen, sustituyan o complementen, podrá probar la experiencia solicitada con un (1) contrato adicional a los cinco (5) inicialmente previstos, para un máximo de seis (6) contratos.
En caso de que el Proponente persona natural o jurídica acredite la calidad de Mipyme y de emprendimiento y empresas de mujeres con domicilio en el territorio nacional de manera conjunta, podrá demostrar la experiencia solicitada con dos (2) contratos adicionales a los cinco (5) inicialmente previstos, para un máximo de siete (7).
Para el caso de Proponentes Plurales bastará con que uno de sus integrantes tenga una participación igual o superior al diez por ciento (10 %) en el Consorcio o en la Unión Temporal y acredite la calidad de Mipyme o emprendimiento y empresa de mujer de conformidad con lo previsto en el artículo 2.2.1.13.2.2 del Decreto 1074 de 2015 y los artículos 2.2.1.2.4.2.4.y 2.2.1.2.4.2.14 del Decreto 1082 de 2015 o las normas que los modifiquen, sustituyan o complementen, para probar la experiencia solicitada con un (1) contrato adicional a los cinco (5) inicialmente contemplados, para un máximo de seis (6) contratos.
En caso de que el mismo integrante u otro que haga parte del Proponente Plural tenga una participación igual o superior al diez por ciento (10 %) en el Consorcio o en la Unión Temporal y acredite la calidad de Mipyme y de emprendimiento y empresa de mujer con domicilio en el territorio nacional de manera conjunta o separada, podrá demostrar la experiencia solicitada con dos (2) contratos adicionales a los cinco (5) inicialmente previstos, para un máximo de siete (7) contratos. En todo caso no será posible aportar más de dos (2) contratos adicionales aun cuando otros integrantes del Proponente Plural también cumplan las condiciones previamente definidas.
Para acreditar la condición de Mipyme, el Proponente entregará copia del certificado del Registro Único de Proponentes, el cual deberá encontrarse vigente y en firme al momento de su presentación. Por su parte, la condición de emprendimientos y/o empresas de mujeres, se probará mediante el diligenciamiento del Formato 12- Acreditación de emprendimientos y empresas de mujeres, el cual deberá aportarse con la documentación requerida en el artículo 2.2.1.2.4.2.14 del Decreto 1082 de 2015 o la norma que lo modifique, complemente o sustituya.
Para los efectos de este literal entiéndase por experiencia solicitada la general y la específica requerida en la actividad principal, al igual que la exigida para la actividad secundaria en atención a las combinaciones de experiencia aplicables y la experiencia adicional respecto de los bienes y servicios ajenos a la obra pública de infraestructura para agua potable y saneamiento básico.
[En las convocatorias limitadas a Mipyme únicamente se aplicará este criterio diferencial respecto de los emprendimientos y empresas de mujeres]”
[…]
E. Para los contratos que sean aportados por personas jurídicas que no cuentan con más de tres (3) años de constituidas, que pretendan acreditar la experiencia de sus socios, accionistas o constituyentes, de conformidad con la posibilidad establecida en el numeral 2.5 del artículo 2.2.1.1.1.5.2. del Decreto 1082 de 2015, además del RUP deben adjuntar un documento suscrito por el representante legal y el revisor fiscal o contador público (según corresponda) donde se indique la conformación de la persona jurídica. La Entidad tendrá en cuenta la experiencia de los accionistas, socios o constituyentes de las sociedades con menos de tres (3) años de constituidas. Pasado este tiempo, la sociedad conservará esta experiencia, tal y como haya quedado registrada en el RUP.
De acuerdo con el inciso anterior, en los casos en que se presente un Proponente Plural conformado por una persona jurídica, en conjunto con sus socios, accionistas o constituyentes y se alleguen contratos en los que estos le hayan transferido experiencia a aquella, solo podrán ser acreditados como experiencia en el Proceso de Contratación por uno de los integrantes, de manera tal que al Proponente Plural solo podrá avalársele una misma experiencia una sola vez”
ARTÍCULO 99. – MODIFÍQUESE EL LITERAL G DEL NUMERAL 3.5.2 DE LOS DOCUMENTOS TIPO DE LICITACIÓN DE OBRA PÚBLICA DE INFRAESTRUCTURA DE AGUA POTABLE Y SANEAMIENTO BÁSICO. Modifíquese el literal G) del numeral 3.5.2 – Características de los contratos presentados para acreditar la experiencia exigida de los documentos tipo para procesos de licitación pública para obras de infraestructura de agua potable y saneamiento básico adoptados mediante la Resolución 248 de 2020, en los siguientes términos:
“G. [Cuando el objeto contractual incluya bienes o servicios ajenos a la obra pública de infraestructura para agua potable y saneamiento básico y de manera excepcional se requiere incluir experiencia adicional para evaluar la idoneidad respecto de dichos bienes o servicios, la Entidad verificará si estos están incorporados en otros Documentos Tipo. En este caso, la Entidad observará las reglas de combinación de experiencia definidas en el literal A) de este numeral y, por tanto, la Entidad no podrá definir requisitos de experiencia distintos a los determinados por esta Agencia. En todo caso, si el objeto contractual contempla bienes o servicios ajenos que no están regulados en los Documentos Tipo, la Entidad Estatal aplicará los parámetros del artículo 4o de la Resolución 248 de 2020.
Conforme con esta disposición, la Entidad no puede requerir experiencia adicional que incluya volúmenes o cantidades de obra específica expresadas en SMMLV.
La Entidad tampoco puede exigir experiencia general o específica adicional a la señalada en la Matriz 1 – Experiencia relacionada con Planes de Manejo Ambiental, Planes de Manejo de Tránsito o el Plan de Adaptación de la Guía Ambiental, porque no son bienes o servicios ajenos a la obra de infraestructura para agua potable y saneamiento básico].”
ARTÍCULO 100. – MODIFÍQUESE EL LITERAL G DEL NUMERAL 3.5.2 DE LOS DOCUMENTOS TIPO DE LICITACIÓN DE OBRA PÚBLICA DE INFRAESTRUCTURA DE AGUA POTABLE Y SANEAMIENTO EN LA MODALIDAD LLAVE EN MANO. Modifíquese el literal G) del numeral 3.5.2– - Características de los contratos presentados para acreditar la experiencia exigida de los documentos tipo para procesos de licitación pública para obras de infraestructura de agua potable y saneamiento básico en la modalidad llave en mano adoptados con la Resolución 249 de 2020, en los siguientes términos:
“G. [Cuando el objeto contractual incluya bienes o servicios ajenos a la obra pública de infraestructura para agua potable y saneamiento básico y de manera excepcional se requiere incluir experiencia adicional para evaluar la idoneidad respecto de dichos bienes o servicios, la Entidad Estatal verificará si estos están incorporados en otros Documentos Tipo. En este caso, la Entidad observará las reglas de combinación de experiencia definidas en el literal A) de este numeral y, por tanto, la Entidad no podrá definir requisitos de experiencia distintos a los contemplados por esta Agencia. En todo caso, si el objeto contractual contempla bienes o servicios ajenos que no están regulados en los Documentos Tipo, la Entidad Estatal aplicará los parámetros del artículo 4o de la Resolución 249 de 2020.
Conforme con esta disposición, la Entidad no puede requerir experiencia adicional que incluya volúmenes o cantidades de obra específica expresadas en SMMLV.
La Entidad tampoco puede exigir experiencia general o específica adicional a la señalada en la Matriz 1 – Experiencia relacionada con Planes de Manejo Ambiental, Planes de Manejo de Tránsito o el Plan de Adaptación de la Guía Ambiental, porque no son bienes o servicios ajenos a la obra de infraestructura para agua potable y saneamiento básico.]”
ARTÍCULO 101. – MODIFÍQUENSE LOS LITERALES C) Y D) DEL NUMERAL 3.5.3 DE LOS DOCUMENTOS TIPO DE LICITACIÓN DE OBRA PÚBLICA DE INFRAESTRUCTURA DE AGUA POTABLE Y SANEAMIENTO BÁSICO Y LOS DE LA MODALIDAD LLAVE EN MANO. Modifíquense los literales C) y D) del numeral 3.5.3 - Consideraciones para la validez de la experiencia requerida de los documentos tipo para procesos de licitación pública para obras de infraestructura de agua potable y saneamiento básico adoptados mediante la Resolución 248 de 2020 y los de la modalidad llave en mano expedidos con la Resolución 249 de 2020, en los siguientes términos:
“3.5.3 CONSIDERACIONES PARA LA VALIDEZ DE LA EXPERIENCIA REQUERIDA
[…]
C. Si el Proponente relaciona o anexa más de cinco (5) contratos en el Formato 3 - Experiencia, para efectos de evaluar la experiencia se tendrán en cuenta cómo máximo los cinco (5) contratos aportados de mayor valor.
Tratándose de Proponentes que acrediten la calidad de Mipyme o emprendimiento y empresa de mujer con domicilio en el territorio nacional, se tendrá en cuenta como máximo los seis (6) contratos aportados de mayor valor. En caso de que el Proponente pruebe la calidad de Mipyme y de emprendimiento y empresa de mujer con domicilio en el territorio nacional de manera conjunta, se tendrá en cuenta como máximo los siete (7) contratos allegados de mayor valor.
D. Tratándose de Proponentes Plurales se tendrá en cuenta lo siguiente: i) uno de los integrantes debe aportar como mínimo el cincuenta por ciento (50 %) de la experiencia solicitada; ii) los demás integrantes deben acreditar al menos el cinco por ciento (5 %) de la experiencia solicitada; y iii) sin perjuicio de lo anterior, solo uno (1) de los integrantes, si así lo considera pertinente, podrá no acreditar experiencia. En este último caso, el porcentaje de participación del integrante que no aporta experiencia en la estructura plural no podrá superar el diez por ciento (10 %).
Estos porcentajes que acreditarán los integrantes del Proponente Plural se podrán cumplir con contratos válidos que acrediten el requisito de experiencia solicitada en el pliego de condiciones y se calcularán sobre el “valor mínimo a certificar (como % del Presupuesto Oficial de obra expresado en SMMLV)” de conformidad con el numeral 3.5.8. Independientemente de el o los integrantes del Proponente Plural que aporten contratos para acreditar la experiencia, estos se tendrán en cuenta para calcular el “número de contratos con los cuales el Proponente cumple la experiencia acreditada" de que trata el numeral citado.
En armonía con lo anterior, para cumplir el requisito previsto en este literal no se solicitará la acreditación de longitudes, magnitudes, volúmenes o porcentajes requeridos en la experiencia específica, sino que bastará con acreditar los SMMLV.
[En caso de que el proceso de contratación se adelante por lotes o por grupos, estos porcentajes de experiencia se calcularán sobre el "valor mínimo a certificar (como % del Presupuesto Oficial de obra expresado en SMMLV)” de conformidad con el numeral 3.5.8., esto es, en relación con el valor del Presupuesto Oficial establecido para cada lote o grupo]
ARTÍCULO 102. – INCLÚYANSE LOS LITERALES J), K) Y L) AL NUMERAL 3.5.3 DE LOS DOCUMENTOS TIPO DE LICITACIÓN DE OBRA PÚBLICA DE INFRAESTRUCTURA DE AGUA POTABLE Y SANEAMIENTO BÁSICO. Inclúyanse los literales J), K) y L) al numeral 3.5.3 - Consideraciones para la validez de la experiencia requerida de los documentos tipo para procesos de licitación pública para obras de infraestructura de agua potable y saneamiento básico adoptados mediante la Resolución 248 de 2020, en los siguientes términos:
“J. Las auto certificaciones no servirán para acreditar la experiencia requerida, ya que con estas no puede constatarse la ejecución de contratos que deben certificar los terceros que recibieron la obra, bien o servicio. Para la aplicación de esta regla se entiende por auto certificaciones aquellas expedidas por el mismo Proponente, sus representantes, los integrantes del Proponente Plural o del mismo grupo empresarial para demostrar su propia experiencia.
K. Las certificaciones expedidas por el interventor de obra no servirán para probar la experiencia requerida.
L. Para los proyectos de concesiones, únicamente se tendrá en cuenta la experiencia adquirida en la etapa constructiva y/o de intervención de la obra de infraestructura de agua potable y saneamiento básico, lo cual deberá demostrarse con los documentos que la soporten. En consecuencia, no será válida la experiencia obtenida en la etapa de operación, administración y/o mantenimiento de la infraestructura concesionada.
Para estos efectos, el oferente deberá acreditar los valores ejecutados expresados en SMMLV de la etapa constructiva y/o de intervención de la obra de infraestructura de agua potable y saneamiento básico, empleando alguno de los documentos válidos establecidos en el numeral 3.5.6 del Pliego de Condiciones. En el evento en que los valores de los documentos aportados se expresen en moneda extranjera se procederá de conformidad con lo previsto en el literal A del numeral 1.13. Para este caso, la fecha de terminación de la etapa constructiva y/o de intervención de la obra hará las veces de fecha de terminación del contrato. Ahora, para la conversión de dichos valores a SMMLV se seguirá el proceso descrito en el literal B del numeral 1.13, para lo cual se emplearán los valores históricos de SMMLV señalados por el Banco de la República (http://www.banrep.gov.co/es/mercado-laboral/salarios), del año correspondiente a la fecha de terminación de la etapa constructiva y/o de intervención de la obra.
En los casos en que el Proponente no cumpla la exigencia antes señalada, la Entidad permitirá la subsanación, en los términos del numeral 1.6 del Pliego de Condiciones, requiriendo al Proponente para que demuestre los valores ejecutados. De no lograrse la discriminación de los valores ejecutados en el marco del respectivo contrato, la Entidad no lo tendrá en cuenta para la evaluación.
En caso de que el valor ejecutado que conste en el RUP sea distinto al verificado en el documento aportado por el Proponente, la Entidad Estatal para evaluar el requisito de la experiencia tomará el dato del valor de alguno de los documentos válidos establecidos el numeral 3.5.6 del Pliego de Condiciones. Lo anterior, debido a que estos últimos discriminan el valor ejecutado en la etapa constructiva y/o de intervención de la obra de infraestructura de agua potable y saneamiento básico.”
ARTÍCULO 103. – INCLÚYANSE LOS LITERALES J Y K AL NUMERAL 3.5.3 DE LOS DOCUMENTOS TIPO DE LICITACIÓN DE OBRA PÚBLICA DE INFRAESTRUCTURA DE AGUA POTABLE Y SANEAMIENTO BÁSICO EN LA MODALIDAD LLAVE EN MANO. Inclúyanse los literales J) y K) al numeral 3.5.3 - Consideraciones para la validez de la experiencia requerida de los documentos tipo para procesos de licitación pública para obras de infraestructura de agua potable y saneamiento básico en la modalidad llave en mano expedidos con la Resolución 249 de 2020, en los siguientes términos:
“J. Las auto certificaciones no servirán para acreditar la experiencia requerida, ya que con estas no puede constatarse la ejecución de contratos que deben certificar los terceros que recibieron la obra, bien o servicio. Para la aplicación de esta regla se entiende por auto certificaciones aquellas expedidas por el mismo Proponente, sus representantes, los integrantes del Proponente Plural o del mismo grupo empresarial para demostrar su propia experiencia.
K. Las certificaciones expedidas por el interventor de obra no servirán para probar la experiencia requerida.”
ARTÍCULO 104. – MODIFÍQUESE EL NUMERAL 3.5.8 DE LOS DOCUMENTOS TIPO DE LICITACIÓN DE OBRA PÚBLICA DE INFRAESTRUCTURA DE AGUA POTABLE Y SANEAMIENTO BÁSICO Y LOS DE LA MODALIDAD LLAVE EN MANO. Modifíquese el numeral 3.5.8 – Relación de los contratos frente al presupuesto oficial de los documentos tipo para procesos de licitación pública para obras de infraestructura de agua potable y saneamiento básico adoptados mediante la Resolución 248 de 2020 y los de la modalidad llave en mano expedidos con la Resolución 249 de 2020, en los siguientes términos:
“3.5.8 RELACIÓN DE LOS CONTRATOS FRENTE AL PRESUPUESTO OFICIAL
La verificación del número de contratos para acreditar la experiencia se realiza de la siguiente manera:
| Número de contratos con los cuales el Proponente cumple la experiencia acreditada | Valor mínimo a certificar (como % del Presupuesto Oficial de obra expresado en SMMLV) |
| De 1 hasta 2 | 75% |
| De 3 hasta 4 | 120% |
| Hasta 5 | 150% |
Si el número de contratos aportados supera los cinco (5) inicialmente previstos en este numeral, debido a la posibilidad de allegar contratos adicionales por tratarse de una Mipyme y/o emprendimiento y empresa de mujer, estos contratos adicionales, ya sean seis (6) o siete (7) - dependiendo si acredita una o ambas condiciones-, se tendrán en cuenta para demostrar el valor del ciento cincuenta por ciento (150 %) del valor del Presupuesto Oficial
La verificación se hará con base en la sumatoria de los valores totales ejecutados (incluido IVA) en SMMLV de los contratos que cumplan con los requisitos establecidos en este Pliego de Condiciones.
El Proponente cumple el requisito de experiencia si la sumatoria de los valores totales ejecutados (incluido IVA) de los contratos expresados en SMMLV es mayor o igual al valor mínimo a certificar establecido en la tabla anterior.
En caso de que el número de contratos con los cuales el Proponente acredita la experiencia no satisface el porcentaje mínimo a certificar establecido en la tabla anterior, se calificará la propuesta como no hábil y el Proponente podrá subsanarla en los términos contemplados en la sección 1.6.
[En los procesos estructurados por lotes o por grupos el valor mínimo a certificar debe ser en relación con el valor del Presupuesto Oficial del respectivo lote o grupo expresado en SMMLV]”.
ARTÍCULO 105. – MODIFÍQUESE EL NUMERAL 3.6 DE LOS DOCUMENTOS TIPO DE LICITACIÓN DE OBRA PÚBLICA DE INFRAESTRUCTURA DE AGUA POTABLE Y SANEAMIENTO BÁSICO Y LOS DE LA MODALIDAD LLAVE EN MANO. Modifíquese el numeral 3.6 – Capacidad financiera de los documentos tipo para procesos de licitación pública para obras de infraestructura de agua potable y saneamiento básico adoptados mediante la Resolución 248 de 2020 y los de la modalidad llave en mano expedidos a través de la Resolución 249 de 2020, en los siguientes términos:
“3.6 CAPACIDAD FINANCIERA
Los Proponentes deberán acreditar los siguientes indicadores en los términos señalados en la Matriz 2 – Indicadores financieros y organizacionales y bajo las condiciones señaladas en el numeral 3.9:
| Indicador | Fórmula |
| Liquidez | |
| Nivel de Endeudamiento | |
| Razón de Cobertura de Intereses |
Si el Proponente es Plural cada indicador debe calcularse así:
![]()
Donde n es el número de integrantes del Proponente Plural (Unión Temporal o Consorcio).
El Proponente que no tiene pasivos corrientes está habilitado respecto del índice de liquidez.
El Proponente que no tiene gastos de intereses está habilitado respecto de la razón de cobertura de intereses, siempre y cuando la utilidad operacional sea igual o mayor a cero (0).
El Proponente que demuestre la condición de Mipyme domiciliada en Colombia probará la capacidad financiera de acuerdo con los indicadores señalados en la Matriz 2 – Indicadores financieros y organizacionales. El Proponente acreditará la condición de Mipyme con la copia del certificado del Registro Único de Proponentes, el cual deberá encontrarse vigente y en firme al momento de su presentación.”
ARTÍCULO 106. – MODIFÍQUESE EL NUMERAL 3.8 DE LOS DOCUMENTOS TIPO DE LICITACIÓN DE OBRA PÚBLICA DE INFRAESTRUCTURA DE AGUA POTABLE Y SANEAMIENTO BÁSICO Y LOS DE LA MODALIDAD LLAVE EN MANO. Modifíquese el numeral 3.8 – Capacidad organizacional de los documentos tipo para procesos de licitación pública para obras de infraestructura de agua potable y saneamiento básico adoptados mediante la Resolución 248 de 2020 y los de la modalidad llave en mano expedidos con la Resolución 249 de 2020, en los siguientes términos:
“3.8. CAPACIDAD ORGANIZACIONAL
Los Proponentes deberán acreditar los siguientes indicadores en los términos señalados en la Matriz 2 – Indicadores financieros y organizacionales.
| Indicador | Fórmula |
| Rentabilidad sobre Patrimonio (Roe) | |
| Rentabilidad del Activo (Roa) |
Si el Proponente es plural cada indicador debe calcularse así:
![]()
Donde n es el número de integrantes del Proponente Plural (Unión Temporal o Consorcio).
El Proponente que demuestre la condición de Mipyme domiciliada en Colombia acreditará la capacidad organizacional de acuerdo con los indicadores señalados en la Matriz 2 – Indicadores financieros y organizacionales. El Proponente probará la condición de Mipyme con la copia del certificado del Registro Único de Proponentes, el cual deberá encontrarse vigente y en firme al momento de su presentación.”
ARTÍCULO 107. – MODIFÍQUESE EL CAPÍTULO IV DE LOS DOCUMENTOS TIPO DE LICITACIÓN DE OBRA PÚBLICA DE INFRAESTRUCTURA DE AGUA POTABLE Y SANEAMIENTO BÁSICO Y LOS DE LA MODALIDAD LLAVE EN MANO. Modifíquese el Capítulo IV - Criterios de evaluación, asignación de puntaje y criterios de desempate de los documentos tipo para procesos de licitación pública para obras de infraestructura de agua potable y saneamiento básico adoptados mediante la Resolución 248 de 2020 y los de la modalidad llave en mano expedidos con la Resolución 249 de 2020, en los siguientes términos:
“CAPÍTULO IV. CRITERIOS DE EVALUACIÓN, ASIGNACIÓN DE PUNTAJE Y CRITERIOS DE DESEMPATE
La Entidad calificará las ofertas que hayan cumplido con los requisitos habilitantes con los siguientes puntajes:
| Concepto | Puntaje máximo |
| Oferta económica | 59,5 |
| Factor de calidad | 19 |
| Apoyo a la industria nacional | 20 |
| Vinculación de personas con discapacidad | 1 |
| Emprendimientos y empresas de mujeres | 0,25 |
| Mipyme | 0,25 |
| Total | 100 |
De conformidad con el artículo 67 de la Ley 915 de 2004 cuando el objeto del contrato deba ser desarrollado en el territorio del departamento Archipiélago de San Andrés, Providencia y Santa Catalina, la Entidad calificará las ofertas que hayan cumplido con los requisitos habilitantes con los siguientes puntajes:
| Concepto | Puntaje máximo |
| Oferta económica | 54,5 |
| Factor de calidad | 19 |
| Apoyo a la industria nacional | 20 |
| Vinculación de personas con discapacidad | 1 |
| Tarjeta de Circulación y Residencia “OCCRE” | 5 |
| Emprendimientos y empresas de mujeres | 0,25 |
| Mipyme | 0,25 |
| Total | 100 |
Cuando el objeto del contrato deba ser desarrollado en el territorio del departamento Archipiélago de San Andrés, Providencia y Santa Catalina, las Entidades deberán ajustar los puntajes y fórmulas de los métodos de ponderación de acuerdo con el anterior cuadro]
En las convocatorias limitadas a Mipyme el puntaje por este concepto se trasladará al puntaje de oferta económica. En este caso en el Pliego de Condiciones definitivo se incluirá el siguiente cuadro:
La Entidad calificará las ofertas que hayan cumplido con los requisitos habilitantes con los siguientes puntajes:
| Concepto | Puntaje máximo |
| Oferta económica | 59,75 |
| Factor de calidad | 19 |
| Apoyo a la industria nacional | 20 |
| Vinculación de personas con discapacidad | 1 |
| Emprendimientos y empresas de mujeres | 0,25 |
| Total | 100 |
De conformidad con el artículo 67 de la Ley 915 de 2004, cuando el objeto del contrato deba ser desarrollado en el territorio del departamento Archipiélago de San Andrés, Providencia y Santa Catalina, la Entidad calificará las ofertas que hayan cumplido con los requisitos habilitantes con los siguientes puntajes:
| Concepto | Puntaje máximo |
| Oferta económica | 54,75 |
| Factor de calidad | 19 |
| Apoyo a la industria nacional | 20 |
| Vinculación de personas con discapacidad | 1 |
| Tarjeta de Circulación y Residencia “OCCRE” | 5 |
| Emprendimientos y empresas de mujeres | 0,25 |
| Total | 100 |
[Cuando el objeto del contrato deba ser desarrollado en el territorio del departamento Archipiélago, de San Andrés, Providencia y Santa Catalina las Entidades deberán ajustar los puntajes y fórmulas de los métodos de ponderación de acuerdo con el anterior cuadro]
Las Entidades deberán reducir durante la evaluación de las ofertas dos (2) puntos a los Proponentes que se les haya impuesto una o más multas o cláusulas penales durante el último año, contado a partir de la fecha prevista para el cierre del proceso, sin importar la cuantía y sin perjuicio de las demás consecuencias derivadas del incumplimiento. Esta reducción también afectará a los Consorcios y a las Uniones Temporales si alguno de sus integrantes se encuentra en la situación anterior.
La reducción del puntaje antes señalada no se materializará en caso de que los actos administrativos que hayan impuesto las multas sean objeto de medios de control jurisdiccional previstos en la Ley 1437 de 2011 o las normas que la modifiquen, adicionen o sustituyan. Además, se aplicará sin perjuicio de lo contenido en el artículo 6o de la Ley 2020 de 2020. Lo anterior de conformidad con el artículo 58 de la Ley 2195 de 2022 y las normas que lo modifiquen, sustituyan o reglamenten.
ARTÍCULO 108. – MODIFÍQUESE EL NUMERAL 4.6. DE LOS DOCUMENTOS TIPO DE LICITACIÓN DE OBRA PÚBLICA DE INFRAESTRUCTURA DE AGUA POTABLE Y SANEAMIENTO BÁSICO Y LOS DE LA MODALIDAD LLAVE EN MANO. Modifíquese el numeral 4.6 – Emprendimientos y empresas de mujeres de los documentos tipo para procesos de licitación pública para obras de infraestructura de agua potable y saneamiento básico adoptados mediante la Resolución 248 de 2020 y los de la modalidad llave en mano expedidos con la Resolución 249 de 2020, en los siguientes términos
“4.6 EMPRENDIMIENTOS Y EMPRESAS DE MUJERES
La Entidad asignará un puntaje de cero punto veinticinco (0.25) puntos al Proponente que acredite la calidad de emprendimientos y empresas de mujeres con domicilio en el territorio nacional de conformidad con la previsto en el artículo 2.2.1.2.4.2.14. del Decreto 1082 de 2015 o la norma que lo modifique, sustituya o complemente.
Para que el Proponente obtenga este puntaje debe diligenciar el Formato 12 – Acreditación de emprendimientos y empresas de mujeres y aportar la documentación requerida. Si el Proponente debió subsanar la entrega de dicho formato y/o los documentos exigidos para probar esta condición será válido para el criterio diferencial en cuanto al requisito habilitante relacionado con el número de contratos aportados para demostrar la experiencia solicitada. Sin embargo, no se tendrán en cuenta para la asignación de puntaje, por lo que obtendrá cero (0) puntos por este factor de evaluación.
Tratándose de Proponentes Plurales este puntaje solo se otorgará si por lo menos uno de los integrantes acredita la calidad de emprendimientos y empresas de mujeres y tiene una participación igual o superior al diez por ciento (10 %) en el Consorcio o en la Unión Temporal.
La asignación de este puntaje no excluye la aplicación del puntaje para Mipyme.
ARTÍCULO 109. – INCLÚYASE EL NUMERAL 4.7. DE LOS DOCUMENTOS TIPO DE LICITACIÓN DE OBRA PÚBLICA DE INFRAESTRUCTURA DE AGUA POTABLE Y SANEAMIENTO BÁSICO Y LOS DE LA MODALIDAD LLAVE EN MANO. Inclúyase el numeral 4.7 - Mipyme domiciliada en Colombia de los documentos tipo para procesos de licitación pública para obras de infraestructura de agua potable y saneamiento básico adoptados mediante la Resolución 248 de 2020 y los de la modalidad llave en mano expedidos a través de la Resolución 249 de 2020, en los siguientes términos:
“4.7 MIPYME DOMICILIADA EN COLOMBIA
[En las convocatorias limitadas a Mipyme no aplicará este puntaje adicional. En este caso los puntos por este concepto se trasladarán al puntaje de oferta económica]
La Entidad otorgará un puntaje de cero punto veinticinco puntos (0.25) puntos al Proponente que acredite la calidad de Mipyme domiciliada en Colombia de conformidad con artículo 2.2.1.2.4.2.4 del Decreto 1082 de 2015, en concordancia con el parágrafo del artículo 2.2.1.13.2.4 del Decreto 1074 de 2015, o la norma que lo modifique, complemente o sustituya.
Así las cosas, para obtener el puntaje, el Proponente entregará copia del certificado del Registro Único de Proponentes, el cual deberá encontrarse vigente y en firme al momento de su presentación. Si el Proponente debió subsanar la entrega del RUP, éste será válido para los criterios diferenciales en cuanto a los requisitos habilitantes relacionados con el número de contratos allegados para demostrar la experiencia solicitada y los índices de la Capacidad Financiera y Organizacional. Sin embargo, el certificado no se tendrá en cuenta para la asignación del puntaje adicional, por lo que obtendrá cero (0) puntos por este factor de evaluación.
Tratándose de Proponentes Plurales este puntaje se otorgará si por lo menos uno de los integrantes acredita la calidad de Mipyme y tiene una participación igual o superior al diez por ciento (10 %) en el Consorcio o en la Unión Temporal.
ARTÍCULO 110. – INCLÚYASE EL NUMERAL 4.8 DE LOS DOCUMENTOS TIPO DE LICITACIÓN DE OBRA PÚBLICA DE INFRAESTRUCTURA DE AGUA POTABLE Y SANEAMIENTO BÁSICO Y LOS DE LA MODALIDAD LLAVE EN MANO. Inclúyase el numeral 4.8 – Criterios de desempate de los documentos tipo para procesos de licitación pública para obras de infraestructura de agua potable y saneamiento básico adoptados mediante la Resolución 248 de 2020 y los de la modalidad llave en mano expedidos con la Resolución 249 de 2020, en los siguientes términos
“4.8. CRITERIOS DE DESEMPATE
En caso de empate en el puntaje total de dos o más ofertas deberán aplicarse las siguientes reglas de acuerdo con cada uno de los numerales, de forma sucesiva y excluyente, para seleccionar al Proponente favorecido, respetando en todo caso las obligaciones contenidas en los Acuerdos Comerciales vigentes, especialmente en materia de trato nacional:
1. Preferir la oferta de bienes o servicios nacionales frente a la oferta de bienes o servicios extranjeros. El Proponente acreditará este factor de desempate de acuerdo con las reglas definidas en el numeral 4.3.1 y con los documentos señalados en la sección 4.3.1.1 del Pliego de Condiciones. Por tanto, este criterio de desempate se probará con los mismos documentos que se presentan para el puntaje de apoyo a la industria nacional. Para el caso de los Proponentes Plurales, todos los integrantes deberán demostrar el origen nacional de la oferta en las condiciones indicadas en los numerales anteriormente citados.
2. Preferir la propuesta de la mujer cabeza de familia. Su acreditación se realizará en los términos del parágrafo del artículo 2o de la Ley 82 de 1993, modificado por el artículo 1o de la Ley 1232 de 2008, o la norma que lo modifique, aclare, adicione o sustituya, es decir, la condición de mujer cabeza de familia y la cesación de esta se otorgará desde el momento en que ocurra el respectivo evento y se declare ante un notario. Esta certificación debe tener una fecha de expedición no mayor a treinta (30) días calendario anteriores a la fecha del cierre del Proceso de Contratación y en esta deberá verificarse el cumplimiento de los requisitos establecidos en el artículo 1o de la Ley 1232 de 2008. En caso de modificarse la fecha de cierre del proceso, se tendrá como referencia para establecer el plazo de vigencia del certificado la fecha originalmente contemplada en el Pliego de Condiciones definitivo."
Igualmente, se preferirá la propuesta de la mujer víctima de violencia intrafamiliar, la cual acreditará esta condición de conformidad con el artículo 21 de la Ley 1257 de 2008 o la norma que lo modifique, aclare, adicione o sustituya, esto es, cuando se profiera una medida de protección expedida por la autoridad competente. En virtud del artículo 16 de la Ley 1257 de 2008 o la norma que lo modifique, aclare, adicione o sustituya, la medida de protección la debe impartir el comisario de familia del lugar donde ocurrieron los hechos y, a falta de este, del juez civil municipal o promiscuo municipal, o la autoridad indígena en los casos de violencia intrafamiliar en las comunidades de esa naturaleza.
En el caso de las personas jurídicas se preferirá a aquellas en las que participen mayoritariamente mujeres cabeza de familia y/o mujeres víctimas de violencia intrafamiliar, para lo cual el representante legal o el revisor fiscal, según corresponda, diligenciará el «Formato 10A – Participación mayoritaria de mujeres cabeza de familia y/o mujeres víctimas de violencia intrafamiliar (persona jurídica)», mediante el cual acreditará, bajo la gravedad del juramento, que más del cincuenta por ciento (50 %) de la composición accionaria o cuota parte de la persona jurídica está constituida por mujeres cabeza de familia y/o mujeres víctimas de violencia intrafamiliar. Además, deberá probar la condición indicada de cada una de las mujeres que participen en la sociedad, aportando los documentos que avalen el cumplimiento de los requisitos, de acuerdo con los dos incisos anteriores.
Finalmente, en el caso de los Proponentes Plurales, se preferirá la oferta cuando cada uno de los integrantes acredite alguna de las condiciones señaladas en los incisos anteriores de este numeral.
Debido a que para el otorgamiento de este criterio de desempate se entregan certificados que contienen datos sensibles, de acuerdo con el artículo 5o de la Ley 1581 de 2012 o la norma que lo modifique, aclare, adicione o sustituya, se requiere que el titular de la información, como son las mujeres víctimas de violencia intrafamiliar, en los términos del literal a) del artículo 6o de la Ley 1581 de 2012, diligencien el «Formato 11 – Autorización para el tratamiento de datos personales» mediante el cual autoricen de manera previa y expresa el tratamiento de esta información, como requisito para el otorgamiento del criterio de desempate.
3. Preferir la propuesta presentada por el Proponente que acredite en las circunstancias establecidas en la ley que por lo menos el diez por ciento (10 %) de su nómina está en condición de discapacidad, de acuerdo con el artículo 24 de la Ley 361 de 1997 o la norma que lo modifique, aclare, adicione o sustituya, debidamente certificadas por la oficina del Ministerio del Trabajo de la respectiva zona, que hayan sido contratados con por lo menos un (1) año de anterioridad a la fecha de cierre del presente Proceso de Contratación o desde el momento de la constitución de la persona jurídica cuando esta es inferior a un (1) año y que manifieste adicionalmente que mantendrá dicho personal por un lapso igual al término de ejecución del contrato, para lo cual deberá diligenciar el «Formato 10 B – Vinculación de personas en condición de discapacidad». En caso de modificarse la fecha de cierre del proceso, se tendrá como referencia para establecer el plazo de vigencia del certificado la fecha originalmente contemplada en el Pliego de Condiciones definitivo.
Si la oferta es presentada por un Proponente Plural, el integrante que acredite que el diez por ciento (10 %) de su nómina está en condición de discapacidad, en los términos del presente numeral, debe tener una participación de por lo menos el veinticinco por ciento (25 %) en la estructura plural y aportar como mínimo el veinticinco por ciento (25 %) de la experiencia acreditada en la oferta.
El tiempo de vinculación en la planta referida de que trata este numeral se acreditará con el certificado de aportes a seguridad social del último año o del tiempo de su constitución cuando su conformación sea inferior a un (1) año, en el que se demuestren los pagos realizados por el empleador.
4. Preferir la propuesta presentada por el oferente que acredite la vinculación en mayor proporción de personas que no sean beneficiarios de la pensión de vejez, familiar o de sobrevivencia y que hayan cumplido el requisito de edad de pensión establecido en la ley. Para ello la persona natural, el representante legal de la persona jurídica o el revisor fiscal, según corresponda, diligenciará el «Formato 10 C – Vinculación de personas no beneficiarias de la pensión de vejez, familiar o sobrevivencia – (Empleador – Proponente)», mediante la cual certificará bajo la gravedad del juramento las personas vinculadas en su nómina y el número de trabajadores que no son beneficiarios de la pensión de vejez, familiar o de sobrevivencia y que cumplieron el requisito de edad de pensión. Solo se valdrá la vinculación de aquellas personas que se encuentren en las condiciones descritas y que hayan estado vinculadas con una anterioridad igual o mayor a un (1) año contado a partir de la fecha del cierre del Proceso de Contratación. Para los casos de constitución inferior a un (1) año, se tendrá en cuenta a aquellos que hayan estado vinculados desde el momento de la constitución de la persona jurídica. En caso de modificarse la fecha de cierre del proceso, se tendrá como referencia para establecer el plazo de vigencia del certificado la fecha originalmente contemplada en el Pliego de Condiciones definitivo.
El tiempo de vinculación en la planta referida de que trata el inciso anterior se acreditará con el certificado de aportes a la seguridad social del último año o del tiempo de constitución de la persona jurídica en caso de que esta sea inferior a un (1) año, en el que se demuestren los pagos realizados por el empleador.
En el caso de los Proponentes Plurales, su representante legal diligenciará el «Formato 10 C – Vinculación de personas no beneficiarias de la pensión de vejez, familiar o sobrevivencia – (Empleador – Proponente)», mediante el cual certifique el número de trabajadores vinculados que son personas no beneficiarias de la pensión de vejez, familiar o de sobrevivencia, y que cumplieron el requisito de edad de pensión establecido en la ley, de todos los integrantes del Proponente. Las personas enunciadas anteriormente podrán estar vinculadas a cualquiera de sus integrantes.
En cualquiera de los dos supuestos anteriores, para el otorgamiento del criterio de desempate, cada uno de los trabajadores que cumpla las condiciones previstas por la ley diligenciará el «Formato 10 C – Vinculación de personas no beneficiarias de la pensión de vejez, familiar o sobrevivencia (Trabajador)», mediante el cual certifica bajo la gravedad del juramento que no es beneficiario de pensión de vejez, familiar o sobrevivencia, y cumple la edad de pensión; además, se deberá allegar el documento de identificación del trabajador que lo firma.
La mayor proporción se definirá en relación con el número total de trabajadores vinculados en la planta de personal, por lo que se preferirá al oferente que acredite un mayor porcentaje. En el caso de Proponentes Plurales, la mayor proporción se definirá con la sumatoria de trabajadores vinculados en la planta de personal de cada uno de sus integrantes.
5. Preferir la propuesta presentada por el oferente que acredite, que por lo menos el diez por ciento (10 %) de su nómina pertenece a población indígena, negra, afrocolombiana, raizal, palanquera, Rrom o gitana, para lo cual, la persona natural, el representante legal o el revisor fiscal, según corresponda, bajo la gravedad del juramento, diligenciará el «Formato 10D – Vinculación de población indígena, negra, afrocolombiana, raizal, palenquera, Rrom o gitanas» mediante el cual certifica las personas vinculadas a su nómina y el número de identificación y el nombre de las personas que pertenecen a la población indígena, negra, afrocolombiana, raizal, palanquera, Rrom o gitana. Solo se tendrá en cuenta aquellas personas que hayan estado vinculadas con una anterioridad igual o mayor a un (1) año contado a partir de la fecha del cierre del proceso. Para los casos de constitución inferior a un (1) año, se tendrá en cuenta a aquellos que hayan estado vinculados desde el momento de la constitución de la persona jurídica. En caso de modificarse la fecha de cierre del proceso, se tendrá como referencia para establecer el plazo de vigencia del certificado la fecha originalmente contemplada en el Pliego de Condiciones definitivo.
El tiempo de vinculación en la planta referida de que trata el inciso anterior se acreditará con el certificado de aportes a seguridad social en el que se demuestren los pagos realizados por el empleador en el último año contado a partir de la fecha del cierre del proceso o del tiempo de su constitución cuando esta es inferior a un (1) año.
Además, deberá aportar la copia de la certificación expedida por el Ministerio del Interior en la cual acredite que los trabajadores pertenecen a la población indígena, negra, afrocolombiana, raizal, palenquera, Rrom o gitana en los términos del Decreto Ley 2893 de 2011, o la norma que lo modifique, sustituya o complemente.
En el caso de los Proponentes Plurales, su representante legal diligenciará el «Formato 10 D – Vinculación de población indígena, negra, afrocolombiana, raizal, palenquera, Rrom o gitana», mediante el cual certifica que por lo menos el diez por ciento (10 %) del total de la nómina de sus integrantes pertenece a población indígena, negra, afrocolombiana, raizal, palanquera, Rrom o gitana. Este porcentaje se definirá de acuerdo con la sumatoria de la nómina de cada uno de los integrantes del Proponente Plural. Las personas enunciadas anteriormente podrán estar vinculadas a cualquiera de sus integrantes. En todo caso, deberá aportar la copia de la certificación expedida por el Ministerio del Interior, en la cual acredite que el trabajador pertenece a la población indígena, negra, afrocolombiana, raizal, palenquera, Rrom o gitana en los términos del Decreto Ley 2893 de 2011, o la norma que lo modifique, sustituya o complemente.
Debido a que para el otorgamiento de este criterio de desempate se entregan certificados que contienen datos sensibles, de acuerdo con el artículo 5o de la Ley 1581 de 2012 o la norma que lo modifique, aclare, adicione o sustituya, se requiere que el titular de la información de estos, como son las personas que pertenecen a la población indígena, negra, afrocolombiana, raizal, palenquera, Rrom o gitana, en los términos del literal a) del artículo 6o de la Ley 1581 de 2012, diligencien el «Formato 11- Autorización para el tratamiento de datos personales» mediante el cual autoriza de manera previa y expresa el tratamiento de la información, como requisito para el otorgamiento del criterio de desempate.
6. Preferir la propuesta de personas naturales en proceso de reintegración o reincorporación para lo cual presentará copia de alguno de los siguientes documentos: i) la certificación en las desmovilizaciones colectivas que expida la Oficina del Alto Comisionado para la Paz, ii) el certificado que emita el Comité Operativo para la Dejación de las Armas respecto de las personas desmovilizadas en forma individual, iii) el certificado que emita la Agencia para la Reincorporación y la Normalización que acredite que la persona se encuentra en proceso de reincorporación o reintegración o iv) cualquier otro certificado que para el efecto determine la Ley. Además, se entregará copia del documento de identificación de la persona en proceso de reintegración o reincorporación.
En el caso de las personas jurídicas, el representante legal o el revisor fiscal, si están obligados a tenerlo, diligenciarán el «Formato 10 E- Participación mayoritaria de personas en proceso de reincorporación y/o reintegración (personas jurídicas)», por medio del cual certificarán bajo la gravedad de juramento que más del cincuenta por ciento (50 %) de la composición accionaria o cuotas partes de la persona jurídica está constituida por personas en proceso de reintegración o reincorporación. Además, deberá aportar alguno de los certificados del inciso anterior, junto con los documentos de identificación de cada una de las personas que está en proceso de reincorporación o reintegración.
Tratándose de Proponentes Plurales, se preferirá la oferta cuando todos los integrantes sean personas en proceso de reincorporación, para lo cual se entregará alguno de los certificados del inciso primero de este numeral, y/o personas jurídicas donde más del cincuenta por ciento (50 %) de la composición accionaria o cuotas partes esté constituida por personas en proceso de reincorporación, para lo que el representante legal, o el revisor fiscal, si está obligado a tenerlo, diligenciarán, bajo la gravedad del juramento, el «Formato 10 E - Participación mayoritaria de personas en proceso de reincorporación (personas jurídica integrante del Proponente Plural)», y aportará los documentos de identificación de las personas en proceso de reincorporación.
Debido a que para el otorgamiento de este criterio de desempate se entregan certificados que contienen datos sensibles de acuerdo con el artículo 5o de la Ley 1581 de 2012 o la norma que lo modifique, aclare, adicione o sustituya, se requiere que el titular de la información, como son las personas en proceso de reincorporación o reintegración, en los términos del literal a) del artículo 6o de la Ley 1581 de 2012, diligencien el «Formato 11- Autorización para el tratamiento de datos personales» mediante el cual autoriza de manera previa y expresa el tratamiento de la información, como requisito para el otorgamiento del criterio de desempate.
7. Preferir la oferta presentada por un Proponente Plural siempre que se cumplan las condiciones de los siguientes literales:
(a) Esté conformado por al menos una madre cabeza de familia y/o una persona en proceso de reincorporación o reintegración, para lo cual se acreditarán estas condiciones de acuerdo con lo previsto en el inciso 1 del numeral 2 y/o el inciso 1 del numeral 6, de los criterios de desempate del presente Pliego de Condiciones; o por una persona jurídica en la cual participe o participen mayoritariamente madres cabeza de familia y/o personas en proceso de reincorporación o reintegración, para lo cual el representante legal o el revisor fiscal, si están obligados a tenerlo, diligenciará el «Formato 10 F – Participación mayoritaria de mujeres cabeza de familia y/o personas en proceso de reincorporación o reintegración (personas jurídicas)», mediante el cual certifica, bajo la gravedad de juramento, que más del cincuenta por ciento (50 %) de la composición accionaria o cuota parte de la persona jurídica está constituida por madres cabeza de familia y/o personas en proceso de reincorporación o reintegración. Además, deberá acreditar la condición indicada de las personas que participe en la sociedad que sean mujeres cabeza de familia y/o personas en proceso de reincorporación o reintegración, allegando los documentos de cada uno de ellos, de acuerdo con lo previsto en este literal. Este integrante debe tener una participación de por lo menos el veinticinco por ciento (25 %) en el Proponente Plural.
(b) el integrante del Proponente Plural de que trata el anterior literal debe aportar mínimo el veinticinco por ciento (25 %) de la experiencia acreditada en la oferta.
(c) en relación con el integrante del literal a) ni la madre cabeza de familia o la persona en proceso de reincorporación o reintegración, ni la persona jurídica, ni sus accionistas, socios o representantes legales podrán ser empleados, socios o accionistas de otro de los integrantes del Proponente Plural, para lo cual el integrante persona natural o el representante legal de la persona jurídica de que trata el literal a) lo manifestará diligenciando el «Formato 10 F Participación mayoritaria de mujeres cabeza de familia y/o personas en proceso de reincorporación y/o reintegración».
Debido a que para el otorgamiento de este criterio de desempate se entregan certificados que contienen datos sensibles, de acuerdo con el artículo 5o de la Ley 1581 de 2012 o la norma que lo modifique, aclare, adiciona o sustituya, se requiere que el titular de la información, como son las personas en proceso de reincorporación y/o reintegración, en los términos del literal a) del artículo 6o de la Ley 1581 de 2012, diligencien el «Formato 11- Autorización para el tratamiento de datos personales» mediante el cual autoriza de manera previa y expresa el tratamiento de esta información, como requisito para el otorgamiento del criterio de desempate.
8. Preferir la oferta presentada por una Mipyme, lo cual se verificará en los términos del parágrafo del artículo 2.2.1.2.4.2.4 del Decreto 1082 de 2015, en concordancia con el parágrafo del artículo 2.2.1.13.2.4 del Decreto 1074 de 2015. En este sentido, el tamaño empresarial se acreditará con la copia del certificado del Registro Único de Proponentes, el cual deberá encontrarse vigente y en firme al momento de su presentación.
Asimismo, se preferirá la oferta presentada por una cooperativa o asociaciones mutuales para lo cual se aportará el certificado de existencia y representación legal expedido por la cámara de comercio o la autoridad respectiva. En el caso específico en que el empate se presente entre cooperativas o asociaciones mutuales que tengan el tamaño empresarial de grandes empresas junto con micro, pequeñas o medianas, se preferirá la oferta de las cooperativas o asociaciones mutuales que cumplan con los criterios de clasificación empresarial definidos por el Decreto 1074 de 2015 o la norma que lo modifique, aclare, adicione o sustituya, que sean micro, pequeñas o medianas.
Tratándose de Proponentes Plurales, se preferirá la oferta cuando cada uno de los integrantes acredite alguna de las condiciones señaladas en los incisos anteriores de este numeral. En el evento en que se presente empate entre Proponentes Plurales cuyos integrantes estén conformados únicamente por cooperativas y asociaciones mutuales que tengan la calidad de grandes empresas junto con otras en las que los integrantes tengan la condición de micro, pequeñas o medianas, se preferirá la oferta de aquellos Proponentes Plurales en los cuáles al menos uno de sus integrantes sea una cooperativa o asociación mutual que cumpla con los criterios de clasificación empresarial definidos por el Decreto 1074 de 2015 o la norma que lo modifique, aclare, adicione o sustituya, que sean micro, pequeñas o medianas.
9. Preferir la oferta presentada por el Proponente Plural constituido en su totalidad por micro y/o pequeñas empresas, cooperativas o asociaciones mutuales.
La condición de micro o pequeña empresa se verificará en los términos del artículo 2.2.1.2.4.2.4 del Decreto 1082 de 2015, en concordancia con el parágrafo del artículo 2.2.1.13.2.4 del Decreto 1074 de 2015, esto es, la acreditación del tamaño empresarial se acreditará con la copia del certificado del Registro Único de Proponentes, el cual deberá encontrarse vigente y en firme al momento de su presentación.
La condición de cooperativa o asociación mutual se acreditará con el certificado de existencia y representación legal expedido por la cámara de comercio o la autoridad respectiva. En el evento en que el empate se presente entre Proponentes Plurales cuyos integrantes estén conformados únicamente por cooperativas y asociaciones mutuales que tengan la calidad de grandes empresas junto con otras en las que los integrantes tengan la calidad de micro, pequeñas o medianas, se preferirá la oferta de aquellos Proponentes Plurales en los cuales al menos uno de sus integrantes sea una cooperativa o asociación mutual que cumpla con los criterios de clasificación empresarial definidos por el Decreto 1074 de 2015 o la norma que lo modifique, aclare, adicione o sustituya, que sean micro, pequeñas o medianas.
10. Preferir al oferente persona natural o jurídica que acredite, de acuerdo con sus estados financieros o información contable con corte al 31 de diciembre del año anterior, que por lo menos el veinticinco por ciento (25 %) del total de sus pagos fueron realizados a Mipyme, cooperativas o asociaciones mutuales por concepto de proveeduría del oferente, efectuados durante el año anterior, para lo cual el Proponente persona natural y contador público; o el representante legal de la persona jurídica y el revisor fiscal para las personas obligadas por ley; o del representante legal de la persona jurídica y contador público, según corresponda, diligenciará bajo la gravedad de juramento el «Formato 10 G- Pagos realizados a Mipyme, cooperativas o asociaciones mutuales», en el que conste que por lo menos el veinticinco por ciento (25%) del total de pagos fueron realizados a Mipyme, cooperativas o asociaciones mutuales.
Igualmente, cuando la oferta es presentada por un Proponente Plural se preferirá a este siempre que:
(a) esté conformado por al menos una Mipyme, cooperativa o asociación mutual que tenga una participación de por lo menos el veinticinco por ciento (25 %) en el Proponente Plural, para lo cual se presentará el documento de conformación del Proponente Plural y, además, ese integrante acredite la condición de Mipyme, cooperativa o asociación mutual en los términos del numeral 8;
(b) la Mipyme, cooperativa o asociación mutual aporte mínimo el veinticinco por ciento (25 %) de la experiencia acreditada en la oferta; y
(c) ni la Mipyme, cooperativa o asociación mutual ni sus accionistas, socios o representantes legales sean empleados, socios o accionistas de los integrantes del Proponente Plural, para lo cual el integrante respectivo lo manifestará diligenciando el «Formato 10 H – Acreditación Mipyme», suscrito por la persona natural o el representante legal de la persona jurídica.
En el evento en que el empate se presente entre Proponentes Plurales, que cumplan con los requisitos de los incisos anteriores, cuyos integrantes estén conformados únicamente por cooperativas y asociaciones mutuales que tengan la calidad de grandes empresas junto con otras en las que los integrantes tengan la condición de micro, pequeñas o medianas, se preferirá la oferta de aquellos Proponentes Plurales en los cuáles al menos uno de sus integrantes sea una cooperativa o asociación mutual que cumpla con los criterios de clasificación empresarial definidos por el Decreto 1074 de 2015, que sean micro, pequeñas o medianas.
11. Preferir las empresas reconocidas y establecidas como Sociedad de Beneficio e Interés Colectivo o Sociedad BIC, del segmento Mipyme, para lo cual se presentará el certificado de existencia y representación legal en el que conste el cumplimiento de los requisitos del artículo 2o de la Ley 1901 de 2018, o la norma que la modifique o la sustituya. Asimismo, acreditará la condición de Mipyme en los términos del numeral 8.
Tratándose de Proponentes Plurales, se preferirá la oferta cuando cada uno de los integrantes acredite las condiciones señaladas en el inciso anterior de este numeral.
12. Si después de aplicar los criterios anteriormente mencionados persiste el empate:
(a) La Entidad ordenará a los Proponentes empatados en orden alfabético según el nombre completo de la persona natural, la persona jurídica o el Proponente Plural. En caso de que dos o más proponentes tengan el mismo nombre se colocará primero en el orden a quienes hayan presentado primero en el tiempo sus ofertas. Una vez ordenados, le asignará un número entero a cada uno de estos de forma ascendente, de tal manera que al primero de la lista le corresponda el 1.
(b) Seguidamente, la Entidad debe tomar la parte entera (números a la izquierda de la coma decimal) de la TRM que rigió el día del cierre del proceso. La Entidad debe dividir esta parte entera entre el número total de Proponentes en empate, para posteriormente tomar su residuo y utilizarlo en la selección final.
(c) Realizados estos cálculos, la Entidad seleccionará a aquel Proponente que presente coincidencia entre el número asignado y el residuo encontrado. En caso de que el residuo sea cero (0), se escogerá al Proponente con el mayor número asignado.
Nota 1: Los factores de desempate deberán aplicarse en armonía con los Acuerdos Comerciales vigentes suscritos por Colombia. De esta manera, en el evento en que el empate se presente entre ofertas cubiertas por un Acuerdo Comercial, se aplicarán los factores de desempate que sean compatibles con los mencionados Acuerdos.
Nota 2: Si el empate entre las propuestas se presenta con un Proponente, bien o servicio extranjero cuyo país de origen no tiene Acuerdo Comercial con Colombia, ni trato nacional por reciprocidad o con ocasión de la normativa comunitaria, se dará aplicación a todos los criterios de desempate previstos en el presente numeral.
Nota 3: Conforme con el artículo 1818 de la Ley 1712 de 2014 y los artículos 5o y 65 6 de la Ley 1581 de 2012, la Entidad garantizará el derecho a la reserva legal de toda aquella información que acredita el cumplimiento de los factores de desempate de: i) las mujeres víctimas de violencia intrafamiliar, ii) las personas en proceso de reincorporación y/o reintegración y iii) la población indígena, negra, afrocolombiana, raizal, palenquera, Rrom o gitana.
De acuerdo con lo anterior, en la plataforma del SECOP no se publicará la información relacionada con los factores de desempate de personas en procesos de reincorporación o reintegración o mujeres víctimas de violencia intrafamiliar o la población indígena, negra, afrocolombiana, raizal, palenquera, Rrom o gitana, puesto que su público conocimiento puede afectar el derecho a la intimidad de los oferentes o de sus trabajadores o socios o accionistas.
Nota 4: Para efectos de los factores de desempate dispuestos en este numeral, se entiende por experiencia acreditada en la oferta, la sumatoria de los contratos que demuestren n la experiencia general de la actividad principal, expresados en salarios mínimos mensuales legales vigentes (SMMLV).
ARTÍCULO 111. – MODIFÍQUESE LA CLÁUSULA 9 OBLIGACIONES GENERALES DEL CONTRATISTA DE LOS DOCUMENTOS TIPO DE LICITACIÓN DE OBRA PÚBLICA DE INFRAESTRUCTURA DE AGUA POTABLE Y SANEAMIENTO BÁSICO Y LOS DE LA MODALIDAD LLAVE EN MANO. MODIFÍQUESE PARCIALMENTE LA CLÁUSULA 9 OBLIGACIONES GENERALES DEL CONTRATISTA Del Anexo 5 – Minuta del Contrato de los documentos tipo para procesos de licitación pública para obras de infraestructura de agua potable y saneamiento básico adoptados mediante la Resolución 248 de 2020 y los de la modalidad llave en mano expedidos con la Resolución 249 de 2020, en los siguientes términos:
“9. OBLIGACIONES GENERALES DEL CONTRATISTA
Además de las derivadas de la esencia y la naturaleza del contrato, la ley, las obligaciones y condiciones señaladas en el Pliego de Condiciones y demás Documentos del Proceso y de las establecidas en [documento adicional aplicable al Proceso de Contratación], vigente durante la ejecución del contrato, el Contratista se obliga a:
1.Destinar a la ejecución del contrato mano de obra no calificada de la región en un porcentaje no inferior [la Entidad establecerá el porcentaje mínimo dentro del rango del diez por ciento (10%) al treinta por ciento (30%), sin perjuicio de que el contratista incorpore un porcentaje superior al definido por la Entidad] de acuerdo con el personal del contratista de obra destinado a la ejecución del contrato. En todo caso, [el cinco por ciento 5% sin perjuicio de establecer un porcentaje superior, de acuerdo con el estudio del sector y características propias de la región, que no podrá superar el treinta por ciento (30%)] de la mano de obra no calificada de la región serán mujeres.
Para efectos de esta obligación, se entiende por personal de la región a aquellos domiciliados por al menos el último año, contado a partir de la fecha del cierre del proceso, en el municipio o los municipios donde se ejecutará el contrato. En caso de modificarse la fecha de cierre del proceso, se tendrá como referencia la fecha originalmente contemplada en el Pliego de Condiciones definitivo.
Cuando las condiciones demográficas del lugar en donde se ejecutará el contrato imposibiliten vincular el porcentaje anteriormente previsto, será posible contratar personal del departamento en donde se desarrolla el contrato.
Esta obligación no se entenderá incumplida en los supuestos en que el Contratista acredite su debida diligencia, mediante la realización de actuaciones dirigidas a lograr la destinación mínima del personal requerido para la ejecución del Contrato.
2. [Previo análisis de oportunidad y conveniencia que se plasmará en los Documentos del Proceso la Entidad Estatal incluirá la siguiente obligación]. Destinar a la ejecución del contrato en un porcentaje del [la Entidad establecerá el porcentaje mínimo dentro del rango de cinco por ciento (5%) al diez por ciento (10%), sin perjuicio de que el contratista incorpore un porcentaje superior al definido por la Entidad], la provisión de bienes o servicios por parte de alguno o algunos de los siguientes sujetos de especial protección constitucional: población en pobreza extrema, desplazados por la violencia, personas en proceso de reintegración o reincorporación, víctimas de conflicto armado interno, mujeres cabeza de hogar, adultos mayores, personas en condición de discapacidad, así como la población de las comunidades indígena, negra, afrocolombiana, raizal, palanquera, Rrom o gitana, entre otros sujetos identificados por la Ley o la jurisprudencia de esta manera.
El porcentaje de los sujetos mencionados incorporados a la ejecución del contrato deberán mantenerse durante toda su vigencia en el porcentaje mínimo establecido en este numeral so pena del incumplimiento contractual.
El Interventor hará el seguimiento y verificará que las personas vinculadas al inicio y durante la ejecución del contrato pertenezcan a los grupos poblacionales enunciados anteriormente. Para estos efectos, el contratista presentará la documentación respectiva que acredite la condición de los sujetos mencionados y la forma en la que participarán durante la ejecución del contrato. El cumplimiento de esta obligación deberá probarse ante el Interventor dentro de los [incluir el número de días] días hábiles siguientes contados a partir de [punto de inicio].
Para la acreditación de la condición de mujer cabeza de familia, personas en condición de discapacidad, adultos mayores, población de las comunidades indígena, negra, afrocolombiana, raizal, palanquera, Rrom o gitanas, personas en proceso de reintegración o reincorporación, se aplicará en lo pertinente lo dispuesto en el artículo 2.2.1.2.4.2.17 del Decreto 1082 de 2015 o la norma que lo modifique, complemente o sustituya. Por su parte, la condición de población en pobreza extrema se constatará en las bases de datos del Sistema de Identificación de Potenciales Beneficiarios de Programas Sociales (Sisbén IV) y la condición de víctima de conflicto armado y de desplazados por la violencia deberá demostrarse con el certificado de inclusión en el Registro Único de Víctimas – RUV en los términos del Decreto 1084 de 2015 o la norma que lo modifique, complemente o sustituya.
La condición de los sujetos de especial protección constitucional que no se encuentre definida en esta cláusula deberá ser acreditada por el contratista de conformidad con lo determinado por la ley y la jurisprudencia en ausencia de norma aplicable.
[La Entidad podrá seleccionar algunas de las siguientes opciones de obligaciones, combinarlas, eliminarlas o incluir las que considere convenientes, ajustando la numeración respectiva:]
[…]”
ARTÍCULO 112. – MODIFÍQUESE LA CLÁUSULA 15 MULTAS DEL ANEXO 5 – MINUTA DEL CONTRATO DE LOS DOCUMENTOS TIPO DE LICITACIÓN DE OBRA PÚBLICA DE INFRAESTRUCTURA DE AGUA POTABLE Y SANEAMIENTO BÁSICO Y LOS DE LA MODALIDAD LLAVE EN MANO. Modifíquese parcialmente la cláusula 15 Multas del Anexo 5 – Minuta del Contrato de los documentos tipo para procesos de licitación pública para obras de infraestructura de agua potable y saneamiento básico adoptados mediante la Resolución 248 de 2020 y los de la modalidad llave en mano expedidos con la Resolución 249 de 2020. Estas modificaciones corresponden a las obligaciones 1 y 2 de la cláusula novena en los siguientes términos:
“CLÁUSULA 15. MULTAS
[…]
1. Incumplir la obligación de destinar mínimamente el [la Entidad establecerá el porcentaje mínimo definido en el numeral 1 de la Cláusula 9 del presente contrato] de mano de obra no calificada de la región causará multas equivalentes a [_____ SMMLV ó % del contrato] por cada día de incumplimiento. Por su parte, no cumplir con el porcentaje mínimo de vinculación de mujeres durante la ejecución del contrato, de conformidad con la misma obligación indicada, causará multas equivalentes al [1% del valor total del contrato].
2. [La Entidad Estatal incluirá esta multa si del análisis de conveniencia y oportunidad decide incluir la obligación relacionada con la provisión de bienes y servicios por parte de sujetos de especial protección constitucional] 1. Incumplir la obligación de destinar mínimamente el [la Entidad establecerá el porcentaje mínimo definido en el numeral 2 de la Cláusula 9 del presente contrato] de la provisión de bienes o servicios por parte de alguno o alguno de siguientes sujetos: población en pobreza extrema, desplazados por la violencia, personas en proceso de reintegración o reincorporación y sujetos de especial protección constitucional mencionados el numeral 2 de la Cláusula 9 del presente contrato, causará multas equivalentes a [______ SMMLV] por cada día de incumplimiento. La imposición de esta multa no procederá en aquellos casos en que dicha obligación se hace imposible de cumplir o de ejecutar por causas no imputables al contratista, que deberá probarse debidamente a la Entidad Estatal.
[….]”
ARTÍCULO 113. – MODIFÍQUESE EL NUMERAL 2.9 DE LOS DOCUMENTOS TIPO DE LICITACIÓN DE OBRA PÚBLICA DE INFRAESTRUCTURA DE AGUA POTABLE Y SANEAMIENTO BÁSICO Y LOS DE LA MODALIDAD LLAVE EN MANO. Modifíquese el numeral 2.9 – Limitación a Mipyme de los documentos tipo para procesos de licitación pública para obras de infraestructura de agua potable y saneamiento básico adoptados mediante la Resolución 248 de 2020 y los de la modalidad llave en mano expedidos con la Resolución 249 de 2020, en los siguientes términos:
“2.9. LIMITACIÓN A MIPYME
[En caso de que el proceso no sea susceptible de limitarse a Mipyme, la Entidad señalará lo siguiente en este numeral: el presente procedimiento de selección no es susceptible de limitarse a Mipyme.
En caso de que el proceso sea susceptible de limitarse a Mipyme, una vez cumplidos los requisitos del artículo 2.2.1.2.4.2.2. del Decreto 1082 de 2015, o la norma que lo modifique, complemente o sustituya, se seguirán las siguientes instrucciones:]
La Entidad adaptará este numeral dependiendo del momento en el cual se encuentre el Proceso de Contratación]:
[En el proyecto de Pliego de Condiciones se incluirá lo siguiente:]
[Para los procesos adelantados en el SECOP I se incluirá el siguiente texto:] El interesado persona natural o el representante legal de la persona jurídica manifestará mediante un escrito la intención de limitar la convocatoria del Proceso de Contratación a Mipyme, el cual será remitido a [dirección de la Entidad e identificación de la oficina donde se debe radicar] en [nombre de la ciudad o municipio] de [lunes al último día de atención en la semana] entre [horario de atención al público]. Asimismo, podrá enviarlo por medios electrónicos al siguiente correo electrónico: [la Entidad diligenciará el correo electrónico dispuesto].
[En esta sección la Entidad podrá definir si es procedente alguna limitación territorial y las condiciones bajo las cuales procedería, para lo cual podrá modificar este apartado estableciendo la regulación correspondiente. En este escrito, el interesado persona natural o el representante legal del interesado persona jurídica manifestará si la intención es que la limitación sea a Mipyme nacional o territorial, de acuerdo con las reglas definidas en el proyecto de Pliego de Condiciones].
De igual manera, los interesados deberán acreditar el cumplimiento de los demás requisitos definidos en el artículo 2.2.1.2.4.2.4 del Decreto 1082 de 2015 o la norma que lo modifique, sustituya o complemente, para lo cual diligenciarán el Formato 13 – Acreditación de Mipyme y aportarán los soportes requeridos para que proceda la limitación de la convocatoria a Mipyme. En caso de que la condición de Mipyme se acredite mediante la presentación del RUP, en los términos establecidos en el artículo 2.2.1.2.4.2.4 del Decreto 1082 de 2015, no será necesario presentar el formato indicado.
[Para los procesos adelantados en el SECOP II se incluirá el siguiente texto:] Los interesados manifestarán su intención de limitar las convocatorias a Mipyme en la sección mensajes o en el módulo dispuesto en la plataforma del SECOP II. Asimismo, los interesados deberán acreditar el cumplimiento de los demás requisitos definidos en el artículo 2.2.1.2.4.2.4 del Decreto 1082 de 2015 o la norma que lo modifique, sustituya o complemente, para cual diligenciarán el Formato 13 – Acreditación de Mipyme y aportarán los soportes requeridos para que proceda la limitación de la convocatoria a Mipyme. En caso de que la condición de Mipyme se pruebe con la presentación del RUP, en los términos contemplados en el artículo 2.2.1.2.4.2.4 del Decreto 1082 de 2015, no será necesario presentar el formato indicado.
[En el Pliego de Condiciones definitivo se incluirá lo siguiente:]
Para los procesos adelantados en el SECOP I, la Entidad, en atención a las solicitudes realizadas por los interesados para limitar la convocatoria a Mipyme, incluirá alguna de las dos (2) opciones:]
[Si procede la limitación de las convocatorias del Proceso de Contratación a Mipyme] La Entidad limita la convocatoria de este Proceso de Contratación a las Mipyme colombianas por haberse verificado las condiciones establecidas en los artículos 2.2.1.2.4.2.2. y 2.2.1.2.4.2.4 del Decreto 1082 de 2015 o la norma que lo modifique, complemente o sustituya. [En todo caso, la Entidad en esta sección determinará si la limitación es territorial en los términos del artículo 2.2.1.2.4.2.3. del Decreto 1082 de 2015 y las reglas establecidas en el proyecto de Pliego de Condiciones]
[Si no procede la limitación de las convocatorias del Proceso de Contratación a Mipyme la Entidad incluirá lo siguiente] La Entidad no limita el Proceso de Contratación a las Mipyme colombianas por no haberse cumplido las condiciones establecidas en los artículos 2.2.1.2.4.2.2. y 2.2.1.2.4.2.4 del Decreto 1082 de 2015 o la norma que lo modifique, complemente o sustituya. En consecuencia, podrá participar cualquier interesado.
[Para los procesos adelantados en el SECOP II, la Entidad, en atención a las solicitudes realizadas por los interesados para limitar la convocatoria a Mipyme, incluirá la limitación del Proceso de Contratación a Mipyme en el espacio dispuesto por la plataforma del SECOP II]
ARTÍCULO 114. – MODIFÍQUENSE LOS LITERALES N) Y DD) E INCLÚYASE EL LITERAL EE) AL NUMERAL 1.15 DE LOS DOCUMENTOS TIPO DE LICITACIÓN DE OBRA PÚBLICA DE INFRAESTRUCTURA DE AGUA POTABLE Y SANEAMIENTO. Modifíquense los literales N) y DD) e inclúyase el literal EE) al numeral 1.15 – Causales de Rechazo de los documentos tipo para procesos de licitación pública para obras de infraestructura de agua potable y saneamiento básico adoptados mediante la Resolución 248 de 2020, en los siguientes términos:
“1.15 CAUSALES DE RECHAZO
[…]
N) Presentar la oferta con tachaduras o enmendaduras en alguno de los documentos que acreditan los requisitos habilitantes o los factores de evaluación de la oferta y no estén convalidadas en la forma indicada en la sección 2.3 del Pliego de Condiciones, sin perjuicio de la posibilidad de subsanar los primeros en los términos del numeral 1.6.
[…]
DD) [Incluir cuando la convocatoria del Proceso de Contratación esté limitada a Mipyme] Cuando el que presenta oferta o alguno de los miembros del Proponente Plural no acredita la condición de Mipyme y, en consecuencia, no aporta el RUP vigente y en firme al momento de su presentación y no subsana su entrega en los términos del numeral 1.6.
EE) Las demás previstas en la ley”.
ARTÍCULO 115. – MODIFÍQUENSE LOS LITERALES N) Y BB) E INCLÚYASE EL LITERAL CC) AL NUMERAL 1.15 DE LOS DOCUMENTOS TIPO DE LICITACIÓN DE OBRA PÚBLICA EN LA MODALIDAD LLAVE EN MANO. Modifíquense los literales N) y BB) e inclúyase el literal CC) al numeral 1.15 – Causales de Rechazo de los documentos tipo para procesos de licitación pública para obras de infraestructura de agua potable y saneamiento básico adoptados en la modalidad llave en mano expedidos con la Resolución 249 de 2020, en los siguientes términos:
“1.15 CAUSALES DE RECHAZO
[…]
N) Presentar la oferta con tachaduras o enmendaduras en alguno de los documentos que acreditan los requisitos habilitantes o los factores de evaluación de la oferta y no estén convalidadas en la forma indicada en la sección 2.3 del Pliego de Condiciones, sin perjuicio de la posibilidad de subsanar los primeros en los términos del numeral 1.6.
[…]
BB) [Incluir cuando la convocatoria del Proceso de Contratación esté limitada a Mipyme] Cuando el que presenta oferta o alguno de los miembros del Proponente Plural no acredita la condición de Mipyme y, en consecuencia, no aporta el RUP vigente y en firme al momento de su presentación y no subsana su entrega en los términos del numeral 1.6.
CC) Las demás previstas en la ley”.
ARTÍCULO 116. – MODIFÍQUESE EL NUMERAL 2.1 DE LOS DOCUMENTOS TIPO DE LICITACIÓN DE OBRA PÚBLICA DE INFRAESTRUCTURA DE AGUA POTABLE Y SANEAMIENTO BÁSICO Y LOS DE LA MODALIDAD LLAVE EN MANO. Modifíquese el numeral 2.1 – Carta de presentación de la oferta de los documentos tipo para procesos de licitación pública para obras de infraestructura de agua potable y saneamiento básico adoptados mediante la Resolución 248 de 2020 y los de la modalidad llave en mano expedidos con la Resolución 249 de 2020 en los siguientes términos:
“2.1 CARTA DE PRESENTACIÓN DE LA OFERTA
El proponente debe allegar el Formato 1 – Carta de presentación de la oferta el cual debe estar firmado por la persona natural proponente o por el representante legal del proponente individual o plural o por el apoderado.
En virtud de lo previsto en la Ley 842 de 2003 y con el fin de impedir el ejercicio ilegal de la ingeniería, la persona natural (proponente individual o integrante de la estructura plural) que pretenda participar en el presente proceso debe acreditar que posee título como ingeniero en la respectiva rama de ingeniería, para lo cual tendrá que adjuntar copia de la tarjeta profesional y del certificado de vigencia de matrícula profesional expedida por el Consejo Profesional Nacional de Ingeniería - COPNIA, vigente a la fecha de cierre de este Proceso de Contratación. El requisito de la tarjeta profesional se puede suplir con el registro de que trata el artículo 18 del Decreto 2106 de 2019.
De acuerdo con el artículo 20 de la Ley 842 de 2003, si el representante legal o el apoderado del Proponente individual persona jurídica o el representante legal o apoderado de la estructura plural, no posee título de una de las profesiones catalogadas como ejercicio de la ingeniería, la oferta debe ser avalada por un ingeniero de la respectiva rama de la ingeniería, para lo cual tendrá que adjuntar copia de la tarjeta profesional y del certificado de vigencia de matrícula profesional expedida por el COPNIA vigente a la fecha de cierre de este Proceso de Contratación. El requisito de la tarjeta profesional se puede suplir con el registro de que trata el artículo 18 del Decreto - Ley 2106 de 2019.
El aval del ingeniero del que trata el artículo 20 de la Ley 842 de 2003 hace parte integral del Formato 1 – Carta de presentación de la oferta, cuando el proponente deba presentarlo.
La carta de presentación deberá estar suscrita. Con la firma de este documento se entiende que el proponente conoce y acepta las obligaciones del Anexo 4 – Pacto de Transparencia y, por lo tanto, no será necesaria la entrega de este documento al momento de radicar la oferta.
El proponente debe diligenciar los Formatos que correspondan. Todos los espacios en blanco deberán completarse con la información solicitada.
[Cuando el proceso se estructure por lotes o por grupos, el proponente debe indicar en el Formato 1 – Carta de presentación de la oferta, el lote/grupo o lotes/grupos a los cuales allega oferta, según las posibilidades que otorgue la entidad]”.
ARTÍCULO 117. – MODIFÍQUESE EL NUMERAL 2.3 DE LOS DOCUMENTOS TIPO DE LICITACIÓN DE OBRA PÚBLICA DE INFRAESTRUCTURA DE AGUA POTABLE Y SANEAMIENTO BÁSICO Y LOS DE LA MODALIDAD LLAVE EN MANO. Modifíquese el numeral 2.3 – Elaboración y presentación de la oferta de los documentos tipo para procesos de licitación pública para obras de infraestructura de agua potable y saneamiento básico adoptados mediante la Resolución 248 de 2020 y los de la modalidad llave en mano expedidos con la Resolución 249 de 2020. (el aparte subrayado y en negrilla es el ajuste realizado en este numeral) en los siguientes términos:
“2.3 ELABORACIÓN Y PRESENTACIÓN DE LA OFERTA
[Para las Entidades que utilicen SECOP II la presentación de la oferta deberá adaptarse a las condiciones de la plataforma y no será posible allegar documentos en físico]
[Las Entidades que publican sus procesos en SECOP I incorporarán el siguiente contenido:]
La oferta estará conformada por dos sobres, los cuales deben cumplir todos los requisitos establecidos en los Documentos del Proceso. Los sobres deberán entregarse cerrados, separados e identificados.
[Para el caso de SECOP II el Proponente deberá diferenciar los requisitos contenidos en cada uno de los sobres, de acuerdo con el cuestionario diligenciado por la Entidad Estatal en el SECOP II]
Cada sobre debe indicar: i) el nombre de la Entidad; ii) la dirección de radicación; iii) el objeto; iv) el número del Proceso de Contratación; v) el nombre y dirección comercial del Proponente, y vi) el nombre del representante legal del Proponente. [Esto para el SECOP I donde el sobre económico deberá ser entregado en físico en la Entidad estatal]
Los documentos que conforman los Sobres 1 y 2 deberán presentarse legajados, foliados, escritos en idioma castellano y en medio mecánico. Se deben numerar todas las hojas que contiene la oferta. La propuesta debe tener un índice en el que se identifique en forma clara la documentación de la oferta y el folio o folios a los que corresponde. [Para los procesos en SECOP II, los documentos se adjuntarán de acuerdo con el orden requerido en el cuestionario por la Entidad, los cuales deben ser legibles y escaneados correctamente]
La Entidad solo recibirá una oferta por Proponente, salvo los procesos estructurados por lotes o por grupos, cuando la Entidad haya establecido esta posibilidad. En caso de presentarse para varios Procesos de Contratación con la Entidad, el Proponente dejará constancia para qué proceso allega su ofrecimiento. La radicación de la propuesta implica la aceptación y conocimiento de la legislación colombiana acerca de los temas objeto del proceso y de todas las condiciones y obligaciones contenidas en el mismo. [Adicionalmente si se hace a través del SECOP II el Proponente deberá cumplir con el Manual de Usos y Condiciones de la plataforma]
Cuando el proceso se estructure por lotes o por grupos, el Proponente debe allegar un Sobre 1 para todos los lotes o grupos a los cuales presenta oferta y el Sobre 2 que contiene la oferta económica de forma independiente para cada uno de ellos.
Estarán a cargo del Proponente todos los costos asociados a la elaboración y presentación de su oferta y la Entidad en ningún caso será responsable de los mismos.
Las tachaduras y/o enmendaduras sobre alguno de los documentos que acreditan los requisitos habilitantes o los factores de evaluación de la oferta deberán estar salvados con la firma de quien suscribe el correspondiente documento al pie de la misma y con una nota al margen donde manifieste clara y expresamente la corrección realizada.
Los sobres deben contener la siguiente información y, para su entrega, se deberán tener en cuenta estas indicaciones:
[….]”
ARTÍCULO 118. – MODIFÍQUESE EL LITERAL C) DEL NUMERAL 2.10 DE LOS DOCUMENTOS TIPO DE LICITACIÓN DE OBRA PÚBLICA DE INFRAESTRUCTURA DE AGUA POTABLE Y SANEAMIENTO BÁSICO Y LOS DE LA MODALIDAD LLAVE EN MANO. Modifíquese el literal C) del numeral 2.10 – Reglas para los procesos estructurados por lotes o por grupos de los documentos tipo para procesos de licitación pública para obras de infraestructura de agua potable y saneamiento básico adoptados mediante la Resolución 248 de 2020 y los de la modalidad llave en mano expedidos con la Resolución 249 de 2020, en los siguientes términos:
“C. Para acreditar la experiencia el Proponente podrá aportar mínimo uno (1) y máximo cinco (5) contratos para cada uno de los lotes o grupos o podrá allegar los mismos para todos o varios de ellos, sin perjuicio de lo previsto en las reglas de los criterios diferenciales por ser Mipyme y/o emprendimientos y empresas de mujeres en cuanto a los requisitos habilitantes relacionados con el número de contratos aportados para demostrar la experiencia solicitada. En la verificación del número de contratos frente al Presupuesto Oficial, el valor mínimo se certificará con el valor del Presupuesto Oficial del respectivo lote o grupo expresado en SMMLV.”
ARTÍCULO 119. – MODIFÍQUENSE LOS LITERALES B, C Y F DEL NUMERAL 3.3.3 DE LOS DOCUMENTOS TIPO DE LICITACIÓN DE OBRA PÚBLICA DE INFRAESTRUCTURA DE AGUA POTABLE Y SANEAMIENTO BÁSICO Y LOS DE LA MODALIDAD LLAVE EN MANO. Modifíquense los literales B), C) y F) del numeral 3.3.3. Proponentes plurales de los documentos tipo para procesos de licitación pública para obras de infraestructura de agua potable y saneamiento básico adoptados mediante la Resolución 248 de 2020 y los de la modalidad llave en mano expedidos con la Resolución 249 de 2020, en los siguientes términos:
B. Acreditar el nombramiento de un representante y un suplente, este último en caso de considerarlo conveniente, cuya designación deberá constar en el Formato 2 – Conformación de Proponente Plural (Formato 2A – Consorcios) (Formato 2B – Uniones Temporales), quien representará a todas las personas naturales y/o jurídicas asociadas, con facultades suficientes para la representación sin limitaciones de cada uno de los integrantes, en todos los aspectos que se requieran para la presentación de la oferta, para la suscripción y ejecución del contrato, así como también la facultad para firmar el acta de terminación y liquidación y cualquier otro acta o documento.
C. Aportar copia del documento de identificación del representante principal y, en caso de que se haya nombrado, del suplente del Proponente Plural.
[…]
F. En la etapa contractual no podrán modificarse los porcentajes de participación sin el consentimiento previo de la Entidad. En todo caso, en la etapa precontractual no será posible modificar los porcentajes de los integrantes del Proponente Plural después de la fecha del cierre del Proceso de Contratación. Cualquier modificación en los porcentajes de los integrantes será ineficaz y, por tanto, carecerá de efecto.
ARTÍCULO 120. – MODIFÍQUESE EL NUMERAL 3.5.7 DE LOS DOCUMENTOS TIPO DE LICITACIÓN DE OBRA PÚBLICA DE INFRAESTRUCTURA DE AGUA POTABLE Y SANEAMIENTO BÁSICO Y LOS DE LA MODALIDAD LLAVE EN MANO. Modifíquese el numeral 3.5.7 Para Subcontratos de los documentos tipo para procesos de licitación pública para obras de infraestructura de agua potable y saneamiento básico adoptados mediante la Resolución 248 de 2020 y los de la modalidad llave en mano expedidos con la Resolución 249 de 2020, en los siguientes términos:
3.5.7 PARA SUBCONTRATOS
Para acreditar la experiencia de subcontratos, cuyo contrato principal fue suscrito con particulares, se aplicarán las disposiciones establecidas en el numeral anterior.
Para acreditar la experiencia de los contratos derivados de contratos suscritos con Entidades Estatales, el Proponente deberá aportar los documentos que se enlistan a continuación:
A. Certificación del subcontrato. Certificación expedida con posterioridad a la fecha de terminación del subcontrato, la cual deberá estar suscrita por el representante legal del contratista del contrato principal, del Concesionario, o del EPC o Consorcio Constructor. Así mismo, debe contener la información requerida en el Pliego de Condiciones para efectos de la acreditación de la experiencia.
B. Certificación expedida por la Entidad Estatal suscriptora del contrato principal del cual se derivó el subcontrato. Esta certificación debe contener la información básica del contrato principal y la siguiente:
I. Alcance de las obras ejecutadas en el contrato principal.
II. Información en la cual se evidencie que la figura de la subcontratación es permitida en el marco del contrato principal. En caso de que no requiera autorización para subcontratar, el Proponente podrá aportar con su propuesta alguno de los siguientes documentos que den cuenta de esa circunstancia: i) copia del contrato o ii) certificación emitida por la Entidad Estatal, donde acredite que para subcontratar no se requería autorización.
La información solicitada en el literal B únicamente se exige en relación con el contrato principal suscrito con la Entidad Estatal.
En caso de que se presenten varios niveles de subcontratación, las reglas de los literales A y B aplicarán hasta el primer nivel de subcontratación. Para los siguientes niveles de subcontratación, la acreditación de la experiencia se realizará con las disposiciones establecidas en el numeral anterior. Para estos efectos, entiéndase el primer nivel de subcontratación como aquel contrato suscrito entre particulares, cuyo contrato principal del cual se deriva directamente, es el contrato estatal firmado entre una Entidad Estatal y un particular.
Cuando el contratista directo y el subcontratista presenten ofertas en un mismo Proceso de Contratación, la experiencia derivada de las actividades subcontratadas solo pertenecerá al subcontratista. En este contexto, el contratista directo no podrá acreditar dichas actividades, por lo que no serán tenidas en cuenta para la verificación de la experiencia.
Los Proponentes deberán advertir a la Entidad cuando en otros procesos el contratista directo hubiera certificado que dentro de su contrato se llevó a cabo la subcontratación, por cuanto tales actividades no serán tenidas en cuenta para efectos de acreditación de la experiencia del contratista directo. Para tal fin, deberán informar a la Entidad, mediante comunicación escrita, indicando el proceso en el cual el contratista certificó la respectiva subcontratación.
La obligación de informar las situaciones de subcontratación estará en cabeza de los Proponentes y de ninguna manera dicha carga será de la Entidad. En aquellos casos en los que el Proponente no advierta tal situación, la Entidad no tendrá responsabilidad alguna por cuanto no fue avisada. En ese caso, el contrato se contabilizará como un todo y no se tendrá en cuenta lo relacionado con la subcontratación.
Cuando la Entidad haya sido advertida por alguno los Proponentes sobre situaciones de subcontratación, aplicará el numeral 1.11 del Pliego de Condiciones.”
ARTÍCULO 121. – MODÍFIQUESE EL LITERAL I) DEL REQUISITO «A. CAPACIDAD DE ORGANIZACIÓN (CO)» DEL NUMERAL 3.10.2 CÁLCULO DE LA CAPACIDAD RESIDUAL DEL PROPONENTE. Modifíquese el literal I) del requisito A. Capacidad de organización (CO) del numeral 3.10.2 Cálculo de la capacidad residual del proponente de los documentos tipo para obras de infraestructura de agua potable y saneamiento básico adoptados mediante la Resolución 248 de 2020 y los de la modalidad llave en mano expedidos con la Resolución 249 de 2020, en los siguientes términos:
“3.10.2. CÁLCULO DE LA CAPACIDAD RESIDUAL EL PROPONENTE (CRP)
A. Capacidad de organización (CO):
[…]
Para acreditar el factor (CO) el Proponente obligado a tener RUP debe presentar los siguientes documentos:
I. Estado de resultados integral (estado de resultado o pérdida o ganancias) del año en que hayan obtenido el mayor ingreso operacional en los últimos cinco (5) años, debidamente firmado por el representante legal y el contador bajo cuya responsabilidad se han preparado y, por el revisor fiscal o, en caso de no haberlo, por no estar obligado a tenerlo, por contador público independiente, acompañados de su dictamen u opinión, de conformidad con el artículo 38 de la Ley 222 de 1995”.
[…]
ARTÍCULO 122. – MODIFÍQUESE EL NUMERAL 4.1.2 DE LOS DOCUMENTOS TIPO DE LICITACIÓN DE OBRA PÚBLICA DE INFRAESTRUCTURA DE AGUA POTABLE Y SANEAMIENTO BÁSICO Y LOS DE LA MODALIDAD LLAVE EN MANO. Modifíquese el numeral 4.1.2 – Correcciones aritméticas de los documentos tipo para procesos de licitación pública para obras de infraestructura de agua potable y saneamiento básico adoptados mediante la Resolución 248 de 2020 y los de la modalidad llave en mano expedidos con la Resolución 249 de 2020, en los siguientes términos:
“4.1.2. CORRECCIONES ARITMÉTICAS
La Entidad solo efectuará correcciones aritméticas originadas por:
A. Las operaciones aritméticas a que haya lugar en la propuesta económica cuando exista un error que surja de un cálculo meramente aritmético cuando la operación ha sido erróneamente realizada.
B. El ajuste al peso ya sea por exceso o por defecto de los precios unitarios contenidos en la propuesta económica y del valor del IVA, así: cuando la fracción decimal del peso sea igual o superior a punto cinco (0.5) se aproximará por exceso al número entero siguiente del peso y cuando la fracción decimal del peso sea inferior a punto cinco (0.5) se aproximará por defecto al número entero.
La Entidad a partir del valor total corregido de las propuestas asignará el puntaje de conformidad con el proceso del numeral 4.1.4.”
ARTÍCULO 123. – MODIFÍQUESE EL NUMERAL 4.2. DE LOS DOCUMENTOS TIPO DE LICITACIÓN DE OBRA PÚBLICA DE INFRAESTRUCTURA DE AGUA POTABLE Y SANEAMIENTO BÁSICO Y LOS DE LA MODALIDAD LLAVE EN MANO. Modifíquese el numeral 4.2 – Factor de Calidad de los documentos tipo para procesos de licitación pública para obras de infraestructura de agua potable y saneamiento básico adoptados mediante la Resolución 248 de 2020 y los de la modalidad llave en mano expedidos con la Resolución 249 de 2020, en los siguientes términos:
“4.2. FACTOR DE CALIDAD
La Entidad asignará el puntaje de factor de calidad como sigue:
| Concepto | Puntaje |
| [La Entidad debe elegir una o algunas de las siguientes opciones de acuerdo con la justificación consignada en el estudio del sector y estudios y documentos previos: (i) implementación del programa de gerencia de proyectos; (ii) disponibilidad y condiciones funcionales de la maquinaria de obra; (iii) presentación de un plan de calidad | 19 |
| Total | 19 |
Las Entidades Estatales deben consultar y analizar las anotaciones vigentes que reposen en el Registro Nacional de Obras Civiles Inconclusas de que trata la Ley 2020 de 2020. En el evento que las personas naturales o jurídicas, nacionales o extranjeras domiciliadas o con sucursal en Colombia, o integrantes de Proponentes Plurales, cuenten con alguna anotación vigente de obra civil inconclusa, en el mencionado registro, se descontará un (1) punto de la sumatoria obtenida en relación con el factor de calidad.
No se descontará el puntaje en los términos previsto en el inciso anterior cuando el Proponente no oferte el factor de calidad, por lo que éste obtendrá cero (0) puntos en este criterio de evaluación. En esta circunstancia, la Entidad no podrá descontar el puntaje de la sumatoria obtenida en los demás criterios de ponderación.
[De acuerdo con las características del objeto a contratar y con los principios de proporcionalidad y razonabilidad la Entidad debe elegir una o varias de las opciones previstas para otorgar el puntaje del factor de calidad. En todo caso, la distribución del puntaje asignado no puede ser superior a 19 puntos. La Entidad no podrá incluir criterios, documentos, compromisos o aspectos distintos a los señalados.]”
ARTÍCULO 124. – ELIMÍNESE EL NUMERAL 4.2.4 DE LOS DOCUMENTOS TIPO DE LICITACIÓN DE OBRA PÚBLICA DE INFRAESTRUCTURA DE AGUA POTABLE Y SANEAMIENTO BÁSICO Y LOS DE LA MODALIDAD LLAVE EN MANO. Elimínese el numeral 4.2.4 – Garantía suplementaria o adicional de los documentos tipo para procesos de licitación pública para obras de infraestructura de agua potable y saneamiento básico adoptados mediante la Resolución 248 de 2020 y los de la modalidad llave en mano expedidos con la Resolución 249 de 2020.
ARTÍCULO 125. – MODIFÍQUESE EL NUMERAL 9.2 DE LOS DOCUMENTOS TIPO DE LICITACIÓN DE OBRA PÚBLICA DE INFRAESTRUCTURA DE AGUA POTABLE Y SANEAMIENTO BÁSICO Y LOS DE LA MODALIDAD LLAVE EN MANO. Modifíquese el numeral 9.2 de los documentos tipo para procesos de licitación pública para obras de infraestructura de agua potable y saneamiento básico adoptados mediante la Resolución 248 de 2020 y los de la modalidad llave en mano expedidos con la Resolución 249 de 2020, en los siguientes términos:
9.2 FORMATOS
1. Formato 1 – Carta de presentación de la oferta
2. Formato 2 – Conformación de Proponente Plural (Formato 2A- Consorcios) (Formato 2B- UT)
3. Formato 3 – Experiencia
4. Formato 4 – Capacidad financiera y organizacional
5. Formato 5 – Capacidad residual
6. Formato 6 – Pagos de seguridad social y aportes legales
7. Formato 7 – Factor de calidad
8. Formato 8 – Vinculación de personas en condición de discapacidad
9. Formato 9 – Puntaje de Industria Nacional.
10. Formato 10 – Factores de desempate
11. Formato 11 – Autorización para el tratamiento de datos personales
12. Formato 12 – Acreditación de emprendimientos y empresas de mujeres
13. Formato 13 – Acreditación de Mipyme
ARTÍCULO 126. – MODIFÍQUESE EL FORMATO 3 DE LOS DOCUMENTOS TIPO DE LICITACIÓN DE OBRA PÚBLICA DE INFRAESTRUCTURA DE AGUA POTABLE Y SANEAMIENTO. Modifíquese el Formato 3 - Experiencia de los documentos tipo para procesos de licitación pública para obras de infraestructura de agua potable y saneamiento básico adoptados mediante la Resolución 248 de 2020. El modelo de este formato se adjunta como anexo (Anexo 27: Formato 3 - Experiencia).
ARTÍCULO 127. – MODIFÍQUESE EL FORMATO 3 DE LOS DOCUMENTOS TIPO DE LICITACIÓN DE OBRA PÚBLICA DE INFRAESTRUCTURA DE AGUA POTABLE Y SANEAMIENTO BÁSICO EN LA MODALIDAD LLAVE EN MANO. Modifíquese el Formato 3 - Experiencia de los documentos tipo para procesos de licitación pública para obras de infraestructura de agua potable y saneamiento básico en la modalidad de llave en mano adoptados mediante la Resolución 249 de 2020. El modelo de este formato se adjunta como anexo (Anexo 28: Formato 3 - Experiencia).
ARTÍCULO 128. – MODIFÍQUESE EL FORMATO 7 DE LOS DOCUMENTOS TIPO DE LICITACIÓN DE OBRA PÚBLICA DE INFRAESTRUCTURA DE AGUA POTABLE Y SANEAMIENTO BÁSICO. Modifíquese el Formato 7 – Factor de calidad de los documentos tipo para procesos de licitación pública para obras de infraestructura de agua potable y saneamiento básico adoptados mediante la Resolución 248 de 2020. El modelo de este formato se adjunta como anexo (Anexo 29: Formato 7 – Factor de calidad).
ARTÍCULO 129. – MODIFÍQUESE EL FORMATO 7 DE LOS DOCUMENTOS TIPO DE LICITACIÓN DE OBRA PÚBLICA DE INFRAESTRUCTURA DE AGUA POTABLE Y SANEAMIENTO BÁSICO EN LA MODALIDAD LLAVE EN MANO. Modifíquese el Formato 7 – Factor de calidad de los documentos tipo para procesos de licitación pública para obras de infraestructura de agua potable y saneamiento básico en la modalidad de llave en mano adoptados mediante la Resolución 249 de 2020. El modelo de este formato se adjunta como anexo (Anexo 30: Formato 7 – Factor de calidad).
ARTÍCULO 130. – MODIFÍQUESE EL FORMATO 10 DE LOS DOCUMENTOS TIPO DE LICITACIÓN DE OBRA PÚBLICA DE INFRAESTRUCTURA DE AGUA POTABLE Y SANEAMIENTO BÁSICO. Modifíquese el Formato 10 – Factores de desempate de los documentos tipo para procesos de licitación pública para obras de infraestructura de agua potable y saneamiento básico adoptados mediante la Resolución 248 de 2020. El modelo de este formato se adjunta como anexo (Anexo 31: Formato 10 – Factores de desempate).
ARTÍCULO 131. – MODIFÍQUESE EL FORMATO 10 DE LOS DOCUMENTOS TIPO DE LICITACIÓN DE OBRA PÚBLICA DE INFRAESTRUCTURA DE AGUA POTABLE Y SANEAMIENTO BÁSICO EN LA MODALIDAD LLAVE EN MANO. Modifíquese el Formato 10 – Factores de desempate de los documentos tipo para procesos de licitación pública para obras de infraestructura de agua potable y saneamiento básico en la modalidad llave en mano expedidos con la Resolución 249 de 2020. El modelo de este formato se adjunta como anexo (Anexo 32: Formato 10 – Factores de desempate).
ARTÍCULO 132. – MODIFÍQUESE EL FORMATO 11 DE LOS DOCUMENTOS TIPO DE LICITACIÓN DE OBRA PÚBLICA DE INFRAESTRUCTURA DE AGUA POTABLE Y SANEAMIENTO BÁSICO. Modifíquese el Formato 11 – Autorización para el tratamiento de datos personales de los documentos tipo para procesos de licitación pública para obras de infraestructura de agua potable y saneamiento básico adoptados mediante la Resolución 248 de 2020. El modelo de este formato se adjunta como anexo (Anexo 33: Formato 11 – Autorización para el tratamiento de datos personales).
ARTÍCULO 133. – MODIFÍQUESE EL FORMATO 11 DE LOS DOCUMENTOS TIPO DE LICITACIÓN DE OBRA PÚBLICA DE INFRAESTRUCTURA DE AGUA POTABLE Y SANEAMIENTO BÁSICO EN LA MODALIDAD LLAVE EN MANO. Modifíquese el Formato 11 – Autorización para el tratamiento de datos personales de los documentos tipo para procesos de licitación pública para obras de infraestructura de agua potable y saneamiento básico en la modalidad de llave en mano adoptados mediante la Resolución 249 de 2020. El modelo de este formato se adjunta como anexo (Anexo 34: Formato 11 – Autorización para el tratamiento de datos personales).
ARTÍCULO 134. – INCLÚYASE EL FORMATO 12 A LOS DOCUMENTOS TIPO DE OBRA PÚBLICA DE LICITACIÓN DE OBRA PÚBLICA DE INFRAESTRUCTURA DE AGUA POTABLE Y SANEAMIENTO BÁSICO. Inclúyase el Formato 12 – Acreditación de emprendimientos y empresas de mujeres a los documentos tipo de licitación para obras de infraestructura de agua potable y saneamiento básico adoptados mediante la Resolución 248 de 2020. El formato se adjunta como anexo (Anexo 35: Formato 12 – Acreditación de emprendimientos y empresas de mujeres).
ARTÍCULO 135. – INCLÚYASE EL FORMATO 12 A LOS DOCUMENTOS TIPO DE OBRA PÚBLICA DE LICITACIÓN DE OBRA PÚBLICA DE INFRAESTRUCTURA DE AGUA POTABLE Y SANEAMIENTO BÁSICO EN LA MODALIDAD LLAVE EN MANO. Inclúyase el Formato 12 – Acreditación de emprendimientos y empresas de mujeres a los documentos tipo de licitación pública para obras de infraestructura de agua potable y saneamiento básico en la modalidad llave en mano expedidos con la Resolución 249 de 2020. El formato se adjunta como anexo (Anexo 36: Formato 12 – Acreditación de emprendimientos y empresas de mujeres).
ARTÍCULO 136. – INCLÚYASE EL FORMATO 13 A LOS DOCUMENTOS TIPO DE OBRA PÚBLICA DE LICITACIÓN DE OBRA PÚBLICA DE INFRAESTRUCTURA DE AGUA POTABLE Y SANEAMIENTO BÁSICO. Inclúyase el Formato 13 – Acreditación de Mipyme los documentos tipo para procesos de licitación pública para obras de infraestructura de agua potable y saneamiento básico adoptados mediante la Resolución 248 de 2020. El modelo de esta matriz se adjunta como anexo (Anexo 37: el Formato 13 – Acreditación de Mipyme).
ARTÍCULO 137. – INCLÚYASE EL FORMATO 13 A LOS DOCUMENTOS TIPO DE OBRA PÚBLICA DE LICITACIÓN DE OBRA PÚBLICA DE INFRAESTRUCTURA DE AGUA POTABLE Y SANEAMIENTO BÁSICO EN LA MODALIDAD LLAVE EN MANO. Inclúyase el Formato 13 – Acreditación de Mipyme los documentos tipo para procesos de licitación pública para obras de infraestructura de agua potable y saneamiento básico en la modalidad llave en mano expedidos con la Resolución 249 de 2020. El modelo de esta matriz se adjunta como anexo (Anexo 38: el Formato 13 – Acreditación de Mipyme).
ARTÍCULO 138. – MODIFÍQUESE LA MATRIZ 1 – EXPERIENCIA DE LOS DOCUMENTOS TIPO DE OBRA PÚBLICA DE LICITACIÓN DE OBRA PÚBLICA DE INFRAESTRUCTURA DE AGUA POTABLE Y SANEAMIENTO BÁSICO. Modifíquese la Matriz 1–Experiencia de los documentos tipo para procesos de licitación pública para obras de infraestructura de agua potable y saneamiento básico expedidos con la Resolución 248 de 2020. El modelo de esta Matriz se adjunta como anexo (Anexo 39: Matriz 1– Experiencia).
ARTÍCULO 139. – MODIFÍQUESE LA MATRIZ 1 – EXPERIENCIA DE LOS DOCUMENTOS TIPO DE OBRA PÚBLICA DE LICITACIÓN DE OBRA PÚBLICA DE INFRAESTRUCTURA DE AGUA POTABLE Y SANEAMIENTO BÁSICO EN LA MODALIDAD LLAVE EN MANO. Modifíquese la Matriz 1–Experiencia de los documentos tipo para procesos de licitación pública para obras de infraestructura de agua potable y saneamiento básico en la modalidad llave en mano expedidos con la Resolución 249 de 2020. El modelo de esta Matriz se adjunta como anexo (Anexo 40: Matriz 1– Experiencia).
ARTÍCULO 140. – MODIFÍQUESE LA MATRIZ 2 – INDICADORES FINANCIEROS Y ORGANIZACIONALES DE LOS DOCUMENTOS TIPO DE LICITACIÓN DE OBRA PÚBLICA DE INFRAESTRUCTURA DE AGUA POTABLE Y SANEAMIENTO BÁSICO. Modifíquese la Matriz 2– Indicadores financieros y organizaciones de los documentos tipo para procesos de licitación pública para obras de infraestructura de agua potable y saneamiento básico adoptados mediante la Resolución 248 de 2020. El modelo de esta Matriz se adjunta como anexo (Anexo 41: Matriz 2– Indicadores financieros y organizaciones).
ARTÍCULO 141. – MODIFÍQUESE LA MATRIZ 2 – INDICADORES FINANCIEROS Y ORGANIZACIONALES DE LOS DOCUMENTOS TIPO DE LICITACIÓN DE OBRA PÚBLICA DE INFRAESTRUCTURA DE AGUA POTABLE Y SANEAMIENTO BÁSICO EN LA MODALIDAD LLAVE EN MANO. Modifíquese la Matriz 2– Indicadores financieros y organizaciones de los documentos tipo para procesos de licitación pública para obras de infraestructura de agua potable y saneamiento básico en la modalidad llave en mano expedidos con la Resolución 249 de 2020. El modelo de esta Matriz se adjunta como anexo (Anexo 42: Matriz 2– Indicadores financieros y organizaciones).
ARTÍCULO 142. – MODIFÍQUESE EL ANEXO 3 DE LOS DOCUMENTOS TIPO DE LICITACIÓN DE OBRA PÚBLICA DE INFRAESTRUCTURA DE AGUA POTABLE Y SANEAMIENTO BÁSICO. Modifíquese el Anexo 3 – Glosario de los documentos tipo para procesos de licitación pública para obras de infraestructura de agua potable y saneamiento básico adoptados mediante la Resolución 248 de 2020. El modelo de este Anexo se adjunta (Anexo 43: Anexo 3 –Glosario).
ARTÍCULO 143. – MODIFÍQUESE EL ANEXO 3 DE LOS DOCUMENTOS TIPO DE LICITACIÓN DE OBRA PÚBLICA DE INFRAESTRUCTURA DE AGUA POTABLE Y SANEAMIENTO BÁSICO EN LA MODALIDAD LLAVE EN MANO. Modifíquese el Anexo 3 - Glosario de los documentos tipo para procesos de licitación pública para obras de infraestructura de agua potable y saneamiento básico en la modalidad llave en mano expedidos con la Resolución 249 de 2020. El modelo de este Anexo se adjunta (Anexo 44: Anexo 3– Glosario).
ARTÍCULO 144. – MODIFÍQUESE EL PARÁGRAFO DEL ARTÍCULO 4 DE LA RESOLUCIÓN 248 DE 2020 POR LA CUAL SE ADOPTA LOS DOCUMENTOS TIPO PARA OBRAS DE INFRAESTRUCTURA DE AGUA POTABLE Y SANEAMIENTO BÁSICO. Modifíquese el parágrafo del artículo 4 – Bienes y servicios adicionales a la de obra pública de la Resolución 248 de 2020 por la cual se adoptan los documentos tipo para obras de infraestructura de agua potable y saneamiento básico, en los siguientes términos:
“Parágrafo. En los casos que el objeto contractual incluya actividades que son abarcadas por otros Documentos Tipo, la Entidad Estatal aplicará las reglas de combinación de experiencia previstas en el numeral 3.5.2 del documento base.”
ARTÍCULO 145. – MODÍFIQUESE EL PARÁGRAFO DEL ARTÍCULO 4 DE LA RESOLUCIÓN 249 DE 2020 POR LA CUAL SE ADOPTAN LOS DOCUMENTOS TIPO PARA OBRAS DE INFRAESTRUCTURA DE AGUA POTABLE Y SANEAMIENTO BÁSICO EN LA MODALIDAD LLAVE EN MANO. Modifíquese el parágrafo al artículo 4 – Bienes y servicios adicionales a la de obra pública de la Resolución 249 de 2020 por la cual se adoptan los documentos tipo para obras de infraestructura de agua potable y saneamiento básico en la modalidad llave en mano, en los siguientes términos:
“Parágrafo. En los casos que el objeto contractual incluya actividades que son abarcadas por otros Documentos Tipo, la Entidad estatal aplicará las reglas de combinación de experiencia previstas en el numeral 3.5.2 del documento base.”
ARTÍCULO 146. – MODÍFIQUESE EL ARTÍCULO 5 DE LA RESOLUCIÓN 248 DE 2020 POR LA CUAL SE ADOPTAN LOS DOCUMENTOS TIPO PARA OBRAS DE INFRAESTRUCTURA DE AGUA POTABLE Y SANEAMIENTO BÁSICO. Modifíquese el artículo 5 – Proyectos que contengan la ejecución de objetos contractuales cobijados por otros documentos tipo de la Resolución 248 de 2020 por la cual se adoptan los documentos tipo para obras de infraestructura de agua potable y saneamiento básico, en los siguientes términos:
“Artículo 5o. Proyectos que contengan la ejecución de objetos contractuales cobijados por otros Documentos Tipo. Cuando el objeto contractual incluya actividades de obra pública de infraestructura de agua potable y saneamiento básico, en conjunto con actividades cobijadas por otros Documentos Tipo, la Entidad deberá definir qué Documentos Tipo aplica dependiendo de la relevancia técnica del proyecto, impacto o el valor que representan en el presupuesto oficial.
Teniendo en cuenta los criterios anteriores, la Entidad Estatal debe determinar cuál documento tipo aplica. Esto sin perjuicio de que pueda utilizar las reglas de combinación de experiencia establecidas en esos documentos, siempre que ello resulte necesario con ocasión de las distintas actividades a ejecutar en el Proceso de Contratación, de conformidad con lo contemplado en el parágrafo del artículo 4 de esta resolución.
PARÁGRAFO. La Entidad Estatal justificará en el estudio previo las razones que soportan la escogencia de un determinado Documento Tipo.”
ARTÍCULO 147. – MODÍFIQUESE EL ARTÍCULO 5 DE LA RESOLUCIÓN 249 DE 2020 POR LA CUAL SE ADOPTAN LOS DOCUMENTOS TIPO PARA OBRAS DE INFRAESTRUCTURA DE AGUA POTABLE Y SANEAMIENTO BÁSICO EN LA MODALIDAD LLAVE EN MANO. Modifíquese el artículo 5 – Proyectos que contengan la ejecución de objetos contractuales cobijados por otros documentos tipo de la Resolución 249 de 2020 por la cual se adoptan los documentos tipo para obras de infraestructura de agua potable y saneamiento básico en la modalidad llave en mano, en los siguientes términos:
“Artículo 5o. Proyectos que contengan la ejecución de objetos contractuales cobijados por otros Documentos Tipo. Cuando el objeto contractual incluya actividades de obra pública de infraestructura de agua potable y saneamiento básico, en conjunto con actividades cobijadas por otros Documentos Tipo, la entidad deberá definir qué Documentos Tipo aplica dependiendo de la relevancia técnica del proyecto, impacto o el valor que representan en el presupuesto oficial.
Teniendo en cuenta los criterios anteriores, la Entidad Estatal debe determinar cuál documento tipo aplica. Esto sin perjuicio de que pueda utilizar las reglas de combinación de experiencia establecidas en esos documentos, siempre que ello resulte necesario con ocasión de las distintas actividades a ejecutar en el Proceso de Contratación, de conformidad con lo contemplado en el parágrafo del artículo 4 de esta resolución.
PARÁGRAFO. La Entidad Estatal justificará en el estudio previo las razones que soportan la escogencia de un determinado documento tipo.”
CAPÍTULO III – DOCUMENTOS TIPO DE INFRAESTRUCTURA SOCIAL
ARTÍCULO 148. – MODIFÍQUENSE LOS LITERALES A), B), C) Y M) DEL NUMERAL 3.5.1 LOS DOCUMENTOS TIPO DE LICITACIÓN DE OBRA PÚBLICA DE INFRAESTRUCTURA SOCIAL. Modifíquense los literales A), B), C) y M) del numeral 3.5.1. - Características de los contratos presentados para acreditar la experiencia exigida del documento base de los documentos tipo de licitación de obra pública de infraestructura social adoptados mediante la Resolución 219 de 2021, en los siguientes términos:
“3.5.1 CARACTERÍSTICAS DE LOS CONTRATOS PRESENTADOS PARA ACREDITAR LA EXPERIENCIA EXIGIDA.
[…]
“A. Que hayan contenido la ejecución de: [En este espacio la Entidad debe incluir, sin modificar, la actividad o actividades válidas para acreditar la experiencia general y específica señaladas en la Matriz 1 – Experiencia. Para definir la experiencia exigible la Entidad tiene que: i) determinar la matriz de experiencia aplicable en atención al tipo de proyecto de infraestructura social a contratarse, ya sea de educación, salud o recreación, cultura y deporte ii) identificar el alcance del objeto a contratar, iii) identificar el tipo de infraestructura a intervenir iv) verificar las actividades definidas allí y v) establecer los requisitos exigibles según la cuantía del Proceso de Contratación, así como los lineamientos para combinación de experiencia entre actividades en caso de requerirse.
De conformidad con lo anterior, la Entidad debe diligenciar este literal, exclusivamente, con lo señalado en la matriz de experiencia aplicable, sin modificar los requisitos de experiencia general, específica y los % de dimensionamiento, lo cual implicaría la alteración de las reglas del Documento Tipo.
Dependiendo del rango en SMMLV, la Entidad deberá exigir la experiencia específica señalada en la matriz de experiencia aplicable en la(s) actividad(es) requeridas para la ejecución del objeto del Contrato. La Entidad únicamente podrá solicitar experiencia específica cuando la matriz de experiencia aplicable así lo establezca.
i) [En el caso que eventualmente se soliciten combinaciones de diferentes actividades a contratar con una misma o diferentes matrices de experiencia, la Entidad en esta sección identificará y definirá la actividad principal o de mayor relevancia y la actividad secundaria o accesoria a la principal, de acuerdo con las características del proyecto en particular. La Entidad podrá analizar la relevancia en función del valor de las actividades en el Presupuesto Oficial o por la complejidad técnica, para lo cual establecerá:
Actividad Principal: [La Entidad identificará y definirá la actividad a contratar principal aplicable en el Proceso de Contratación de acuerdo con la respectiva matriz de experiencia. Para esta actividad principal se solicitará la experiencia general y específica de la respectiva actividad a contratar de mayor relevancia.]
[La Entidad deberá establecer como actividad principal alguna de las “actividades a contratar” definidas en la matriz de experiencia de infraestructura social aplicable].
Actividad Secundaria (1): [La Entidad definirá la actividad secundaria o accesoria aplicable en el Proceso de Contratación de acuerdo con la matriz de experiencia aplicable, ya sea cuando: i) en un mismo proyecto se incluyen otras actividades definidas en una misma matriz de experiencia de infraestructura social, ii) cuando en un mismo proyecto se incorporen actividades de infraestructura educativa, salud o cultura, recreación y deporte, o iii) cuando en un Proceso de Contratación aplican matrices de experiencia de otros Documentos Tipo y la Entidad considera conveniente incluir dicha experiencia, como por ejemplo: las “Matrices de Experiencia” de los Documentos Tipo de licitación de obra pública de infraestructura de transporte o de licitación de obra pública de infraestructura de agua potable y saneamiento básico.]
Actividad Secundaria (2): [La Entidad diligenciará la experiencia aplicable a esta actividad secundaria de acuerdo con los lineamientos previstos en el párrafo anterior, en caso de que aplique y si considera conveniente incluir dicha experiencia]
En caso de que se combinen diferentes actividades, la Entidad en este espacio definirá los requisitos de experiencia exigibles conforme con la matriz de experiencia aplicable, optando por una de las siguientes alternativas:
a) No solicitar experiencia para la actividad secundaria, sino únicamente la experiencia de la actividad principal, siempre que esta se trate de una de las actividades definidas en las matrices de experiencia de infraestructura social; o
b) Solicitar la experiencia general y específica de la “actividad a contratar” de la actividad principal y para las demás actividades secundarias a contratar requerir la experiencia general o específica. Esto significa que la Entidad, de acuerdo con el alcance del proyecto decidirá cuál experiencia pedirá para la actividad secundaria. En el evento en que la matriz de experiencia no contemple experiencia específica para la actividad secundaria, se solicitará la experiencia general. En todo caso en la actividad secundaria no será posible exigir la experiencia general y la específica, sino solo una de ellas.
Para la actividad secundaria en caso de requerirse la experiencia específica, se entenderá en el contexto de la experiencia general solicitada en dicha actividad.
ii) La experiencia exigible para estas actividades (principal o secundaria) se definirá en función de los rangos de cuantías aplicables al Proceso de Contratación. En el caso que el requisito de experiencia a solicitarse esté expresado en un componente o actividad correspondiente a un porcentaje del Presupuesto Oficial, este deberá calcularse respecto del cien por ciento (100 %) del valor del Presupuesto Oficial. En todo caso para la demostración de la experiencia exigida en la actividad secundaria, si la Entidad desagrega el valor de las actividades, la prueba de la experiencia de los componentes que están supeditados a un porcentaje del Presupuesto Oficial se realizará de acuerdo con el valor de cada actividad secundaria. En este último caso, la Entidad indicará en este literal el valor del Presupuesto Oficial que corresponde a cada uno.
iii) La Entidad no podrá incluir más de dos (2) combinaciones de experiencia adicionales a la prevista para la actividad principal. Esto significa que la Entidad solicitará la experiencia general y la específica de la actividad principal y máximo dos (2) experiencias, general o específica, para las actividades secundarias aplicables al Proceso de Contratación.
iv)Si en la actividad secundaria se solicita la experiencia específica y ésta contempla más de un requisito, la Entidad escogerá solo el que sea de mayor relevancia para el proyecto a ejecutar.
v) En los casos en que la Entidad opte por la exigencia de la experiencia específica para las actividades distintas a la actividad principal, se deberá incluir la siguiente nota:
“Nota: Para el caso de experiencias combinadas un Proponente podrá acreditar experiencia en una o más actividades con un contrato o con contratos distintos”.
vi) [En los Procesos de Contratación estructurados por lotes o por grupos, la Entidad establecerá la experiencia de cada uno de ellos de acuerdo con las actividades definidas en la matriz de experiencia aplicable]
La experiencia que deberá acreditar el Proponente será la establecida por la Entidad de forma independiente para cada uno de los lotes o grupos de acuerdo con las actividades definidas en la matriz de experiencia aplicable en el respectivo proyecto de infraestructura social, en el literal A de esta sección].
B. Estar relacionados en el Formato 3 – Experiencia con el número consecutivo del contrato en el RUP. Los Proponentes Plurales deben indicar qué integrante aporta cada uno de los contratos señalados en el Formato 3 – Experiencia. Este documento debe presentarlo el Proponente Plural y no sus integrantes.
Si el Proponente no diligencia el Formato 3 – Experiencia, la Entidad pedirá su subsanación en los términos del numeral 1.6. En caso de que el oferente no subsane se tendrán en cuenta para la evaluación los cinco (5) contratos de mayor valor aportados. Con estos la Entidad verificará la acreditación de los requisitos de experiencia general y específica solicitados para la actividad principal, al igual que los requeridos para la actividad secundaria en atención a las combinaciones de experiencia aplicables y la experiencia exigida respecto de los bienes y servicios adicionales a la obra pública de infraestructura de social, en caso de que aplique.
Tratándose de Proponentes que acrediten la calidad de Mipyme o emprendimientos y empresas de mujeres con domicilio en el territorio nacional, se tendrán en cuenta como máximo los seis (6) contratos aportados de mayor valor. En caso de que el Proponente pruebe la calidad de Mipyme y de emprendimiento y empresa de mujer con domicilio en el territorio nacional de manera conjunta, se valdrán como máximo los siete (7) contratos allegados de mayor valor.
El Formato 3 – Experiencia deberá aportarse diligenciado en formato Excel.
C. El Proponente podrá acreditar la experiencia solicitada con mínimo uno (1) y máximo cinco (5) contratos, los cuales serán evaluados teniendo en cuenta la tabla del numeral 3.5.7 del Pliego de Condiciones, así como el contenido establecido en la matriz de experiencia aplicable al proyecto de infraestructura social. [En los procesos estructurados por lotes o por grupos, el proponente podrá aportar mínimo uno (1) y máximo cinco (5) contratos para cada uno de los lotes o grupos o podrá allegar los mismos para todos los lotes o grupos].
El Proponente persona natural o jurídica que pruebe la calidad de Mipyme o de emprendimiento y empresa de mujer con domicilio en el territorio nacional de conformidad con lo previsto en el artículo 2.2.1.13.2.2 del Decreto 1074 de 2015 y los artículos 2.2.1.2.4.2.4. y 2.2.1.2.4.2.14 del Decreto 1082 de 2015 o las normas que los modifiquen, sustituyan o complementen, podrá probar la experiencia solicitada con un (1) contrato adicional a los cinco (5) inicialmente previstos, para un máximo de seis (6) contratos.
En caso de que el Proponente persona natural o jurídica pruebe la calidad de Mipyme y de emprendimiento y empresa de mujer con domicilio en el territorio nacional de manera conjunta, podrá demostrar la experiencia solicitada con dos (2) contratos adicionales a los cinco (5) inicialmente previstos, para un máximo de siete (7).
Para el caso de Proponentes Plurales bastará con que uno de sus integrantes tenga una participación igual o superior al diez por ciento (10 %) en el Consorcio o en la Unión Temporal y pruebe la calidad de Mipyme o emprendimiento y empresa de mujer de conformidad con lo previsto en el artículo 2.2.1.13.2.2 del Decreto 1074 de 2015 y los artículos 2.2.1.2.4.2.4. y 2.2.1.2.4.2.14 del Decreto 1082 de 2015 o las normas que los modifiquen, sustituyan o complementen, para probar la experiencia solicitada con un (1) contrato adicional a los cinco (5) inicialmente previstos, para un máximo de seis (6) contratos.
En caso de que el mismo integrante u otro que haga parte del Proponente Plural tenga una participación igual o superior al diez por ciento (10 %) en el consorcio o en la unión temporal y pruebe la calidad de Mipyme y de emprendimiento y empresa de mujer con domicilio en el territorio nacional de manera conjunta o separada, podrá demostrar la experiencia solicitada con dos (2) contratos adicionales a los cinco (5) inicialmente previstos, para un máximo de siete (7) contratos. En todo caso no será posible aportar más de dos (2) contratos adicionales aun cuando otros integrantes del Proponente Plural también cumplan las condiciones previamente definidas.
Para acreditar la condición de Mipyme, el Proponente entregará copia del certificado del Registro Único de Proponentes, el cual deberá encontrarse vigente y en firme al momento de su presentación. Por su parte, la condición de emprendimientos y/o empresas de mujeres, se realizará mediante el diligenciamiento del Formato 13 – Acreditación de emprendimientos y empresas de mujeres, el cual deberá aportarse con la documentación requerida en el artículo 2.2.1.2.4.2.14 del Decreto 1082 de 2015, o la norma que lo modifique, complemente o sustituya.
Para los efectos de este literal entiéndase por experiencia solicitada la general y la específica requerida en la actividad principal, al igual que la exigida para la actividad secundaria en atención a las combinaciones de experiencia aplicables y la experiencia adicional respecto de los bienes y servicios ajenos a la obra pública de infraestructura social.
[En las convocatorias limitadas a Mipyme únicamente se aplicará este criterio diferencial respecto de los emprendimientos y empresas de mujeres]”
M. [Cuando el objeto contractual incluya bienes o servicios ajenos a la obra pública de infraestructura social y de manera excepcional se requiere incluir experiencia adicional para evaluar la idoneidad respecto de dichos bienes o servicios, la Entidad verificará si estos están incorporados en otros Documentos Tipo. En este caso, la Entidad observará las reglas de combinación de experiencia definidas en el literal A) de este numeral y, por tanto, la Entidad no podrá definir requisitos de experiencia distintos a los determinados por esta Agencia. En todo caso, si el objeto contractual contempla bienes o servicios ajenos que no están regulados en los Documentos Tipo, la Entidad Estatal observará los parámetros del artículo 4o de la Resolución 219 de 2021.
Conforme con esta disposición, la Entidad no puede requerir experiencia adicional que incluya volúmenes o cantidades de obra específica expresada en SMMLV.
En el escenario en el cual la Entidad Estatal requiera la dotación e instalación de mobiliario y considere adecuado y proporcional exigir experiencia relacionada con esta, según su etapa previa de planeación, deberá exigirla como un bien o servicio adicional a la obra pública de infraestructura social, según las actividades a contratar de la matriz de experiencia aplicable]
ARTÍCULO 149. – MODIFÍQUENSE LOS LITERALES C, D Y J E INCLÚYASE EL LITERAL K) AL NUMERAL 3.5.2 LOS DOCUMENTOS TIPO DE LICITACIÓN DE OBRA PÚBLICA DE INFRAESTRUCTURA SOCIAL. Modifíquense los literales C), D) y J) e inclúyase el literal K) al numeral 3.5.2. - Consideraciones para la validez de la experiencia requerida de los documentos tipo de licitación de obra pública de infraestructura social adoptados mediante la Resolución 219 de 2021, en los siguientes términos:
“3.5.2 CONSIDERACIONES PARA LA VALIDEZ DE LA EXPERIENCIA REQUERIDA
[…]
C. Si el Proponente relaciona o anexa más de cinco (5) contratos en el Formato 3 - Experiencia, para efectos de evaluar la experiencia se tendrán en cuenta cómo máximo los cinco (5) contratos aportados de mayor valor.
Tratándose de Proponentes que acrediten la calidad de Mipyme o emprendimiento y empresa de mujer con domicilio en el territorio nacional, se tendrá en cuenta como máximo los seis (6) contratos aportados de mayor valor. En caso de que el Proponente pruebe la calidad de Mipyme y de emprendimiento y empresa de mujer con domicilio en el territorio nacional de manera conjunta, se valdrán máximo los siete (7) contratos allegados de mayor valor.
D. Tratándose de Proponentes Plurales se tendrá en cuenta lo siguiente: i) uno de los integrantes debe aportar como mínimo el cincuenta por ciento (50 %) de la experiencia solicitada; ii) los demás integrantes deben acreditar al menos el cinco por ciento (5 %) de la experiencia solicitada; y iii) sin perjuicio de lo anterior, solo uno (1) de los integrantes, si así lo considera pertinente, podrá no acreditar experiencia. En este último caso, el porcentaje de participación del integrante que no aporta experiencia en la estructura plural no podrá superar el diez por ciento (10 %).
Estos porcentajes que acreditarán los integrantes del Proponente Plural se podrán cumplir con contratos válidos que acrediten el requisito de experiencia solicitada en el pliego de condiciones y se calcularán sobre el “valor mínimo a certificar (como % del Presupuesto Oficial de obra expresado en SMMLV)” de conformidad con el numeral 3.5.7. Independientemente de el o los integrantes del Proponente Plural que aporten contratos para acreditar la experiencia, estos se tendrán en cuenta para calcular el “número de contratos con los cuales el Proponente cumple la experiencia acreditada" de que trata el numeral citado.
En armonía con lo anterior, para cumplir el requisito previsto en este literal no se solicitará la acreditación de longitudes, magnitudes, volúmenes o porcentajes requeridos en la experiencia específica, sino que bastará con acreditar los SMMLV.
[En caso de que el Proceso de Contratación se adelante por lotes o por grupos, estos porcentajes de experiencia se calcularán sobre el "valor mínimo a certificar (como % del Presupuesto Oficial de obra expresado en SMMLV)” de conformidad con el numeral 3.5.7., esto es, en relación con el valor del Presupuesto Oficial establecido para cada lote o grupo]
[…]
J. Las auto certificaciones no servirán para acreditar la experiencia requerida, ya que con estas no puede constatarse la ejecución de contratos que deben certificar los terceros que recibieron la obra, bien o servicio. Para la aplicación de esta regla, se entiende por auto certificaciones aquellas expedidas por el mismo Proponente, sus representantes, los integrantes del Proponente Plural o del mismo grupo empresarial para demostrar su propia experiencia.
K. Las certificaciones de experiencia expedidas por el interventor de obra no servirán para probar la experiencia requerida.
ARTÍCULO 150. – MODIFÍQUESE EL NUMERAL 3.5.7 LOS DOCUMENTOS TIPO DE LICITACIÓN DE OBRA PÚBLICA DE INFRAESTRUCTURA SOCIAL. Modifíquese el numeral 3.5.7. – Relación de los contratos frente al presupuesto oficial de los documentos tipo de licitación de obra pública de infraestructura social adoptados mediante la Resolución 219 de 2021, en los siguientes términos:
“3.5.7 – RELACIÓN DE LOS CONTRATOS FRENTE AL PRESUPUESTO OFICIAL
La verificación del número de contratos para acreditar la experiencia se realiza de la siguiente manera:
| Número de contratos con los cuales el Proponente cumple la experiencia acreditada | Valor mínimo a certificar (como % del Presupuesto Oficial de obra expresado en SMMLV) |
| De 1 hasta 2 | 75 % |
| De 3 hasta 4 | 120 % |
| Hasta 5 | 150 % |
Si el número de contratos aportados supera los cinco (5) inicialmente previstos en este numeral, debido a la posibilidad de allegar contratos adicionales por tratarse de una Mipyme y/o emprendimiento y empresa de mujer, estos contratos adicionales, ya sean seis (6) o siete (7) contratos -dependiendo si acredita una o ambas condiciones-, se tendrán en cuenta para demostrar el valor del ciento cincuenta por ciento (150 %) del valor del Presupuesto Oficial.
La verificación se hará con base en la sumatoria de los valores totales ejecutados (incluido IVA) en SMMLV de los contratos que cumplan con los requisitos establecidos en este Pliego de Condiciones.
El Proponente cumple el requisito de experiencia si la sumatoria de los valores totales ejecutados (incluido IVA) de los contratos expresados en SMMLV es mayor o igual al valor mínimo a certificar establecido en la tabla anterior.
En caso de que el número de contratos con los cuales el Proponente acredita la experiencia no satisface el porcentaje mínimo a certificar establecido en la tabla anterior, se calificará la propuesta como no hábil y el Proponente podrá subsanarla en los términos contemplados en la sección 1.6.
[En los procesos estructurados por lotes o por grupos, el valor mínimo a certificar debe ser en relación con el valor del Presupuesto Oficial del respectivo lote o grupo expresado en SMMLV]”.
ARTÍCULO 151. – MODIFÍQUESE EL NUMERAL 3.6 DE LOS DOCUMENTOS TIPO DE LICITACIÓN DE OBRA PÚBLICA DE INFRAESTRUCTURA SOCIAL. Modifíquese el numeral 3.6. – Capacidad financiera de los documentos tipo de licitación de obra pública de infraestructura social adoptados mediante la Resolución 219 de 2021, en los siguientes términos:
“3.6 CAPACIDAD FINANCIERA
Los Proponentes deberán acreditar los siguientes indicadores en los términos señalados en la Matriz 1 – Indicadores financieros y organizacionales y bajo las condiciones señaladas en el numeral 3.9:
| Indicador | Fórmula |
| Liquidez | |
| Nivel de Endeudamiento | |
| Razón de Cobertura de Intereses |
Si el Proponente es Plural cada indicador debe calcularse así:
![]()
Donde n es el número de integrantes del Proponente Plural (Unión Temporal o Consorcio).
El Proponente que no tiene pasivos corrientes está habilitado respecto del índice de liquidez.
El Proponente que no tiene gastos de intereses está habilitado respecto de la razón de cobertura de intereses, siempre y cuando la utilidad operacional sea igual o mayor a cero (0).
El Proponente que demuestre la condición de Mipyme domiciliada en Colombia acreditará la capacidad financiera de acuerdo con los indicadores señalados en la Matriz 1 – Indicadores financieros y organizacionales. El Proponente probará la condición de Mipyme con la copia del certificado del Registro Único de Proponentes el cual deberá encontrarse vigente y en firme al momento de su presentación.
ARTÍCULO 152. – MODIFÍQUESE EL NUMERAL 3.8 DE LOS DOCUMENTOS TIPO DE LICITACIÓN DE OBRA PÚBLICA DE INFRAESTRUCTURA SOCIAL. Modifíquese el numeral 3.8– Capacidad organizacional de los documentos tipo de licitación de obra pública de infraestructura social adoptados mediante la Resolución 219 de 2021, en los siguientes términos:
“3.8. CAPACIDAD ORGANIZACIONAL
Los Proponentes deben acreditar los siguientes indicadores en los términos señalados en la Matriz 1- Indicadores financieros y organizacionales:
| Indicador | Fórmula |
| Rentabilidad sobre Patrimonio (Roe) | |
| Rentabilidad del Activo (Roa) |
Si el Proponente es Plural cada indicador debe calcularse así
![]()
Donde n es el número de integrantes del Proponente Plural (Unión Temporal o Consorcio).
El Proponente que demuestre la condición de Mipyme domiciliada en Colombia acreditará la capacidad organizacional de acuerdo con los indicadores señalados en la Matriz 1– Indicadores financieros y organizacionales. El Proponente probará la condición de Mipyme con la copia del certificado del Registro Único de Proponentes, el cual deberá encontrarse vigente y en firme al momento de su presentación.
ARTÍCULO 153. – MODIFÍQUESE EL CAPÍTULO IV LOS DOCUMENTOS TIPO DE LICITACIÓN DE OBRA PÚBLICA DE INFRAESTRUCTURA SOCIAL. Modifíquese el Capítulo IV - Criterios de evaluación, asignación de puntaje y criterios de desempate de los documentos tipo de licitación de obra pública de infraestructura social, adoptados mediante la Resolución 219 de 2021, en los siguientes términos:
CAPÍTULO IV - CRITERIOS DE EVALUACIÓN, ASIGNACIÓN DE PUNTAJE Y CRITERIOS DE DESEMPATE
La Entidad calificará las ofertas que hayan cumplido con los requisitos habilitantes con los siguientes puntajes:
| Concepto | Puntaje máximo |
| Oferta económica | 59,5 |
| Factor de calidad | 10 |
| Factor de sostenibilidad técnico ambiental agregado | 9 |
| Apoyo a la industria nacional | 20 |
| Vinculación de personas con discapacidad | 1 |
| Emprendimientos y empresas de mujeres | 0,25 |
| Mipyme | 0,25 |
| Total | 100 |
De conformidad con el artículo 67 de la Ley 915 de 2004, cuando el objeto del contrato deba ser desarrollado en el territorio del departamento Archipiélago de San Andrés, Providencia y Santa Catalina, la Entidad calificará las ofertas que hayan cumplido con los requisitos habilitantes con los siguientes puntajes:
| Concepto | Puntaje máximo |
| Oferta económica | 54,5 |
| Factor de calidad | 10 |
| Concepto | Puntaje máximo |
| Factor de sostenibilidad técnico ambiental agregado | 9 |
| Apoyo a la industria nacional | 20 |
| Vinculación de personas con discapacidad | 1 |
| Tarjeta de Circulación y Residencia “OCCRE” | 5 |
| Emprendimientos y empresas de mujeres | 0,25 |
| Mipyme | 0,25 |
| Total | 100 |
[Cuando el objeto del contrato deba ser desarrollado en el territorio del departamento Archipiélago de San Andrés, Providencia y Santa Catalina, las Entidades deberán ajustar los puntajes y fórmulas de los métodos de ponderación de acuerdo con el anterior cuadro]
En las convocatorias limitadas a Mipyme el puntaje por este concepto se trasladará al puntaje de oferta económica. En este caso en el Pliego de Condiciones definitivo se incluirá el siguiente cuadro:
La Entidad calificará las ofertas que hayan cumplido con los requisitos habilitantes con los siguientes puntajes:
| Concepto | Puntaje máximo |
| Oferta económica | 59,75 |
| Factor de calidad | 10 |
| Factor de sostenibilidad técnico ambiental agregado | 9 |
| Apoyo a la industria nacional | 20 |
| Vinculación de personas con discapacidad | 1 |
| Emprendimientos y empresas de mujeres | 0,25 |
| Total | 100 |
De conformidad con el artículo 67 de la Ley 915 de 2004 cuando el objeto del contrato deba ser desarrollado en el territorio del departamento Archipiélago de San Andrés, Providencia y Santa Catalina, la Entidad calificará las ofertas que hayan cumplido con los requisitos habilitantes con los siguientes puntajes:
| Concepto | Puntaje máximo |
| Oferta económica | 54,75 |
| Factor de calidad | 10 |
| Factor de sostenibilidad técnico ambiental agregado | 9 |
| Apoyo a la industria nacional | 20 |
| Vinculación de personas con discapacidad | 1 |
| Tarjeta de Circulación y Residencia “OCCRE” | 5 |
| Emprendimiento y empresas de mujeres | 0,25 |
| Total | 100 |
[Cuando el objeto del contrato deba ser desarrollado en el territorio del departamento Archipiélago, de San Andrés, Providencia y Santa Catalina las Entidades deberán ajustar los puntajes y fórmulas de los métodos de ponderación de acuerdo con el anterior cuadro]
Las Entidades deberán reducir durante la evaluación de las ofertas dos puntos (2) a los Proponentes que se les haya impuesto una o más multas o cláusulas penales durante el último año, contado a partir de la fecha prevista para el cierre del proceso, sin importar la cuantía y sin perjuicio de las demás consecuencias derivadas del incumplimiento. Esta reducción también afectará a los Consorcios y a las Uniones Temporales si alguno de sus integrantes se encuentra en la situación anterior.
La reducción del puntaje antes señalada no se materializará en caso de que los actos administrativos que hayan impuesto las multas sean objeto de medios de control jurisdiccional previstos en la Ley 1437 de 2011 o las normas que la modifiquen, adicionen o sustituyan. Además, se aplicará sin perjuicio de lo dispuesto en el artículo 6o de la Ley 2020 de 2020. Lo anterior de conformidad con el artículo 58 de la Ley 2195 de 2022 y las normas que lo modifiquen, sustituyan, adicionen o reglamenten.
ARTÍCULO 154. – MODIFÍQUESE EL NUMERAL 4.1.4 LOS DOCUMENTOS TIPO DE LICITACIÓN DE OBRA PÚBLICA DE INFRAESTRUCTURA SOCIAL. Modifíquese el numeral 4.1.4 – Determinación del método para la ponderación de la propuesta económica de los documentos tipo de licitación de obra pública de infraestructura social adoptados mediante la Resolución 219 de 2021, en los siguientes términos:
“4.1.4. DETERMINACIÓN DEL MÉTODO PARA LA PONDERACIÓN DE LA PROPUESTA ECONÓMICA:
[…]
Las propuestas que al aplicar las fórmulas obtengan puntajes negativos obtienen cero (0) puntos en la oferta económica.
A. Mediana con valor absoluto
La Entidad calculará el valor de la mediana con los valores de las propuestas hábiles. En esta alternativa se entenderá por mediana de un grupo de valores el resultado del cálculo que se obtiene a través de la aplicación del siguiente proceso: la Entidad ordenará los valores de las propuestas hábiles de manera descendente. Si el número de valores es impar, la mediana corresponde al valor central, si el número de valores es par, la mediana será el promedio de los dos valores centrales.
![]()
Donde:
-Vi: Es el valor total corregido de cada una de las propuestas “i”.
- m: Es el número total de propuestas económicas válidas recibidas por la Entidad.
- Me: Es la mediana calculada con los valores de las propuestas económicas válidas.
Bajo este método la Entidad asignará el puntaje así:
I. Si el número de valores de las propuestas hábiles es impar, el máximo puntaje será asignado a la propuesta que se encuentre en el valor de la mediana. Para las otras propuestas, se utilizará la siguiente fórmula:
![]()
Donde:
- Me: Es la mediana calculada con los valores de las propuestas económicas válidas.
- Vi: Es el valor total corregido de cada una de las propuestas “i”.
II. Si el número de valores de las propuestas hábiles es par, se asignará el máximo puntaje a la propuesta que se encuentre inmediatamente por debajo de la mediana. Para las otras propuestas, se utilizará la siguiente fórmula
![]()
Donde:
- VMe: Es el valor de la propuesta económica válida inmediatamente por debajo de la mediana.
-Vi: Es el valor total corregido de cada una de las propuestas “i”.
B. Media Geométrica
Para calcular la Media Geométrica se tomará el valor de las propuestas hábiles para el respectivo factor de calificación para asignar el puntaje de conformidad con el siguiente procedimiento:
![]()
Donde:
- MG: Es la media geométrica de todas las ofertas habilitadas.
- V1: Es el valor de una propuesta habilitada.
- Vn: Es el valor de la propuesta n habilitada.
- n: La cantidad total de propuestas habilitadas.
Para efectos de la asignación de puntaje se tendrá en cuenta lo siguiente: se otorgará el máximo puntaje al valor de la propuesta que se encuentre más cerca (por exceso o por defecto) al valor de la media geométrica calculada para el factor correspondiente.
Las demás propuestas recibirán puntaje de acuerdo con la siguiente ecuación:
![]()
C. Media Aritmética Baja
Consiste en determinar el promedio aritmético entre la propuesta válida más baja y el promedio simple de las ofertas hábiles para calificación económica.
![]()
Donde:
- Vmin: Es el valor total corregido de la propuesta válida más baja.
- X: Es el promedio aritmético simple de las propuestas económicas válidas.
- XB: Es la media aritmética baja.
La Entidad procederá a ponderar las propuestas de acuerdo con la siguiente formula:

Donde:
- XB: Es la media aritmética baja.
- Vi: Es el valor total corregido de cada una de las propuestas “i”.
D. Menor Valor
La Entidad otorgará el máximo puntaje a la oferta económica hábil para calificación económica de menor valor.
![]()
Donde:
- Vi: Es el valor total corregido de cada una de las propuestas “i”.
m: Es el número total de propuestas económicas válidas recibidas por la Entidad.
- Vmin: Es el valor total corregido de la propuesta válida más baja.
La Entidad procederá a ponderar las propuestas de acuerdo con la siguiente fórmula:
![]()
Donde:
- Vmin: Es el valor total corregido de la propuesta válida más baja.
- Vi: Es el valor total corregido de cada una de las propuestas “i”.
ARTÍCULO 155. – MODIFÍQUESE EL NUMERAL 4.7. LOS DOCUMENTOS TIPO DE LICITACIÓN DE OBRA PÚBLICA DE INFRAESTRUCTURA SOCIAL. Modifíquese el numeral 4.7 – Emprendimiento y empresas de mujeres de los documentos tipo de licitación de obra pública de infraestructura social adoptados mediante la Resolución 219 de 2021, en los siguientes términos:
“4.7 EMPRENDIMIENTOS Y EMPRESAS DE MUJERES
La Entidad asignará un puntaje de cero punto veinticinco (0.25) puntos al Proponente que acredite la calidad de emprendimientos y empresas de mujeres con domicilio en el territorio nacional de conformidad con la previsto en el artículo 2.2.1.2.4.2.14. del Decreto 1082 de 2015 o la norma que lo modifique, sustituya o complemente.
Para que el Proponente obtenga este puntaje debe diligenciar el Formato 13 – Acreditación de emprendimientos y empresas de mujeres y aportar la documentación requerida. Si el Proponente debió subsanar dicho formato y/o los documentos exigidos para probar esta condición será válido para el criterio diferencial en cuanto al requisito habilitante relacionado con el número de contratos aportados para demostrar la experiencia solicitada. Sin embargo, no se tendrá en cuenta para la asignación de puntaje, por lo que obtendrá cero (0) puntos por este factor de evaluación.
Tratándose de Proponentes Plurales este puntaje se otorgará si por lo menos uno de los integrantes acredita la calidad de emprendimientos y empresas de mujeres y tiene una participación igual o superior al diez por ciento (10 %) en el Consorcio o en la Unión Temporal.
La asignación de este puntaje no excluye la aplicación del puntaje para Mipyme.
ARTÍCULO 156. – INCLÚYASE EL NUMERAL 4.8. LOS DOCUMENTOS TIPO DE LICITACIÓN DE OBRA PÚBLICA DE INFRAESTRUCTURA SOCIAL. Inclúyase el numeral 4.8 - Mipyme domiciliada en Colombia al documento base de los documentos tipo de licitación de obra pública de infraestructura social adoptados mediante la Resolución 219 de 2021, en los siguientes términos:
“4.8 MIPYME DOMICILIADA EN COLOMBIA
[En las convocatorias limitadas a Mipyme no aplicará este puntaje adicional. En este caso, los puntos por este concepto se trasladarán al puntaje de la oferta económica]
La Entidad otorgará un puntaje de cero punto veinticinco (0.25) puntos al Proponente que acredite la calidad de Mipyme domiciliada en Colombia de conformidad con el artículo 2.2.1.2.4.2.4 del Decreto 1082 de 2015, en concordancia con el parágrafo del artículo 2.2.1.13.2.4 del Decreto 1074 de 2015, o la norma que lo modifique, complemente o sustituya.
Así las cosas, para obtener el puntaje, el Proponente entregará copia del certificado del Registro Único de Proponentes, el cual deberá encontrarse vigente y en firme al momento de su presentación. Si el Proponente debió subsanar la entrega del RUP, éste será válido para los criterios diferenciales en cuanto a los requisitos habilitantes relacionados con el número de contratos aportados para demostrar la experiencia solicitada y los índices de de la Capacidad Financiera y Organizacional. Sin embargo, el certificado no se tendrá en cuenta para la asignación del puntaje adicional, por lo que obtendrá cero (0) puntos por este factor de evaluación.
Tratándose de Proponentes Plurales este puntaje se otorgará si por lo menos uno de los integrantes acredita la calidad de Mipyme y tiene una participación igual o superior al diez por ciento (10%) en el Consorcio o en la Unión Temporal.
ARTÍCULO 157. – INCLÚYASE EL NUMERAL 4.9 LOS DOCUMENTOS TIPO DE LICITACIÓN DE OBRA PÚBLICA DE INFRAESTRUCTURA SOCIAL. Inclúyase el numeral 4.9 – Criterios de desempate de los documentos tipo de licitación de obra pública de infraestructura social, adoptados mediante la Resolución 219 de 2021, en los siguientes términos:
“4.9. CRITERIOS DE DESEMPATE
En caso de empate en el puntaje total de dos o más ofertas deberán aplicarse las siguientes reglas de acuerdo con cada uno de los numerales, de forma sucesiva y excluyente, para seleccionar al Proponente favorecido, respetando en todo caso las obligaciones contenidas en los Acuerdos Comerciales vigentes, especialmente en materia de trato nacional:
1. Preferir la oferta de bienes o servicios nacionales frente a la oferta de bienes o servicios extranjeros. El Proponente acreditará este factor de desempate de acuerdo con las reglas definidas en el numeral 4.4.1 y con los documentos señalados en la sección 4.4.1.1 del Pliego de Condiciones. Por tanto, este criterio de desempate se probará con los mismos documentos que se presentan para el puntaje de apoyo a la industria nacional. Para el caso de los Proponentes Plurales, todos los integrantes deberán demostrar el origen nacional de la oferta en las condiciones indicadas en los numerales anteriormente citados.
2. Preferir la propuesta de la mujer cabeza de familia. Su acreditación se realizará en los términos del parágrafo del artículo 2o de la Ley 82 de 1993, modificado por el artículo 1o de la Ley 1232 de 2008, o la norma que lo modifique, aclare, adicione o sustituya, es decir, la condición de mujer cabeza de familia y la cesación de esta se otorgará desde el momento en que ocurra el respectivo evento y se declare ante un notario. Esta certificación debe tener una fecha de expedición no mayor a treinta (30) días calendario anteriores a la fecha del cierre del Proceso de Contratación y en esta deberá verificarse el cumplimiento de los requisitos indicados en el artículo 1o de la Ley 1232 de 2008. En caso de modificarse la fecha de cierre del proceso, se tendrá como referencia para establecer el plazo de vigencia del certificado la fecha originalmente contemplada en el Pliego de Condiciones definitivo."
Igualmente, se preferirá la propuesta de la mujer víctima de violencia intrafamiliar, la cual acreditará esta condición de conformidad con el artículo 21 de la Ley 1257 de 2008 o la norma que lo modifique, aclare, adicione o sustituya, esto es, cuando se profiera una medida de protección expedida por la autoridad competente. En virtud del artículo 16 de la Ley 1257 de 2008 o la norma que lo modifique, aclare, adicione o sustituya, la medida de protección la debe impartir el comisario de familia del lugar donde ocurrieron los hechos y, a falta de este, del juez civil municipal o promiscuo municipal, o la autoridad indígena en los casos de violencia intrafamiliar en las comunidades de esa naturaleza.
En el caso de las personas jurídicas se preferirá a aquellas en las que participen mayoritariamente mujeres cabeza de familia y/o mujeres víctimas de violencia intrafamiliar, para lo cual el representante legal o el revisor fiscal, según corresponda, diligenciará el «Formato 10A – Participación mayoritaria de mujeres cabeza de familia y/o mujeres víctimas de violencia intrafamiliar (persona jurídica)», mediante el cual acreditará, bajo la gravedad del juramento, que más del cincuenta por ciento (50 %) de la composición accionaria o cuota parte de la persona jurídica está constituida por mujeres cabeza de familia y/o mujeres víctimas de violencia intrafamiliar. Además, deberá probar la condición indicada de cada una de las mujeres que participen en la sociedad, aportando los documentos que avalen el cumplimiento de los requisitos, de acuerdo con los dos incisos anteriores.
Finalmente, en el caso de los Proponentes Plurales, se preferirá la oferta cuando cada uno de los integrantes acredite alguna de las condiciones señaladas en los incisos anteriores de este numeral.
Debido a que para el otorgamiento de este criterio de desempate se entregan certificados que contienen datos sensibles, de acuerdo con el artículo 5o de la Ley 1581 de 2012 o la norma que lo modifique, aclare, adicione o sustituya, se requiere que el titular de la información, como son las mujeres víctimas de violencia intrafamiliar, en los términos del literal a) del artículo 6o de la Ley 1581 de 2012, diligencien el «Formato 11 – Autorización para el tratamiento de datos personales» mediante el cual autoricen de manera previa y expresa el tratamiento de esta información, como requisito para el otorgamiento del criterio de desempate.
3. Preferir la propuesta presentada por el proponente que acredite en las circunstancias establecidas en la ley que por lo menos el diez por ciento (10 %) de su nómina está en condición de discapacidad, de acuerdo con el artículo 24 de la Ley 361 de 1997 o la norma que lo modifique, aclare, adicione o sustituya, debidamente certificadas por la oficina del Ministerio del Trabajo de la respectiva zona, que hayan sido contratados con por lo menos un (1) año de anterioridad a la fecha de cierre del presente Proceso de Contratación o desde el momento de la constitución de la persona jurídica cuando esta es inferior a un (1) año y que manifieste adicionalmente que mantendrá dicho personal por un lapso igual al término de ejecución del contrato, para lo cual deberá diligenciar el «Formato 10 B – Vinculación de personas en condición de discapacidad». En caso de modificarse la fecha de cierre del proceso, se tendrá como referencia para establecer el plazo de vigencia del certificado la fecha originalmente contemplada en el Pliego de Condiciones definitivo.
Si la oferta es presentada por un Proponente Plural, el integrante que acredite que el diez por ciento (10 %) de su nómina está en condición de discapacidad, en los términos del presente numeral, debe tener una participación de por lo menos el veinticinco por ciento (25 %) en la estructura plural y aportar como mínimo el veinticinco por ciento (25 %) de la experiencia acreditada en la oferta.
El tiempo de vinculación en la planta referida de que trata este numeral se acreditará con el certificado de aportes a seguridad social del último año o del tiempo de su constitución cuando su conformación sea inferior a un (1) año, en el que se demuestren los pagos realizados por el empleador.
4. Preferir la propuesta presentada por el oferente que acredite la vinculación en mayor proporción de personas que no sean beneficiarios de la pensión de vejez, familiar o de sobrevivencia y que hayan cumplido el requisito de edad de pensión establecido en la ley. Para ello la persona natural, el representante legal de la persona jurídica o el revisor fiscal, según corresponda, diligenciará el «Formato 10 C – Vinculación de personas no beneficiarias de la pensión de vejez, familiar o sobrevivencia – (Empleador – Proponente)», mediante la cual certificará bajo la gravedad del juramento las personas vinculadas en su nómina y el número de trabajadores que no son beneficiarios de la pensión de vejez, familiar o de sobrevivencia y que cumplieron el requisito de edad de pensión. Solo se valdrá la vinculación de aquellas personas que se encuentren en las condiciones descritas y que hayan estado vinculadas con una anterioridad igual o mayor a un (1) año contado a partir de la fecha del cierre del Proceso de Contratación. Para los casos de constitución inferior a un (1) año, se tendrá en cuenta a aquellos que hayan estado vinculados desde el momento de la constitución de la persona jurídica. En caso de modificarse la fecha de cierre del proceso, se tendrá como referencia para establecer el plazo de vigencia del certificado la fecha originalmente contemplada en el Pliego de Condiciones definitivo.
El tiempo de vinculación en la planta referida de que trata el inciso anterior se acreditará con el certificado de aportes a la seguridad social del último año o del tiempo de constitución de la persona jurídica en caso de que esta sea inferior a un (1) año, en el que se demuestre los pagos realizados por el empleador.
En el caso de los Proponentes Plurales, su representante legal diligenciará el «Formato 10 C – Vinculación de personas no beneficiarias de la pensión de vejez, familiar o sobrevivencia – (Empleador – Proponente)», mediante el cual certifique el número de trabajadores vinculados que son personas no beneficiarias de la pensión de vejez, familiar o de sobrevivencia, y que cumplieron el requisito de edad de pensión establecido en la ley, de todos los integrantes del proponente. Las personas enunciadas anteriormente podrán estar vinculadas a cualquiera de sus integrantes.
En cualquiera de los dos supuestos anteriores, para el otorgamiento del criterio de desempate, cada uno de los trabajadores que cumpla las condiciones previstas por la ley diligenciará el «Formato 10 C – Vinculación de personas no beneficiarias de la pensión de vejez, familiar o sobrevivencia (Trabajador)», mediante el cual certifica bajo la gravedad de juramento que no es beneficiario de pensión de vejez, familiar o sobrevivencia, y cumple la edad de pensión; además, se deberá allegar el documento de identificación del trabajador que lo firma.
La mayor proporción se definirá en relación con el número total de trabajadores vinculados en la planta de personal, por lo que se preferirá al oferente que acredite un mayor porcentaje. En el caso de Proponentes Plurales, la mayor proporción se definirá con la sumatoria de trabajadores vinculados en la planta de personal de cada uno de sus integrantes.
5. Preferir la propuesta presentada por el oferente que acredite, que por lo menos el diez por ciento (10 %) de su nómina pertenece a población indígena, negra, afrocolombiana, raizal, palanquera, Rrom o gitana, para lo cual, la persona natural, el representante legal o el revisor fiscal, según corresponda, bajo la gravedad del juramento, diligenciará el «Formato 10D – Vinculación de población indígena, negra, afrocolombiana, raizal, palenquera, Rrom o gitana» mediante el cual certifica las personas vinculadas a su nómina y el número de identificación y el nombre de las personas que pertenecen a la población indígena, negra, afrocolombiana, raizal, palanquera, Rrom o gitana. Solo se tendrá en cuenta aquellas personas que hayan estado vinculadas con una anterioridad igual o mayor a un (1) año contado a partir de la fecha del cierre del proceso. Para los casos de constitución inferior a un (1) año, se valdrá a aquellos que hayan estado vinculados desde el momento de la constitución de la persona jurídica. En caso de modificarse la fecha de cierre del proceso, se tendrá como referencia para establecer el plazo de vigencia del certificado la fecha originalmente contemplada en el Pliego de Condiciones definitivo.
El tiempo de vinculación en la planta referida de que trata el inciso anterior se acreditará con el certificado de aportes a seguridad social en el que se demuestren los pagos realizados por el empleador en el último año contado a partir de la fecha del cierre del proceso o del tiempo de su constitución cuando esta es inferior a un (1) año.
Además, deberá aportar la copia de la certificación expedida por el Ministerio del Interior en la cual acredite que los trabajadores pertenecen a la población indígena, negra, afrocolombiana, raizal, palenquera, Rrom o gitana en los términos del Decreto Ley 2893 de 2011, o la norma que lo modifique, sustituya o complemente.
En el caso de los Proponentes Plurales, su representante legal diligenciará el «Formato 10 D – Vinculación de población indígena, negra, afrocolombiana, raizal, palenquera, Rrom o gitana», mediante el cual certifica que por lo menos el diez por ciento (10 %) del total de la nómina de sus integrantes pertenece a población indígena, negra, afrocolombiana, raizal, palanquera, Rrom o gitana. Este porcentaje se definirá de acuerdo con la sumatoria de la nómina de cada uno de los integrantes del Proponente Plural. Las personas enunciadas anteriormente podrán estar vinculadas a cualquiera de sus integrantes. En todo caso, deberá aportar la copia de la certificación expedida por el Ministerio del Interior, en la cual acredite que el trabajador pertenece a la población indígena, negra, afrocolombiana, raizal, palenquera, Rrom o gitana en los términos del Decreto Ley 2893 de 2011, o la norma que lo modifique, sustituya o complemente.
Debido a que para el otorgamiento de este criterio de desempate se entregan certificados que contienen datos sensibles, de acuerdo con el artículo 5o de la Ley 1581 de 2012 o la norma que lo modifique, aclare, adicione o sustituya, se requiere que el titular de la información de estos, como son las personas que pertenecen a la población indígena, negra, afrocolombiana, raizal, palenquera, Rrom o gitana, en los términos del literal a) del artículo 6o de la Ley 1581 de 2012, diligencien el «Formato 11- Autorización para el tratamiento de datos personales» mediante el cual autoriza de manera previa y expresa el tratamiento de la información, como requisito para el otorgamiento del criterio de desempate.
6. Preferir la propuesta de personas naturales en proceso de reintegración o reincorporación para lo cual presentará copia de alguno de los siguientes documentos: i) la certificación en las desmovilizaciones colectivas que expida la Oficina del Alto Comisionado para la Paz, ii) el certificado que emita el Comité Operativo para la Dejación de las Armas respecto de las personas desmovilizadas en forma individual, iii) el certificado que emita la Agencia para la Reincorporación y la Normalización que acredite que la persona se encuentra en proceso de reincorporación o reintegración o iv) cualquier otro certificado que para el efecto determine la Ley. Además, se entregará copia del documento de identificación de la persona en proceso de reintegración o reincorporación.
En el caso de las personas jurídicas, el representante legal o el revisor fiscal, si están obligados a tenerlo, diligenciarán el «Formato 10 E- Participación mayoritaria de personas en proceso de reincorporación y/o reintegración (personas jurídicas)», por medio del cual certificarán bajo la gravedad de juramento que más del cincuenta por ciento (50 %) de la composición accionaria o cuotas partes de la persona jurídica está constituida por personas en proceso de reintegración o reincorporación. Además, deberá aportar alguno de los certificados del inciso anterior, junto con los documentos de identificación de cada una de las personas que está en proceso de reincorporación o reintegración.
Tratándose de Proponentes Plurales, se preferirá la oferta cuando todos los integrantes sean personas en proceso de reincorporación, para lo cual se entregará alguno de los certificados del inciso primero de este numeral, y/o personas jurídicas donde más del cincuenta por ciento (50 %) de la composición accionaria o cuotas partes esté constituida por personas en proceso de reincorporación, para lo que el representante legal, o el revisor fiscal, si está obligado a tenerlo, diligenciarán, bajo la gravedad del juramento, el «Formato 10 E - Participación mayoritaria de personas en proceso de reincorporación (personas jurídica integrante del Proponente Plural)», y aportará los documentos de identificación de las personas en proceso de reincorporación.
Debido a que para el otorgamiento de este criterio de desempate se entregan certificados que contienen datos sensibles, de acuerdo con el artículo 5o de la Ley 1581 de 2012 o la norma que lo modifique, aclare, adicione o sustituya, se requiere que el titular de la información, como son las personas en proceso de reincorporación o reintegración, en los términos del literal a) del artículo 6o de la Ley 1581 de 2012, diligencien el «Formato 11- Autorización para el tratamiento de datos personales» mediante el cual autoriza de manera previa y expresa el tratamiento de la información, como requisito para el otorgamiento del criterio de desempate.
7. Preferir la oferta presentada por un Proponente Plural siempre que se cumplan las condiciones de los siguientes literales:
(a) Esté conformado por al menos una madre cabeza de familia y/o una persona en proceso de reincorporación o reintegración, para lo cual se acreditarán estas condiciones de acuerdo con lo previsto en el inciso 1 del numeral 2 y/o el inciso 1 del numeral 6, de los criterios de desempate del presente Pliego de Condiciones; o por una persona jurídica en la cual participe o participen mayoritariamente madres cabeza de familia y/o personas en proceso de reincorporación o reintegración, para lo cual el representante legal o el revisor fiscal, si están obligados a tenerlo, diligenciará el «Formato 10 F – Participación mayoritaria de mujeres cabeza de familia y/o personas en proceso de reincorporación o reintegración (personas jurídicas)», mediante el cual certifica, bajo la gravedad de juramento, que más del cincuenta por ciento (50 %) de la composición accionaria o cuota parte de la persona jurídica está constituida por madres cabeza de familia y/o personas en proceso de reincorporación o reintegración. Además, deberá acreditar la condición indicada de las personas que participe en la sociedad que sean mujeres cabeza de familia y/o personas en proceso de reincorporación o reintegración, allegando los documentos de cada uno de ellos, de acuerdo con lo previsto en este literal. Este integrante debe tener una participación de por lo menos el veinticinco por ciento (25 %) en el Proponente Plural.
(b) el integrante del Proponente Plural de que trata el anterior literal debe aportar mínimo el veinticinco por ciento (25 %) de la experiencia acreditada en la oferta.
(c) en relación con el integrante del literal a) ni la madre cabeza de familia o la persona en proceso de reincorporación o reintegración, ni la persona jurídica, ni sus accionistas, socios o representantes legales podrán ser empleados, socios o accionistas de otro de los integrantes del Proponente Plural, para lo cual el integrante persona natural o el representante legal de la persona jurídica de que trata el literal a) lo manifestará diligenciando el «Formato 10 F Participación mayoritaria de mujeres cabeza de familia y/o personas en proceso de reincorporación y/o reintegración».
Debido a que para el otorgamiento de este criterio de desempate se entregan certificados que contienen datos sensibles, de acuerdo con el artículo 5o de la Ley 1581 de 2012 o la norma que lo modifique, aclare, adiciona o sustituya, se requiere que el titular de la información, como son las personas en proceso de reincorporación y/o reintegración, en los términos del literal a) del artículo 6o de la Ley 1581 de 2012, diligencien el «Formato 11- Autorización para el tratamiento de datos personales» mediante el cual autoriza de manera previa y expresa el tratamiento de esta información, como requisito para el otorgamiento del criterio de desempate.
8. Preferir la oferta presentada por una Mipyme, lo cual se verificará en los términos del parágrafo del artículo 2.2.1.2.4.2.4 del Decreto 1082 de 2015, en concordancia con el parágrafo del artículo 2.2.1.13.2.4 del Decreto 1074 de 2015. En este sentido, el tamaño empresarial se acreditará con la copia del certificado del Registro Único de Proponentes, el cual deberá encontrarse vigente y en firme al momento de su presentación
Asimismo, se preferirá la oferta presentada por una cooperativa o asociaciones mutuales para lo cual se aportará el certificado de existencia y representación legal expedido por la cámara de comercio o la autoridad respectiva. En el caso específico en que el empate se presente entre cooperativas o asociaciones mutuales que tengan el tamaño empresarial de grandes empresas junto con micro, pequeñas o medianas, se preferirá la oferta de las cooperativas o asociaciones mutuales que cumplan con los criterios de clasificación empresarial definidos por el Decreto 1074 de 2015 o la norma que lo modifique, aclare, adicione o sustituya, que sean micro, pequeñas o medianas.
Tratándose de Proponentes Plurales, se preferirá la oferta cuando cada uno de los integrantes acredite alguna de las condiciones señaladas en los incisos anteriores de este numeral. En el evento en que se presente empate entre Proponentes Plurales cuyos integrantes estén conformados únicamente por cooperativas y asociaciones mutuales que tengan la calidad de grandes empresas junto con otras en las que los integrantes tengan la condición de micro, pequeñas o medianas, se preferirá la oferta de aquellos Proponentes Plurales en los cuales al menos uno de sus integrantes sea una cooperativa o asociación mutual que cumpla con los criterios de clasificación empresarial definidos por el Decreto 1074 de 2015 o la norma que lo modifique, aclare, adicione o sustituya, que sean micro, pequeñas o medianas.
9. Preferir la oferta presentada por el Proponente Plural constituido en su totalidad por micro y/o pequeñas empresas, cooperativas o asociaciones mutuales.
La condición de micro o pequeña empresa se verificará en los términos del artículo 2.2.1.2.4.2.4 del Decreto 1082 de 2015, en concordancia con el parágrafo del artículo 2.2.1.13.2.4 del Decreto 1074 de 2015, esto es, la acreditación del tamaño empresarial se acreditará con la copia del certificado del Registro Único de Proponentes, el cual deberá encontrarse vigente y en firme al momento de su presentación.
La condición de cooperativa o asociación mutual se acreditará con el certificado de existencia y representación legal expedido por la cámara de comercio o la autoridad respectiva. En el evento en que el empate se presente entre Proponentes Plurales cuyos integrantes estén conformados únicamente por cooperativas y asociaciones mutuales que tengan la calidad de grandes empresas junto con otras en las que los integrantes tengan la calidad de micro, pequeñas o medianas, se preferirá la oferta de aquellos Proponentes Plurales en los cuales al menos uno de sus integrantes sea una cooperativa o asociación mutual que cumpla con los criterios de clasificación empresarial definidos por el Decreto 1074 de 2015 o la norma que lo modifique, aclare, adicione o sustituya, que sean micro, pequeñas o medianas.
10. Preferir al oferente persona natural o jurídica que acredite, de acuerdo con sus estados financieros o información contable con corte al 31 de diciembre del año anterior, que por lo menos el veinticinco por ciento (25 %) del total de sus pagos fueron realizados a Mipyme, cooperativas o asociaciones mutuales por concepto de proveeduría del oferente, efectuados durante el año anterior, para lo cual el Proponente persona natural y contador público; o el representante legal de la persona jurídica y el revisor fiscal para las personas obligadas por ley; o del representante legal de la persona jurídica y contador público, según corresponda, diligenciará bajo la gravedad de juramento el «Formato 10 G- Pagos realizados a Mipyme, cooperativas o asociaciones mutuales», en el que conste que por lo menos el veinticinco por ciento (25%) del total de pagos fueron realizados a Mipyme, cooperativas o asociaciones mutuales.
Igualmente, cuando la oferta es presentada por un Proponente Plural se preferirá a este siempre que:
(a) esté conformado por al menos una Mipyme, cooperativa o asociación mutual que tenga una participación de por lo menos el veinticinco por ciento (25 %) en el Proponente Plural, para lo cual se presentará el documento de conformación del Proponente Plural y, además, ese integrante acredite la condición de Mipyme, cooperativa o asociación mutual en los términos del numeral 8;
(b) la Mipyme, cooperativa o asociación mutual aporte mínimo el veinticinco por ciento (25 %) de la experiencia acreditada en la oferta; y
(c) ni la Mipyme, cooperativa o asociación mutual ni sus accionistas, socios o representantes legales sean empleados, socios o accionistas de los integrantes del Proponente Plural, para lo cual el integrante respectivo lo manifestará diligenciando el «Formato 10 H – Acreditación Mipyme», suscrito por la persona natural o el representante legal de la persona jurídica.
En el evento en que el empate se presente entre Proponentes Plurales, que cumplan con los requisitos de los incisos anteriores, cuyos integrantes estén conformados únicamente por cooperativas y asociaciones mutuales que tengan la calidad de grandes empresas junto con otras en las que los integrantes tengan la condición de micro, pequeñas o medianas, se preferirá la oferta de aquellos Proponentes Plurales en los cuáles al menos uno de sus integrantes sea una cooperativa o asociación mutual que cumpla con los criterios de clasificación empresarial definidos por el Decreto 1074 de 2015, que sean micro, pequeñas o medianas.
11. Preferir las empresas reconocidas y establecidas como Sociedad de Beneficio e Interés Colectivo o Sociedad BIC, del segmento Mipyme, para lo cual se presentará el certificado de existencia y representación legal en el que conste el cumplimiento de los requisitos del artículo 2o de la Ley 1901 de 2018, o la norma que la modifique o la sustituya. Asimismo, acreditará la condición de Mipyme en los términos del numeral 8.
Tratándose de Proponentes Plurales, se preferirá la oferta cuando cada uno de los integrantes acredite las condiciones señaladas en el inciso anterior de este numeral.
12. Si después de aplicar los criterios anteriormente mencionados persiste el empate:
(a) La Entidad ordenará a los proponentes empatados en orden alfabético según el nombre completo de la persona natural, la persona jurídica o el proponente plural. En caso de que dos o más proponentes tengan el mismo nombre se colocará primero en el orden a quienes hayan presentado primero en el tiempo sus ofertas. Una vez ordenados, le asignará un número entero a cada uno de estos de forma ascendente, de tal manera que al primero de la lista le corresponda el 1.
(b) Seguidamente, la Entidad debe tomar la parte entera (números a la izquierda de la coma decimal) de la TRM que rigió el día del cierre del proceso. La Entidad Estatal debe dividir esta parte entera entre el número total de Proponentes en empate, para posteriormente tomar su residuo y utilizarlo en la selección final.
(c) Realizados estos cálculos, la Entidad seleccionará a aquel Proponente que presente coincidencia entre el número asignado y el residuo encontrado. En caso de que el residuo sea cero (0), se escogerá al Proponente con el mayor número asignado.
Nota 1: Los factores de desempate deberán aplicarse en armonía con los Acuerdos Comerciales vigentes suscritos por Colombia. De esta manera, en el evento en que el empate se presente entre ofertas cubiertas por un Acuerdo Comercial, se aplicarán los factores de desempate que sean compatibles con los mencionados Acuerdos.
Nota 2: Si el empate entre las propuestas se presenta con un Proponente, bien o servicio extranjero cuyo país de origen no tiene Acuerdo Comercial con Colombia, ni trato nacional por reciprocidad o con ocasión de la normativa comunitaria, se dará aplicación a todos los criterios de desempate previstos en el presente numeral.
Nota 3: Conforme con el artículo 18 de la Ley 1712 de 2014 y los artículos 5o y 6o de la Ley 1581 de 2012, la Entidad garantizará el derecho a la reserva legal de toda aquella información que acredita el cumplimiento de los factores de desempate de: i) las mujeres víctimas de violencia intrafamiliar, ii) las personas en proceso de reincorporación y/o reintegración y iii) la población indígena, negra, afrocolombiana, raizal, palenquera, Rrom o gitana.
De acuerdo con lo anterior, en la plataforma del SECOP no se publicará la información relacionada con los factores de desempate de personas en procesos de reincorporación o reintegración o mujeres víctimas de violencia intrafamiliar o la población indígena, negra, afrocolombiana, raizal, palenquera, Rrom o gitana, puesto que su público conocimiento puede afectar el derecho a la intimidad de los oferentes o de sus trabajadores o socios o accionistas.
Nota 4: Para efectos de los factores de desempate dispuestos en este numeral, se entiende por experiencia acreditada en la oferta, la sumatoria de los contratos que demuestren la experiencia general de la actividad principal, expresados en salarios mínimos mensuales legales vigentes (SMMLV).
ARTÍCULO 158. – MODIFÍQUESE LA CLÁUSULA 9 OBLIGACIONES GENERALES DEL CONTRATISTA DE LOS DOCUMENTOS TIPO DE LICITACIÓN DE OBRA PÚBLICA DE INFRAESTRUCTURA SOCIAL. Modifíquese la cláusula 9 Obligaciones Generales del Contratista del Anexo 4 – Minuta del Contrato de los documentos tipo de licitación de obra pública de infraestructura social adoptados mediante la Resolución 219 de 2021, en los siguientes términos:
“9. OBLIGACIONES GENERALES DEL CONTRATISTA
Además de las derivadas de la esencia y la naturaleza del contrato, la ley, las obligaciones y condiciones señaladas en el Pliego de Condiciones y demás Documentos del Proceso y de las establecidas en [documento adicional aplicable al Proceso de Contratación], vigente durante la ejecución del contrato, el Contratista se obliga a:
1.Destinar a la ejecución del contrato mano de obra no calificada de la región en un porcentaje no inferior [la Entidad establecerá el porcentaje mínimo dentro del rango del diez por ciento (10%) al treinta por ciento (30%), sin perjuicio de que el contratista incorpore un porcentaje superior al definido por la Entidad] de acuerdo con el personal del contratista de obra destinado a la ejecución del contrato. En todo caso, [el cinco por ciento (5%) sin perjuicio de establecer un porcentaje superior, de acuerdo con el estudio del sector y características propias de la región, que no podrá superar el treinta por ciento (30%)] de la mano de obra no calificada de la región serán mujeres.
Para efectos de esta obligación, se entiende por personal de la región a aquellos domiciliados por al menos el último año, contado a partir de la fecha del cierre del proceso, en el municipio o los municipios donde se ejecutará el contrato. En caso de modificarse la fecha de cierre del proceso, se tendrá como referencia la fecha originalmente contemplada en el Pliego de Condiciones definitivo.
Cuando las condiciones demográficas del lugar en donde se ejecutará el contrato imposibiliten vincular el porcentaje anteriormente previsto, será posible contratar personal del departamento en donde se desarrolla el contrato.
Esta obligación no se entenderá incumplida en los supuestos en que el Contratista acredite su debida diligencia, mediante la realización de actuaciones dirigidas a lograr la destinación mínima del personal requerido para la ejecución del contrato.
2. [Previo análisis de oportunidad y conveniencia que se plasmará en los Documentos del Proceso, la Entidad Estatal incluirá la siguiente obligación]. Destinar a la ejecución del contrato en un porcentaje del [la Entidad establecerá el porcentaje mínimo dentro del rango de cinco por ciento (5%) al diez por ciento (10%) sin perjuicio de que el contratista incorpore un porcentaje superior al definido por la Entidad], la provisión de bienes o servicios por parte de alguno o algunos de los siguientes sujetos: población en pobreza extrema, desplazados por la violencia, personas en proceso de reintegración o reincorporación y sujetos de especial protección constitucional: víctimas de conflicto armado interno, mujeres cabeza de hogar, los adultos mayores, las personas en condición de discapacidad, así como la población de las comunidades indígena, negra, afrocolombiana, raizal, palanquera, Rrom o gitana, entre otros definidos así por la Ley o la jurisprudencia, de esta manera.
El porcentaje de sujetos mencionados incorporados a la ejecución del contrato deberán mantenerse durante toda su vigencia en el porcentaje mínimo establecido en este numeral, so pena del incumplimiento contractual.
El Interventor, hará el seguimiento y verificará que las personas vinculadas al inicio y durante la ejecución del contrato pertenezcan a los grupos poblacionales enunciados anteriormente. Para estos efectos, el contratista presentará la documentación respectiva que acredita la condición de los sujetos mencionados incorporados a la ejecución del contrato y la forma en la que participarán durante la ejecución del contrato. El cumplimiento de esta obligación deberá probarse ante el Interventor dentro de los [incluir el número de días] días hábiles siguientes contados a partir de [punto de inicio].
Para la acreditación de la condición de mujer cabeza de familia, personas en condición de discapacidad, adultos mayores, población de las comunidades indígena, negra, afrocolombiana, raizal, palanquera, Rrom o gitana, personas en proceso de reintegración o reincorporación, se aplicará en lo pertinente lo dispuesto en el artículo 2.2.1.2.4.2.17 del Decreto 1082 de 2015 o la norma que lo modifique, complemente o sustituya. Por su parte, la condición de población en pobreza extrema se constatará en las bases de datos del Sistema de Identificación de Potenciales Beneficiarios de Programas Sociales (Sisbén IV) y la condición de víctima de conflicto armado y de desplazados por la violencia deberá demostrarse con el certificado de inclusión en el Registro Único de Víctimas – RUV, en los términos del Decreto 1084 de 2015 o la norma que lo modifique, complemente o sustituya.
La condición de los sujetos de especial protección constitucional que no se encuentre definida en esta cláusula deberá ser acreditada por el contratista de conformidad con lo determinado por la Ley y la jurisprudencia en ausencia de norma aplicable.
[La Entidad podrá seleccionar algunas de las siguientes opciones de obligaciones, combinarlas, eliminarlas o incluir las que considere convenientes, ajustando la numeración respectiva:]
[…]”
ARTÍCULO 159. – MODIFÍQUESE LA CLÁUSULA 15 MULTAS DEL CONTRATO DE LOS DOCUMENTOS TIPO DE LICITACIÓN DE OBRA PÚBLICA DE INFRAESTRUCTURA SOCIAL. Modifíquese parcialmente la cláusula 15 Multas del Anexo 4 – Minuta del Contrato de los documentos tipo de licitación de obra pública de infraestructura social, adoptados mediante la Resolución 219 de 2021. Estas modificaciones corresponden a las obligaciones 1 y 2 de la cláusula novena en los siguientes términos:
“CLÁUSULA 15. MULTAS
[…]
1. Incumplir la obligación de destinar mínimamente el [la Entidad establecerá el porcentaje mínimo definido en el numeral 1 de la Cláusula 9 del presente contrato] de mano de obra no calificada de la región causará multas equivalentes a [_____ SMMLV ó % del contrato] por cada día de incumplimiento. Por su parte, no cumplir con el porcentaje mínimo de vinculación de mujeres durante la ejecución del contrato, de conformidad con la misma obligación indicada, causará multas equivalentes al [1% del valor total del contrato].
2. [La Entidad Estatal incluirá esta multa si del análisis de conveniencia y oportunidad decide incluir la obligación relacionada con la provisión de bienes y servicios por parte de sujetos de especial protección constitucional] 1. Incumplir la obligación de destinar mínimamente el [la Entidad establecerá el porcentaje mínimo definido en el numeral 2 de la Cláusula 9 del presente contrato] de la provisión de bienes o servicios por parte de alguno o alguno de siguientes sujetos: población en pobreza extrema, desplazados por la violencia, personas en proceso de reintegración o reincorporación y sujetos de especial protección constitucional mencionados en el numeral 2 de la Cláusula 9 del presente contrato, causará multas equivalentes a [______ SMMLV] por cada día de incumplimiento. La imposición de esta multa no procederá en aquellos casos en que dicha obligación se hace imposible de cumplir o de ejecutar por causas no imputables al contratista, que deberá probarse debidamente a la Entidad Estatal.
[….]
ARTÍCULO 160. – MODIFÍQUESE EL NUMERAL 2.9 DE LOS DOCUMENTOS TIPO DE LICITACIÓN DE OBRA PÚBLICA DE INFRAESTRUCTURA SOCIAL. Modifíquese el numeral 2.9 – Limitación a Mipyme de los documentos tipo de licitación de obra pública de infraestructura social adoptados mediante la Resolución 219 de 2021, en los siguientes términos:
“2.9. LIMITACIÓN A MIPYME
[En caso de que el proceso no sea susceptible de limitarse a Mipyme, la Entidad señalará lo siguiente en este numeral: el presente procedimiento de selección no es susceptible de limitarse a Mipyme.
En caso de que el proceso sea susceptible de limitarse a Mipyme, una vez cumplidos los requisitos del artículo 2.2.1.2.4.2.2. del Decreto 1082 de 2015, o la norma que lo modifique, complemente o sustituya, se seguirán las siguientes instrucciones:]
La Entidad adaptará este numeral dependiendo al momento del Proceso de Contratación en el cual se encuentre]:
[En el Proyecto de Pliego de Condiciones se incluirá lo siguiente:]
[Para los procesos adelantados en el SECOP I se incluirá el siguiente texto:] El interesado persona natural o el representante legal de la persona jurídica manifestará mediante un escrito la intención de limitar la convocatoria del Proceso de Contratación a Mipyme, el cual será remitido a [dirección de la Entidad e identificación de la oficina donde se debe radicar] en [nombre de la ciudad o municipio] de [lunes al último día de atención en la semana] entre [horario de atención al público]. Asimismo, podrá enviarlo por medios electrónicos al siguiente correo electrónico: [la Entidad diligenciará el correo electrónico dispuesto].
[En esta sección, la Entidad podrá definir si es procedente alguna limitación territorial y las condiciones bajo las cuales procedería para lo cual podrá modificar este apartado estableciendo la regulación correspondiente. En este escrito, el interesado persona natural o el representante legal del interesado persona jurídica manifestará si la intención es que la limitación sea a Mipyme nacionales o territorial, de acuerdo con las reglas definidas en el proyecto de Pliego de Condiciones.]
De igual manera, los interesados deberán acreditar el cumplimiento de los demás requisitos definidos en el artículo 2.2.1.2.4.2.4 del Decreto 1082 de 2015 o la norma que lo modifique, sustituya o complemente, para lo cual diligenciarán el Formato 14 – Acreditación de Mipyme y aportarán los soportes requeridos para que proceda la limitación de la convocatoria a Mipyme. En caso de que la condición de Mipyme se acredite mediante la presentación del RUP, en los términos establecidos en el artículo 2.2.1.2.4.2.4 del Decreto 1082 de 2015, no será necesario presentar el formato indicado.
Para los procesos adelantados en el SECOP II se incluirá el siguiente texto:] Los interesados manifestarán su intención de limitar las convocatorias a Mipyme en la sección mensajes o en el módulo dispuesto en la plataforma del SECOP II. Asimismo, los interesados deberán demostrar el cumplimiento de los demás requisitos definidos en el artículo 2.2.1.2.4.2.4 del Decreto 1082 de 2015 o la norma que lo modifique, sustituya o complemente, para cual diligenciarán el Formato 14 – Acreditación de Mipyme y aportarán los soportes requeridos para que proceda la limitación de la convocatoria a Mipyme. En caso de que la condición de Mipyme se acredite mediante la presentación del RUP, en los términos establecidos en el artículo 2.2.1.2.4.2.4 del Decreto 1082 de 2015, no será necesario presentar el formato indicado.
[En el Pliego de Condiciones definitivo se incluirá lo siguiente:]
[Para los procesos adelantados en el SECOP I, la Entidad, en atención a las solicitudes realizadas por los interesados para limitar la convocatoria a Mipyme, incluirá alguna de las dos (2) opciones:]
[Sí procede la limitación de las convocatorias del Proceso de Contratación a Mipyme] La Entidad limita la convocatoria de este Proceso de Contratación a las Mipyme colombianas por haberse verificado las condiciones establecidas en los artículos 2.2.1.2.4.2.2. y 2.2.1.2.4.2.4 del Decreto 1082 de 2015 o la norma que lo modifique, complemente o sustituya. [En todo caso, la Entidad en esta sección determinará si la limitación es territorial en los términos del artículo 2.2.1.2.4.2.3. del Decreto 1082 de 2015 y las reglas establecidas en el proyecto de Pliego de Condiciones]]
[Si no procede la limitación de las convocatorias del Proceso de Contratación a Mipyme, la Entidad incluirá lo siguiente] La Entidad no limita el Proceso de Contratación a las Mipyme colombianas por no haberse cumplido las condiciones establecidas en los artículos 2.2.1.2.4.2.2. y 2.2.1.2.4.2.4 del Decreto 1082 de 2015, o la norma que lo modifique, complemente o sustituya. En consecuencia, podrá participar cualquier interesado.
[Para los procesos adelantados en el SECOP II, la Entidad, en atención a las solicitudes realizadas por los interesados para limitar la convocatoria a Mipyme, incluirá la limitación del Proceso de Contratación a Mipyme en el espacio dispuesto por la plataforma del SECOP II.]
ARTÍCULO 161. – MODIFÍQUENSE LOS LITERALES B) Y BB) E INCLÚYASE EL LITERAL CC) AL NUMERAL 1.15 DE LOS DOCUMENTOS TIPO DE LICITACIÓN DE OBRA PÚBLICA DE INFRAESTRUCTURA SOCIAL. Modifíquense los literales B) y BB) e inclúyase el literal CC) al numeral 1.15 de los documentos tipo de licitación de obra pública de infraestructura social adoptados mediante la Resolución 219 de 2021, en los siguientes términos:
“1.15 CAUSALES DE RECHAZO
[…]
B. Cuando una misma persona natural o jurídica, o integrante de un Proponente Plural presente o haga parte en más de una propuesta para el Proceso de Contratación.
[Cuando el proceso se estructure por lotes o por grupos reemplazar por el siguiente texto: Cuando una misma persona natural o jurídica, o integrante de un Proponente Plural presente o haga parte en más de una propuesta para el mismo lote o grupo de este Proceso de Contratación].
[...]
BB. [Incluir cuando la convocatoria del Proceso de Contratación esté limitada a Mipyme] Cuando el que presenta oferta o alguno de los miembros del Proponente Plural no acredita la condición de Mipyme y, en consecuencia, no entrega el RUP vigente y en firme al momento de su presentación, y no subsana su entrega, en los términos del numeral 1.6.
CC. Las demás previstas en la ley”.
ARTÍCULO 162. – MODIFÍQUESE EL LITERAL C DEL NUMERAL 2.10 DE LOS DOCUMENTOS TIPO DE LICITACIÓN DE OBRA PÚBLICA DE INFRAESTRUCTURA SOCIAL. Modifíquese el literal C) del numeral 2.10 – Reglas para los procesos estructurados por lotes o por grupos de los documentos tipo de licitación de obra pública de infraestructura social adoptados mediante la Resolución 219 de 2021, en los siguientes términos:
“C. Para acreditar la experiencia el Proponente podrá aportar mínimo uno (1) y máximo cinco (5) contratos para cada uno de los lotes o grupos o podrá allegar los mismos para todos o varios de ellos, sin perjuicio de lo previsto en las reglas de los criterios diferenciales por ser Mipyme y/o emprendimientos y empresas de mujeres en cuanto a los requisitos habilitantes relacionados con el número de contratos aportados para demostrar la experiencia solicitada. En la verificación del número de contratos frente al Presupuesto Oficial, el valor mínimo se certificará de acuerdo con al valor del Presupuesto Oficial del respectivo lote o grupo expresado en SMMLV.”
ARTÍCULO 163. – MODIFÍQUESE EL LITERAL F NUMERAL 3.3.3 DE LOS DOCUMENTOS TIPO DE LICITACIÓN DE OBRA PÚBLICA DE INFRAESTRUCTURA SOCIAL. Modifíquese el literal F) del numeral 3.3.3 – Proponentes Plurales de los documentos tipo de licitación de obra pública de infraestructura social adoptados mediante la Resolución 219 de 2021, en los siguientes términos:
F. En la etapa contractual no podrán modificarse los porcentajes de participación sin el consentimiento previo de la Entidad. En todo caso, en la etapa precontractual no será posible modificar los porcentajes de los integrantes del Proponente Plural después de la fecha del cierre del Proceso de Contratación. Cualquier modificación en los porcentajes de los integrantes será ineficaz y, por tanto, carecerá de efecto.
ARTÍCULO 164. – MODIFÍQUESE EL NUMERAL 3.5.6 DE LOS DOCUMENTOS TIPO DE LICITACIÓN DE OBRA PÚBLICA DE INFRAESTRUCTURA SOCIAL. Modifíquese el numeral 3.5.6 Para Subcontratos de los documentos tipo de licitación de obra pública de infraestructura social adoptados mediante la Resolución 219 de 2021, en los siguientes términos:
“3.5.6 PARA SUBCONTRATOS
Para acreditar la experiencia de subcontratos, cuyo contrato principal fue suscrito con particulares, se aplicarán las disposiciones establecidas en el numeral anterior.
Para acreditar la experiencia de los contratos derivados de contratos suscritos con Entidades Estatales el Proponente deberá aportar los documentos que se enlistan a continuación:
A. Certificación del subcontrato. Certificación expedida con posterioridad a la fecha de terminación del subcontrato, la cual deberá estar suscrita por el representante legal del contratista del contrato principal, del Concesionario, o del EPC o Consorcio Constructor. Así mismo, debe contener la información requerida en el Pliego de Condiciones para efectos de la acreditación de la experiencia.
B. Certificación expedida por la Entidad Estatal del contrato principal del cual se derivó el subcontrato. Esta certificación debe contener la información básica del contrato principal y la siguiente:
I. Alcance de las obras ejecutadas en el contrato principal.
II. Información en la cual se evidencie que la figura de la subcontratación es permitida en el marco del contrato principal. En caso de que no requiera autorización para subcontratar, el Proponente podrá aportar con su propuesta alguno de los siguientes documentos que den cuenta de esa circunstancia: i) copia del contrato o ii) certificación emitida por la Entidad Estatal, donde acredite que para subcontratar no se requería autorización.
La información solicitada en el literal B únicamente se exige en relación con el contrato principal suscrito con la Entidad Estatal.
En caso de que se presenten varios niveles de subcontratación, las reglas de los literales A y B aplicarán hasta el primer nivel de subcontratación. Para los siguientes niveles de subcontratación, la acreditación de la experiencia se realizará con las disposiciones establecidas en el numeral anterior. Para estos efectos, entiéndase el primer nivel de subcontratación como aquel contrato suscrito entre particulares, cuyo contrato principal del cual se deriva directamente, es el contrato estatal firmado entre una Entidad Estatal y un particular.
Cuando el contratista directo y el subcontratista presenten ofertas en un mismo Proceso de Contratación, la experiencia derivada de las actividades subcontratadas solo pertenecerá al subcontratista. En este contexto, el contratista directo no podrá acreditar dichas actividades, por lo que no serán tenidas en cuenta para la verificación de la experiencia.
Los Proponentes deberán advertir a la Entidad cuando en otros procesos, el contratista directo hubiera certificado que, dentro de su contrato, se llevó a cabo la subcontratación, por cuanto tales actividades no serán tenidas en cuenta para efectos de acreditación de experiencia del contratista directo. Para tal fin, deberán informar a la Entidad, mediante comunicación escrita, indicando el proceso en el cual el contratista certificó la respectiva subcontratación.
La obligación de informar las situaciones de subcontratación estará en cabeza de los Proponentes y de ninguna manera dicha carga será de la Entidad. En aquellos casos en los que el Proponente no advierta tal situación, la Entidad no tendrá responsabilidad alguna por cuanto no fue avisada. En ese caso, el contrato se contabilizará como un todo y no se tendrá en cuenta lo relacionado con la subcontratación.
Cuando la Entidad haya sido advertida por alguno los Proponentes sobre situaciones de subcontratación, aplicará el numeral 1.11 del Pliego de Condiciones.”
ARTÍCULO 165. – MODÍFIQUESE EL LITERAL I) DEL REQUISITO «A. CAPACIDAD DE ORGANIZACIÓN (CO)» DEL NUMERAL 3.10.2 CÁLCULO DE LA CAPACIDAD RESIDUAL DEL PROPONENTE. Modifíquese el literal I) del requisito A. Capacidad de organización (CO) del numeral 3.10.2 Cálculo de la capacidad residual del proponente de los documentos tipo de licitación de obra pública de infraestructura social adoptados mediante la Resolución 219 de 2021, en los siguientes términos:
“3.10.2. CÁLCULO DE LA CAPACIDAD RESIDUAL EL PROPONENTE (CRP)
A. Capacidad de organización (CO):
[…]
Para acreditar el factor (CO) el proponente obligado a tener RUP debe presentar los siguientes documentos:
I. Estado de resultados integral (estado de resultado o pérdida o ganancias), del año en que hayan obtenido el mayor ingreso operacional en los últimos cinco (5) años, debidamente firmado por el representante legal y el contador bajo cuya responsabilidad se han preparado y por el revisor fiscal o, en caso de no haberlo, por no estar obligado a tenerlo, por contador público independiente, acompañados de su dictamen u opinión de conformidad con el artículo 38 de la Ley 222 de 1995”.
[…]
ARTÍCULO 166. – MODIFÍQUESE EL NUMERAL 4.1.2 DE LOS DOCUMENTOS TIPO DE LICITACIÓN DE OBRA PÚBLICA DE INFRAESTRUCTURA SOCIAL. Modifíquese el numeral 4.1.2 – Correcciones aritméticas del documento base de los documentos tipo de licitación de obra pública de infraestructura social adoptados mediante la Resolución 219 de 2021, en los siguientes términos:
“4.1.2. CORRECCIONES ARITMÉTICAS
La Entidad solo efectuará correcciones aritméticas originadas por:
A. Las operaciones aritméticas a que haya lugar en la propuesta económica, cuando exista un error que surja de un cálculo meramente aritmético cuando la operación ha sido erróneamente realizada.
B. El ajuste al peso ya sea por exceso o por defecto de los precios unitarios contenidos en la propuesta económica y del valor del IVA, así: cuando la fracción decimal del peso sea igual o superior a punto cinco (0.5) se aproximará por exceso al número entero siguiente del peso y cuando la fracción decimal del peso sea inferior a punto cinco (0.5) se aproximará por defecto al número entero.
La Entidad a partir del valor total corregido de las propuestas asignará el puntaje de conformidad con el proceso del numeral 4.1.4.”
ARTÍCULO 167. – MODIFÍQUESE EL NUMERAL 9.2 DE LOS DOCUMENTOS TIPO DE LICITACIÓN DE OBRA PÚBLICA DE INFRAESTRUCTURA SOCIAL. Modifíquese el numeral 9.2 - Formatos de los documentos tipo de licitación de obra pública de infraestructura social adoptados mediante la Resolución 219 de 2021, en los siguientes términos:
“9.2 FORMATOS
1. Formato 1 – Carta de presentación de la oferta
2. Formato 2 – Conformación de Proponente plural (Formato 2A- Consorcios) (Formato 2B- UT)
3. Formato 3 – Experiencia
4. Formato 4 – Capacidad financiera y organizacional
5. Formato 5 – Capacidad residual
6. Formato 6 – Pagos de seguridad social y aportes legales
7. Formato 7 – Factor de calidad
8. Formato 8 – Vinculación de personas con discapacidad
9. Formato 9 – Puntaje de Industria Nacional.
10. Formato 10 – Factores de desempate
11. Formato 11 – Autorización para el tratamiento de datos personales
12. Formato 12 – Factor de sostenibilidad técnico ambiental agregado.
13. Formato 13 – Acreditación de emprendimientos y empresas de mujeres
14. Formato 14 – Acreditación de Mipyme
ARTÍCULO 168. – MODIFÍQUESE EL FORMATO 3 DE LOS DOCUMENTOS TIPO DE LICITACIÓN DE OBRA PÚBLICA DE INFRAESTRUCTURA SOCIAL. Modifíquese el Formato 3 - Experiencia del documento base de los documentos tipo de licitación de obra pública de infraestructura social adoptados mediante la Resolución 219 de 2021. El modelo de este formato se adjunta como anexo (Anexo 45: Formato 3 - Experiencia).
ARTÍCULO 169. – MODIFÍQUESE EL FORMATO 10 DE LOS DOCUMENTOS TIPO DE LICITACIÓN DE OBRA PÚBLICA DE INFRAESTRUCTURA SOCIAL. Modifíquese el Formato 10 – Factores de desempate del documento base de los documentos tipo de licitación de obra pública de infraestructura social adoptados mediante la Resolución 219 de 2021. El modelo de este formato se adjunta como anexo (Anexo 46: Formato 10 – Factores de desempate).
ARTÍCULO 170. – MODIFÍQUESE EL FORMATO 11 DE LOS DOCUMENTOS TIPO DE LICITACIÓN DE OBRA PÚBLICA DE INFRAESTRUCTURA SOCIAL. Modifíquese el Formato 11 – Autorización para el tratamiento de datos personales de los documentos tipo de licitación de obra pública de infraestructura social adoptados mediante la Resolución 219 de 2021. El modelo de este formato se adjunta como anexo (Anexo 47: Formato 11 – Autorización para el tratamiento de datos personales).
ARTÍCULO 171. – INCLÚYASE EL FORMATO 13 A LOS DOCUMENTOS TIPO DE LOS DOCUMENTOS TIPO DE LICITACIÓN DE OBRA PÚBLICA DE INFRAESTRUCTURA SOCIAL. Inclúyase el Formato 13 – Acreditación de emprendimiento y empresa de mujeres a los documentos tipo de licitación de obra pública de infraestructura social adoptados mediante la Resolución 219 de 2021. El modelo de este formato se adjunta como anexo (Anexo 48: Formato 13 – Acreditación de emprendimientos y empresa de mujeres).
ARTÍCULO 172. – INCLÚYASE EL FORMATO 14 A LOS DOCUMENTOS TIPO DE LOS DOCUMENTOS TIPO DE LICITACIÓN DE OBRA PÚBLICA DE INFRAESTRUCTURA SOCIAL. Inclúyase el Formato 14 – Acreditación de Mipyme a los documentos tipo de licitación de obra pública de infraestructura social adoptados mediante la Resolución 219 de 2021. El modelo de este formato se adjunta como anexo (Anexo 49: el Formato 14 – Acreditación de Mipyme).
ARTÍCULO 173. – MODIFÍQUESE LA MATRIZ 1 – INDICADORES FINANCIEROS Y ORGANIZACIONALES DE LOS DOCUMENTOS TIPO DE LICITACIÓN DE OBRA PÚBLICA DE INFRAESTRUCTURA SOCIAL. Modifíquese la Matriz 1– Indicadores financieros y organizaciones de los documentos tipo de licitación de obra pública de infraestructura social adoptados mediante la Resolución 219 de 2021. El modelo de este formato se adjunta como anexo (Anexo 50: Matriz 1– Indicadores financieros y organizaciones).
ARTÍCULO 174. – MODIFÍQUESE LA MATRIZ – EXPERIENCIA SECTOR EDUCATIVO DE LOS DOCUMENTOS TIPO COMPLEMENTARIOS PARA LOS PROCESOS DE LICITACIÓN DE OBRA PÚBLICA DE INFRAESTRUCTURA SOCIAL RELACIONADOS CON EL SECTOR EDUCATIVO. Modifíquese el literal vi) de las reglas para definir la experiencia exigible en el proceso de contratación de la Matriz – Experiencia Sector Educativo de los documentos tipo complementarios para los procesos de licitación de obra pública de infraestructura social relacionados con el sector educativo adoptados mediante la Resolución 220 de 2021, en los siguientes términos:
vi) Cuando el objeto del proceso de contratación contemple la ejecución de dos o más “Actividades a Contratar” (ej.: 1.1 y 2.1), la entidad procederá de acuerdo con lo indicado en el Documento Base en relación con la combinación de experiencia.
ARTÍCULO 175. – MODIFÍQUESE LA MATRIZ – EXPERIENCIA SECTOR SALUD DE LOS DOCUMENTOS TIPO COMPLEMENTARIOS PARA LOS PROCESOS DE LICITACIÓN DE OBRA PÚBLICA DE INFRAESTRUCTURA SOCIAL RELACIONADOS CON EL SECTOR SALUD. Modifíquese el literal vi) de las reglas para definir la experiencia exigible en el proceso de contratación de la Matriz – Experiencia Sector Salud de los documentos tipo complementarios para los procesos de licitación de obra pública de infraestructura social relacionados con el sector salud adoptados mediante la Resolución 392 de 2021, en los siguientes términos:
“vi) Cuando el objeto del proceso de contratación contemple la ejecución de dos o más “Actividades a Contratar” (ej.: 1.1 y 2.1), la entidad procederá de acuerdo con lo indicado en el Documento Base en relación con la combinación de experiencia”.
ARTÍCULO 176. – MODIFÍQUESE LA MATRIZ – EXPERIENCIA SECTOR CULTURA, RECREACIÓN Y DEPORTE DE LOS DOCUMENTOS TIPO COMPLEMENTARIOS PARA LOS PROCESOS DE LICITACIÓN DE OBRA PÚBLICA DE INFRAESTRUCTURA SOCIAL RELACIONADOS CON EL SECTOR CULTURA, RECREACIÓN Y DEPORTE. Modifíquese el literal vi) de las reglas para definir la experiencia exigible en el proceso de contratación de la Matriz – Experiencia Sector Cultura, Recreación y Deporte de los documentos tipo complementarios para los procesos de licitación de obra pública de infraestructura social relacionados con el sector cultura, recreación y deporte adoptados mediante la Resolución 454 de 2021, en los siguientes términos:
“vi) Cuando el objeto del proceso de contratación contemple la ejecución de dos o más “Actividades a Contratar” (ej.: 1.1 y 2.1), la entidad procederá de acuerdo con lo indicado en el Documento Base en relación con la combinación de experiencia”.
ARTÍCULO 177. – MODIFÍQUESE EL PARÁGRAFO 1° AL ARTÍCULO 4 DE LA RESOLUCIÓN 219 DE 2021 POR LA CUAL SE ADOPTAN LOS DOCUMENTOS TIPO PARA LOS PROCESOS DE LICITACIÓN DE OBRA PÚBLICA DE INFRAESTRUCTURA SOCIAL. Modifíquese el parágrafo 1 al artículo 4o – Bienes o servicios adicionales a la obra pública de infraestructura social de la Resolución 219 de 2021 por la cual se adoptan los documentos tipo para los procesos de licitación de obra pública de infraestructura social, en los siguientes términos:
"Parágrafo 1o. En los casos que el objeto contractual incluya actividades que son abarcadas por otros Documentos, la Entidad Estatal aplicará las reglas de combinación de experiencia previstas en el numeral 3.5.1 del duumento base".
ARTÍCULO 178. MODIFÍQUESE EL ARTÍCULO 5 DE LA RESOLUCIÓN 219 POR LA CUAL SE ADOPTAN LOS DOCUMENTOS TIPO PARA LOS PROCESOS DE LICITACIÓN DE OBRA PÚBLICA DE INFRAESTRUCTURA SOCIAL. Modifiquese el artículo 5o - Proyectos que contengan la ejecución de objetos contractuales cobijados por otros documentos tipo de la Resolución 219 de 2021 por la cual se adoptan los documentos tipo para los procesos de licitación de obra pública de infraestructura social, en los siguientes términos:
"Artículo 5o. Proyectos que contengan la ejecucuón de objetos contractuales cobijados por otros documentos tipo: Cuando el objeto contractual incluya actividades de obra pública de infraestructura social, en conjunto con actividades cobijadas por otros Documentos Tipo, la Entidad deberá definir qué documentos tipo aplica dependiendo de la relevancia técnica del proyecto, impacto o el valor que representa en el presupuesto oficial
Teniendo en cuenta los criterios anteriores, la Entidad Estatal debe determinar cual documento tipo aplica. Esto sin perjuicio de que pueda utilizar las reglas de combinación de experiencia establecidas en esos documentos, siempre que ello resulte necesario con ocasión de las distintas actividades a ejecutar en el proceso de contratación, de conformidad con lo establecido en el parágrafo 1 del artículo 4 de está resolución
PARÁGRAFO. La Entidad Estatal justificará en el estudio previo las razones que soportan la escogencia de un determinado documento tipo"
ARTÍCULO 179. VIGENCIA. Esta resolución rige a partir de su publicación y aplicará a los Procesos de Contratación cuyo aviso de convocatoria se públique a partir del 29 de agosto de 2022.
Comuníquese y cúmplase.
Dada en Bogotá, D. C., a 24 de junio de 2022.
El Director General (e),
Jorge Augusto Tirado Navarro

LA INFORMACIÓN INCLUIDA EN ESTE FORMATO ES DE RESPONSABILIDAD DEL PROPONENTE
NOTA No. 1: Para cada Contrato se debe indicar la razón social de contratante, el número y/o objeto y si se ha ejecutado en forma individual (I), Consorcio (C), Unión Temporal (UT) o bajo cualquier otra modalidad de asociación y el porcentaje de participación.
NOTA No. 2: En el caso de Contratos suscritos en Consorcio, Unión Temporal u otra modalidad de asociación considerar lo establecido en el Pliego de Condiciones.
NOTA No. 3: Los valores consignados deben relacionarse en pesos colombianos realizando su conversión a SMMLV.
NOTA No. 4: Para la acreditación del criterio de experiencia se tomará únicamente hasta el máximo de Contratos definidos en el literal c), numeral 3.5.2 del documento base, precisando que este tope máximo de contratos variará con ocasión al criterio diferencial a favor de las Mipyme y/o emprendimiento y empresas de mujeres en cuanto a los requisitos habilitantes relacionados con el número de contratos aportados para acreditar la experiencia solicitada.
NOTA No. 5: Para Proponentes Plurales se debe informar que integrante aporta la experiencia.
NOTA No. 6: El valor total se calcula de conformidad con lo indicado en el Pliego de Condiciones.
NOTA No. 7: Para los Contratos facturados en moneda diferente al peso colombiano, debe presentarse un cuadro de conversión de valores de moneda extranjera de conformidad con lo establecido en la sección de moneda del Pliego de Condiciones, realizando despues su conversión a SMMLV.
NOTA No. 8: Los Proponentes sin sucursal o domicilio en Colombia deben incluir los códigos de clasificación de las naciones unidas para cada uno de los Contratos aportados.
CARACTERÍSTICAS DEL FORMATO 3 - EXPERIENCIA
Las casillas del Formato 3 - Experiencia deben ser diligenciadas conforme con lo siguiente
Número de orden: Se refiere al número de contratos aportados para acreditar la experiencia que como mínimo se deberá presentar un (1) contrato y cómo máximo cinco (5) contratos, sin perjuicio de lo indicado con ocasión al criterio diferencial fijado para las Mipymes y/o emprendimiento y empresas de mujeres en cuanto a los requisitos habilitantes relacionados con el número de contratos aportados para demostrar la experiencia solicitada. En estos caso, se incluirá la casilla correspondiente a cada contrato adicional, segun corresponda.
Número consecutivo del reporte del contrato ejecutado en el RUP: Esta casilla se diligenciará únicamente por los Proponentes que se encuentran obligados a tener RUP. Si está obligado se deberá señalar el número consecutivo donde se encuentra ubicado el contrato en el RUP.
Experiencia requerida: En relacion con este acápite se indicará si el contrato aportado para acreditar lo exigido en la actividad principal acredita la experiencia general o la especifica
Entidad contratante: El nombre de la persona natural o juridica, pública o privada, con la cual se celebró el Contrato.
Contrato o resolución: Se deberá diligenciar el número del contrato o la resolución de la adjudicación del contrato y, además la descripcion del objeto contractual.
Contrato ejecutado identificado con el clasificador de bienes y servicios: Se deberá diligenciar ell código que coincida con los códigos requeridos por la Entidad en el numeral "3.5.4 CLASIFICACIÓN DE LA EXPERIENCIA EN EL CLASIFICADOR DE BIENES, OBRAS Y SERVICIOS DE LAS NACIONES UNIDAS"
Formas de ejecución: El Proponente deberá indicar si el contrato se ejecuto de las siguientes formas: i) Forma individual (i); ii) Consorcio (c); iii) Unión Temporal (UT); iv) Bajo cualquier modalidad de asociacion (Otra). Ademas, se deberá indicar el porcentaje de participacion de la persona que ejecutó el contrato.
Integrante de la estructura plural que se está presentando: Identificar en el contrato que se aporta quien es el integrante de la estructura plural que se está presentando.
Valor total reportado en el RUP: Incluir el valor total del contrato que se encuentra registrado en el RUP. De acuerdo con la “Nota No. 3” los valores consignados deben expresarse en pesos colombianos.
Valor total del contrato en SMMLV: Esta casilla la deberán diligenciar los Proponentes que no tienen RUP e incluira el valor total del contrato en SMMLV. Ademas, se deberá diligenciar este formato en pesos colombianos, haciendo su conversión a SMMLV.
Lotes: En los procesos estructurados por lotes indicar si el certificado de experiencia es para un determinado lote, para varios o para todos. Por ejemplo: Lote 1, Lote 2, 3 y 5 o todos.
De acuerdo con la sección 3.5.2 del Documento Base, si el Proponente no diligencia el "Formato 3 - Experiencia", la Entidad solicitará su subsanación en los terminos del numeral 1.6. En caso de que el oferente no subsane se tendrán en cuenta para la evaluación los cinco (5) contratos de mayor valor aportados, con los cuales la Entidad verificara la experiencia general y especifica solicitada para la actividad principal, al igual que los solicitados para la actividad secundaria en antención a las combinaciones de experiencia aplicables y la experiencia exigida respecto de los bienes y servicios adicionales a la obra de infraestrucutra de transporte, Tratandose de Proponentes que acrediten la calidad de Mipyme o emprendiemiento y empresa de mujeres se tendrá en cuenta como máximo los seis (6) contratos aportados de mayor valor. En caso de que el Proponente acredite la calidad de Mipyme y de emprendimiento y empresa de mujeres con domicilio en el territorio nacional de manera conjunta, se tendrá en cuenta como máximo los siete (7) contratos aportados de mayor valor
El “Formato 3 - Experiencia” consolida la experiencia que se está aportando, pero no acredita la experiencia del Proponente. Si el Proponente aporta el RUP con la información de su experiencia relacionada o aporta los contratos de experiencia que tiene a su nombre, se deberá acreditar la experiencia, a pesar de no allegar o diligenciar indebidamente el "Formato 3- Experiencia".
NOTA: Toda la informacion suministrada por el Proponente deberá ser veraz y estará sujeta a verificadion de acuerdo con lo estipulado en estos Pliegos de Condiciones


LA INFORMACIÓN INCLUIDA EN ESTE FORMATO ES DE RESPONSABILIDAD DEL PROPONENTE
NOTA No. 1: Para cada Contrato se debe indicar la razón social de contratante, el número y/o objeto y si se ha ejecutado en forma individual (I), Consorcio (C), Unión Temporal (UT) o bajo cualquier otra modalidad de asociación y el porcentaje de participación.
NOTA No. 2: En el caso de Contratos suscritos en Consorcio, Unión Temporal u otra modalidad de asociación considerar lo establecido en el Pliego de Condiciones.
NOTA No. 3: Los valores consignados deben relacionarse en pesos colombianos realizando su conversión a SMMLV.
NOTA No. 4: Para la acreditación del criterio de experiencia se tomará únicamente hasta el máximo de Contratos definidos en el literal c), numeral 3.5.2 del documento base, precisando que este tope máximo de contratos variará con ocasión al criterio diferencial a favor de las Mipyme y/o emprendimiento y empresas de mujeres en cuanto a los requisitos habilitantes relacionados con el número de contratos aportados para acreditar la experiencia solicitada.
NOTA No. 5: Para Proponentes Plurales se debe informar que integrante aporta la experiencia.
NOTA No. 6: El valor total se calcula de conformidad con lo indicado en el Pliego de Condiciones.
NOTA No. 7: Para los Contratos facturados en moneda diferente al peso colombiano, debe presentarse un cuadro de conversión de valores de moneda extranjera de conformidad con lo establecido en la sección de moneda del Pliego de Condiciones, realizando despues su conversión a SMMLV.
NOTA No. 8: Los Proponentes sin sucursal o domicilio en Colombia deben incluir los códigos de clasificación de las naciones unidas para cada uno de los Contratos aportados.
CARACTERÍSTICAS DEL FORMATO 3 - EXPERIENCIA
Las casillas del Formato 3 - Experiencia deben ser diligenciadas conforme con lo siguiente
Número de orden: Se refiere al número de contratos aportados para acreditar la experiencia que como mínimo se deberá presentar un (1) contrato y cómo máximo cinco (5) contratos, sin perjuicio de lo indicado con ocasión al criterio diferencial fijado para las Mipymes y/o emprendimiento y empresas de mujeres en cuanto a los requisitos habilitantes relacionados con el número de contratos aportados para demostrar la experiencia solicitada. En estos caso, se incluirá la casilla correspondiente a cada contrato adicional, segun corresponda.
Número consecutivo del reporte del contrato ejecutado en el RUP: Esta casilla se diligenciará únicamente por los Proponentes que se encuentran obligados a tener RUP. Si está obligado se deberá señalar el número consecutivo donde se encuentra ubicado el contrato en el RUP.
Experiencia requerida: En relacion con este acápite se indicará si el contrato aportado para acreditar lo exigido en la actividad principal acredita la experiencia general o la especifica
Entidad contratante: El nombre de la persona natural o juridica, pública o privada, con la cual se celebró el Contrato.
Contrato o resolución: Se deberá diligenciar el número del contrato o la resolución de la adjudicación del contrato y, además la descripcion del objeto contractual.
Contrato ejecutado identificado con el clasificador de bienes y servicios: Se deberá diligenciar ell código que coincida con los códigos requeridos por la Entidad en el numeral "3.5.4 CLASIFICACIÓN DE LA EXPERIENCIA EN EL CLASIFICADOR DE BIENES, OBRAS Y SERVICIOS DE LAS NACIONES UNIDAS"
Formas de ejecución: El Proponente deberá indicar si el contrato se ejecuto de las siguientes formas: i) Forma individual (i); ii) Consorcio (c); iii) Unión Temporal (UT); iv) Bajo cualquier modalidad de asociacion (Otra). Ademas, se deberá indicar el porcentaje de participacion de la persona que ejecutó el contrato.
Integrante de la estructura plural que se está presentando: Identificar en el contrato que se aporta quien es el integrante de la estructura plural que se está presentando.
Valor total reportado en el RUP: Incluir el valor total del contrato que se encuentra registrado en el RUP. De acuerdo con la “Nota No. 3” los valores consignados deben expresarse en pesos colombianos.
Valor total del contrato en SMMLV: Esta casilla la deberán diligenciar los Proponentes que no tienen RUP e incluira el valor total del contrato en SMMLV. Ademas, se deberá diligenciar este formato en pesos colombianos, haciendo su conversión a SMMLV.
Lotes: En los procesos estructurados por lotes indicar si el certificado de experiencia es para un determinado lote, para varios o para todos. Por ejemplo: Lote 1, Lote 2, 3 y 5 o todos.
De acuerdo con la sección 3.5.2 del Documento Base, si el Proponente no diligencia el "Formato 3 - Experiencia", la Entidad solicitará su subsanación en los terminos del numeral 1.6. En caso de que el oferente no subsane se tendrán en cuenta para la evaluación los cinco (5) contratos de mayor valor aportados, con los cuales la Entidad verificara la experiencia general y especifica solicitada para la actividad principal, al igual que los solicitados para la actividad secundaria en antención a las combinaciones de experiencia aplicables y la experiencia exigida respecto de los bienes y servicios adicionales a la obra de infraestrucutra de transporte, Tratandose de Proponentes que acrediten la calidad de Mipyme o emprendiemiento y empresa de mujeres se tendrá en cuenta como máximo los seis (6) contratos aportados de mayor valor. En caso de que el Proponente acredite la calidad de Mipyme y de emprendimiento y empresa de mujeres con domicilio en el territorio nacional de manera conjunta, se tendrá en cuenta como máximo los siete (7) contratos aportados de mayor valor
El “Formato 3 - Experiencia” consolida la experiencia que se está aportando, pero no acredita la experiencia del Proponente. Si el Proponente aporta el RUP con la información de su experiencia relacionada o aporta los contratos de experiencia que tiene a su nombre, se deberá acreditar la experiencia, a pesar de no allegar o diligenciar indebidamente el "Formato 3- Experiencia".
NOTA: Toda la informacion suministrada por el Proponente deberá ser veraz y estará sujeta a verificadion de acuerdo con lo estipulado en estos Pliegos de Condiciones
FORMATO 7 - FACTOR DE CALIDAD
LICITACIÓN DE OBRA PÚBLICA DE INFRAESTRUCTURA DE TRANSPORTE (VERSIÓN 3)
| Codigo | CCE-EICP-FM-08 | Pagina | 1 de 3 |
| Versión No. | 5 | ||
(Número del Proceso de Contratación)
FORMATO 7
FACTOR DE CALIDAD
FORMATO 7A– PROGRAMA DE GERENCIA DE PROYECTOS
Señores
[NOMBRE DE LA ENTIDAD]
[Dirección de la Entidad]
[Ciudad]
REFERENCIA: Proceso de Contratación No. [Incluir número del Proceso de Contratación], en adelante el “Proceso de Contratación”
Objeto:
[Incluir cuando el proceso sea estructurado por lotes o grupos] Lote: [Indicar el lote o lotes a los cuales se presenta oferta.]
Estimados señores:
"[Nombre del representante legal del Proponente]" en mi calidad de representante legal de "[Nombre del Proponente]" o [Nombre del Proponente - persona natural] en adelante el “Proponente” manifiesto expresamente bajo la gravedad de juramento, el compromiso de implementar, a mi (nuestro) costo y riesgo, un programa de gerencia de proyectos con el fin de garantizar la ejecución efectiva y eficaz del proyecto objeto de la referencia.
Para ello, en caso de resultar adjudicatario del citado proceso, dispondremos de un profesional en las áreas de la ingeniería o la arquitectura que cumpla con el perfil requerido por la Entidad.
Para tal efecto se asignarán los recursos técnicos y humanos necesarios.
Atentamente,
Nombre del Proponente_______________________________________
Nombre del representante legal__________________________________
C. C. No. _____________________ de _______________
Dirección _______________________________________
Correo electrónico _______________________________________
Ciudad _______________________________________
___________________________________________________
[Firma del Proponente o de su representante legal]
| Codigo | CCE-EICP-FM-08 | Versión | 5 |
FORMATO 7B–DISPONIBILIDAD Y CONDICIONES FUNCIONALES DE LA MAQUINARIA DE OBRA
Señores
[NOMBRE DE LA ENTIDAD]
[Dirección de la Entidad]
[Ciudad]
REFERENCIA: Proceso de Contratación No. [Incluir número del Proceso de Contratación], en adelante el “Proceso de Contratación”
Objeto:
[Incluir cuando el proceso sea estructurado por lotes o grupos] Lote: [Indicar el lote o lotes a los cuales se presenta oferta.]
Estimados señores:
"[Nombre del representante legal del Proponente]" en mi calidad de representante legal de "[Nombre del Proponente]" o [ Nombre del Proponente - persona natural] en adelante el “Proponente”, manifiesto expresamente bajo la gravedad de juramento, el compromiso de utilizar en la obra maquinaria con una antigüedad menor a veinte (20) años, según su función. En caso de que la maquinaria haya sido repotenciada, los veinte (20) años cuentan desde la fecha de repotenciación de la maquinaria.
Atentamente,
Nombre del Proponente_______________________________________
Nombre del representante legal __________________________________
C. C. No. _____________________ de _______________
Dirección _______________________________________
Correo electrónico _______________________________________
Ciudad _______________________________________
___________________________________________________
[Firma del Proponente o de su representante Legal]
| Codigo | CCE-EICP-FM-08 | Versión | 5 |
FORMATO 7C–PLAN DE CALIDAD
Señores
[NOMBRE DE LA ENTIDAD]
[Dirección de la Entidad]
[Ciudad]
REFERENCIA: Proceso de Contratación No. [Incluir número del Proceso de Contratación], en adelante el “Proceso de Contratación”
Objeto:
[Incluir cuando el proceso sea estructurado por lotes o grupos] Lote: [Incluir cuando el proceso sea estructurado por lotes o grupos]
Estimados señores:
"[Nombre del representante legal del Proponente]" en mi calidad de Representante Legal de "[Nombre del Proponente]" o [ Nombre del Proponente-persona natural] en adelante el “Proponente”, manifiesto expresamente bajo la gravedad de juramento, el compromiso de presentar un Plan de Calidad específico para el proyecto, elaborado bajo el enfoque de un modelo de aseguramiento o gestión de la calidad conforme a las normas NTC ISO 9001:2015 y NTC ISO 10005:2018.
Atentamente,
Nombre del Proponente_______________________________________
Nombre del Representante Legal __________________________________
C. C. No. _____________________ de _______________
Dirección _______________________________________
Correo electrónico _______________________________________
Ciudad _______________________________________
___________________________________________________
[Firma del Proponente o de su representante Legal]
| Codigo | CCE-EICP-FM-08 | Versión | 5 |
FORMATO 7 - FACTOR DE CALIDAD
SELECCIÓN ABREVIADA DE OBRA PÚBLICA DE INFRAESTRUCTURA DE TRANSPORTE (VERSIÓN 2)
| Codigo | CCE-EICP-FM-21 | Pagina | 1 de 3 |
| Versión No. | 4 | ||
[Número del Proceso de Contratación]
FORMATO 7
FACTOR DE CALIDAD
FORMATO 7A– PROGRAMA DE GERENCIA DE PROYECTOS
Señores
[NOMBRE DE LA ENTIDAD]
[Dirección de la Entidad]
[Ciudad]
REFERENCIA: Proceso de Contratación No. [Incluir número del Proceso de Contratación], en adelante el “Proceso de Contratación”
Objeto:
[Incluir cuando el proceso sea estructurado por lotes o grupos] Lote: [Indicar el lote o lotes a los cuales se presenta oferta.]
Estimados señores:
"[Nombre del representante legal del Proponente]" en mi calidad de representante legal de "[Nombre del Proponente]" o [Nombre del Proponente - persona natural] en adelante el “Proponente” manifiesto expresamente bajo la gravedad de juramento, el compromiso de implementar, a mi (nuestro) costo y riesgo, un programa de gerencia de proyectos con el fin de garantizar la ejecución efectiva y eficaz del proyecto objeto de la referencia.
Para ello, en caso de resultar adjudicatario del citado proceso, dispondremos de un profesional en las áreas de la ingeniería o la arquitectura que cumpla con el perfil requerido por la Entidad.
Para tal efecto se asignarán los recursos técnicos y humanos necesarios.
Atentamente,
Nombre del Proponente_______________________________________
Nombre del representante legal__________________________________
C. C. No. _____________________ de _______________
Dirección _______________________________________
Correo electrónico _______________________________________
Ciudad _______________________________________
___________________________________________________
[Firma del Proponente o de su representante legal]
| Codigo | CCE-EICP-FM-21 | Versión | 4 |
FORMATO 7B–DISPONIBILIDAD Y CONDICIONES FUNCIONALES DE LA MAQUINARIA DE OBRA
Señores
[NOMBRE DE LA ENTIDAD]
[Dirección de la Entidad]
[Ciudad]
REFERENCIA: Proceso de Contratación No. [Incluir número del Proceso de Contratación], en adelante el “Proceso de Contratación”
Objeto:
[Incluir cuando el proceso sea estructurado por lotes o grupos] Lote: [Indicar el lote o lotes a los cuales se presenta oferta.]
Estimados señores:
"[Nombre del representante legal del Proponente]" en mi calidad de representante legal de "[Nombre del Proponente]" o [ Nombre del Proponente - persona natural] en adelante el “Proponente”, manifiesto expresamente bajo la gravedad de juramento, el compromiso de utilizar en la obra maquinaria con una antigüedad menor a veinte (20) años, según su función. En caso de que la maquinaria haya sido repotenciada, los veinte (20) años cuentan desde la fecha de repotenciación de la maquinaria.
Atentamente,
Nombre del Proponente_______________________________________
Nombre del representante legal __________________________________
C. C. No. _____________________ de _______________
Dirección _______________________________________
Correo electrónico _______________________________________
Ciudad _______________________________________
___________________________________________________
[Firma del Proponente o de su representante Legal]
| Codigo | CCE-EICP-FM-21 | Versión | 4 |
FORMATO 7C–PLAN DE CALIDAD
Señores
[NOMBRE DE LA ENTIDAD]
[Dirección de la Entidad]
[Ciudad]
REFERENCIA: Proceso de Contratación No. [Incluir número del Proceso de Contratación], en adelante el “Proceso de Contratación”
Objeto:
[Incluir cuando el proceso sea estructurado por lotes o grupos] Lote: [Incluir cuando el proceso sea estructurado por lotes o grupos]
Estimados señores:
"[Nombre del representante legal del Proponente]" en mi calidad de Representante Legal de "[Nombre del Proponente]" o [ Nombre del Proponente-persona natural] en adelante el “Proponente”, manifiesto expresamente bajo la gravedad de juramento, el compromiso de presentar un Plan de Calidad específico para el proyecto, elaborado bajo el enfoque de un modelo de aseguramiento o gestión de la calidad conforme a las normas NTC ISO 9001:2015 y NTC ISO 10005:2018.
Atentamente,
Nombre del Proponente_______________________________________
Nombre del Representante Legal __________________________________
C. C. No. _____________________ de _______________
Dirección _______________________________________
Correo electrónico _______________________________________
Ciudad _______________________________________
___________________________________________________
[Firma del Proponente o de su representante Legal]
| Codigo | CCE-EICP-FM-21 | Versión | 4 |
FORMATO 10 – FACTORES DE DESEMPATE
LICITACIÓN DE INFRAESTRUCTURA DE TRANSPORTE (VERSIÓN 3)
| Código | CCE-EICP-FM-76 | Página | 1 de 14 |
| Versión No. | 2 | ||
FORMATO 10A – PARTICIPACIÓN MAYORITARIA DE MUJERES CABEZA DE FAMILIA Y/O MUJERES VÍCTIMA DE VIOLENCIA INTRAFAMILIAR (PERSONA JURÍDICA)
[Este formato se diligencia por el representante legal o el revisor fiscal, según corresponda, de la persona jurídica en el que mayoritariamente participen mujeres cabeza de familia y/o mujeres víctima de violencia intrafamiliar. En el evento que la oferta la presente una entidad privada sin ánimo de lucro, ya sea fundación, corporación o asociación, se ajustará el formato en lo pertinente. La información aquí vertida contiene datos sensibles, los cuales están sujetos a reserva legal y, por tanto, no podrán publicarse en el SECOP I y II para su conocimiento]
Señores
[NOMBRE DE LA ENTIDAD]
[Ciudad]
REFERENCIA: Proceso de Contratación [Incluir número del Proceso de Contratación]
Objeto:
[Incluir cuando el Proceso de Contratación sea estructurado por lotes o grupos] Lote: [Indicar el lote o lotes a los cuales se presenta oferta.]
Estimados señores:
[Incluir el nombre del representante legal de la persona jurídica o del revisor fiscal, según corresponda] identificado con [Incluir el número de identificación], en mi condición de [Indicar si actúa como representante legal o revisor fiscal] de [Incluir la razón social de la persona jurídica] identificada con el NIT [Incluir el NIT], certifico bajo la gravedad de juramento que más del cincuenta por ciento (50 %) de la composición accionaria o cuota parte de la persona jurídica está constituida por mujeres cabeza de familia y/o mujeres víctima de violencia intrafamiliar. Esta información está soportada de acuerdo con los libros de comercio de la sociedad, los cuales gozan de reserva legal en los términos del artículo 61 del Código de Comercio.
En el siguiente cuadro señalo las mujeres cabeza de familia y/o mujeres víctima de violencia intrafamiliar que participan mayoritariamente en la persona jurídica, junto con su respectivo porcentaje de participación:
| Identificación de las mujeres cabeza de familia y/o mujeres víctima de violencia intrafamiliar que participan en la persona jurídica (Incluir nombre y documento de identidad) | Número de cuotas sociales, acciones que poseen o el alcance o condición de su participación en el caso de las personas jurídicas sin ánimo de lucro |
Sin perjuicio de lo anterior, para probar la condición de cada una de las mujeres que participan en la sociedad, aporto los documentos de cada una de ellas, de acuerdo con los incisos 1, 2 y 3 del subnumeral 2 del numeral 4.8 del Documento Base.
En constancia, se firma en ______________, a los ____ días del mes de _____ del 20__
[Nombre y firma del representante legal de la persona jurídica o el revisor fiscal, según corresponda]
| Codigo | CCE-EICP-FM-76 | Versión | |
FORMATO 10B – VINCULACIÓN DE PERSONAS EN CONDICIÓN DE DISCAPACIDAD
[Tratándose de Proponentes Plurales, este formato lo presentará el integrante o los integrantes que tengan una participación de por lo menos el veinticinco por ciento (25 %) en el Consorcio o en la Unión Temporal y aporten mínimo el veinticinco por ciento (25 %) de la experiencia acreditada en la oferta]
Señores
[NOMBRE DE LA ENTIDAD]
[Ciudad]
REFERENCIA: Proceso de Contratación [Incluir número del Proceso de Contratación]
Objeto:
[Incluir cuando el Proceso de Contratación sea estructurado por lotes o grupos] Lote: [Indicar el lote o lotes a los cuales se presenta oferta.]
Estimados señores:
[Incluir el nombre de la persona natural, el representante legal de la persona jurídica o el revisor fiscal, según corresponda] identificado con [Incluir el número de identificación], en mi condición de [Indicar si actúa como, persona natural (nombre propio), representante legal o revisor fiscal] de [Incluir la razón social de la persona jurídica (si aplica)] [identificada con el NIT (si aplica) __________], certifico que tengo vinculado en la planta de personal un mínimo del diez por ciento (10 %) de empleados en las condiciones de discapacidad enunciadas en la Ley 361 de 1997, contratados [con una anterioridad no inferior a un año o desde la constitución de la sociedad -si aplica- (para sociedades con menos de un año de constitución)], para lo cual adjunto el certificado expedido por el Ministerio del Trabajo.
Para acreditar el tiempo de vinculación de que tratan los incisos 1 y 3 subnumeral 3 del numeral 4.8 del Documento Base, allego el certificado de aportes al Sistema de Seguridad Social del último año, en el que se demuestran los pagos realizados por el empleador.
De igual manera me comprometo en caso de resultar adjudicatario del Proceso de Contratación, a mantener vinculados a los empleados en condiciones de discapacidad por un lapso igual al del plazo de ejecución del contrato.
En constancia, se firma en ______________, a los ____ días del mes de _____ del 20__.
[Nombre y firma de la persona natural]
[Nombre y firma del representante legal de la persona jurídica o el revisor fiscal, según corresponda]
| Codigo | CCE-EICP-FM-76 | Versión | 2 |
FORMATO 10C – VINCULACIÓN DE PERSONAS NO BENEFICIARIAS DE LA PENSIÓN DE VEJEZ, FAMILIAR O SOBREVIVENCIA (EMPLEADOR – PROPONENTE)
[Este formato lo diligencia la persona natural, el representante legal o el revisor fiscal de la persona jurídica que tenga dentro de su personal trabajadores mayores de edad vinculados en la planta de personal que no sean beneficiarios de la pensión de vejez, familiar o de sobrevivencia y que hayan cumplido la edad de pensión. En el caso de los Proponentes Plurales, este formato lo diligenciará el representante del Proponente Plural en el cual certificará la totalidad de los trabajadores vinculados en la planta de personal de cada uno de los integrantes y la totalidad de personas mayores de edad vinculados de cada uno de sus integrantes, en las condiciones aquí exigidas en cuanto a no ser beneficiarios de la pensión de vejez, familiar o de sobrevivencia.]
Señores
[NOMBRE DE LA ENTIDAD]
[Ciudad]
REFERENCIA: Proceso de Contratación [Incluir número del Proceso de Contratación]
Objeto:
[Incluir cuando el Proceso de Contratación sea estructurado por lotes o grupos] Lote: [Indicar el lote o lotes a los cuales se presenta oferta.]
Estimados señores:
[Incluir el nombre de la persona natural, el representante legal de la persona jurídica o el revisor fiscal, según corresponda, o el representante del Proponente Plural] identificado con [Incluir el número de identificación], en mi condición de [Indicar si actúa como persona natural (nombre propio) representante legal o revisor fiscal o representante del Proponente Plural] de [Incluir la razón social de la persona jurídica (si aplica)] [identificada con el NIT (si aplica) __________], certifico que el número total de trabajadores personas mayores de edad vinculados en la planta del personal que no son beneficiarios de la pensión de vejez, familiar o de sobrevivencia y que hayan cumplido el requisito de edad de pensión establecido en la ley es el que se relaciona a continuación:
| Número total de trabajadores vinculados a la planta de personal | Número de personas mayores no beneficiarias a la pensión de vejez, familiar o de sobrevivencia y que hayan cumplido el requisito de pensión |
[Incluir el siguiente cuadro para los Proponentes Plurales]
| Número total de trabajadores vinculados a la planta de personal de los integrantes del proponente plural | Número de personas mayores, no beneficiarias a la pensión de vejez, familiar o de sobrevivencia y que hayan cumplido el requisito de pensión de los integrantes del proponente plural |
[El Proponente persona natural o jurídica incorporará una de las siguientes dos (2) opciones para manifestar el tiempo de vinculación de las personas anteriormente descritas, que cumplen las condiciones definidas en el numeral 4 del artículo 35 de la Ley 2069 de 2020].
[Opción 1. Esta opción la incorporará el Proponente persona natural o el Proponente persona jurídica cuya constitución sea igual o mayor a un (1) año]
Asimismo, manifiesto que las personas mayores no beneficiarias de la pensión de vejez, familiar o de sobrevivencia y que han cumplido el requisito de edad de pensión, han estado vinculadas a la planta de personal con una anterioridad igual o mayor a un (1) año contado a partir de la fecha del cierre del Proceso de Contratación.
Para acreditar el tiempo de vinculación en la planta referida de que trata el inciso anterior, allego el certificado de aportes al Sistema de Seguridad Social del último año, en el que se demuestran los pagos realizados por el empleador.
[Opción 2. Esta opción la incorporará el Proponente persona jurídica cuya constitución sea inferior a un (1) año]
Asimismo, manifiesto que las personas mayores no beneficiarias de la pensión de vejez, familiar o de sobrevivencia y que han cumplido el requisito de edad de pensión, han estado vinculadas a la planta de personal desde el momento de la constitución de la persona jurídica.
Para acreditar el tiempo de vinculación en la planta referida de que trata el inciso anterior, allego el certificado de aportes al Sistema de Seguridad Social del tiempo de constitución de la persona jurídica, en el que se demuestre los pagos realizados por el empleador.
En constancia, se firma en ______________, a los ____ días del mes de _____ del 20__.
[Nombre y firma de la persona natural]
[Nombre y firma del representante legal de la persona jurídica o el revisor fiscal, según corresponda, o el representante del Proponente Plural]
| odigo | CCE-EICP-FM-76 | Versión | 2 |
FORMATO 10C – VINCULACIÓN DE PERSONAS NO BENEFICIARIAS DE LA PENSIÓN DE VEJEZ, FAMILIAR O SOBREVIVENCIA (TRABAJADOR)
[Este formato lo diligencia el trabajador vinculado en la planta de personal del Proponente que presenta la oferta, que no sea beneficiario de la pensión de vejez, familiar o de sobrevivencia y que haya cumplido la edad de pensión]
Señores
[NOMBRE DE LA ENTIDAD]
[Ciudad]
REFERENCIA: Proceso de Contratación [Incluir número del Proceso de Contratación]
Objeto:
[Incluir cuando el Proceso de Contratación sea estructurado por lotes o grupos] Lote: [Indicar el lote o lotes a los cuales se presenta oferta.]
Estimados señores:
[Incluir el nombre del trabajador vinculado en la planta de personal de la persona natural o de la persona jurídica] identificado con [Incluir el número de identificación], en mi condición de trabajador vinculado a [Indicar el nombre de la persona jurídica o persona natural], [identificada con NIT o CC __________], certifico bajo la gravedad del juramento que no soy beneficiario de la pensión de vejez, familiar o de sobrevivencia y ya cumplí la edad de pensión.
Asimismo, manifiesto me encuentro vinculado en la planta de personal [indicar si se trata de la persona natural o de la persona jurídica o del integrante del proponente plural] con una anterioridad [Indicar si el tiempo de vinculación es igual o mayor a un (1) año contado a partir de la fecha del cierre del Proceso de Contratación o desde el momento de la constitución de la persona jurídica en los casos que esta tenga menos de (1) año de constitución].
Adjunto a esta certificación aporto mi documento de identificación, de acuerdo con el inciso 4 del subnumeral 4 del numeral 4.8. del Documento Base.
En constancia, se firma en ______________, a los ____ días del mes de _____ del 20__.
[Nombre y firma del trabajador vinculado a la persona natural o jurídica]
| codigo | CCE-EICP-FM-76 | Versión | 2 |
FORMATO 10D – VINCULACIÓN DE POBLACIÓN INDÍGENA, NEGRA, AFROCOLOMBIANA, RAIZAL, PALENQUERA, RROM O GITANA
[La información de este formato contiene datos sensibles los cuales están sujetos a reserva legal y por tanto no podrán publicarse en el SECOP I y II para su conocimiento]
Señores
[NOMBRE DE LA ENTIDAD]
[Ciudad]
REFERENCIA: Proceso de Contratación [Incluir número del Proceso de Contratación]
Objeto:
[Incluir cuando el Proceso de Contratación sea estructurado por lotes o grupos] Lote: [Indicar el lote o lotes a los cuales se presenta oferta.]
Estimados señores:
[Incluir el nombre del Proponente persona natural o del representante legal de la persona jurídica o el revisor fiscal, según corresponda, o el representante del Proponente Plural] identificado con [Incluir el número de identificación], en mi condición de [Indicar si actúa como persona natural (nombre propio), representante legal o revisor fiscal] de [Incluir la razón social de la persona jurídica (si aplica)], [identificada con el NIT (si aplica) __________], certifico bajo la gravedad del juramento que:
i) El número total de trabajadores vinculados a la nómina corresponden a [Diligenciar el número de trabajadores vinculados a la nómina]
ii) En la nómina están vinculadas las siguientes personas: [Indicar a continuación el nombre y número de cédula de las personas que se encuentran vinculadas al Proponente o integrante de la estructura plural según corresponda y respecto de las cuales se aportan las pruebas correspondientes para acreditar la pertenencia a población indígena, negra, afrocolombiana, raizal, palanquera, Rrom o gitana]
| Nombre completo | Número de identificación |
iii) Así mismo declaramos que las personas señaladas anteriormente se encuentran vinculadas con una antigüedad igual o mayor a un año contado a partir de la fecha del cierre del presente Proceso de Contratación. [Para los casos de personas jurídicas constituidas con menos de un año, se tendrá que indicar que las personas señaladas se encuentran vinculadas desde el momento de constitución de esta].
Sin perjuicio de lo anterior, para probar la pertenencia a la población indígena, negra, afrocolombiana, raizal, palanquera, Rrom o gitanas, aporto la certificación expedida por el Ministerio del Interior, de acuerdo con los incisos 3 y 4 del subnumeral 5 del numeral 4.8 del Documento Base.
En constancia, se firma en ______________, a los ____ días del mes de _____ del 20__
[Nombre y firma de la persona natural]
Nombre y firma del representante legal de la persona jurídica o el revisor fiscal, según corresponda, o el representante del Proponente Plural]
| codigo | CCE-EICP-FM-76 | Versión | 2 |
FORMATO 10E – PARTICIPACIÓN MAYORITARIA DE PERSONAS EN PROCESO DE REINCORPORACIÓN Y/O REINTEGRACIÓN (PERSONAS JURÍDICAS)
Este formato se diligencia por el representante legal o el revisor fiscal, si están obligados a tenerlo, de la persona jurídica en el que mayoritariamente participan personas en proceso de reintegración o reincorporación. En el evento que la oferta la presente una entidad privada sin ánimo de lucro, ya sea fundación, corporación o asociación se ajustará el formato en lo pertinente. La información de este formato contiene datos sensibles los cuales están sujetos a reserva legal y, por tanto, no podrán publicarse en el SECOP I y II para su conocimiento]
Señores
[NOMBRE DE LA ENTIDAD]
[Ciudad]
REFERENCIA: Proceso de Contratación [Incluir número del Proceso de Contratación]
Objeto:
[Incluir cuando el Proceso de Contratación sea estructurado por lotes o grupos] Lote: [Indicar el lote o lotes a los cuales se presenta oferta.]
Estimados señores:
[Incluir el nombre del representante legal de la persona jurídica y el revisor fiscal, si están obligados a tenerlo] identificado con [Incluir el número de identificación], en mi condición de [Indicar si actúa como representante legal o revisor fiscal o ambos] de [Incluir la razón social de la persona jurídica], [identificada con el NIT __________], certifico bajo gravedad del juramento que más del cincuenta por ciento (50 %) de la composición accionaria o cuota parte de la persona jurídica está constituida por personas en proceso reincorporación y/o reintegración. Esta información está soportada de acuerdo con los respectivos certificados de la Oficina del Alto Comisionado para la Paz, del Comité Operativo para la Dejación de Armas, de la Agencia para la Reintegración y la Normalización y el documento de identificación de cada una de dichas personas.
En el siguiente cuadro señalo las personas en proceso de reincorporación o reintegración que participan mayoritariamente en la persona jurídica, junto con su respectivo porcentaje de participación:
| Identificación de las personas en proceso de reincorporación o reintegración (Incluir nombre y documento de identidad) | Número de cuotas sociales, acciones que poseen o el alcance o condición de su participación en el caso de las personas jurídicas sin ánimo de lucro |
Adjunto a esta certificación aporto los documentos de identificación de las personas en proceso de reincorporación o reintegración, de acuerdo con los incisos 1 y 2 del subnumeral 6 del numeral 4.8. del Documento Base.
En constancia, se firma en ______________, a los ____ días del mes de _____ del 20__.
[Nombre y firma del representante legal de la persona jurídica o revisor fiscal]
| codigo | CCE-EICP-FM-76 | Versión | 2 |
FORMATO 10E – PARTICIPACIÓN MAYORITARIA DE PERSONAS EN PROCESO DE REINCORPORACIÓN (PERSONA JURÍDICA INTEGRANTE DEL PROPONENTE PLURAL)
[Este formato se diligencia por el representante legal o el revisor fiscal, si están obligados a tenerlo, de la persona jurídica del Proponente Plural en el que mayoritariamente participan personas en proceso de reincorporación. En el evento que la oferta la presente una entidad privada sin ánimo de lucro, ya sea fundación, corporación o asociación se ajustará el formato en lo pertinente. La información de este formato contiene datos sensibles los cuales están sujetos a reserva legal y, por tanto, no se podrán publicar en el SECOP I y II para su conocimiento]
Señores
[NOMBRE DE LA ENTIDAD]
[Ciudad]
REFERENCIA: Proceso de Contratación [Incluir número del Proceso de Contratación]
Objeto:
[Incluir cuando el Proceso de Contratación sea estructurado por lotes o grupos] Lote: [Indicar el lote o lotes a los cuales se presenta oferta.]
Estimados señores:
[Incluir el nombre del representante legal de la persona jurídica o el revisor fiscal, si están obligados a tenerlo] identificado con [Incluir el número de identificación], en mi condición de [Indicar si actúa como representante legal o revisor fiscal o ambos] de [Incluir la razón social de la persona jurídica], [identificada con el NIT __________], certifico bajo gravedad del juramento que más del cincuenta por ciento (50 %) de la composición accionaria o cuota parte de la persona jurídica está constituida por personas en proceso de reincorporación. Esta información está soportada de acuerdo con los respectivos certificados de la Oficina del Alto Comisionado para la Paz, del Comité Operativo para la Dejación de Armas, de la Agencia para la Reincorporación y la Normalización y el documento de identificación de cada una de dichas personas.
En el siguiente cuadro señalo las personas en proceso de reincorporación que participan mayoritariamente en la persona jurídica, junto con su respectivo porcentaje de participación:
| Identificación de las personas en proceso de reincorporación (Incluir nombre y documento de identidad) | Número de cuotas sociales, acciones que poseen o el alcance o condición de su participación en el caso de las personas jurídicas sin ánimo de lucro |
Adjunto a esta certificación aporto los documentos de identificación de las personas en proceso de reincorporación o reintegración, de acuerdo con el inciso 3 del subnumeral 6 del numeral 4.8. del Documento Base.
En constancia, se firma en ______________, a los ____ días del mes de _____ del 20__.
[Nombre y firma del representante legal de la persona jurídica o revisor fiscal]
| codigo | CCE-EICP-FM-76 | Versión | 2 |
FORMATO 10F – PARTICIPACIÓN MAYORITARIA DE MUJERES CABEZA DE FAMILIA Y/O PERSONAS EN PROCESO DE REINCORPORACIÓN Y/O REINTEGRACIÓN (PERSONAS JURÍDICAS)
[Este formato se diligencia por el representante legal o el revisor fiscal, según corresponda, del integrante del Proponente Plural (persona jurídica) en el que mayoritariamente participen madres cabeza de familia y/o personas en proceso de reintegración o reincorporación. Este formato lo podrá presentar el integrante o los integrantes que, cumpliendo la condición anterior, tengan una participación de por lo menos el veinticinco por ciento (25 %) en el Consorcio o en la Unión Temporal y aporten mínimo el veinticinco por ciento (25 %) de la experiencia acreditada en la oferta.
En el evento que la oferta la presente una entidad privada sin ánimo de lucro, ya sea fundación, corporación o asociación se ajustará el formato en lo pertinente. En el evento en el que participen personas en proceso de reintegración o reincorporación, teniendo en cuenta que la información de este formato contiene datos sensibles la cual está sujeta a reserva legal, no se podrá publicar en el SECOP I y II para su conocimiento]
Señores
[NOMBRE DE LA ENTIDAD]
[Ciudad]
REFERENCIA: Proceso de Contratación [Incluir número del Proceso de Contratación]
Objeto:
[Incluir cuando el Proceso de Contratación sea estructurado por lotes o grupos] Lote: [Indicar el lote o lotes a los cuales se presenta oferta.]
Estimados señores:
[Incluir el nombre del representante legal de la persona jurídica o del revisor fiscal, según corresponda] identificado con [Incluir el número de identificación], en mi condición de [Indicar si actúa como representante legal o revisor fiscal] de [Incluir la razón social de la persona jurídica], [identificada con el NIT __________], certifico bajo la gravedad del juramento que más del cincuenta por ciento (50 %) de la composición accionaria o cuota parte de la persona jurídica del Proponente Plural está constituida por madres cabeza de familia y/o personas en proceso de reintegración o reincorporación.
En el siguiente cuadro señalo las madres cabeza de familia y/o personas en proceso de reincorporación o reintegración que participan mayoritariamente en la persona jurídica, junto con su respectivo porcentaje de participación:
| Identificación de las madres cabeza de familia o personas en proceso de reincorporación o reintegración (Incluir nombre y documento de identidad) | Número de cuotas sociales, acciones que poseen o el alcance o condición de su participación en el caso de las personas jurídicas sin ánimo de lucro |
De igual manera acredito que la condición de madre cabeza de familia y/o una persona en proceso de reincorporación o reintegración, se soporta de acuerdo con lo previsto en el inciso 1 del subnumeral 2 y/o el inciso 1 del subnumeral 6 del numeral 4.8 del Documento Base, para lo cual adjunto los documentos correspondientes.
[Para la acreditación de desempate establecida en el literal (c) del subnumeral 7 del numeral 4.8 del Documento Tipo incluir la siguiente redacción:]
Adicionalmente, los abajo firmantes certificamos que ni la madre cabeza de familia o la persona en proceso de reincorporación o reintegración, ni la persona jurídica, ni sus accionistas, socios o representantes legales son empleados, socios o accionistas de los miembros del Proponente Plural.
En constancia, se firma en ______________, a los ____ días del mes de _____ del 20__.
________________________________________
[Nombre y firma del representante legal de la persona jurídica o revisor fiscal]
| codigo | CCE-EICP-FM-76 | Versión | 2 |
FORMATO 10G – PAGOS REALIZADOS A MIPYMES, COOPERATIVAS O ASOCIACIONES MUTUALES
Señores
[NOMBRE DE LA ENTIDAD]
[Ciudad]
REFERENCIA: Proceso de Contratación [Incluir número del Proceso de Contratación]
Objeto:
[Incluir cuando el Proceso de Contratación sea estructurado por lotes o grupos] Lote: [Indicar el lote o lotes a los cuales se presenta oferta.]
Estimados señores:
[Incluir el nombre del Proponente persona natural y contador público, o el representante legal y revisor fiscal para las empresas obligadas por ley, o del representante legal y contador público, según corresponda] identificados con [Incluir el número de identificación], en nuestra condición de [Indicar si actúa como persona natural (nombre propio), representante legal o revisor fiscal] de [Incluir la razón social de la persona jurídica (si aplica)], [identificada con el NIT (si aplica) __________], declaramos bajo la gravedad del juramento que, de acuerdo con nuestros estados financieros o información contable con corte al 31 de diciembre del año anterior, por lo menos el veinticinco por ciento (25 %) del total de pagos fueron realizados a Mipyme, cooperativas o asociaciones mutuales por concepto de proveeduría del oferente, realizados durante el año anterior.
En constancia, se firma en ______________, a los ____ días del mes de _____ del 20__.
[En el evento que sea un Proponente persona natural quien presente la oferta, incluir las firmas de la siguiente manera:]
_________________________ _________________________
[Nombre y firma del Proponente o integrante persona natural y contador público] [En el evento que sea un Proponente persona jurídica quien presente la oferta, incluir las firmas de la siguiente manera:]
_________________________ _________________________
[Nombre y firma del representante legal y revisor fiscal para las empresas obligadas por ley o del representante legal y contador público, según corresponda]
| codigo | CCE-EICP-FM-76 | Versión | 2 |
FORMATO 10H – ACREDITACIÓN MIPYME
Señores
[NOMBRE DE LA ENTIDAD]
[Ciudad]
REFERENCIA: Proceso de Contratación [Incluir número del Proceso de Contratación]
Objeto:
[Incluir cuando el Proceso de Contratación sea estructurado por lotes o grupos] Lote: [Indicar el lote o lotes a los cuales se presenta oferta.]
Estimados señores:
[Incluir el nombre o integrante persona natural y contador público o del representante legal de la persona jurídica y el revisor fiscal para las personas obligadas por ley o del representante legal y contador público, según corresponda,] identificados con [Incluir el número de identificación], actuando en representación de [Indicar nombre del Proponente, o integrante de Proponente Plural] declaramos bajo la gravedad del juramento que la [indicar si es empresa o sociedad] se encuentra clasificada como: [Indicar si es micro, pequeña y mediana empresa] de acuerdo con los criterios definidos por las normas legales vigentes.
Adicionalmente, los abajo firmantes certificamos que ni la Mipyme, cooperativa o asociación mutual ni sus accionistas, socios o representantes legales son empleados, socios o accionistas de los miembros del Proponente Plural.
En constancia, se firma en ______________, a los ____ días del mes de _____ del 20__.
[En el evento que sea un Proponente persona natural quien presente la oferta, incluir las firmas de la siguiente manera:]
__________________________________________________
[Nombre y firma del Proponente o integrante persona natural y contador público]
[En el evento que sea un Proponente persona jurídica quien presente la oferta, incluir las firmas de la siguiente manera:]
_________________________ _________________________
[Nombre y firma del representante legal y revisor fiscal para las empresas obligadas por ley o del representante legal y contador público, según corresponda]
| codigo | CCE-EICP-FM-76 | Versión | 2 |
FORMATO 8 – FACTORES DE DESEMPATE
SELECCIÓN ABREVIADA DE OBRA PÚBLICA DE INFRAESTRUCTURA DE TRANSPORTE (VERSIÓN 2)
| Código | CCE-EICP-FM-22 | Página | 1 de 14 |
| Versión No. | 4 | ||
FORMATO 8A – PARTICIPACIÓN MAYORITARIA DE MUJERES CABEZA DE FAMILIA Y/O MUJERES VÍCTIMA DE VIOLENCIA INTRAFAMILIAR (PERSONA JURÍDICA)
[Este formato se diligencia por el representante legal o el revisor fiscal, según corresponda, de la persona jurídica en el que mayoritariamente participen mujeres cabeza de familia y/o mujeres víctima de violencia intrafamiliar. En el evento que la oferta la presente una entidad privada sin ánimo de lucro, ya sea fundación, corporación o asociación se ajustará el formato en lo pertinente. La información aquí vertida contiene datos sensibles los cuales están sujetos a reserva legal y, por tanto, no podrán publicarse en el SECOP I y II para su conocimiento]
Señores
[NOMBRE DE LA ENTIDAD]
[Ciudad]
REFERENCIA: Proceso de Contratación [Incluir número del Proceso de Contratación]
Objeto:
[Incluir cuando el Proceso de Contratación sea estructurado por lotes o grupos] Lote: [Indicar el lote o lotes a los cuales se presenta oferta.]
Estimados señores:
[Incluir el nombre del representante legal de la persona jurídica o del revisor fiscal, según corresponda] identificado con [Incluir el número de identificación], en mi condición de [Indicar si actúa como representante legal o revisor fiscal] de [Incluir la razón social de la persona jurídica] identificada con el NIT [Incluir el NIT], certifico bajo la gravedad del juramento que más del 50 % de la composición accionaria o cuota parte de la persona jurídica está constituida por mujeres cabeza de familia y/o mujeres víctima de violencia intrafamiliar. Esta información está soportada de acuerdo con los libros de comercio de la sociedad, los cuales gozan de reserva legal en los términos del artículo 61 del Código de Comercio.
En el siguiente cuadro señalo las mujeres cabeza de familia y/o mujeres víctima de violencia intrafamiliar que participan mayoritariamente en la persona jurídica, junto con su respectivo porcentaje de participación:
| Identificación de las mujeres cabeza de familia y/o mujeres víctima de violencia intrafamiliar que participan en la persona jurídica (Incluir nombre y documento de identidad) | Número de cuotas sociales, acciones que poseen o el alcance o condición de su participación en el caso de las personas jurídicas sin ánimo de lucro |
Sin perjuicio de lo anterior, para probar la condición de cada una de las mujeres que participan en la sociedad, aporto los documentos de cada una de ellas, de acuerdo con los incisos 1, 2 y 3 del subnumeral 2 del numeral 4.6 del Documento Base.
En constancia, se firma en ______________, a los ____ días del mes de _____ del 20__
[Nombre y firma del representante legal de la persona jurídica o el revisor fiscal, según corresponda
| codigo | CCE-EICP-FM-22 | Versión | 4 |
FORMATO 8B – VINCULACIÓN DE PERSONAS EN CONDICIÓN DE DISCAPACIDAD
[Tratándose de Proponentes Plurales, este formato lo presentará el integrante o los integrantes que tengan una participación de por lo menos el veinticinco por ciento (25 %) en el Consorcio o en la Unión Temporal y aporten mínimo el veinticinco por ciento (25 %) de la experiencia acreditada en la oferta]
Señores
[NOMBRE DE LA ENTIDAD]
[Ciudad]
REFERENCIA: Proceso de Contratación [Incluir número del Proceso de Contratación]
Objeto:
[Incluir cuando el Proceso de Contratación sea estructurado por lotes o grupos] Lote: [Indicar el lote o lotes a los cuales se presenta oferta.]
Estimados señores:
[Incluir el nombre de la persona natural, el representante legal de la persona jurídica o el revisor fiscal, según corresponda] identificado con [Incluir el número de identificación], en mi condición de [Indicar si actúa como, persona natural (nombre propio), representante legal o revisor fiscal] de [Incluir la razón social de la persona jurídica (si aplica)] [identificada con el NIT (si aplica) __________], certifico que tengo vinculado en la planta de personal un mínimo del diez por ciento (10 %) de empleados en las condiciones de discapacidad enunciadas en la Ley 361 de 1997, contratados [con una anterioridad no inferior a un año o desde la constitución de la sociedad -si aplica- (para sociedades con menos de un año de constitución)], para lo cual adjunto el certificado expedido por el Ministerio del Trabajo.
Para acreditar el tiempo de vinculación de que tratan los incisos 1 y 3 subnumeral 3 del numeral 4.6 del Documento Base, allego el certificado de aportes al Sistema de Seguridad Social del último año, en el que se demuestran los pagos realizados por el empleador.
De igual manera me comprometo en caso de resultar adjudicatario del Proceso de Contratación, a mantener vinculados a los empleados en condiciones de discapacidad por un lapso igual al del plazo de ejecución del contrato.
En constancia, se firma en ______________, a los ____ días del mes de _____ del 20__.
[Nombre y firma de la persona natural]
[Nombre y firma del representante legal de la persona jurídica o el revisor fiscal, según corresponda]
| codigo | CCE-EICP-FM-22 | Versión | 4 |
FORMATO 8C – VINCULACIÓN DE PERSONAS NO BENEFICIARIAS DE LA PENSIÓN DE VEJEZ, FAMILIAR O SOBREVIVENCIA (EMPLEADOR – PROPONENTE)
[Este formato lo diligencia la persona natural, el representante legal o el revisor fiscal de la persona jurídica que tenga dentro de su personal trabajadores mayores de edad vinculados en la planta de personal que no sean beneficiarios de la pensión de vejez, familiar o de sobrevivencia y que hayan cumplido la edad de pensión. En el caso de los Proponentes Plurales, este formato lo diligenciará el representante del Proponente Plural, en el cual certificará la totalidad de los trabajadores vinculados en la planta de personal de cada uno de los integrantes y la totalidad de personas mayores de edad vinculados de cada uno de sus integrantes, en las condiciones aquí exigidas en cuanto a no ser beneficiarios de la pensión de vejez, familiar o de sobrevivencia.]
Señores
[NOMBRE DE LA ENTIDAD]
[Ciudad]
REFERENCIA: Proceso de Contratación [Incluir número del Proceso de Contratación]
Objeto:
[Incluir cuando el Proceso de Contratación sea estructurado por lotes o grupos] Lote: [Indicar el lote o lotes a los cuales se presenta oferta.]
Estimados señores:
[Incluir el nombre de la persona natural, el representante legal de la persona jurídica o el revisor fiscal, según corresponda, o el representante del Proponente Plural] identificado con [Incluir el número de identificación], en mi condición de [Indicar si actúa como persona natural (nombre propio) representante legal o revisor fiscal o representante del Proponente Plural] de [Incluir la razón social de la persona jurídica (si aplica)] [identificada con el NIT (si aplica) __________], certifico que el número total de trabajadores personas mayores de edad vinculados en la planta del personal que no son beneficiarios de la pensión de vejez, familiar o de sobrevivencia y que hayan cumplido el requisito de edad de pensión establecido en la ley es el que se relaciona a continuación:
| Número total de trabajadores vinculados a la planta de personal | Número de personas mayores no beneficiarias a la pensión de vejez, familiar o de sobrevivencia y que hayan cumplido el requisito de pensión |
[Incluir el siguiente cuadro para los Proponentes Plurales]
| Número total de trabajadores vinculados a la planta de personal de los integrantes del proponente plural | Número de personas mayores, no beneficiarias a la pensión de vejez, familiar o de sobrevivencia y que hayan cumplido el requisito de pensión de los integrantes del proponente plural |
[El Proponente persona natural o jurídica incorporará una de las siguientes dos (2) opciones para manifestar el tiempo de vinculación de las personas anteriormente descritas, que cumplen las condiciones definidas en el numeral 4 del artículo 35 de la Ley 2069 de 2020].
[Opción 1. Esta opción la incorporará el Proponente persona natural o el Proponente persona jurídica cuya constitución sea igual o mayor a un (1) año]
Asimismo, manifiesto que las personas mayores no beneficiarias de la pensión de vejez, familiar o de sobrevivencia y que han cumplido el requisito de edad de pensión, han estado vinculadas a la planta de personal con una anterioridad igual o mayor a un (1) año contado a partir de la fecha del cierre del Proceso de Contratación.
Para acreditar el tiempo de vinculación en la planta referida de que trata el inciso anterior, allego el certificado de aportes al Sistema de Seguridad Social del último año, en el que se demuestran los pagos realizados por el empleador.
[Opción 2. Esta opción la incorporará el Proponente persona jurídica cuya constitución sea inferior a un (1) año]
Así mismo, manifiesto que las personas mayores no beneficiarias de la pensión de vejez, familiar o de sobrevivencia y que han cumplido el requisito de edad de pensión, han estado vinculadas a la planta de personal desde el momento de la constitución de la persona jurídica.
Para acreditar el tiempo de vinculación en la planta referida de que trata el inciso anterior, allego el certificado de aportes al Sistema de Seguridad Social del tiempo de constitución de la persona jurídica, en el que se demuestre los pagos realizados por el empleador.
En constancia, se firma en ______________, a los ____ días del mes de _____ del 20__.
[Nombre y firma de la persona natural]
[Nombre y firma del representante legal de la persona jurídica o el revisor fiscal, según corresponda, o el representante del Proponente Plural]
| codigo | CCE-EICP-FM-22 | Versión | 4 |
FORMATO 8C – VINCULACIÓN DE PERSONAS NO BENEFICIARIAS DE LA PENSIÓN DE VEJEZ, FAMILIAR O SOBREVIVENCIA (TRABAJADOR)
[Este formato lo diligencia el trabajador vinculado en la planta de personal del Proponente que presenta la oferta, que no sea beneficiario de la pensión de vejez, familiar o de sobrevivencia y que haya cumplido la edad de pensión]
Señores
[NOMBRE DE LA ENTIDAD]
[Ciudad]
REFERENCIA: Proceso de Contratación [Incluir número del Proceso de Contratación]
Objeto:
[Incluir cuando el Proceso de Contratación sea estructurado por lotes o grupos] Lote: [Indicar el lote o lotes a los cuales se presenta oferta.]
Estimados señores:
[Incluir el nombre del trabajador vinculado en la planta de personal de la persona natural o de la persona jurídica] identificado con [Incluir el número de identificación], en mi condición de trabajador vinculado a [Indicar el nombre de la persona jurídica o persona natural], [identificada con NIT o CC __________], certifico bajo la gravedad del juramento que no soy beneficiario de la pensión de vejez, familiar o de sobrevivencia y ya cumplí la edad de pensión.
Asimismo, manifiesto que me encuentro vinculado en la plata de personal [indicar si se trata de la persona natural o de la persona jurídica o del integrante del proponente plural] con una anterioridad [Indicar si el tiempo de vinculación es igual o mayor a un (1) año contado a partir de la fecha del cierre del Proceso de Contratación o desde el momento de la constitución de la persona jurídica en los casos que esta tenga menos de (1) año de constitución].
Adjunto a esta certificación aporto mi documento de identificación, de acuerdo con el inciso 4 del subnumeral 4 del numeral 4.6. del Documento Base.
En constancia, se firma en ______________, a los ____ días del mes de _____ del 20__.
________________________________________
[Nombre y firma del trabajador vinculado a la persona natural o jurídica]
| codigo | CCE-EICP-FM-22 | Versión | 4 |
FORMATO 8D – VINCULACIÓN DE POBLACIÓN INDÍGENA, NEGRA, AFROCOLOMBIANA, RAIZAL, PALENQUERA, RROM O GITANA
[La información de este formato contiene datos sensibles los cuales están sujetos a reserva legal y, por tanto, no podrán publicarse en el SECOP I y II para su conocimiento]
Señores
[NOMBRE DE LA ENTIDAD]
[Ciudad]
REFERENCIA: Proceso de Contratación [Incluir número del Proceso de Contratación]
Objeto:
[Incluir cuando el Proceso de Contratación sea estructurado por lotes o grupos] Lote: [Indicar el lote o lotes a los cuales se presenta oferta.]
Estimados señores:
[Incluir el nombre del Proponente persona natural o del representante legal de la persona jurídica o el revisor fiscal, según corresponda, o el representante del Proponente Plural] identificado con [Incluir el número de identificación], en mi condición de [Indicar si actúa como persona natural (nombre propio), representante legal o revisor fiscal] de [Incluir la razón social de la persona jurídica (si aplica)], [identificada con el NIT (si aplica) __________], certifico bajo la gravedad del juramento que:
i) El número total de trabajadores vinculados a la nómina corresponden a [Diligenciar el número de trabajadores vinculados a la nómina]
ii) En la nómina están vinculadas las siguientes personas: [Indicar a continuación el nombre y número de cédula de las personas que se encuentran vinculadas al Proponente o integrante de la estructura plural según corresponda y respecto de las cuales se aportan las pruebas correspondientes, para acreditar la pertenencia a población indígena, negra, afrocolombiana, raizal, palanquera, Rrom o gitanas]
| Nombre completo | Número de identificacion |
iii) Así mismo declaramos que las personas señaladas anteriormente se encuentran vinculadas con una antigüedad igual o mayor a un año contado a partir de la fecha del cierre del presente Proceso de Contratación. [Para los casos de personas jurídicas constituidas con menos de un año se tendrá que indicar que las personas señaladas se encuentran vinculadas desde el momento de constitución de esta].
Sin perjuicio de lo anterior, para probar la pertenencia a la población indígena, negra, afrocolombiana, raizal, palanquera, Rrom o gitanas, aporto la certificación expedida por el Ministerio del Trabajo, de acuerdo con los incisos 3 y 4 del subnumeral 5 del numeral 4.6 del Documento Base.
En constancia, se firma en ______________, a los ____ días del mes de _____ del 20__
_______________________________
[Nombre y firma de la persona natural]
_______________________________
Nombre y firma del representante legal de la persona jurídica o el revisor fiscal, según corresponda, o el representante del Proponente Plural]
| codigo | CCE-EICP-FM-22 | Versión | 4 |
FORMATO 8E – PARTICIPACIÓN MAYORITARIA DE PERSONAS EN PROCESO DE REINCORPORACIÓN Y/O REINTEGRACIÓN (PERSONAS JURÍDICAS)
[Este formato se diligencia por el representante legal o el revisor fiscal, si están obligados a tenerlo, de la persona jurídica en el que mayoritariamente participan personas en proceso de reintegración o reincorporación. En el evento que la oferta la presente una entidad privada sin ánimo de lucro, ya sea fundación, corporación o asociación se ajustará el formato en lo pertinente. La información de este formato contiene datos sensibles los cuales están sujetos a reserva legal y, por tanto, no podrán publicarse en el SECOP I y II para su conocimiento]
Señores
[NOMBRE DE LA ENTIDAD]
[Ciudad]
REFERENCIA: Proceso de Contratación [Incluir número del Proceso de Contratación]
Objeto:
[Incluir cuando el Proceso de Contratación sea estructurado por lotes o grupos] Lote: [Indicar el lote o lotes a los cuales se presenta oferta.]
Estimados señores:
[Incluir el nombre del representante legal de la persona jurídica y el revisor fiscal, si están obligados a tenerlo] identificado con [Incluir el número de identificación], en mi condición de [Indicar si actúa como representante legal o revisor fiscal o ambos] de [Incluir la razón social de la persona jurídica], [identificada con el NIT __________], certifico bajo gravedad del juramento que más del cincuenta por ciento (50 %) de la composición accionaria o cuota parte de la persona jurídica está constituida por personas en proceso reincorporación y/o reintegración. Esta información está soportada de acuerdo con los respectivos certificados de la Oficina del Alto Comisionado para la Paz, o del Comité Operativo para la Dejación de Armas, de la Agencia para la Reintegración y la Normalización y el documento de identificación de cada una de dichas personas.
En el siguiente cuadro señalo las personas en proceso de reincorporación o reintegración que participan mayoritariamente en la persona jurídica, junto con su respectivo porcentaje de participación:
| Identificación de las personas en proceso de reincorporación o reintegración (Incluir nombre y documento de identidad) | Número de cuotas sociales, acciones que poseen o el alcance o condición de su participación en el caso de las personas jurídicas sin ánimo de lucro |
Adjunto a esta certificación aporto los documentos de identificación de las personas en proceso de reincorporación o reintegración, de acuerdo con los incisos 1 y 2 del subnumeral 6 del numeral 4.6. del Documento Base.
En constancia, se firma en ______________, a los ____ días del mes de _____ del 20__.
________________________________________
[Nombre y firma del representante legal de la persona jurídica o revisor fiscal]
| codigo | CCE-EICP-FM-22 | Versión | 4 |
FORMATO 8E – PARTICIPACIÓN MAYORITARIA DE PERSONAS EN PROCESO DE REINCORPORACIÓN (PERSONA JURÍDICA INTEGRANTE DEL PROPONENTE PLURAL)
[Este formato se diligencia por el representante legal o el revisor fiscal, si están obligados a tenerlo, de la persona jurídica del Proponente Plural en el que mayoritariamente participan personas en proceso de reincorporación. En el evento que la oferta la presente una entidad privada sin ánimo de lucro, ya sea fundación, corporación o asociación se ajustará el formato en lo pertinente. La información de este formato contiene datos sensibles los cuales están sujetos a reserva legal y, por tanto, no se podrán publicar en el SECOP I y II para su conocimiento]
Señores
[NOMBRE DE LA ENTIDAD]
[Ciudad]
REFERENCIA: Proceso de Contratación [Incluir número del Proceso de Contratación]
Objeto:
[Incluir cuando el Proceso de Contratación sea estructurado por lotes o grupos] Lote: [Indicar el lote o lotes a los cuales se presenta oferta.]
Estimados señores:
[Incluir el nombre del representante legal de la persona jurídica o el revisor fiscal, si están obligados a tenerlo] identificado con [Incluir el número de identificación], en mi condición de [Indicar si actúa como representante legal o revisor fiscal o ambos] de [Incluir la razón social de la persona jurídica], [identificada con el NIT __________], certifico bajo gravedad del juramento que más del cincuenta por ciento (50 %) de la composición accionaria o cuota parte de la persona jurídica está constituida por personas en proceso de reincorporación. Esta información está soportada de acuerdo con los respectivos certificados de la Oficina del Alto Comisionado para la Paz, o del Comité Operativo para la Dejación de Armas, de la Agencia para la Reincorporación y la Normalización y el documento de identificación de cada una de dichas personas.
En el siguiente cuadro señalo las personas en proceso de reincorporación que participan mayoritariamente en la persona jurídica, junto con su respectivo porcentaje de participación:
| Identificación de las personas en proceso de reincorporación (Incluir nombre y documento de identidad) | Número de cuotas sociales, acciones que poseen o el alcance o condición de su participación en el caso de las personas jurídicas sin ánimo de lucro |
Adjunto a esta certificación aporto los documentos de identificación de las personas en proceso de reincorporación o reintegración, de acuerdo con el inciso 3 del subnumeral 6 del numeral 4.6. del Documento Base. En constancia, se firma en ______________, a los ____ días del mes de _____ del 20__.
[Nombre y firma del representante legal de la persona jurídica o revisor fiscal]
| codigo | CCE-EICP-FM-22 | Versión | 4 |
FORMATO 8F – PARTICIPACIÓN MAYORITARIA DE MUJERES CABEZA DE FAMILIA Y/O PERSONAS EN PROCESO DE REINCORPORACIÓN Y/O REINTEGRACIÓN (PERSONAS JURÍDICAS)
[Este formato se diligencia por el representante legal o el revisor fiscal, según corresponda, del integrante del Proponente Plural (persona jurídica) en el que mayoritariamente participen madres cabeza de familia y/o personas en proceso de reintegración o reincorporación. Este formato lo podrá presentar el integrante o los integrantes que, cumpliendo la condición anterior, tengan una participación de por lo menos el veinticinco por ciento (25 %) en el Consorcio o en la Unión Temporal y aporten mínimo el veinticinco por ciento (25 %) de la experiencia acreditada en la oferta.
En el evento que la oferta la presente una entidad privada sin ánimo de lucro, ya sea, fundación, corporación o asociación se ajustará el formato en lo pertinente.
En el evento en el que participen personas en proceso de reintegración o reincorporación, teniendo en cuenta que la información de este formato contiene datos sensibles la cual está sujeta a reserva legal, no se podrá publicar en el SECOP I y II para su conocimiento]
Señores
[NOMBRE DE LA ENTIDAD]
[Ciudad]
REFERENCIA: Proceso de Contratación [Incluir número del Proceso de Contratación]
Objeto:
[Incluir cuando el Proceso de Contratación sea estructurado por lotes o grupos] Lote: [Indicar el lote o lotes a los cuales se presenta oferta.]
Estimados señores:
[Incluir el nombre del representante legal de la persona jurídica o del revisor fiscal, según corresponda] identificado con [Incluir el número de identificación], en mi condición de [Indicar si actúa como representante legal o revisor fiscal] de [Incluir la razón social de la persona jurídica], [identificada con el NIT __________], certifico bajo la gravedad del juramento que más del cincuenta por ciento (50 %) de la composición accionaria o cuota parte de la persona jurídica del Proponente Plural está constituida por madres cabeza de familia y/o personas en proceso de reintegración o reincorporación.
En el siguiente cuadro señalo las madres cabeza de familia y/o personas en proceso de reincorporación o reintegración que participan mayoritariamente en la persona jurídica, junto con su respectivo porcentaje de participación:
| Identificación de las madres cabeza de familia o personas en proceso de reincorporación o reintegración (Incluir nombre y documento de identidad) | Número de cuotas sociales, acciones que poseen o el alcance o condición de su participación en el caso de las personas jurídicas sin ánimo de lucro |
De igual manera acredito que la condición de madre cabeza de familia y/o una persona en proceso de reincorporación o reintegración, se soporta de acuerdo con lo previsto en el inciso 1 del subnumeral 2 y/o el inciso 1 del subnumeral 6 del numeral 4.6 del Documento Base, para lo cual adjunto los documentos correspondientes.
[Para la acreditación de desempate establecida en el literal (c) del subnumeral 7 del numeral 4.6 del Documento Tipo incluir la siguiente redacción:]
Adicionalmente, los abajo firmantes certificamos que ni la madre cabeza de familia o la persona en proceso de reincorporación o reintegración, ni la persona jurídica, ni sus accionistas, socios o representantes legales son empleados, socios o accionistas de los miembros del Proponente Plural.
En constancia, se firma en ______________, a los ____ días del mes de _____ del 20__.
________________________________________
[Nombre y firma del representante legal de la persona jurídica o revisor fiscal]
| codigo | CCE-EICP-FM-22 | Versión | 4 |
FORMATO 8G – PAGOS REALIZADOS A MIPYMES, COOPERATIVAS O ASOCIACIONES MUTUALES
Señores
[NOMBRE DE LA ENTIDAD]
[Ciudad]
REFERENCIA: Proceso de Contratación [Incluir número del Proceso de Contratación]
Objeto:
[Incluir cuando el Proceso de Contratación sea estructurado por lotes o grupos] Lote: [Indicar el lote o lotes a los cuales se presenta oferta.]
Estimados señores:
[Incluir el nombre del Proponente persona natural y contador público, o el representante legal y revisor fiscal para las empresas obligadas por ley, o del representante legal y contador público, según corresponda] identificados con [Incluir el número de identificación], en nuestra condición de [Indicar si actúa como persona natural (nombre propio), representante legal o revisor fiscal] de [Incluir la razón social de la persona jurídica (si aplica)], [identificada con el NIT (si aplica) __________], declaramos bajo la gravedad del juramento, que de acuerdo con nuestros estados financieros o información contable con corte al 31 de diciembre del año anterior, por lo menos el veinticinco por ciento (25 %) del total de pagos fueron realizados a Mipyme, cooperativas o asociaciones mutuales por concepto de proveeduría del oferente, realizados durante el año anterior.
En constancia, se firma en ______________, a los ____ días del mes de _____ del 20__.
[En el evento que sea un Proponente persona natural quien presente la oferta, incluir las firmas de la siguiente manera:]
_________________________ _________________________
[Nombre y firma del Proponente o integrante persona natural y contador público]
[En el evento que sea un Proponente persona jurídica quien presente la oferta, incluir las firmas de la siguiente manera:]
_________________________ _________________________
[Nombre y firma del representante legal y revisor fiscal para las empresas obligadas por ley o del representante legal y contador público, según corresponda]
| codigo | CCE-EICP-FM-22 | Versión | 4 |
FORMATO 8H – ACREDITACIÓN MIPYME
Señores
[NOMBRE DE LA ENTIDAD]
[Ciudad]
REFERENCIA: Proceso de Contratación [Incluir número del Proceso de Contratación]
Objeto:
[Incluir cuando el Proceso de Contratación sea estructurado por lotes o grupos] Lote: [Indicar el lote o lotes a los cuales se presenta oferta.]
Estimados señores:
[Incluir el nombre o integrante persona natural y contador público o del representante legal de la persona jurídica y el revisor fiscal para las personas obligadas por ley o del representante legal y contador público, según corresponda,] identificados con [Incluir el número de identificación], actuando en representación de [Indicar nombre del Proponente, o integrante de Proponente Plural] declaramos bajo la gravedad del juramento que la [indicar si es empresa o sociedad] se encuentra clasificada como: [Indicar si es micro, pequeña y mediana empresa] de acuerdo con los criterios definidos por las normas legales vigentes.
Adicionalmente, los abajo firmantes certificamos que ni la Mipyme, cooperativa o asociación mutual ni sus accionistas, socios o representantes legales son empleados, socios o accionistas de los miembros del Proponente Plural.
En constancia, se firma en ______________, a los ____ días del mes de _____ del 20__.
[En el evento que sea un Proponente persona natural quien presente la oferta, incluir las firmas de la siguiente manera:]
__________________________________________________
[Nombre y firma del Proponente o integrante persona natural y contador público]
[En el evento que sea un Proponente persona jurídica quien presente la oferta, incluir las firmas de la siguiente manera:]
_________________________ _________________________
[Nombre y firma del representante legal y revisor fiscal para las empresas obligadas por ley o del representante legal y contador público, según corresponda]
| codigo | CCE-EICP-FM-22 | Versión | 4 |
FORMATO 11 – AUTORIZACIÓN PARA EL TRATAMIENTO DE DATOS PERSONALES LICITACIÓN DE INFRAESTRUCTURA DE TRANSPORTE (VERSIÓN 3)
| Código | CCE-EICP-FM-77 | Página | 1 de 2 |
| Versión No. | 2 | ||
FORMATO 11 – AUTORIZACIÓN PARA EL TRATAMIENTO DE DATOS PERSONALES
[El presente Formato lo diligenciará toda persona (Proponente, socia o trabajador) que al momento de presentar su oferta contenga datos sensibles, para que la Entidad Estatal contratante garantice el tratamiento adecuado a estos datos]
Señores
[NOMBRE DE LA ENTIDAD]
[Dirección de la Entidad]
[Ciudad]
REFERENCIA: Proceso de Contratación [Incluir número del Proceso de Contratación]
Objeto:
[Incluir cuando el Proceso de Contratación sea estructurado por lotes o grupos] Lote: [Indicar el lote o lotes a los cuales se presenta oferta.]
Cumpliendo la Ley 1581 de 2012 “Por el cual se dictan disposiciones para la protección de datos personales” y conforme al Decreto 1377 de 2013, con la firma de este documento manifiesto que he sido informado por [Incluir el nombre de la Entidad] de lo siguiente:
1) La [Incluir el nombre de la Entidad Estatal] actuará como responsable del tratamiento de datos personales de los cuales soy titular y que conjunta o separadamente podrá recolectar, almacenar y usarlos para hacer efectivo el factor de desempate previsto en el numeral 4.8, subnumerales 2, 5, 6 y 7 del Pliego de Condiciones, relacionados con la acreditación de ser víctima de violencia intrafamiliar, persona perteneciente a la población indígena, negra, afrocolombiana raizal, palenquera, Rrom, o gitanas, o persona en proceso de reintegración o reincorporación.
| Autoriza | ||
| Finalidad | SÍ | NO |
| Hacer efectivo el factor de desempate para la acreditación de una mujer víctima de violencia intrafamiliar, persona perteneciente a la población indígena, negra, afrocolombiana raizal, palenquera, Rrom, o gitanas, o persona en proceso de reintegración o reincorporación. | ||
2) Entiendo que son datos sensibles aquellos que afectan la intimidad del titular o cuyo uso indebido puede generar discriminación, tales como aquellos que revelen el origen racial o étnico, la orientación política, las convicciones religiosas o filosóficas, la pertenencia a sindicatos, organizaciones sociales, de derechos humanos o que promueva intereses de cualquier partido político o que garanticen los derechos y garantías de partidos políticos de oposición así como los datos relativos con la salud, la vida sexual y los datos biométricos.
3) Manifiesto que me informaron que los datos sensibles que se recolectarán serán utilizados para hacer efectivo el criterio de desempate previsto en el numeral 4.8, subnumerales 2, 5, 6 y 7 del Pliego de Condiciones, relacionados con la acreditación de ser víctima de violencia intrafamiliar, integrante de la población indígena, negra, afrocolombiana raizal, palenquera, Rrom, o gitanas, o persona en proceso de reintegración o reincorporación.
Derechos del titular
Sus derechos como titular de los datos son los previstos en la Constitución y en la Ley 1581 de 2012, especialmente los siguientes:
a) Acceder en forma gratuita a los datos proporcionados que hayan sido objeto de tratamiento.
b) Solicitar la actualización y rectificación de su información frente a los datos parciales, inexactos, incompletos.
c) Solicitar prueba de la autorización otorgada.
d) Presentar ante la Superintendencia de Industria y Comercio quejas por infracciones a lo dispuesto en la normatividad vigente.
e) Revocar la autorización y/o solicitar la supresión del dato, a menos que exista un deber legal o contractual que haga imperativo conservar la información.
f) Abstenerse de responder las preguntas sobre datos sensibles o sobre datos de las niñas y niños y adolescentes.
Estos derechos los podré ejercer mediante los canales o medios dispuestos por [Incluir nombre de la Entidad] para la atención al público, la línea de atención nacional [incluir número de atención de la Entidad], el correo electrónico [incluir el correo electrónico] y las oficinas de atención al cliente a nivel nacional, cuya información puedo consultar en [incluir página web de la Entidad], disponibles de [lunes a viernes de 8:00 am a 6:00 p.m.].
Por todo lo anterior, he otorgado mi consentimiento a [Incluir nombre de la Entidad] para que trate mi información personal de acuerdo con la Política de Tratamiento de Datos Personales dispuesta en [Incluir el link en donde se encuentra la Política de Tratamiento de Datos Personales] y que me dio a conocer antes de recolectarlos.
Manifiesto que la presente autorización me fue solicitada y puesta de presente antes de entregar mis datos y que la suscribo de forma libre y voluntaria una vez leída en su totalidad.
Nombre: [Incluir nombre del titular de la autorización datos sensibles para la autorización de datos]
Firma: [Incluir firma del titular]
Identificación: [Incluir número de identificación del titular de datos sensibles]
Fecha: [Fecha en que se puso de presente la autorización y entregó sus datos]
| codigo | CCE-EICP-FM-77 | Versión | 2 |
FORMATO 11 – AUTORIZACIÓN PARA EL TRATAMIENTO DE DATOS PERSONALES SELECCIÓN ABREVIADA DE MENOR CUANTÍA DE INFRAESTRUCTURA DE TRANSPORTE (VERSIÓN 2)
| Código | CCE-EICP-FM-78 | Página | 1 de 2 |
| Versión No. | 2 | ||
FORMATO 11 – AUTORIZACIÓN PARA EL TRATAMIENTO DE DATOS PERSONALES
[El presente Formato lo diligenciará toda persona (Proponente, socia o trabajador) que al momento de presentar su oferta contenga datos sensibles, para que la Entidad Estatal contratante garantice el tratamiento adecuado a estos datos]
Señores
[NOMBRE DE LA ENTIDAD]
[Dirección de la Entidad]
[Ciudad]
REFERENCIA: Proceso de Contratación [Incluir número del Proceso de Contratación]
Objeto:
[Incluir cuando el Proceso de Contratación sea estructurado por lotes o grupos] Lote: [Indicar el lote o lotes a los cuales se presenta oferta.]
Cumpliendo la Ley 1581 de 2012 “Por el cual se dictan disposiciones para la protección de datos personales” y conforme al Decreto 1377 de 2013, con la firma de este documento manifiesto que he sido informado por [Incluir el nombre de la Entidad] de lo siguiente:
1) La [Incluir el nombre de la Entidad Estatal] actuará como responsable del tratamiento de datos personales de los cuales soy titular y que conjunta o separadamente podrá recolectar, almacenar y usarlos para hacer efectivo el factor de desempate previsto en el numeral 4.6, subnumerales 2, 5, 6 y 7 del Pliego de Condiciones, relacionados con la acreditación de ser víctima de violencia intrafamiliar, persona perteneciente a la población indígena, negra, afrocolombiana raizal, palenquera, Rrom, o gitanas, o persona en proceso de reintegración o reincorporación.
| Autoriza | ||
| Finalidad | SÍ | NO |
| Hacer efectivo el factor de desempate para la acreditación de una mujer víctima de violencia intrafamiliar, persona perteneciente a la población indígena, negra, afrocolombiana raizal, palenquera, Rrom, o gitana, o persona en proceso de reintegración o reincorporación. | ||
2) Entiendo que son datos sensibles aquellos que afectan la intimidad del titular o cuyo uso indebido puede generar discriminación, tales como aquellos que revelen el origen racial o étnico, la orientación política, las convicciones religiosas o filosóficas, la pertenencia a sindicatos, organizaciones sociales, de derechos humanos o que promueva intereses de cualquier partido político o que garanticen los derechos y garantías de partidos políticos de oposición así como los datos relativos con la salud, la vida sexual y los datos biométricos.
3) Manifiesto que me informaron que los datos sensibles que se recolectarán serán utilizados para hacer efectivo el criterio de desempate previsto en el numeral 4.6, subnumerales 2, 5, 6 y 7 del Pliego de Condiciones, relacionados con la acreditación de ser víctima de violencia intrafamiliar, integrante de la población indígena, negra, afrocolombiana raizal, palenquera, Rrom, o gitanas, o persona en proceso de reintegración o reincorporación.
Derechos del titular
Sus derechos como titular de los datos son los previstos en la Constitución y en la Ley 1581 de 2012, especialmente los siguientes:
a) Acceder en forma gratuita a los datos proporcionados que hayan sido objeto de tratamiento.
b) Solicitar la actualización y rectificación de su información frente a los datos parciales, inexactos, incompletos.
c) Solicitar prueba de la autorización otorgada.
d) Presentar ante la Superintendencia de Industria y Comercio quejas por infracciones a lo dispuesto en la normatividad vigente.
e) Revocar la autorización y/o solicitar la supresión del dato, a menos que exista un deber legal o contractual que haga imperativo conservar la información.
f) Abstenerse de responder las preguntas sobre datos sensibles o sobre datos de las niñas y niños y adolescentes.
Estos derechos los podré ejercer mediante los canales o medios dispuestos por [Incluir nombre de la Entidad] para la atención al público, la línea de atención nacional [incluir número de atención de la Entidad], el correo electrónico [incluir el correo electrónico] y las oficinas de atención al cliente a nivel nacional, cuya información puedo consultar en [incluir página web de la Entidad], disponibles de [lunes a viernes de 8:00 am a 6:00 p.m.].
Por todo lo anterior, he otorgado mi consentimiento a [Incluir nombre de la Entidad] para que trate mi información personal de acuerdo con la Política de Tratamiento de Datos Personales dispuesta en [Incluir el link en donde se encuentra la Política de Tratamiento de Datos Personales] y que me dio a conocer antes de recolectarlos.
Manifiesto que la presente autorización me fue solicitada y puesta de presente antes de entregar mis datos y que la suscribo de forma libre y voluntaria una vez leída en su totalidad.
Nombre: [Incluir nombre del titular de la autorización datos sensibles para la autorización de datos]
Firma: [Incluir firma del titular]
Identificación: [Incluir número de identificación del titular de datos sensibles]
Fecha: [Fecha en que se puso de presente la autorización y entregó sus datos]
| codigo | CCE-EICP-FM-78 | Versión | 2 |
FORMATO 12A – ACREDITACIÓN DE EMPRENDIMIENTOS Y EMPRESAS DE MUJERES (PERSONA JURÍDICA)
[Este Formato debe diligenciarse por los Proponentes personas jurídicas o los integrantes que sean personas jurídicas del Proponente Plural cuyo porcentaje de participación sea al menos del diez por ciento (10 %) y acrediten la condición de emprendimientos y empresas de mujeres.]
Señores
[NOMBRE DE LA ENTIDAD]
[Ciudad]
REFERENCIA: Proceso de Contratación [Incluir número del Proceso de Contratación]
Objeto:
[Incluir cuando el Proceso de Contratación sea estructurado por lotes o grupos] Lote: [Indicar el lote o lotes a los cuales se presenta oferta.]
Estimados señores:
[Incluir el nombre del representante legal de la persona jurídica y del revisor fiscal, cuando este último exista de acuerdo con los requerimientos de ley, o el contador] identificados con [Incluir los números de identificación], en nuestra condición de representante legal [y revisor fiscal, en caso de estar obligado según los requerimientos de ley, o el contador] de [Incluir la razón social de la persona jurídica] identificada con el NIT [Incluir el NIT], en adelante el Proponente, acreditamos la condición de ser emprendimiento y empresa de mujer en los términos del artículo 2.2.1.2.4.2.14 del Decreto 1082 de 2015.
[El Proponente escogerá una de las siguientes dos (2) opciones para acreditar la condición de emprendimiento y empresa de mujer:]
[Opción 1. Incorporar si la participación accionaria de la persona jurídica en su mayoría son mujeres y los derechos de propiedad han pertenecido a éstas durante el último año.]
Manifestamos bajo la gravedad del juramento que más del cincuenta por ciento (50 %) de las acciones, partes de interés o cuotas de participación de la persona jurídica pertenecen a mujeres y los derechos de propiedad han pertenecido a estas durante al menos el último año anterior a la fecha de cierre del Proceso de Contratación. En el siguiente cuadro señalamos la identificación de las mujeres en la persona jurídica y la distribución de los derechos en la sociedad durante el último año:
| Nombre completo y número de identificación de la (s) mujeres (s) que tienen o tuvieron participación durante el último año en la persona jurídica | Número de acciones, partes de interés o cuotas de participación de la persona jurídica, o el alcance o condición de su participación en el caso de las personas jurídicas sin ánimo de lucro |
De igual manera, manifestamos bajo la gravedad del juramento que más del cincuenta por ciento (50 %) de las acciones, partes de interés o cuotas de participación de la persona jurídica ha pertenecido a mujeres, y dicha participación mayoritaria se ha mantenido a partir de: [Indicar la fecha (día/mes/año) desde que se cumple con dicha condición].
[Opción 2. Incorporar si por lo menos el cincuenta por ciento (50 %) de los empleos del nivel directivo de la persona jurídica son ejercidos por mujeres y estas han estado vinculadas laboralmente durante al menos el último año.]
En el siguiente cuadro señalamos de forma detallada la denominación de los cargos directivos que existen dentro de la persona jurídica, la identificación de las personas que ocuparon o ejercen los cargos del nivel directivo del Proponente y el tiempo de vinculación:
| Denominación del cargo directivo dentro de la empresa | Nombre completo y número de identificación de la (s) persona (s) que ocuparon / ejercen el cargo durante el último año en la persona jurídica | Tiempo de vinculación de la (s) persona(s) que ejerció / ejerce el cargo del nivel directivo |
| [Indique la denominación del cargo directivo, a modo de ejemplo: Gerente | [Indique el nombre completo y el número de identificación de las personas que ocuparon / ejercen el cargo en el último año] | [Indique el tiempo de vinculación de la persona que ejerció/ejerce el cargo en el nivel directivo] |
| general, director ejecutivo] | [Indique el nombre completo y el número de identificación de las personas que ocuparon / ejercen el cargo en el último año] | [Indique el tiempo de vinculación de la persona que ejerció/ejerce el cargo en el nivel directivo] |
| [Indique el nombre completo y el número de identificación de las personas que ocuparon / ejercen el cargo en el último año] | [Indique el tiempo de vinculación de la persona que ejerció/ejerce el cargo en el nivel directivo] | |
| [Indique el nombre completo y el número de identificación de las personas que ocuparon / ejercen el cargo en el último año] | [Indique el tiempo de vinculación de la persona que ejerció/ejerce el cargo en el nivel directivo] | |
| [Indique la denominación del cargo directivo, a modo de ejemplo: Gerente/ | [Indique el nombre completo y el número de identificación de las personas que ocuparon / ejercen el cargo en el último año] | [Indique el tiempo de vinculación de la persona que ejerció/ejerce el cargo en el nivel directivo] |
| Director de ventas] | [Indique el nombre completo y el número de identificación de las personas que ocuparon / ejercen el cargo en el último año] | [Indique el tiempo de vinculación de la persona que ejerció/ejerce el cargo en el nivel directivo] |
| [Indique el nombre completo y el número de identificación de las personas que ocuparon / ejercen el cargo en el último año] | [Indique el tiempo de vinculación de la persona que ejerció/ejerce el cargo en el nivel directivo] | |
| [Indique el nombre completo y el número de identificación de las personas que ocuparon / ejercen el cargo en el último año] | [Indique el tiempo de vinculación de la persona que ejerció/ejerce el cargo en el nivel directivo] | |
| [Indique la denominación del cargo directivo, a modo de ejemplo: Director de | [Indique el nombre completo y el número de identificación de las personas que ocuparon / ejercen el cargo en el último año] | [Indique el tiempo de vinculación de la persona que ejerció/ejerce el cargo en el nivel directivo] |
| desarrollo tecnológico] | [Indique el nombre completo y el número de identificación de las personas que ocuparon / ejercen el cargo en el último año] | [Indique el tiempo de vinculación de la persona que ejerció/ejerce el cargo en el nivel directivo] |
Conforme a lo anterior, manifestamos bajo la gravedad del juramento que por lo menos el cincuenta por ciento (50 %) de los empleos del nivel directivo de la persona jurídica han sido ejercidos por mujeres y estas han estado vinculadas laboralmente a la empresa durante al menos el último año anterior a la fecha de cierre del Proceso de Contratación en el mismo cargo u otro del mismo nivel.
Para los efectos de esta certificación son empleos del nivel directivo aquellos cuyas funciones están relacionadas con la dirección de áreas misionales de la empresa y la toma de decisiones a nivel estratégico. En este sentido, son cargos del rango directivo los que dentro de la organización de la empresa implican mando o los que por su jerarquía desempeñan cargos encaminados al cumplimiento de funciones orientadas a representar al empleador.
Como soporte de esta declaración se anexa copia de (i) los respectivos documentos de identidad, (ii) los contratos de trabajo o certificación laboral con las funciones y (iii) el certificado de aportes al Sistema de Seguridad Social del último año en el que se demuestren los pagos realizados por el empleador, en relación con cada una de las personas que conforman el nivel directivo del Proponente.
[Si el Proponente cumple ambas condiciones escogerá alguna de las dos (2) opciones descritas, para acreditar la calidad de emprendimientos y empresas de mujeres en los términos del 2.2.1.2.4.2.14 del Decreto 1082 de 2015]
En constancia, se firma en ______________, a los ____ días del mes de _____ del 20__
[Nombre y firma del representante legal de la persona jurídica]
[Nombre y firma del contador o revisor fiscal, si está obligado a tenerlo]
| Codigo | CCE-EICP-FM-125 | Versión | 2 |
FORMATO 12B – ACREDITACIÓN DE EMPRENDIMIENTOS Y EMPRESAS DE MUJERES (PERSONA NATURAL)
[Este Formato debe diligenciarse por los Proponentes personas naturales o los integrantes personas naturales del Proponente Plural cuyo porcentaje de participación sea al menos del diez por ciento (10 %) y acredite la condición de emprendimientos y empresas de mujeres.]
Señores
[NOMBRE DE LA ENTIDAD]
[Ciudad]
REFERENCIA: Proceso de Contratación [Incluir número del Proceso de Contratación]
Objeto:
[Incluir cuando el Proceso de Contratación sea estructurado por lotes o grupos] Lote: [Indicar el lote o lotes a los cuales se presenta oferta.]
Estimados señores:
[Incluir el nombre de la persona natural] identificada con [Incluir el número de identificación], en mi condición de mujer, en adelante el Proponente, certifico la condición de ser emprendimiento y empresa de mujer en los términos del artículo 2.2.1.2.4.2.14 del Decreto 1082 de 2015, para lo cual manifiesto bajo la gravedad del juramento que he ejercido actividades comerciales a través del establecimiento de comercio [Indicar el nombre del establecimiento de comercio], [identificado con NIT __________], durante al menos el último año anterior contado a partir de la fecha del cierre del Proceso de Contratación.
Para acreditar la anterior circunstancia aporto [copia de la cédula de ciudadanía, la cédula de extranjería o el pasaporte, según corresponda], así como la copia del registro mercantil.
En constancia, se firma en ______________, a los ____ días del mes de _____ del 20__.
[Nombre y firma de la persona natural]
| Codigo | CCE-EICP-FM-125 | Versión | 2 |
FORMATO 12C – ACREDITACIÓN DE EMPRENDIMIENTOS Y EMPRESAS DE MUJERES (ASOCIACIONES Y COOPERATIVAS)
[Este Formato debe diligenciarse por los Proponentes que son asociaciones o cooperativas o los integrantes asociaciones o cooperativas del Proponente Plural cuyo porcentaje de participación sea al menos del diez por ciento (10 %) y acredite la condición de emprendimientos y empresas de mujeres.]
Señores
[NOMBRE DE LA ENTIDAD]
[Ciudad]
REFERENCIA: Proceso de Contratación [Incluir número del Proceso de Contratación]
Objeto:
[Incluir cuando el Proceso de Contratación sea estructurado por lotes o grupos] Lote: [Indicar el lote o lotes a los cuales se presenta oferta.]
Estimados señores:
[Incluir el nombre del representante legal de la asociación o cooperativa] identificado con [Incluir el número de identificación], en mi condición de representante legal de [Incluir la razón social de la asociación o cooperativa] identificado con el NIT [Incluir el NIT], en adelante el Proponente, certifico la condición de ser emprendimiento y empresa de mujer en los términos del artículo 2.2.1.2.4.2.14 del Decreto 1082 de 2015, para lo cual manifiesto bajo la gravedad del juramento que más del cincuenta por ciento (50 %) de los asociados son mujeres y que la participación de estas en la [indicar si es en la asociación o cooperativa] ha permanecido durante al menos el último año anterior contado a partir de la fecha de cierre del Proceso de Contratación.
En constancia, se firma en ______________, a los ____ días del mes de _____ del 20__
[Nombre y firma del representante legal de la asociación o cooperativa]
| Codigo | CCE-EICP-FM-125 | Versión | 2 |
FORMATO 12 ACREDITACIÓN DE EMPRENDIMIENTO Y EMPRESA DE MUJERES SELECCIÓN ABREVIADA DE MENOR CUANTÍA DE INFRAESTRUCTURA DE TRANSPORTE (VERSIÓN 2)
| Código | CCE-EICP-FM-127 | Página | 1 de 5 |
| Versión No. | 1 | ||
FORMATO 12A – ACREDITACIÓN DE EMPRENDIMIENTOS Y EMPRESAS DE MUJERES (PERSONA JURÍDICA)
[Este Formato debe diligenciarse por los Proponentes personas jurídicas o los integrantes que sean personas jurídicas del Proponente Plural cuyo porcentaje de participación sea al menos del diez por ciento (10 %) y acrediten la condición de emprendimientos y empresas de mujeres.]
Señores
[NOMBRE DE LA ENTIDAD]
[Ciudad]
REFERENCIA: Proceso de Contratación [Incluir número del Proceso de Contratación]
Objeto:
[Incluir cuando el Proceso de Contratación sea estructurado por lotes o grupos] Lote: [Indicar el lote o lotes a los cuales se presenta oferta.]
Estimados señores:
[Incluir el nombre del representante legal de la persona jurídica y del revisor fiscal, cuando este último exista de acuerdo con los requerimientos de ley, o el contador] identificados con [Incluir los números de identificación], en nuestra condición de representante legal [y revisor fiscal, en caso de estar obligado según los requerimientos de ley, o el contador] de [Incluir la razón social de la persona jurídica] identificada con el NIT [Incluir el NIT], en adelante el Proponente, acreditamos la condición de ser emprendimiento y empresa de mujer en los términos del artículo 2.2.1.2.4.2.14 del Decreto 1082 de 2015.
[El Proponente escogerá una de las siguientes dos (2) opciones para acreditar la condición de emprendimiento y empresa de mujer:]
[Opción 1. Incorporar si la participación accionaria de la persona jurídica en su mayoría son mujeres y los derechos de propiedad han pertenecido a éstas durante el último año.]
Manifestamos bajo la gravedad del juramento que más del cincuenta por ciento (50 %) de las acciones, partes de interés o cuotas de participación de la persona jurídica pertenecen a mujeres y los derechos de propiedad han pertenecido a estas durante al menos el último año anterior a la fecha de cierre del Proceso de Contratación. En el siguiente cuadro señalamos identificación de las mujeres en la persona jurídica y la distribución de los derechos en la sociedad durante el último año:
| Nombre completo y número de identificación de la (s) mujeres (s) que tienen o tuvieron participación durante el último año en la persona jurídica | Número de acciones, partes de interés o cuotas de participación de la persona jurídica, o el alcance o condición de su participación en el caso de las personas jurídicas sin ánimo de lucro | ||
| Codigo | CCE-EICP-FM-127 | Versión | 1 |
De igual manera, manifestamos bajo la gravedad del juramento que más del cincuenta por ciento (50 %) de las acciones, partes de interés o cuotas de participación de la persona jurídica ha pertenecido a mujeres, y dicha participación mayoritaria se ha mantenido a partir de: [Indicar la fecha (día/mes/año) desde que se cumple con dicha condición].
[Opción 2. Incorporar si por lo menos el cincuenta por ciento (50 %) de los empleos del nivel directivo de la persona jurídica son ejercidos por mujeres y estas han estado vinculadas laboralmente durante al menos el último año.]
En el siguiente cuadro señalamos de forma detallada la denominación de los cargos directivos que existen dentro de la persona jurídica, la identificación de las personas que ocuparon o ejercen los cargos del nivel directivo del Proponente y el tiempo de vinculación:
| Denominación del cargo directivo dentro de la empresa | Nombre completo y número de identificación de la (s) persona (s) que ocuparon / ejercen el cargo durante el último año en la persona jurídica | Tiempo de vinculación de la (s) persona(s) que ejerció / ejerce el cargo del nivel directivo |
| [Indique la denominación del cargo directivo, a modo de ejemplo: Gerente general, director | [Indique el nombre completo y el número de identificación de las personas que ocuparon / ejercen el cargo en el último año] | [Indique el tiempo de vinculación de la persona que ejerció/ejerce el cargo en el nivel directivo] |
| ejecutivo] | [Indique el nombre completo y el número de identificación de las personas que ocuparon / ejercen el cargo en el último año] | [Indique el tiempo de vinculación de la persona que ejerció/ejerce el cargo en el nivel directivo] |
| [Indique el nombre completo y el número de identificación de las personas que ocuparon / ejercen el cargo en el último año] | [Indique el tiempo de vinculación de la persona que ejerció/ejerce el cargo en el nivel directivo] | |
| [Indique el nombre completo y el número de identificación de las personas que ocuparon / ejercen el cargo en el último año] | [Indique el tiempo de vinculación de la persona que ejerció/ejerce el cargo en el nivel directivo] | |
| [Indique la denominación del cargo directivo, a modo de ejemplo: Gerente/ Director de | [Indique el nombre completo y el número de identificación de las personas que ocuparon / ejercen el cargo en el último año] | [Indique el tiempo de vinculación de la persona que ejerció/ejerce el cargo en el nivel directivo] |
| ventas] | [Indique el nombre completo y el número de identificación de las personas que ocuparon / ejercen el cargo en el último año] | [Indique el tiempo de vinculación de la persona que ejerció/ejerce el cargo en el nivel directivo] |
| [Indique el nombre completo y el número de identificación de las personas que ocuparon / ejercen el cargo en el último año] | [Indique el tiempo de vinculación de la persona que ejerció/ejerce el cargo en el nivel directivo] | |
| Denominación del cargo directivo dentro de la empresa | Nombre completo y número de identificación de la (s) persona (s) que ocuparon / ejercen el cargo durante el último año en la persona jurídica | Tiempo de vinculación de la (s) persona(s) que ejerció / ejerce el cargo del nivel directivo |
| [Indique el nombre completo y el número de identificación de las personas que ocuparon / ejercen el cargo en el último año] | [Indique el tiempo de vinculación de la persona que ejerció/ejerce el cargo en el nivel directivo] | |
| [Indique la denominación del cargo directivo, a modo de ejemplo: Director de | [Indique el nombre completo y el número de identificación de las personas que ocuparon / ejercen el cargo en el último año] | [Indique el tiempo de vinculación de la persona que ejerció/ejerce el cargo en el nivel directivo] |
| desarrollo tecnológico] | [Indique el nombre completo y el número de identificación de las personas que ocuparon / ejercen el cargo en el último año] | [Indique el tiempo de vinculación de la persona que ejerció/ejerce el cargo en el nivel directivo] |
Conforme a lo anterior, manifestamos bajo la gravedad del juramento que por lo menos el cincuenta por ciento (50 %) de los empleos del nivel directivo de la persona jurídica han sido ejercidos por mujeres y estas han estado vinculadas laboralmente a la empresa durante al menos el último año anterior a la fecha de cierre del Proceso de Contratación en el mismo cargo u otro del mismo nivel.
Para los efectos de esta certificación son empleos del nivel directivo aquellos cuyas funciones están relacionadas con la dirección de áreas misionales de la empresa y la toma de decisiones a nivel estratégico. En este sentido, son cargos del rango directivo los que dentro de la organización de la empresa implican mando o los que por su jerarquía desempeñan cargos encaminados al cumplimiento de funciones orientadas a representar al empleador.
Como soporte de esta declaración se anexa copia de (i) los respectivos documentos de identidad, (ii) los contratos de trabajo o certificación laboral con las funciones y (iii) el certificado de aportes al Sistema de Seguridad Social del último año en el que se demuestren los pagos realizados por el empleador, en relación con cada una de las personas que conforman el nivel directivo del Proponente.
[Si el Proponente cumple ambas condiciones escogerá alguna de las dos (2) opciones descritas, para acreditar la calidad de emprendimientos y empresas de mujeres en los términos del 2.2.1.2.4.2.14 del Decreto 1082 de 2015]
En constancia, se firma en ______________, a los ____ días del mes de _____ del 20__
[Nombre y firma del representante legal de la persona jurídica]
[Nombre y firma del contador o revisor fiscal, si está obligado a tenerlo]
| codigo | CCE-EICP-FM-127 | Versión | 1 |
FORMATO 12B – ACREDITACIÓN DE EMPRENDIMIENTO Y EMPRESAS DE MUJERES (PERSONA NATURAL)
[Este Formato debe diligenciarse por los Proponentes personas naturales o los integrantes personas naturales del Proponente Plural cuyo porcentaje de participación sea al menos del diez por ciento (10 %) y acredite la condición de emprendimientos y empresas de mujeres.]
Señores
[NOMBRE DE LA ENTIDAD]
[Ciudad]
REFERENCIA: Proceso de Contratación [Incluir número del Proceso de Contratación]
Objeto:
[Incluir cuando el Proceso de Contratación sea estructurado por lotes o grupos] Lote: [Indicar el lote o lotes a los cuales se presenta oferta.]
Estimados señores:
[Incluir el nombre de la persona natural] identificada con [Incluir el número de identificación], en mi condición de mujer, en adelante el Proponente, certifico la condición de ser emprendimiento y empresa de mujer en los términos del artículo 2.2.1.2.4.2.14 del Decreto 1082 de 2015, para lo cual manifiesto bajo la gravedad del juramento que he ejercido actividades comerciales a través del establecimiento de comercio [Indicar el nombre del establecimiento de comercio], [identificado con NIT __________], durante al menos el último año anterior contado a partir de la fecha del cierre del Proceso de Contratación.
Para acreditar la anterior circunstancia aporto [copia de la cédula de ciudadanía, la cédula de extranjería o el pasaporte, según corresponda], así como la copia del registro mercantil.
En constancia, se firma en ______________, a los ____ días del mes de _____ del 20__.
[Nombre y firma de la persona natural]
| codigo | CCE-EICP-FM-127 | Versión | 1 |
FORMATO 12C – ACREDITACIÓN DE EMPRENDIMIENTOS Y EMPRESAS DE MUJERES (ASOCIACIONES Y COOPERATIVAS)
[Este Formato debe diligenciarse por los Proponentes que son asociaciones o cooperativas o los integrantes asociaciones o cooperativas del Proponente Plural cuyo porcentaje de participación sea al menos del diez por ciento (10 %) y acredite la condición de emprendimientos y empresas de mujeres.]
Señores
[NOMBRE DE LA ENTIDAD]
[Ciudad]
REFERENCIA: Proceso de Contratación [Incluir número del Proceso de Contratación]
Objeto:
[Incluir cuando el Proceso de Contratación sea estructurado por lotes o grupos] Lote: [Indicar el lote o lotes a los cuales se presenta oferta.]
Estimados señores:
[Incluir el nombre del representante legal de la asociación o cooperativa] identificado con [Incluir el número de identificación], en mi condición de representante legal de [Incluir la razón social de la asociación o cooperativa] identificado con el NIT [Incluir el NIT], en adelante el Proponente, certifico la condición de ser emprendimiento y empresa de mujer en los términos del artículo 2.2.1.2.4.2.14 del Decreto 1082 de 2015, para lo cual manifiesto bajo la gravedad del juramento que más del cincuenta por ciento (50 %) de los asociados son mujeres y que la participación de estas en la [indicar si es en la asociación o cooperativa] ha permanecido durante al menos el último año anterior contado a partir de la fecha del cierre del Proceso de Contratación.
En constancia, se firma en ______________, a los ____ días del mes de _____ del 20__
[Nombre y firma del representante legal de la asociación o cooperativa]
| codigo | CCE-EICP-FM-127 | Versión | 1 |
FORMATO 13 ACREDITACIÓN MIPYME
LICITACIÓN DE OBRA PÚBLICA DE INFRAESTRUCTURA DE TRANSPORTE (VERSIÓN 3)
| Código | CCE-EICP-FM-126 | Página | 1 de 2 |
| Versión No. | 1 | ||
FORMATO 13A – ACREDITACIÓN MIPYME (Cuando el interesado solicita la limitación de convocatoria a Mipyme)
(PERSONAS NATURALES)
[El interesado persona natural que solicita limitar la convocatoria del Proceso de Contratación a Mipyme, acreditará la condición de Mipyme con el diligenciamiento de este Formato y entregará los documentos requeridos en el artículo 2.2.1.2.4.2.4. del Decreto 1082 de 2015. En todo caso, cuando la calidad de Mipyme se acredite con la presentación del RUP vigente y en firme, no será necesario diligenciar este Formato ni aportar los mencionados documentos].
Señores
[NOMBRE DE LA ENTIDAD]
[Ciudad]
REFERENCIA: Proceso de Contratación [Incluir número del Proceso de Contratación]
Objeto:
Estimados señores:
[Incluir el nombre de la persona natural y el contador público] identificados con [Incluir los números de identificación], declaramos bajo la gravedad del juramento que [incluir el nombre del establecimiento de comercio] se encuentra clasificado como: [Indicar si es micro, pequeña y mediana empresa] de acuerdo con los criterios definidos por las normas vigentes.
Para acreditar dicha condición adjuntamos copia del registro mercantil.
En constancia, se firma en ______________, a los ____ días del mes de _____ del 20__.
[Nombre y firma de la persona natural]
[Nombre y firma del contador público]
| codigo | CCE-EICP-FM-126 | Versión | 1 |
FORMATO 13B – ACREDITACIÓN MIPYME
(Cuando el interesado solicite la limitación de convocatoria a Mipyme)
(PERSONAS JURÍDICAS)
[El interesado persona jurídica que solicita limitar la convocatoria del Proceso de Contratación a Mipyme, acreditará la condición de Mipyme con el diligenciamiento de este Formato y entregará los documentos requeridos en el artículo 2.2.1.2.4.2.4. del Decreto 1082 de 2015. En todo caso, cuando la calidad de Mipyme se acredite con la presentación del RUP vigente y en firme, no será necesario diligenciar este Formato ni aportar los mencionados documentos]
Señores
[NOMBRE DE LA ENTIDAD]
[Ciudad]
REFERENCIA: Proceso de Contratación [Incluir número del Proceso de Contratación]
Objeto:
Estimados señores:
[Incluir el nombre del representante legal y el contador o revisor fiscal, si están obligados a tenerlo] identificados con [Incluir los números de identificación], actuando en representación de [Indicar nombre del Proponente] declaramos bajo la gravedad del juramento que [incluir el nombre del establecimiento de comercio] se encuentra clasificada como: [Indicar si es micro, pequeña y mediana empresa] de acuerdo con los criterios definidos por las normas vigentes.
Para acreditar dicha condición, adjuntamos copia del certificado de existencia y representación legal de la Cámara de Comercio de _______________ o por la autoridad competente para expedir dicha certificación.
En constancia, se firma en ______________, a los ____ días del mes de _____ del 20__.
[Nombre y firma del representante legal]
[Nombre y firma del contador o revisor fiscal si está obligado a tenerlo]
| codigo | CCE-EICP-FM-126 | Versión | 1 |
FORMATO 13 ACREDITACIÓN MIPYME
SELECCIÓN ABREVIADA DE MENOR CUANTÍA DE INFRAESTRUCTURA DE TRANSPORTE (VERSIÓN 2)
| Código | CCE-EICP-FM-128 | Página | 1 de 2 |
| Versión No. | 1 | ||
FORMATO 13A – ACREDITACIÓN MIPYME
(Cuando el interesado solicite la limitación de convocatoria a Mipyme)
(PERSONAS NATURALES)
[El interesado persona natural que solicita limitar la convocatoria del Proceso de Contratación a Mipyme, acreditará la condición de Mipyme con el diligenciamiento de este Formato y entregará los documentos requeridos en el artículo 2.2.1.2.4.2.4. del Decreto 1082 de 2015. En todo caso, cuando la calidad de Mipyme se acredite con la presentación del RUP vigente y en firme, no será necesario diligenciar este Formato, ni aportar los mencionados documentos]
Señores
[NOMBRE DE LA ENTIDAD]
[Ciudad]
REFERENCIA: Proceso de Contratación [Incluir número del Proceso de Contratación]
Objeto:
Estimados señores:
[Incluir el nombre de la persona natural y el contador público] identificados con [Incluir los números de identificación], declaramos bajo la gravedad del juramento que la [incluir el nombre del establecimiento de comercio] se encuentra clasificado como: [Indicar si es micro, pequeña y mediana empresa] de acuerdo con los criterios definidos por las normas vigentes.
Para acreditar dicha condición adjuntamos copia del registro mercantil.
En constancia, se firma en ______________, a los ____ días del mes de _____ del 20__.
[Nombre y firma de la persona natural]
[Nombre y firma del contador público]
| codigo | CCE-EICP-FM-128 | Versión | 1 |
FORMATO 13B – ACREDITACIÓN MIPYME
(Cuando el interesado solicite la limitación de convocatoria a Mipyme)
(PERSONAS JURÍDICAS)
[El interesado persona jurídica que solicita limitar la convocatoria del Proceso de Contratación a Mipyme, acreditará la condición de Mipyme con el diligenciamiento de este Formato y entregará los documentos requeridos en el artículo 2.2.1.2.4.2.4. del Decreto 1082 de 2015. En todo caso, cuando la calidad de Mipyme se acredite con la presentación del RUP vigente y en firme, no será necesario diligenciar este Formato, ni aportar los mencionados documentos]
Señores
[NOMBRE DE LA ENTIDAD]
[Ciudad]
REFERENCIA: Proceso de Contratación [Incluir número del Proceso de Contratación]
Objeto:
Estimados señores:
[Incluir el nombre del representante legal y el contador o revisor fiscal, si están obligados a tenerlo] identificados con [Incluir los números de identificación], actuando en representación de [Indicar nombre del Proponente] declaramos bajo la gravedad del juramento que la [incluir el nombre del establecimiento de comercio] se encuentra clasificada como: [Indicar si es micro, pequeña y mediana empresa] de acuerdo con los criterios definidos por las normas vigentes.
Para acreditar dicha condición, adjuntamos copia del certificado de existencia y representación legal de la Cámara de Comercio de _____________ o por la autoridad competente para expedir dicha certificación.
En constancia, se firma en ______________, a los ____ días del mes de _____ del 20__.
[Nombre y firma del representante legal]
[Nombre y firma del contador o revisor fiscal si está obligado a tenerlo]
| codigo | CCE-EICP-FM-128 | Versión | 1 |
TABLAS NO INCLUIDAS CONSULTAR ANEXO EN EL DIARIO OFICIAL IMPRESO O EN EL FORMATO PDF PUBLICADO EN LA WEB WWW.IMPRENTA.GOV.CO
MATRIZ 2 – INDICADORES FINANCIEROS Y ORGANIZACIONALES
LICITACIÓN DE OBRA PÚBLICA DE INFRAESTRUCTURA DE TRANSPORTE (VERSIÓN 3)
| Código | CCE-EICP-FM-12 | Página | 1 de 2 |
| Versión No. | 4 | ||
MATRIZ 2 – INDICADORES FINANCIEROS Y ORGANIZACIONALES OBRAS PARA INFRAESTRUCTURA DE TRANSPORTE
1. Índices de capacidad financiera y organizacionales para Mipyme.
El Proponente persona natural o jurídica que demuestre la condición de Mipyme de conformidad con lo previsto en el artículo 2.2.1.2.4.2.4. del Decreto 1082 de 2015, en concordancia con el parágrafo del artículo 2.2.1.13.2.4 del Decreto 1074 de 2015 o las normas que los modifiquen, sustituyan o complementen, probará los siguientes indicadores:
| Indicador | Valor concertado |
| Índice de liquidez | |
| Índice de endeudamiento | |
| Razón de cobertura de intereses | |
| Capital de trabajo | Definido en los Pliegos Tipo |
| Rentabilidad del patrimonio | |
| Rentabilidad del activo |
Tratándose de Proponente Plurales estos indicadores solo se aplicarán si por lo menos uno de los integrantes acredita la calidad de Mipyme de conformidad con el artículo 2.2.1.2.4.2.4 del Decreto 1082 de 2015, o la normas que los modifiquen, sustituyan o complementen, y tienen una participación igual o superior al diez por ciento (10 %) en el consorcio o en la unión temporal.
Para acreditar la calidad de Mipyme, el Proponente entregará copia del certificado del Registro Único de Proponentes, el cual deberá encontrarse vigente y en firme al momento de su presentación.
2. Índices de capacidad financiera y organizacionales para los demás Proponentes
Los Proponentes que NO demuestren la condición de Mipyme, de conformidad con lo previsto en el artículo 2.2.1.2.4.2.4. del Decreto 1082 de 2015, en concordancia con el parágrafo del artículo 2.2.1.13.2.4 del Decreto 1074 de 2015 o las normas que los modifiquen, sustituyan o complementen, acreditarán los siguientes indicadores:
| Indicador | Valor concertado |
| Índice de liquidez | |
| Índice de endeudamiento | |
| Razón de cobertura de intereses | |
| Capital de trabajo | Definido en los Pliegos Tipo |
| Rentabilidad del patrimonio | |
| Rentabilidad del activo |
Los indicadores definidos en la presente matriz deben ser usados por las Entidades en la estructuración de los Documentos del Proceso de Contratación de obra pública para infraestructura de transporte.
| codigo | CCE-EICP-FM-12 | Versión | 4 |
MATRIZ 2 – INDICADORES FINANCIEROS Y ORGANIZACIONALES
SELECCIÓN ABREVIADA DE OBRA PÚBLICA DE INFRAESTRUCTURA DE TRANSPORTE (VERSIÓN 2)
| Código | CCE-EICP-FM-12 | Página | 1 de 2 |
| Versión No. | 3 | ||
MATRIZ 2 – INDICADORES FINANCIEROS Y ORGANIZACIONALES
OBRAS PARA INFRAESTRUCTURA DE TRANSPORTE
1. Índices de capacidad financiera y organizacionales para Mipyme.
El Proponente persona natural o jurídica que demuestre la condición de Mipyme de conformidad con lo previsto en el artículo 2.2.1.2.4.2.4. del Decreto 1082 de 2015, en concordancia con el parágrafo del artículo 2.2.1.13.2.4 del Decreto 1074 de 2015 o las normas que los modifiquen, sustituyan o complementen, probará los siguientes indicadores
| Indicador | Valor concertado |
| Índice de liquidez | |
| Índice de endeudamiento | |
| Razón de cobertura de intereses | |
| Capital de trabajo | Definido en los Pliegos Tipo |
| Rentabilidad del patrimonio | |
| Rentabilidad del activo |
Tratándose de Proponente Plurales estos indicadores solo se aplicarán si por lo menos uno de los integrantes acredita la calidad de Mipyme de conformidad con lo previsto en el artículo 2.2.1.2.4.2.4. del Decreto 1082 de 2015, o la normas que los modifiquen, sustituyan o complementen, y tienen una participación igual o superior al diez por ciento (10 %) en el consorcio o en la unión temporal.
Para acreditar la calidad de Mipyme el Proponente entregará copia del certificado del Registro Único de Proponentes, el cual deberá encontrarse vigente y en firme al momento de su presentación.
2. Índices de capacidad financiera y organizacionales para los demás Proponentes
Los Proponentes que NO demuestren la condición de Mipyme de conformidad con lo en el artículo 2.2.1.2.4.2.4. del Decreto 1082 de 2015, en concordancia con el parágrafo del artículo 2.2.1.13.2.4 del Decreto 1074 de 2015 o las normas que los modifiquen, sustituyan o complementen, acreditarán los siguientes indicadores:
| Indicador | Valor concertado |
| Índice de liquidez | |
| Índice de endeudamiento | |
| Razón de cobertura de intereses | |
| Capital de trabajo | Definido en los Pliegos Tipo |
| Rentabilidad del patrimonio | |
| Rentabilidad del activo |
Los indicadores definidos en la presente matriz deben ser usados por las Entidades en la estructuración de los Documentos del Proceso de Contratación de obra pública para infraestructura de transporte.
| codigo | CCE-EICP-FM-12 | Versión | 3 |
ANEXO 3 – GLOSARIO
LICITACIÓN DE OBRA PÚBLICA DE INFRAESTRUCTURA DE TRANSPORTE (VERSIÓN 3)
| Código | CCE-EICP-IDI-03 | Página | 1 de 18 |
| Versión No. | 5 | ||
ANEXO 3 – GLOSARIO
Para efectos de interpretación del pliego de condiciones: [La Entidad deberá incluir en orden alfabético los conceptos adicionales que apliquen al Proceso de Contratación que no estén incorporados en el presente anexo, y aquellos que se definan en una ley o normativa que en orden de jerarquía esté por encima del pliego de condiciones, siendo estos últimos obligatorios con independencia de que se encuentren detallados, o no.]
1. GLOSARIO GENERAL-
1.1 Aclaraciones y Explicaciones de Ofertas: Se remite a las nociones desarrolladas en la sentencia del Consejo de Estado, Sección Tercera, Subsección C, del 12 de noviembre de 2014, Radicado 27.986, consejero ponente: Enrique Gil Botero.
1.2 Acta de Inicio: Documento en el que las partes, de común acuerdo, dejan constancia del inicio del plazo contractual.
1.3 Activo Corriente: Activo susceptible de convertirse en dinero en efectivo en un período inferior a un año.
1.4 Activo Total: Activos, bienes, derechos y otros recursos controlados económicamente por la persona jurídica o natural, resultantes de sucesos pasados de los que se espera obtener beneficios o rendimientos económicos en el futuro.
1.5 Administración Delegada: Modalidad de pago en la cual la Entidad delega la ejecución de la obra en el Contratista en calidad de director técnico, quien la ejecuta por cuenta y riesgo de la misma Entidad. El Contratista obtiene como remuneración los honorarios que se pactan por su gestión. El administrador delegado se encarga de ejecutar la obra y responde por su buen resultado, pero es la Entidad quien asume los Riesgos derivados del contrato y la financiación de la obra. Los honorarios del Contratista pueden pactarse en forma de porcentaje sobre el valor de la obra o como precio fijo.
1.6 Análisis del Sector: Estudio que permite conocer el bien o servicio a adquirir en términos de oferta y demanda e identificar el precio más justo a pagar por la satisfacción de la necesidad de la Entidad. Asimismo, por medio de este estudio las Entidades identifican quién puede proveer su bien o servicio, cómo se desarrolla ese negocio, su cadena de producción y distribución, para saber si el sector tiene la capacidad de proveer el bien o servicio en las condiciones y cantidades requeridas por la Entidad.
Este estudio debe realizarse desde la perspectiva legal, comercial, financiera, organizacional, técnica y de análisis de Riesgo.
1.7 Anexo: Documento o conjunto de documentos que la Entidad adjunta al Pliego de Condiciones y que hacen parte integral de este.
1.8 Anticipo: Préstamo destinado a apalancar el cumplimiento del objeto contractual, de modo que los recursos girados por dicho concepto sólo se integran al patrimonio del Contratista en la medida que se cause su amortización mediante la presentación de la cuenta o factura respectiva.
1.9 Aportes Legales: Contribuciones parafiscales y gravámenes establecidos con carácter obligatorio por la ley que afectan a un determinado y único grupo social y económico y se utilizan para beneficio del propio sector. El manejo, administración y ejecución de estos recursos se hará exclusivamente en la forma dispuesta en la ley que los crea y se destinarán sólo al objeto previsto en ella.
1.10 Apostilla: Certificación de la autenticidad de la firma de un servidor público en ejercicio de sus funciones y la calidad en que el signatario haya actuado, la cual deberá estar registrada ante el Ministerio de Relaciones Exteriores, para que el documento surta plenos efectos legales en un país parte del Convenio sobre la Abolición del Requisito de Legalización de los Documentos Públicos Extranjeros, de la Conferencia de La Haya de 1961.
1.11 Beneficiario Real: Cualquier persona o grupo de personas que, directa o indirectamente, por sí misma o a través de interpuesta persona, por virtud de contrato, convenio o de cualquier otra manera, tenga respecto de una acción de una sociedad, o pueda llegar a tener, por ser propietario de bonos obligatoriamente convertibles en acciones, capacidad decisoria; esto es, la facultad o el poder de votar en la elección de directivas o representantes o de dirigir, orientar y controlar dicho voto, así como la facultad o el poder de enajenar y ordenar la enajenación o gravamen de la acción.
Conforman un mismo beneficiario real los cónyuges o compañeros permanentes y los parientes dentro del segundo grado de consanguinidad, segundo de afinidad y único civil, salvo que se demuestre que actúan con intereses económicos independientes, circunstancia que podrá ser declarada bajo gravedad de juramento ante la Superintendencia Financiera de Colombia con fines exclusivamente probatorios.
Igualmente, constituyen un mismo beneficiario real las sociedades matrices y sus subordinadas.
1.12 BRT (por sus siglas en inglés Bus Rapid Transit)- Bus de Transito Rápido: Sistema de transporte de pasajeros, que cuenta con estaciones y vías o carriles exclusivos, por las cuales circulan buses con rutas prestablecidas.
1.13 Canales Navegables: Cauce o cuerpo de agua natural o artificial por donde navegan las embarcaciones. Los canales navegables en función de su profundidad se clasifican en canales navegables para embarcaciones menores, mayores o ambas.
1.14 Capacidad Financiera: Condiciones financieras mínimas que debe tener un Proponente en razón de su liquidez, endeudamiento y los demás indicadores que apliquen para soportar adecuadamente la ejecución del contrato.
1.15 Capacidad Organizacional: Aptitud de un Proponente para cumplir oportuna y cabalmente el objeto del contrato en función de su organización interna. Son aquellos contenidos en el artículo 2.2.1.1.1.5.3 del Decreto 1082 de 2015 o la norma que lo adicione, modifique, remplace, complemente o sustituya.
1.16 Certificado de Disponibilidad Presupuestal: Documento que acredita la disponibilidad de recursos en el presupuesto para adelantar el Proceso de Contratación.
1.17 Código Nacional de Navegación y Actividades Portuarias Fluviales: Es el previsto por la Ley 1242 de 2008, o la norma que lo adicione, modifique, complemente o derogue, mediante el cual se regulan las actividades fluviales. En el cual se establecen las nociones sobre los diferentes cuerpos de agua, vías fluviales, canales navegables, entre otros que sean considerados como una integración de la infraestructura de transporte desde el aspecto marítimo o fluvial.
1.18 Conflicto de Interés: Circunstancias que el interesado o Proponente dará a conocer a la Entidad y que considera puede tener incidencia en la imparcialidad con que debe adoptar las decisiones en el curso del Proceso de Contratación.
1.19 Consorcio: Figura asociativa en la cual dos o más personas en forma conjunta presentan una misma propuesta para la adjudicación, celebración y ejecución de un contrato, respondiendo solidariamente de las obligaciones derivadas de la propuesta y del contrato.
1.20 Contratista: Persona natural, jurídica o el grupo de personas jurídicas o naturales, nacionales o extranjeras, asociadas entre sí que suscriben un contrato con el fin de ejecutar el objeto bajo las condiciones de modo, tiempo y lugar que en él se establecen.
1.21 Contrato de Interventoría: Acuerdo de voluntades celebrado por las Entidades con personas naturales o jurídicas, con el fin de llevar el control, seguimiento, y apoyo técnico especializado de la ejecución de contratos o convenios, tendientes a asegurar su correcta ejecución y cumplimiento, de acuerdo con lo previsto en las normas vigentes y lo estipulado en el respectivo contrato. La interventoría puede incluir, según el caso, el seguimiento administrativo, contable, financiero y/o jurídico.
1.22 Contrato de Obra: Acuerdo de voluntades celebrado por las Entidades para la construcción, mantenimiento, instalación y, en general, para la realización de cualquier otro trabajo material sobre bienes inmuebles, con independencia de la modalidad de ejecución y pago.
1.23 Documentos Tipo: Documentos adoptados por la Agencia Nacional de Contratación Pública – Colombia Compra Eficiente que establecen los requisitos habilitantes, factores técnicos, económicos y otros requisitos que representen buenas prácticas contractuales de carácter obligatorio para las Entidades sometidas por el Estatuto General de Contratación de la Administración Pública.
1.24 EPC (por sus siglas en inglés Engineering, Procurement and Construction): Contrato que tiene como objetivos principales los servicios de ingeniería, adquisición y construcción. El Contratista, junto con sus funciones tradicionales relacionadas con el suministro de equipos, la construcción y la puesta en marcha, asume la ingeniería del proyecto y la responsabilidad global frente al contratante. También es denominado como contrato de construcción “llave en mano”.
1.25 Estados Financieros: Informes utilizados en las instituciones/empresas que reflejan la situación económica y financiera y los cambios que se dan en cierta fecha o período determinado. Un juego completo de estados financieros comprende: (a) un estado de situación financiera al final del período; (b) un estado del resultado integral del período; (c) un estado de cambios en el patrimonio del período; (d) un estado de flujos de efectivo del período; (e) notas que incluyan un resumen de las políticas contables más significativas y otra información explicativa; y (f) un estado de situación financiera al principio del primer período comparativo, cuando una Entidad aplique una política contable retroactivamente o realice una reexpresión retroactiva de partidas en sus estados financieros o cuando reclasifique partidas en sus estados financieros.
1.26 Estudios Previos: Justificación jurídica, técnica, económica y financiera del proyecto que realiza la Entidad de acuerdo con las Leyes 80 de 1993 y 1150 de 2007 y el Decreto 1082 de 2015 o las normas que lo adicionen, modifiquen o complementen.
1.27 Formato: Documentos que aporta el Proponente y que hacen parte integral de su oferta.
1.28 Formulario: Documento por medio del cual la Entidad solicita información específica relacionada con la oferta económica y que debe ser diligenciada por el Proponente.
1.29 Garantía: Respaldo que tiene como fin el pago a favor de la Entidad de las indemnizaciones o sanciones derivadas del incumplimiento del contrato por parte del Contratista. Las clases de garantías son: (i) contratos de seguro, (ii) fiducia mercantil de garantía o (iii) garantías bancarias.
1.30 Garantía de Responsabilidad Civil Extracontractual: Garantía que cubre los perjuicios que puede sufrir la Entidad derivados de la responsabilidad extracontractual que surja de las actuaciones, hechos u omisiones de su Contratista o de los subcontratistas. Este Riesgo sólo puede cubrirse mediante pólizas de seguro.
1.31 Información Pública Reservada: Información que estando en poder o custodia de un sujeto obligado en su calidad de tal, es exceptuada de acceso a terceros por daño a intereses públicos teniendo que dar estricto cumplimiento de la totalidad de los requisitos consagrados en el artículo 19 de la Ley 1712 de 2014.
1.32 Infraestructura del Transporte: Sistema de movilidad integrado por un conjunto de bienes tangibles, intangibles y aquellos que se encuentren relacionados con este, el cual está bajo la vigilancia y control del Estado y se organiza de manera estable para permitir el traslado de las personas, los bienes y los servicios, el acceso y la integración de las diferentes zonas del país y que propende por el crecimiento, competitividad y mejora de la calidad de la vida de los ciudadanos1.
Son las obras realizadas en:
- Vías primarias y secundarias
- Vías terciarias
- Infraestructuras marítimas y fluviales
- Vías primarias, secundarias o terciarias para atención a emergencias diferentes a contratación directa
- Infraestructura férrea
- Infraestructura vial urbana
- Puentes Infraestructura Aeroportuaria
1.33 Interventor(a): Persona natural, jurídica, Consorcio o Unión Temporal, que tiene a su cargo el seguimiento y control del contrato en los términos del artículo 83 de la Ley 1474 de 2011.
1.34 Legalización: Certificación de la autenticidad de la firma de un servidor público en ejercicio de sus funciones y la calidad en que el signatario haya actuado, la cual deberá estar registrada ante el Ministerio de Relaciones Exteriores, para que el documento surta plenos efectos legales en un país que hace parte de la Convención de Viena de 1963, sobre relaciones consulares, literal f del artículo 5 que reglamenta las actuaciones consulares en calidad de notario.
1.35 Matriz: Documento que incorpora condiciones técnicas, de riesgos o económicas que debe tener en cuenta el Proponente al momento de estructurar su oferta y ejecutar el Contrato.
1.36 Medio Magnético: Dispositivo que utiliza materiales magnéticos para archivar información digital, tales como USB, discos duros o CD que almacenan grandes volúmenes de datos en un espacio físico reducido.
1.37 Pago Anticipado: Extinción anticipada de obligaciones a través del pago de una parte del precio del Contrato.
1.38 Pliego de Condiciones: Conjunto de reglas que rigen el Proceso de Contratación y el futuro Contrato, en los que se señalan las condiciones objetivas, plazos y procedimientos dentro de los cuales los Proponentes deben formular su oferta para participar en el Proceso de Contratación.
1.39 Pliego de Condiciones Tipo: Documento estructurado, actualizado y publicado por la Agencia Nacional de Contratación Pública - Colombia Compra Eficiente que incorpora las condiciones habilitantes, requisitos de puntaje y demás aspectos señalados en el artículo 1 de la Ley 2022 de 2020.
1.40 Porcentaje de AIU: Porcentaje de los costos directos destinados a cubrir: los gastos de administración (A), que comprende los gastos de dirección de obra, gastos administrativos de oficina, etc.; los imprevistos (I), que corresponde a un porcentaje destinado a cubrir los gastos que surjan y que no fueron previstos, y las utilidades (U) que corresponde a la remuneración propiamente dicha del Contratista por su trabajo.
1.41 Precio Global: Modalidad de pago cierto, cerrado e inalterable como única remuneración por el cumplimiento del objeto contratado.
1.42 Precios Unitarios: Modalidad de pago por unidades o cantidades de obra siendo el valor total del contrato el correspondiente al resultado de multiplicar las cantidades de obras efectivamente ejecutadas por el precio de cada una de ellas.
1.43 Presupuesto Oficial: Valor total que la Entidad determina como necesario para ejecutar el objeto del contrato con base en el estudio previo y el análisis del sector.
1.44 Proponente: Persona o grupo de personas que presentan una oferta para participar en el Proceso de Contratación.
1.45 Proponente Plural: Figura asociativa en la cual dos o más personas en forma conjunta se unen para la presentación de una propuesta, celebrar y ejecutar un contrato. No constituyen una persona jurídica independiente de sus integrantes. Puede tener la figura de Consorcios o Uniones Temporales.
1.46 Reembolso de Gastos: Forma de pago en la cual el Contratista asume los gastos de ejecución del contrato y la Entidad en forma periódica rembolsa dichos gastos y además reconoce a éste los honorarios que se pactan por su gestión.
1.47 Selección Objetiva: Principio que busca que la escogencia de los colaboradores de la administración responda a criterios objetivos, en concordancia con los principios que rigen la función administrativa.
1.48 Sobre 1: Instrumento que permite incluir los documentos relacionados con el cumplimiento de los requisitos habilitantes, así como los requisitos y documentos a los que se les asigna puntaje que son diferentes a la oferta económica.
1.49 Sobre 2: Instrumento que permite incluir la oferta económica.
1.50 Subcontratista: Persona natural, jurídica o figura asociativa que contrata el Contratista principal para ejecutar una actividad previamente contratada por una Entidad u otra persona natural o jurídica.
1.51 Sucursal: Establecimiento de comercio abierto por una sociedad, dentro o fuera de su domicilio, para desarrollar los negocios sociales o de parte de ellos, administrados por mandatarios con facultades para representar a la sociedad.
1.52 Trato Nacional: Principio según el cual un Estado concede a los nacionales de otro Estado el mismo trato que otorga a sus nacionales.
1.53 Unión Temporal: Forma asociativa en la cual dos o más personas presentan conjuntamente una misma propuesta para la adjudicación, celebración y ejecución de un contrato, respondiendo solidariamente por el cumplimiento total de la propuesta y del objeto contratado, pero las sanciones por el incumplimiento de las obligaciones derivadas de la propuesta y del contrato se imponen de acuerdo con la participación en la ejecución de cada uno de sus integrantes.
1.54 Utilidad Operacional: Ingresos, costos y gastos operacionales relacionados directamente con el objeto social de la persona jurídica o natural, con su actividad principal, dejando de lado los gastos e ingresos no operacionales, es decir, aquellos ingresos diferentes a los obtenidos en el desarrollo de la actividad principal de la empresa, ingresos que por lo general son ocasionales o que son accesorios a la actividad principal.
1.55 Vigencia Fiscal: Período que comprende desde el 1 de enero hasta el 31 de diciembre de cada año.
2. GLOSARIO ESPECÍFICO TÉCNICO
[La Entidad deberá incorporar en orden alfabético los conceptos adicionales que apliquen al Proceso de Contratación que no estén incluidos en el presente anexo o en la normatividad que sea aplicable en la materia de infraestructura de transporte, como es el caso de la Ley 1682 de 2013.]
[Respecto a la categorización de las vías, se maneja en los Documentos Tipo la definición de Vías primarias, secundarias o terciaras, hasta que se cumpla el plazo establecido en la Resolución 411 del 26 de febrero de 2020 por parte del Ministerio de Transporte, o aquellas que las modifiquen, adición o deroguen; en la cual se detallan los lineamientos de categorización de vías de primer, segundo y tercer orden de acuerdo con la matriz y guía para realizar la categorización de la red vial nacional.]
2.1 Accesibilidad: Condición que permite, en cualquier espacio o ambiente ya sea interior o exterior, el fácil y seguro desplazamiento de la población en general y el uso en forma confiable, eficiente y autónoma de los servicios instalados en esos ambientes.
2.2 Actividades y Obras de Protección: Labores mecánicas de protección y mitigación, permanentes o provisionales, sobre los activos, redes e infraestructura de servicios públicos y actividades complementarias, tecnologías de la información y las comunicaciones y de la industria del petróleo.
2.3 Actualización Sísmica: Análisis total de la estructura desde las fundaciones, pasando por la subestructura y su conexión con la superestructura para que al realizar el análisis de vulnerabilidad sísmica se dé la actualización y cumplimiento con lo establecido en la sección A. 3.5 Cargas por Sismo del Código Colombiano de Diseño Sísmico de Puentes y de las Normas Colombianas de Diseño y Construcción Sismo – Resistente. Los procesos constructivos involucran el estudio del espectro sísmico desde el componente geotécnico hasta la forma de implementar los conectores entre la superestructura y la subestructura. Estas actividades requieren del mantenimiento y reforzamiento previo de los elementos estructurales.
2.4 Administración vial: Son contratos consistentes en la administración en forma permanente de un determinado sector de carretera, en un tiempo establecido, mediante las gestiones, acciones y actividades técnicas y administrativas tendientes a conservar el sector de la carretera nacional, desarrollados por los Administradores Viales, los cuales son ingenieros civiles y/o de transportes y vías, quienes realizan labores de dirección del mantenimiento rutinario, vigilancia, monitoreo, evaluación y diagnóstico continuos del estado de las vías, para garantizar la transitabilidad a los usuarios en condiciones aceptables y seguras, planteando acciones preventivas y correctivas, logrando una reducción en los costos de mantenimiento y conservación de éstas.
2.5 Aeródromo: Es el área definida en tierra o en agua destinado total o parcialmente a la llegada, salida y movimiento en superficie de aeronaves.
Dentro del aeródromo se cuenta con el área del aeródromo la cual es un sitio destinado al despegue y aterrizaje de aeronaves. Estas áreas se refieren a:
a. Lado Aire: Está compuesto por el área de movimiento de aeronaves, pistas, calles de rodaje, taxeos, hangares y plataformas, cuyo objeto es facilitar la operación de aeronaves y que por su naturaleza el ingreso a esas áreas está sujeto a restricción y/o control del explotador del aeródromo.
b. Lado Tierra: Está compuesta por los edificios, parqueaderos, instalaciones, dispuestos para los usuarios internos o externos del aeropuerto. Se dividen en:
1. Áreas públicas: Edificios, instalaciones y servicios dispuestos para el uso del público en general sin restricción en su ingreso.
2. Área restringida: Edificios, instalaciones y servicios exclusivas a aquellas personas, mercancías y/o vehículos que dispongan de autorización otorgada por el explotador del aeropuerto que habilite su ingreso.
2.6 Alameda: Espacios constituidos por los bienes de uso público destinados al desplazamiento, uso y goce de los peatones y por los elementos arquitectónicos y naturales de los inmuebles de propiedad privada que se integran visualmente para conformar el espacio urbano. Tiene como soporte la red de andenes, cuya función principal es la conexión peatonal de los elementos simbólicos y representativos de la estructura urbana.
2.7 Ancho de Vía: Medida transversal de una zona de uso público compuesta por andenes, calzadas, ciclorrutas y separadores, para el tránsito de peatones y vehículos.
2.8 Andén o Acera: Franjas de espacio público construido, paralelas a las calzadas vehiculares de las vías públicas, destinadas al tránsito de peatones, personas con movilidad reducida y en algunos casos de ciclousarios.
2.9 Calle de rodaje de Aeródromo: Vía definida en un aeródromo terrestre, establecida para el rodaje de aeronaves y destinada a proporcionar enlace entre una y otra parte del aeródromo2.
2.10 Calzada: Zona de la vía destinada a la circulación de vehículos. Las calzadas pueden ser pavimentadas o no. Si son pavimentadas queda comprendida entre los bordes internos de las bermas. Para la verificación del ancho de calzada requerido en vías construidas fuera del territorio nacional se tendrá en cuenta el ancho comprendido entre el borde interior de las bermas, es decir, la suma simple del ancho de carriles consecutivos.
2.11 Calzada de Servicio: Calzada adyacente a una vía arteria que cumple una función de accesibilidad a predios y soporta un tráfico de carácter local.
2.12 Canal: Cauce artificial, revestido o no, descubierto que transporta agua a flujo libre, cuya sección transversal tiene una forma generalmente constante; se construye para conducir las aguas lluvias provenientes del terreno o infraestructura, hasta su entrega final.
2.13 Carretera: Infraestructura del transporte cuya finalidad es permitir la circulación de vehículos terrestres automotores (carros, buses, camiones, motos, bicicletas, autobuses) en condiciones de continuidad en el espacio y en el tiempo con niveles adecuados de seguridad y de comodidad. Puede estar constituida por una o varias calzadas, uno o varios sentidos de circulación, o uno o varios carriles en cada sentido, de acuerdo con las exigencias de la demanda de tránsito y la clasificación funcional de la misma.
2.14 Carreteras o Vías Primarias o Vías de Primer Orden: Troncales, transversales y accesos a capitales de departamento que cumplen la función básica de integración de las principales zonas de producción y consumo del país y de éste con los demás países. Este tipo de carreteras pueden ser de calzadas divididas según las exigencias particulares del proyecto.
Nota: Para proyectos de infraestructura vial que se hayan construido fuera del territorio nacional, se consideran Carreteras Primarias aquellas que sean certificadas por la Entidad contratante mediante alguno de los documentos válidos establecidos en el presente Pliego de Condiciones para la demostración de la experiencia, donde se indique que el ancho de calzada es mayor o igual a siete (7.0) metros, o que se acrediten tres (3) o más carriles vehiculares por calzada.
2.15 Carreteras o Vías Secundarias o Vías de Segundo Orden: Vías que unen las cabeceras municipales entre sí y/o que provienen de una cabecera municipal y conectan con una Carretera Primaria. Las carreteras consideradas como secundarias pueden funcionar pavimentadas o en afirmado.
Nota: Para proyectos de infraestructura vial que se hayan construido fuera del territorio nacional, se consideran carreteras o vías secundarias aquellas que sean certificadas por la Entidad contratante mediante alguno de los documentos válidos establecidos en el presente Pliego de Condiciones para la demostración de la experiencia, donde se indique que el ancho de calzada es mayor o igual a siete (7.0) metros, o que se acrediten tres (3) o más carriles vehiculares por calzada.
2.16 Carreteras o Vías Terciarias o Vías de Tercer Orden: Vías de acceso que unen las cabeceras municipales con sus veredas o unen veredas entre sí. Las carreteras consideradas como terciarias funcionan en general en afirmado.
2.17 Carril: Franja longitudinal de una calzada con ancho suficiente para la circulación segura y confortable de una sola fila de vehículos terrestres automotores.
2.18 Ciclorruta: Calzada destinada de manera permanente a la circulación de bicicletas, ubicada en el andén, el separador o segregada de la calzada vehicular o en otros lugares autorizados, debidamente señalizada y delimitada.
2.19 Ciclovía: Vía o sección de calzada destinada ocasionalmente para el tránsito de bicicletas, triciclos y peatones.
2.20 Concreto Asfáltico: Material resultante de la mezcla de cemento asfáltico convencional y/o modificado y agregados pétreos.
2.21 Concreto Hidráulico: Material resultante de la mezcla de cemento portland, agua y agregados pétreos.
2.22 Concreto Hidráulico Reforzado: Material resultante de la mezcla de cemento portland, agua, agregados pétreos y/o aditivos y acero de refuerzo.
2.23 Conservación: Conjunto de actividades que se ejecutan sobre una infraestructura vial y/o del espacio público asociado a la infraestructura de transporte y/o edificación no residencial orientadas a preservar las estructuras, para que ofrezcan condiciones de uso aceptable ya sea que se cumpla en el período de vida útil o a ampliar un nuevo período, empleando los tratamientos necesarios con el fin de retardar su deterioro. Incluye las actividades de mantenimiento rutinario, periódico, preventivo, correctivo, rehabilitación o reconstrucción.
2.24 Construcción: Son aquellas obras nuevas que incluyen el levantamiento o armado de algún tipo de infraestructura de transporte.
2.25 Deprimido: Infraestructura construida a un paso inferior de aquellas infraestructuras que la rodean en un cruce de dos o más ejes de infraestructura de transporte a diferentes alturas para no interrumpir el flujo de tráfico cuando se cruzan entre sí. La composición de esos ejes de infraestructura de transporte no tiene que ser uniforme, sino que puede consistir en una mezcla de caminos, senderos, vías férreas, canales, o pistas de aeropuertos.
2.26 Draga de Corte de Succión (Cutter Suction Dredger - CSD): Embarcación o artefacto naval que draga mediante la acción de una cabeza de corte que rompe o disgrega el suelo o lecho que succiona los sedimentos o el suelo mediante la acción de una bomba y lo transporta a la zona de disposición por tubería.
2.27 Draga de Arrastre de Succión con Tolva (TSHD – Trailing Suction Hopper dredger): Embarcación autopropulsada y capaz de transportar cierta cantidad de sólidos en una tolva, los cuales son aspirados del fondo del cuerpo de agua por un tubo dotado con un cabezal de succión.
2.28 Draga Mecánica: Embarcación o artefacto naval que utiliza exclusivamente medios mecánicos para la excavación y extracción del material. Se pueden clasificar en: Dragalinas, Dragas de Cuchara Almeja, Dragas de Pala (Dipper) y Dragas de Rosario de Cangilones.
2.29 Dragado: Acción de remover sedimentos o roca, bajo agua, de un lecho marino o fluvial. Procedimiento mecánico mediante el cual se retira material del fondo o de la bancada de un sistema fluvial, en general de cualquier cuerpo de agua para disponerlo en un sitio donde presumiblemente el sedimento no volverá a su sitio de origen.
2.30 Dragado Marítimo y/o Fluvial: Acción de remover sedimentos o roca bajo agua de un lecho marino o fluvial.
2.31 Drenaje (infraestructura aeroportuaria): Obras proyectadas para conducir y evacuar el exceso de agua superficial proveniente de la carretera o infraestructura aeroportuaria lado aire (pista, calle de rodaje, plataforma o franja de seguridad).
2.32 Edificio Comercial: Edificación cuya actividad principal es la venta de productos directamente al público o la prestación de servicios relacionados con los mismos, incluyendo, tanto las tiendas y los grandes almacenes, los cuales suelen constituir un único establecimiento con un único titular, como, por ejemplo, los centros comerciales, los mercados, las galerías comerciales, etc.
También se consideran de uso comercial aquellos edificios en los que se prestan directamente al público determinados servicios no necesariamente relacionados con la venta de productos, pero cuyas características constructivas y funcionales, actividad y las de los ocupantes se puedan asimilar más a las propias de este uso que a las de cualquier otro. Como ejemplos de dicha condición están las lavanderías, los salones de peluquería, etc.
2.33 Edificaciones Gubernamentales: Son edificaciones no residenciales administradas por Entidades públicas, se exceptúan las siguientes: Comando de Atención Inmediata (CAI), bodegas, estaciones de transporte masivo, viviendas, casas fiscales y terminales terrestres.
2.34 Edificio Institucional: Infraestructura que ha sido construida para funciones específicas (administrativas, educación, salud, cultura, etc.) principalmente para el beneficio e interés público, como, por ejemplo; escuelas, universidades, hospitales, estadios, teatros, archivos, biblioteca, edificios de la policía, cárceles, etc.
2.35 Edificio Multifamiliar: Inmueble que agrupa tres (3) o más unidades de vivienda independientes, donde el terreno es una propiedad común y que cuenta con servicios y bienes compartidos como circulaciones, escaleras (ascensores), estacionamientos, áreas verdes y sociales etc. Este tipo de edificio puede desarrollarse tanto en vertical como en horizontal.
2.36 Enrocados o Escolleras Marítimos: Obra civil hidráulica marítima constituida por rocas o piedras para conformar una protección contra el oleaje o corrientes marinas, tales como diques, espolones recubrimiento de orillas.
2.37 Escollera: Dique de defensa que se construye con piedras o elementos prefabricados dispuestos en ríos (fluvial) o costa marítima (marítima) para resguardo contra marejada y las corrientes.
2.38 Espacio Público: Conjunto de inmuebles públicos y los elementos arquitectónicos y naturales de los inmuebles privados destinados por naturaleza, usos o afectación a la satisfacción de necesidades urbanas colectivas que transcienden los límites de los intereses individuales de los habitantes.
El espacio público comprende, entre otros, los siguientes aspectos:
a. Los bienes de uso público, es decir, aquellos inmuebles de dominio público cuyo uso pertenece a todos los habitantes del territorio nacional, destinados al uso o disfrute colectivo;
b. Los elementos arquitectónicos, espaciales y naturales de los inmuebles de propiedad privada que por su naturaleza, uso o afectación satisfacen necesidades de uso público;
c. Las áreas requeridas para la conformación del sistema de espacio público en los términos establecidos en el Decreto 1504 de 1998 compilado en el Decreto 1077 de 2015 o la norma que la reemplace, complemente o modifique.
2.39 Espacio Público Asociado a la Infraestructura de Transporte: Elementos constitutivos artificiales o construidos3, tales como:
a. Áreas integrantes de los perfiles viales peatonal y vehicular, constituidas por:
- Los componentes de los perfiles viales tales como: áreas de control ambiental, zonas de mobiliario urbano y señalización, cárcamos y ductos, túneles peatonales, puentes peatonales, escalinatas, bulevares, alamedas, rampas para discapacitados, andenes, malecones, paseos marítimos, camellones, sardineles, cunetas, ciclopistas, ciclovías, estacionamiento para bicicletas, estacionamiento para motocicletas, estacionamiento bajo espacio público, zonas azules, bahías de estacionamiento, bermas, separadores, reductores de velocidad, calzadas, carriles.
- Los componentes de los cruces o intersecciones, tales como: esquinas, glorietas, orejas, puentes vehiculares, túneles y viaductos.
Para los fines de los Documentos Tipo se entiende que estos elementos del Espacio Público deberán estar asociados o vinculados a una infraestructura de transporte.
2.40 Estabilización de Taludes: Diseño y/o construcción del conjunto de obras de contención, movimiento de tierras, obras de drenaje superficiales y subsuperficiales y obras de protección requeridas para garantizar la estabilidad de taludes de corte, terraplén y laderas naturales.
2.41 Estación Férrea: Edificio diseñado para la llegada y salida de trenes, que permite y regula el acceso de pasajeros y mercancías.
2.42 Estructura: Ensamblaje de elementos diseñados para soportar las cargas gravitacionales y resistir las fuerzas horizontales. Las estructuras pueden ser catalogadas como estructuras de edificaciones o estructuras diferentes a las de las edificaciones4.
2.43 Franja de Circulación Peatonal: Zona o sendero de las vías de circulación peatonal, destinada exclusivamente al tránsito de las personas.
2.44 Franja de Seguridad: Superficie definida que comprende la pista y la zona de parada, si la hubiese, destinada a: a) reducir el riesgo de daños a las aeronaves que se salgan de la pista; y b) proteger a las aeronaves que la sobrevuelan durante las operaciones de despegue o aterrizaje5.
2.45 Gálibo: Altura entre la superficie de rodadura de la calzada (o lámina de agua) y el borde inferior de la superestructura de un puente o viaducto.
2.46 Gestor Vial o Administrador Vial: Profesionales de la ingeniería civil, altamente calificados para ejercer funciones de administración, gestión y planeación operativa y técnica, responsables de la dirección, coordinación y control de las actividades rutinarias y periódicas y demás acciones en favor de la adecuada y oportuna conservación de las carreteras. De acuerdo con las características de las carreteras y las necesidades, se determinó en primera instancia que los Gestores o Administradores Viales ejecutarán estas actividades, dando énfasis a: la conservación, el inventario físico y estado de vías, la recolección de información para la base de datos de los sistemas de administración vial, la atención de emergencias, la ejecución de algunos estudios y el inventario de accidentes, entre otras.
Posteriormente, se incluyeron acciones tendientes a recuperar el espacio público vial, la descontaminación visual, eliminación de basureros, atención de usuarios y evaluaciones estructurales y funcionales de pavimentos, así como estudios de tránsito y perfiles de vulnerabilidad. En la actualidad estos profesionales, además de las actividades enunciadas llevan a cabo el seguimiento a los contratos que se han realizado en cada una de las vías, con el fin de determinar la calidad y estabilidad de las obras y, en caso que lo amerite, solicitar la aplicación de las pólizas que los amparan.
2.47 Infraestructura o Red Vial Local: Conjunto de vías que permiten la comunicación entre las urbanizaciones y la red vial secundaria, garantizando la accesibilidad interna a cada una de las unidades prediales de la urbanización.
2.48 Infraestructura o Red Vial Principal: Malla vial principal, arterial y demás vías de mayor jerarquía que hacen parte de los sistemas generales o estructurantes del Plan de Ordenamiento Territorial, Plan Básico de Ordenamiento Territorial, Esquema de Ordenamiento Territorial y demás normas de ordenamiento territorial, que soportan los desplazamientos de larga distancia, permitiendo la movilidad dentro del respectivo municipio o distrito a escala regional, metropolitana y/o urbana.
2.49 Infraestructura o Red Vial Secundaria: Conjunto de vías que permiten la movilidad y articulación entre la malla vial arterial o principal y la red vial local.
2.50 Intercambiador Vial / Intersección Vial: Dispositivos viales en los que dos o más carreteras se encuentran ya sea en un mismo nivel o bien en distintos, produciéndose cruces y cambios de trayectorias de los vehículos que por ellos circulan.
2.51 Longitud de Vía: Distancia desde el punto inicial hasta el punto final a través del eje del alineamiento vial.
2.52 Luz: Distancia en proyección horizontal que existe entre dos apoyos de una viga.
2.53 Luz Principal: Es la mayor longitud entre apoyos de la viga más larga del puente o viaducto, cuando éste tenga más de una.
2.54 Mantenimiento de Emergencia: Intervenciones en la infraestructura derivada de sucesos que tengan como origen emergencias climáticas, telúricas, terrorismo, entre otros, que a la luz de la legislación vigente puedan considerarse eventos de fuerza mayor o caso fortuito (artículo 12 de la Ley 1682 de 2013).
2.55 Mantenimiento Integral: Conjunto de acciones tendientes a restablecer, extender y mantener la capacidad estructural y las condiciones superficiales de un corredor vial, mediante las siguientes actividades: Mantenimiento Rutinario, Mantenimiento Preventivo, Mantenimiento Periódico, Refuerzo Estructural, Gestión Vial, Atención de Emergencias y Prestación de servicios a los usuarios.
2.56 Mantenimiento Periódico: Actividades de conservación a intervalos variables, destinados primordialmente a recuperar los deterioros ocasionados por el uso o por fenómenos naturales o agentes externos.
2.57 Mantenimiento Rutinario. Conservación continua (a intervalos menores de un año) con el fin de mantener las condiciones óptimas para el tránsito y uso adecuado de la infraestructura de transporte.
2.58 Mejoramiento: Cambios en una infraestructura de transporte con el propósito de actualizar sus especificaciones técnicas iniciales6.
2.59 Muelle en Concreto: Estructura construida en concreto ubicada a orillas de un río o el mar que sirve para que las embarcaciones puedan atracar y/o embarcar y/o desembarcar pasajeros y/o carga.
2.60 Muelle Flotante: Artefacto naval flotante que sirve para que las embarcaciones puedan atracar y/o embarcar y/o desembarcar pasajeros y/o carga en un río o en el mar.
2.61 Muelle Fluvial: Infraestructura levantada a orillas de un río que sirve para que las embarcaciones puedan atracar y/o embarcar y/o desembarcar pasajeros y/o carga.
2.62 Muelle Metálico: Estructura construida en metal ubicada a orillas de un río o el mar que sirve para que las embarcaciones puedan atracar y/o embarcar y/o desembarcar pasajeros y/o carga.
2.63 Obra Civil Fluvial: Obra ejecutada en la sección hidráulica de un río.
2.64 Obra Civil Hidráulica: Obra de ingeniería civil construida en el cauce de ríos, caños, esteros, cuerpos de agua de origen fluvial o lecho del mar con el objetivo de controlar el agua, con fines de aprovechamiento, encauzamiento o de defensa.
2.65 Obra Civil Marítima: Obra ejecutada en el lecho marino.
2.66 Obra de Protección Fluvial: Obra civil hidráulica construida con el objetivo de proteger o defender una orilla de un río contra la acción de la erosión por la acción de sus aguas con el propósito de estabilizarlas.
2.67 Paramento: Plano vertical que delimita el inicio de la construcción en un predio. Cuando no existe antejardín coincide con la línea de demarcación.
2.68 Paso e Intersección a Desnivel Vehicular: Infraestructura formada por el cruce de dos o más corredores en distinto nivel, con la finalidad de no interrumpir el flujo vehicular, salvando obstáculos naturales o artificiales.
2.69 Pavimentos Asfálticos y/o Pavimentos de Concreto Hidráulico Reforzado: Estructura constituida por un conjunto de capas superpuestas, adecuadamente compactados, que se construyen sobre la subrasante con el objeto de soportar las cargas del tránsito durante un período de varios años, brindando una superficie de rodamiento uniforme, cómoda y segura. Dichas capas superficiales se encuentran en contacto directo con el tráfico de vehículos o aeronaves y pueden estar constituidas en concreto asfáltico o en concreto hidráulico reforzado.
2.70 Perfil Vial: Representación gráfica de una vía que esquematiza, en el sentido perpendicular al eje, el conjunto de elementos urbanísticos que la comprenden entre los paramentos de los inmuebles.
2.71 Pista de Aeródromo: Área rectangular definida en un aeródromo terrestre preparada para el aterrizaje y el despegue de las aeronaves7.
2.72 Pistas de Aeropuertos: Infraestructura del transporte cuya finalidad es permitir la circulación, despegue y aterrizaje de aviones (aeronaves) en condiciones de continuidad en el espacio y en el tiempo, con niveles adecuados de seguridad y de comodidad, tales como pistas de aeropuertos, calle de rodaje o pista de taxeo; plataforma o rampa de aeropuerto.
2.73 Placa Huella: Estructura conformada por placas de concreto hidráulico reforzado separadas por franjas de concreto ciclópeo, confinadas por bordillos y/o cunetas construidas sobre una base de afirmado y/o material seleccionado compactado.
2.74 Plataforma: Área definida, en un aeródromo terrestre, destinada a dar cabida a las aeronaves para los fines de embarque o desembarque de pasajeros, correo o carga, abastecimiento de combustible, estacionamiento o mantenimiento.
2.75 Plazas: Plazoletas de menor extensión que generalmente ocupan una manzana completa.
2.76 Plazoletas: Áreas de espacio público abiertas, tratadas como zonas duras y destinadas al disfrute de los ciudadanos y las actividades de convivencia, ocupan media manzana.
2.77 Plazuelas: Áreas de espacio público abiertas, tratadas como zonas duras y destinadas al disfrute de los ciudadanos y a las actividades de convivencia que ocupan un cuarto (1/4) de manzana.
2.78 Pontones: Es una estructura de drenaje para el paso de vehículos, cuya luz medida paralela al eje de la carretera es menor o igual a diez metros (10m).
2.79 Puente en Concreto Hidráulico: Estructura cuya losa o placa de circulación vehicular está soportada por elementos estructurales construidos con concreto hidráulico.
2.80 Puente Férreo: Infraestructura del transporte cuya finalidad es permitir la continuación de la circulación de vehículos férreos exclusivamente (trenes, locomotoras, vagones) que circulan en carrileras y/o rieles especializados, en condiciones de continuidad en el espacio y el tiempo, con niveles adecuados de seguridad y de comodidad, permitiendo pasar obstáculos, como ríos, quebradas, otras vías, carreteras, vías férreas, etc.
2.81 Puente Metálico: Estructura cuya losa o placa de circulación vehicular está soportada por elementos estructurales metálicos.
2.82 Puente Metálico Modular: Estructura que se monta o desmonta mediante la simple adición de componentes de acero modulares prefabricados para puentes. Los puentes pueden adaptarse fácilmente hasta la longitud, ancho y resistencia deseados, permitiendo diversas aplicaciones y usos.
2.83 Puente Mixto: Estructura que teniendo mínimo dos luces, una de ellas es metálica y la otra es en concreto hidráulico.
2.84 Puentes Peatonales: Infraestructura del transporte cuya finalidad es permitir la continuación de la circulación de peatones (en algunos casos también bicicletas) en condiciones de continuidad en el espacio y en el tiempo, con niveles adecuados de seguridad y de comodidad, permitiendo pasar obstáculos, como ríos, quebradas, otras vías, carreteras, vías férreas, etc.
2.85 Puentes Vehiculares y/o Viaductos: Infraestructura del transporte en concreto, acero o mixto compuesta por infraestructura y superestructura, cuya finalidad es permitir la continuación de la circulación de automóviles (carros, buses, camiones, autobuses) en condiciones de continuidad en el espacio y en el tiempo, con niveles adecuados de seguridad y de comodidad, permitiendo superar obstáculos como ríos, quebradas, otras vías, carreteras y vías férreas, que permite atravesar un accidente geográfico (río o depresión) o Paso a Desnivel para el paso de vehículos.
2.86 Reconstrucción: Retiro y reemplazo parcial o total de la estructura de un pavimento, de espacio público, o infraestructura, para generar una nueva estructura. Es posible considerar la reutilización total o parcial de los materiales existentes para la nueva estructura.
2.87 Recuperación de Banca: Obras que propenden por la recuperación de las condiciones de estabilidad iniciales, con el fin de restablecer la transitabilidad y mitigar los efectos adversos que la materialización de la amenaza puede acarrear sobre la estructura y/o los usuarios.
2.88 Red Vial: Conjunto de vías terrestres vehiculares urbanas y rurales.
2.89 Reforzamiento Estructural o Rehabilitación Estructural: Adición de fuerza o capacidad de carga a un elemento estructural que hace parte de un todo ya sea definido como superestructura, subestructura o fundación. Los ejemplos incluyen la instalación de barras de refuerzo de metal debidamente ancladas al elemento existente en la forma establecida en los estudios y diseños antes de verter el hormigón; o instalar las placas de refuerzo metálicos en la intersección de varios elementos; o realizar el reforzamiento mediante la implementación de sistemas compuestos como el refuerzo con fibra de carbono; o utilización de aceros estructurales; o implementación de reforzamiento mediante tensionamiento exterior de los elementos requeridos.
Es de resaltar que puede llevarse a cabo la combinación de varias de las actividades mencionadas según lo establezcan los estudios y diseños para el reforzamiento estructural. En ningún caso se tiene en cuenta el componente sísmico, ni un análisis geotécnico de las fundaciones, ni estudios hidráulicos de la estructura; puesto que la actividad consiste en reforzar los elementos que se encuentran en mal estado y permitir aumentar la vida útil de la misma.
Las actividades de reforzamiento se realizan para recuperar la capacidad por la acción de agentes externos a la estructura como ataques terroristas; accidentes y/o colisiones; fuerza mayor o caso fortuito donde se presente una mayor acción de las cargas por vientos, mayor fuerza de la corriente, material de arrastre y condiciones de sedimentos; y el empuje de tierras no contempladas en los diseños iniciales. Además de ataques por agentes químicos y/o la falta de mantenimiento de los elementos estructurales los cuales afectan la durabilidad y la estabilidad de la estructura.
Esta actividad no implica actualizar la capacidad de carga de la estructura.
Estas actividades requieren del mantenimiento previo de los elementos estructurales.
2.90 Reforzamiento Estructural o Rehabilitación Estructural de Puentes: Trabajos de reparación con los cuales se pretende que los puentes aumenten su período de vida útil e incluyen la intervención de los elementos estructurales del puente. El reforzamiento abarca desde la rehabilitación del concreto degradado, la renovación de elementos, aumento de las secciones de los elementos, adición de refuerzo y postensionamientos externos.
2.91 Rehabilitación: Reconstrucción de una infraestructura de transporte para devolverla al estado inicial para la cual fue construida. Las actividades de mantenimiento no serán consideradas actividades de rehabilitación.
2.92 Repotenciación Estructural: Reforzamiento del conjunto de elementos estructurales de tal forma que se pueda adicionar la capacidad de la estructura mediante procesos constructivos que garanticen el aumento de la capacidad para la cual fue diseñada inicialmente. En el caso específico de los puentes involucra la actualización de cargas por el nuevo camión de diseño según lo establecido en el Código Colombiano de Diseño Sísmico de Puentes – sección A.3.4 Carga Viva y/o la necesidad de adosar nuevos elementos (involucran nuevas cargas) para realizar ampliación del tablero y/o añadir pasos de tuberías y/o redes de servicios públicos o cualquier otro requerimiento de carga que no se encontraba previsto en el diseño inicial de la estructura. Por ende, no involucra el componente sísmico.
Estas actividades requieren del mantenimiento previo de los elementos estructurales.
2.93 Sardinel o Bordillo: Elemento que separa una calzada del andén o del separador de una vía.
2.94 Sede Férrea: Inmueble caracterizado por contener en un solo predio edificios de servicio, mantenimiento y operación ferroviaria, dentro los que pueden estar estación de pasajeros, talleres férreos, campamentos, bodegas entre otros.
2.95 Señalización: Conjunto de señales destinado a regular el tránsito. Dichas señales pueden ser verticales, horizontales o demarcaciones.
2.96 Señalización Vertical: Dispositivos físicos que indican la forma correcta como deben transitar los usuarios de las vías; se instalan para transmitir órdenes o instrucciones mediante palabras o símbolos.
2.97 Separador: Franja de una vía dispuesta en forma longitudinal y paralela al eje de esta que separa y canaliza flujos de circulación. Pueden ser centrales y laterales o intermedios.
2.98 Subsistema Vial: Subsistema que compone el sistema de movilidad y que está a su vez conformado por los siguientes componentes: malla vial arterial, malla vial intermedia, malla vial local, alamedas y pasos peatonales, red de ciclorrutas y corredores de movilidad local, malla vial rural.
2.99 Taller Férreo: Edificio o edificios especializados para la atención y mantenimiento de los diferentes componentes de un sistema ferroviario, dentro de los que están el material rodante y los diferentes equipos eléctricos y electromecánicos.
2.100 Tráfico o Tránsito Vehicular: Volumen de vehículos que circulan por un punto especifico de infraestructura de transporte periódicamente o en un período determinado.
2.101 Transporte Fluvial: Actividad que tiene por objeto la conducción de personas, animales o cosas mediante embarcaciones por vías fluviales.
2.102 Vehículo: Aparato montado sobre ruedas que permite el transporte de personas, animales o cosas de un punto a otro por vía terrestre pública o privada abierta al público.
2.103 Vías: Franja de uso público o privado, abierta al público, destinada al tránsito de vehículos, personas y animales.
2.104 Vías Férreas y/o Corredores Férreos: Infraestructuras del transporte cuya finalidad es permitir la circulación de vehículos férreos exclusivamente (trenes, locomotoras, vagones) que lo hacen en carrileras y/o rieles especializados, en condiciones de continuidad en el espacio y en el tiempo, con niveles adecuados de seguridad y de comodidad.
2.105 Vías Fluviales: Ríos, caños, esteros o cuerpos de agua de origen fluvial que se utilizan como medio de transporte de pasajeros, animales o carga.
2.106 Vía Peatonal: Áreas o zonas de la ciudad destinadas para el tránsito exclusivo de peatones donde está restringida la circulación de vehículos motorizados.
2.107 Vías Rurales: Estructuras físicas que permiten el acceso o entrada a fincas, haciendas o campos, las cuales se encuentran localizadas dentro del perímetro rural de la población.
2.108 Vías Urbanas: Calles, carreras, transversales, avenidas, diagonales, glorietas, autopistas, troncales, variantes, o a la denominación establecida según la nomenclatura de la población correspondiente, las cuales se encuentran localizadas dentro de su perímetro urbano.
Nota: Para proyectos de infraestructura vial que se hayan construido fuera del territorio nacional, se consideran Vías Urbanas aquellas que sean certificadas por la Entidad contratante mediante alguno de los documentos válidos establecidos en el presente pliego de condiciones para la acreditación de la experiencia, donde se indique que el ancho de calzada es mayor o igual a siete (7.0) metros, o que se acrediten tres o más carriles vehiculares por calzada.
2.109 Vías Veredales: Para el presente proceso se entiende por vías veredales las que permiten el acceso o entrada a veredas, las cuales se encuentran localizadas dentro del perímetro rural de la población.
2.110 Zona Verde: Espacio de carácter permanente, abierto y empradizado, de dominio o uso público, que hace parte del espacio público efectivo y destinado al uso recreativo.
| codigo | CCE-EICP-IDI-03 | Versión | 5 |
ANEXO 3 – GLOSARIO
SELECCIÓN ABREVIADA DE OBRA PÚBLICA DE INFRAESTRUCTURA DE TRANSPORTE (VERSIÓN 2)
| Código | CCE-EICP-IDI-08 | Página | 1 de 18 |
| Versión No. | 4 | ||
ANEXO 3 – GLOSARIO
Para efectos de interpretación del pliego de condiciones: [La Entidad deberá incluir en orden alfabético los conceptos adicionales que apliquen al Proceso de Contratación que no estén incorporados en el presente anexo, y aquellos que se definan en una ley o normativa que en orden de jerarquía esté por encima del pliego de condiciones, siendo estos últimos obligatorios con independencia de que se encuentren detallados, o no.]
1. GLOSARIO GENERAL-
1.1 Aclaraciones y Explicaciones de Ofertas: Se remite a las nociones desarrolladas en la sentencia del Consejo de Estado, Sección Tercera, Subsección C, del 12 de noviembre de 2014, Radicado 27.986, consejero ponente: Enrique Gil Botero.
1.2 Acta de Inicio: Documento en el que las partes, de común acuerdo, dejan constancia del inicio de ejecución del plazo contractual.
1.3 Activo Corriente: Activo susceptible de convertirse en dinero en efectivo en un período inferior a un año.
1.4 Activo Total: Activos, bienes, derechos y otros recursos controlados económicamente por la persona jurídica o natural, resultantes de sucesos pasados de los que se espera obtener beneficios o rendimientos económicos en el futuro.
1.5 Administración Delegada: Modalidad de pago en la cual la Entidad delega la ejecución de la obra en el Contratista en calidad de director técnico, quien la ejecuta por cuenta y riesgo de la misma Entidad. El Contratista obtiene como remuneración los honorarios que se pactan por su gestión. El administrador delegado se encarga de ejecutar la obra y responde por su buen resultado, pero es la Entidad quien asume los Riesgos derivados del contrato y la financiación de la obra. Los honorarios del Contratista pueden pactarse en forma de porcentaje sobre el valor de la obra o como precio fijo.
1.6 Análisis del Sector: Estudio que permite conocer el bien o servicio a adquirir en términos de oferta y demanda e identificar el precio más justo a pagar por la satisfacción de la necesidad de la Entidad. Asimismo, por medio de este estudio las Entidades identifican quién puede proveer el bien o servicio, cómo se desarrolla ese negocio, su cadena de producción y distribución, para saber si el sector tiene la capacidad de proveer el bien o servicio en las condiciones y cantidades requeridas por la Entidad.
Este estudio debe realizarse desde la perspectiva legal, comercial, financiera, organizacional, técnica y de análisis de Riesgo.
1.7 Anexo: Documento o conjunto de documentos que la Entidad adjunta al Pliego de Condiciones y que hacen parte integral de este.
1.8 Anticipo: Préstamo del contrato destinado a apalancar el cumplimiento del objeto contractual, de modo que los recursos girados por dicho concepto sólo se integran al patrimonio del Contratista en la medida que se cause su amortización mediante la presentación de la cuenta o factura respectiva.
1.9 Aportes Legales: Contribuciones parafiscales y gravámenes establecidos con carácter obligatorio por la ley que afectan a un determinado y único grupo social y económico y se utilizan para beneficio del propio sector. El manejo, administración y ejecución de estos recursos se hará exclusivamente en la forma dispuesta en la ley que los crea y se destinarán sólo al objeto previsto en ella.
1.10 Apostilla: Certificación de la autenticidad de la firma de un servidor público en ejercicio de sus funciones y la calidad en que el signatario haya actuado, la cual deberá estar registrada ante el Ministerio de Relaciones Exteriores, para que el documento surta plenos efectos legales en un país parte del Convenio sobre la Abolición del Requisito de Legalización de los Documentos Públicos Extranjeros de la Conferencia de La Haya de 1961.
1.11 Beneficiario Real: Cualquier persona o grupo de personas que, directa o indirectamente, por sí misma o a través de interpuesta persona, por virtud de contrato, convenio o de cualquier otra manera, tenga respecto de una acción de una sociedad, o pueda llegar a tener, por ser propietario de bonos obligatoriamente convertibles en acciones, capacidad decisoria; esto es, la facultad o el poder de votar en la elección de directivas o representantes o de dirigir, orientar y controlar dicho voto, así como la facultad o el poder de enajenar y ordenar la enajenación o gravamen de la acción.
Conforman un mismo beneficiario real los cónyuges o compañeros permanentes y los parientes dentro del segundo grado de consanguinidad, segundo de afinidad y único civil, salvo que se demuestre que actúan con intereses económicos independientes, circunstancia que podrá ser declarada bajo la gravedad de juramento ante la Superintendencia Financiera de Colombia con fines exclusivamente probatorios.
Igualmente, constituyen un mismo beneficiario real las sociedades matrices y sus subordinadas.
1.12 BRT (por sus siglas en inglés Bus Rapid Transit)- Bus de Transito Rápido: Sistema de transporte de pasajeros, que cuenta con estaciones y vías o carriles exclusivos, por las cuales circulan buses con rutas prestablecidas.
1.13 Canales Navegables: Cauce o cuerpo de agua natural o artificial por donde navegan las embarcaciones. Los canales navegables en función de su profundidad se clasifican en canales navegables para embarcaciones menores, mayores o ambas.
1.14 Capacidad Financiera: Condiciones financieras mínimas que debe tener un Proponente en razón de su liquidez, endeudamiento y los demás indicadores que apliquen, para soportar adecuadamente la ejecución del contrato.
1.15 Capacidad Organizacional: Aptitud de un Proponente para cumplir oportuna y cabalmente el objeto del contrato en función de su organización interna. Son aquellos contenidos en el artículo 2.2.1.1.1.5.3 del Decreto 1082 de 2015 o la norma que lo adicione, modifique, remplace, complemente o sustituya.
1.16 Certificado de Disponibilidad Presupuestal: Documento que acredita la disponibilidad de recursos en el presupuesto para adelantar el Proceso de Contratación.
1.17 Código Nacional de Navegación y Actividades Portuarias Fluviales: Es el previsto por la Ley 1242 de 2008, o la norma que lo adicione, modifique, complemente o derogue, mediante el cual se regulan las actividades fluviales. En el cual se establecen las nociones sobre los diferentes cuerpos de agua, vías fluviales, canales navegables, entre otros que sean considerados como una integración de la infraestructura de transporte desde el aspecto marítimo o fluvial.
1.18 Conflicto de Interés: Circunstancias que el interesado o Proponente dará a conocer a la Entidad y que considera puede tener incidencia en la imparcialidad con que debe adoptar las decisiones en el curso del Proceso de Contratación.
1.19 Consorcio: Figura asociativa en la cual dos o más personas en forma conjunta presentan una misma propuesta para la adjudicación, celebración y ejecución de un contrato, respondiendo solidariamente de las obligaciones derivadas de la propuesta y del contrato.
1.20 Contratista: Persona natural, jurídica o el grupo de personas jurídicas o naturales, nacionales o extranjeras, asociadas entre sí que suscriben un contrato con el fin de ejecutar el objeto bajo las condiciones de modo, tiempo y lugar que en él se establecen.
1.21 Contrato de Interventoría: Acuerdo de voluntades celebrado por las Entidades con personas naturales o jurídicas, con el fin de llevar el control, seguimiento, y apoyo técnico especializado de la ejecución de contratos o convenios, tendientes a asegurar su correcta ejecución y cumplimiento, de acuerdo con lo previsto en las normas vigentes y lo estipulado en el respectivo contrato. La interventoría puede incluir, según el caso, el seguimiento administrativo, contable, financiero y/o jurídico.
1.20. Contrato de Obra: Acuerdos de voluntades celebrados por las Entidades para la construcción, mantenimiento, instalación y, en general, para la realización de cualquier otro trabajo material sobre bienes inmuebles, con independencia de la modalidad de ejecución y pago.
1.21. Documentos Tipo: Documentos adoptados por la Agencia Nacional de Contratación Pública – Colombia Compra Eficiente que establecen los requisitos habilitantes, factores técnicos, económicos y otros requisitos que representen buenas prácticas contractuales de carácter obligatorio para las Entidades sometidas por el Estatuto General de Contratación de la Administración Pública.
1.22 EPC (por sus siglas en inglés Engineering, Procurement and Construction): Contrato que tiene como objetivos principales los servicios de ingeniería, adquisición y construcción. El Contratista, junto con sus funciones tradicionales relacionadas con el suministro de equipos, la construcción y la puesta en marcha, asume la ingeniería del proyecto y la responsabilidad global frente al contratante. También es denominado como contrato de construcción “llave en mano”.
1.23 Estados Financieros: Informes utilizados en las instituciones/empresas que reflejan la situación económica y financiera y los cambios que se dan en cierta fecha o período determinado. Un juego completo de estados financieros comprende: (a) un estado de situación financiera al final del período; (b) un estado del resultado integral del período; (c) un estado de cambios en el patrimonio del período; (d) un estado de flujos de efectivo del período; (e) notas que incluyan un resumen de las políticas contables más significativas y otra información explicativa; y (f) un estado de situación financiera al principio del primer período comparativo, cuando una Entidad aplique una política contable retroactivamente o realice una reexpresión retroactiva de partidas en sus estados financieros, o cuando reclasifique partidas en sus estados financieros.
1.24 Estudios Previos: Justificación jurídica, técnica, económica y financiera del proyecto que realiza la Entidad de acuerdo con las Leyes 80 de 1993 y 1150 de 2007 y el Decreto 1082 de 2015 o las normas que lo adicionen, modifiquen o complementen.
1.25 Formato: Documentos que aporta el Proponente y que hacen parte integral de su oferta.
1.26 Formulario: Documento por medio del cual la Entidad solicita información específica relacionada con la oferta económica y que debe ser diligenciada por el Proponente.
1.27 Garantía: Respaldo que tiene como fin el pago a favor de la Entidad de las indemnizaciones o sanciones derivadas del incumplimiento del contrato. Las clases de garantías son: (i) contratos de seguro, (ii) fiducia mercantil de garantía o (iii) garantías bancarias.
1.28 Garantía de Responsabilidad Civil Extracontractual: Garantía que cubre los perjuicios que puede sufrir la Entidad derivados de la responsabilidad extracontractual que surja de las actuaciones, hechos u omisiones de su Contratista o de los subcontratistas. Este Riesgo sólo puede cubrirse mediante pólizas de seguro.
1.29 Información Pública Reservada: Información que estando en poder o custodia de un sujeto obligado en su calidad de tal, es exceptuada de acceso a terceros por daño a intereses públicos teniendo que dar estricto cumplimiento de la totalidad de los requisitos consagrados en el artículo 19 de esta ley de la Ley 1712 de 2014.
1.30 Infraestructura del Transporte: Sistema de movilidad integrado por un conjunto de bienes tangibles, intangibles y aquellos que se encuentren relacionados con este, el cual está bajo la vigilancia y control del Estado y se organiza de manera estable para permitir el traslado de las personas, los bienes y los servicios, el acceso y la integración de las diferentes zonas del país y que propende por el crecimiento, competitividad y mejora de la calidad de la vida de los ciudadanos1.
Son las obras realizadas en:
- Vías primarias y secundarias
- Vías terciarias
- Infraestructuras marítimas y fluviales
- Vías primarias, secundarias o terciarias para atención a emergencias diferentes a contratación directa.
- Infraestructura férrea
- Infraestructura vial urbana
- Puentes
- Infraestructura Aeroportuaria
1.31 Interventor(a): Persona natural, jurídica, Consorcio o Unión Temporal, que tiene a su cargo el seguimiento y control del contrato en los términos del artículo 83 de la Ley 1474 de 2011.
1.32 Legalización: Certificación de la autenticidad de la firma de un servidor público en ejercicio de sus funciones y la calidad en que el signatario haya actuado, la cual deberá estar registrada ante el Ministerio de Relaciones Exteriores, para que el documento surta plenos efectos legales en un país que hace parte de la Convención de Viena de 1963, sobre relaciones consulares, literal f del artículo 5 que reglamenta las actuaciones consulares en calidad de notario.
1.33 Matriz: Documento que incorpora condiciones técnicas, de riesgos o económicas que debe tener en cuenta el Proponente al momento de estructurar su oferta y ejecutar el contrato.
1.34 Medio Magnético: Dispositivo que utiliza materiales magnéticos para archivar información digital, tales como USB, discos duros o CD que almacenan grandes volúmenes de datos en un espacio físico reducido.
1.35 Pago Anticipado: Extinción anticipada de obligaciones a través del pago de una parte del precio del contrato.
1.36 Pliego de Condiciones: Conjunto de reglas que rigen el Proceso de Contratación y el futuro contrato, en los que se señalan las condiciones objetivas, plazos y procedimientos dentro de los cuales los Proponentes deben formular su oferta para participar en el Proceso de Contratación.
1.37 Pliego de Condiciones Tipo: Documento estructurado, actualizado y publicado por la Agencia Nacional de Contratación Pública - Colombia Compra Eficiente que incorpora las condiciones habilitantes, requisitos de puntaje y demás aspectos señalados en el artículo 1 de la Ley 2022 de 2020.
1.38 Porcentaje de AIU: Porcentaje de los costos directos destinados a cubrir: los gastos de administración (A), que comprende los gastos de dirección de obra, gastos administrativos de oficina, etc.; los imprevistos (I), que corresponde a un porcentaje destinado a cubrir los gastos que surjan y que no fueron previstos, y las utilidades (U) que corresponde a la remuneración propiamente dicha del Contratista por su trabajo.
1.39 Precio Global: Modalidad de pago cierto, cerrado e inalterable como única remuneración por el cumplimiento del objeto contratado.
1.40 Precios Unitarios: Modalidad de pago por unidades o cantidades de obra siendo el valor total del contrato el correspondiente al resultado de multiplicar las cantidades de obras efectivamente ejecutadas por el precio de cada una de ellas.
1.41 Presupuesto Oficial: Valor total que la Entidad determina como necesario para ejecutar el objeto del contrato con base en el estudio previo y el análisis del sector.
1.42 Proponente: Persona o grupo de personas que presentan una oferta para participar en el Proceso de Contratación.
1.43 Proponente Plural: Figura asociativa en la cual dos o más personas en forma conjunta se unen para la presentación de una propuesta, celebrar y ejecutar un contrato. No constituyen una persona jurídica independiente de sus integrantes. Puede tener la figura de Consorcios o Uniones Temporales.
1.44 Reembolso de Gastos: Forma de pago en la cual el Contratista asume los gastos de ejecución del contrato y la Entidad en forma periódica rembolsa dichos gastos y además reconoce a éste los honorarios que se pactan por su gestión.
1.45 Selección Objetiva: Principio que busca que la escogencia de los colaboradores de la administración responda a criterios objetivos, en concordancia con los principios que rigen la función administrativa.
1.46 Sobre 1: Instrumento que permite incluir los documentos relacionados con el cumplimiento de los requisitos habilitantes, así como los requisitos y documentos a los que se les asigna puntaje que son diferentes a la oferta económica.
1.47 Sobre 2: Instrumento que permite incluir la oferta económica.
1.48 Subcontratista: Persona natural o jurídica que contrata el Contratista principal para ejecutar una actividad previamente contratada por una Entidad u otra persona natural o jurídica.
1.49 Sucursal: Establecimiento de comercio abierto por una sociedad, dentro o fuera de su domicilio, para desarrollar los negocios sociales o de parte de ellos, administrados por mandatarios con facultades para representar a la sociedad
1.50 Trato Nacional: Principio según el cual un Estado concede a los nacionales de otro Estado el mismo trato que otorga a sus nacionales.
1.51 Unión Temporal: Forma asociativa en la cual dos o más personas presentan conjuntamente una misma propuesta para la adjudicación, celebración y ejecución de un contrato, respondiendo solidariamente por el cumplimiento total de la propuesta y del objeto contratado, pero las sanciones por el incumplimiento de las obligaciones derivadas de la propuesta y del contrato se imponen de acuerdo con la participación en la ejecución de cada uno de sus integrantes.
1.52 Utilidad Operacional: Ingresos, costos y gastos operacionales relacionados directamente con el objeto social de la persona jurídica o de lapersona natural, con su actividad principal, dejando de lado los gastos e ingresos no operacionales, es decir, aquellos ingresos diferentes a los obtenidos en el desarrollo de la actividad principal de la empresa, ingresos que por lo general son ocasionales o que son accesorios a la actividad principal.
1.53 Vigencia Fiscal: Período que comprende desde el 1 de enero hasta el 31 de diciembre de cada año.
2. GLOSARIO ESPECÍFICO TÉCNICO
[La Entidad deberá incorporar en orden alfabético los conceptos adicionales que apliquen al Proceso de Contratación que no estén incluidos en el presente anexo o en la normatividad que sea aplicable en la materia de infraestructura de transporte, como es el caso de la Ley 1682 de 2013.]
[Respecto a la categorización de las vías, se maneja en los Documentos Tipo la definición de Vías primarias, secundarias o terciaras, hasta que se cumpla el plazo establecido en la Resolución 411 del 26 de febrero de 2020 por parte del Ministerio de Transporte, o aquellas que las modifiquen, adición o deroguen; en la cual se detallan los lineamientos de categorización de vías de primer, segundo y tercer orden de acuerdo con la matriz y guía para realizar la categorización de la red vial nacional.]
2.1 Accesibilidad: Condición que permite, en cualquier espacio o ambiente ya sea interior o exterior, el fácil y seguro desplazamiento de la población en general y el uso en forma confiable, eficiente y autónoma de los servicios instalados en esos ambientes.
2.2 Actividades y Obras de Protección: Labores mecánicas de protección y mitigación, permanentes o provisionales, sobre los activos, redes e infraestructura de servicios públicos y actividades complementarias, tecnologías de la información y las comunicaciones y de la industria del petróleo.
2.3 Actualización Sísmica: Análisis total de la estructura desde las fundaciones, pasando por la subestructura y su conexión con la superestructura para que al realizar el análisis de vulnerabilidad sísmica se dé la actualización y cumplimiento con lo establecido en la sección A. 3.5 Cargas por Sismo del Código Colombiano de Diseño Sísmico de Puentes y de las Normas Colombianas de Diseño y Construcción Sismo – Resistente. Los procesos constructivos involucran el estudio del espectro sísmico desde el componente geotécnico hasta la forma de implementar los conectores entre la superestructura y la subestructura. Estas actividades requieren del mantenimiento y reforzamiento previo de los elementos estructurales.
2.4 Administración vial: Son contratos consistentes en la administración en forma permanente de un determinado sector de carretera, en un tiempo establecido, mediante las gestiones, acciones y actividades técnicas y administrativas tendientes a conservar el sector de la carretera nacional, desarrollados por los Administradores Viales, los cuales son ingenieros civiles y/o de transportes y vías, quienes realizan labores de dirección del mantenimiento rutinario, vigilancia, monitoreo, evaluación y diagnóstico continuos del estado de las vías, para garantizar la transitabilidad a los usuarios en condiciones aceptables y seguras, planteando acciones preventivas y correctivas, logrando una reducción en los costos de mantenimiento y conservación de éstas.
2.5 Aeródromo: Es el área definida en tierra o en agua destinado total o parcialmente a la llegada, salida y movimiento en superficie de aeronaves.
Dentro del aeródromo, se cuenta con el área del aeródromo la cual es un sitio destinado al despegue y aterrizaje de aeronaves. Estas áreas se refieren a:
a. Lado Aire: Está compuesto por el área de movimiento de aeronaves, pistas, calles de rodaje, taxeos, hangares y plataformas, cuyo objeto es facilitar la operación de aeronaves y que por su naturaleza el ingreso a esas áreas está sujeto a restricción y/o control del explotador del aeródromo.
b. Lado Tierra: Está compuesta por los edificios, parqueaderos, instalaciones, dispuestos para los usuarios internos o externos del aeropuerto. se dividen en:
1. Áreas públicas: Edificios, instalaciones y servicios dispuestos para el uso del público en general sin restricción en su ingreso.
2. Área restringida: Edificios, instalaciones y servicios exclusivas a aquellas personas, mercancías y/o vehículos que dispongan de autorización otorgada por el explotador del aeropuerto que habilite su ingreso.
2.6 Alameda: Espacios constituidos por los bienes de uso público destinados al desplazamiento, uso y goce de los peatones y por los elementos arquitectónicos y naturales de los inmuebles de propiedad privada que se integran visualmente para conformar el espacio urbano. Tiene como soporte la red de andenes, cuya función principal, es la conexión peatonal de los elementos simbólicos y representativos de la estructura urbana.
2.7 Ancho de Vía: Medida transversal de una zona de uso público, compuesta por andenes, calzadas, ciclorrutas y separadores, para el tránsito de peatones y vehículos.
2.8 Andén o Acera: Franjas de espacio público construido, paralelas a las calzadas vehiculares de las vías públicas, destinadas al tránsito de peatones, personas con movilidad reducida y en algunos casos de ciclousarios.
2.9 Calle de rodaje de Aeródromo: Vía definida en un aeródromo terrestre, establecida para el rodaje de aeronaves y destinada a proporcionar enlace entre una y otra parte del aeródromo2.
2.10 Calzada: Zona de la vía destinada a la circulación de vehículos. Las calzadas pueden ser pavimentadas o no. Si son pavimentadas queda comprendida entre los bordes internos de las bermas. Para la verificación del ancho de calzada requerido en vías construidas fuera del territorio nacional se tendrá en cuenta el ancho comprendido entre el borde interior de las bermas, es decir, la suma simple del ancho de carriles consecutivos.
2.11 Calzada de Servicio: Calzada adyacente a una vía arteria que cumple una función de accesibilidad a predios y soporta un tráfico de carácter local.
2.12 Canal: Cauce artificial, revestido o no, descubierto que transporta agua a flujo libre, cuya sección transversal tiene una forma generalmente constante; se construye para conducir las aguas lluvias provenientes del terreno o infraestructura, hasta su entrega final.
2.13 Carretera: Infraestructura del transporte cuya finalidad es permitir la circulación de vehículos terrestres automotores (carros, buses, camiones, motos, bicicletas, autobuses) en condiciones de continuidad en el espacio y en el tiempo con niveles adecuados de seguridad y de comodidad. Puede estar constituida por una o varias calzadas, uno o varios sentidos de circulación, o uno o varios carriles en cada sentido, de acuerdo con las exigencias de la demanda de tránsito y la clasificación funcional de la misma.
2.14 Carreteras o Vías Primarias o Vías de Primer Orden: Troncales, transversales y accesos a capitales de departamento que cumplen la función básica de integración de las principales zonas de producción y consumo del país y de éste con los demás países. Este tipo de carreteras pueden ser de calzadas divididas según las exigencias particulares del proyecto.
Nota: Para proyectos de infraestructura vial que se hayan construido fuera del territorio nacional, se consideran Carreteras Primarias aquellas que sean certificadas por la Entidad contratante mediante alguno de los documentos válidos establecidos en el presente Pliego de Condiciones para la demostración de la experiencia, donde se indique que el ancho de calzada es mayor o igual a siete (7.0) metros, o que se acrediten tres (3) o más carriles vehiculares por calzada.
2.15 Carreteras o Vías Secundarias o Vías de Segundo Orden: Vías que unen las cabeceras municipales entre sí y/o que provienen de una cabecera municipal y conectan con una Carretera Primaria. Las carreteras consideradas como secundarias pueden funcionar pavimentadas o en afirmado.
Nota: Para proyectos de infraestructura vial que se hayan construido fuera del territorio nacional, se consideran carreteras o vías secundarias aquellas que sean certificadas por la Entidad contratante mediante alguno de los documentos válidos establecidos en el presente Pliego de Condiciones para la demostración de la experiencia, donde se indique que el ancho de calzada es mayor o igual a siete (7.0) metros, o que se acrediten tres o más carriles vehiculares por calzada.
2.16 Carreteras o Vías Terciarias o Vías de Tercer Orden: Vías de acceso que unen las cabeceras municipales con sus veredas o unen veredas entre sí. Las carreteras consideradas como terciarias funcionan en general en afirmado.
2.17 Carril: Franja longitudinal de una calzada con ancho suficiente para la circulación segura y confortable de una sola fila de vehículos terrestres automotores.
2.18 Ciclorruta: Calzada destinada de manera permanente a la circulación de bicicletas, ubicada en el andén, el separador o segregada de la calzada vehicular o en otros lugares autorizados, debidamente señalizada y delimitada.
2.19 Ciclovía: Vía o sección de calzada destinada ocasionalmente para el tránsito de bicicletas, triciclos y peatones.
2.20 Concreto Asfáltico: Material resultante de la mezcla de cemento asfáltico convencional y/o modificado y agregados pétreos.
2.21 Concreto Hidráulico: Material resultante de la mezcla de cemento portland, agua y agregados pétreos.
2.22 Concreto Hidráulico Reforzado: Material resultante de la mezcla de cemento portland, agua, agregados pétreos y/o aditivos y acero de refuerzo.
2.23 Conservación: Conjunto de actividades que se ejecutan sobre una infraestructura vial y/o del espacio público asociado a la infraestructura de transporte y/o edificación no residencial orientadas a preservar las estructuras para que ofrezcan condiciones de uso aceptable ya sea que se cumpla en período de vida útil o a ampliar un nuevo período, empleando los tratamientos necesarios con el fin de retardar su deterioro. Incluye las actividades de mantenimiento rutinario, periódico, preventivo, correctivo, rehabilitación o reconstrucción.
2.24 Construcción: Son aquellas obras nuevas que incluyen el levantamiento o armado de algún tipo de infraestructura de transporte.
2.25 Deprimido: Infraestructura construida a un paso inferior de aquellas infraestructuras que la rodean en un cruce de dos o más ejes de infraestructura de transporte a diferentes alturas para no interrumpir el flujo de tráfico cuando se cruzan entre sí. La composición de esos ejes de infraestructura de transporte no tiene que ser uniforme, sino que puede consistir en una mezcla de caminos, senderos, vías férreas, canales, o pistas de aeropuertos.
2.26 Draga de Corte de Succión (Cutter Suction Dredger - CSD): Embarcación o artefacto naval que draga mediante la acción de una cabeza de corte que rompe o disgrega el suelo o lecho que succiona los sedimentos o el suelo mediante la acción de una bomba y lo transporta a la zona de disposición por tubería.
2.27 Draga de Arrastre de Succión con Tolva (TSHD – Trailing Suction Hopper dredger): Embarcación autopropulsada y capaz de transportar cierta cantidad de sólidos en una tolva, los cuales son aspirados del fondo del cuerpo de agua por un tubo dotado con un cabezal de succión.
2.28 Draga Mecánica: Embarcación o artefacto naval que utiliza exclusivamente medios mecánicos para la excavación y extracción del material. Se pueden clasificar en: Dragalinas, Dragas de Cuchara Almeja, Dragas de Pala (Dipper) y Dragas de Rosario de Cangilones.
2.29 Dragado: Acción de remover sedimentos o roca bajo agua de un lecho marino o fluvial. Procedimiento mecánico mediante el cual se retira material del fondo o de la bancada de un sistema fluvial, en general de cualquier cuerpo de agua para disponerlo en un sitio donde presumiblemente el sedimento no volverá a su sitio de origen.
2.30 Dragado Marítimo y/o Fluvial: Acción de remover sedimentos o roca, bajo agua, de un lecho marino o fluvial.
2.31 Drenaje (infraestructura aeroportuaria): Obras proyectadas para conducir y evacuar el exceso de agua superficial proveniente de la carretera o infraestructura aeroportuaria lado aire (pista, calle de rodaje, plataforma o franja de seguridad).
2.32 Edificio Comercial: Edificación cuya actividad principal es la venta de productos directamente al público o la prestación de servicios relacionados con los mismos, incluyendo, tanto las tiendas y los grandes almacenes, los cuales suelen constituir un único establecimiento con un único titular, como, por ejemplo, los centros comerciales, los mercados, las galerías comerciales, etc.
También se consideran de uso comercial aquellos edificios en los que se prestan directamente al público determinados servicios no necesariamente relacionados con la venta de productos, pero cuyas características constructivas y funcionales, actividad y las de los ocupantes se puedan asimilar más a las propias de este uso que a las de cualquier otro. Como ejemplos de dicha condición están las lavanderías, los salones de peluquería, etc.
2.33 Edificaciones Gubernamentales: Son edificaciones no residenciales administradas por Entidades Públicas, se exceptúan las siguientes: Comando de Atención Inmediata (CAI), bodegas, estaciones de transporte masivo, viviendas, casas fiscales y terminales terrestres.
2.34 Edificio Institucional: Infraestructura que ha sido construida para funciones específicas (administrativas, educación, salud, cultura, etc.), principalmente, para el beneficio e interés público, como, por ejemplo; escuelas, universidades, hospitales, estadios, teatros, archivos, biblioteca, edificios de la policía, cárceles, etc.
2.35 Edificio Multifamiliar: Inmueble que agrupa tres (3) o más unidades de vivienda independientes, donde el terreno es una propiedad común, y que cuenta con servicios y bienes compartidos como circulaciones, escaleras (ascensores), estacionamientos, áreas verdes y sociales etc. Este tipo de edificio puede desarrollarse tanto en vertical como en horizontal.
2.36 Enrocados o Escolleras Marítimos: Obra civil hidráulica marítima constituida por rocas o piedras para conformar una protección contra el oleaje o corrientes marinas, tales como diques, espolones recubrimiento de orillas
2.37 Escollera: Dique de defensa que se construye con piedras o elementos prefabricados dispuestos en ríos (fluvial) o costa marítima (marítima) para resguardo contra marejada y las corrientes.
2.38 Espacio Público: Conjunto de inmuebles públicos y los elementos arquitectónicos y naturales de los inmuebles privados destinados por naturaleza, usos o afectación a la satisfacción de necesidades urbanas colectivas que transcienden los límites de los intereses individuales de los habitantes.
El espacio público comprende, entre otros, los siguientes aspectos:
a. Los bienes de uso público, es decir aquellos inmuebles de dominio público cuyo uso pertenece a todos los habitantes del territorio nacional, destinados al uso o disfrute colectivo;
b. Los elementos arquitectónicos, espaciales y naturales de los inmuebles de propiedad privada que por su naturaleza, uso o afectación satisfacen necesidades de uso público;
c. Las áreas requeridas para la conformación del sistema de espacio público en los términos establecidos en el Decreto 1504 de 1998 compilado en el Decreto 1077 de 2015 o la norma que la reemplace, complemente o modifique.
2.39 Espacio Público Asociado a la Infraestructura de Transporte: Elementos constitutivos artificiales o construidos3, tales como:
a. Áreas integrantes de los perfiles viales peatonal y vehicular, constituidas por:
- Los componentes de los perfiles viales tales como: áreas de control ambiental, zonas de mobiliario urbano y señalización, cárcamos y ductos, túneles peatonales, puentes peatonales, escalinatas, bulevares, alamedas, rampas para discapacitados, andenes, malecones, paseos marítimos, camellones, sardineles, cunetas, ciclopistas, ciclovías, estacionamiento para bicicletas, estacionamiento para motocicletas, estacionamiento bajo espacio público, zonas azules, bahías de estacionamiento, bermas, separadores, reductores de velocidad, calzadas, carriles.
- Los componentes de los cruces o intersecciones, tales como: esquinas, glorietas, orejas, puentes vehiculares, túneles y viaductos.
Para los fines de los Documentos Tipo se entiende que estos elementos del Espacio Público deberán estar asociados o vinculados a una infraestructura de transporte.
2.40 Estabilización de Taludes: Diseño y/o construcción del conjunto de obras de contención, movimiento de tierras, obras de drenaje superficiales y subsuperficiales y obras de protección requeridas para garantizar la estabilidad de taludes de corte, terraplén y laderas naturales.
2.41 Estación Férrea: Edificio diseñado para la llegada y salida de trenes, que permite y regula el acceso de pasajeros y mercancías.
2.42 Estructura: Ensamblaje de elementos diseñados para soportar las cargas gravitacionales y resistir las fuerzas horizontales. Las estructuras pueden ser catalogadas como estructuras de edificaciones o estructuras diferentes a las de las edificaciones4.
2.43 Franja de Circulación Peatonal: Zona o sendero de las vías de circulación peatonal, destinada exclusivamente al tránsito de las personas.
2.44 Franja de Seguridad: Superficie definida que comprende la pista y la zona de parada, si la hubiese, destinada a: a) reducir el riesgo de daños a las aeronaves que se salgan de la pista; y b) proteger a las aeronaves que la sobrevuelan durante las operaciones de despegue o aterrizaje5.
2.45 Gálibo: Altura entre la superficie de rodadura de la calzada (o lámina de agua) y el borde inferior de la superestructura de un puente o viaducto.
2.46 Gestor Vial o Administrador Vial: Profesionales de la ingeniería civil, altamente calificados para ejercer funciones de administración, gestión y planeación operativa y técnica, responsables de la dirección, coordinación y control de las actividades rutinarias y periódicas y demás acciones en favor de la adecuada y oportuna conservación de las carreteras. De acuerdo con las características de las carreteras y las necesidades, se determinó en primera instancia que los Gestores o Administradores Viales ejecutarán estas actividades, dando énfasis a: la conservación, el inventario físico y estado de vías, la recolección de información para la base de datos de los sistemas de administración vial, la atención de emergencias, la ejecución de algunos estudios y el inventario de accidentes, entre otras.
Posteriormente, se incluyeron acciones tendientes a recuperar el espacio público vial, la descontaminación visual, eliminación de basureros, atención de usuarios y evaluaciones estructurales y funcionales de pavimentos, así como estudios de tránsito y perfiles de vulnerabilidad. En la actualidad estos profesionales, además de las actividades enunciadas llevan a cabo el seguimiento a los contratos que se han realizado en cada una de las vías, con el fin de determinar la calidad y estabilidad de las obras y, en caso que lo amerite, solicitar la aplicación de las pólizas que los amparan.
2.47 Infraestructura o Red Vial Local: Conjunto de vías que permiten la comunicación entre las urbanizaciones y la red vial secundaria, garantizando la accesibilidad interna a cada una de las unidades prediales de la urbanización.
2.48 Infraestructura o Red Vial Principal: Malla vial principal, arterial y demás vías de mayor jerarquía que hacen parte de los sistemas generales o estructurantes del plan de ordenamiento territorial, Plan Básico de Ordenamiento Territorial, Esquema de Ordenamiento Territorial y demás normas de ordenamiento territorial, que soportan los desplazamientos de larga distancia, permitiendo la movilidad dentro del respectivo municipio o distrito a escala regional, metropolitana y/o urbana.
2.49 Infraestructura o Red Vial Secundaria: Conjunto de vías que permiten la movilidad y articulación entre la malla vial arterial o principal y la red vial local.
2.50 Intercambiador Vial / Intersección Vial: Dispositivos viales en los que dos o más carreteras se encuentran ya sea en un mismo nivel o bien en distintos, produciéndose cruces y cambios de trayectorias de los vehículos que por ellos circulan.
2.51 Longitud de Vía: Distancia desde el punto inicial hasta el punto final a través del eje del alineamiento vial.
2.52 Luz: Distancia en proyección horizontal que existe entre dos apoyos de una viga.
2.53 Luz Principal: Es la mayor longitud entre apoyos de la viga más larga del puente, cuando éste tenga más de una.
2.54 Mantenimiento de Emergencia: Intervenciones en la infraestructura derivada de sucesos que tengan como origen emergencias climáticas, telúricas, terrorismo, entre otros, que a la luz de la legislación vigente puedan considerarse eventos de fuerza mayor o caso fortuito (artículo 12 de la Ley 1682 de 2013).
2.55 Mantenimiento Integral: Conjunto de acciones tendientes a restablecer, extender y mantener la capacidad estructural y las condiciones superficiales de un corredor vial, mediante las siguientes actividades: Mantenimiento Rutinario, Mantenimiento Preventivo, Mantenimiento Periódico, Refuerzo Estructural, Gestión Vial, Atención de Emergencias y Prestación de servicios a los usuarios.
2.56 Mantenimiento Periódico: Actividades de conservación a intervalos variables, destinados primordialmente a recuperar los deterioros ocasionados por el uso o por fenómenos naturales o agentes externos.
2.57 Mantenimiento Rutinario. Conservación continua (a intervalos menores de un año) con el fin de mantener las condiciones óptimas para el tránsito y uso adecuado de la infraestructura de transporte.
2.58 Mejoramiento: Cambios en una infraestructura de transporte con el propósito de mejorar sus especificaciones técnicas iniciales6.
2.59 Muelle en Concreto: Estructura construida en concreto ubicada a orillas de un río o el mar, que sirve para que las embarcaciones puedan atracar y/o embarcar y/o desembarcar pasajeros y/o carga.
2.60 Muelle Flotante: Artefacto naval flotante que sirve para que las embarcaciones puedan atracar y/o embarcar y/o desembarcar pasajeros y/o carga en un río o en el mar.
2.61 Muelle Fluvial: Infraestructura levantada a orillas de un río, que sirve para que las embarcaciones puedan atracar y/o embarcar y/o desembarcar pasajeros y/o carga.
2.62 Muelle Metálico: Estructura construida en metal ubicada a orillas de un río o el mar, que sirve para que las embarcaciones puedan atracar y/o embarcar y/o desembarcar pasajeros y/o carga.
2.63 Obra Civil Fluvial: Obra ejecutada en la sección hidráulica de un río.
2.64 Obra Civil Hidráulica: Obra de ingeniería civil construida en el cauce de ríos, caños, esteros, cuerpos de agua de origen fluvial o lecho del mar con el objetivo de controlar el agua, con fines de aprovechamiento, encauzamiento o de defensa.
2.65 Obra Civil Marítima: Obra ejecutada en el lecho marino.
2.66 Obra de Protección fluvial: Obra civil hidráulica construida con el objetivo de proteger o defender una orilla de un río contra la acción de la erosión por la acción de sus aguas con el propósito de estabilizarlas.
2.67 Paramento: Plano vertical que delimita el inicio de la construcción en un predio. Cuando no existe antejardín coincide con la línea de demarcación.
2.68 Paso e Intersección a Desnivel Vehicular: Infraestructura formada por el cruce de dos o más corredores en distinto nivel, con la finalidad de no interrumpir el flujo vehicular, salvando obstáculos naturales o artificiales.
2.69 Pavimentos Asfálticos y/o Pavimentos de Concreto Hidráulico Reforzado: Estructura constituida por un conjunto de capas superpuestas, adecuadamente compactados, que se construyen sobre la subrasante con el objeto de soportar las cargas del tránsito durante un período de varios años, brindando una superficie de rodamiento uniforme, cómoda y segura. Dichas capas superficiales se encuentran en contacto directo con el tráfico de vehículos o aeronaves y pueden estar constituidas en concreto asfáltico o en concreto hidráulico reforzado.
2.70 Perfil Vial: Representación gráfica de una vía que esquematiza, en el sentido perpendicular al eje, el conjunto de elementos urbanísticos que la comprenden entre los paramentos de los inmuebles.
2.71 Pista de Aeródromo: Área rectangular definida en un aeródromo terrestre preparada para el aterrizaje y el despegue de las aeronaves7.
2.72 Pistas de Aeropuertos: Infraestructura del transporte, cuya finalidad es permitir la circulación, despegue y aterrizaje, de aviones (aeronaves) en condiciones de continuidad en el espacio y en el tiempo, con niveles adecuados de seguridad y de comodidad, tales como pistas de aeropuertos, calle de rodaje o pista de taxeo; plataforma o rampa de aeropuerto
2.73 Placa Huella: Estructura conformada por placas de concreto hidráulico reforzado separadas por franjas de concreto ciclópeo, confinadas por bordillos y/o cunetas construidas sobre una base de afirmado y/o material seleccionado compactado.
2.74 Plataforma: Área definida, en un aeródromo terrestre, destinada a dar cabida a las aeronaves para los fines de embarque o desembarque de pasajeros, correo o carga, abastecimiento de combustible, estacionamiento o mantenimiento.
2.75 Plazas: Plazoletas de menor extensión que generalmente ocupan una manzana completa.
2.76 Plazoletas: Áreas de espacio público abiertas, tratadas como zonas duras y destinadas al disfrute de los ciudadanos y las actividades de convivencia, ocupan media manzana.
2.77 Plazuelas: Áreas de espacio público abiertas, tratadas como zonas duras y destinadas al disfrute de los ciudadanos y a las actividades de convivencia que ocupan un (1/4) cuarto de manzana.
2.78 Pontones: Es una estructura de drenaje para el paso de vehículos, cuya luz medida paralela al eje de la carretera es menor o igual a diez metros (10m).
2.79 Puente en Concreto Hidráulico: Estructura cuya losa o placa de circulación vehicular está soportada por elementos estructurales construidos con concreto hidráulico.
2.80 Puente Férreo: Infraestructura del transporte cuya finalidad es permitir la continuación de la circulación de vehículos férreos exclusivamente (trenes, locomotoras, vagones) que circulan en carrileras y/o rieles especializados, en condiciones de continuidad en el espacio y el tiempo, con niveles adecuados de seguridad y de comodidad, permitiendo pasar obstáculos, como ríos, quebradas, otras vías, carreteras, vías férreas, etc.
2.81 Puente Metálico: Estructura cuya losa o placa de circulación vehicular está soportada por elementos estructurales metálicos.
2.82 Puente Metálico Modular: Estructura que se monta o desmonta mediante la simple adición de componentes de acero modulares prefabricados para puentes. Los puentes pueden adaptarse fácilmente hasta la longitud, ancho y resistencia deseados, permitiendo diversas aplicaciones y usos.
2.83 Puente Mixto: Estructura que teniendo mínimo dos luces, una de ellas es metálica y la otra es en concreto hidráulico.
2.84 Puentes Peatonales: Infraestructura del transporte cuya finalidad es permitir la continuación de la circulación de peatones (en algunos casos también bicicletas) en condiciones de continuidad en el espacio y en el tiempo, con niveles adecuados de seguridad y de comodidad, permitiendo pasar obstáculos, como ríos, quebradas, otras vías, carreteras, vías férreas, etc.
2.85 Puentes Vehiculares y/o Viaductos: Infraestructura del transporte en concreto, acero o mixto compuesta por infraestructura y superestructura, cuya finalidad es permitir la continuación de la circulación de automóviles (carros, buses, camiones, autobuses) en condiciones de continuidad en el espacio y en el tiempo, con niveles adecuados de seguridad y de comodidad, permitiendo superar obstáculos, como ríos, quebradas, otras vías, carreteras, y vías férreas, que permite atravesar un accidente geográfico (río o depresión) o Paso a Desnivel para el paso de vehículos.
2.86 Reconstrucción: Retiro y reemplazo parcial o total de la estructura de un pavimento, de espacio público, o infraestructura, para generar una nueva estructura. Es posible considerar la reutilización total o parcial de los materiales existentes para la nueva estructura.
2.87 Recuperación de Banca: Obras que propenden por la recuperación de las condiciones de estabilidad iniciales, con el fin de restablecer la transitabilidad y mitigar los efectos adversos que la materialización de la amenaza puede acarrear sobre la estructura y/o los usuarios.
2.88 Red Vial: Conjunto de vías terrestres vehiculares urbanas y rurales.
2.89 Reforzamiento Estructural o Rehabilitación Estructural: Adición de fuerza o capacidad de carga a un elemento estructural que hace parte de un todo ya sea definido como superestructura, subestructura o fundación. Los ejemplos incluyen la instalación de barras de refuerzo de metal debidamente ancladas al elemento existente en la forma establecida en los estudios y diseños antes de verter el hormigón; o instalar las placas de refuerzo metálicos en la intersección de varios elementos; o realizar el reforzamiento mediante la implementación de sistemas compuestos como el refuerzo con fibra de carbono; o utilización de aceros estructurales; o implementación de reforzamiento mediante tensionamiento exterior de los elementos requeridos.
Es de resaltar que puede llevarse a cabo la combinación de varias de las actividades mencionadas según lo establezcan los estudios y diseños para el reforzamiento estructural. En ningún caso se tiene en cuenta el componente sísmico, ni un análisis geotécnico de las fundaciones, ni estudios hidráulicos de la estructura; puesto que la actividad consiste en reforzar los elementos que se encuentran en mal estado y permitir aumentar la vida útil de la misma.
Las actividades de reforzamiento se realizan para recuperar la capacidad por la acción de agentes externos a la estructura como ataques terroristas; accidentes y/o colisiones; fuerza mayor o caso fortuito donde se presente una mayor acción de las cargas por vientos, mayor fuerza de la corriente, material de arrastre y condiciones de sedimentos; y el empuje de tierras no contempladas en los diseños iniciales. Además de ataques por agentes químicos y/o la falta de mantenimiento de los elementos estructurales los cuales afectan la durabilidad y la estabilidad de la estructura.
Esta actividad no implica actualizar la capacidad de carga de la estructura.
Estas actividades requieren del mantenimiento previo de los elementos estructurales.
2.90 Reforzamiento Estructural o Rehabilitación Estructural de Puentes: Trabajos de reparación con los cuales se pretende que los puentes aumenten su período de vida útil e incluyen la intervención de los elementos estructurales del puente. El reforzamiento abarca desde la rehabilitación del concreto degradado, la renovación de elementos, aumento de las secciones de los elementos, adición de refuerzo y postensionamientos externos.
2.91 Rehabilitación: Reconstrucción de una infraestructura de transporte para devolverla al estado inicial para la cual fue construida. Las actividades de mantenimiento no serán consideradas actividades de rehabilitación.
2.92 Repotenciación Estructural: Reforzamiento del conjunto de elementos estructurales de tal forma, que se pueda adicionar la capacidad de la estructura mediante procesos constructivos que garanticen el aumento de la capacidad para la cual fue diseñada inicialmente. En el caso específico de los puentes involucra la actualización de cargas por el nuevo camión de diseño según lo establecido en el Código Colombiano de Diseño Sísmico de Puentes – sección A.3.4 Carga Viva. y/o la necesidad de adosar nuevos elementos (involucran nuevas cargas) para realizar ampliación del tablero y/o añadir pasos de tuberías y/o redes de servicios públicos o cualquier otro requerimiento de carga que no se encontraba previsto en el diseño inicial de la estructura. Por ende, no involucra el componente sísmico.
Estas actividades requieren del mantenimiento previo de los elementos estructurales.
2.93 Sardinel o Bordillo: Elemento que separa una calzada del andén o del separador de una vía.
2.94 Sede Férrea: Inmueble caracterizado por contener en un solo predio, edificios de servicio, mantenimiento y operación ferroviaria, dentro los que pueden estar, estación de pasajeros, talleres férreos, campamentos, bodegas entre otros.
2.95 Señalización: Conjunto de señales destinado a regular el tránsito. Dichas señales pueden ser verticales, horizontales o demarcaciones.
2.96 Señalización Vertical: Dispositivos físicos que indican la forma correcta como deben transitar los usuarios de las vías; se instalan para transmitir órdenes o instrucciones mediante palabras o símbolos.
2.97 Separador: Franja de una vía dispuesta en forma longitudinal y paralela al eje de esta que separa y canaliza flujos de circulación. Pueden ser centrales y laterales o intermedios.
2.98 Subsistema Vial: Subsistema que compone el sistema de movilidad y que está a su vez conformado por los siguientes componentes: malla vial arterial, malla vial intermedia, malla vial local, alamedas y pasos peatonales, red de ciclorrutas y corredores de movilidad local, malla vial rural.
2.99 Taller Férreo: Edificio o edificios especializados para la atención y mantenimiento de los diferentes componentes de un sistema ferroviario, dentro de los que están el material rodante y los diferentes equipos eléctricos y electromecánicos.
2.100 Tráfico o Tránsito Vehicular: Volumen de vehículos que circulan por un punto especifico de infraestructura de transporte periódicamente o en un período determinado.
2.101 Transporte Fluvial: Actividad que tiene por objeto la conducción de personas, animales o cosas mediante embarcaciones por vías fluviales.
2.102 Vehículo: Aparato montado sobre ruedas que permite el transporte de personas, animales o cosas de un punto a otro por vía terrestre pública o privada abierta al público.
2.103 Vías: Franja de uso público o privado, abierta al público, destinada al tránsito de vehículos, personas y animales.
2.104 Vías Férreas y/o Corredores Férreos: Infraestructuras del transporte, cuya finalidad es permitir la circulación de vehículos férreos exclusivamente (trenes, locomotoras, vagones) que lo hacen en carrileras y/o rieles especializados, en condiciones de continuidad en el espacio y en el tiempo, con niveles adecuados de seguridad y de comodidad.
2.105 Vías Fluviales: Ríos, caños, esteros o cuerpos de agua de origen fluvial que se utilizan como medio de transporte de pasajeros animales o carga.
2.106 Vía Peatonal: Áreas o zonas de la ciudad destinadas para el tránsito exclusivo de peatones donde está restringida la circulación de vehículos motorizados.
2.107 Vías Rurales: Estructuras físicas que permiten el acceso o entrada a fincas, haciendas o campos, las cuales se encuentran localizadas dentro del perímetro rural de la población.
2.108 Vías Urbanas: Calles, carreras, transversales, avenidas, diagonales, glorietas, autopistas, troncales, variantes, o a la denominación establecida según la nomenclatura de la población correspondiente, las cuales se encuentran localizadas dentro de su perímetro urbano.
Nota: Para proyectos de infraestructura vial que se hayan construido fuera del territorio nacional, se consideran Vías Urbanas aquellas que sean certificadas por la Entidad contratante mediante alguno de los documentos válidos establecidos en el presente pliego de condiciones para la acreditación de la experiencia, donde se indique que el ancho de calzada es mayor o igual a siete (7.0) metros, o que se acrediten tres o más carriles vehiculares por calzada.
2.109 Vías Veredales: Para el presente proceso se entiende por vías veredales las que permiten el acceso o entrada a veredas, las cuales se encuentran localizadas dentro del perímetro rural de la población.
2.110 Zona Verde: Espacio de carácter permanente, abierto y empradizado, de dominio o uso público, que hace parte del espacio público efectivo y destinado al uso recreativo.
| codigo | CCE-EICP-IDI-08 | Versión | 4 |

LA INFORMACIÓN INCLUIDA EN ESTE FORMATO ES DE RESPONSABILIDAD DEL PROPONENTE
NOTA No. 1: Para cada Contrato se debe indicar la razón social de contratante, el número y/o objeto y si se ha ejecutado en forma individual (I), Consorcio (C), Unión Temporal (UT) o bajo cualquier otra modalidad de asociación y el porcentaje de participación.
NOTA No. 2: En el caso de Contratos suscritos en Consorcio, Unión Temporal u otra modalidad de asociación considerar lo establecido en el Pliego de Condiciones.
NOTA No. 3: Los valores consignados deben relacionarse en pesos colombianos realizando su conversión a SMMLV.
NOTA No. 4: Para la acreditación del criterio de experiencia se tomará únicamente hasta el máximo de Contratos definidos en el literal c), numeral 3.5.2 del documento base, precisando que este tope máximo de contratos variará con ocasión al criterio diferencial a favor de las Mipyme y/o emprendimiento y empresas de mujeres en cuanto a los requisitos habilitantes relacionados con el número de contratos aportados para acreditar la experiencia solicitada.
NOTA No. 5: Para Proponentes Plurales se debe informar que integrante aporta la experiencia.
NOTA No. 6: El valor total se calcula de conformidad con lo indicado en el Pliego de Condiciones.
NOTA No. 7: Para los Contratos facturados en moneda diferente al peso colombiano, debe presentarse un cuadro de conversión de valores de moneda extranjera de conformidad con lo establecido en la sección de moneda del Pliego de Condiciones, realizando despues su conversión a SMMLV.
NOTA No. 8: Los Proponentes sin sucursal o domicilio en Colombia deben incluir los códigos de clasificación de las naciones unidas para cada uno de los Contratos aportados.
CARACTERÍSTICAS DEL FORMATO 3 - EXPERIENCIA
Las casillas del Formato 3 - Experiencia deben ser diligenciadas conforme con lo siguiente
Número de orden: Se refiere al número de contratos aportados para acreditar la experiencia que como mínimo se deberá presentar un (1) contrato y cómo máximo cinco (5) contratos, sin perjuicio de lo indicado con ocasión al criterio diferencial fijado para las Mipymes y/o emprendimiento y empresas de mujeres en cuanto a los requisitos habilitantes relacionados con el número de contratos aportados para demostrar la experiencia solicitada. En estos caso, se incluirá la casilla correspondiente a cada contrato adicional, segun corresponda.
Número consecutivo del reporte del contrato ejecutado en el RUP: Esta casilla se diligenciará únicamente por los Proponentes que se encuentran obligados a tener RUP. Si está obligado se deberá señalar el número consecutivo donde se encuentra ubicado el contrato en el RUP.
Experiencia requerida: En relacion con este acápite se indicará si el contrato aportado para acreditar lo exigido en la actividad principal acredita la experiencia general o la especifica
Entidad contratante: El nombre de la persona natural o juridica, pública o privada, con la cual se celebró el Contrato.
Contrato o resolución: Se deberá diligenciar el número del contrato o la resolución de la adjudicación del contrato y, además la descripcion del objeto contractual.
Contrato ejecutado identificado con el clasificador de bienes y servicios: Se deberá diligenciar ell código que coincida con los códigos requeridos por la Entidad en el numeral "3.5.4 CLASIFICACIÓN DE LA EXPERIENCIA EN EL CLASIFICADOR DE BIENES, OBRAS Y SERVICIOS DE LAS NACIONES UNIDAS"
Formas de ejecución: El Proponente deberá indicar si el contrato se ejecuto de las siguientes formas: i) Forma individual (i); ii) Consorcio (c); iii) Unión Temporal (UT); iv) Bajo cualquier modalidad de asociacion (Otra). Ademas, se deberá indicar el porcentaje de participacion de la persona que ejecutó el contrato.
Integrante de la estructura plural que se está presentando: Identificar en el contrato que se aporta quien es el integrante de la estructura plural que se está presentando.
Valor total reportado en el RUP: Incluir el valor total del contrato que se encuentra registrado en el RUP. De acuerdo con la “Nota No. 3” los valores consignados deben expresarse en pesos colombianos.
Valor total del contrato en SMMLV: Esta casilla la deberán diligenciar los Proponentes que no tienen RUP e incluira el valor total del contrato en SMMLV. Ademas, se deberá diligenciar este formato en pesos colombianos, haciendo su conversión a SMMLV.
Lotes: En los procesos estructurados por lotes indicar si el certificado de experiencia es para un determinado lote, para varios o para todos. Por ejemplo: Lote 1, Lote 2, 3 y 5 o todos.
De acuerdo con la sección 3.5.2 del Documento Base, si el Proponente no diligencia el "Formato 3 - Experiencia", la Entidad solicitará su subsanación en los terminos del numeral 1.6. En caso de que el oferente no subsane se tendrán en cuenta para la evaluación los cinco (5) contratos de mayor valor aportados, con los cuales la Entidad verificara la experiencia general y especifica solicitada para la actividad principal, al igual que los solicitados para la actividad secundaria en antención a las combinaciones de experiencia aplicables y la experiencia exigida respecto de los bienes y servicios adicionales a la obra de infraestrucutra de transporte, Tratandose de Proponentes que acrediten la calidad de Mipyme o emprendiemiento y empresa de mujeres se tendrá en cuenta como máximo los seis (6) contratos aportados de mayor valor. En caso de que el Proponente acredite la calidad de Mipyme y de emprendimiento y empresa de mujeres con domicilio en el territorio nacional de manera conjunta, se tendrá en cuenta como máximo los siete (7) contratos aportados de mayor valor
El “Formato 3 - Experiencia” consolida la experiencia que se está aportando, pero no acredita la experiencia del Proponente. Si el Proponente aporta el RUP con la información de su experiencia relacionada o aporta los contratos de experiencia que tiene a su nombre, se deberá acreditar la experiencia, a pesar de no allegar o diligenciar indebidamente el "Formato 3- Experiencia".
NOTA: Toda la informacion suministrada por el Proponente deberá ser veraz y estará sujeta a verificadion de acuerdo con lo estipulado en estos Pliegos de Condiciones
FORMATO 11 - FACTORES DE DESEMPATE
CONSULTORIA DE ESTUDIOS DE INGENIERIA DE INFRAESTRUCTURA DE TRANSPORTE
| Codigo | CCE-EICP-FM-102 | Pagina | 1 de 14 |
| Versión No. | 2 | ||
FORMATO 11A – PARTICIPACIÓN MAYORITARIA DE MUJERES CABEZA DE FAMILIA Y/O MUJERES VÍCTIMA DE VIOLENCIA INTRAFAMILIAR (PERSONA JURÍDICA)
[Este formato se diligencia por el representante legal o el revisor fiscal, según corresponda, de la persona jurídica en el que mayoritariamente participen mujeres cabeza de familia y/o mujeres víctima de violencia intrafamiliar. En el evento que la oferta la presente una entidad privada sin ánimo de lucro, ya sea fundación, corporación o asociación se ajustará el formato en lo pertinente. La información aquí vertida contiene datos sensibles los cuales están sujetos a reserva legal y, por tanto, no podrán publicarse en el SECOP I y II para su conocimiento]
Señores
[NOMBRE DE LA ENTIDAD]
[Ciudad]
REFERENCIA: Proceso de Contratación [Incluir número del Proceso de Contratación]
Objeto:
[Incluir cuando el Proceso de Contratación sea estructurado por lotes o grupos] Lote: [Indicar el lote o lotes a los cuales se presenta oferta.]
Estimados señores:
[Incluir el nombre del representante legal de la persona jurídica o del revisor fiscal, según corresponda] identificado con [Incluir el número de identificación], en mi condición de [Indicar si actúa como representante legal o revisor fiscal] de [Incluir la razón social de la persona jurídica] identificada con el NIT [Incluir el NIT], certifico bajo la gravedad del juramento que más del cincuenta por ciento (50 %) de la composición accionaria o cuota parte de la persona jurídica está constituida por mujeres cabeza de familia y/o mujeres víctima de violencia intrafamiliar. Esta información está soportada de acuerdo con los libros de comercio de la sociedad, los cuales gozan de reserva legal en los términos del artículo 61 del Código de Comercio.
En el siguiente cuadro señalo las mujeres cabeza de familia y/o mujeres víctima de violencia intrafamiliar que participan mayoritariamente en la persona jurídica, junto con su respectivo porcentaje de participación:
| Identificación de las mujeres cabeza de familia y/o mujeres víctima de violencia intrafamiliar que participan en la persona jurídica (Incluir nombre y documento de identidad) | Número de cuotas sociales, acciones que poseen o el alcance o condición de su participación en el caso de las personas jurídicas sin ánimo de lucro |
Sin perjuicio de lo anterior, para probar la condición de cada una de las mujeres que participan en la sociedad, aporto los documentos de cada una de ellas, de acuerdo con los incisos 1, 2 y 3 del subnumeral 2 del numeral 4.8 del Documento Base.
En constancia, se firma en ______________, a los ____ días del mes de _____ del 20__
___________________________________________
[Nombre y firma del representante legal de la persona jurídica o el revisor fiscal, según corresponda]
FORMATO 11B – VINCULACIÓN DE PERSONAS EN CONDICIÓN DE DISCAPACIDAD
[Tratándose de Proponentes Plurales, este formato lo presentará el integrante o los integrantes que tengan una participación de por lo menos el veinticinco por ciento (25 %) en el Consorcio o en la Unión Temporal y aporten mínimo el veinticinco por ciento (25 %) de la experiencia acreditada en la oferta]
Señores
[NOMBRE DE LA ENTIDAD]
[Ciudad]
REFERENCIA: Proceso de Contratación [Incluir número del Proceso de Contratación]
Objeto:
[Incluir cuando el Proceso de Contratación sea estructurado por lotes o grupos] Lote: [Indicar el lote o lotes a los cuales se presenta oferta.]
Estimados señores:
[Incluir el nombre de la persona natural, el representante legal de la persona jurídica o el revisor fiscal, según corresponda] identificado con [Incluir el número de identificación], en mi condición de [Indicar si actúa como, persona natural (nombre propio), representante legal o revisor fiscal] de [Incluir la razón social de la persona jurídica (si aplica)] [identificada con el NIT (si aplica) __________], certifico que tengo vinculado en la planta de personal un mínimo del diez por ciento (10 %) de empleados en las condiciones de discapacidad enunciadas en la Ley 361 de 1997, contratados [con una anterioridad no inferior a un año o desde la constitución de la sociedad -si aplica- (para sociedades con menos de un año de constitución)], para lo cual adjunto el certificado expedido por el Ministerio del Trabajo.
Para acreditar el tiempo de vinculación de que tratan los incisos 1 y 3 subnumeral 3 del numeral 4.8 del Documento Base, allego el certificado de aportes al Sistema de Seguridad Social del último año, en el que se demuestran los pagos realizados por el empleador.
De igual manera me comprometo en caso de resultar adjudicatario del Proceso de Contratación, a mantener vinculados a los empleados en condiciones de discapacidad por un lapso igual al del plazo de ejecución del contrato.
En constancia, se firma en ______________, a los ____ días del mes de _____ del 20__.
[Nombre y firma de la persona natural]
[Nombre y firma del representante legal de la persona jurídica o el revisor fiscal, según corresponda, o el representante del Proponente plural]
FORMATO 11C – VINCULACIÓN DE PERSONAS NO BENEFICIARIAS DE LA PENSIÓN DE VEJEZ, FAMILIAR O SOBREVIVENCIA
(EMPLEADOR – PROPONENTE)
[Este formato lo diligencia la persona natural, el representante legal o el revisor fiscal de la persona jurídica que tenga dentro de su personal trabajadores mayores de edad vinculados en la planta de personal que no sean beneficiarios de la pensión de vejez, familiar o de sobrevivencia y que hayan cumplido la edad de pensión. En el caso de los Proponentes Plurales, este formato lo diligenciará el representante del Proponente Plural en el cual certificará la totalidad de los trabajadores vinculados en la planta de personal de cada uno de los integrantes y la totalidad de personas mayores de edad vinculados de cada uno de sus integrantes, en las condiciones aquí exigidas en cuanto a no ser beneficiarios de la pensión de vejez, familiar o de sobrevivencia.]
Señores
[NOMBRE DE LA ENTIDAD]
[Ciudad]
REFERENCIA: Proceso de Contratación [Incluir número del Proceso de Contratación]
Objeto:
[Incluir cuando el Proceso de Contratación sea estructurado por lotes o grupos] Lote: [Indicar el lote o lotes a los cuales se presenta oferta.]
Estimados señores:
[Incluir el nombre de la persona natural, el representante legal de la persona jurídica o el revisor fiscal, según corresponda, o el representante del Proponente Plural] identificado con [Incluir el número de identificación], en mi condición de [Indicar si actúa como persona natural (nombre propio) representante legal o revisor fiscal o representante del Proponente Plural] de [Incluir la razón social de la persona jurídica (si aplica)] [identificada con el NIT (si aplica) __________], certifico que el número total de trabajadores personas mayores de edad vinculados en la planta del personal que no son beneficiarios de la pensión de vejez, familiar o de sobrevivencia y que hayan cumplido el requisito de edad de pensión establecido en la ley es el que se relaciona a continuación:
| Número total de trabajadores vinculados a la planta de personal | Número de personas mayores no beneficiarias a la pensión de vejez, familiar o de sobrevivencia y que hayan cumplido el requisito de pensión |
[Incluir el siguiente cuadro para los Proponentes Plurales]
| Número total de trabajadores vinculados a la planta de personal de los integrantes del Proponente Plural | Número de personas mayores, no beneficiarias a la pensión de vejez, familiar o de sobrevivencia y que hayan cumplido el requisito de pensión de los integrantes del Proponente Plural |
[El Proponente persona natural o jurídica incorporará una de las siguientes dos (2) opciones para manifestar el tiempo de vinculación de las personas anteriormente descritas, que cumplen las condiciones definidas en el numeral 4 del artículo 35 de la Ley 2069 de 2020].
[Opción 1. Esta opción la incorporará el Proponente persona natural o el Proponente persona jurídica cuya constitución sea igual o mayor a un (1) año]
Asimismo, manifiesto que las personas mayores no beneficiarias de la pensión de vejez, familiar o de sobrevivencia y que han cumplido el requisito de edad de pensión, han estado vinculadas a la planta de personal con una anterioridad igual o mayor a un (1) año contado a partir de la fecha del cierre del Proceso de Contratación.
Para acreditar el tiempo de vinculación en la planta referida de que trata el inciso anterior, allego el certificado de aportes al Sistema de Seguridad Social del último año, en el que se demuestran los pagos realizados por el empleador.
[Opción 2. Esta opción la incorporará el Proponente persona jurídica cuya constitución sea inferior a un (1) año]
Asimismo, manifiesto que las personas mayores no beneficiarias de la pensión de vejez, familiar o de sobrevivencia y que han cumplido el requisito de edad de pensión, han estado vinculadas a la planta de personal desde el momento de la constitución de la persona jurídica.
Para acreditar el tiempo de vinculación en la planta referida de que trata el inciso anterior, allego el certificado de aportes al Sistema de Seguridad Social del tiempo de constitución de la persona jurídica, en el que se demuestre los pagos realizados por el empleador.
En constancia, se firma en ______________, a los ____ días del mes de _____ del 20__.
[Nombre y firma de la persona natural]
[Nombre y firma del representante legal de la persona jurídica o el revisor fiscal, según corresponda, o el representante del Proponente Plural]
FORMATO 11C – VINCULACIÓN DE PERSONAS NO BENEFICIARIAS DE LA PENSIÓN DE VEJEZ, FAMILIAR O SOBREVIVENCIA
(TRABAJADOR)
[Este formato lo diligencia el trabajador vinculado en la planta de personal del Proponente que presenta la oferta, que no sea beneficiario de la pensión de vejez, familiar o de sobrevivencia y que haya cumplido la edad de pensión]
Señores
[NOMBRE DE LA ENTIDAD]
[Ciudad]
REFERENCIA: Proceso de Contratación [Incluir número del Proceso de Contratación]
Objeto:
[Incluir cuando el Proceso de Contratación sea estructurado por lotes o grupos] Lote: [Indicar el lote o lotes a los cuales se presenta oferta.]
Estimados señores:
[Incluir el nombre del trabajador vinculado en la planta de personal de la persona natural o de la persona jurídica] identificado con [Incluir el número de identificación], en mi condición de trabajador vinculado a [Indicar el nombre de la persona jurídica o persona natural], [identificada con NIT o CC __________], certifico bajo la gravedad del juramento que no soy beneficiario de la pensión de vejez, familiar o de sobrevivencia y ya cumplí la edad de pensión.
Asimismo, manifiesto me encuentro vinculado en la planta de personal [indicar si se trata de la persona natural o de la persona jurídica o del integrante del proponente plural] con una anterioridad [Indicar si el tiempo de vinculación es igual o mayor a un (1) año contado a partir de la fecha del cierre del Proceso de Contratación o desde el momento de la constitución de la persona jurídica en los casos que esta tenga menos de (1) año de constitución].
Adjunto a esta certificación aporto mi documento de identificación, de acuerdo con el inciso 4 del subnumeral 4 del numeral 4.8. del Documento Base.
En constancia, se firma en ______________, a los ____ días del mes de _____ del 20__.
________________________________________
[Nombre y firma del trabajador vinculado a la persona natural o jurídica]
FORMATO 11D – VINCULACIÓN DE POBLACIÓN INDÍGENA, NEGRA, AFROCOLOMBIANA, RAIZAL, PALENQUERA, RROM O GITANA
[La información de este formato contiene datos sensibles los cuales están sujetos a reserva legal y por tanto no podrán publicarse en el SECOP I y II para su conocimiento]
Señores
[NOMBRE DE LA ENTIDAD]
[Ciudad]
REFERENCIA: Proceso de Contratación [Incluir número del Proceso de Contratación]
Objeto:
[Incluir cuando el Proceso de Contratación sea estructurado por lotes o grupos] Lote: [Indicar el lote o lotes a los cuales se presenta oferta.]
Estimados señores:
[Incluir el nombre del Proponente persona natural o del representante legal de la persona jurídica o el revisor fiscal, según corresponda, o el representante del Proponente Plural] identificado con [Incluir el número de identificación], en mi condición de [Indicar si actúa como persona natural (nombre propio), representante legal o revisor fiscal] de [Incluir la razón social de la persona jurídica (si aplica)], [identificada con el NIT (si aplica) __________], certifico bajo la gravedad del juramento que:
i) El número total de trabajadores vinculados a la nómina corresponden a [Diligenciar el número de trabajadores vinculados a la nómina]
ii) En la nómina están vinculadas las siguientes personas: [Indicar a continuación el nombre y número de cédula de las personas que se encuentran vinculadas al Proponente o integrante de la estructura plural según corresponda y respecto de las cuales se aportan las pruebas correspondientes para acreditar la pertenencia a población indígena, negra, afrocolombiana, raizal, palanquera, Rrom o gitana]
| Nombre completo | Número de identificación |
iii) Así mismo declaramos que las personas señaladas anteriormente se encuentran vinculadas con una antigüedad igual o mayor a un año contado a partir de la fecha del cierre del presente Proceso de Contratación. [Para los casos de personas jurídicas constituidas con menos de un año, se tendrá que indicar que las personas señaladas se encuentran vinculadas desde el momento de constitución de esta].
Sin perjuicio de lo anterior, para probar la pertenencia a la población indígena, negra, afrocolombiana, raizal, palanquera, Rrom o gitanas, aporto la certificación expedida por el Ministerio del Interior, de acuerdo con los incisos 3 y 4 del subnumeral 5 del numeral 4.8 del Documento Base.
En constancia, se firma en ______________, a los ____ días del mes de _____ del 20__
_______________________________
[Nombre y firma de la persona natural]
_______________________________
Nombre y firma del representante legal de la persona jurídica o el revisor fiscal, según corresponda, o el representante del Proponente Plural]
FORMATO 11E – PARTICIPACIÓN MAYORITARIA DE PERSONAS EN PROCESO DE REINCORPORACIÓN Y/O REINTEGRACIÓN (PERSONAS JURÍDICAS)
Este formato se diligencia por el representante legal o el revisor fiscal, si están obligados a tenerlo, de la persona jurídica en el que mayoritariamente participan personas en proceso de reintegración o reincorporación. En el evento que la oferta la presente una entidad privada sin ánimo de lucro, ya sea, fundación, corporación o asociación se ajustará el formato en lo pertinente. La información de este formato contiene datos sensibles los cuales están sujetos a reserva legal y, por tanto, no podrán publicarse en el SECOP I y II para su conocimiento]
Señores
[NOMBRE DE LA ENTIDAD]
[Ciudad]
REFERENCIA: Proceso de Contratación [Incluir número del Proceso de Contratación]
Objeto:
[Incluir cuando el Proceso de Contratación sea estructurado por lotes o grupos] Lote: [Indicar el lote o lotes a los cuales se presenta oferta.]
Estimados señores:
[Incluir el nombre del representante legal de la persona jurídica y el revisor fiscal, si están obligados a tenerlo] identificado con [Incluir el número de identificación], en mi condición de [Indicar si actúa como representante legal o revisor fiscal o ambos] de [Incluir la razón social de la persona jurídica], [identificada con el NIT __________], certifico bajo gravedad del juramento que más del cincuenta por ciento (50 %) de la composición accionaria o cuota parte de la persona jurídica está constituida por personas en proceso reincorporación y/o reintegración. Esta información está soportada de acuerdo con los respectivos certificados de la Oficina del Alto Comisionado para la Paz, del Comité Operativo para la Dejación de Armas, de la Agencia para la Reintegración y la Normalización y el documento de identificación de cada una de dichas personas.
En el siguiente cuadro señalo las personas en proceso de reincorporación o reintegración que participan mayoritariamente en la persona jurídica, junto con su respectivo porcentaje de participación:
| Identificación de las personas en proceso de reincorporación o reintegración (Incluir nombre y documento de identidad) | Número de cuotas sociales, acciones que poseen o el alcance o condición de su participación en el caso de las personas jurídicas sin ánimo de lucro |
Adjunto a esta certificación aporto los documentos de identificación de las personas en proceso de reincorporación o reintegración, de acuerdo con los incisos 1 y 2 del subnumeral 6 del numeral 4.8. del Documento Base.
En constancia, se firma en ______________, a los ____ días del mes de _____ del 20__.
________________________________________
[Nombre y firma del representante legal de la persona jurídica o revisor fiscal]
FORMATO 11E – PARTICIPACIÓN MAYORITARIA DE PERSONAS EN PROCESO DE REINCORPORACIÓN (PERSONA JURÍDICA INTEGRANTE DEL PROPONENTE PLURAL)
[Este formato se diligencia por el representante legal o el revisor fiscal, si están obligados a tenerlo, de la persona jurídica del Proponente Plural en el que mayoritariamente participan personas en proceso de reincorporación. En el evento que la oferta la presente una entidad privada sin ánimo de lucro, ya sea fundación, corporación o asociación se ajustará el formato en lo pertinente. La información de este formato contiene datos sensibles los cuales están sujetos a reserva legal y, por tanto, no se podrán publicar en el SECOP I y II para su conocimiento]
Señores
[NOMBRE DE LA ENTIDAD]
[Ciudad]
REFERENCIA: Proceso de Contratación [Incluir número del Proceso de Contratación]
Objeto:
[Incluir cuando el Proceso de Contratación sea estructurado por lotes o grupos] Lote: [Indicar el lote o lotes a los cuales se presenta oferta.]
Estimados señores: [Incluir el nombre del representante legal de la persona jurídica o el revisor fiscal, si están obligados a tenerlo] identificado con [Incluir el número de identificación], en mi condición de [Indicar si actúa como representante legal o revisor fiscal o ambos] de [Incluir la razón social de la persona jurídica], [identificada con el NIT __________], certifico bajo gravedad del juramento que más del cincuenta por ciento (50 %) de la composición accionaria o cuota parte de la persona jurídica está constituida por personas en proceso de reincorporación. Esta información está soportada de acuerdo con los respectivos certificados de la Oficina del Alto Comisionado para la Paz, del Comité Operativo para la Dejación de Armas, de la Agencia para la Reincorporación y la Normalización y el documento de identificación de cada una de dichas personas.
En el siguiente cuadro señalo las personas en proceso de reincorporación que participan mayoritariamente en la persona jurídica, junto con su respectivo porcentaje de participación:
| Identificación de las personas en proceso de reincorporación (Incluir nombre y documento de identidad) | Número de cuotas sociales, acciones que poseen o el alcance o condición de su participación en el caso de las personas jurídicas sin ánimo de lucro |
Adjunto a esta certificación aporto los documentos de identificación de las personas en proceso de reincorporación o reintegración, de acuerdo con el inciso 3 del subnumeral 6 del numeral 4.8. del Documento Base.
En constancia, se firma en ______________, a los ____ días del mes de _____ del 20__.
________________________________________
[Nombre y firma del representante legal de la persona jurídica o revisor fiscal]
FORMATO 11F – PARTICIPACIÓN MAYORITARIA DE MUJERES CABEZA DE FAMILIA Y/O PERSONAS EN PROCESO DE REINCORPORACIÓN Y/O REINTEGRACIÓN (PERSONAS JURÍDICAS)
[Este formato se diligencia por el representante legal o el revisor fiscal, según corresponda, del integrante del Proponente Plural (persona jurídica) en el que mayoritariamente participen madres cabeza de familia y/o personas en proceso de reintegración o reincorporación. Este formato lo podrá presentar el integrante o los integrantes que, cumpliendo la condición anterior, tengan una participación de por lo menos el veinticinco por ciento (25 %) en el consorcio o en la unión temporal y aporten mínimo el veinticinco por ciento (25 %) de la experiencia acreditada en la oferta.
En el evento que la oferta la presente una entidad privada sin ánimo de lucro, ya sea, fundación, corporación o asociación se ajustará el formato en lo pertinente.
En el evento en el que participen personas en proceso de reintegración o reincorporación, teniendo en cuenta que la información de este formato contiene datos sensibles la cual está sujeta a reserva legal, no se podrá publicar en el SECOP I y II para su conocimiento]
Señores
[NOMBRE DE LA ENTIDAD]
[Ciudad]
REFERENCIA: Proceso de Contratación [Incluir número del Proceso de Contratación]
Objeto:
[Incluir cuando el Proceso de Contratación sea estructurado por lotes o grupos] Lote: [Indicar el lote o lotes a los cuales se presenta oferta.]
Estimados señores:
[Incluir el nombre del representante legal de la persona jurídica o del revisor fiscal, según corresponda] identificado con [Incluir el número de identificación], en mi condición de [Indicar si actúa como representante legal o revisor fiscal] de [Incluir la razón social de la persona jurídica], [identificada con el NIT __________], certifico bajo la gravedad del juramento que más del cincuenta por ciento (50 %) de la composición accionaria o cuota parte de la persona jurídica del Proponente Plural está constituida por madres cabeza de familia y/o personas en proceso de reintegración o reincorporación.
En el siguiente cuadro señalo las madres cabeza de familia y/o personas en proceso de reincorporación o reintegración que participan mayoritariamente en la persona jurídica, junto con su respectivo porcentaje de participación:
| Identificación de las madres cabeza de familia o personas en proceso de reincorporación o reintegración (Incluir nombre y documento de identidad) | Número de cuotas sociales, acciones que poseen o el alcance o condición de su participación en el caso de las personas jurídicas sin ánimo de lucro |
De igual manera acredito que la condición de madre cabeza de familia y/o una persona en proceso de reincorporación o reintegración, se soporta de acuerdo con lo previsto en el inciso 1 del subnumeral 2 y/o el inciso 1 del subnumeral 6 del numeral 4.8 del Documento Base, para lo cual adjunto los documentos correspondientes.
[Para la acreditación de desempate establecida en el literal (c) del subnumeral 7 del numeral 4.8 del Documento Tipo incluir la siguiente redacción:]
Adicionalmente, los abajo firmantes, certificamos que ni la madre cabeza de familia o la persona en proceso de reincorporación o reintegración, ni la persona jurídica, ni sus accionistas, socios o representantes legales son empleados, socios o accionistas de los miembros del Proponente Plural.
En constancia, se firma en ______________, a los ____ días del mes de _____ del 20__.
________________________________________
[Nombre y firma del representante legal de la persona jurídica o revisor fiscal]
FORMATO 11G – PAGOS REALIZADOS A MIPYMES, COOPERATIVAS O ASOCIACIONES MUTUALES
Señores
[NOMBRE DE LA ENTIDAD]
[Ciudad]
REFERENCIA: Proceso de Contratación [Incluir número del Proceso de Contratación]
Objeto:
[Incluir cuando el Proceso de Contratación sea estructurado por lotes o grupos] Lote: [Indicar el lote o lotes a los cuales se presenta oferta.]
Estimados señores:
[Incluir el nombre del Proponente persona natural y contador público, o el representante legal y revisor fiscal para las empresas obligadas por ley, o del representante legal y contador público, según corresponda] identificados con [Incluir el número de identificación], en nuestra condición de [Indicar si actúa como persona natural (nombre propio), representante legal o revisor fiscal] de [Incluir la razón social de la persona jurídica (si aplica)], [identificada con el NIT (si aplica) __________], declaramos bajo la gravedad del juramento que, de acuerdo con nuestros estados financieros o información contable con corte al 31 de diciembre del año anterior, por lo menos el veinticinco por ciento (25 %) del total de pagos fueron realizados a Mipyme, cooperativas o asociaciones mutuales por concepto de proveeduría del oferente, realizados durante el año anterior.
En constancia, se firma en ______________, a los ____ días del mes de _____ del 20__.
[En el evento que sea un Proponente persona natural quien presente la oferta, incluir las firmas de la siguiente manera:]
_________________________ _________________________
[Nombre y firma del Proponente o integrante persona natural y contador público]
[En el evento que sea un Proponente persona jurídica quien presente la oferta, incluir las firmas de la siguiente manera:]
_________________________ _________________________
[Nombre y firma del representante legal y revisor fiscal para las empresas obligadas por ley o del representante legal y contador público, según corresponda]
FORMATO 11H – ACREDITACIÓN MIPYME
Señores
[NOMBRE DE LA ENTIDAD]
[Ciudad]
REFERENCIA: Proceso de Contratación [Incluir número del Proceso de Contratación]
Objeto:
[Incluir cuando el Proceso de Contratación sea estructurado por lotes o grupos] Lote: [Indicar el lote o lotes a los cuales se presenta oferta.]
Estimados señores:
[Incluir el nombre o integrante persona natural y contador público o del representante legal de la persona jurídica y el revisor fiscal para las personas obligadas por ley o del representante legal y contador público, según corresponda,] identificados con [Incluir el número de identificación], actuando en representación de [Indicar nombre del Proponente, o integrante de Proponente Plural] declaramos bajo la gravedad del juramento que la [indicar si es empresa o sociedad] se encuentra clasificada como: [Indicar si es micro, pequeña y mediana empresa] de acuerdo con los criterios definidos por las normas legales vigentes.
Adicionalmente, los abajo firmantes certificamos que ni la Mipyme, cooperativa o asociación mutual ni sus accionistas, socios o representantes legales son empleados, socios o accionistas de los miembros del Proponente Plural.
En constancia, se firma en ______________, a los ____ días del mes de _____ del 20__.
[En el evento que sea un Proponente persona natural quien presente la oferta, incluir las firmas de la siguiente manera:]
__________________________________________________
[Nombre y firma del Proponente o integrante persona natural y contador público]
[En el evento que sea un Proponente persona jurídica quien presente la oferta, incluir las firmas de la siguiente manera:]
_________________________ _________________________
[Nombre y firma del representante legal y revisor fiscal para las empresas obligadas por ley o del representante legal y contador público, según corresponda]
| codigo | CCE-EICP-FM-102 | Versión | 2 |
FORMATO 12– AUTORIZACION PARA EL TRATAMIENTO DE DATOS PERSONALES CONSULTORÍA DE ESTUDIOS DE INGENIERÍA DE INFRAESTRUCTURA DE TRANSPORTE
| Código | CCE-EICP-FM-103 | Página | 1 de 2 |
| Versión No. | 2 | ||
FORMATO 12 – AUTORIZACIÓN PARA EL TRATAMIENTO DE DATOS PERSONALES
[El presente Formato lo diligenciará toda persona (Proponente, socio o trabajador) que al momento de presentar su oferta contenga datos sensibles, para que la Entidad Estatal contratante garantice el tratamiento adecuado a estos datos]
Señores
[NOMBRE DE LA ENTIDAD]
[Dirección de la Entidad]
[Ciudad]
REFERENCIA: Proceso de Contratación [Incluir número del Proceso de Contratación]
Objeto:
[Incluir cuando el Proceso de Contratación sea estructurado por lotes o grupos] Lote: [Indicar el lote o lotes a los cuales se presenta oferta.]
Cumpliendo lo dispuesto en la Ley 1581 de 2012, “Por la cual se dictan disposiciones para la protección de datos personales” y de conformidad con lo señalado en el Decreto 1377 de 2013, con la firma de este documento manifiesto que he sido informado por [Incluir el nombre de la Entidad] de lo siguiente:
1) La [Incluir el nombre de la Entidad Estatal] actuará como responsable del tratamiento de datos personales de los cuales soy titular y que conjunta o separadamente podrá recolectar, almacenar y usarlos para hacer efectivo el factor de desempate previsto en el numeral 4.8, subnumerales 2, 5, 6 y 7 del Pliego de Condiciones, relacionados con la acreditación de ser víctima de violencia intrafamiliar, personas que pertenecen a la población indígena, negra, afrocolombiana raizal, palenquera, Rrom, o gitanas, o personas en proceso de reintegración o reincorporación.
| Autoriza | ||
| Finalidad | SÍ | NO |
| Hacer efectivo el factor de desempate para la acreditación de una mujer víctima de violencia intrafamiliar, personas que pertenecen a la población indígena, negra, afrocolombiana raizal, palenquera, Rrom, o gitana, o persona en proceso de reintegración o reincorporación. | ||
2) Entiendo que son datos sensibles aquellos que afectan la intimidad del titular o cuyo uso indebido puede generar discriminación, tales como aquellos que revelen el origen racial o étnico, la orientación política, las convicciones religiosas o filosóficas, la pertenencia a sindicatos, organizaciones sociales, de derechos humanos o que promueva intereses de cualquier partido político o que garanticen los derechos y garantías de partidos políticos de oposición así como los datos relativos a la salud, a la vida sexual y los biométricos.
3) Manifiesto que me informaron que los datos sensibles que se recolectarán serán utilizados para hacer efectivo el criterio de desempate previsto en el numeral 4.8, subnumerales 2, 5, 6 y 7 del Pliego de Condiciones, relacionados con la acreditación de ser víctima de violencia intrafamiliar, integrante de la población indígena, negra, afrocolombiana raizal, palenquera, Rrom, o gitanas, o persona en proceso de reintegración o reincorporación.
Derechos del titular
Los derechos como titular de los datos son los previstos en la Constitución y en la Ley 1581 de 2012, especialmente los siguientes:
a) Acceder en forma gratuita a los datos proporcionados que hayan sido objeto de tratamiento.
b) Solicitar la actualización y rectificación de su información frente a los datos parciales, inexactos e incompletos.
c) Solicitar prueba de la autorización otorgada.
d) Presentar ante la Superintendencia de Industria y Comercio quejas por infracciones a lo dispuesto en la normatividad vigente.
e) Revocar la autorización y/o solicitar la supresión del dato, a menos que exista un deber legal o contractual que haga imperativo conservar la información.
f) Abstenerse de responder las preguntas sobre datos sensibles o sobre datos de las niñas y niños y adolescentes.
Estos derechos los podré ejercer mediante los canales o medios dispuestos por [Incluir nombre de la Entidad] para la atención al público, la línea de atención nacional [incluir número de atención de la Entidad], el correo electrónico [incluir el correo electrónico] y las oficinas de atención al cliente a nivel nacional, cuya información puedo consultar en [incluir página web de la Entidad], disponibles de [lunes a viernes de 8:00 am a 6:00 p.m.].
Por todo lo anterior, he otorgado mi consentimiento a [Incluir nombre de la Entidad] para que trate mi información personal de acuerdo con la Política de Tratamiento de Datos Personales dispuesta en [Incluir el link en donde se encuentra la Política de Tratamiento de Datos Personales] y que me dio a conocer antes de recolectarlos.
Manifiesto que esta autorización me fue solicitada y puesta de presente antes de entregar mis datos y que la suscribo de forma libre y voluntaria una vez leída en su totalidad.
Nombre: [Incluir nombre del titular de la autorización datos sensibles para la autorización de datos]
Firma: [Incluir firma del titular]
Identificación: [Incluir número de identificación del titular de datos sensibles]
Fecha: [Fecha en que se puso de presente la autorización y entregó sus datos]
| codigo | CCE-EICP-FM-103 | Versión | 2 |
FORMATO 13 ACREDITACIÓN DE EMPRENDIMIENTO Y EMPRESA DE MUJERES CONSULTORÍA DE ESTUDIOS DE INGENIERÍA DE INFRAESTRUCTURA DE TRANSPORTE
| Código | CCE-EICP-FM-129 | Página | 1 de 6 |
| Versión No. | 1 | ||
FORMATO 13A – ACREDITACIÓN DE EMPRENDIMIENTOS Y EMPRESAS DE MUJERES (PERSONA JURÍDICA)
[Este Formato debe diligenciarse por los Proponentes personas jurídicas o los integrantes que sean personas jurídicas del Proponente Plural cuyo porcentaje de participación sea al menos del diez por ciento (10 %) y acrediten la condición de emprendimientos y empresas de mujeres.]
Señores
[NOMBRE DE LA ENTIDAD]
[Ciudad]
REFERENCIA: Proceso de Contratación [Incluir número del Proceso de Contratación]
Objeto:
[Incluir cuando el Proceso de Contratación sea estructurado por lotes o grupos] Lote: [Indicar el lote o lotes a los cuales se presenta oferta.]
Estimados señores:
[Incluir el nombre del representante legal de la persona jurídica y del revisor fiscal, cuando este último exista de acuerdo con los requerimientos de ley, o el contador] identificados con [Incluir los números de identificación], en nuestra condición de representante legal [y revisor fiscal, en caso de estar obligado según los requerimientos de ley, o el contador] de [Incluir la razón social de la persona jurídica] identificada con el NIT [Incluir el NIT], en adelante el Proponente, acreditamos la condición de ser emprendimiento y empresa de mujer en los términos del artículo 2.2.1.2.4.2.14 del Decreto 1082 de 2015.
[El Proponente escogerá una de las siguientes dos (2) opciones para acreditar la condición de emprendimiento y empresa de mujer:]
[Opción 1. Incorporar si la participación accionaria de la persona jurídica en su mayoría son mujeres y los derechos de propiedad han pertenecido a éstas durante el último año.]
Manifestamos bajo la gravedad del juramento que más del cincuenta por ciento (50 %) de las acciones, partes de interés o cuotas de participación de la persona jurídica pertenecen a mujeres y los derechos de propiedad han pertenecido a estas durante al menos el último año anterior a la fecha de cierre del Proceso de Contratación. En el siguiente cuadro señalamos la identificación de las mujeres en la persona jurídica y la distribución de los derechos en la sociedad durante el último año:
| Nombre completo y número de identificación de la (s) mujeres (s) que tienen o tuvieron participación durante el último año en la persona jurídica | Número de acciones, partes de interés o cuotas de participación de la persona jurídica, o el alcance o condición de su participación en el caso de las personas jurídicas sin ánimo de lucro |
De igual manera, manifestamos bajo la gravedad del juramento que más del cincuenta por ciento (50 %) de las acciones, partes de interés o cuotas de participación de la persona jurídica ha pertenecido a mujeres, y dicha participación mayoritaria se ha mantenido a partir de: [Indicar la fecha (día/mes/año) desde que se cumple con dicha condición].
[Opción 2. Incorporar si por lo menos el cincuenta por ciento (50 %) de los empleos del nivel directivo de la persona jurídica son ejercidos por mujeres y estas han estado vinculadas laboralmente durante al menos el último año.]
En el siguiente cuadro señalamos de forma detallada la denominación de los cargos directivos que existen dentro de la persona jurídica, la identificación de las personas que ocuparon o ejercen los cargos del nivel directivo del Proponente, y el tiempo de vinculación:
| Denominación del cargo directivo dentro de la empresa | Nombre completo y número de identificación de la (s) persona (s) que ocuparon / ejercen el cargo durante el último año en la persona jurídica | Tiempo de vinculación de la (s) persona(s) que ejerció / ejerce el cargo del nivel directivo |
| [Indique la denominación del cargo directivo, a modo de ejemplo: Gerente general, director | [Indique el nombre completo y el número de identificación de las personas que ocuparon / ejercen el cargo en el último año] | [Indique el tiempo de vinculación de la persona que ejerció/ejerce el cargo en el nivel directivo] |
| ejecutivo] | [Indique el nombre completo y el número de identificación de las personas que ocuparon / ejercen el cargo en el último año] | [Indique el tiempo de vinculación de la persona que ejerció/ejerce el cargo en el nivel directivo] |
| [Indique el nombre completo y el número de identificación de las personas que ocuparon / ejercen el cargo en el último año] | [Indique el tiempo de vinculación de la persona que ejerció/ejerce el cargo en el nivel directivo] | |
| [Indique el nombre completo y el número de identificación de las personas que ocuparon / ejercen el cargo en el último año] | [Indique el tiempo de vinculación de la persona que ejerció/ejerce el cargo en el nivel directivo] | |
| [Indique la denominación del cargo directivo, a modo de ejemplo: Gerente/ Director de | [Indique el nombre completo y el número de identificación de las personas que ocuparon / ejercen el cargo en el último año] | [Indique el tiempo de vinculación de la persona que ejerció/ejerce el cargo en el nivel directivo] |
| ventas] | [Indique el nombre completo y el número de identificación de las personas que ocuparon / ejercen el cargo en el último año] | [Indique el tiempo de vinculación de la persona que ejerció/ejerce el cargo en el nivel directivo] |
| [Indique el nombre completo y el número de identificación de las personas que ocuparon / ejercen el cargo en el último año] | [Indique el tiempo de vinculación de la persona que ejerció/ejerce el cargo en el nivel directivo] | |
| [Indique el nombre completo y el número de identificación de las personas que ocuparon / ejercen el cargo en el último año] | [Indique el tiempo de vinculación de la persona que ejerció/ejerce el cargo en el nivel directivo] | |
| [Indique la denominación del cargo directivo, a modo de ejemplo: Director de desarrollo | [Indique el nombre completo y el número de identificación de las personas que ocuparon / ejercen el cargo en el último año] | [Indique el tiempo de vinculación de la persona que ejerció/ejerce el cargo en el nivel directivo] |
| tecnológico] | [Indique el nombre completo y el número de identificación de las personas que ocuparon / ejercen el cargo en el último año] | [Indique el tiempo de vinculación de la persona que ejerció/ejerce el cargo en el nivel directivo] |
| [Indique el nombre completo y el número de identificación de las personas que ocuparon / ejercen el cargo en el último año] | [Indique el tiempo de vinculación de la persona que ejerció/ejerce el cargo en el nivel directivo] | |
| [Indique el nombre completo y el número de identificación de las personas que ocuparon / ejercen el cargo en el último año] | [Indique el tiempo de vinculación de la persona que ejerció/ejerce el cargo en el nivel directivo] | |
Conforme a lo anterior, manifestamos bajo la gravedad del juramento que por lo menos el cincuenta por ciento (50 %) de los empleos del nivel directivo de la persona jurídica han sido ejercidos por mujeres y estas han estado vinculadas laboralmente a la empresa durante al menos el último año anterior a la fecha de cierre del Proceso de Contratación en el mismo cargo u otro del mismo nivel.
Para los efectos de esta certificación son empleos del nivel directivo aquellos cuyas funciones están relacionadas con la dirección de áreas misionales de la empresa y la toma de decisiones a nivel estratégico. En este sentido, son cargos del rango directivo los que dentro de la organización de la empresa implican mando o los que por su jerarquía desempeñan cargos encaminados al cumplimiento de funciones orientadas a representar al empleador.
Como soporte de esta declaración se anexa copia de (i) los respectivos documentos de identidad, (ii) los contratos de trabajo o certificación laboral con las funciones y (iii) el certificado de aportes al Sistema de Seguridad Social del último año en el que se demuestren los pagos realizados por el empleador, en relación con cada una de las personas que conforman el nivel directivo del Proponente.
[Si el Proponente cumple ambas condiciones escogerá alguna de las dos (2) opciones descritas, para acreditar la calidad de emprendimientos y empresas de mujeres en los términos del 2.2.1.2.4.2.14 del Decreto 1082 de 2015]
En constancia, se firma en ______________, a los ____ días del mes de _____ del 20__
[Nombre y firma del representante legal de la persona jurídica]
[Nombre y firma del contador o revisor fiscal, si está obligado a tenerlo]
FORMATO 13B – ACREDITACIÓN DE EMPRENDIMIENTOS Y EMPRESAS DE MUJERES (PERSONA NATURAL)
[Este Formato debe diligenciarse por los Proponentes personas naturales o los integrantes personas naturales del Proponente Plural cuyo porcentaje de participación sea al menos del diez por ciento (10 %) y acredite la condición de emprendimientos y empresas de mujeres.]
Señores
[NOMBRE DE LA ENTIDAD]
[Ciudad]
REFERENCIA: Proceso de Contratación [Incluir número del Proceso de Contratación]
Objeto:
[Incluir cuando el Proceso de Contratación sea estructurado por lotes o grupos] Lote: [Indicar el lote o lotes a los cuales se presenta oferta.]
Estimados señores:
[Incluir el nombre de la persona natural] identificada con [Incluir el número de identificación], en mi condición de mujer, en adelante el Proponente, certifico la condición de ser emprendimiento y empresa de mujer en los términos del artículo 2.2.1.2.4.2.14 del Decreto 1082 de 2015, para lo cual manifiesto bajo la gravedad del juramento que he ejercido actividades comerciales a través del establecimiento de comercio [Indicar el nombre del establecimiento de comercio], [identificado con NIT __________], durante al menos el último año anterior contado a partir de la fecha del cierre del Proceso de Contratación.
Para acreditar la anterior circunstancia aporto [copia de la cédula de ciudadanía, la cédula de extranjería o el pasaporte, según corresponda], así como la copia del registro mercantil.
En constancia, se firma en ______________, a los ____ días del mes de _____ del 20__.
[Nombre y firma de la persona natural]
FORMATO 13C – ACREDITACIÓN DE EMPRENDIMIENTOS Y EMPRESAS DE MUJERES (ASOCIACIONES Y COOPERATIVAS)
[Este Formato debe diligenciarse por los Proponentes que son asociaciones o cooperativas o los integrantes asociaciones o cooperativas del Proponente Plural cuyo porcentaje de participación sea al menos del diez por ciento (10 %) y acredite la condición de emprendimientos y empresas de mujeres.]
Señores
[NOMBRE DE LA ENTIDAD]
[Ciudad]
REFERENCIA: Proceso de Contratación [Incluir número del Proceso de Contratación]
Objeto:
[Incluir cuando el Proceso de Contratación sea estructurado por lotes o grupos] Lote: [Indicar el lote o lotes a los cuales se presenta oferta.]
Estimados señores:
[Incluir el nombre del representante legal de la asociación o cooperativa] identificado con [Incluir el número de identificación], en mi condición de representante legal de [Incluir la razón social de la asociación o cooperativa] identificado con el NIT [Incluir el NIT], en adelante el Proponente, certifico la condición de ser emprendimiento y empresa de mujer en los términos del artículo 2.2.1.2.4.2.14 del Decreto 1082 de 2015, para lo cual manifiesto bajo la gravedad del juramento que más del cincuenta por ciento (50 %) de los asociados son mujeres y que la participación de estas en la [indicar si es en la asociación o cooperativa], ha permanecido durante al menos el último año anterior contado a partir de la fecha de cierre del Proceso de Contratación.
En constancia, se firma en ______________, a los ____ días del mes de _____ del 20__
[Nombre y firma del representante legal de la asociación o cooperativa]
| codigo | CCE-EICP-FM-129 | Versión | 1 |
FORMATO 14 ACREDITACIÓN MIPYME
CONSULTORÍA DE ESTUDIOS DE INGENIERÍA DE INFRAESTRUCTURA DE TRANSPORTE
| Código | CCE-EICP-FM-130 | Página | 1 de 2 |
| Versión No. | 1 | ||
FORMATO 14A – ACREDITACIÓN MIPYME
(Cuando el interesado solicite la limitación de convocatoria a Mipyme)
(PERSONAS NATURALES)
[El interesado persona natural que solicita limitar la convocatoria del Proceso de Contratación a Mipyme, acreditará la condición de Mipyme con el diligenciamiento de este Formato y entregará los documentos requeridos en el artículo 2.2.1.2.4.2.4. del Decreto 1082 de 2015. En todo caso, cuando la calidad de Mipyme se acredite con la presentación del RUP vigente y en firme, no será necesario diligenciar este Formato, ni aportar los mencionados documentos]
Señores
[NOMBRE DE LA ENTIDAD]
[Ciudad]
REFERENCIA: Proceso de Contratación [Incluir número del Proceso de Contratación]
Objeto:
Estimados señores:
[Incluir el nombre de la persona natural y el contador público] identificados con [Incluir los números de identificación], declaramos bajo la gravedad del juramento que [incluir el nombre del establecimiento de comercio] se encuentra clasificada como: [Indicar si es micro, pequeña y mediana empresa] de acuerdo con los criterios definidos por las normas vigentes.
Para acreditar dicha condición adjuntamos copia del registro mercantil.
En constancia, se firma en ______________, a los ____ días del mes de _____ del 20__.
[Nombre y firma de la persona natural]
[Nombre y firma del contador público]
FORMATO 14B – ACREDITACIÓN MIPYME
(Cuando el interesado solicite la limitación de convocatoria a Mipyme)
(PERSONAS JURÍDICAS)
[El interesado persona jurídica que solicita limitar la convocatoria del Proceso de Contratación a Mipyme, acreditará la condición de Mipyme con el diligenciamiento de este Formato y entregará los documentos requeridos en el artículo 2.2.1.2.4.2.4. del Decreto 1082 de 2015. En todo caso, cuando la calidad de Mipyme se acredite con la presentación del RUP vigente y en firme, no será necesario diligenciar este Formato, ni aportar los mencionados documentos]
Señores
[NOMBRE DE LA ENTIDAD]
[Ciudad]
REFERENCIA: Proceso de Contratación [Incluir número del Proceso de Contratación]
Objeto:
Estimados señores:
[Incluir el nombre del representante legal y el contador o revisor fiscal, si están obligados a tenerlo] identificados con [Incluir los números de identificación], actuando en representación de [Indicar nombre del Proponente] declaramos bajo la gravedad del juramento que [incluir el nombre del establecimiento de comercio] se encuentra clasificada como: [Indicar si es micro, pequeña y mediana empresa] de acuerdo con los criterios definidos por las normas vigentes.
Para acreditar dicha condición, adjuntamos copia del certificado de existencia y representación legal de la Cámara de Comercio _____________ o por la autoridad competente para expedir dicha certificación.
En constancia, se firma en ______________, a los ____ días del mes de _____ del 20__.
[Nombre y firma del representante legal]
[Nombre y firma del contador o revisor fiscal si está obligado a tenerlo]
| codigo | CCE-EICP-FM-130 | Versión | 1 |
TABLAS NO INCLUIDAS CONSULTAR ANEXO EN EL DIARIO OFICIAL IMPRESO O EN EL FORMATO PDF PUBLICADO EN LA WEB WWW.IMPRENTA.GOV.CO
MATRIZ 2- INDICADORES FINANCIEROS Y ORGANIZACIONALES CONSULTORÍA DE ESTUDIOS DE INGENIERÍA DE INFRAESTRUCTURA DE TRANSPORTE
| Código | CCE-EICP-FM-98 | Página | 1 de 2 |
| Versión No. | 2 | ||
MATRIZ 2 – INDICADORES FINANCIEROS Y ORGANIZACIONALES CONSULTORÍA DE ESTUDIOS DE INGENIERÍA DE INFRAESTRUCTURA DE TRANSPORTE
1. Índices de capacidad financiera y organizacionales para Mipyme.
El Proponente persona natural o jurídica que demuestre la condición de Mipyme de conformidad con lo previsto en el artículo 2.2.1.2.4.2.4 del Decreto 1082 de 2015, en concordancia con el parágrafo del artículo 2.2.1.13.2.4 del Decreto 1074 de 2015 o las normas que los modifiquen, sustituyan o complementen, probará los siguientes indicadores:
| Indicador | Valor concertado |
| Índice de liquidez | |
| Índice de endeudamiento | |
| Razón de cobertura de intereses | |
| Capital de trabajo | Definido en los Pliegos Tipo |
| Rentabilidad del patrimonio | |
| Rentabilidad del activo |
Tratándose de Proponente Plurales estos indicadores solo se aplicarán si por lo menos uno de los integrantes acredita la calidad de Mipyme de conformidad con el artículo 2.2.1.2.4.2.4. del Decreto 1082 de 2015, o la normas que los modifiquen, sustituyan o complementen, y tienen una participación igual o superior al diez por ciento (10 %) en el Consorcio o en la Unión Temporal.
Para acreditar la calidad de Mipyme el Proponente entregará copia del certificado del Registro Único de Proponentes, el cual deberá encontrarse vigente y en firme al momento de su presentación.
2. Índices de capacidad financiera y organizacionales para los demás Proponentes
Los Proponentes que NO demuestren la condición de Mipyme de conformidad con lo previsto en el artículo 2.2.1.2.4.2.4. del Decreto 1082 de 2015, en concordancia con el parágrafo del artículo 2.2.1.13.2.4 del Decreto 1074 de 2015 o las normas que los modifiquen, sustituyan o complementen, acreditarán los siguientes indicadores:
| Indicador | Valor concertado |
| Índice de liquidez | |
| Índice de endeudamiento | |
| Razón de cobertura de intereses | |
| Capital de trabajo | Definido en los Pliegos Tipo |
| Rentabilidad del patrimonio | |
| Rentabilidad del activo |
Los indicadores definidos en la presente matriz deben ser usados por las Entidades en la estructuración de los Documentos del Proceso de Contratación de consultoría de estudios de ingeniería de infraestructura de transporte.
| codigo | CCE-EICP-FM-98 | Versión | 2 |
ANEXO 3 – GLOSARIO
CONSULTORÍA DE ESTUDIOS DE INGENIERÍA DE INFRAESTRUCTURA DE TRANSPORTE
| Código | CCE-EICP-IDI-29 | Página | 1 de 19 |
| Versión No. | 2 | ||
ANEXO 3 – GLOSARIO
Para efectos de la interpretación del Pliego de Condiciones: [La Entidad deberá incluir en orden alfabético los conceptos adicionales que aplican al Proceso de Contratación que no estén incorporados en el presente anexo y aquellos que se encuentren definidos en una ley o normativa que según su jerarquía esté por encima del Pliego de Condiciones.]
1. GLOSARIO GENERAL
1.1 Aclaraciones y Explicaciones de Ofertas: Se remite a las nociones desarrolladas en la sentencia del Consejo de Estado, Sección Tercera, Subsección C, del 12 de noviembre de 2014, Radicado 27.986, consejero ponente: Enrique Gil Botero.
1.2 Acta de Inicio: Documento en el que las partes, de común acuerdo, dejan constancia del inicio del plazo contractual.
1.3 Activo Corriente: Activo susceptible de convertirse en dinero en efectivo en un período inferior a un año.
1.4 Activo Total: Activos, bienes, derechos y otros recursos controlados económicamente por la persona natural o jurídica, resultantes de sucesos pasados de los que se espera obtener beneficios o rendimientos económicos en el futuro.
1.5 Administración Delegada: Modalidad de pago en la cual la Entidad delega la ejecución de la obra en el Contratista en calidad de director técnico, quien la ejecuta por cuenta y riesgo de la misma Entidad. El Contratista obtiene como remuneración los honorarios que se pactan por su gestión. El administrador delegado se encarga de ejecutar la obra y responde por su buen resultado, pero es la Entidad quien asume los Riesgos derivados del contrato y la financiación de la obra. Los honorarios del Contratista pueden pactarse en forma de porcentaje sobre el valor de la obra o como precio fijo.
1.6 Análisis del Sector: Estudio que permite conocer el bien o servicio a adquirir en términos de oferta y demanda e identificar el precio más justo a pagar por la satisfacción de la necesidad de la Entidad. Asimismo, por medio de este estudio las Entidades identifican quién puede proveer el bien o servicio, cómo se desarrolla ese negocio, su cadena de producción y distribución, para saber si el sector tiene la capacidad de proveer el bien o servicio en las condiciones y cantidades requeridas por la Entidad.
Este estudio debe realizarse desde la perspectiva legal, comercial, financiera, organizacional, técnica y de análisis de Riesgo.
1.7 Anexo: Documento o conjunto de documentos que la Entidad adjunta al Pliego de Condiciones y que hacen parte integral de este.
1.8 Anticipo: Préstamo destinado a apalancar el cumplimiento del objeto contractual, de modo que los recursos girados por dicho concepto sólo se integran al patrimonio del Contratista en la medida que se cause su amortización mediante la presentación de la cuenta o factura respectiva.
1.9 Aportes Legales: Contribuciones parafiscales y gravámenes establecidos con carácter obligatorio por la ley, que afectan a un determinado y único grupo social y económico y se utilizan para beneficio del propio sector. El manejo, administración y ejecución de estos recursos se hará exclusivamente en la forma dispuesta en la ley que los crea y se destinarán sólo al objeto previsto en ella.
1.10 Apostilla: Certificación de la autenticidad de la firma de un servidor público en ejercicio de sus funciones y la calidad en que el signatario haya actuado, la cual deberá estar registrada ante el Ministerio de Relaciones Exteriores para que el documento surta plenos efectos legales en un país parte del Convenio sobre la Abolición del Requisito de Legalización de los Documentos Públicos Extranjeros, de la Conferencia de la Haya de 1961.
1.11 Beneficiario Real: Cualquier persona o grupo de personas que, directa o indirectamente, por sí misma o a través de interpuesta persona, por virtud de un contrato, convenio o de cualquier otra manera, tenga respecto de una acción de una sociedad, o pueda llegar a tener, por ser propietario de bonos obligatoriamente convertibles en acciones, capacidad decisoria; esto es, la facultad o el poder de votar en la elección de directivas o representantes o de dirigir, orientar y controlar dicho voto, así como la facultad o el poder de enajenar y ordenar la enajenación o gravamen de la acción.
Conforman un mismo beneficiario real los cónyuges o compañeros permanentes y los parientes dentro del segundo grado de consanguinidad, segundo de afinidad y único civil, salvo que se demuestre que actúan con intereses económicos independientes, circunstancia que podrá ser declarada bajo la gravedad de juramento ante la Superintendencia Financiera de Colombia, con fines exclusivamente probatorios.
Igualmente, constituyen un mismo beneficiario real las sociedades matrices y sus subordinadas.
1.12 BRT (por sus siglas en inglés Bus Rapid Transit)- Bus de Tránsito Rápido: Sistema de transporte de pasajeros que cuenta con estaciones y vías o carriles exclusivos por las cuales circulan buses con rutas prestablecidas.
1.13 Canales navegables: Cauce o cuerpo de agua natural o artificial por donde navegan las embarcaciones. Los canales navegables en función de su profundidad se clasifican en canales navegables para embarcaciones menores, mayores o ambas.
1.14 Capacidad Financiera: Condiciones financieras mínimas que debe tener un Proponente, en razón de su liquidez, endeudamiento y los demás indicadores que apliquen para poder soportar adecuadamente la ejecución del contrato.
1.15 Capacidad Organizacional: Aptitud de un Proponente para cumplir oportuna y cabalmente el objeto del contrato en función de su organización interna. Son aquellos contenidos en el artículo 2.2.1.1.1.5.3 del Decreto 1082 de 2015 o la norma que lo adicione, la reemplace, complemente, sustituya o modifique.
1.16 Certificado de Disponibilidad Presupuestal: Documento que acredita la disponibilidad de recursos en el presupuesto para adelantar el Proceso de Contratación.
1.17 Código Nacional de Navegación y Actividades Portuarias Fluviales: Es el previsto por la Ley 1242 de 2008 o la norma que lo adicione, modifique, complemente o derogue, mediante el cual se regulan las actividades fluviales. En el cual se establecen las nociones sobre los diferentes cuerpos de agua, vías fluviales, canales navegables, entre otros que sean considerados como una integración de la infraestructura de transporte desde el aspecto marítimo o fluvial.
1.18 Conflicto de Interés: Circunstancias que el interesado o el Proponente dará a conocer a la Entidad y que considera puede tener incidencia en la imparcialidad con la que se debe adoptar las decisiones en el curso del Proceso de Contratación.
1.19 Consorcio: Figura asociativa en la cual dos o más personas conjuntamente presentan una misma propuesta para la adjudicación, celebración y ejecución de un contrato, respondiendo solidariamente de todas las obligaciones derivadas de la propuesta y del contrato.
1.20 Consultor(a): Persona natural, jurídica o figura asociativa a quien se le ha adjudicado un contrato de consultoría.
1.21 Contratista: Persona natural, jurídica o el grupo de personas jurídicas o naturales, nacionales o extranjeras, asociadas entre sí que suscriben un contrato con el fin de ejecutar el objeto bajo las condiciones de modo, tiempo y lugar que en él se establecen.
1.22 Contrato de Consultoría o Contrato: Acuerdo de voluntades celebrado por las Entidades referidos a los estudios necesarios para la ejecución de proyectos de inversión, estudios de diagnóstico, prefactibilidad o factibilidad para programas o proyectos específicos, así como a las asesorías técnicas de coordinación, control y supervisión.
Son también contratos de consultoría los que tienen por objeto la interventoría, asesoría, gerencia de obra o de proyectos, dirección, programación y la ejecución de diseños, planos, anteproyectos y proyectos.
1.23 [Incluir esta definición cuando aplique:] Contrato de Interventoría: Acuerdo de voluntades celebrado por las Entidades con personas naturales o jurídicas, con el fin de llevar el control, seguimiento, y apoyo técnico especializado de la ejecución de contratos o convenios, tendientes a asegurar su correcta ejecución y cumplimiento, de acuerdo con lo previsto en las normas vigentes y lo estipulado en el respectivo contrato. La interventoría puede incluir, según el caso, el seguimiento administrativo, contable, financiero y/o jurídico.
1.24 Documentos Tipo: Documentos adoptados por la Agencia Nacional de Contratación Pública – Colombia Compra Eficiente que establecen los requisitos habilitantes, factores técnicos, económicos y otros requisitos que representan buenas prácticas contractuales de carácter obligatorio para las Entidades sometidas por el Estatuto General de Contratación de la Administración Pública.
1.25 Estados Financieros: Informes utilizados en las instituciones/empresas que reflejan la situación económica y financiera y los cambios que se dan en cierta fecha o período determinado. Un juego completo de estados financieros comprende: (a) un estado de situación financiera al final del período; (b) un estado del resultado integral del período; (c) un estado de cambios en el patrimonio del período; (d) un estado de flujos de efectivo del período; (e) notas que incluyan un resumen de las políticas contables más significativas y otra información explicativa; y (f) un estado de situación financiera al principio del primer período comparativo, cuando una Entidad aplique una política contable retroactivamente o realice una reexpresión retroactiva de partidas en sus estados financieros, o cuando reclasifique partidas en sus estados financieros.
1.26 Estudios Previos: Justificación jurídica, técnica, económica y financiera del proyecto que realiza la Entidad de acuerdo con las Leyes 80 de 1993 y 1150 de 2007 y el Decreto 1082 de 2015, o la norma que lo adicione, modifique o complemente.
1.27 Formato: Documentos que aporta el Proponente y que hacen parte integral de su oferta.
1.28 Formulario: Documento por medio del cual la Entidad solicita información específica, como por ejemplo la relacionada con el ofrecimiento económico, que debe ser diligenciada por el Proponente.
1.29 Garantía: Respaldo que tiene como fin el pago a favor de la Entidad de las indemnizaciones o sanciones derivadas del incumplimiento del contrato. Las clases de garantías son: (i) contratos de seguro, (ii) fiducia mercantil de garantía o (iii) garantías bancarias.
1.30 Información Pública Reservada: Información que estando en poder o custodia de un sujeto obligado en su calidad de tal, es exceptuada de acceso a terceros por daño a intereses públicos conforme con el artículo 19 de la Ley 1712 de 2014 o la norma que lo adicione, modifique o complemente.
1.31 Infraestructura del Transporte: Sistema de movilidad integrado por un conjunto de bienes tangibles, intangibles y aquellos que se encuentren relacionados con este, el cual está bajo la vigilancia y control del Estado y se organiza de manera estable para permitir el traslado de las personas, los bienes y los servicios, el acceso y la integración de las diferentes zonas del país y que propende por el crecimiento, competitividad y mejora de la calidad de la vida de los ciudadanos1.
Son las intervenciones realizadas en:
- Vías primarias y secundarias
- Vías terciarias
- Infraestructuras marítimas y fluviales
- Vías primarias, secundarias o terciarias para atención a emergencias diferentes a contratación directa.
- Infraestructura férrea
- Infraestructura vial urbana
- Puentes
- Infraestructura Aeroportuaria
1.32 Interventor(a): Persona natural, jurídica, Consorcio o Unión Temporal, que tiene a su cargo el seguimiento y control del contrato en los términos del artículo 83 de la Ley 1474 de 2011.
1.33 Legalización: Certificación de la autenticidad de la firma de un servidor público en ejercicio de sus funciones y la calidad en que el signatario haya actuado, la cual deberá estar registrada ante el Ministerio de Relaciones Exteriores, para que el documento surta plenos efectos legales en un país que hace parte de la Convención de Viena de 1963, sobre relaciones consulares, literal f del artículo 5, que reglamenta las actuaciones consulares en calidad de notario.
1.34 Manifestación de Interés: Comunicación del Proponente mediante la cual informa su intención de participar en el Concurso de Méritos dentro de los cinco (5) días hábiles siguientes contados a partir de la fecha de publicación del aviso de convocatoria.
1.35 Matriz: Documento que incorpora las condiciones técnicas, de riesgos o económicas que debe tener en cuenta el Proponente al momento de estructurar su oferta y ejecutar el contrato.
1.36 Medio Magnético: Dispositivo que utiliza materiales magnéticos para archivar información digital, tales como USB, discos duros o los CD que almacenan grandes volúmenes de datos en un espacio físico reducido.
1.37 Pago Anticipado: Extinción anticipada de obligaciones a través del pago de una parte del precio del contrato.
1.38 Pliego de Condiciones: Conjunto de normas que rigen el Proceso de Contratación y el futuro contrato, en los que se señalan las condiciones objetivas, plazos y procedimientos dentro de los cuales los Proponentes deben formular su oferta para participar en el Proceso de Contratación.
1.39 Pliego de Condiciones Tipo: Documento estructurado, actualizado y publicado por la Agencia Nacional de Contratación Pública - Colombia Compra Eficiente que incorpora las condiciones habilitantes, requisitos de puntaje y demás aspectos señalados en el artículo 1 de la Ley 2022 de 2020.
1.40 Precio Global: Modalidad de pago cierto, cerrado, e inalterable como única remuneración por el cumplimiento del objeto contratado.
1.41 Presupuesto Oficial: Valor total que la Entidad determina como necesario para ejecutar el objeto del contrato con base en el estudio previo y el análisis del sector.
1.42 Proponente: Persona o grupo de personas que presentan una oferta para participar en el Proceso de Contratación.
1.43 Proponente Plural: Figura asociativa en la cual dos o más personas en forma conjunta se unen para la presentación de una propuesta, celebrar y ejecutar un contrato. No constituyen una persona jurídica independiente de sus integrantes. Puede tener la figura de Consorcios o de Uniones Temporales.
1.44 Reembolso de Gastos: Forma de pago en la cual el Contratista asume los gastos de ejecución del contrato y la Entidad en forma periódica rembolsa dichos gastos y además reconoce a éste los honorarios que se pactan por su gestión.
1.45 Selección Objetiva: Principio que busca que la escogencia de los colaboradores de la administración responda a criterios objetivos, en concordancia con los principios que rigen la función administrativa.
1.46 Sobre: Instrumento que permite incluir los documentos relacionados con el cumplimiento de los requisitos habilitantes, así como los requisitos y documentos a los que se les asigna puntaje, entre estos la experiencia del Proponente.
1.47 Subcontratista: Persona natural, jurídica o figura asociativa que contrata el Contratista principal para ejecutar una actividad previamente contratada por una Entidad u otra persona natural o jurídica.
1.48 Sucursal: Establecimiento de comercio abierto por una sociedad, dentro o fuera de su domicilio, para el desarrollo de los negocios sociales o de parte de ellos, administrados por mandatarios con facultades para representar a la sociedad.
1.49 Trato Nacional: Principio según el cual un Estado concede a los nacionales de otro Estado el mismo trato que otorga a sus nacionales.
1.50 Unión Temporal: Forma asociativa en la cual dos o más personas presentan conjuntamente una misma propuesta para la adjudicación, celebración y ejecución de un contrato, respondiendo solidariamente por el cumplimiento total de la propuesta y del objeto contratado, pero las sanciones por el incumplimiento de las obligaciones derivadas de la propuesta y del contrato se impondrán de acuerdo con la participación en la ejecución de cada uno de sus integrantes.
1.51 Utilidad Operacional: Ingresos, costos y gastos operacionales relacionados directamente con el objeto social de la persona jurídica o natural, con su actividad principal, dejando de lado los gastos e ingresos no operacionales, es decir, aquellos ingresos diferentes a los obtenidos en el desarrollo de la actividad principal de la empresa, ingresos que por lo general son ocasionales o que son accesorios a la actividad principal.
1.52 Vigencia Fiscal: Período que comprende desde el 1 de enero hasta el 31 de diciembre de cada año.
2. GLOSARIO ESPECÍFICO TÉCNICO
[La Entidad deberá incorporar en orden alfabético los conceptos adicionales que apliquen al Proceso de Contratación que no estén incluidos en el presente anexo o en la normatividad que sea aplicable en la materia de infraestructura de transporte, como es el caso de la Ley 1682 de 2013.]
[Respecto a la categorización de las vías, se maneja en los Documentos Tipo la definición de Vías primarias, secundarias o terciaras, hasta que se cumpla el plazo establecido en la Resolución 411 de 2020 del Ministerio de Transporte, o aquellas que las modifiquen, adición o deroguen; en la cual se detallan los lineamientos de categorización de vías de primer, segundo y tercer orden de acuerdo con la matriz y guía para realizar la categorización de la red vial nacional.]
2.1 Accesibilidad: Condición que permite, en cualquier espacio o ambiente ya sea interior o exterior, el fácil y seguro desplazamiento de la población en general y el uso en forma confiable, eficiente y autónoma de los servicios instalados en esos ambientes.
2.2 Actividades y Obras de Protección: Labores mecánicas de protección y mitigación, permanentes o provisionales, sobre los activos, redes e infraestructura de servicios públicos y actividades complementarias, tecnologías de la información y las comunicaciones y de la industria del petróleo.
2.3 Actualización Sísmica: Análisis total de la estructura desde las fundaciones, pasando por la subestructura y su conexión con la superestructura para que al realizar el análisis de vulnerabilidad sísmica se dé la actualización y cumplimiento con lo establecido en la sección A. 3.5 Cargas por Sismo del Código Colombiano de Diseño Sísmico de Puentes y de las Normas Colombianas de Diseño y Construcción Sismo – Resistente. Los procesos constructivos involucran el estudio del espectro sísmico desde el componente geotécnico hasta la forma de implementar los conectores entre la superestructura y la subestructura. Estas actividades requieren del mantenimiento y reforzamiento previo de los elementos estructurales.
2.4 Administración vial: Son contratos consistentes en la administración en forma permanente de un determinado sector de carretera, en un tiempo establecido, mediante las gestiones, acciones y actividades técnicas y administrativas tendientes a conservar el sector de la carretera nacional, desarrollados por los Administradores Viales, los cuales son ingeniero civiles y/o de transportes y vías, quienes realizan labores de dirección del mantenimiento rutinario, vigilancia, monitoreo, evaluación y diagnóstico continuos del estado de las vías, para garantizar la transitabilidad a los usuarios en condiciones aceptables y seguras, planteando acciones preventivas y correctivas, logrando una reducción en los costos de mantenimiento y conservación de éstas.
2.5 Aeródromo: Es el área definida en tierra o en agua destinado total o parcialmente a la llegada, salida y movimiento en superficie de aeronaves.
Dentro del aeródromo, se cuenta con el área del aeródromo la cual es un sitio destinado al despegue y aterrizaje de aeronaves. Estas áreas se refieren a:
a. Lado Aire: Está compuesto por el área de movimiento de aeronaves, pistas, calles de rodaje, taxeos, hangares y plataformas, cuyo objeto es facilitar la operación de aeronaves y que por su naturaleza el ingreso a esas áreas está sujeto a restricción y/o control del explotador del aeródromo.
b. Lado Tierra: Está compuesta por los edificios, parqueaderos, instalaciones, dispuestos para los usuarios internos o externos del aeropuerto. Se dividen en:
1. Áreas públicas: Edificios, instalaciones y servicios dispuestos para el uso del público en general sin restricción en su ingreso.
2. Área restringida: Edificios, instalaciones y servicios exclusivas a aquellas personas, mercancías y/o vehículos que dispongan de autorización otorgada por el explotador del aeropuerto que habilite su ingreso.
2.6 Alameda: Espacios constituidos por los bienes de uso público destinados al desplazamiento, uso y goce de los peatones y por los elementos arquitectónicos y naturales de los inmuebles de propiedad privada que se integran visualmente para conformar el espacio urbano. Tiene como soporte la red de andenes cuya función principal es la conexión peatonal de los elementos simbólicos y representativos de la estructura urbana.
2.7 Ancho de vía: Medida transversal de una zona de uso público compuesta por andenes, calzadas, ciclorrutas y separadores, para el tránsito de peatones y vehículos.
2.8 Andén o Acera: Franjas de espacio público construido, paralelas a las calzadas vehiculares de las vías públicas, destinadas al tránsito de peatones, personas con movilidad reducida y en algunos casos de ciclousarios.
2.9 Calle de rodaje de Aeródromo: Vía definida en un aeródromo terrestre, establecida para el rodaje de aeronaves y destinada a proporcionar enlace entre una y otra parte del aeródromo2.
2.10 Calzada: Zona de la vía destinada a la circulación de vehículos. Las calzadas pueden ser pavimentadas o no. Si son pavimentadas queda comprendida entre los bordes internos de las bermas. Para la verificación del ancho de calzada requerido en vías construidas fuera del territorio nacional se tendrá en cuenta el ancho comprendido entre el borde interior de las bermas, es decir, la suma simple del ancho de carriles consecutivos.
2.11 Calzada de Servicio: Calzada adyacente a una vía arteria que cumple una función de accesibilidad a predios y soporta un tráfico de carácter local.
2.12 Canal: Cauce artificial, revestido o no, descubierto que transporta agua a flujo libre, cuya sección transversal tiene una forma generalmente constante; se construye para conducir las aguas lluvias provenientes del terreno o infraestructura, hasta su entrega final.
2.13 Carretera: Infraestructura del transporte cuya finalidad es permitir la circulación de vehículos terrestres automotores (carros, buses, camiones, motos, bicicletas, autobuses) en condiciones de continuidad en el espacio y el tiempo, con niveles adecuados de seguridad y de comodidad. Puede estar constituida por una o varias calzadas, uno o varios sentidos de circulación, o uno o varios carriles en cada sentido, de acuerdo con las exigencias de la demanda de tránsito y la clasificación funcional de la misma.
2.14 Carreteras o Vías Primarias o Vías de Primer Orden: Troncales, transversales y accesos a capitales de departamento que cumplen la función básica de integración de las principales zonas de producción y consumo del país y de éste con los demás países. Este tipo de carreteras pueden ser de calzadas divididas según las exigencias particulares del proyecto.
Nota: Para proyectos de infraestructura vial que se hayan construido fuera del territorio nacional, se consideran Carreteras Primarias aquellas que sean certificadas por la Entidad contratante mediante alguno de los documentos válidos establecidos en el Pliego de Condiciones para la demostración de la experiencia, donde se indique que el ancho de calzada es mayor o igual a siete (7.0) metros, o que se acrediten tres (3) o más carriles vehiculares por calzada.
2.15 Carreteras o Vías Secundarias o Vías de Segundo Orden: Vías que unen las cabeceras municipales entre sí y/o que provienen de una cabecera municipal y conectan con una Carretera Primaria. Las carreteras consideradas como secundarias pueden funcionar pavimentadas o en afirmado.
Nota: Para proyectos de infraestructura vial que se hayan construido fuera del territorio nacional, se consideran carreteras o vías secundarias aquellas que sean certificadas por la Entidad contratante mediante alguno de los documentos válidos establecidos en el presente Pliego de Condiciones para la demostración de la experiencia, donde se indique que el ancho de calzada es mayor o igual a siete (7.0) metros, o que se acrediten tres (3) o más carriles vehiculares por calzada.
2.16 Carreteras o Vías Terciarias o Vías de Tercer Orden: Vías de acceso que unen las cabeceras municipales con sus veredas o unen veredas entre sí. Las carreteras consideradas como terciarias funcionan en general en afirmado.
2.17 Carril: Franja longitudinal de una calzada con ancho suficiente para la circulación segura y confortable de una sola fila de vehículos terrestres automotores.
2.18 Ciclorruta: Calzada destinada de manera permanente a la circulación de bicicletas, ubicada en el andén, el separador o segregada de la calzada vehicular o en otros lugares autorizados, debidamente señalizada y delimitada.
2.19 Ciclovía: Vía o sección de calzada destinada ocasionalmente para el tránsito de bicicletas, triciclos y peatones.
2.20 Concreto Asfáltico: Material resultante de la mezcla de cemento asfáltico convencional y/o modificado y agregados pétreos.
2.21 Concreto Hidráulico: Material resultante de la mezcla de cemento portland, agua y agregados pétreos.
2.22 Concreto Hidráulico Reforzado: Material resultante de la mezcla de cemento portland, agua, agregados pétreos y/o aditivos y acero de refuerzo.
2.23 Conservación: Conjunto de actividades que se ejecutan sobre una infraestructura vial y/o del espacio público asociado a la infraestructura de transporte y/o edificación no residencial orientadas a preservar las estructuras para que ofrezcan condiciones de uso aceptable ya sea que se cumpla en el período de vida útil o a ampliar un nuevo período, empleando los tratamientos necesarios con el fin de retardar su deterioro. Incluye las actividades de mantenimiento rutinario, periódico, preventivo, correctivo, rehabilitación o reconstrucción.
2.24 Construcción: Son aquellas obras nuevas que incluyen el levantamiento o armado de algún tipo de infraestructura de transporte.
2.25 Deprimido: Infraestructura construida a un paso inferior de aquellas infraestructuras que la rodean en un cruce de dos o más ejes de infraestructura de transporte a diferentes alturas para no interrumpir el flujo de tráfico cuando se cruzan entre sí. La composición de esos ejes de infraestructura de transporte no tiene que ser uniforme, sino que puede consistir en una mezcla de caminos, senderos, vías férreas, canales, o pistas de aeropuertos.
2.26 Director de Consultoría: [La Entidad incluirá la definición de acuerdo con el proyecto de Infraestructura de Transporte que adelante]
2.27 Draga de Corte de Succión (Cutter Suction Dredger - CSD): Embarcación o artefacto naval que draga mediante la acción de una cabeza de corte que rompe o disgrega el suelo o lecho, que succiona los sedimentos o el suelo mediante la acción de una bomba y lo transporta a la zona de disposición por tubería.
2.28 Draga de Arrastre de Succión con Tolva (TSHD – Trailing Suction Hopper dredger): Embarcación autopropulsada capaz de transportar cierta cantidad de sólidos en una tolva, los cuales son aspirados del fondo por un tubo dotado con un cabezal de succión.
2.29 Draga Mecánica: Embarcación o artefacto naval que utiliza exclusivamente medios mecánicos para la excavación y extracción del material. Se pueden clasificar en: Dragalinas, Dragas de Cuchara Almeja, Dragas de Pala (Dipper) y Dragas de Rosario de Cangilones.
2.30 Dragado: Acción de remover sedimentos o roca, bajo agua, de un lecho marino o fluvial. Procedimiento mecánico mediante el cual se retira material del fondo o de la bancada de un sistema fluvial, en general de cualquier cuerpo de agua para disponerlo en un sitio donde presumiblemente el sedimento no volverá a su sitio de origen.
2.31 Dragado Marítimo y/o Fluvial: Acción de remover sedimentos o roca, bajo agua, de un lecho marino o fluvial.
2.32 Drenaje (infraestructura aeroportuaria): Obras proyectadas para conducir y evacuar el exceso de agua superficial proveniente de la carretera o infraestructura aeroportuaria lado aire (pista, calle de rodaje, plataforma o franja de seguridad).
2.33 Edificio Comercial: Inmueble cuya actividad principal es la venta de productos directamente al público o la prestación de servicios relacionados con los mismos, incluyendo, tanto las tiendas como a los grandes almacenes, los cuales suelen constituir un solo establecimiento con un único titular, como, por ejemplo, los centros comerciales, los mercados, las galerías comerciales, etc.
También se consideran de uso comercial aquellos edificios en los que se prestan directamente al público determinados servicios no necesariamente relacionados con la venta de productos, pero cuyas características constructivas y funcionales, actividad y las de los ocupantes se puedan asimilar más a las propias de este uso que a las de cualquier otro. Como ejemplos de dicha condición están las lavanderías, los salones de peluquería, etc.
2.34 Edificaciones Gubernamentales: Son edificaciones no residenciales administradas por Entidades Públicas, se exceptúan las siguientes: Comando de Atención Inmediata (CAI), bodegas, estaciones de transporte masivo, viviendas, casas fiscales y terminales terrestres.
2.35 Edificio Institucional: Infraestructura que ha sido construida para funciones específicas (administrativas, educación, salud, cultura, etc.) principalmente para el beneficio e interés público, como, por ejemplo, escuelas, universidades, hospitales, estadios, teatros, archivos, biblioteca, edificios de la policía, cárceles, etc.
2.36 Edificio Multifamiliar: Inmueble que agrupa tres o más unidades de vivienda independientes donde el terreno es una propiedad común y que cuenta con servicios y bienes compartidos como circulaciones, escaleras (ascensores), estacionamientos, áreas verdes y sociales etc. Este tipo de edificio puede desarrollarse tanto en vertical como en horizontal.
2.37 Enrocados o Escolleras Marítimos: Obra civil hidráulica marítima constituida por rocas o piedras para conformar una protección contra el oleaje o corrientes marinas, tales como diques, espolones recubrimiento de orillas.
2.38 Escollera: Dique de defensa que se construye con piedras o elementos prefabricados dispuestos en ríos (fluvial) o costa marítima (marítima) para resguardo contra marejada y las corrientes.
2.39 Espacio Público: Conjunto de inmuebles públicos y los elementos arquitectónicos y naturales de los inmuebles privados destinados por naturaleza, usos o afectación a la satisfacción de necesidades urbanas colectivas que transcienden los límites de los intereses individuales de los habitantes.
El espacio público comprende, entre otros, los siguientes aspectos:
a. Los bienes de uso público, es decir, aquellos inmuebles de dominio público cuyo uso pertenece a todos los habitantes del territorio nacional, destinados al uso o disfrute colectivo;
b. Los elementos arquitectónicos, espaciales y naturales de los inmuebles de propiedad privada que por su naturaleza, uso o afectación satisfacen necesidades de uso público;
c. Las áreas requeridas para la conformación del sistema de espacio público en los términos establecidos en el Decreto 1504 de 1998 compilado en el Decreto 1077 de 2015 o la norma que la reemplace, complemente o modifique.
2.40 Espacio Público Asociado a la Infraestructura de Transporte: Elementos constitutivos artificiales o construidos3, tales como:
a. Áreas integrantes de los perfiles viales peatonal y vehicular, constituidas por:
- Los componentes de los perfiles viales tales como: áreas de control ambiental, zonas de mobiliario urbano y señalización, cárcamos y ductos, túneles peatonales, puentes peatonales, escalinatas, bulevares, alamedas, rampas para discapacitados, andenes, malecones, paseos marítimos, camellones, sardineles, cunetas, ciclopistas, ciclovías, estacionamiento para bicicletas, estacionamiento para motocicletas, estacionamiento bajo espacio público, zonas azules, bahías de estacionamiento, bermas, separadores, reductores de velocidad, calzadas, carriles.
- Los componentes de los cruces o intersecciones, tales como: esquinas, glorietas, orejas, puentes vehiculares, túneles y viaductos.
Para los fines de los Documentos Tipo se entiende que estos elementos del Espacio Público deberán estar asociados o vinculados a una infraestructura de transporte.
2.41 Especialista principal: [La Entidad incluirá la definición de acuerdo con el proyecto de Infraestructura de Transporte que adelante]
2.42 Estabilización de Taludes: Diseño y/o construcción del conjunto de obras de contención, movimiento de tierras, obras de drenaje superficiales y subsuperficiales y obras de protección requeridas para garantizar la estabilidad de taludes de corte, terraplén y laderas naturales.
2.43 Estación Férrea: Edificio diseñado para la llegada y salida de trenes que permite y regula el acceso de pasajeros y mercancías.
2.44 Estructura: Ensamblaje de elementos diseñados para soportar las cargas gravitacionales y resistir las fuerzas horizontales. Las estructuras pueden ser catalogadas como estructuras de edificaciones o estructuras diferentes a las de las edificaciones.
2.45 Estudios de Ingeniería4: Sin perjuicio de lo previsto en la Ley 1508 de 20125 y sus decretos reglamentarios, las siguientes definiciones deben tenerse en cuenta en la preparación de los diversos estudios de ingeniería que se adelanten para la ejecución de los proyectos de infraestructura:
Fase 1. Prefactibilidad. Fase en la cual se debe realizar el prediseño aproximado del proyecto, presentando alternativas y realizar la evaluación económica preliminar recurriendo a costos obtenidos en proyectos con condiciones similares, utilizando modelos de simulación debidamente aprobados por las Entidades solicitantes. En esta fase se debe consultar la herramienta o base de datos que determine el Ministerio de Ambiente y Desarrollo Sostenible para tal fin, dentro de la Ventanilla Integral de Trámites Ambientales en Línea (Vital). El objetivo de la fase 1 es surtir el proceso para establecer la alternativa de trazado que a este nivel satisface en mayor medida los requisitos técnicos y financieros.
Fase 2. Factibilidad. Fase en la cual se debe diseñar el proyecto y efectuar la evaluación económica final, mediante la simulación con el modelo aprobado por las Entidades contratantes. Tiene como propósito establecer si el proyecto es factible para su ejecución, considerando todos los aspectos relacionados con el mismo.
En esta fase se identifican las redes, infraestructuras y activos existentes, las comunidades étnicas y el patrimonio urbano, arquitectónico, cultural y arqueológico que puedan impactar el proyecto, así como títulos mineros en procesos de adjudicación, otorgados, existentes y en explotación.
Desarrollados los estudios de factibilidad del proyecto podrá la Entidad o el responsable del diseño si ya fue adjudicado el proyecto, continuar con la elaboración de los diseños definitivos.
Finalizada esta fase de factibilidad, la Entidad o el Contratista, si ya fue adjudicado el proyecto de infraestructura de transporte, adelantará el estudio de impacto ambiental, el cual será sometido a aprobación de la autoridad ambiental quien otorgará la licencia respectiva.
Fase 3. Estudios y diseños definitivos. Fase en la cual se deben elaborar los diseños detallados tanto geométricos como de todas las estructuras y obras que se requieran, de tal forma que un constructor pueda ejecutar el proyecto. El objetivo de esta fase es materializar en campo el proyecto definitivo y diseñar todos sus componentes de tal manera que se pueda dar inicio a su construcción.
2.46 Franja de Circulación Peatonal: Zona o sendero de las vías de circulación peatonal, destinada exclusivamente al tránsito de las personas.
2.47 Franja de Seguridad: Superficie definida que comprende la pista y la zona de parada, si la hubiese, destinada a: a) reducir el riesgo de daños a las aeronaves que se salgan de la pista; y b) proteger a las aeronaves que la sobrevuelan durante las operaciones de despegue o aterrizaje6.
2.48 Gálibo: Altura entre la superficie de rodadura de la calzada (o lámina de agua) y el borde inferior de la superestructura de un puente o viaducto.
2.49 Gestor Vial o Administrador Vial: Profesionales de la ingeniería civil altamente calificados para ejercer funciones de administración, gestión y planeación operativa y técnica, responsables de la dirección, coordinación y control de las actividades rutinarias y periódicas y demás acciones en favor de la adecuada y oportuna conservación de las carreteras. De acuerdo con las características de las carreteras y las necesidades, se determinó en primera instancia que los Gestores o Administradores Viales ejecutarán estas actividades dando énfasis a: la conservación, el inventario físico y estado de vías, la recolección de información para la base de datos de los sistemas de administración vial, la atención de emergencias, la ejecución de algunos estudios y el inventario de accidentes, entre otras.
Posteriormente, se incluyeron acciones tendientes a recuperar el espacio público vial, la descontaminación visual, eliminación de basureros, atención de usuarios y evaluaciones estructurales y funcionales de pavimentos, así como estudios de tránsito y perfiles de vulnerabilidad. En la actualidad estos profesionales, además de las actividades enunciadas, llevan a cabo el seguimiento a los contratos que se han realizado en cada una de las vías, con el fin de determinar la calidad y estabilidad de las obras y, en caso que lo amerite, solicitar la aplicación de las pólizas que los amparan.
2.50 Infraestructura o Red Vial Local: Conjunto de vías que permiten la comunicación entre las urbanizaciones y la red vial secundaria, garantizando la accesibilidad interna a cada una de las unidades prediales de la urbanización.
2.51 Infraestructura o Red Vial Principal: Malla vial principal, arterial y demás vías de mayor jerarquía que hacen parte de los sistemas generales o estructurantes del Plan de Ordenamiento Territorial, Plan Básico de Ordenamiento Territorial, Esquema de Ordenamiento Territorial y demás normas de ordenamiento territorial, que soportan los desplazamientos de larga distancia, permitiendo la movilidad dentro del respectivo municipio o distrito a escala regional, metropolitana y/o urbana.
2.52 Infraestructura o Red Vial Secundaria: Conjunto de vías que permiten la movilidad y articulación entre la malla vial arterial o principal y la red vial local.
2.53 Intercambiador Vial / Intersección Vial: Dispositivos viales en los que dos o más carreteras se encuentran ya sea en un mismo nivel o bien en distintos, produciéndose cruces y cambios de trayectorias de los vehículos que por ellos circulan.
2.54 Longitud de Vía: Distancia desde el punto inicial hasta el punto final a través del eje del alineamiento vial.
2.55 Luz: Distancia en proyección horizontal que existe entre dos apoyos de una viga.
2.56 Luz Principal: Es la mayor longitud entre apoyos de la viga más larga del puente o viaducto, cuando éste tenga más de una.
2.57 Mantenimiento de Emergencia: Intervenciones en la infraestructura derivada de sucesos que tengan como origen emergencias climáticas, telúricas, terrorismo, entre otros, que a la luz de la legislación vigente puedan considerarse eventos de fuerza mayor o caso fortuito (artículo 12 de la Ley 1682 de 2013).
2.58 Mantenimiento Integral: Conjunto de acciones tendientes a restablecer, extender y conservar la capacidad estructural y las condiciones superficiales de un corredor vial, mediante las siguientes actividades: Mantenimiento Rutinario, Mantenimiento Preventivo, Mantenimiento Periódico, Refuerzo Estructural, Gestión Vial, Atención de Emergencias y Prestación de servicios a los usuarios.
2.59 Mantenimiento periódico: Actividades de conservación a intervalos variables, destinados primordialmente a recuperar los deterioros ocasionados por el uso o por fenómenos naturales o agentes externos.
2.60 Mantenimiento rutinario. Conservación continua (a intervalos menores de un año) con el fin de mantener las condiciones óptimas para el tránsito y uso adecuado de la infraestructura de transporte.
2.61 Mejoramiento: Cambios en una infraestructura de transporte con el propósito de mejorar sus especificaciones técnicas iniciales7.
2.62 Muelle en Concreto: Estructura construida en concreto ubicada a orillas de un río o el mar que sirve para que las embarcaciones puedan atracar y/o embarcar y/o desembarcar pasajeros y/o carga.
2.63 Muelle Flotante: Artefacto naval flotante que sirve para que las embarcaciones puedan atracar y/o embarcar y/o desembarcar pasajeros y/o carga en un río o en el mar.
2.64 Muelle Fluvial: Infraestructura levantada a orillas de un río que sirve para que las embarcaciones puedan atracar y/o embarcar y/o desembarcar pasajeros y/o carga.
2.65 Muelle Metálico: Estructura construida en metal ubicada a orillas de un río o el mar que sirve para que las embarcaciones puedan atracar y/o embarcar y/o desembarcar pasajeros y/o carga.
2.66 Obra Civil Fluvial: Obra ejecutada en la sección hidráulica de un río.
2.67 Obra Civil Hidráulica: Obra de ingeniería civil construida en el cauce de ríos, caños, esteros, cuerpos de agua de origen fluvial o lecho del mar con el objetivo de controlar el agua, con fines de aprovechamiento, encauzamiento o de defensa.
2.68 Obra Civil Marítima: Obra ejecutada en el lecho marino.
2.69 Obra de Protección Fluvial: Obra civil hidráulica construida con el objetivo de proteger o defender una orilla de un río contra la erosión por la acción de sus aguas con el propósito de estabilizarlas.
2.70 Paramento: Plano vertical que delimita el inicio de la construcción en un predio. Cuando no existe antejardín coincide con la línea de demarcación.
2.71 Paso e Intersección a Desnivel Vehicular: Infraestructura formada por el cruce de dos o más corredores en distinto nivel, con la finalidad de no interrumpir el flujo vehicular, salvando obstáculos naturales o artificiales.
2.72 Pavimentos Asfálticos y/o Pavimentos de Concreto Hidráulico Reforzado: Estructura constituida por un conjunto de capas superpuestas, adecuadamente compactados, que se construyen sobre la subrasante con el objeto de soportar las cargas del tránsito durante un período de varios años, brindando una superficie de rodamiento uniforme, cómoda y segura. Dichas capas superficiales se encuentran en contacto directo con el tráfico de vehículos o aeronaves y pueden estar constituidas en concreto asfáltico o en concreto hidráulico reforzado.
2.73 Perfil Vial: Representación gráfica de una vía que esquematiza, en el sentido perpendicular al eje, el conjunto de elementos urbanísticos que la comprenden entre los paramentos de los inmuebles.
2.74 Personal Clave Evaluable: Integrantes del equipo de trabajo del oferente que son susceptibles de evaluar de acuerdo con su formación académica o su experiencia. El personal susceptible de evaluación es: i) el Director de Consultoría, ii) el Coordinador de Consultoría (en los casos que aplique) y iii) el Profesional Especializado de mayor relevancia.
2.75 Pista de Aeródromo: Área rectangular definida en un aeródromo terrestre preparada para el aterrizaje y el despegue de las aeronaves8.
2.76 Pistas de Aeropuertos: Infraestructura del transporte cuya finalidad es permitir la circulación, despegue y aterrizaje de aviones (aeronaves) en condiciones de continuidad en el espacio y en el tiempo, con niveles adecuados de seguridad y de comodidad, tales como pistas de aeropuertos, calle de rodaje o pista de taxeo; plataforma o rampa de aeropuerto.
2.77 Placa Huella: Estructura conformada por placas de concreto hidráulico reforzado separadas por franjas de concreto ciclópeo, confinadas por bordillos y/o cunetas construidas sobre una base de afirmado y/o material seleccionado compactado.
2.78 Plataforma: Área definida, en un aeródromo terrestre, destinada a dar cabida a las aeronaves para los fines de embarque o desembarque de pasajeros, correo o carga, abastecimiento de combustible, estacionamiento o mantenimiento.
2.79 Plazas: Plazoletas de menor extensión que generalmente ocupan una manzana completa.
2.80 Plazoletas: Áreas de espacio público abiertas, tratadas como zonas duras y destinadas al disfrute de los ciudadanos y las actividades de convivencia que ocupan media manzana.
2.81 Plazuelas: Áreas de espacio público abiertas, tratadas como zonas duras y destinadas al disfrute de los ciudadanos y a las actividades de convivencia que ocupan un cuarto (1/4) de manzana.
2.82 Pontones: Estructura de drenaje para el paso de vehículos, cuya luz medida paralela al eje de la carretera es menor o igual a diez metros (10m).
2.83 Profesional especializado: [La Entidad incluirá la definición de acuerdo con el proyecto de Infraestructura de Transporte que adelante]
2.84 Puente en Concreto Hidráulico: Estructura cuya losa o placa de circulación vehicular está soportada por elementos estructurales construidos con concreto hidráulico.
2.85 Puente Férreo: Infraestructura del transporte cuya finalidad es permitir la continuación de la circulación de vehículos férreos exclusivamente (trenes, locomotoras, vagones) que circulan en carrileras y/o rieles especializados, en condiciones de continuidad en el espacio y el tiempo, con niveles adecuados de seguridad y de comodidad, permitiendo pasar obstáculos como ríos, quebradas, otras vías, carreteras, vías férreas, etc.
2.86 Puente Metálico: Estructura cuya losa o placa de circulación vehicular está soportada por elementos estructurales metálicos.
2.87 Puente Metálico Modular: Estructura que se monta o desmonta mediante la simple adición de componentes de acero modulares prefabricados para puentes. Los puentes pueden adaptarse fácilmente hasta la longitud, ancho y resistencia deseados, permitiendo diversas aplicaciones y usos.
2.88 Puente Mixto: Estructura que teniendo mínimo dos luces, una de ellas es metálica y la otra es en concreto hidráulico.
2.89 Puentes Peatonales: Infraestructura de transporte cuya finalidad es permitir la continuación de la circulación de peatones (en algunos casos también de bicicletas) en condiciones de continuidad en el espacio y el tiempo, con niveles adecuados de seguridad y de comodidad, posibilitando pasar obstáculos como ríos, quebradas, otras vías, carreteras, vías férreas, etc.
2.90 Puentes Vehiculares y/o Viaductos: Infraestructura de transporte en concreto, acero o mixto compuesta por infraestructura y superestructura, cuya finalidad es permitir la continuación de la circulación de automóviles (carros, buses, camiones, autobuses) en condiciones de continuidad en el espacio y en el tiempo, con niveles adecuados de seguridad y de comodidad, posibilitando superar obstáculos como ríos, quebradas, otras vías, carreteras y vías férreas, que facilita atravesar un accidente geográfico (río o depresión) o paso a desnivel para la circulación de vehículos.
2.91 Reconstrucción: Retiro y reemplazo parcial o total de la estructura de un pavimento, de espacio público, o infraestructura, para generar una nueva estructura. Es posible considerar la reutilización total o parcial de los materiales existentes para la nueva estructura.
2.92 Recuperación de Banca: Obras que propenden por la recuperación de las condiciones de estabilidad iniciales, con el fin de restablecer la transitabilidad y mitigar los efectos adversos que la materialización de la amenaza puede acarrear sobre la estructura y/o los usuarios.
2.93 Red Vial: Conjunto de vías terrestres vehiculares urbanas y rurales.
2.94 Reforzamiento Estructural o Rehabilitación Estructural: Adición de fuerza o capacidad de carga a un elemento estructural que hace parte de un todo ya sea definido como superestructura, subestructura o fundación. Los ejemplos incluyen la colocación de barras de refuerzo de metal debidamente ancladas al elemento existente en la forma establecida en los estudios y diseños antes de verter el hormigón; o colocar las placas de refuerzo metálicos en la intersección de varios elementos; o realizar el reforzamiento mediante la implementación de sistemas compuestos como el refuerzo con fibra de carbono; o utilización de aceros estructurales; o implementación de reforzamiento mediante tensionamiento exterior de los elementos requeridos.
Es de resaltar que puede llevarse a cabo la combinación de varias de las actividades mencionadas según lo establezcan los estudios y diseños para el reforzamiento estructural. En ningún caso se tiene en cuenta el componente sísmico, ni un análisis geotécnico de las fundaciones, ni estudios hidráulicos de la estructura; puesto que la actividad consiste en reforzar los elementos que se encuentran en mal estado y permitir aumentar la vida útil de la misma.
Las actividades de reforzamiento se realizan para recuperar la capacidad por la acción de agentes externos a la estructura como ataques terroristas; accidentes y/o colisiones; fuerza mayor o caso fortuito donde se presente una mayor acción de las cargas por vientos, mayor fuerza de la corriente, material de arrastre y condiciones de sedimentos; y el empuje de tierras no contempladas en los diseños iniciales. Además de ataques por agentes químicos y/o la falta de mantenimiento de los elementos estructurales los cuales afectan la durabilidad y la estabilidad de la estructura.
Esta actividad no implica actualizar la capacidad de carga de la estructura.
Estas actividades requieren del mantenimiento previo de los elementos estructurales.
2.95 Reforzamiento Estructural o Rehabilitación Estructural de Puentes: Trabajos de reparación con los cuales se pretende que los puentes aumenten su período de vida útil e incluyen la intervención de sus elementos estructurales. El reforzamiento abarca desde la rehabilitación del concreto degradado, la renovación de elementos, aumento de las secciones de los elementos, adición de refuerzo y postensionamientos externos.
2.96 Rehabilitación: Reconstrucción de una infraestructura de transporte para devolverla al estado inicial para la cual fue construida. Las actividades de mantenimiento no serán consideradas actividades de rehabilitación.
2.97 Repotenciación Estructural: Reforzamiento del conjunto de elementos estructurales de tal forma que se pueda adicionar la capacidad de la estructura mediante procesos constructivos que garanticen el aumento de la capacidad para la cual fue diseñada inicialmente. En el caso específico de los puentes involucra la actualización de cargas por el nuevo camión de diseño según lo establecido en el Código Colombiano de Diseño Sísmico de Puentes – sección A.3.4 Carga Viva y/o la necesidad de adosar nuevos elementos (involucran nuevas cargas) para realizar ampliación del tablero y/o añadir pasos de tuberías y/o redes de servicios públicos o cualquier otro requerimiento de carga que no se encontraba previsto en el diseño inicial de la estructura. Por ende no involucra el componente sísmico.
Estas actividades requieren del mantenimiento previo de los elementos estructurales.
2.98 Sardinel o Bordillo: Elemento que separa una calzada del andén o del separador de una vía.
2.99 Sede Férrea: Inmueble caracterizado por contener en un solo predio edificios de servicio, mantenimiento y operación ferroviaria, dentro los que pueden estar estación de pasajeros, talleres férreos, campamentos, bodegas, entre otros.
2.100 Señalización: Conjunto de señales destinado a regular el tránsito, pueden ser verticales, horizontales o demarcaciones.
2.101 Señalización Vertical: Dispositivos físicos que indican la forma correcta como deben transitar los usuarios de las vías; se instalan para transmitir órdenes o instrucciones mediante palabras o símbolos.
2.102 Separador: Franja de una vía dispuesta en forma longitudinal y paralela al eje de esta que separa y canaliza flujos de circulación. Pueden ser centrales, laterales o intermedios.
2.103 Subsistema Vial: Subsistema que compone el sistema de movilidad y que está a su vez conformado por los siguientes componentes: malla vial arterial, malla vial intermedia, malla vial local, alamedas y pasos peatonales, red de ciclorrutas y corredores de movilidad local y malla vial rural.
2.104 Taller Férreo: Edificio o edificios especializados para la atención y mantenimiento de los diferentes componentes de un sistema ferroviario, dentro de los que están el material rodante y los diferentes equipos eléctricos y electromecánicos.
2.105 Tráfico o Tránsito Vehicular: Volumen de vehículos que circulan por un punto específico de infraestructura de transporte periódicamente o en un período determinado.
2.106 Transporte Fluvial: Actividad que tiene por objeto la conducción de personas, animales o cosas mediante embarcaciones por vías fluviales.
2.107 Vehículo: Aparato montado sobre ruedas que permite el transporte de personas, animales o cosas de un punto a otro por vía terrestre pública o privada abierta al público.
2.108 Vías: Franja de uso público o privado, abierta al público, destinada al tránsito de vehículos, personas y animales.
2.109 Vías Férreas y/o Corredores Férreos: Infraestructuras del transporte cuya finalidad es permitir la circulación de vehículos férreos exclusivamente (trenes, locomotoras, vagones) que circulan en carrileras y/o rieles especializados en condiciones de continuidad en el espacio y el tiempo, con niveles adecuados de seguridad y de comodidad.
2.110 Vías Fluviales: Ríos, caños, esteros o cuerpos de agua de origen fluvial que se utilizan como medio de transporte de pasajeros, animales o carga.
2.111 Vía Peatonal: Áreas o zonas de la ciudad destinadas para el tránsito exclusivo de peatones donde está restringida la circulación de vehículos motorizados.
2.112 Vías Rurales: Estructuras físicas que permiten el acceso o entrada a fincas, haciendas o campos, las cuales se encuentran localizadas dentro del perímetro rural de la población.
2.113 Vías Urbanas: Calles, carreras, transversales, avenidas, diagonales, glorietas, autopistas, troncales, variantes, o la denominación establecida según la nomenclatura de la población correspondiente, las cuales se encuentran localizadas dentro de su perímetro urbano.
Nota: Para proyectos de infraestructura vial que se hayan construido fuera del territorio nacional, se consideran Vías Urbanas aquellas que sean certificadas por la Entidad contratante mediante alguno de los documentos válidos establecidos en el Pliego de Condiciones para la acreditación de la experiencia, donde se indique que el ancho de calzada es mayor o igual a siete (7.0) metros, o que se acrediten tres (3) o más carriles vehiculares por calzada.
2.114 Vías Veredales: Vías que permiten el acceso o entrada a veredas, las cuales se encuentran localizadas dentro del perímetro rural de la población.
2.115 Zona Verde: Espacio de carácter permanente, abierto y empradizado, de dominio o uso público, que hace parte del espacio público efectivo y destinado al uso recreativo.
| codigo | CCE-EICP-IDI-29 | Versión | 2 |

LA INFORMACIÓN INCLUIDA EN ESTE FORMATO ES DE RESPONSABILIDAD DEL PROPONENTE
NOTA No. 1: Para cada Contrato se debe indicar la razón social de contratante, el número y/o objeto y si se ha ejecutado en forma individual (I), Consorcio (C), Unión Temporal (UT) o bajo cualquier otra modalidad de asociación y el porcentaje de participación.
NOTA No. 2: En el caso de Contratos suscritos en Consorcio, Unión Temporal u otra modalidad de asociación considerar lo establecido en el Pliego de Condiciones.
NOTA No. 3: Los valores consignados deben relacionarse en pesos colombianos realizando su conversión a SMMLV.
NOTA No. 4: Para la acreditación del criterio de experiencia se tomará únicamente hasta el máximo de Contratos definidos en el literal c), numeral 3.5.2 del documento base, precisando que este tope máximo de contratos variará con ocasión al criterio diferencial a favor de las Mipyme y/o emprendimiento y empresas de mujeres en cuanto a los requisitos habilitantes relacionados con el número de contratos aportados para acreditar la experiencia solicitada.
NOTA No. 5: Para Proponentes Plurales se debe informar que integrante aporta la experiencia.
NOTA No. 6: El valor total se calcula de conformidad con lo indicado en el Pliego de Condiciones.
NOTA No. 7: Para los Contratos facturados en moneda diferente al peso colombiano, debe presentarse un cuadro de conversión de valores de moneda extranjera de conformidad con lo establecido en la sección de moneda del Pliego de Condiciones, realizando despues su conversión a SMMLV.
NOTA No. 8: Los Proponentes sin sucursal o domicilio en Colombia deben incluir los códigos de clasificación de las naciones unidas para cada uno de los Contratos aportados.
CARACTERÍSTICAS DEL FORMATO 3 - EXPERIENCIA
Las casillas del Formato 3 - Experiencia deben ser diligenciadas conforme con lo siguiente
Número de orden: Se refiere al número de contratos aportados para acreditar la experiencia que como mínimo se deberá presentar un (1) contrato y cómo máximo cinco (5) contratos, sin perjuicio de lo indicado con ocasión al criterio diferencial fijado para las Mipymes y/o emprendimiento y empresas de mujeres en cuanto a los requisitos habilitantes relacionados con el número de contratos aportados para demostrar la experiencia solicitada. En estos caso, se incluirá la casilla correspondiente a cada contrato adicional, segun corresponda.
Número consecutivo del reporte del contrato ejecutado en el RUP: Esta casilla se diligenciará únicamente por los Proponentes que se encuentran obligados a tener RUP. Si está obligado se deberá señalar el número consecutivo donde se encuentra ubicado el contrato en el RUP.
Experiencia requerida: En relacion con este acápite se indicará si el contrato aportado para acreditar lo exigido en la actividad principal acredita la experiencia general o la especifica
Entidad contratante: El nombre de la persona natural o juridica, pública o privada, con la cual se celebró el Contrato.
Contrato o resolución: Se deberá diligenciar el número del contrato o la resolución de la adjudicación del contrato y, además la descripcion del objeto contractual.
Contrato ejecutado identificado con el clasificador de bienes y servicios: Se deberá diligenciar ell código que coincida con los códigos requeridos por la Entidad en el numeral "3.5.4 CLASIFICACIÓN DE LA EXPERIENCIA EN EL CLASIFICADOR DE BIENES, OBRAS Y SERVICIOS DE LAS NACIONES UNIDAS"
Formas de ejecución: El Proponente deberá indicar si el contrato se ejecuto de las siguientes formas: i) Forma individual (i); ii) Consorcio (c); iii) Unión Temporal (UT); iv) Bajo cualquier modalidad de asociacion (Otra). Ademas, se deberá indicar el porcentaje de participacion de la persona que ejecutó el contrato.
Integrante de la estructura plural que se está presentando: Identificar en el contrato que se aporta quien es el integrante de la estructura plural que se está presentando.
Valor total reportado en el RUP: Incluir el valor total del contrato que se encuentra registrado en el RUP. De acuerdo con la “Nota No. 3” los valores consignados deben expresarse en pesos colombianos.
Valor total del contrato en SMMLV: Esta casilla la deberán diligenciar los Proponentes que no tienen RUP e incluira el valor total del contrato en SMMLV. Ademas, se deberá diligenciar este formato en pesos colombianos, haciendo su conversión a SMMLV.
Lotes: En los procesos estructurados por lotes indicar si el certificado de experiencia es para un determinado lote, para varios o para todos. Por ejemplo: Lote 1, Lote 2, 3 y 5 o todos.
De acuerdo con la sección 3.5.2 del Documento Base, si el Proponente no diligencia el "Formato 3 - Experiencia", la Entidad solicitará su subsanación en los terminos del numeral 1.6. En caso de que el oferente no subsane se tendrán en cuenta para la evaluación los cinco (5) contratos de mayor valor aportados, con los cuales la Entidad verificara la experiencia general y especifica solicitada para la actividad principal, al igual que los solicitados para la actividad secundaria en antención a las combinaciones de experiencia aplicables y la experiencia exigida respecto de los bienes y servicios adicionales a la obra de infraestrucutra de transporte, Tratandose de Proponentes que acrediten la calidad de Mipyme o emprendiemiento y empresa de mujeres se tendrá en cuenta como máximo los seis (6) contratos aportados de mayor valor. En caso de que el Proponente acredite la calidad de Mipyme y de emprendimiento y empresa de mujeres con domicilio en el territorio nacional de manera conjunta, se tendrá en cuenta como máximo los siete (7) contratos aportados de mayor valor
El “Formato 3 - Experiencia” consolida la experiencia que se está aportando, pero no acredita la experiencia del Proponente. Si el Proponente aporta el RUP con la información de su experiencia relacionada o aporta los contratos de experiencia que tiene a su nombre, se deberá acreditar la experiencia, a pesar de no allegar o diligenciar indebidamente el "Formato 3- Experiencia".
NOTA: Toda la informacion suministrada por el Proponente deberá ser veraz y estará sujeta a verificadion de acuerdo con lo estipulado en estos Pliegos de Condiciones

LA INFORMACIÓN INCLUIDA EN ESTE FORMATO ES DE RESPONSABILIDAD DEL PROPONENTE
NOTA No. 1: Para cada Contrato se debe indicar la razón social de contratante, el número y/o objeto y si se ha ejecutado en forma individual (I), Consorcio (C), Unión Temporal (UT) o bajo cualquier otra modalidad de asociación y el porcentaje de participación.
NOTA No. 2: En el caso de Contratos suscritos en Consorcio, Unión Temporal u otra modalidad de asociación considerar lo establecido en el Pliego de Condiciones.
NOTA No. 3: Los valores consignados deben relacionarse en pesos colombianos realizando su conversión a SMMLV.
NOTA No. 4: Para la acreditación del criterio de experiencia se tomará únicamente hasta el máximo de Contratos definidos en el literal c), numeral 3.5.2 del documento base, precisando que este tope máximo de contratos variará con ocasión al criterio diferencial a favor de las Mipyme y/o emprendimiento y empresas de mujeres en cuanto a los requisitos habilitantes relacionados con el número de contratos aportados para acreditar la experiencia solicitada.
NOTA No. 5: Para Proponentes Plurales se debe informar que integrante aporta la experiencia.
NOTA No. 6: El valor total se calcula de conformidad con lo indicado en el Pliego de Condiciones.
NOTA No. 7: Para los Contratos facturados en moneda diferente al peso colombiano, debe presentarse un cuadro de conversión de valores de moneda extranjera de conformidad con lo establecido en la sección de moneda del Pliego de Condiciones, realizando despues su conversión a SMMLV.
NOTA No. 8: Los Proponentes sin sucursal o domicilio en Colombia deben incluir los códigos de clasificación de las naciones unidas para cada uno de los Contratos aportados.
CARACTERÍSTICAS DEL FORMATO 3 - EXPERIENCIA
Las casillas del Formato 3 - Experiencia deben ser diligenciadas conforme con lo siguiente
Número de orden: Se refiere al número de contratos aportados para acreditar la experiencia que como mínimo se deberá presentar un (1) contrato y cómo máximo cinco (5) contratos, sin perjuicio de lo indicado con ocasión al criterio diferencial fijado para las Mipymes y/o emprendimiento y empresas de mujeres en cuanto a los requisitos habilitantes relacionados con el número de contratos aportados para demostrar la experiencia solicitada. En estos caso, se incluirá la casilla correspondiente a cada contrato adicional, segun corresponda.
Número consecutivo del reporte del contrato ejecutado en el RUP: Esta casilla se diligenciará únicamente por los Proponentes que se encuentran obligados a tener RUP. Si está obligado se deberá señalar el número consecutivo donde se encuentra ubicado el contrato en el RUP.
Experiencia requerida: En relacion con este acápite se indicará si el contrato aportado para acreditar lo exigido en la actividad principal acredita la experiencia general o la especifica
Entidad contratante: El nombre de la persona natural o juridica, pública o privada, con la cual se celebró el Contrato.
Contrato o resolución: Se deberá diligenciar el número del contrato o la resolución de la adjudicación del contrato y, además la descripcion del objeto contractual.
Contrato ejecutado identificado con el clasificador de bienes y servicios: Se deberá diligenciar ell código que coincida con los códigos requeridos por la Entidad en el numeral "3.5.4 CLASIFICACIÓN DE LA EXPERIENCIA EN EL CLASIFICADOR DE BIENES, OBRAS Y SERVICIOS DE LAS NACIONES UNIDAS"
Formas de ejecución: El Proponente deberá indicar si el contrato se ejecuto de las siguientes formas: i) Forma individual (i); ii) Consorcio (c); iii) Unión Temporal (UT); iv) Bajo cualquier modalidad de asociacion (Otra). Ademas, se deberá indicar el porcentaje de participacion de la persona que ejecutó el contrato.
Integrante de la estructura plural que se está presentando: Identificar en el contrato que se aporta quien es el integrante de la estructura plural que se está presentando.
Valor total reportado en el RUP: Incluir el valor total del contrato que se encuentra registrado en el RUP. De acuerdo con la “Nota No. 3” los valores consignados deben expresarse en pesos colombianos.
Valor total del contrato en SMMLV: Esta casilla la deberán diligenciar los Proponentes que no tienen RUP e incluira el valor total del contrato en SMMLV. Ademas, se deberá diligenciar este formato en pesos colombianos, haciendo su conversión a SMMLV.
Lotes: En los procesos estructurados por lotes indicar si el certificado de experiencia es para un determinado lote, para varios o para todos. Por ejemplo: Lote 1, Lote 2, 3 y 5 o todos.
De acuerdo con la sección 3.5.2 del Documento Base, si el Proponente no diligencia el "Formato 3 - Experiencia", la Entidad solicitará su subsanación en los terminos del numeral 1.6. En caso de que el oferente no subsane se tendrán en cuenta para la evaluación los cinco (5) contratos de mayor valor aportados, con los cuales la Entidad verificara la experiencia general y especifica solicitada para la actividad principal, al igual que los solicitados para la actividad secundaria en antención a las combinaciones de experiencia aplicables y la experiencia exigida respecto de los bienes y servicios adicionales a la obra de infraestrucutra de transporte, Tratandose de Proponentes que acrediten la calidad de Mipyme o emprendiemiento y empresa de mujeres se tendrá en cuenta como máximo los seis (6) contratos aportados de mayor valor. En caso de que el Proponente acredite la calidad de Mipyme y de emprendimiento y empresa de mujeres con domicilio en el territorio nacional de manera conjunta, se tendrá en cuenta como máximo los siete (7) contratos aportados de mayor valor
El “Formato 3 - Experiencia” consolida la experiencia que se está aportando, pero no acredita la experiencia del Proponente. Si el Proponente aporta el RUP con la información de su experiencia relacionada o aporta los contratos de experiencia que tiene a su nombre, se deberá acreditar la experiencia, a pesar de no allegar o diligenciar indebidamente el "Formato 3- Experiencia".
NOTA: Toda la informacion suministrada por el Proponente deberá ser veraz y estará sujeta a verificadion de acuerdo con lo estipulado en estos Pliegos de Condiciones
FORMATO 7 - FACTOR DE CALIDAD
LICITACION DE OBRA PÚBLICA DE INFRAESTRUCTURA DE AGUA POTABLE Y SANEAMIENTO BÁSICO
| Código | CCE-EICP-PM-41 | Pagina | 1 de 3 |
| Version No. | 2 | ||
(Numero del Proceso de Contratación]
FORMATO 7
FORMATO 7
FACTOR DE CALIDAD
FORMATO 7A– PROGRAMA DE GERENCIA DE PROYECTOS
Señores
[NOMBRE DE LA ENTIDAD]
[Dirección de la Entidad]
[Ciudad]
REFERENCIA: Proceso de Contratación No. [Incluir número del Proceso de Contratación], en adelante el “Proceso de Contratación”
Objeto:
[Incluir cuando el proceso sea estructurado por lotes o grupos] Lote: [Indicar el lote o lotes a los cuales se presenta oferta.]
Estimados señores:
"[Nombre del representante legal del Proponente]" en mi calidad de representante legal de "[Nombre del Proponente]" o [Nombre del Proponente - persona natural] en adelante el “Proponente” manifiesto expresamente bajo la gravedad de juramento, el compromiso de implementar, a mi (nuestro) costo y riesgo, un programa de gerencia de proyectos con el fin de garantizar la ejecución efectiva y eficaz del proyecto objeto de la referencia.
Para ello, en caso de resultar adjudicatario del citado proceso, dispondremos de un profesional en las áreas de la ingeniería o la arquitectura que cumpla con el perfil requerido por la Entidad.
Para tal efecto se asignarán los recursos técnicos y humanos necesarios.
Atentamente,
Nombre del Proponente_______________________________________
Nombre del representante legal__________________________________
C. C. No. _____________________ de _______________
Dirección _______________________________________
Correo electrónico _______________________________________
Ciudad _______________________________________
___________________________________________________
[Firma del Proponente o de su representante Legal]
FORMATO 7B–DISPONIBILIDAD Y CONDICIONES FUNCIONALES DE LA MAQUINARIA DE OBRA
Señores
[NOMBRE DE LA ENTIDAD]
[Dirección de la Entidad]
[Ciudad]
REFERENCIA: Proceso de Contratación No. [Incluir número del Proceso de Contratación], en adelante el “Proceso de Contratación”
Objeto:
[Incluir cuando el proceso sea estructurado por lotes o grupos] Lote: [Indicar el lote o lotes a los cuales se presenta oferta.]
Estimados señores:
"[Nombre del representante legal del Proponente]" en mi calidad de representante legal de "[Nombre del Proponente]" o [ Nombre del Proponente - persona natural] en adelante el “Proponente”, manifiesto expresamente bajo la gravedad de juramento, el compromiso de utilizar en la obra maquinaria con una antigüedad menor a veinte (20) años, según su función. En caso de que la maquinaria haya sido repotenciada, los veinte (20) años cuentan desde la fecha de repotenciación de la maquinaria.
Atentamente,
Nombre del Proponente_______________________________________
Nombre del Representante Legal __________________________________
C. C. No. _____________________ de _______________
Dirección _______________________________________
Correo electrónico _______________________________________
Ciudad _______________________________________
___________________________________________________
[Firma del Proponente o de su representante Legal]
FORMATO 7C–PLAN DE CALIDAD
Señores
[NOMBRE DE LA ENTIDAD]
[Dirección de la Entidad]
[Ciudad]
REFERENCIA: Proceso de contratación No. [Incluir número del Proceso de Contratación], en adelante el “Proceso de Contratación”
Objeto:
[Incluir cuando el proceso sea estructurado por lotes o grupos] Lote: [Incluir cuando el proceso sea estructurado por lotes o grupos]
Estimados señores:
"[Nombre del representante legal del Proponente]" en mi calidad de representante legal de "[Nombre del Proponente]" o [ Nombre del Proponente-persona natural] en adelante el “Proponente”, manifiesto expresamente bajo la gravedad de juramento, el compromiso de presentar un Plan de Calidad específico para el proyecto, elaborado bajo el enfoque de un modelo de aseguramiento o gestión de la calidad conforme a las normas NTC ISO 9001:2015 y NTC ISO 10005:2018.
Atentamente,
Nombre del Proponente_______________________________________
Nombre del representante legal __________________________________
C. C. No. _____________________ de _______________
Dirección _______________________________________
Correo electrónico _______________________________________
Ciudad _______________________________________
___________________________________________________
[Firma del Proponente o de su representante legal]
| codigo | CCE-EICP-FM-41 | Versión | 2 |
FORMATO 7 – FACTOR DE CALIDAD
LICITACIÓN DE OBRA PÚBLICA DE INFRAESTRUCTURA DE AGUA POTABLE Y SANEAMIENTO BÁSICO EN LA MODALIDAD DE LLAVE EN MANO
| Código | CCE-EICP-FM-54 | Página | 1 de 3 |
| Versión No. | 2 | ||
[Número del Proceso de Contratación]
FORMATO 7
FORMATO 7
FACTOR DE CALIDAD
FORMATO 7A– PROGRAMA DE GERENCIA DE PROYECTOS
Señores
[NOMBRE DE LA ENTIDAD]
[Dirección de la Entidad]
[Ciudad]
REFERENCIA: Proceso de Contratación No. [Incluir número del Proceso de Contratación], en adelante el “Proceso de Contratación”
Objeto:
[Incluir cuando el proceso sea estructurado por lotes o grupos] Lote: [Indicar el lote o lotes a los cuales se presenta oferta.]
Estimados señores:
"[Nombre del representante legal del Proponente]" en mi calidad de representante legal de "[Nombre del Proponente]" o [Nombre del Proponente - persona natural] en adelante el “Proponente” manifiesto expresamente bajo la gravedad de juramento, el compromiso de implementar, a mi (nuestro) costo y riesgo, un programa de gerencia de proyectos con el fin de garantizar la ejecución efectiva y eficaz del proyecto objeto de la referencia.
Para ello, en caso de resultar adjudicatario del citado proceso, dispondremos de un profesional en las áreas de la ingeniería o la arquitectura que cumpla con el perfil requerido por la Entidad.
Para tal efecto se asignarán los recursos técnicos y humanos necesarios.
Atentamente,
Nombre del Proponente_______________________________________
Nombre del representante legal__________________________________
C. C. No. _____________________ de _______________
Dirección _______________________________________
Correo electrónico _______________________________________
Ciudad _______________________________________
___________________________________________________
[Firma del Proponente o de su representante legal]
FORMATO 7B–DISPONIBILIDAD Y CONDICIONES FUNCIONALES DE LA MAQUINARIA DE OBRA
Señores
[NOMBRE DE LA ENTIDAD]
[Dirección de la Entidad]
[Ciudad]
REFERENCIA: Proceso de Contratación No. [Incluir número del Proceso de Contratación], en adelante el “Proceso de Contratación”
Objeto:
[Incluir cuando el proceso sea estructurado por lotes o grupos] Lote: [Indicar el lote o lotes a los cuales se presenta oferta.]
Estimados señores:
"[Nombre del representante legal del Proponente]" en mi calidad de representante legal de "[Nombre del Proponente]" o [ Nombre del Proponente - persona natural] en adelante el “Proponente”, manifiesto expresamente bajo la gravedad de juramento, el compromiso de utilizar en la obra maquinaria con una antigüedad menor a veinte (20) años, según su función. En caso de que la maquinaria haya sido repotenciada, los veinte (20) años cuentan desde la fecha de repotenciación de la maquinaria.
Atentamente,
Nombre del Proponente_______________________________________
Nombre del Representante Legal __________________________________
C. C. No. _____________________ de _______________
Dirección _______________________________________
Correo electrónico _______________________________________
Ciudad _______________________________________
___________________________________________________
[Firma del Proponente o de su representante legal]
FORMATO 7C–PLAN DE CALIDAD
Señores
[NOMBRE DE LA ENTIDAD]
[Dirección de la Entidad]
[Ciudad]
REFERENCIA: Proceso de Contratación No. [Incluir número del Proceso de Contratación], en adelante el “Proceso de Contratación”
Objeto:
[Incluir cuando el proceso sea estructurado por lotes o grupos] Lote: [Incluir cuando el proceso sea estructurado por lotes o grupos]
Estimados señores:
"[Nombre del representante legal del Proponente]" en mi calidad de representante legal de "[Nombre del Proponente]" o [ Nombre del Proponente-persona natural] en adelante el “Proponente”, manifiesto expresamente bajo la gravedad de juramento, el compromiso de presentar un Plan de Calidad específico para el proyecto, elaborado bajo el enfoque de un modelo de aseguramiento o gestión de la calidad conforme a las normas NTC ISO 9001:2015 y NTC ISO 10005:2018.
Atentamente,
Nombre del Proponente_______________________________________
Nombre del representante legal __________________________________
C. C. No. _____________________ de _______________
Dirección _______________________________________
Correo electrónico _______________________________________
Ciudad _______________________________________
___________________________________________________
[Firma del Proponente o de su representante legal]
| codigo | CCE-EICP-FM-54 | Versión | 2 |
FORMATO 10 – FACTORES DE DESEMPATE
LICITACIÓN DE OBRA PÚBLICA DE INFRAESTRUCTURA DE AGUA POTABLE Y SANEAMIENTO BÁSICO
| Código | CCE-EICP-FM-83 | Página | 1 de 14 |
| Versión No. | 2 | ||
FORMATO 10A – PARTICIPACIÓN MAYORITARIA DE MUJERES CABEZA DE FAMILIA Y/O MUJERES VÍCTIMA DE VIOLENCIA INTRAFAMILIAR (PERSONA JURÍDICA)
[Este formato se diligencia por el representante legal o el revisor fiscal, según corresponda, de la persona jurídica en el que mayoritariamente participen mujeres cabeza de familia y/o mujeres víctima de violencia intrafamiliar. En el evento que la oferta la presente una entidad privada sin ánimo de lucro, ya sea fundación, corporación o asociación se ajustará el formato en lo pertinente. La información aquí vertida contiene datos sensibles los cuales están sujetos a reserva legal y, por tanto, no podrán publicarse en el SECOP I y II para su conocimiento]
Señores
[NOMBRE DE LA ENTIDAD]
[Ciudad]
REFERENCIA: Proceso de Contratación [Incluir número del Proceso de Contratación]
Objeto:
[Incluir cuando el Proceso de Contratación sea estructurado por lotes o grupos] Lote: [Indicar el lote o lotes a los cuales se presenta oferta.]
Estimados señores:
[Incluir el nombre del representante legal de la persona jurídica o del revisor fiscal, según corresponda] identificado con [Incluir el número de identificación], en mi condición de [Indicar si actúa como representante legal o revisor fiscal] de [Incluir la razón social de la persona jurídica] identificada con el NIT [Incluir el NIT], certifico bajo la gravedad del juramento que más del cincuenta por ciento (50 %) de la composición accionaria o cuota parte de la persona jurídica está constituida por mujeres cabeza de familia y/o mujeres víctima de violencia intrafamiliar. Esta información está soportada de acuerdo con los libros de comercio de la sociedad, los cuales gozan de reserva legal en los términos del artículo 61 del Código de Comercio.
En el siguiente cuadro señalo las mujeres cabeza de familia y/o mujeres víctima de violencia intrafamiliar que participan mayoritariamente en la persona jurídica, junto con su respectivo porcentaje de participación:
| Identificación de las mujeres cabeza de familia y/o mujeres víctima de violencia intrafamiliar que participan en la persona jurídica (Incluir nombre y documento de identidad) | Número de cuotas sociales, acciones que poseen o el alcance o condición de su participación en el caso de las personas jurídicas sin ánimo de lucro |
Sin perjuicio de lo anterior, para probar la condición de cada una de las mujeres que participan en la sociedad, aporto los documentos de cada una de ellas, de acuerdo con los incisos 1 y 2 del subnumeral 2 del numeral 4.8 del Documento Base.
En constancia, se firma en ______________, a los ____ días del mes de _____ del 20__
[Nombre y firma del representante legal de la persona jurídica o el revisor fiscal, según corresponda]
FORMATO 10B – VINCULACIÓN DE PERSONAS EN CONDICIÓN DE DISCAPACIDAD
[Tratándose de Proponentes Plurales, este formato lo presentará el integrante o los integrantes que tengan una participación de por lo menos el veinticinco por ciento (25 %) en el Consorcio o en la Unión Temporal y aporten mínimo el veinticinco por ciento (25 %) de la experiencia acreditada en la oferta]
Señores
[NOMBRE DE LA ENTIDAD]
[Ciudad]
REFERENCIA: Proceso de Contratación [Incluir número del Proceso de Contratación]
Objeto:
[Incluir cuando el Proceso de Contratación sea estructurado por lotes o grupos] Lote: [Indicar el lote o lotes a los cuales se presenta oferta.]
Estimados señores:
[Incluir el nombre de la persona natural, el representante legal de la persona jurídica o el revisor fiscal, según corresponda] identificado con [Incluir el número de identificación], en mi condición de [Indicar si actúa como, persona natural (nombre propio), representante legal o revisor fiscal] de [Incluir la razón social de la persona jurídica (si aplica)] [identificada con el NIT (si aplica) __________], certifico que tengo vinculado en la planta de personal un mínimo del diez por ciento (10 %) de empleados en las condiciones de discapacidad enunciadas en la Ley 361 de 1997, contratados [con una anterioridad no inferior a un año o desde la constitución de la sociedad -si aplica- (para sociedades con menos de un año de constitución)], para lo cual adjunto el certificado expedido por el Ministerio del Trabajo.
Para acreditar el tiempo de vinculación de que tratan los incisos 1 y 3 subnumeral 3 del numeral 4.8 del Documento Base, allego el certificado de aportes al Sistema de Seguridad Social del último año, en el que se demuestran los pagos realizados por el empleador.
De igual manera me comprometo en caso de resultar adjudicatario del Proceso de Contratación, a mantener vinculados a los empleados en condiciones de discapacidad por un lapso igual al del plazo de ejecución del contrato.
En constancia, se firma en ______________, a los ____ días del mes de _____ del 20__.
[Nombre y firma de la persona natural]
[Nombre y firma del representante legal de la persona jurídica o el revisor fiscal, según corresponda]
FORMATO 10C – VINCULACIÓN DE PERSONAS NO BENEFICIARIAS DE LA PENSIÓN DE VEJEZ, FAMILIAR O SOBREVIVENCIA (EMPLEADOR – PROPONENTE)
[Este formato lo diligencia la persona natural, el representante legal o el revisor fiscal de la persona jurídica que tenga dentro de su personal trabajadores mayores de edad vinculados en la planta de personal que no sean beneficiarios de la pensión de vejez, familiar o de sobrevivencia y que hayan cumplido la edad de pensión. En el caso de los Proponentes plurales, este formato lo diligenciará el representante del Proponente plural en el cual certificará la totalidad de los trabajadores vinculados en la planta de personal de cada uno de los integrantes y la totalidad de personas mayores de edad vinculados de cada uno de sus integrantes, en las condiciones aquí exigidas en cuanto a no ser beneficiarios de la pensión de vejez, familiar o de sobrevivencia.]
Señores
[NOMBRE DE LA ENTIDAD]
[Ciudad]
REFERENCIA: Proceso de Contratación [Incluir número del Proceso de Contratación]
Objeto:
[Incluir cuando el Proceso de Contratación sea estructurado por lotes o grupos] Lote: [Indicar el lote o lotes a los cuales se presenta oferta.]
Estimados señores:
[Incluir el nombre de la persona natural, el representante legal de la persona jurídica o el revisor fiscal, según corresponda, o el representante del Proponente plural] identificado con [Incluir el número de identificación], en mi condición de [Indicar si actúa como persona natural (nombre propio) representante legal o revisor fiscal o representante del Proponente plural] de [Incluir la razón social de la persona jurídica (si aplica)] [identificada con el NIT (si aplica) __________], certifico que el número total de trabajadores personas mayores de edad vinculados en la planta del personal que no son beneficiarios de la pensión de vejez, familiar o de sobrevivencia y que hayan cumplido el requisito de edad de pensión establecido en la ley es el que se relaciona a continuación:
| Número total de trabajadores vinculados a la planta de personal | Número de personas mayores no beneficiarias a la pensión de vejez, familiar o de sobrevivencia y que hayan cumplido el requisito de pensión |
[Incluir el siguiente cuadro para los Proponentes Plurales]
| Número total de trabajadores vinculados a la planta de personal de los integrantes del Proponente Plural | Número de personas mayores, no beneficiarias a la pensión de vejez, familiar o de sobrevivencia y que hayan cumplido el requisito de pensión de los integrantes del Proponente Plural |
[El Proponente persona natural o jurídica incorporará una de las siguientes dos (2) opciones para manifestar el tiempo de vinculación de las personas anteriormente descritas, que cumplen las condiciones definidas en el numeral 4 del artículo 35 de la Ley 2069 de 2020].
[Opción 1. Esta opción la incorporará el Proponente persona natural o el Proponente persona jurídica cuya constitución sea igual o mayor a un (1) año]
Asimismo, manifiesto que las personas mayores no beneficiarias de la pensión de vejez, familiar o de sobrevivencia y que han cumplido el requisito de edad de pensión, han estado vinculadas a la planta de personal con una anterioridad igual o mayor a un (1) año contado a partir de la fecha del cierre del Proceso de Contratación.
Para acreditar el tiempo de vinculación en la planta referida de que trata el inciso anterior, allego el certificado de aportes al Sistema de Seguridad Social del último año, en el que se demuestran los pagos realizados por el empleador.
[Opción 2. Esta opción la incorporará el Proponente persona jurídica cuya constitución sea inferior a un (1) año]
Asimismo, manifiesto que las personas mayores no beneficiarias de la pensión de vejez, familiar o de sobrevivencia y que han cumplido el requisito de edad de pensión, han estado vinculadas a la planta de personal desde el momento de la constitución de la persona jurídica.
Para acreditar el tiempo de vinculación en la planta referida de que trata el inciso anterior, allego el certificado de aportes al Sistema de Seguridad Social del tiempo de constitución de la persona jurídica, en el que se demuestre los pagos realizados por el empleador.
En constancia, se firma en ______________, a los ____ días del mes de _____ del 20__.
[Nombre y firma de la persona natural]
[Nombre y firma del representante legal de la persona jurídica o el revisor fiscal, según corresponda, o el representante del Proponente Plural]
FORMATO 10C – VINCULACIÓN DE PERSONAS NO BENEFICIARIAS DE LA PENSIÓN DE VEJEZ, FAMILIAR O SOBREVIVENCIA (TRABAJADOR)
[Este formato lo diligencia el trabajador vinculado en la planta de personal del Proponente que presenta la oferta, que no sea beneficiario de la pensión de vejez, familiar o de sobrevivencia y que haya cumplido la edad de pensión]
Señores
[NOMBRE DE LA ENTIDAD]
[Ciudad]
REFERENCIA: Proceso de Contratación [Incluir número del Proceso de Contratación]
Objeto:
[Incluir cuando el Proceso de Contratación sea estructurado por lotes o grupos] Lote: [Indicar el lote o lotes a los cuales se presenta oferta.]
Estimados señores:
[Incluir el nombre del trabajador vinculado en la planta de personal de la persona natural o de la persona jurídica] identificado con [Incluir el número de identificación], en mi condición de trabajador vinculado a [Indicar el nombre de la persona jurídica o persona natural], [identificada con NIT o CC __________], certifico bajo la gravedad del juramento que no soy beneficiario de la pensión de vejez, familiar o de sobrevivencia y ya cumplí la edad de pensión.
Asimismo, manifiesto me encuentro vinculado en la planta de personal [indicar si se trata de la persona natural o de la persona jurídica o del integrante del proponente plural] con una anterioridad [Indicar si el tiempo de vinculación es igual o mayor a un (1) año contado a partir de la fecha del cierre del Proceso de Contratación o desde el momento de la constitución de la persona jurídica en los casos que esta tenga menos de (1) año de constitución].
Adjunto a esta certificación aporto mi documento de identificación, de acuerdo con el inciso 4 del subnumeral 4 del numeral 4.8. del Documento Base.
En constancia, se firma en ______________, a los ____ días del mes de _____ del 20__.
________________________________________
[Nombre y firma del trabajador vinculado a la persona natural o jurídica]
FORMATO 10D – VINCULACIÓN DE POBLACIÓN INDÍGENA, NEGRA, AFROCOLOMBIANA, RAIZAL, PALENQUERA, RROM O GITANA
[La información de este formato contiene datos sensibles los cuales están sujetos a reserva legal y por tanto no podrán publicarse en el SECOP I y II para su conocimiento]
Señores
[NOMBRE DE LA ENTIDAD]
[Ciudad]
REFERENCIA: Proceso de Contratación [Incluir número del Proceso de Contratación]
Objeto:
[Incluir cuando el Proceso de Contratación sea estructurado por lotes o grupos] Lote: [Indicar el lote o lotes a los cuales se presenta oferta.]
Estimados señores:
[Incluir el nombre del Proponente persona natural o del representante legal de la persona jurídica o el revisor fiscal, según corresponda, o el representante del Proponente plural] identificado con [Incluir el número de identificación], en mi condición de [Indicar si actúa como persona natural (nombre propio), representante legal o revisor fiscal] de [Incluir la razón social de la persona jurídica (si aplica)], [identificada con el NIT (si aplica) __________], certifico bajo la gravedad del juramento que:
i) El número total de trabajadores vinculados a la nómina corresponden a [Diligenciar el número de trabajadores vinculados a la nómina]
ii) En la nómina están vinculadas las siguientes personas: [Indicar a continuación el nombre y número de cédula de las personas que se encuentran vinculadas al Proponente o integrante de la estructura plural según corresponda y respecto de las cuales se aportan las pruebas correspondientes, para acreditar la pertenencia a población indígena, negra, afrocolombiana, raizal, palanquera, Rrom o gitana]
| Nombre completo | Numero de identificacion |
iii) Así mismo declaramos que las personas señaladas anteriormente se encuentran vinculadas con una antigüedad igual o mayor a un año contado a partir de la fecha del cierre del presente Proceso de Contratación. [Para los casos de personas jurídicas constituidas con menos de un año, se tendrá que indicar que las personas señaladas se encuentran vinculadas desde el momento de constitución de esta].
Sin perjuicio de lo anterior, para probar la pertenencia a la población indígena, negra, afrocolombiana, raizal, palanquera, Rrom o gitanas, aporto la certificación expedida por el Ministerio del Interior, de acuerdo con los incisos 3 y 4 del subnumeral 5 del numeral 4.8 del Documento Base.
En constancia, se firma en ______________, a los ____ días del mes de _____ del 20__
_______________________________
[Nombre y firma de la persona natural]
_______________________________
Nombre y firma del representante legal de la persona jurídica o el revisor fiscal, según corresponda, o el representante del Proponente Plural]
FORMATO 10 E – PARTICIPACIÓN MAYORITARIA DE PERSONAS EN PROCESO DE REINCORPORACIÓN Y/O REINTEGRACIÓN (PERSONAS JURÍDICAS)
Este formato se diligencia por el representante legal o el revisor fiscal, si están obligados a tenerlo, de la persona jurídica en el que mayoritariamente participan personas en proceso de reintegración o reincorporación. En el evento que la oferta la presente una entidad privada sin ánimo de lucro, ya sea fundación, corporación o asociación se ajustará el formato en lo pertinente. La información de este formato contiene datos sensibles los cuales están sujetos a reserva legal y, por tanto, no podrán publicarse en el SECOP I y II para su conocimiento]
Señores
[NOMBRE DE LA ENTIDAD]
[Ciudad]
REFERENCIA: Proceso de Contratación [Incluir número del Proceso de Contratación]
Objeto:
[Incluir cuando el Proceso de Contratación sea estructurado por lotes o grupos] Lote: [Indicar el lote o lotes a los cuales se presenta oferta.]
Estimados señores:
[Incluir el nombre del representante legal de la persona jurídica y el revisor fiscal, si están obligados a tenerlo] identificado con [Incluir el número de identificación], en mi condición de [Indicar si actúa como representante legal o revisor fiscal o ambos] de [Incluir la razón social de la persona jurídica], [identificada con el NIT __________], certifico bajo gravedad del juramento que más del cincuenta por ciento (50 %) de la composición accionaria o cuota parte de la persona jurídica está constituida por personas en proceso reincorporación y/o reintegración. Esta información está soportada de acuerdo con los respectivos certificados de la Oficina del Alto Comisionado para la Paz, del Comité Operativo para la Dejación de Armas, de la Agencia para la Reintegración y la Normalización y el documento de identificación de cada una de dichas personas.
En el siguiente cuadro señalo las personas en proceso de reincorporación o reintegración que participan mayoritariamente en la persona jurídica, junto con su respectivo porcentaje de participación:
| Identificación de las personas en proceso de reincorporación o reintegración (Incluir nombre y documento de identidad) | Número de cuotas sociales, acciones que poseen o el alcance o condición de su participación en el caso de las personas jurídicas sin ánimo de lucro |
Adjunto a esta certificación aporto los documentos de identificación de las personas en proceso de reincorporación o reintegración, de acuerdo con los incisos 1 y 2 del subnumeral 6 del numeral 4.8. del Documento Base.
En constancia, se firma en ______________, a los ____ días del mes de _____ del 20__.
________________________________________
[Nombre y firma del representante legal de la persona jurídica o revisor fiscal]
FORMATO 10E – PARTICIPACIÓN MAYORITARIA DE PERSONAS EN PROCESO DE REINCORPORACIÓN (PERSONA JURÍDICA INTEGRANTE DEL PROPONENTE PLURAL)
[Este formato se diligencia por el representante legal o el revisor fiscal, si están obligados a tenerlo, de la persona jurídica del Proponente plural en el que mayoritariamente participan personas en proceso de reincorporación. En el evento que la oferta la presente una entidad privada sin ánimo de lucro, ya sea fundación, corporación o asociación se ajustará el formato en lo pertinente. La información de este formato contiene datos sensibles los cuales están sujetos a reserva legal y, por tanto, no se podrán publicar en el SECOP I y II para su conocimiento]
Señores
[NOMBRE DE LA ENTIDAD]
[Ciudad]
REFERENCIA: Proceso de Contratación [Incluir número del Proceso de Contratación]
Objeto:
[Incluir cuando el Proceso de Contratación sea estructurado por lotes o grupos] Lote: [Indicar el lote o lotes a los cuales se presenta oferta.]
Estimados señores:
[Incluir el nombre del representante legal de la persona jurídica o el revisor fiscal, si están obligados a tenerlo] identificado con [Incluir el número de identificación], en mi condición de [Indicar si actúa como representante legal o revisor fiscal o ambos] de [Incluir la razón social de la persona jurídica], [identificada con el NIT __________], certifico bajo gravedad del juramento que más del cincuenta por ciento (50 %) de la composición accionaria o cuota parte de la persona jurídica está constituida por personas en proceso de reincorporación. Esta información está soportada de acuerdo con los respectivos certificados de la Oficina del Alto Comisionado para la Paz, del Comité Operativo para la Dejación de Armas, de la Agencia para la Reincorporación y la Normalización y el documento de identificación de cada una de dichas personas.
En el siguiente cuadro señalo las personas en proceso de reincorporación que participan mayoritariamente en la persona jurídica, junto con su respectivo porcentaje de participación:
| Identificación de las personas en proceso de reincorporación (Incluir nombre y documento de identidad) | Número de cuotas sociales, acciones que poseen o el alcance o condición de su participación en el caso de las personas jurídicas sin ánimo de lucro |
Adjunto a esta certificación aporto los documentos de identificación de las personas en proceso de reincorporación o reintegración, de acuerdo con el inciso 3 del subnumeral 6 del numeral 4.8. del Documento Base.
En constancia, se firma en ______________, a los ____ días del mes de _____ del 20__.
[Nombre y firma del representante legal de la persona jurídica o revisor fiscal]
FORMATO 10F – PARTICIPACIÓN MAYORITARIA DE MUJERES CABEZA DE FAMILIA Y/O PERSONAS EN PROCESO DE REINCORPORACIÓN Y/O REINTEGRACIÓN (PERSONAS JURÍDICAS)
[Este formato se diligencia por el representante legal o el revisor fiscal, según corresponda, del integrante del Proponente Plural (persona jurídica) en el que mayoritariamente participen madres cabeza de familia y/o personas en proceso de reintegración o reincorporación. Este formato lo podrá presentar el integrante o los integrantes que, cumpliendo la condición anterior, tengan una participación de por lo menos el veinticinco por ciento (25 %) en el Consorcio o en la Unión Temporal y aporten mínimo el veinticinco por ciento (25 %) de la experiencia acreditada en la oferta.
En el evento que la oferta la presente una entidad privada sin ánimo de lucro, ya sea fundación, corporación o asociación se ajustará el formato en lo pertinente.
En el evento en el que participen personas en proceso de reintegración o reincorporación, teniendo en cuenta que la información de este formato contiene datos sensibles la cual está sujeta a reserva legal, no se podrá publicar en el SECOP I y II para su conocimiento]
Señores
[NOMBRE DE LA ENTIDAD]
[Ciudad]
REFERENCIA: Proceso de Contratación [Incluir número del Proceso de Contratación]
Objeto:
[Incluir cuando el Proceso de Contratación sea estructurado por lotes o grupos] Lote: [Indicar el lote o lotes a los cuales se presenta oferta.]
Estimados señores:
[Incluir el nombre del representante legal de la persona jurídica o del revisor fiscal, según corresponda] identificado con [Incluir el número de identificación], en mi condición de [Indicar si actúa como representante legal o revisor fiscal] de [Incluir la razón social de la persona jurídica], [identificada con el NIT __________], certifico bajo la gravedad del juramento que más del cincuenta por ciento (50 %) de la composición accionaria o cuota parte de la persona jurídica del Proponente Plural está constituida por madres cabeza de familia y/o personas en proceso de reintegración o reincorporación.
En el siguiente cuadro señalo las madres cabeza de familia y/o personas en proceso de reincorporación o reintegración que participan mayoritariamente en la persona jurídica, junto con su respectivo porcentaje de participación:
| Identificación de las madres cabeza de familia o personas en proceso de reincorporación o reintegración (Incluir nombre y documento de identidad) | Número de cuotas sociales, acciones que poseen o el alcance o condición de su participación en el caso de las personas jurídicas sin ánimo de lucro |
De igual manera acredito que la condición de madre cabeza de familia y/o una persona en proceso de reincorporación o reintegración, se soporta de acuerdo con lo previsto en el inciso 1 del subnumeral 2 y/o el inciso 1 del subnumeral 6 del numeral 4.8 del Documento Base, para lo cual adjunto los documentos correspondientes.
[Para la acreditación de desempate establecida en el literal (c) del subnumeral 7 del numeral 4.8 del Documento Tipo incluir la siguiente redacción:]
Adicionalmente, los abajo firmantes, certificamos que ni la madre cabeza de familia o la persona en proceso de reincorporación o reintegración, ni la persona jurídica, ni sus accionistas, socios o representantes legales son empleados, socios o accionistas de los miembros del Proponente Plural.
En constancia, se firma en ______________, a los ____ días del mes de _____ del 20__.
________________________________________
[Nombre y firma del representante legal de la persona jurídica o revisor fiscal]
FORMATO 10G – PAGOS REALIZADOS A MIPYMES, COOPERATIVAS O ASOCIACIONES MUTUALES
Señores
[NOMBRE DE LA ENTIDAD]
[Ciudad]
REFERENCIA: Proceso de Contratación [Incluir número del Proceso de Contratación]
Objeto:
[Incluir cuando el Proceso de Contratación sea estructurado por lotes o grupos] Lote: [Indicar el lote o lotes a los cuales se presenta oferta.]
Estimados señores:
[Incluir el nombre del Proponente persona natural y contador público, o el representante legal y revisor fiscal para las empresas obligadas por ley, o del representante legal y contador público, según corresponda] identificados con [Incluir el número de identificación], en nuestra condición de [Indicar si actúa como persona natural (nombre propio), representante legal o revisor fiscal] de [Incluir la razón social de la persona jurídica (si aplica)], [identificada con el NIT (si aplica) __________], declaramos bajo la gravedad del juramento que de acuerdo con nuestros estados financieros o información contable con corte al 31 de diciembre del año anterior, por lo menos el veinticinco por ciento (25 %) del total de pagos fueron realizados a Mipyme, cooperativas o asociaciones mutuales por concepto de proveeduría del oferente, realizados durante el año anterior.
En constancia, se firma en ______________, a los ____ días del mes de _____ del 20__.
[En el evento que sea un Proponente persona natural quien presente la oferta, incluir las firmas de la siguiente manera:]
_________________________ _________________________
[Nombre y firma del Proponente o integrante persona natural y contador público]
[En el evento que sea un Proponente persona jurídica quien presente la oferta, incluir las firmas de la siguiente manera:]
_________________________ _________________________
[Nombre y firma del representante legal y revisor fiscal para las empresas obligadas por ley o del representante legal y contador público,
FORMATO 10H – ACREDITACIÓN MIPYME
Señores
[NOMBRE DE LA ENTIDAD]
[Ciudad]
REFERENCIA: Proceso de Contratación [Incluir número del Proceso de Contratación]
Objeto:
[Incluir cuando el Proceso de Contratación sea estructurado por lotes o grupos] Lote: [Indicar el lote o lotes a los cuales se presenta oferta.]
Estimados señores:
[Incluir el nombre o integrante persona natural y contador público o del representante legal de la persona jurídica y el revisor fiscal para las personas obligadas por ley o del representante legal y contador público, según corresponda,] identificados con [Incluir el número de identificación], actuando en representación de [Indicar nombre del Proponente, o integrante de Proponente Plural] declaramos bajo la gravedad del juramento que la [indicar si es empresa o sociedad] se encuentra clasificada como: [Indicar si es micro, pequeña y mediana empresa] de acuerdo con los criterios definidos por las normas legales vigentes.
Adicionalmente, los abajo firmantes certificamos que ni la Mipyme, cooperativa o asociación mutual ni sus accionistas, socios o representantes legales son empleados, socios o accionistas de los miembros del Proponente Plural.
En constancia, se firma en ______________, a los ____ días del mes de _____ del 20__.
[En el evento que sea un Proponente persona natural quien presente la oferta, incluir las firmas de la siguiente manera:]
__________________________________________________
[Nombre y firma del Proponente o integrante persona natural y contador público]
[En el evento que sea un Proponente persona jurídica quien presente la oferta, incluir las firmas de la siguiente manera:]
_________________________ _________________________
[Nombre y firma del representante legal y revisor fiscal para las empresas obligadas por ley o del representante legal y contador público, según corresponda]
| codigo | CCE-EICP-FM-83 | Versión | 2 |
FORMATO 10 – FACTORES DE DESEMPATE
LICITACIÓN DE OBRA PÚBLICA DE INFRAESTRUCTURA DE AGUA POTABLE Y SANEAMIENTO BÁSICO EN LA MODALIDAD DE LLAVE EN MANO
| Código | CCE-EICP-FM-85 | Página | 1 de 14 |
| Versión No. | 2 | ||
FORMATO 10A – PARTICIPACIÓN MAYORITARIA DE MUJERES CABEZA DE FAMILIA Y/O MUJERES VÍCTIMA DE VIOLENCIA INTRAFAMILIAR (PERSONA JURÍDICA)
[Este formato se diligencia por el representante legal o el revisor fiscal, según corresponda, de la persona jurídica en el que mayoritariamente participen mujeres cabeza de familia y/o mujeres víctima de violencia intrafamiliar. En el evento que la oferta la presente una entidad privada sin ánimo de lucro, ya sea fundación, corporación o asociación se ajustará el formato en lo pertinente. La información aquí vertida contiene datos sensibles los cuales están sujetos a reserva legal y, por tanto, no podrán publicarse en el SECOP I y II para su conocimiento]
Señores
[NOMBRE DE LA ENTIDAD]
[Ciudad]
REFERENCIA: Proceso de Contratación [Incluir número del Proceso de Contratación]
Objeto:
[Incluir cuando el Proceso de Contratación sea estructurado por lotes o grupos] Lote: [Indicar el lote o lotes a los cuales se presenta oferta.]
Estimados señores:
[Incluir el nombre del representante legal de la persona jurídica o del revisor fiscal, según corresponda] identificado con [Incluir el número de identificación], en mi condición de [Indicar si actúa como representante legal o revisor fiscal] de [Incluir la razón social de la persona jurídica] identificada con el NIT [Incluir el NIT], certifico bajo la gravedad del juramento que más del cincuenta por ciento (50 %) de la composición accionaria o cuota parte de la persona jurídica está constituida por mujeres cabeza de familia y/o mujeres víctima de violencia intrafamiliar. Esta información está soportada de acuerdo con los libros de comercio de la sociedad, los cuales gozan de reserva legal en los términos del artículo 61 del Código de Comercio.
En el siguiente cuadro señalo las mujeres cabeza de familia y/o mujeres víctima de violencia intrafamiliar que participan mayoritariamente en la persona jurídica, junto con su respectivo porcentaje de participación:
| Identificación de las mujeres cabeza de familia y/o mujeres víctima de violencia intrafamiliar que participan en la persona jurídica (Incluir nombre y documento de identidad) | Número de cuotas sociales, acciones que poseen o el alcance o condición de su participación en el caso de las personas jurídicas sin ánimo de lucro |
Sin perjuicio de lo anterior, para probar la condición de cada una de las mujeres que participan en la sociedad, aporto los documentos de cada una de ellas, de acuerdo con los incisos 1, 2 y 3 del subnumeral 2 del numeral 4.8 del Documento Base.
En constancia, se firma en ______________, a los ____ días del mes de _____ del 20__
___________________________________________
[Nombre y firma del representante legal de la persona jurídica o el revisor fiscal, según corresponda]
FORMATO 10B – VINCULACIÓN DE PERSONAS EN CONDICIÓN DE DISCAPACIDAD
[Tratándose de Proponentes Plurales, este formato lo presentará el integrante o los integrantes que tengan una participación de por lo menos el veinticinco por ciento (25 %) en el Consorcio o en la Unión Temporal y aporten mínimo el veinticinco por ciento (25 %) de la experiencia acreditada en la oferta]
Señores
[NOMBRE DE LA ENTIDAD]
[Ciudad]
REFERENCIA: Proceso de Contratación [Incluir número del Proceso de Contratación]
Objeto:
[Incluir cuando el Proceso de Contratación sea estructurado por lotes o grupos] Lote: [Indicar el lote o lotes a los cuales se presenta oferta.]
Estimados señores:
[Incluir el nombre de la persona natural, el representante legal de la persona jurídica o el revisor fiscal, según corresponda] identificado con [Incluir el número de identificación], en mi condición de [Indicar si actúa como, persona natural (nombre propio), representante legal o revisor fiscal] de [Incluir la razón social de la persona jurídica (si aplica)] [identificada con el NIT (si aplica) __________], certifico que tengo vinculado en la planta de personal un mínimo del diez por ciento (10 %) de empleados en las condiciones de discapacidad enunciadas en la Ley 361 de 1997, contratados [con una anterioridad no inferior a un año o desde la constitución de la sociedad -si aplica- (para sociedades con menos de un año de constitución)], para lo cual adjunto el certificado expedido por el Ministerio del Trabajo.
Para acreditar el tiempo de vinculación de que tratan los incisos 1 y 3 subnumeral 3 del numeral 4.8 del Documento Base, allego el certificado de aportes al Sistema de Seguridad Social del último año, en el que se demuestran los pagos realizados por el empleador.
De igual manera me comprometo en caso de resultar adjudicatario del Proceso de Contratación, a mantener vinculados a los empleados en condiciones de discapacidad por un lapso igual al del plazo de ejecución del contrato.
En constancia, se firma en ______________, a los ____ días del mes de _____ del 20__.
[Nombre y firma de la persona natural]
[Nombre y firma del representante legal de la persona jurídica o el revisor fiscal, según corresponda]
FORMATO 10C – VINCULACIÓN DE PERSONAS NO BENEFICIARIAS DE LA PENSIÓN DE VEJEZ, FAMILIAR O SOBREVIVENCIA (EMPLEADOR – PROPONENTE)
[Este formato lo diligencia la persona natural, el representante legal o el revisor fiscal de la persona jurídica que tenga dentro de su personal trabajadores mayores de edad vinculados en la planta de personal que no sean beneficiarios de la pensión de vejez, familiar o de sobrevivencia y que hayan cumplido la edad de pensión. En el caso de los Proponentes Plurales, este formato lo diligenciará el representante del Proponente Plural en el cual certificará la totalidad de los trabajadores vinculados en la planta de personal de cada uno de los integrantes y la totalidad de personas mayores de edad vinculados de cada uno de sus integrantes, en las condiciones aquí exigidas en cuanto a no ser beneficiarios de la pensión de vejez, familiar o de sobrevivencia.]
Señores
[NOMBRE DE LA ENTIDAD]
[Ciudad]
REFERENCIA: Proceso de Contratación [Incluir número del Proceso de Contratación]
Objeto:
[Incluir cuando el Proceso de Contratación sea estructurado por lotes o grupos] Lote: [Indicar el lote o lotes a los cuales se presenta oferta.]
Estimados señores:
[Incluir el nombre de la persona natural, el representante legal de la persona jurídica o el revisor fiscal, según corresponda, o el representante del Proponente Plural] identificado con [Incluir el número de identificación], en mi condición de [Indicar si actúa como persona natural (nombre propio) representante legal o revisor fiscal o representante del Proponente Plural] de [Incluir la razón social de la persona jurídica (si aplica)] [identificada con el NIT (si aplica) __________], certifico que el número total de trabajadores personas mayores de edad vinculados en la planta del personal que no son beneficiarios de la pensión de vejez, familiar o de sobrevivencia y que hayan cumplido el requisito de edad de pensión establecido en la ley es el que se relaciona a continuación:
| Número total de trabajadores vinculados a la planta de personal | Número de personas mayores no beneficiarias a la pensión de vejez, familiar o de sobrevivencia y que hayan cumplido el requisito de pensión |
[Incluir el siguiente cuadro para los Proponentes Plurales]
| Número total de trabajadores vinculados a la planta de personal de los integrantes del Proponente Plural | Número de personas mayores, no beneficiarias a la pensión de vejez, familiar o de sobrevivencia y que hayan cumplido el requisito de pensión de los integrantes del Proponente Plural |
[El Proponente persona natural o jurídica incorporará una de las siguientes dos (2) opciones para manifestar el tiempo de vinculación de las personas anteriormente descritas, que cumplen las condiciones definidas en el numeral 4 del artículo 35 de la Ley 2069 de 2020].
[Opción 1. Esta opción la incorporará el Proponente persona natural o el Proponente persona jurídica cuya constitución sea igual o mayor a un (1) año]
Asimismo, manifiesto que las personas mayores no beneficiarias de la pensión de vejez, familiar o de sobrevivencia y que han cumplido el requisito de edad de pensión, han estado vinculadas a la planta de personal con una anterioridad igual o mayor a un (1) año contado a partir de la fecha del cierre del Proceso de Contratación.
Para acreditar el tiempo de vinculación en la planta referida de que trata el inciso anterior, allego el certificado de aportes al Sistema de Seguridad Social del último año, en el que se demuestran los pagos realizados por el empleador.
[Opción 2. Esta opción la incorporará el Proponente persona jurídica cuya constitución sea inferior a un (1) año]
Asimismo, manifiesto que las personas mayores no beneficiarias de la pensión de vejez, familiar o de sobrevivencia y que han cumplido el requisito de edad de pensión, han estado vinculadas a la planta de personal desde el momento de la constitución de la persona jurídica.
Para acreditar el tiempo de vinculación en la planta referida de que trata el inciso anterior, allego el certificado de aportes al Sistema de Seguridad Social del tiempo de constitución de la persona jurídica, en el que se demuestre los pagos realizados por el empleador.
En constancia, se firma en ______________, a los ____ días del mes de _____ del 20__.
[Nombre y firma de la persona natural]
[Nombre y firma del representante legal de la persona jurídica o el revisor fiscal, según corresponda, o el representante del Proponente Plural]
FORMATO 10C – VINCULACIÓN DE PERSONAS NO BENEFICIARIAS DE LA PENSIÓN DE VEJEZ, FAMILIAR O SOBREVIVENCIA (TRABAJADOR)
[Este formato lo diligencia el trabajador vinculado en la planta de personal del Proponente que presenta la oferta, que no sea beneficiario de la pensión de vejez, familiar o de sobrevivencia y que haya cumplido la edad de pensión]
Señores
[NOMBRE DE LA ENTIDAD]
[Ciudad]
REFERENCIA: Proceso de Contratación [Incluir número del Proceso de Contratación]
Objeto:
[Incluir cuando el Proceso de Contratación sea estructurado por lotes o grupos] Lote: [Indicar el lote o lotes a los cuales se presenta oferta.]
Estimados señores:
[Incluir el nombre del trabajador vinculado en la planta de personal de la persona natural o de la persona jurídica] identificado con [Incluir el número de identificación], en mi condición de trabajador vinculado a [Indicar el nombre de la persona jurídica o persona natural], [identificada con NIT o CC __________], certifico bajo la gravedad del juramento que no soy beneficiario de la pensión de vejez, familiar o de sobrevivencia y ya cumplí la edad de pensión.
Asimismo, manifiesto me encuentro vinculado en la planta de personal [indicar si se trata de la persona natural o de la persona jurídica o del integrante del proponente plural] con una anterioridad [Indicar si el tiempo de vinculación es igual o mayor a un (1) año contado a partir de la fecha del cierre del Proceso de Contratación o desde el momento de la constitución de la persona jurídica en los casos que esta tenga menos de (1) año de constitución].
Adjunto a esta certificación aporto mi documento de identificación, de acuerdo con el inciso 4 del subnumeral 4 del numeral 4.8. del Documento Base.
En constancia, se firma en ______________, a los ____ días del mes de _____ del 20__.
[Nombre y firma del trabajador vinculado a la persona natural o jurídica]
FORMATO 10D – VINCULACIÓN DE POBLACIÓN INDÍGENA, NEGRA, AFROCOLOMBIANA, RAIZAL, PALENQUERA, RROM O GITANA
[La información de este formato contiene datos sensibles los cuales están sujetos a reserva legal y por tanto no podrán publicarse en el SECOP I y II para su conocimiento]
Señores
[NOMBRE DE LA ENTIDAD]
[Ciudad]
REFERENCIA: Proceso de Contratación [Incluir número del Proceso de Contratación]
Objeto:
[Incluir cuando el Proceso de Contratación sea estructurado por lotes o grupos] Lote: [Indicar el lote o lotes a los cuales se presenta oferta.]
Estimados señores:
[Incluir el nombre del Proponente persona natural o del representante legal de la persona jurídica o el revisor fiscal, según corresponda, o el representante del Proponente Plural] identificado con [Incluir el número de identificación], en mi condición de [Indicar si actúa como persona natural (nombre propio) representante legal o revisor fiscal] de [Incluir la razón social de la persona jurídica (si aplica)], [identificada con el NIT (si aplica) __________], certifico bajo la gravedad del juramento que:
i) El número total de trabajadores vinculados a la nómina corresponden a [Diligenciar el número de trabajadores vinculados a la nómina]
ii) En la nómina están vinculadas las siguientes personas: [Indicar a continuación el nombre y número de cédula de las personas que se encuentran vinculadas al Proponente o integrante de la estructura plural según corresponda y respecto de las cuales se aportan las pruebas correspondientes, para acreditar la pertenencia a población indígena, negra, afrocolombiana, raizal, palanquera, Rrom o gitana]
| Nombre completo | Numero de identificacion |
iii) Así mismo declaramos que las personas señaladas anteriormente se encuentran vinculadas con una antigüedad igual o mayor a un año contado a partir de la fecha del cierre del presente Proceso de Contratación. [Para los casos de personas jurídicas constituidas con menos de un año, se tendrá que indicar que las personas señaladas se encuentran vinculadas desde el momento de constitución de esta].
Sin perjuicio de lo anterior, para probar la pertenencia a la población indígena, negra, afrocolombiana, raizal, palanquera, Rrom o gitanas, aporto la certificación expedida por el Ministerio del Interior, de acuerdo con los incisos 3 y 4 del subnumeral 5 del numeral 4.8 del Documento Base.
En constancia, se firma en ______________, a los ____ días del mes de _____ del 20__
_______________________________
[Nombre y firma de la persona natural]
Nombre y firma del representante legal de la persona jurídica o el revisor fiscal, según corresponda, o el representante del Proponente Plural]
FORMATO 10 E – PARTICIPACIÓN MAYORITARIA DE PERSONAS EN PROCESO DE REINCORPORACIÓN Y/O REINTEGRACIÓN (PERSONAS JURÍDICAS)
Este formato se diligencia por el representante legal o el revisor fiscal, si están obligados a tenerlo, de la persona jurídica en el que mayoritariamente participan personas en proceso de reintegración o reincorporación. En el evento que la oferta la presente una entidad privada sin ánimo de lucro, ya sea fundación, corporación o asociación se ajustará el formato en lo pertinente. La información de este formato contiene datos sensibles los cuales están sujetos a reserva legal y, por tanto, no podrán publicarse en el SECOP I y II para su conocimiento]
Señores
[NOMBRE DE LA ENTIDAD]
[Ciudad]
REFERENCIA: Proceso de Contratación [Incluir número del Proceso de Contratación]
Objeto:
[Incluir cuando el Proceso de Contratación sea estructurado por lotes o grupos] Lote: [Indicar el lote o lotes a los cuales se presenta oferta.]
Estimados señores:
[Incluir el nombre del representante legal de la persona jurídica y el revisor fiscal, si están obligados a tenerlo] identificado con [Incluir el número de identificación], en mi condición de [Indicar si actúa como representante legal o revisor fiscal o ambos] de [Incluir la razón social de la persona jurídica], [identificada con el NIT __________], certifico bajo gravedad del juramento que más del cincuenta por ciento (50 %) de la composición accionaria o cuota parte de la persona jurídica está constituida por personas en proceso reincorporación y/o reintegración. Esta información está soportada de acuerdo con los respectivos certificados de la Oficina del Alto Comisionado para la Paz, del Comité Operativo para la Dejación de Armas, de la Agencia para la Reintegración y la Normalización y el documento de identificación de cada una de dichas personas.
En el siguiente cuadro señalo las personas en proceso de reincorporación o reintegración que participan mayoritariamente en la persona jurídica, junto con su respectivo porcentaje de participación:
| Identificación de las personas en proceso de reincorporación o reintegración (Incluir nombre y documento de identidad) | Número de cuotas sociales, acciones que poseen o el alcance o condición de su participación en el caso de las personas jurídicas sin ánimo de lucro |
Adjunto a esta certificación aporto los documentos de identificación de las personas en proceso de reincorporación o reintegración, de acuerdo con los incisos 1 y 2 del subnumeral 6 del numeral 4.8. del Documento Base.
En constancia, se firma en ______________, a los ____ días del mes de _____ del 20__.
[Nombre y firma del representante legal de la persona jurídica o revisor fiscal]
FORMATO 10 E – PARTICIPACIÓN MAYORITARIA DE PERSONAS EN PROCESO DE REINCORPORACIÓN (PERSONA JURÍDICA INTEGRANTE DEL PROPONENTE PLURAL)
[Este formato se diligencia por el representante legal o el revisor fiscal, si están obligados a tenerlo, de la persona jurídica del Proponente Plural en el que mayoritariamente participan personas en proceso de reincorporación. En el evento que la oferta la presente una entidad privada sin ánimo de lucro, ya sea fundación, corporación o asociación se ajustará el formato en lo pertinente. La información de este formato contiene datos sensibles los cuales están sujetos a reserva legal y, por tanto, no se podrán publicar en el SECOP I y II para su conocimiento]
Señores
[NOMBRE DE LA ENTIDAD]
[Ciudad]
REFERENCIA: Proceso de Contratación [Incluir número del Proceso de Contratación]
Objeto:
[Incluir cuando el Proceso de Contratación sea estructurado por lotes o grupos] Lote: [Indicar el lote o lotes a los cuales se presenta oferta.]
Estimados señores:
[Incluir el nombre del representante legal de la persona jurídica o el revisor fiscal, si están obligados a tenerlo] identificado con [Incluir el número de identificación], en mi condición de [Indicar si actúa como representante legal o revisor fiscal o ambos] de [Incluir la razón social de la persona jurídica], [identificada con el NIT __________], certifico bajo gravedad del juramento que más del cincuenta por ciento (50 %) de la composición accionaria o cuota parte de la persona jurídica está constituida por personas en proceso de reincorporación. Esta información está soportada de acuerdo con los respectivos certificados de la Oficina del Alto Comisionado para la Paz, del Comité Operativo para la Dejación de Armas, de la Agencia para la Reincorporación y la Normalización y el documento de identificación de cada una de dichas personas.
En el siguiente cuadro señalo las personas en proceso de reincorporación que participan mayoritariamente en la persona jurídica, junto con su respectivo porcentaje de participación:
| Identificación de las personas en proceso de reincorporación (Incluir nombre y documento de identidad) | Número de cuotas sociales, acciones que poseen o el alcance o condición de su participación en el caso de las personas jurídicas sin ánimo de lucro |
Adjunto a esta certificación aporto los documentos de identificación de las personas en proceso de reincorporación o reintegración, de acuerdo con el inciso 3 del subnumeral 6 del numeral 4.8. del Documento Base.
En constancia, se firma en ______________, a los ____ días del mes de _____ del 20__.
[Nombre y firma del representante legal de la persona jurídica o revisor fiscal]
FORMATO 10F – PARTICIPACIÓN MAYORITARIA DE MUJERES CABEZA DE FAMILIA Y/O PERSONAS EN PROCESO DE REINCORPORACIÓN Y/O REINTEGRACIÓN (PERSONAS JURÍDICAS)
[Este formato se diligencia por el representante legal o el revisor fiscal, según corresponda, del integrante del Proponente Plural (persona jurídica) en el que mayoritariamente participen madres cabeza de familia y/o personas en proceso de reintegración o reincorporación. Este formato lo podrá presentar el integrante o los integrantes que, cumpliendo la condición anterior, tengan una participación de por lo menos el veinticinco por ciento (25 %) en el Consorcio o en la Unión Temporal y aporten mínimo el veinticinco por ciento (25 %) de la experiencia acreditada en la oferta.
En el evento que la oferta la presente una entidad privada sin ánimo de lucro, ya sea, fundación, corporación o asociación se ajustará el formato en lo pertinente.
En el evento en el que participen personas en proceso de reintegración o reincorporación, teniendo en cuenta que la información de este formato contiene datos sensibles la cual está sujeta a reserva legal y, no se podrá publicar en el SECOP I y II para su conocimiento]
Señores
[NOMBRE DE LA ENTIDAD]
[Ciudad]
REFERENCIA: Proceso de Contratación [Incluir número del Proceso de Contratación]
Objeto:
[Incluir cuando el Proceso de Contratación sea estructurado por lotes o grupos] Lote: [Indicar el lote o lotes a los cuales se presenta oferta.]
Estimados señores:
[Incluir el nombre del representante legal de la persona jurídica o del revisor fiscal, según corresponda] identificado con [Incluir el número de identificación], en mi condición de [Indicar si actúa como representante legal o revisor fiscal] de [Incluir la razón social de la persona jurídica], [identificada con el NIT __________], certifico bajo la gravedad del juramento que más del cincuenta por ciento (50 %) de la composición accionaria o cuota parte de la persona jurídica del Proponente Plural está constituida por madres cabeza de familia y/o personas en proceso de reintegración o reincorporación.
En el siguiente cuadro señalo las madres cabeza de familia y/o personas en proceso de reincorporación o reintegración que participan mayoritariamente en la persona jurídica, junto con su respectivo porcentaje de participación:
| Identificación de las madres cabeza de familia o personas en proceso de reincorporación o reintegración (Incluir nombre y documento de identidad) | Número de cuotas sociales, acciones que poseen o el alcance o condición de su participación en el caso de las personas jurídicas sin ánimo de lucro |
De igual manera acredito que la condición de madre cabeza de familia y/o una persona en proceso de reincorporación o reintegración, se soporta de acuerdo con lo previsto en el inciso 1 del subnumeral 2 y/o el inciso 1 del subnumeral 6 del numeral 4.8 del Documento Base, para lo cual adjunto los documentos correspondientes.
[Para la acreditación de desempate establecida en el literal (c) del subnumeral 7 del numeral 4.8 del Documento Tipo incluir la siguiente redacción:]
Adicionalmente, los abajo firmantes, certificamos que ni la madre cabeza de familia o la persona en proceso de reincorporación o reintegración, ni la persona jurídica, ni sus accionistas, socios o representantes legales son empleados, socios o accionistas de los miembros del Proponente Plural.
En constancia, se firma en ______________, a los ____ días del mes de _____ del 20__.
________________________________________
[Nombre y firma del representante legal de la persona jurídica o revisor fiscal]
FORMATO 10 G – PAGOS REALIZADOS A MIPYMES, COOPERATIVAS O ASOCIACIONES MUTUALES
Señores
[NOMBRE DE LA ENTIDAD]
[Ciudad]
REFERENCIA: Proceso de Contratación [Incluir número del Proceso de Contratación]
Objeto:
[Incluir cuando el Proceso de Contratación sea estructurado por lotes o grupos] Lote: [Indicar el lote o lotes a los cuales se presenta oferta.]
Estimados señores:
[Incluir el nombre del Proponente persona natural y contador público, o el representante legal y revisor fiscal para las empresas obligadas por ley, o del representante legal y contador público, según corresponda] identificados con [Incluir el número de identificación], en nuestra condición de [Indicar si actúa como persona natural (nombre propio), representante legal o revisor fiscal] de [Incluir la razón social de la persona jurídica (si aplica)], [identificada con el NIT (si aplica) __________], declaramos bajo la gravedad del juramento que de acuerdo con nuestros estados financieros o información contable con corte al 31 de diciembre del año anterior, por lo menos el veinticinco por ciento (25 %) del total de pagos fueron realizados a Mipymes, cooperativas o asociaciones mutuales por concepto de proveeduría del oferente, realizados durante el año anterior.
En constancia, se firma en ______________, a los ____ días del mes de _____ del 20__.
[En el evento que sea un Proponente persona natural quien presente la oferta, incluir las firmas de la siguiente manera:]
_________________________ _________________________
[Nombre y firma del Proponente o integrante persona natural y contador público]
[En el evento que sea un Proponente persona jurídica quien presente la oferta, incluir las firmas de la siguiente manera:]
_________________________ _________________________
[Nombre y firma del representante legal y revisor fiscal para las empresas obligadas por ley o del representante legal y contador público, según corresponda]
FORMATO 10 H – ACREDITACIÓN MIPYME
Señores
[NOMBRE DE LA ENTIDAD]
[Ciudad]
REFERENCIA: Proceso de Contratación [Incluir número del Proceso de Contratación]
Objeto:
[Incluir cuando el Proceso de Contratación sea estructurado por lotes o grupos] Lote: [Indicar el lote o lotes a los cuales se presenta oferta.]
Estimados señores:
[Incluir el nombre o integrante persona natural y contador público o del representante legal de la persona jurídica y el revisor fiscal para las personas obligadas por ley o del representante legal y contador público, según corresponda,] identificados con [Incluir el número de identificación], actuando en representación de [Indicar nombre del Proponente, o integrante de Proponente Plural] declaramos bajo la gravedad del juramento que la [indicar si es empresa o sociedad] se encuentra clasificada como: [Indicar si es micro, pequeña y mediana empresa] de acuerdo con los criterios definidos por las normas legales vigentes.
Adicionalmente, los abajo firmantes certificamos que ni la Mipyme, cooperativa o asociación mutual ni sus accionistas, socios o representantes legales son empleados, socios o accionistas de los miembros del Proponente Plural.
En constancia, se firma en ______________, a los ____ días del mes de _____ del 20__.
[En el evento que sea un Proponente persona natural quien presente la oferta, incluir las firmas de la siguiente manera:]
__________________________________________________
[Nombre y firma del Proponente o integrante persona natural y contador público]
[En el evento que sea un Proponente persona jurídica quien presente la oferta, incluir las firmas de la siguiente manera:]
_________________________ _________________________
[Nombre y firma del representante legal y revisor fiscal para las empresas obligadas por ley o del representante legal y contador público, según corresponda]
| codigo | CCE-EICP-IM-85 | Versión | 2 |
FORMATO 11 – AUTORIZACIÓN PARA EL TRATAMIENTO DE DATOS PERSONALES
LICITACIÓN DE OBRA PÚBLICA DE INFRAESTRUCTURA DE AGUA POTABLE Y SANEAMIENTO BÁSICO
| Código | CCE-EICP-FM-84 | Página | 1 de 2 |
| Versión No. | 2 | ||
FORMATO 11 – AUTORIZACIÓN PARA EL TRATAMIENTO DE DATOS PERSONALES
[El presente Formato lo diligenciará toda persona (Proponente, socia o trabajador) que al momento de presentar su oferta contenga datos sensibles, para que la Entidad Estatal contratante garantice el tratamiento adecuado a estos datos]
Señores
[NOMBRE DE LA ENTIDAD]
[Dirección de la Entidad]
[Ciudad]
REFERENCIA: Proceso de Contratación [Incluir número del Proceso de Contratación]
Objeto:
[Incluir cuando el Proceso de Contratación sea estructurado por lotes o grupos] Lote: [Indicar el lote o lotes a los cuales se presenta oferta.]
Cumpliendo la Ley 1581 de 2012 “Por el cual se dictan disposiciones para la protección de datos personales” y conforme al Decreto 1377 de 2013, con la firma de este documento manifiesto que he sido informado por [Incluir el nombre de la Entidad] de lo siguiente:
1) La [Incluir el nombre de la Entidad Estatal] actuará como responsable del tratamiento de datos personales de los cuales soy titular y que, conjunta o separadamente podrá recolectar, almacenar y usarlos para hacer efectivo el factor de desempate previsto en el numeral 4.8, subnumerales 2, 5, 6 y 7 del Pliego de Condiciones, relacionados con la acreditación de ser víctima de violencia intrafamiliar, o persona perteneciente a la población indígena, negra, afrocolombiana raizal, palenquera, Rrom, o gitanas o persona en proceso de reintegración o reincorporación.
| Autoriza | ||
| Finalidad | SÍ | NO |
| Hacer efectivo el factor de desempate para la acreditación de una mujer víctima de violencia intrafamiliar, persona perteneciente a la población indígena, negra, afrocolombiana raizal, palenquera, Rrom, o gitanas, o persona en proceso de reintegración o reincorporación. | ||
2) Entiendo que son datos sensibles aquellos que afectan la intimidad del titular o cuyo uso indebido puede generar discriminación, tales como aquellos que revelen el origen racial o étnico, la orientación política, las convicciones religiosas o filosóficas, la pertenencia a sindicatos, organizaciones sociales, de derechos humanos o que promueva intereses de cualquier partido político o que garanticen los derechos y garantías de partidos políticos de oposición así como los datos relativos con la salud, la vida sexual y los datos biométricos.
3) Manifiesto que me informaron que los datos sensibles que se recolectarán serán utilizados para hacer efectivo el criterio de desempate previsto en el numeral 4.8, subnumerales 2, 5, 6 y 7 del Pliego de Condiciones, relacionados con la acreditación de ser víctima de violencia intrafamiliar, integrante de la población indígena, negra, afrocolombiana raizal, palenquera, Rrom, o gitanas, o persona en proceso de reintegración o reincorporación.
Derechos del titular
Sus derechos como titular de los datos son los previstos en la Constitución y en la Ley 1581 de 2012, especialmente los siguientes:
a) Acceder en forma gratuita a los datos proporcionados que hayan sido objeto de tratamiento.
b) Solicitar la actualización y rectificación de su información frente a los datos parciales, inexactos, incompletos.
c) Solicitar prueba de la autorización otorgada.
d) Presentar ante la Superintendencia de Industria y Comercio quejas por infracciones a lo dispuesto en la normatividad vigente.
e) Revocar la autorización y/o solicitar la supresión del dato, a menos que exista un deber legal o contractual que haga imperativo conservar la información.
f) Abstenerse de responder las preguntas sobre datos sensibles o sobre datos de las niñas y niños y adolescentes.
Estos derechos los podré ejercer mediante los canales o medios dispuestos por [Incluir nombre de la Entidad] para la atención al público, la línea de atención nacional [incluir número de atención de la Entidad], el correo electrónico [incluir el correo electrónico] y las oficinas de atención al cliente a nivel nacional, cuya información puedo consultar en [incluir página web de la Entidad], disponibles de [lunes a viernes de 8:00 am a 6:00 p.m.].
Por todo lo anterior, he otorgado mi consentimiento a [Incluir nombre de la Entidad] para que trate mi información personal de acuerdo con la Política de Tratamiento de Datos Personales dispuesta en [Incluir el link en donde se encuentra la Política de Tratamiento de Datos Personales] y que me dio a conocer antes de recolectarlos.
Manifiesto que la presente autorización me fue solicitada y puesta de presente antes de entregar mis datos y que la suscribo de forma libre y voluntaria una vez leída en su totalidad.
Nombre: [Incluir nombre del titular de la autorización datos sensibles para la autorización de datos]
Firma: [Incluir firma del titular]
Identificación: [Incluir número de identificación del titular de datos sensibles]
Fecha: [Fecha en que se puso de presente la autorización y entregó sus datos]
| codigo | CCE-EICP-IM-84 | Versión | 2 |
FORMATO 11 – AUTORIZACIÓN PARA EL TRATAMIENTO DE DATOS PERSONALES
LICITACIÓN DE OBRA PÚBLICA DE INFRAESTRUCTURA DE AGUA POTABLE Y SANEAMIENTO BÁSICO EN LA MODALIDAD DE LLAVE EN MANO
| Código | CCE-EICP-FM-86 | Página | 1 de 2 |
| Versión No. | 2 | ||
FORMATO 11 – AUTORIZACIÓN PARA EL TRATAMIENTO DE DATOS PERSONALES
[El presente Formato lo diligenciará toda persona (Proponente, socia o trabajador) que al momento de presentar su oferta contenga datos sensibles, para que la Entidad Estatal contratante garantice el tratamiento adecuado a estos datos]
Señores
[NOMBRE DE LA ENTIDAD]
[Dirección de la Entidad]
[Ciudad]
REFERENCIA: Proceso de Contratación [Incluir número del Proceso de Contratación]
Objeto:
[Incluir cuando el Proceso de Contratación sea estructurado por lotes o grupos] Lote: [Indicar el lote o lotes a los cuales se presenta oferta.]
Cumpliendo la Ley 1581 de 2012 “Por el cual se dictan disposiciones para la protección de datos personales” y conforme al Decreto 1377 de 2013, con la firma de este documento manifiesto que he sido informado por [Incluir el nombre de la Entidad] de lo siguiente:
1) La [Incluir el nombre de la Entidad Estatal] actuará como responsable del tratamiento de datos personales de los cuales soy titular y que, conjunta o separadamente podrá recolectar, almacenar y usarlos para hacer efectivo el factor de desempate previsto en el numeral 4.8, subnumerales 2, 5, 6 y 7 del Pliego de Condiciones, relacionados con la acreditación de ser víctima de violencia intrafamiliar, o reincorporación, o persona perteneciente a la población indígena, negra, afrocolombiana raizal, palenquera, Rrom, o gitanas o persona en proceso de reintegración
| Autoriza | ||
| Finalidad | SÍ | NO |
| Hacer efectivo el factor de desempate para la acreditación de una mujer víctima de violencia intrafamiliar, persona perteneciente a la población indígena, negra, afrocolombiana raizal, palenquera, Rrom, o gitanas, o persona en proceso de reintegración o reincorporación. | ||
2) Entiendo que son datos sensibles aquellos que afectan la intimidad del titular o cuyo uso indebido puede generar discriminación, tales como aquellos que revelen el origen racial o étnico, la orientación política, las convicciones religiosas o filosóficas, la pertenencia a sindicatos, organizaciones sociales, de derechos humanos o que promueva intereses de cualquier partido político o que garanticen los derechos y garantías de partidos políticos de oposición así como los datos relativos con la salud, la vida sexual y los datos biométricos.
3) Manifiesto que me informaron que los datos sensibles que se recolectarán serán utilizados para hacer efectivo el criterio de desempate previsto en el numeral 4.8, subnumerales 2, 5, 6 y 7 del Pliego de Condiciones, relacionados con la acreditación de ser víctima de violencia intrafamiliar, integrante de la población indígena, negra, afrocolombiana raizal, palenquera, Rrom, o gitanas, o persona en proceso de reintegración o reincorporación.
Derechos del titular
Sus derechos como titular de los datos son los previstos en la Constitución y en la Ley 1581 de 2012, especialmente los siguientes:
a) Acceder en forma gratuita a los datos proporcionados que hayan sido objeto de tratamiento.
b) Solicitar la actualización y rectificación de su información frente a los datos parciales, inexactos, incompletos.
c) Solicitar prueba de la autorización otorgada.
d) Presentar ante la Superintendencia de Industria y Comercio quejas por infracciones a lo dispuesto en la normatividad vigente.
e) Revocar la autorización y/o solicitar la supresión del dato, a menos que exista un deber legal o contractual que haga imperativo conservar la información.
f) Abstenerse de responder las preguntas sobre datos sensibles o sobre datos de las niñas y niños y adolescentes.
Estos derechos los podré ejercer mediante los canales o medios dispuestos por [Incluir nombre de la Entidad] para la atención al público, la línea de atención nacional [incluir número de atención de la Entidad], el correo electrónico [incluir el correo electrónico] y las oficinas de atención al cliente a nivel nacional, cuya información puedo consultar en [incluir página web de la Entidad], disponibles de [lunes a viernes de 8:00 am a 6:00 p.m.].
Por todo lo anterior, he otorgado mi consentimiento a [Incluir nombre de la Entidad] para que trate mi información personal de acuerdo con la Política de Tratamiento de Datos Personales dispuesta en [Incluir el link en donde se encuentra la Política de Tratamiento de Datos Personales] y que me dio a conocer antes de recolectarlos.
Manifiesto que la presente autorización me fue solicitada y puesta de presente antes de entregar mis datos y que la suscribo de forma libre y voluntaria una vez leída en su totalidad.
Nombre: [Incluir nombre del titular de la autorización datos sensibles para la autorización de datos]
Firma: [Incluir firma del titular]
Identificación: [Incluir número de identificación del titular de datos sensibles]
Fecha: [Fecha en que se puso de presente la autorización y entregó sus datos]
| codigo | CCE-EICP-FM-86 | Versión | 2 |
FORMATO 12 ACREDITACIÓN DE EMPRENDIMIENTO Y EMPRESA DE MUJERES
LICITACIÓN DE OBRA PÚBLICA DE INFRAESTRUCTURA DE AGUA POTABLE Y SANEAMIENTO BÁSICO
| Código | CCE-EICP-FM-131 | Página | 1 de 6 |
| Versión No. | 1 | ||
FORMATO 12A – ACREDITACIÓN DE EMPRENDIMIENTOS Y EMPRESAS DE MUJERES (PERSONA JURÍDICA)
[Este Formato debe diligenciarse por los Proponentes personas jurídicas o los integrantes que sean personas jurídicas del Proponente Plural cuyo porcentaje de participación sea al menos del diez por ciento (10 %) y acrediten la condición de emprendimientos y empresas de mujeres.]
Señores
[NOMBRE DE LA ENTIDAD]
[Ciudad]
REFERENCIA: Proceso de Contratación [Incluir número del Proceso de Contratación]
Objeto:
[Incluir cuando el Proceso de Contratación sea estructurado por lotes o grupos] Lote: [Indicar el lote o lotes a los cuales se presenta oferta.]
Estimados señores:
[Incluir el nombre del representante legal de la persona jurídica y del revisor fiscal, cuando este último exista de acuerdo con los requerimientos de ley, o el contador] identificados con [Incluir los números de identificación], en nuestra condición de representante legal [y revisor fiscal, en caso de estar obligado según los requerimientos de ley, o el contador] de [Incluir la razón social de la persona jurídica] identificada con el NIT [Incluir el NIT], en adelante el Proponente, acreditamos la condición de ser emprendimiento y empresa de mujer en los términos del artículo 2.2.1.2.4.2.14 del Decreto 1082 de 2015.
[El Proponente escogerá una de las siguientes dos (2) opciones para acreditar la condición de emprendimiento y empresa de mujer:]
[Opción 1. Incorporar si la participación accionaria de la persona jurídica en su mayoría son mujeres y los derechos de propiedad han pertenecido a éstas durante el último año.]
Manifestamos bajo la gravedad del juramento que más del cincuenta por ciento (50 %) de las acciones, partes de interés o cuotas de participación de la persona jurídica pertenecen a mujeres y los derechos de propiedad han pertenecido a estas durante al menos el último año anterior a la fecha de cierre del Proceso de Contratación. En el siguiente cuadro señalamos la identificación de las mujeres en la persona jurídica y la distribución de los derechos en la sociedad durante el último año:
| Nombre completo y número de identificación de la (s) mujeres (s) que tienen o tuvieron participación durante el último año en la persona jurídica | Número de acciones, partes de interés o cuotas de participación de la persona jurídica, o el alcance o condición de su participación en el caso de las personas jurídicas sin ánimo de lucro |
De igual manera, manifestamos bajo la gravedad del juramento que más del cincuenta por ciento (50 %) de las acciones, partes de interés o cuotas de participación de la persona jurídica ha pertenecido a mujeres, y dicha participación mayoritaria se ha mantenido a partir de: [Indicar la fecha (día/mes/año) desde que se cumple con dicha condición].
[Opción 2. Incorporar si por lo menos el cincuenta por ciento (50 %) de los empleos del nivel directivo de la persona jurídica son ejercidos por mujeres y estas han estado vinculadas laboralmente durante al menos el último año.]
En el siguiente cuadro señalamos de forma detallada la denominación de los cargos directivos que existen dentro de la persona jurídica, la identificación de las personas que ocuparon o ejercen los cargos del nivel directivo del Proponente y el tiempo de vinculación:
| Denominación del cargo directivo dentro de la empresa | Nombre completo y número de identificación de la (s) persona (s) que ocuparon / ejercen el cargo durante el último año en la persona jurídica | Tiempo de vinculación de la (s) persona(s) que ejerció / ejerce el cargo del nivel directivo |
| [Indique la denominación del cargo directivo, a modo de ejemplo: Gerente | [Indique el nombre completo y el número de identificación de las personas que ocuparon / ejercen el cargo en el último año] | [Indique el tiempo de vinculación de la persona que ejerció/ejerce el cargo en el nivel directivo] |
| general, director ejecutivo] | [Indique el nombre completo y el número de identificación de las personas que ocuparon / ejercen el cargo en el último año] | [Indique el tiempo de vinculación de la persona que ejerció/ejerce el cargo en el nivel directivo] |
| [Indique el nombre completo y el número de identificación de las personas que ocuparon / ejercen el cargo en el último año] | [Indique el tiempo de vinculación de la persona que ejerció/ejerce el cargo en el nivel directivo] | |
| [Indique el nombre completo y el número de identificación de las personas que ocuparon / ejercen el cargo en el último año] | [Indique el tiempo de vinculación de la persona que ejerció/ejerce el cargo en el nivel directivo] | |
| [Indique la denominación del cargo directivo, a modo de ejemplo: Gerente/ | [Indique el nombre completo y el número de identificación de las personas que ocuparon / ejercen el cargo en el último año] | [Indique el tiempo de vinculación de la persona que ejerció/ejerce el cargo en el nivel directivo] |
| Director de ventas] | [Indique el nombre completo y el número de identificación de las personas que ocuparon / ejercen el cargo en el último año] | [Indique el tiempo de vinculación de la persona que ejerció/ejerce el cargo en el nivel directivo] |
| [Indique el nombre completo y el número de identificación de las [Indique el tiempo de vinculación de la persona que personas que ocuparon / ejercen el cargo en el último año] | ejerció/ejerce el cargo en el nivel directivo] | |
| [Indique el nombre completo y el número de identificación de las personas que ocuparon / ejercen el cargo en el último año] | [Indique el tiempo de vinculación de la persona que ejerció/ejerce el cargo en el nivel directivo] | |
| [Indique la denominación del cargo directivo, a modo de ejemplo: Director de | [Indique el nombre completo y el número de identificación de las personas que ocuparon / ejercen el cargo en el último año] | [Indique el tiempo de vinculación de la persona que ejerció/ejerce el cargo en el nivel directivo] |
| desarrollo tecnológico] | [Indique el nombre completo y el número de identificación de las personas que ocuparon / ejercen el cargo en el último año] | [Indique el tiempo de vinculación de la persona que ejerció/ejerce el cargo en el nivel directivo] |
| [Indique el nombre completo y el número de identificación de las personas que ocuparon / ejercen el cargo en el último año] | [Indique el tiempo de vinculación de la persona que ejerció/ejerce el cargo en el nivel directivo] | |
| [Indique el nombre completo y el número de identificación de las personas que ocuparon / ejercen el cargo en el último año] | [Indique el tiempo de vinculación de la persona que ejerció/ejerce el cargo en el nivel directivo] | |
Conforme a lo anterior, manifestamos bajo la gravedad del juramento que por lo menos el cincuenta por ciento (50 %) de los empleos del nivel directivo de la persona jurídica han sido ejercidos por mujeres y estas han estado vinculadas laboralmente a la empresa durante al menos el último año anterior a la fecha de cierre del Proceso de Contratación en el mismo cargo u otro del mismo nivel.
Para los efectos de esta certificación son empleos del nivel directivo aquellos cuyas funciones están relacionadas con la dirección de áreas misionales de la empresa y la toma de decisiones a nivel estratégico. En este sentido, son cargos del rango directivo los que dentro de la organización de la empresa implican mando o los que por su jerarquía desempeñan cargos encaminados al cumplimiento de funciones orientadas a representar al empleador.
Como soporte de esta declaración se anexa copia de (i) los respectivos documentos de identidad, (ii) los contratos de trabajo o certificación laboral con las funciones y (iii) el certificado de aportes al Sistema de Seguridad Social del último año en el que se demuestren los pagos realizados por el empleador, en relación con cada una de las personas que conforman el nivel directivo del Proponente.
[Si el Proponente cumple ambas condiciones escogerá alguna de las dos (2) opciones descritas, para acreditar la calidad de emprendimientos y empresas de mujeres en los términos del 2.2.1.2.4.2.14 del Decreto 1082 de 2015]
En constancia, se firma en ______________, a los ____ días del mes de _____ del 20__
[Nombre y firma del representante legal de la persona jurídica]
[Nombre y firma del contador o revisor fiscal, si está obligado a tenerlo]
FORMATO 12B – ACREDITACIÓN DE EMPRENDIMIENTOS Y EMPRESAS DE MUJERES (PERSONA NATURAL)
[Este Formato debe diligenciarse por los Proponentes personas naturales o los integrantes personas naturales del Proponente Plural cuyo porcentaje de participación sea al menos del diez por ciento (10 %) y acredite la condición de emprendimientos y empresas de mujeres.]
Señores
[NOMBRE DE LA ENTIDAD]
[Ciudad]
REFERENCIA: Proceso de Contratación [Incluir número del Proceso de Contratación]
Objeto:
[Incluir cuando el Proceso de Contratación sea estructurado por lotes o grupos] Lote: [Indicar el lote o lotes a los cuales se presenta oferta.]
Estimados señores:
[Incluir el nombre de la persona natural] identificada con [Incluir el número de identificación], en mi condición de mujer, en adelante el Proponente, certifico la condición de ser emprendimiento y empresa de mujer en los términos del artículo 2.2.1.2.4.2.14 del Decreto 1082 de 2015, para lo cual manifiesto bajo la gravedad del juramento que he ejercido actividades comerciales a través del establecimiento de comercio [Indicar el nombre del establecimiento de comercio], [identificado con NIT __________], durante al menos el último año anterior contado a partir de la fecha del cierre del Proceso de Contratación.
Para acreditar la anterior circunstancia aporto [copia de la cédula de ciudadanía, la cédula de extranjería o el pasaporte, según corresponda], así como la copia del registro mercantil.
En constancia, se firma en ______________, a los ____ días del mes de _____ del 20__.
[Nombre y firma de la persona natural]
FORMATO 12C – ACREDITACIÓN DE EMPRENDIMIENTOS Y EMPRESAS DE MUJERES (ASOCIACIONES Y COOPERATIVAS)
[Este Formato debe diligenciarse por los Proponentes que son asociaciones o cooperativas o los integrantes asociaciones o cooperativas del Proponente Plural cuyo porcentaje de participación sea al menos del diez por ciento (10 %) y acredite la condición de emprendimientos y empresas de mujeres.]
Señores
[NOMBRE DE LA ENTIDAD]
[Ciudad]
REFERENCIA: Proceso de Contratación [Incluir número del Proceso de Contratación]
Objeto:
[Incluir cuando el Proceso de Contratación sea estructurado por lotes o grupos] Lote: [Indicar el lote o lotes a los cuales se presenta oferta.]
Estimados señores:
[Incluir el nombre del representante legal de la asociación o cooperativa] identificado con [Incluir el número de identificación], en mi condición de representante legal de [Incluir la razón social de la asociación o cooperativa] identificado con el NIT [Incluir el NIT], en adelante el Proponente, certifico la condición de ser emprendimientos y empresas de mujeres en los términos del artículo 2.2.1.2.4.2.14 del Decreto 1082 de 2015, para lo cual manifiesto bajo la gravedad del juramento que más del cincuenta por ciento (50 %) de los asociados son mujeres y que la participación de estas en la [indicar si es en la asociación o cooperativa], ha permanecido durante al menos el último año anterior contado a partir de la fecha de cierre del Proceso de Contratación.
En constancia, se firma en ______________, a los ____ días del mes de _____ del 20__
[Nombre y firma del representante legal de la asociación o cooperativa]
| codigo | CCE-EICP-FM-131 | Versión | 1 |
FORMATO 12 ACREDITACIÓN DE EMPRENDIMIENTO Y EMPRESA DE MUJERES
LICITACIÓN DE OBRA PÚBLICA DE INFRAESTRUCTURA DE AGUA POTABLE Y SANEAMIENTO BÁSICO EN LA MODALIDAD DE LLAVE EN MANO
| Código | CCE-EICP-FM-133 | Página | 1 de 6 |
| Versión No. | 1 | ||
FORMATO 12A – ACREDITACIÓN DE EMPRENDIMIENTO Y EMPRESAS DE MUJERES (PERSONA JURÍDICA)
[Este Formato debe diligenciarse por los Proponentes personas jurídicas o los integrantes que sean personas jurídicas del Proponente Plural cuyo porcentaje de participación sea al menos del diez por ciento (10 %) y acrediten la condición de emprendimientos y empresas de mujeres.]
Señores
[NOMBRE DE LA ENTIDAD]
[Ciudad]
REFERENCIA: Proceso de Contratación [Incluir número del Proceso de Contratación]
Objeto:
[Incluir cuando el Proceso de Contratación sea estructurado por lotes o grupos] Lote: [Indicar el lote o lotes a los cuales se presenta oferta.]
Estimados señores:
[Incluir el nombre del representante legal de la persona jurídica y del revisor fiscal, cuando este último exista de acuerdo con los requerimientos de ley, o el contador] identificados con [Incluir los números de identificación], en nuestra condición de representante legal [y revisor fiscal, en caso de estar obligado según los requerimientos de ley, o el contador] de [Incluir la razón social de la persona jurídica] identificada con el NIT [Incluir el NIT], en adelante el Proponente, acreditamos la condición de ser emprendimiento y empresa de mujer en los términos del artículo 2.2.1.2.4.2.14 del Decreto 1082 de 2015.
[El Proponente escogerá una de las siguientes dos (2) opciones para acreditar la condición de emprendimiento y empresa de mujer:]
[Opción 1. Incorporar si la participación accionaria de la persona jurídica en su mayoría son mujeres y los derechos de propiedad han pertenecido a éstas durante el último año.]
Manifestamos bajo la gravedad del juramento que más del cincuenta por ciento (50 %) de las acciones, partes de interés o cuotas de participación de la persona jurídica pertenecen a mujeres y los derechos de propiedad han pertenecido a estas durante al menos el último año anterior a la fecha de cierre del Proceso de Contratación. En el siguiente cuadro señalamos la identificación de las mujeres en la persona jurídica y la distribución de los derechos en la sociedad durante el último año:
| Nombre completo y número de identificación de la (s) mujeres (s) que tienen o tuvieron participación durante el último año en la persona jurídica | Número de acciones, partes de interés o cuotas de participación de la persona jurídica, o el alcance o condición de su participación en el caso de las personas jurídicas sin ánimo de lucro |
De igual manera, manifestamos bajo la gravedad del juramento que más del cincuenta por ciento (50 %) de las acciones, partes de interés o cuotas de participación de la persona jurídica ha pertenecido a mujeres, y dicha participación mayoritaria se ha mantenido a partir de: [Indicar la fecha (día/mes/año) desde que se cumple con dicha condición].
[Opción 2. Incorporar si por lo menos el cincuenta por ciento (50 %) de los empleos del nivel directivo de la persona jurídica son ejercidos por mujeres y estas han estado vinculadas laboralmente durante al menos el último año.]
En el siguiente cuadro señalamos de forma detallada la denominación de los cargos directivos que existen dentro de la persona jurídica, la identificación de las personas que ocuparon o ejercen los cargos del nivel directivo del Proponente y el tiempo de vinculación:
| Denominación del cargo directivo dentro de la empresa | Nombre completo y número de identificación de la (s) persona (s) que ocuparon / ejercen el cargo durante el último año en la persona jurídica | Tiempo de vinculación de la (s) persona(s) que ejerció / ejerce el cargo del nivel directivo |
| [Indique la denominación del cargo directivo, a modo de ejemplo: Gerente general, director ejecutivo] | [Indique el nombre completo y el número de identificación de las personas que ocuparon / ejercen el cargo en el último año] | [Indique el tiempo de vinculación de la persona que ejerció/ejerce el cargo en el nivel directivo] |
| [Indique el nombre completo y el número de identificación de las personas que ocuparon / ejercen el cargo en el último año] | [Indique el tiempo de vinculación de la persona que ejerció/ejerce el cargo en el nivel directivo] | |
| [Indique el nombre completo y el número de identificación de las personas que ocuparon / ejercen el cargo en el último año] | [Indique el tiempo de vinculación de la persona que ejerció/ejerce el cargo en el nivel directivo] | |
| [Indique el nombre completo y el número de identificación de las personas que ocuparon / ejercen el cargo en el último año] | [Indique el tiempo de vinculación de la persona que ejerció/ejerce el cargo en el nivel directivo] | |
| [Indique la denominación del cargo directivo, a modo de ejemplo: Gerente/ Director de ventas] | [Indique el nombre completo y el número de identificación de las personas que ocuparon / ejercen el cargo en el último año] | [Indique el tiempo de vinculación de la persona que ejerció/ejerce el cargo en el nivel directivo] |
| [Indique el nombre completo y el número de identificación de las personas que ocuparon / ejercen el cargo en el último año] | [Indique el tiempo de vinculación de la persona que ejerció/ejerce el cargo en el nivel directivo] | |
| [Indique el nombre completo y el número de identificación de las personas que ocuparon / ejercen el cargo en el último año] | [Indique el tiempo de vinculación de la persona que ejerció/ejerce el cargo en el nivel directivo] | |
| [Indique el nombre completo y el número de identificación de las personas que ocuparon / ejercen el cargo en el último año] | [Indique el tiempo de vinculación de la persona que ejerció/ejerce el cargo en el nivel directivo] | |
| [Indique la denominación del cargo directivo, a modo de ejemplo: Director de desarrollo tecnológico] | [Indique el nombre completo y el número de identificación de las personas que ocuparon / ejercen el cargo en el último año] | [Indique el tiempo de vinculación de la persona que ejerció/ejerce el cargo en el nivel directivo] |
| [Indique el nombre completo y el número de identificación de las personas que ocuparon / ejercen el cargo en el último año] | [Indique el tiempo de vinculación de la persona que ejerció/ejerce el cargo en el nivel directivo] | |
| [Indique el nombre completo y el número de identificación de las personas que ocuparon / ejercen el cargo en el último año] | [Indique el tiempo de vinculación de la persona que ejerció/ejerce el cargo en el nivel directivo] | |
| [Indique el nombre completo y el número de identificación de las personas que ocuparon / ejercen el cargo en el último año] | [Indique el tiempo de vinculación de la persona que ejerció/ejerce el cargo en el nivel directivo] | |
Conforme a lo anterior, manifestamos bajo la gravedad del juramento que por lo menos el cincuenta por ciento (50 %) de los empleos del nivel directivo de la persona jurídica han sido ejercidos por mujeres y estas han estado vinculadas laboralmente a la empresa durante al menos el último año anterior a la fecha de cierre del Proceso de Contratación en el mismo cargo u otro del mismo nivel.
Para los efectos de esta certificación son empleos del nivel directivo aquellos cuyas funciones están relacionadas con la dirección de áreas misionales de la empresa y la toma de decisiones a nivel estratégico. En este sentido, son cargos del rango directivo los que dentro de la organización de la empresa implican mando o los que por su jerarquía desempeñan cargos encaminados al cumplimiento de funciones orientadas a representar al empleador.
Como soporte de esta declaración se anexa copia de (i) los respectivos documentos de identidad, (ii) los contratos de trabajo o certificación laboral con las funciones y (iii) el certificado de aportes al Sistema de Seguridad Social del último año en el que se demuestren los pagos realizados por el empleador, en relación con cada una de las personas que conforman el nivel directivo del Proponente.
[Si el Proponente cumple ambas condiciones escogerá alguna de las dos (2) opciones descritas, para acreditar la calidad de emprendimientos y empresas de mujeres en los términos del 2.2.1.2.4.2.14 del Decreto 1082 de 2015]
En constancia, se firma en ______________, a los ____ días del mes de _____ del 20__
[Nombre y firma del representante legal de la persona jurídica]
[Nombre y firma del contador o revisor fiscal, si está obligado a tenerlo]
FORMATO 12B – ACREDITACIÓN DE EMPRENDIMIENTOS Y EMPRESAS DE MUJERES (PERSONA NATURAL)
[Este Formato debe diligenciarse por los Proponentes personas naturales o los integrantes personas naturales del Proponente Plural cuyo porcentaje de participación sea al menos del diez por ciento (10 %) y acredite la condición de emprendimientos y empresas de mujeres.]
Señores
[NOMBRE DE LA ENTIDAD]
[Ciudad]
REFERENCIA: Proceso de Contratación [Incluir número del Proceso de Contratación]
Objeto:
[Incluir cuando el Proceso de Contratación sea estructurado por lotes o grupos] Lote: [Indicar el lote o lotes a los cuales se presenta oferta.]
Estimados señores:
[Incluir el nombre de la persona natural] identificada con [Incluir el número de identificación], en mi condición de mujer, en adelante el Proponente, certifico la condición de ser emprendimiento y empresas de mujeres en los términos del artículo 2.2.1.2.4.2.14 del Decreto 1082 de 2015, para lo cual manifiesto bajo la gravedad del juramento que he ejercido actividades comerciales a través del establecimiento de comercio [Indicar el nombre del establecimiento de comercio], [identificado con NIT __________], durante al menos el último año anterior contado a partir de la fecha del cierre del Proceso de Contratación.
Para acreditar la anterior circunstancia aporto [copia de la cédula de ciudadanía, la cédula de extranjería o el pasaporte, según corresponda], así como la copia del registro mercantil.
En constancia, se firma en ______________, a los ____ días del mes de _____ del 20__.
[Nombre y firma de la persona natural]
FORMATO 12 C – ACREDITACIÓN DE EMPRENDIMIENTOS Y EMPRESAS DE MUJERES (ASOCIACIONES Y COOPERATIVAS)
[Este Formato debe diligenciarse por los Proponentes que son asociaciones o cooperativas o los integrantes asociaciones o cooperativas del Proponente Plural cuyo porcentaje de participación sea al menos del diez por ciento (10 %) y acredite la condición de emprendimientos y empresas de mujeres.]
Señores
[NOMBRE DE LA ENTIDAD]
[Ciudad]
REFERENCIA: Proceso de Contratación [Incluir número del Proceso de Contratación]
Objeto:
[Incluir cuando el Proceso de Contratación sea estructurado por lotes o grupos] Lote: [Indicar el lote o lotes a los cuales se presenta oferta.]
Estimados señores:
[Incluir el nombre del representante legal de la asociación o cooperativa] identificado con [Incluir el número de identificación], en mi condición de representante legal de [Incluir la razón social de la asociación o cooperativa] identificado con el NIT [Incluir el NIT], en adelante el Proponente, certifico la condición de ser emprendimiento y empresas de mujeres en los términos del artículo 2.2.1.2.4.2.14 del Decreto 1082 de 2015, para lo cual manifiesto bajo la gravedad del juramento que más del cincuenta por ciento (50 %) de los asociados son mujeres y que la participación de estas en la [indicar si es en la asociación o cooperativa] ha permanecido durante al menos el último año anterior contado a partir de la fecha de cierre del Proceso de Contratación.
En constancia, se firma en ______________, a los ____ días del mes de _____ del 20__
[Nombre y firma del representante legal de la asociación o cooperativa]
| codigo | CCE-EICP-FM-133 | Versión | 1 |
FORMATO 13 ACREDITACIÓN MIPYME
LICITACIÓN DE OBRA PÚBLICA DE INFRAESTRUCTURA DE AGUA POTABLE Y SANEAMIENTO BÁSICO
| Código | CCE-EICP-FM-132 | Página | 1 de 2 |
| Versión No. | 1 | ||
FORMATO 13A – ACREDITACIÓN MIPYME (Cuando el interesado solicite la limitación de convocatoria a Mipyme)
(PERSONAS NATURALES)
[El interesado persona natural que solicita limitar la convocatoria del Proceso de Contratación a Mipyme, acreditará la condición de Mipyme con el diligenciamiento de este Formato y entregará los documentos requeridos en el artículo 2.2.1.2.4.2.4. del Decreto 1082 de 2015. En todo caso, cuando la calidad de Mipyme se acredite con la presentación del RUP vigente y en firme, no será necesario diligenciar este Formato, ni aportar los mencionados documentos].
Señores
[NOMBRE DE LA ENTIDAD]
[Ciudad]
REFERENCIA: Proceso de Contratación [Incluir número del Proceso de Contratación]
Objeto:
Estimados señores:
[Incluir el nombre de la persona natural y el contador público] identificados con [Incluir los números de identificación], declaramos bajo la gravedad del juramento que [incluir el nombre del establecimiento de comercio] se encuentra clasificada como: [Indicar si es micro, pequeña y mediana empresa] de acuerdo con los criterios definidos por las normas vigentes.
Para acreditar dicha condición adjuntamos copia del registro mercantil.
En constancia, se firma en ______________, a los ____ días del mes de _____ del 20__.
[Nombre y firma de la persona natural]
[ N o m b r e y f i r ma del contador público Público]
FORMATO 13B – ACREDITACIÓN MIPYME
(Cuando el interesado solicite la limitación de convocatoria a Mipyme)
(PERSONAS JURÍDICAS)
[El interesado persona jurídica que solicita limitar la convocatoria del Proceso de Contratación a Mipyme, acreditará la condición de Mipyme con el diligenciamiento de este Formato y entregará los documentos requeridos en el artículo 2.2.1.2.4.2.4. del Decreto 1082 de 2015. En todo caso, cuando la calidad de Mipyme se acredite con la presentación del RUP vigente y en firme, no será necesario diligenciar este Formato, ni aportar los mencionados documentos]
Señores
[NOMBRE DE LA ENTIDAD]
[Ciudad]
REFERENCIA: Proceso de Contratación [Incluir número del Proceso de Contratación]
Objeto:
Estimados señores:
[Incluir el nombre del representante legal y el contador o revisor fiscal, si están obligados a tenerlo] identificados con [Incluir los números de identificación], actuando en representación de [Indicar nombre del Proponente] declaramos bajo la gravedad de juramento que [incluir el nombre del establecimiento de comercio] se encuentra clasificada como: [Indicar si es micro, pequeña y mediana empresa] de acuerdo con los criterios definidos por las normas vigentes.
Para acreditar dicha condición, adjuntamos copia del certificado de existencia y representación legal de la Cámara de Comercio de ______________ o por la autoridad competente para expedir dicha certificación.
En constancia, se firma en ______________, a los ____ días del mes de _____ del 20__.
[Nombre y firma del representante legal]
[Nombre y firma del contador o revisor fiscal si está obligado a tenerlo]
| codigo | CCE-EICP-FM-132 | Versión | 1 |
FORMATO 13 ACREDITACIÓN MIPYME
LICITACIÓN DE OBRA PÚBLICA DE INFRAESTRUCTURA DE AGUA POTABLE Y SANEAMIENTO BÁSICO EN LA MODALIDAD DE LLAVE EN MANO
| Código | CCE-EICP-FM-134 | Página | 1 de 2 |
| Versión No. | 1 | ||
FORMATO 13A – ACREDITACIÓN MIPYME
(Cuando el interesado solicite la limitación de convocatoria a Mipyme)
(PERSONAS NATURALES)
[El interesado persona natural que solicita limitar la convocatoria del Proceso de Contratación a Mipyme, acreditará la condición de Mipyme con el diligenciamiento de este Formato y entregará los documentos requeridos en el artículo 2.2.1.2.4.2.4. del Decreto 1082 de 2015. En todo caso, cuando la calidad de Mipyme se acredite con la presentación del RUP vigente y en firme, no será necesario diligenciar este Formato, ni aportar los mencionados documentos].
Señores
[NOMBRE DE LA ENTIDAD]
[Ciudad]
REFERENCIA: Proceso de Contratación [Incluir número del Proceso de Contratación]
Objeto:
Estimados señores:
[Incluir el nombre de la persona natural y el contador público] identificados con [Incluir los números de identificación], declaramos bajo la gravedad de juramento que [incluir el nombre del establecimiento de comercio]se encuentra clasificada como: [Indicar si es micro, pequeña y mediana empresa] de acuerdo con los criterios definidos por las normas vigentes.
Para acreditar dicha condición adjuntamos copia del registro mercantil.
En constancia, se firma en ______________, a los ____ días del mes de _____ del 20__.
[Nombre y firma de la persona natural] [ N o m b r e y firma del contador público]
FORMATO 13B – ACREDITACIÓN MIPYME
(Cuando el interesado solicite la limitación de convocatoria a Mipyme)
(PERSONAS JURÍDICAS)
[El interesado persona jurídica que solicita limitar la convocatoria del Proceso de Contratación a Mipyme, acreditará la condición de Mipyme con el diligenciamiento de este Formato y entregará los documentos requeridos en el artículo 2.2.1.2.4.2.4. del Decreto 1082 de 2015. En todo caso, cuando la calidad de Mipyme se acredite con la presentación del RUP vigente y en firme, no será necesario diligenciar este Formato, ni aportar los mencionados documentos]
Señores
[NOMBRE DE LA ENTIDAD]
[Ciudad]
REFERENCIA: Proceso de Contratación [Incluir número del Proceso de Contratación]
Objeto:
Estimados señores:
[Incluir el nombre del representante legal y el contador o revisor fiscal, si están obligados a tenerlo] identificados con [Incluir los números de identificación], actuando en representación de [Indicar nombre del Proponente] declaramos bajo la gravedad de juramento que [incluir el nombre del establecimiento de comercio] se encuentra clasificada como: [Indicar si es micro, pequeña y mediana empresa] de acuerdo con los criterios definidos por las normas vigentes.
Para acreditar dicha condición, adjuntamos copia del certificado de existencia y representación legal de la Cámara de Comercio de ______________ o por la autoridad competente para expedir dicha certificación.
En constancia, se firma en ______________, a los ____ días del mes de _____ del 20__.
[Nombre y firma del representante legal]
[Nombre y firma del contador o revisor fiscal si esta obligado a tenerlo)
| codigo | CCE-EICP-FM-134 | Versión | 1 |
TABLAS NO INCLUIDAS CONSULTAR ANEXO EN EL DIARIO OFICIAL IMPRESO O EN EL FORMATO PDF PUBLICADO EN LA WEB WWW.IMPRENTA.GOV.CO
MATRIZ 2 – INDICADORES FINANCIEROS Y ORGANIZACIONALES
LICITACIÓN DE OBRA PÚBLICA DE INFRAESTRUCTURA DE AGUA POTABLE Y SANEAMIENTO BÁSICO
| Código | CCE-EICP-FM-45 | Página | 2 de 2 |
| Versión No. | 2 | ||
MATRIZ 2 – INDICADORES FINANCIEROS Y ORGANIZACIONALES
LICITACIÓN DE OBRA PÚBLICA DE INFRAESTRUCTURA DE AGUA POTABLE Y SANEAMIENTO BÁSICO
1. Índices de capacidad financiera y organizacionales para Mipyme.
El Proponente persona natural o jurídica que demuestre la condición de Mipyme de conformidad con lo previsto en el artículo 2.2.1.2.4.2.4. del Decreto 1082 de 2015, en concordancia con el parágrafo del artículo 2.2.1.13.2.4 del Decreto 1074 de 2015 o las normas que los modifiquen, sustituyan o complementen, probará los siguientes indicadores:
| Indicador | Valor concertado |
| Índice de liquidez | |
| Índice de endeudamiento | |
| Razón de cobertura de intereses | |
| Capital de trabajo | Definido en los Pliegos Tipo |
| Rentabilidad del patrimonio | |
| Rentabilidad del activo |
Tratándose de Proponente Plurales estos indicadores solo se aplicarán si por lo menos uno de los integrantes acredita la calidad de Mipyme de conformidad con lo previsto en el artículo 2.2.1.2.4.2.4. del Decreto 1082 de 2015, o la normas que los modifiquen, sustituyan o complementen, y tienen una participación igual o superior al diez por ciento (10 %) en el consorcio o en la unión temporal.
Para acreditar la calidad de Mipyme el Proponente entregará copia del certificado del Registro Único de Proponentes, el cual deberá encontrarse vigente y en firme al momento de su presentación.
2. Índices de capacidad financiera y organizacionales para los demás Proponentes
Los Proponentes que NO demuestren la condición de Mipyme de conformidad con lo previsto en el artículo 2.2.1.2.4.2.4. del Decreto 1082 de 2015, en concordancia con el parágrafo del artículo 2.2.1.13.2.4 del Decreto 1074 de 2015 o las normas que los modifiquen, sustituyan o complementen, acreditarán los siguientes indicadores:
| Indicador | Valor concertado |
| Índice de liquidez | |
| Índice de endeudamiento | |
| Razón de cobertura de intereses | |
| Capital de trabajo | Definido en los Pliegos Tipo |
| Rentabilidad del patrimonio | |
| Rentabilidad del activo |
Los indicadores definidos en la presente matriz deben ser usados por las Entidades en la estructuración de los Documentos del Proceso de Contratación de obra pública de infraestructura de agua potable y saneamiento básico.
| codigo | CCE-EICP-FM-45 | Versión | 2 |
MATRIZ 2 – INDICADORES FINANCIEROS
LICITACIÓN DE OBRA PÚBLICA DE INFRAESTRUCTURA DE AGUA POTABLE Y SANEAMIENTO BÁSICO EN LA MODALIDAD DE LLAVE EN MANO
| Código | CCE-EICP-FM-58 | Página | 1 de 2 |
| Versión No. | 2 | ||
MATRIZ 2 – INDICADORES FINANCIEROS Y ORGANIZACIONALES
LICITACIÓN DE OBRA PÚBLICA DE INFRAESTRUCTURA DE AGUA POTABLE Y SANEAMIENTO BÁSICO EN LA MODALIDAD DE LLAVE EN MANO
1. Índices de capacidad financiera y organizacionales para Mipyme.
El Proponente persona natural o jurídica que demuestre la condición de Mipyme de conformidad con lo previsto en el artículo 2.2.1.2.4.2.4. del Decreto 1082 de 2015, en concordancia con el parágrafo del artículo 2.2.1.13.2.4 del Decreto 1074 de 2015 o las normas que los modifiquen, sustituyan o complementen, probará los siguientes indicadores:
| Indicador | Valor concertado |
| Índice de liquidez | |
| Índice de endeudamiento | |
| Razón de cobertura de intereses | |
| Capital de trabajo | Definido en los Pliegos Tipo |
| Rentabilidad del patrimonio | |
| Rentabilidad del activo |
Tratándose de Proponente Plurales estos indicadores solo se aplicarán si por lo menos uno de los integrantes acredita la calidad de Mipyme de conformidad con lo previsto en el artículo 2.2.1.2.4.2.4. del Decreto 1082 de 2015, o la normas que los modifiquen, sustituyan o complementen, y tienen una participación igual o superior al diez por ciento (10 %) en el Consorcio o en la Unión Temporal.
Para acreditar la calidad de Mipyme el Proponente entregará copia del certificado del Registro Único de Proponentes, el cual deberá encontrarse vigente y en firme al momento de su presentación.
2. Índices de capacidad financiera y organizacionales para los demás Proponentes
Los Proponentes que NO demuestren la condición de Mipyme de conformidad con lo previsto en el artículo 2.2.1.2.4.2.4. del Decreto 1082 de 2015, en concordancia con el parágrafo del artículo 2.2.1.13.2.4 del Decreto 1074 de 2015 o las normas que los modifiquen, sustituyan o complementen, acreditarán los siguientes indicadores:
| Indicador | Valor concertado |
| Índice de liquidez | |
| Índice de endeudamiento | |
| Razón de cobertura de intereses | |
| Capital de trabajo | Definido en los Pliegos Tipo |
| Rentabilidad del patrimonio | |
| Rentabilidad del activo |
Los indicadores definidos en la presente matriz deben ser usados por las Entidades en la estructuración de los Documentos del Proceso de Contratación de obra pública de infraestructura de agua potable y saneamiento básico.
| codigo | CCE-EICP-FM-58 | Versión | 2 |
ANEXO 3 – GLOSARIO
LICITACIÓN DE OBRA PÚBLICA DE INFRAESTRUCTURA DE AGUA POTABLE Y SANEAMIENTO BÁSICO
| Código | CCE-EICP-IDI-14 | Página | 1 de 11 |
| Versión No. | 2 | ||
ANEXO 3 – GLOSARIO
Para efectos de interpretación del Pliego de Condiciones: [La Entidad deberá incluir en orden alfabético los conceptos adicionales que aplican al Proceso de Contratación que no estén incorporados en el presente anexo y aquellos que se definan en una ley o normativa que, en orden de jerarquía esté por encima del Pliego de Condiciones, siento estos últimos obligatorios con independencia de que se encuentren detallados o no]
1. GLOSARIO GENERAL-
1.1 Aclaraciones y explicaciones: Se remite a las nociones desarrolladas en la sentencia del Consejo de Estado, Sección Tercera, Subsección C, del 12 de noviembre de 2014, Radicado 27.986, Consejero Ponente: Enrique Gil Botero.
1.2 Acta de Inicio: Documento en el que las partes, de común acuerdo, dejan constancia del inicio de ejecución del plazo contractual.
1.3 Activo Corriente: Activo susceptible de convertirse en dinero en efectivo en un período inferior a un año.
1.4 Activo Total: Activos, bienes, derechos y otros recursos controlados económicamente por la persona jurídica o natural, resultantes de sucesos pasados de los que se espera obtener beneficios o rendimientos económicos en el futuro.
1.5 Administración Delegada: Modalidad de pago en la cual la Entidad delega la ejecución de la obra en el Contratista en calidad de director técnico, quien la ejecuta por cuenta y riesgo de la misma Entidad. El Contratista obtiene como remuneración los honorarios que se pactan por su gestión. El administrador delegado se encarga de ejecutar la obra y responde por su buen resultado, pero es la Entidad quien asume los Riesgos derivados del contrato y la financiación de la obra. Los honorarios del contratista pueden pactarse en forma de porcentaje sobre el valor de la obra o como precio fijo.
1.6 Análisis del Sector: Estudio que permite conocer el bien o servicio a adquirir en términos de oferta y demanda e identificar el precio más justo a pagar por la satisfacción de la necesidad de la Entidad. Asimismo, a través de este estudio las Entidades identifican quién puede proveer el bien o servicio, cómo desarrollar el negocio, su cadena de producción y distribución, para saber si el sector tiene la capacidad de proveer el bien o servicio en las condiciones y cantidades requeridas por la Entidad.
Este estudio debe realizarse desde la perspectiva legal, comercial, financiera, organizacional, técnica y de análisis de Riesgo.
1.7 Anexo: Documento o conjunto de documentos que la Entidad adjunta al Pliego de Condiciones y que hacen parte integral de este.
1.8 Anticipo: Préstamo destinado a apalancar el cumplimiento del objeto contractual, de modo que los recursos girados por dicho concepto sólo se integran al patrimonio del contratista en la medida que se cause su amortización mediante la presentación de la cuenta o factura respectiva.
1.9 Aportes Legales: Contribuciones parafiscales y gravámenes establecidos con carácter obligatorio por la ley que afectan a un determinado y único grupo social y económico y se utilizan para beneficio del propio sector. El manejo, administración y ejecución de estos recursos se hará exclusivamente en la forma dispuesta en la ley que los crea y se destinarán sólo al objeto en ella previsto.
1.10 Apostilla: Certificación de la autenticidad de la firma de un servidor público en ejercicio de sus funciones y la calidad en que el signatario haya actuado, la cual deberá estar registrada ante el Ministerio de Relaciones Exteriores, para que el documento surta plenos efectos legales en un país parte del Convenio sobre la Abolición del Requisito de Legalización de los Documentos Públicos Extranjeros de la Conferencia de la Haya de 1961.
1.11 Beneficiario Real: Cualquier persona o grupo de personas que, directa o indirectamente, por sí misma o a través de interpuesta persona, por virtud de contrato, convenio o de cualquier otra manera, tenga respecto de una acción de una sociedad, o pueda llegar a tener, por ser propietario de bonos obligatoriamente convertibles en acciones, capacidad decisoria; esto es, la facultad o el poder de votar en la elección de directivas o representantes o de dirigir, orientar y controlar dicho voto, así como la facultad o el poder de enajenar y ordenar la enajenación o gravamen de la acción.
Conforman un mismo beneficiario real los cónyuges o compañeros permanentes y los parientes dentro del segundo grado de consanguinidad, segundo de afinidad y único civil, salvo que se demuestre que actúan con intereses económicos independientes, circunstancia que podrá ser declarada mediante la gravedad de juramento ante la Superintendencia Financiera de Colombia con fines exclusivamente probatorios.
Igualmente, constituyen un mismo beneficiario real las sociedades matrices y sus subordinadas.
1.12 Capacidad Financiera: Condiciones financieras mínimas que debe tener un Proponente en razón de su liquidez, endeudamiento y los demás indicadores que apliquen para soportar adecuadamente la ejecución del contrato.
1.13 Capacidad Organizacional: Aptitud de un Proponente para cumplir oportuna y cabalmente el objeto del contrato en función de su organización interna. Son aquellos contenidos en el artículo 2.2.1.1.1.5.3 del Decreto 1082 de 2015 o la norma que lo adicione, modifique, reemplace, complemente o sustituya.
1.14 Certificado de Disponibilidad Presupuestal: Documento que acredita la disponibilidad de recursos en para adelantar el Proceso de Contratación.
1.15 Conflicto de Interés: Circunstancias que el interesado o el Proponente dará a conocer a la Entidad y que considera puede tener incidencia en la imparcialidad con la que se debe adoptar las decisiones en el curso del Proceso de Contratación.
1.16 Consorcio: Figura asociativa en la cual dos o más personas conjuntamente presentan una misma propuesta para la adjudicación, celebración y ejecución de un contrato, respondiendo solidariamente de las obligaciones derivadas de la propuesta y del contrato.
1.17 Contratista: Persona natural, jurídica o el grupo de personas jurídicas o naturales, nacionales o extranjeras, asociadas entre sí que suscriben un contrato con el fin de ejecutar el objeto bajo las condiciones de modo, tiempo y lugar que en él se establecen.
1.18 Contrato de Obra: Acuerdo de voluntades celebrado por las Entidades Estatales para la construcción, mantenimiento, instalación y, en general, para la realización de cualquier otro trabajo material sobre bienes inmuebles, con independencia de la modalidad de ejecución y pago.
1.19 Contrato llave en mano: Modalidad en la que el Contratista se compromete a realizar todas las labores relacionadas con la obra incluyendo los diseños, estudios de factibilidad, construcción, contratación del personal, instalaciones y suministros y la contraprestación a cargo del contratista es la obra terminada y en funcionamiento. El precio corresponde a un valor previamente establecido que opera como remuneración por todas las gestiones que adelanta el contratista.
1.20 Documentos Tipo: Documentos adoptados por la Agencia Nacional de Contratación Pública – Colombia Compra Eficiente que establecen los requisitos habilitantes, factores técnicos, económicos y otros requisitos que representan buenas prácticas contractuales de carácter obligatorio para las Entidades sometidas al Estatuto General de Contratación de la Administración Pública..
1.21 EPC (por sus siglas en inglés Engineering, Procurement and Construction): Contrato que tiene como objetivos principales los servicios de ingeniería, adquisición y construcción. El contratista, junto a sus funciones tradicionales relacionadas con el suministro de equipos, la construcción y la puesta en marcha, asume la ingeniería del proyecto y la responsabilidad global frente al cliente o contratante. También es denominado como contrato de construcción “llave en mano”.
1.22 Estados Financieros: Informes utilizados en las instituciones/empresas que reflejan la situación económica y financiera y los cambios que se dan en cierta fecha o período determinado. Un juego completo de estados financieros comprende: (a) un estado de situación financiera al final del período; (b) un estado del resultado integral del período; (c) un estado de cambios en el patrimonio del período; (d) un estado de flujos de efectivo del período; (e) notas, que incluyan un resumen de las políticas contables más significativas y otra información explicativa; y (f) un estado de situación financiera al principio del primer período comparativo, cuando una Entidad aplique una política contable retroactivamente o realice una reexpresión retroactiva de partidas en sus estados financieros o cuando reclasifique partidas en sus estados financieros.
1.23 Estudios Previos: Justificación jurídica, técnica, económica y financiera del proyecto que realiza la Entidad de acuerdo con las Leyes 80 de 1993 y 1150 de 2007 y el Decreto 1082 de 2015 o las normas que lo adicionen, modifiquen o complementen.
1.24 Formato: Documentos que aporta el Proponente y que hacen parte integral de su oferta.
1.25 Formulario: Documento por medio del cual la Entidad solicita información específica relacionada con la oferta económica y que debe ser diligenciada por el Proponente.
1.26 Garantía: Respaldo que tiene como fin el pago a favor de la Entidad de las indemnizaciones o sanciones derivadas del incumplimiento del contrato. Las clases de garantías son: (i) contratos de seguro, (ii) fiducia mercantil de garantía o (iii) garantías bancarias.
1.27 Garantía de Responsabilidad Civil Extracontractual: Garantía que cubre los perjuicios que puede sufrir la Entidad Estatal derivados de la responsabilidad extracontractual que surja de las actuaciones, hechos u omisiones de su contratista o de los subcontratistas. Este Riesgo sólo puede cubrirse mediante pólizas de seguro.
1.28 Información Pública Reservada: Información que estando en poder o custodia de un sujeto obligado en su calidad de tal, es exceptuada de acceso a terceros por daño a intereses públicos conforme con el artículo 19 de la Ley 1712 de 2014.
1.29 Infraestructura de Agua Potable y Saneamiento Básico: Son las obras realizadas en:
- Acueductos
- Alcantarillado
- Aseo y/o manejo de residuos
- Planta de Tratamiento de Agua Potable y Planta de Tratamiento de Aguas Residuales
- Unidades sanitarias para vivienda rural dispersa
1.30 Legalización: Certificación de la autenticidad de la firma de un servidor público en ejercicio de sus funciones y la calidad en que el signatario haya actuado, la cual deberá estar registrada ante el Ministerio de Relaciones Exteriores, para que el documento surta plenos efectos legales en un país que hace parte de la Convención de Viena de 1963, sobre relaciones consulares, literal f del artículo 5 que reglamenta las actuaciones consulares en calidad de notario.
1.31 Matriz: Documento que incorpora condiciones técnicas, de riesgos o económicas que debe tener en cuenta el Proponente al momento de estructurar su oferta y ejecutar el Contrato.
1.32 Medio Magnético: Dispositivo que utiliza materiales magnéticos para archivar información digital, tales como las USB, discos duros o los CD que almacenan grandes volúmenes de datos en un espacio físico reducido.
1.33 Pago Anticipado: Extinción anticipada de obligaciones a través del pago de una parte del precio del contrato.
1.34 Pliego de Condiciones: Conjunto de reglas que rigen el Proceso de Contratación y el futuro contrato, en los que se señalan las condiciones objetivas, plazos y procedimientos dentro de los cuales los Proponentes deben formular su oferta para participar en el Proceso de Contratación.
1.35 Pliego de Condiciones Tipo: Documento estructurado, actualizado y publicado por la Agencia Nacional de Contratación Pública -Colombia Compra Eficiente que incorpora las condiciones habilitantes, requisitos de puntaje y demás aspectos señalados en el artículo 1 de la Ley 2022 de 2020.
1.36 Porcentaje de AIU: Es el porcentaje de los costos directos destinados a cubrir: los gastos de administración (A), que comprende los gastos de dirección de obra, gastos administrativos de oficina, etc.; los imprevistos (I), que corresponde a un porcentaje destinado a cubrir los gastos que surjan y que no fueron previstos, y las utilidades (U) que corresponde a la remuneración propiamente dicha del Contratista por su trabajo.
1.37 Precio Global: Modalidad de pago cierto, cerrado e inalterable como única remuneración como contraprestación por el cumplimiento del objeto contratado.
1.38 Precios Unitarios: Contratos cuya forma o sistema de pago es por unidades o cantidades de obra y el valor total corresponde al que resulta de multiplicar las cantidades de obras ejecutadas por el precio de cada una de ellas comprometiéndose el Contratista a realizar las obras especificadas en el contrato.
1.39 Presupuesto Oficial: Valor total que la Entidad determina como necesario para ejecutar el objeto del contrato con base en el estudio previo y el análisis del sector.
1.40 Proponente: Persona o el grupo de personas que presentan una oferta para participar en el Proceso de Contratación.
1.41 Proponente Plural: Figura asociativa en la cual dos o más personas en forma conjunta se unen para la presentación de una propuesta, celebrar y ejecutar un contrato. No constituyen una persona jurídica independiente de sus integrantes. Puede tener la figura de Consorcios o de Uniones Temporales.
1.42 Reembolso de Gastos: Forma de pago en la cual el Contratista asume los gastos de ejecución del contrato y la Entidad Estatal periódicamente rembolsa dichos gastos y además reconoce al contratista los honorarios que se pactan por su gestión.
1.43 Selección Objetiva: Principio que busca que la escogencia de los colaboradores de la administración responda a criterios objetivos, en concordancia con los principios que rigen la función administrativa.
1.44 Sobre No. 1: Sobre que incluye los documentos relacionados con el cumplimiento de los requisitos habilitantes, así como los requisitos y documentos a los que se les asigna puntaje que son diferentes a la oferta económica.
1.45 Sobre No. 2: Sobre que contiene la oferta económica.
1.46 Subcontratista: Persona natural, jurídica o figura asociativa que contrata el Contratista principal para ejecutar una actividad previamente contratada por una Entidad u otra persona natural o jurídica.
1.47 Sucursal: Establecimiento de comercio abierto por una sociedad, dentro o fuera de su domicilio, para desarrollar los negocios sociales o parte de ellos, administrados por mandatarios con facultades para representar a la sociedad
1.48 Trato Nacional: Principio según el cual un Estado concede a los nacionales de otro Estado el mismo trato que otorga a sus nacionales.
1.49 Unión Temporal: Forma asociativa en la cual dos o más personas presentan conjuntamente una misma propuesta para la adjudicación, celebración y ejecución de un contrato, respondiendo solidariamente por el cumplimiento total de la propuesta y del objeto contratado, pero las sanciones por el incumplimiento de las obligaciones derivadas de la propuesta y del contrato se imponen de acuerdo con la participación en la ejecución de cada uno de sus integrantes.
1.50 Utilidad Operacional: Ingresos, costos y gastos operacionales relacionados directamente con el objeto social de la persona jurídica o natural, con su actividad principal, dejando de lado los gastos e ingresos no operacionales, es decir, aquellos ingresos diferentes a los obtenidos en el desarrollo de la actividad principal de la empresa, ingresos que por lo general son ocasionales o accesorios a la actividad principal.
1.51 Vigencia Fiscal: Período que comprende desde el 1de enero hasta el 31 de diciembre de cada año.
2. GLOSARIO ESPECÍFICO TÉCNICO
[La Entidad deberá incorporar en orden alfabético los conceptos adicionales que apliquen al Proceso de Contratación que no estén incluidos en el presente anexo.
De igual forma, la Entidad deberá dar uso a las definiciones o conceptos establecidos en el Reglamento Técnico para el Sector de Agua Potable y Saneamiento Básico – RAS, así como lo establecido en la Resolución 330 del 8 de junio de 2017 del Ministerio de Vivienda, Ciudad y Territorio, o aquella que la modifique, adicione o sustituya.]
2.1 Acometida de acueducto: Derivación de la red de distribución que se conecta al registro de corte en el inmueble. En edificios de propiedad horizontal o condominios la acometida llega hasta el registro de corte general, incluido este.
2.2 Acometida de alcantarillado: Derivación que parte de la caja de inspección domiciliaria y llega hasta la red secundaria de alcantarillado o al colector.
2.3 Acueducto: Sistema de abastecimiento de agua para una población que corresponde al conjunto de obras, equipos y materiales utilizados para la captación, aducción, conducción, tratamiento y distribución del agua potable para consumo humano.
2.4 Aeración: Proceso en el que se produce paso del aire a través del agua con el objetivo de oxigenarla o de exigir gases o sustancias volátiles.
2.5 Afluente: Agua, agua residual u otro líquido que ingrese a un reservorio o a algún proceso de tratamiento.
2.6 Aguas crudas. Aguas residuales que no han sido tratadas.
2.7 Agua potable: Agua que por reunir los requisitos organolépticos, físicos, químicos y microbiológicos, en las condiciones señaladas en el Decreto 475 de 1998, puede ser consumida por la población humana sin producir efectos adversos a la salud.
2.8 Aguas lluvias: Aguas provenientes de la precipitación pluvial.
2.9 Aguas residuales: Agua que contiene material disuelto y en suspensión, luego de ser usada por una comunidad o industria. Desecho líquido provenientes de residencias, edificios, instituciones, fábricas o industrias.
2.10 Aguas residuales domésticas: Son las procedentes de los hogares, así como de las instalaciones en las cuales se desarrollan actividades industriales, comerciales o de servicios y que correspondan a: i) descarga de los retretes y servicios sanitarios y ii) descarga de los sistemas de aseo personal (duchas y lavamanos), de las áreas de cocinas y cocinetas, de las pocetas de lavado de elementos de aseo y lavado de paredes y pisos y lavado de ropa (no se incluyen las de los servicios de lavandería industrial).
2.11 Aguas residuales no domésticas: Son las procedentes de las actividades industriales, comerciales o de servicios distintas a las que constituyen aguas residuales domésticas.
2.12 Aguas servidas Aguas de desecho provenientes de lavamanos, tinas de baño, duchas, lavaplatos, y otros artefactos que no descargan materias fecales.
2.13 Alcantarillado: Conjunto de obras para recolección, conducción y disposición final de las aguas residuales y/o de las aguas lluvias.
2.14 Alcantarillado convencional: Los sistemas convencionales se dividen en alcantarillados separados y alcantarillados combinados.
2.15 Alcantarillado de aguas combinadas o combinado: Sistema compuesto por todas las instalaciones destinadas a la recolección y transporte, tanto de las aguas residuales como de las aguas lluvias.
2.16 Alcantarillado de aguas lluvias o pluvial: Sistema compuesto por todas las instalaciones destinadas a la recolección, transporte, tratamiento y disposición de aguas lluvias.
2.17 Alcantarillado de aguas residuales o sanitario: Sistema compuesto por todas las instalaciones destinadas a la recolección, transporte, tratamiento y disposición de las aguas residuales domésticas y/o industriales.
2.18 Alcantarillado no convencional: Alcantarillado alternativo al alcantarillado convencional de aguas residuales, basados en consideraciones de diseño adicionales y en una mejor tecnología disponible para su operación y mantenimiento.
2.19 Alcantarillado separado: Sistema constituido por un alcantarillado de aguas residuales y otro de aguas lluvias que recolectan en forma independiente en un mismo sector.
2.20 Aprovechamiento: Proceso mediante el cual, a través de un manejo integral de los residuos sólidos, los materiales recuperados se reincorporan al ciclo económico y productivo en forma eficiente, por medio de la reutilización, el reciclaje, la incineración con fines de generación de energía, el compostaje o cualquier otra modalidad que conlleve beneficios sanitarios, ambientales o económicos.
2.21 Ambiente aerobio: Proceso que requiere o no es destruido por la presencia de oxígeno.
2.22 Ambiente anaerobio: Proceso desarrollado en ausencia de oxígeno molecular.
2.23 Basura: Material o sustancia sólida o semisólida de origen orgánico e inorgánico, putrescible o no, proveniente de actividades domésticas, industriales, comerciales, institucionales, de servicios e instituciones de salud, que no ofrece ninguna posibilidad de aprovechamiento, reutilización o recirculación a través de un proceso productivo. Son residuos que no tienen ningún valor comercial, no se reincorporan al ciclo económico y productivo, requieren de tratamiento y disposición final y por lo tanto generan costos de disposición.
2.24 Capacidad hidráulica: Caudal que puede manejar un componente o una estructura hidráulica conservando sus condiciones normales de operación.
2.25 Captación: Conjunto de estructuras necesarias para obtener el agua de una fuente de abastecimiento.
2.26 Carga orgánica. Producto de la concentración media de DBO por el caudal medio determinado en el mismo sitio; se expresa en kilogramos por día (kg/d).
2.27 Carga superficial: Caudal o masa de un parámetro por unidad de área y por unidad de tiempo que se emplea para dimensionar un proceso de tratamiento ( m³/(m² día), kg DBO/(ha día).
2.28 Caudal máximo diario (QMD): Consumo máximo durante veinticuatro horas, observado en un período de un año, sin tener en cuenta las demandas contra incendio que se hayan presentado.
2.29 Caudal máximo horario (QMH): Consumo máximo durante una hora, observado en un período de un año, sin tener en cuenta las demandas contra incendio que se hayan presentado.
2.30 Caudal medio diario: Caudal medio durante veinticuatro horas, obtenido como el promedio de los consumos diarios en un período de un año.
2.31 Colector: Conducto que recoge las aguas residuales y/o lluvias, provenientes de descargas domiciliarias.
2.32 Colector principal o matriz: Conducto sin conexiones domiciliarias directas que recibe los caudales de los tramos secundarios.
2.33 Demanda Bioquímica de Oxígeno (DBO: Cantidad de oxígeno usado en la estabilización de la materia orgánica por acción de los microorganismos en condiciones de tiempo y temperatura especificados (generalmente cinco días y 20 ºC). Mide indirectamente el contenido de materia orgánica biodegradable.
2.34 Demanda Química de Oxígeno (DQO): Medida de la cantidad de oxígeno requerido para oxidación química de la materia orgánica del agua residual, usando como oxidantes sales inorgánicas de permanganato o dicromato en un ambiente ácido y a altas temperaturas.
2.35 Desarenador: Componente destinado a la remoción de arenas y sólidos que están en suspensión en el agua, mediante un proceso de sedimentación.
2.36 Deshidratación de lodos: Proceso de remoción del agua de lodos hasta formar una pasta sólida.
2.37 Desinfección: Proceso físico o químico que permite la eliminación o destrucción de los organismos patógenos presentes en el agua.
2.38 Diámetro: Diámetro real interno de conductos circulares.
2.39 Digestión: Degradación mediante microorganismos aeróbicos o anaeróbicos de materia orgánica previamente biofloculada hasta convertirla en biosólidos.
2.40 Disposición final: Disposición del efluente de una planta de tratamiento o de los lodos tratados.
2.41 Efluente: Líquido que sale de un proceso de tratamiento.
2.42 Efluente final: Líquido que sale de una planta de tratamiento de aguas residuales.
2.43 Estructuras complementarias (alcantarillado): Estructuras especiales diferentes a las tuberías fluyendo parcialmente llenas que hacen parte un sistema de alcantarillado.
2.44 Estructuras de disipación de energía: Estructuras construidas para minimizar el riesgo de erosión en los sitios de descarga y en algunos puntos localizados de los sistemas de alcantarillado y drenaje urbano, cuyo principio de operación es generar una pérdida de energía en un espacio controlado.
2.45 Nivel freático: Nivel del agua subterránea en un acuífero libre o no confinado (llamado también tabla de agua), que corresponde a la superficie de la zona saturada, la cual está a presión atmosférica.
2.46 Plan de gestión integral de residuos sólidos (PGIRS): Instrumento de planeación municipal o regional que contiene un conjunto ordenado de objetivos, metas, programas, proyectos, actividades y recursos definidos por uno o más entes territoriales para el manejo de los residuos sólidos, basado en la política de gestión integral de los mismos, el cual se ejecutará durante un período determinado, basándose en un diagnóstico inicial, en su proyección hacia el futuro y en un plan financiero viable que permita garantizar el mejoramiento continuo del manejo de residuos y la prestación del servicio de aseo a nivel municipal o regional, evaluado a través de la medición de resultados. Corresponde a la entidad territorial la formulación, implementación, evaluación, seguimiento y control y actualización del PGIRS.
2.47 Planta de tratamiento de agua potable – PTAP: Conjunto de obras, equipos y materiales necesarios para efectuar los procesos que permitan cumplir con las normas de calidad del agua potable.
2.48 Planta de tratamiento de agua residual – PTAR: Conjunto de obras, instalaciones, procesos y operaciones para tratar las aguas residuales.
2.49 Plan maestro de alcantarillado Plan de ordenamiento del sistema de alcantarillado de una localidad para un horizonte de planeamiento dado.
2.50 Población de diseño: Población que se espera atender por el proyecto, considerando el índice de cubrimiento, crecimiento y proyección de la demanda para el período de diseño.
2.51 Proyecto: Obra o conjunto de obras que hayan permitido la ejecución de al menos uno de los componentes que integran el sistema acueducto o un sistema de alcantarillado y que cumplan con las condiciones señaladas en los documentos de la convocatoria.
2.52 RAS. Reglamento de Agua Potable y Saneamiento Básico.
2.53 Recolección: Acción y efecto de retirar y recoger las basuras y residuos sólidos de uno o varios generadores, efectuada por su generador o por la entidad prestadora del servicio público.
2.54 Red de alcantarillado: Conjunto de colectores secundarios, principales, interceptores, emisarios, cámaras de inspección, terminales de limpieza y tubos de inspección y limpieza.
2.55 Red de conducción: Serie de tuberías que transportan el agua desde las plantas de tratamiento hacia los tanques de almacenamiento y/o compensación, o entre tanques, sin conexión de suscriptores.
2.56 Red de distribución: Conjunto de tuberías, accesorios y estructuras que conducen el agua desde el tanque de almacenamiento o planta de tratamiento hasta los puntos de consumo.
2.57 Red local de acueducto: Conjunto de tuberías y accesorios que conforman el sistema de suministro del servicio público de acueducto a una comunidad y del cual se derivan las acometidas de las inmuebles.
2.58 Red local de alcantarillado: Conjunto de tuberías y canales que conforman el sistema de evacuación de las aguas residuales, pluviales o combinadas de una comunidad, y al cual desembocan las acometidas del alcantarillado de los inmuebles.
2.59 Red matriz: Parte de la red de distribución que conforma la malla principal de servicio de una población y que distribuye el agua procedente de la conducción, planta de tratamiento o tanques de compensación a las redes secundarias. La red matriz mantiene las presiones básicas de servicio para el funcionamiento adecuado de todo el sistema, y generalmente no reparte agua en ruta.
2.60 Relleno sanitario: Solución técnica de Saneamiento Básico, resultado de procesos de Planeación, Diseño, Operación y Control para la disposición final adecuada de residuos sólidos. Es el lugar técnicamente diseñado para la disposición final controlada de los residuos sólidos, sin causar peligro, daño o riesgo a la salud pública, minimizando los impactos ambientales y utilizando principios de ingeniería. Confinación y aislamiento de los residuos sólidos en un área mínima, con compactación de residuos, cobertura diaria de los mismos, control de gases y lixiviados, y cobertura final.
2.61 Residuo sólido: Cualquier objeto, material, sustancia o elemento sólido que se abandona, bota o rechaza después de haber sido consumido o usado en actividades domésticas, industriales, comerciales, institucionales, de servicios e instituciones de salud que es susceptible de aprovechamiento o transformación en un nuevo bien, con valor económico. Se dividen en aprovechables y no aprovechables.
2.62 Sistema de acueducto: Conjunto de elementos y estructuras cuya función es la captación de agua, el tratamiento, el transporte, almacenamiento y entrega al usuario final, de agua potable con unos requerimientos mínimos de calidad, cantidad y presión.
2.63 Sistema de alcantarillado: Conjunto de elementos y estructuras cuya función es la recolección, conducción y evacuación hacia las plantas de tratamiento y/o cuerpos receptores de agua, de las aguas residuales y/o lluvias producidas en una ciudad o municipio. También se incluyen las obras requeridas para el transporte, tratamiento y disposición final de estas aguas.
2.64 Tanque de almacenamiento: Depósito de agua en un sistema de acueducto, cuya función es suplir las necesidades de demanda en los momentos pico, permitiendo una recuperación del volumen en las horas de bajo consumo, para poder suministrar sin problemas en las máximas demandas.
2.65 Tanque séptico: Sistema individual de disposición de aguas residuales para una vivienda o conjunto de viviendas; combina la sedimentación y la digestión, Los sólidos sedimentados acumulados se remueven periódicamente y se descargan normalmente en una instalación de tratamiento.
2.66 Técnicas de tratamiento de agua: Procedimientos empleados para mejorar la calidad de agua para consumo humano y doméstico en un inmueble.
2.67 Tramo: Colector comprendido entre dos estructuras de conexión.
2.68 Vertederos: Dispositivos que permiten determinar el caudal. Poseen una ecuación general que depende de la gravedad, de su geometría, de su espesor de pared. La variable independiente será siempre la altura de la lámina de agua sobre el nivel de referencia. De esta forma cualquier vertedero puede calibrarse mediante una curva de calibración del mismo con base en diferentes alturas de la lámina de agua de los diferentes caudales.
| codigo | CCE-EICP-IOI-14 | Versión | 2 |
ANEXO 3 – GLOSARIO
LICITACIÓN DE OBRA PÚBLICA DE INFRAESTRUCTURA DE AGUA POTABLE Y SANEAMIENTO BÁSICO EN LA MODALIDAD DE LLAVE EN MANO
| Código | CCE-EICP-IDI-19 | Página | 1 de 11 |
| Versión No. | 2 | ||
ANEXO 3 – GLOSARIO
Para efectos de interpretación del Pliego de Condiciones: [La Entidad deberá incluir en orden alfabético los conceptos adicionales que apliquen al Proceso de Contratación que no estén incorporados en el presente anexo y aquellos que se definan en una ley o normativa que, en orden de jerarquía esté por encima del Pliego de Condiciones, siendo estos últimos obligatorios con independencia de que se encuentren detallados, o no.]
1. GLOSARIO GENERAL-
1.1 Aclaraciones y Explicaciones de Ofertas: Se remite a las nociones desarrolladas en la sentencia del Consejo de Estado, Sección Tercera, Subsección C, del 12 de noviembre de 2014, Radicado 27.986, consejero ponente: Enrique Gil Botero.
1.2 Acta de Inicio: Documento en el que las partes, de común acuerdo, dejan constancia del inicio de ejecución del plazo contractual.
1.3 Activo Corriente: Activo susceptible de convertirse en dinero en efectivo en un período inferior a un año.
1.4 Activo Total: Activos, bienes, derechos y otros recursos controlados económicamente por la persona jurídica o natural, resultantes de sucesos pasados de los que se espera obtener beneficios o rendimientos económicos en el futuro.
1.5 Administración Delegada: Modalidad de pago en la cual la Entidad delega la ejecución de la obra en el Contratista en calidad de director técnico, quien la ejecuta por cuenta y riesgo de la misma Entidad Estatal. El Contratista obtiene como remuneración los honorarios que se pactan por su gestión. El administrador delegado se encarga de ejecutar la obra y responde por su buen resultado, pero es la Entidad Estatal quien asume los Riesgos derivados del contrato y la financiación de la obra. Los honorarios del contratista pueden pactarse en forma de porcentaje sobre el valor de la obra o como precio fijo.
1.6 Análisis del Sector: Estudio que permite conocer el bien o servicio a adquirir en términos de oferta y demanda e identificar el precio más justo a pagar por la satisfacción de la necesidad de la Entidad. Asimismo, a través de este estudio las Entidades identifican quién puede proveer el bien o servicio, cómo desarrollar el negocio, su cadena de producción y distribución, para saber si el sector tiene la capacidad de proveer el bien o servicio en las condiciones y cantidades requeridas por la Entidad.
Este estudio debe realizarse desde la perspectiva legal, comercial, financiera, organizacional, técnica y de análisis de Riesgo.
1.7 Anexo: Documento o conjunto de documentos que la Entidad adjunta al Pliego de Condiciones y que hacen parte integral de este.
1.8 Anticipo: Préstamo destinado a apalancar el cumplimiento del objeto contractual, de modo que los recursos girados por dicho concepto solo se integran al patrimonio del contratista en la medida que se cause su amortización mediante la presentación de la cuenta o factura respectiva.
1.9 Aclaraciones y explicaciones: Se remite a las nociones desarrolladas en la sentencia del Consejo de Estado, Sección Tercera, Subsección C, del 12 de noviembre de 2014, Radicado 27.986, Consejero Ponente: Enrique Gil Botero.
1.10 Aportes Legales: Contribuciones parafiscales y gravámenes establecidos con carácter obligatorio por la ley que afectan a un determinado y único grupo social y económico y se utilizan para beneficio del propio sector. El manejo, administración y ejecución de estos recursos se hará exclusivamente en la forma dispuesta en la ley que los crea y se destinarán sólo al objeto en ella previsto.
1.11 Apostilla: Certificación de la autenticidad de la firma de un servidor público en ejercicio de sus funciones y la calidad en que el signatario haya actuado, la cual deberá estar registrada ante el Ministerio de Relaciones Exteriores, para que el documento surta plenos efectos legales en un país parte del Convenio sobre la Abolición del Requisito de Legalización de los Documentos Públicos Extranjeros, de la Conferencia de la Haya de 1961.
1.12 Beneficiario Real: Cualquier persona o grupo de personas que, directa o indirectamente, por sí misma o a través de interpuesta persona, por virtud de contrato, convenio o de cualquier otra manera, tenga respecto de una acción de una sociedad, o pueda llegar a tener, por ser propietario de bonos obligatoriamente convertibles en acciones, capacidad decisoria; esto es, la facultad o el poder de votar en la elección de directivas o representantes o de dirigir, orientar y controlar dicho voto, así como la facultad o el poder de enajenar y ordenar la enajenación o gravamen de la acción.
Conforman un mismo beneficiario real los cónyuges o compañeros permanentes y los parientes dentro del segundo grado de consanguinidad, segundo de afinidad y único civil, salvo que se demuestre que actúan con intereses económicos independientes, circunstancia que podrá ser declarada mediante la gravedad de juramento ante la Superintendencia Financiera de Colombia con fines exclusivamente probatorios.
Igualmente, constituyen un mismo beneficiario real las sociedades matrices y sus subordinadas.
1.13 Capacidad Financiera: Condiciones financieras mínimas que debe tener un Proponente en razón de su liquidez, endeudamiento y los demás indicadores que apliquen para soportar adecuadamente la ejecución del contrato.
1.14 Capacidad Organizacional: Aptitud de un Proponente para cumplir oportuna y cabalmente el objeto del contrato en función de su organización interna. Son aquellos contenidos en el artículo 2.2.1.1.1.5.3 del Decreto 1082 de 2015 o la norma que lo adicione, modifique, reemplace, complemente o sustituya.
1.15 Certificado de Disponibilidad Presupuestal: Documento que acredita la disponibilidad de recursos en presupuesto para adelantar el Proceso de Contratación.
1.16 Conflicto de Interés: Circunstancias que el interesado o el Proponente dará a conocer a la Entidad y que considera puede tener incidencia en la imparcialidad con la que se debe adoptar las decisiones en el curso del Proceso de Contratación.
1.17 Consorcio: Figura asociativa en la cual dos o más personas conjuntamente presentan una misma propuesta para la adjudicación, celebración y ejecución de un contrato, respondiendo solidariamente de las obligaciones derivadas de la propuesta y del contrato.
1.18 Contratista: Persona natural, jurídica o el grupo de personas jurídicas o naturales, nacionales o extranjeras, asociadas entre sí que suscriben un contrato con el fin de ejecutar el objeto bajo las condiciones de modo, tiempo y lugar que en él se establecen.
1.19 Contrato de Obra: Acuerdo de voluntades celebrado por las Entidades Estatales para la construcción, mantenimiento, instalación y, en general, para la realización de cualquier otro trabajo material sobre bienes inmuebles, con independencia de la modalidad de ejecución y pago.
1.20 Contrato llave en mano: Modalidad en la cual el contratista se compromete a realizar todas las labores relacionadas con la obra incluyendo los diseños, estudios de factibilidad, construcción, contratación del personal, instalaciones y suministros y la contraprestación a cargo del contratista es la obra terminada y en funcionamiento. El precio corresponde a un valor previamente establecido que opera como remuneración por todas las gestiones que adelanta el contratista.
1.21 Documentos Tipo: Documentos adoptados por la Agencia Nacional de Contratación Pública – Colombia Compra Eficiente que establecen los requisitos habilitantes, factores técnicos, económicos y otros requisitos que representen buenas prácticas contractuales de carácter obligatorio para las Entidades sometidas por el Estatuto General de Contratación de la Administración Pública.
1.22 EPC (por sus siglas en inglés Engineering, Procurement and Construction): Contrato que tiene como objetivos principales los servicios de ingeniería, adquisición y construcción. El contratista, junto a sus funciones tradicionales relacionadas con el suministro de equipos, la construcción y la puesta en marcha, asume la ingeniería del proyecto y la responsabilidad global frente al cliente o contratante. También es denominado como contrato de construcción “llave en mano”.
1.23 Estados Financieros: Informes utilizados en las instituciones/empresas que reflejan la situación económica y financiera y los cambios que se dan en cierta fecha o período determinado. Un juego completo de estados financieros comprende: (a) un estado de situación financiera al final del periodo; (b) un estado del resultado integral del periodo; (c) un estado de cambios en el patrimonio del periodo; (d) un estado de flujos de efectivo del periodo; (e) notas, que incluyan un resumen de las políticas contables más significativas y otra información explicativa; y (f) un estado de situación financiera al principio del primer periodo comparativo, cuando una entidad aplique una política contable retroactivamente o realice una reexpresión retroactiva de partidas en sus estados financieros, o cuando reclasifique partidas en sus estados financieros.
1.24 Estudios Previos: Justificación jurídica, técnica, económica y financiera del proyecto que realiza la Entidad de acuerdo con las Leyes 80 de 1993 y1150 de 2007 y el Decreto 1082 de 2015 o las normas que lo adicionen, modifiquen o complementen.
1.25 Formato: Documentos que aporta el Proponente y que hacen parte integral de su oferta.
1.26 Formulario: Documento por medio del cual la Entidad solicita información específica relacionada con la oferta económica y que debe ser diligenciada por el Proponente.
1.27 Garantía: Respaldo que tiene como fin el pago a favor de la Entidad de las indemnizaciones o sanciones derivadas del incumplimiento del contrato.. Las clases de garantías son: (i) contratos de seguro, (ii) fiducia mercantil de garantía o (iii) garantías bancarias.
1.28 Garantía de Responsabilidad Civil Extracontractual: Garantía que cubre los perjuicios que puede sufrir la Entidad Estatal derivados de la responsabilidad extracontractual que surja de las actuaciones, hechos u omisiones de su contratista o de los subcontratistas. Este Riesgo sólo puede cubrirse mediante pólizas de seguro.
1.29 Información Pública Reservada: Información que estando en poder o custodia de un sujeto obligado en su calidad de tal, es exceptuada de acceso a terceros por daño a intereses públicos conforme con el artículo 19 de la Ley 1712 de 2014.
1.30 Infraestructura de Agua Potable y Saneamiento Básico: Son las obras realizadas en:
- Acueductos
- Alcantarillado
- Aseo y/o manejo de residuos
- Plantas de Tratamiento de Agua Potable y Planta de Tratamiento de Aguas Residuales
- Unidades sanitarias para vivienda rural dispersa
1.31 Legalización: Certificación de la autenticidad de la firma de un servidor público en ejercicio de sus funciones y la calidad en que el signatario haya actuado, la cual deberá estar registrada ante el Ministerio de Relaciones Exteriores, para que el documento surta plenos efectos legales en un país que hace parte de la Convención de Viena de 1963, sobre relaciones consulares, literal f del artículo 5 que reglamenta las actuaciones consulares en calidad de notario.
1.32 Matriz: Documento que incorpora condiciones técnicas, de riesgos o económicas que debe tener en cuenta el Proponente al momento de estructurar su oferta y ejecutar el contrato.
1.33 Medio Magnético: Dispositivo que utiliza materiales magnéticos para archivar información digital, tales como las USB, discos duros o los CD que almacenan grandes volúmenes de datos en un espacio físico reducido.
1.34 Pago Anticipado: Extinción anticipada de obligaciones a través del pago de una parte del precio del contrato.
1.35 Pliego de Condiciones: Conjunto de reglas que rigen el Proceso de Contratación y el futuro contrato, en los que se señalan las condiciones objetivas, plazos y procedimientos dentro de los cuales los Proponentes deben formular su oferta para participar en el Proceso de Contratación.
1.36 Pliego de Condiciones Tipo: Documento estructurado, actualizado y publicado por la Agencia Nacional de Contratación Pública - Colombia Compra Eficiente que incorpora las condiciones habilitantes, requisitos de puntaje y demás aspectos señalados en el artículo 1 de la Ley 2022 de 2020.
1.37 Porcentaje de AIU: Es el porcentaje de los costos directos destinados a cubrir: los gastos de administración (A), que comprende los gastos de dirección de obra, gastos administrativos de oficina, etc.; los imprevistos (I), que corresponde a un porcentaje destinado a cubrir los gastos que surjan y que no fueron previstos, y las utilidades (U) que corresponde a la remuneración propiamente dicha del Contratista por su trabajo.
1.38 Precio Global: Modalidad de pago cierto, cerrado e inalterable como única remuneración como contraprestación por el cumplido del objeto contratado.
1.39 Precios Unitarios: Contratos cuya forma o sistema de pago es por unidades o cantidades de obra y el valor total corresponde al que resulta de multiplicar las cantidades de obras ejecutadas por el precio de cada una de ellas comprometiéndose el Contratista a realizar las obras especificadas en el contrato.
1.40 Presupuesto Oficial: Valor total que la Entidad determina como necesario para ejecutar el objeto del contrato con base en el estudio previo y el análisis del sector.
1.41 Proponente: Persona o el grupo de personas que presentan una oferta para participar en el Proceso de Contratación.
1.42 Proponente Plural: Figura asociativa en la cual dos o más personas en forma conjunta se unen para la presentación de una propuesta, celebrar y ejecutar un contrato. No constituyen una persona jurídica independiente de sus integrantes. Puede tener la figura de Consorcios o de Uniones Temporales.
1.43 Reembolso de Gastos: Forma de pago en la cual el Contratista asume los gastos de ejecución del contrato y la Entidad Estatal periódicamente rembolsa dichos gastos y además reconoce a éste los honorarios que se pactan por su gestión.
1.44 Selección Objetiva: Principio que busca que la escogencia de los colaboradores de la administración responda a criterios objetivos, en concordancia con los principios que rigen la función administrativa.
1.45 Sobre No. 1: Sobre que incluye los documentos relacionados con el cumplimiento de los requisitos habilitantes, así como los requisitos y documentos a los que se les asigna puntaje que son diferentes a la oferta económica.
1.46 Sobre No. 2: Sobre que contiene la oferta económica.
1.47 Subcontratista: Persona natural, jurídica o figura asociativa que contrata el Contratista principal para ejecutar una actividad previamente contratada por una Entidad u otra persona natural o jurídica.
1.48 Sucursal: Establecimiento de comercio abierto por una sociedad, dentro o fuera de su domicilio, para desarrollar los negocios sociales o parte de ellos, administrados por mandatarios con facultades para representar a la sociedad.
1.49 Trato Nacional: Principio según el cual un Estado concede a los nacionales de otro Estado el mismo trato que otorga a sus nacionales.
1.50 Unión Temporal: Forma asociativa en la cual dos o más personas presentan conjuntamente una misma propuesta para la adjudicación, celebración y ejecución de un contrato, respondiendo solidariamente por el cumplimiento total de la propuesta y del objeto contratado, pero las sanciones por el incumplimiento de las obligaciones derivadas de la propuesta y del contrato se imponen de acuerdo con la participación en la ejecución de cada uno de sus integrantes.
1.51 Utilidad Operacional: Ingresos, costos y gastos operacionales relacionados directamente con el objeto social de la persona jurídica o natural, con su actividad principal, dejando de lado los gastos e ingresos no operacionales, es decir, aquellos ingresos diferentes a los obtenidos en el desarrollo de la actividad principal de la empresa, ingresos que por lo general son ocasionales o que son accesorios a la actividad principal.
1.52 Vigencia Fiscal: Período que comprende desde el 1 de enero hasta el 31 de diciembre de cada año.
2. GLOSARIO ESPECÍFICO TÉCNICO
[La Entidad Estatal deberá incorporar en orden alfabético los conceptos adicionales que apliquen al Proceso de Contratación que no estén incluidos en el presente anexo.
De igual forma, la Entidad deberá dar uso a las definiciones o conceptos establecidos en el Reglamento Técnico para el Sector de Agua Potable y Saneamiento Básico – RAS, así como lo establecido en la Resolución 330 del 8 de junio de 2017 del Ministerio de Vivienda, Ciudad y Territorio, o aquella que la modifique, adicione o sustituya.]
2.1 Acometida de acueducto: Derivación de la red local de distribución que se conecta al registro de corte en el inmueble. En edificios de propiedad horizontal o condominios, la acometida llega hasta el registro de corte general, incluido éste.
2.2 Acometida de alcantarillado: Derivación que parte de la caja de inspección domiciliaria y llega hasta la red secundaria de alcantarillado o al colector.
2.3 Acueducto: Sistema de abastecimiento de agua para una población, que corresponde al conjunto de obras, equipos y materiales utilizados para la captación, aducción, conducción, tratamiento y distribución del agua potable para consumo humano.
2.4 Aeración: Proceso en el que se produce el paso del aire a través del agua con el objetivo de oxigenarla o de excluir gases o sustancias volátiles.
2.5 Afluente: Agua, agua residual u otro líquido que ingrese a un reservorio, o a algún proceso de tratamiento.
2.6 Aguas crudas. Aguas residuales que no han sido tratadas.
2.7 Agua potable: Agua que por reunir los requisitos organolépticos, físicos, químicos y microbiológicos, en las condiciones señaladas en el Decreto 475 de 1998, puede ser consumida por la población humana sin producir efectos adversos a la salud.
2.8 Aguas lluvias: Aguas provenientes de la precipitación pluvial.
2.9 Aguas residuales: Agua que contiene material disuelto y en suspensión, luego de ser usada por una comunidad o industria. Desecho líquido provenientes de residencias, edificios, instituciones, fábricas o industrias.
2.10 Aguas residuales domésticas: Son las procedentes de los hogares, así como de las instalaciones en las cuales se desarrollan actividades industriales, comerciales o de servicios y que correspondan a: i) descarga de retretes y servicios sanitarios y ii) descarga de los sistemas de aseo personal (duchas y lavamanos), de las áreas de cocinas y cocinetas, de las pocetas de lavado de elementos de aseo y lavado de paredes y pisos y lavado de ropa (no se incluyen las de los servicios de lavandería industrial).
2.11 Aguas residuales no domésticas: Son las procedentes de las actividades industriales, comerciales o de servicios distintas a las que constituyen aguas residuales domésticas.
2.12 Aguas servidas Aguas de desecho provenientes de lavamanos, tinas de baño, duchas, lavaplatos, y otros artefactos que no descargan materias fecales.
2.13 Alcantarillado: Conjunto de obras para recolección, conducción y disposición final de las aguas residuales y/o de las aguas lluvias.
2.14 Alcantarillado convencional: Los sistemas convencionales se dividen en alcantarillados separados y alcantarillados combinados.
2.15 Alcantarillado de aguas combinadas o combinado: Sistema compuesto por todas las instalaciones destinadas a la recolección y transporte, tanto de las aguas residuales como de las aguas lluvias.
2.16 Alcantarillado de aguas lluvias o pluvial: Sistema compuesto por todas las instalaciones destinadas a la recolección, transporte, tratamiento y disposición de aguas lluvias.
2.17 Alcantarillado de aguas residuales o sanitario: Sistema compuesto por todas las instalaciones destinadas a la recolección, transporte, tratamiento y disposición final de las aguas residuales domésticas y/o industriales.
2.18 Alcantarillado no convencional: Alcantarillado alternativo al alcantarillado convencional de aguas residuales, basados en consideraciones de diseño adicionales y en una mejor tecnología disponible para su operación y mantenimiento.
2.19 Alcantarillado separado: Sistema constituido por un alcantarillado de aguas residuales y otro de aguas lluvias que recolectan en forma independiente en un mismo sector.
2.20 Aprovechamiento: Proceso mediante el cual, a través de un manejo integral de los residuos sólidos, los materiales recuperados se reincorporan al ciclo económico y productivo en forma eficiente, por medio de la reutilización, el reciclaje, la incineración con fines de generación de energía, el compostaje o cualquier otra modalidad que conlleve beneficios sanitarios, ambientales o económicos.
2.21 Ambiente aerobio: Proceso que requiere o no es destruido por la presencia de oxígeno.
2.22 Ambiente anaerobio: Proceso desarrollado en ausencia de oxígeno molecular.
2.23 Basura: Material o sustancia sólida o semisólida de origen orgánico e inorgánico, putrescible o no, proveniente de actividades domésticas, industriales, comerciales, institucionales, de servicios e instituciones de salud, que no ofrece ninguna posibilidad de aprovechamiento, reutilización o recirculación a través de un proceso productivo. Son residuos que no tienen ningún valor comercial, no se reincorporan al ciclo económico y productivo, requieren de tratamiento y disposición final y por lo tanto generan costos de disposición.
2.24 Capacidad hidráulica: Caudal que puede manejar un componente o una estructura hidráulica conservando sus condiciones normales de operación.
2.25 Captación: Conjunto de estructuras necesarias para obtener el agua de una fuente de abastecimiento.
2.26 Carga orgánica. Producto de la concentración media de DBO por el caudal medio determinado en el mismo sitio; se expresa en kilogramos por día (kg/d).
2.27 Carga superficial: Caudal o masa de un parámetro por unidad de área y por unidad de tiempo, que se emplea para dimensionar un proceso de tratamiento ( m³/(m² día), kg DBO/(ha día).
2.28 Caudal máximo diario (QDM): Consumo máximo durante veinticuatro horas, observado en un período de un año, sin tener en cuenta las demandas contra incendio que se hayan presentado.
2.29 Caudal máximo horario (QMH): Consumo máximo durante una hora, observado en un período de un año, sin tener en cuenta las demandas contra incendio que se hayan presentado.
2.30 Caudal medio diario: Caudal medio durante veinticuatro horas, obtenido como el promedio de los consumos diarios en un período de un año.
2.31 Colector: Conducto sin conexiones domiciliarias directas que recibe los caudales de los tramos secundarios.
2.32 Colector principal o matriz: Conducto sin conexiones domiciliarias directas que recibe los caudales secundarios.
2.33 Demanda Bioquímica de Oxígeno (DBO): Cantidad de oxígeno usado en la estabilización de la materia orgánica por acción de los microorganismos en condiciones de tiempo y temperatura especificados (generalmente cinco días y 20 ºC). Mide indirectamente el contenido de materia orgánica biodegradable.
2.34 Demanda Química de Oxígeno (DQO): Medida de la cantidad de oxígeno requerido para oxidación química de la materia orgánica del agua residual usando como oxidantes sales inorgánicas de permanganato o dicromato en un ambiente ácido y a altas temperaturas.
2.35 Desarenador: Componente destinado a la remoción de las arenas y sólidos que están en suspensión en el agua, mediante un proceso de sedimentación.
2.36 Deshidratación de lodos: Proceso de remoción del agua de lodos hasta formar una pasta sólida.
2.37 Desinfección: Proceso físico o químico que permite la eliminación o destrucción de los organismos patógenos presentes en el agua.
2.38 Diámetro: Diámetro real interno de conductos circulares.
2.39 Digestión: Degradación mediante microorganismos aeróbicos o anaeróbicos, de materia orgánica previamente biofloculada hasta convertirla en biosólidos.
2.40 Disposición final: Disposición del efluente de una planta de tratamiento o de los lodos tratados.
2.41 Efluente: Líquido que sale de un proceso de tratamiento.
2.42 Efluente final: Líquido que sale de una planta de tratamiento de aguas residuales.
2.43 Estructuras complementarias (alcantarillado): Son todas aquellas estructuras especiales diferentes a las tuberías fluyendo parcialmente llenas que hacen parte un sistema de alcantarillado.
2.44 Estructuras de disipación de energía: Estructuras construidas para minimizar el riesgo de erosión en los sitios de descarga y en algunos puntos localizados de los sistemas de alcantarillado y drenaje urbano, cuyo principio de operación es generar una pérdida de energía en un espacio controlado.
2.45 Nivel freático: Nivel de agua subterránea en un acuífero libre o no confinado (llamado también tabla de agua), corresponde a la superficie de la zona saturada, la cual está a presión atmosférica.
2.46 Plan de gestión integral de residuos sólidos (PGIRS): Instrumento de planeación municipal o regional que contiene un conjunto ordenado de objetivos, metas, programas, proyectos, actividades y recursos definidos por uno o más entes territoriales para el manejo de los residuos sólidos, basado en la política de gestión integral de los mismos, el cual se ejecutará durante un período determinado, basándose en un diagnóstico inicial, en su proyección hacia el futuro y en un plan financiero viable que permita garantizar el mejoramiento continuo del manejo de residuos y la prestación del servicio de aseo a nivel municipal o regional, evaluado a través de la medición de resultados. Corresponde a la entidad territorial la formulación, implementación, evaluación, seguimiento y control y actualización del PGIRS.
2.47 Planta de tratamiento de agua potable – PTAP: Conjunto de obras, equipos y materiales necesarios para efectuar los procesos que permitan cumplir con las normas de calidad del agua potable.
2.48 Planta de tratamiento de agua residual – PTAR: Conjunto de obras, instalaciones, procesos y operaciones para tratar las aguas residuales.
2.49 Plan maestro de alcantarillado Plan de ordenamiento del sistema de alcantarillado de una localidad para un horizonte de planeamiento dado.
2.50 Población de diseño: Población que se espera atender por el proyecto, considerando el índice de cubrimiento, crecimiento y proyección de la demanda para el período de diseño.
2.51 Proyecto: Obra o conjunto de obras que hayan permitido la ejecución de al menos uno de los componentes que integran el sistema acueducto o un sistema de alcantarillado y que cumplan con las condiciones señaladas en los documentos de la convocatoria.
2.52 RAS. Reglamento de Agua Potable y Saneamiento Básico.
2.53 Recolección: Acción y efecto de retirar y recoger las basuras y residuos sólidos de uno o varios generadores, efectuada por su generador o por la entidad prestadora del servicio público.
2.54 Red de alcantarillado: Conjunto de colectores secundarios, principales, interceptores, emisarios, cámaras de inspección, terminales de limpieza y tubos de inspección y limpieza.
2.55 Red de conducción: Serie de tuberías que transportan el agua desde las plantas de tratamiento hacia los tanques de almacenamiento y/o compensación, o entre tanques, sin conexión de suscriptores.
2.56 Red de distribución: Conjunto de tuberías, accesorios y estructuras que conducen el agua desde el tanque de almacenamiento o planta de tratamiento hasta los puntos de consumo.
2.57 Red local de acueducto: Conjunto de tuberías y accesorios que conforman el sistema de suministro del servicio público de acueducto a una comunidad y del cual se derivan las acometidas de las inmuebles.
2.58 Red local de alcantarillado: Conjunto de tuberías y canales que conforman el sistema de evacuación de las aguas residuales, pluviales o combinadas de una comunidad, y al cual desembocan las acometidas del alcantarillado de los inmuebles.
2.59 Red matriz: Parte de la red de distribución que conforma la malla principal de servicio de una población y que distribuye el agua procedente de la conducción, planta de tratamiento o tanques de compensación a las redes secundarias. La red matriz mantiene las presiones básicas de servicio para el funcionamiento adecuado de todo el sistema, y generalmente no reparte agua en ruta.
2.60 Relleno sanitario: Solución técnica de Saneamiento Básico, resultado de procesos de Planeación, Diseño, Operación y Control para la disposición final adecuada de residuos sólidos. Es el lugar técnicamente diseñado para la disposición final controlada de los residuos sólidos, sin causar peligro, daño o riesgo a la salud pública, minimizando los impactos ambientales y utilizando principios de ingeniería. Confinación y aislamiento de los residuos sólidos en un área mínima, con compactación de residuos, cobertura diaria de los mismos, control de gases y lixiviados, y cobertura final.
2.61 Residuo sólido: Cualquier objeto, material, sustancia o elemento sólido que se abandona, bota o rechaza después de haber sido consumido o usado en actividades domésticas, industriales, comerciales, institucionales, de servicios e instituciones de salud y que es susceptible de aprovechamiento o transformación en nuevo bien, con valor económico. Se dividen en aprovechables y no aprovechables.
2.62 Sistema de acueducto: Conjunto de elementos y estructuras cuya función es la captación de agua, el tratamiento, el transporte, almacenamiento y entrega al usuario final, de agua potable con unos requerimientos mínimos de calidad, cantidad y presión.
2.63 Sistema de alcantarillado: Conjunto de elementos y estructuras cuya función es la recolección, conducción y evacuación hacia las plantas de tratamiento y/o cuerpos receptores de agua, de las aguas residuales y/o lluvias producidas en una ciudad o municipio. También se incluyen las obras requeridas para el transporte, tratamiento y disposición final de estas aguas.
2.64 Tranque de almacenamiento: Depósito de agua en un sistema de acueducto, cuya función es suplir las necesidades de demanda en los momentos pico, permitiendo una recuperación del volumen en las horas de bajo consumo, para poder suministrar sin problemas en las máximas demandas.
2.65 Tanque séptico: Sistema individual de disposición de aguas residuales para una vivienda o conjunto de viviendas; combina la sedimentación y la digestión. Los sólidos sedimentos acumulados se remueven periódicamente y se descargan normalmente en una instalación de tratamiento.
2.66 Técnicas de tratamiento de agua: Procedimientos empleados para mejorar la calidad de agua para consumo humano y doméstico en un inmueble.
2.67 Tramo: Colector comprendido entre dos estructuras de conexión.
2.68 Vertederos: Dispositivos que permiten determinar el caudal. Poseen una ecuación general que depende de la gravedad, de su geometría, de su espesor de pared. La variable independiente será siempre la altura de la lámina de agua sobre el nivel de referencia. De esta forma cualquier vertedero puede calibrarse mediante una curva de calibración del mismo con base en diferentes alturas de la lámina de agua de los diferentes caudales.
| codigo | CCE-EICP-IOI-19 | Versión | 2 |

LA INFORMACIÓN INCLUIDA EN ESTE FORMATO ES DE RESPONSABILIDAD DEL PROPONENTE
NOTA No. 1: Para cada Contrato se debe indicar la razón social de contratante, el número y/o objeto y si se ha ejecutado en forma individual (I), Consorcio (C), Unión Temporal (UT) o bajo cualquier otra modalidad de asociación y el porcentaje de participación.
NOTA No. 2: En el caso de Contratos suscritos en Consorcio, Unión Temporal u otra modalidad de asociación considerar lo establecido en el Pliego de Condiciones.
NOTA No. 3: Los valores consignados deben relacionarse en pesos colombianos realizando su conversión a SMMLV.
NOTA No. 4: Para la acreditación del criterio de experiencia se tomará únicamente hasta el máximo de Contratos definidos en el literal c), numeral 3.5.2 del documento base, precisando que este tope máximo de contratos variará con ocasión al criterio diferencial a favor de las Mipyme y/o emprendimiento y empresas de mujeres en cuanto a los requisitos habilitantes relacionados con el número de contratos aportados para acreditar la experiencia solicitada.
NOTA No. 5: Para Proponentes Plurales se debe informar que integrante aporta la experiencia.
NOTA No. 6: El valor total se calcula de conformidad con lo indicado en el Pliego de Condiciones.
NOTA No. 7: Para los Contratos facturados en moneda diferente al peso colombiano, debe presentarse un cuadro de conversión de valores de moneda extranjera de conformidad con lo establecido en la sección de moneda del Pliego de Condiciones, realizando despues su conversión a SMMLV.
NOTA No. 8: Los Proponentes sin sucursal o domicilio en Colombia deben incluir los códigos de clasificación de las naciones unidas para cada uno de los Contratos aportados.
CARACTERÍSTICAS DEL FORMATO 3 - EXPERIENCIA
Las casillas del Formato 3 - Experiencia deben ser diligenciadas conforme con lo siguiente
Número de orden: Se refiere al número de contratos aportados para acreditar la experiencia que como mínimo se deberá presentar un (1) contrato y cómo máximo cinco (5) contratos, sin perjuicio de lo indicado con ocasión al criterio diferencial fijado para las Mipymes y/o emprendimiento y empresas de mujeres en cuanto a los requisitos habilitantes relacionados con el número de contratos aportados para demostrar la experiencia solicitada. En estos caso, se incluirá la casilla correspondiente a cada contrato adicional, segun corresponda.
Número consecutivo del reporte del contrato ejecutado en el RUP: Esta casilla se diligenciará únicamente por los Proponentes que se encuentran obligados a tener RUP. Si está obligado se deberá señalar el número consecutivo donde se encuentra ubicado el contrato en el RUP.
Experiencia requerida: En relacion con este acápite se indicará si el contrato aportado para acreditar lo exigido en la actividad principal acredita la experiencia general o la especifica
Entidad contratante: El nombre de la persona natural o juridica, pública o privada, con la cual se celebró el Contrato.
Contrato o resolución: Se deberá diligenciar el número del contrato o la resolución de la adjudicación del contrato y, además la descripcion del objeto contractual.
Contrato ejecutado identificado con el clasificador de bienes y servicios: Se deberá diligenciar ell código que coincida con los códigos requeridos por la Entidad en el numeral "3.5.4 CLASIFICACIÓN DE LA EXPERIENCIA EN EL CLASIFICADOR DE BIENES, OBRAS Y SERVICIOS DE LAS NACIONES UNIDAS"
Formas de ejecución: El Proponente deberá indicar si el contrato se ejecuto de las siguientes formas: i) Forma individual (i); ii) Consorcio (c); iii) Unión Temporal (UT); iv) Bajo cualquier modalidad de asociacion (Otra). Ademas, se deberá indicar el porcentaje de participacion de la persona que ejecutó el contrato.
Integrante de la estructura plural que se está presentando: Identificar en el contrato que se aporta quien es el integrante de la estructura plural que se está presentando.
Valor total reportado en el RUP: Incluir el valor total del contrato que se encuentra registrado en el RUP. De acuerdo con la “Nota No. 3” los valores consignados deben expresarse en pesos colombianos.
Valor total del contrato en SMMLV: Esta casilla la deberán diligenciar los Proponentes que no tienen RUP e incluira el valor total del contrato en SMMLV. Ademas, se deberá diligenciar este formato en pesos colombianos, haciendo su conversión a SMMLV.
Lotes: En los procesos estructurados por lotes indicar si el certificado de experiencia es para un determinado lote, para varios o para todos. Por ejemplo: Lote 1, Lote 2, 3 y 5 o todos.
De acuerdo con la sección 3.5.2 del Documento Base, si el Proponente no diligencia el "Formato 3 - Experiencia", la Entidad solicitará su subsanación en los terminos del numeral 1.6. En caso de que el oferente no subsane se tendrán en cuenta para la evaluación los cinco (5) contratos de mayor valor aportados, con los cuales la Entidad verificara la experiencia general y especifica solicitada para la actividad principal, al igual que los solicitados para la actividad secundaria en antención a las combinaciones de experiencia aplicables y la experiencia exigida respecto de los bienes y servicios adicionales a la obra de infraestrucutra de transporte, Tratandose de Proponentes que acrediten la calidad de Mipyme o emprendiemiento y empresa de mujeres se tendrá en cuenta como máximo los seis (6) contratos aportados de mayor valor. En caso de que el Proponente acredite la calidad de Mipyme y de emprendimiento y empresa de mujeres con domicilio en el territorio nacional de manera conjunta, se tendrá en cuenta como máximo los siete (7) contratos aportados de mayor valor
El “Formato 3 - Experiencia” consolida la experiencia que se está aportando, pero no acredita la experiencia del Proponente. Si el Proponente aporta el RUP con la información de su experiencia relacionada o aporta los contratos de experiencia que tiene a su nombre, se deberá acreditar la experiencia, a pesar de no allegar o diligenciar indebidamente el "Formato 3- Experiencia".
NOTA: Toda la informacion suministrada por el Proponente deberá ser veraz y estará sujeta a verificadion de acuerdo con lo estipulado en estos Pliegos de Condiciones
FORMATO 10 – FACTORES DE DESEMPATE
LICITACIÓN DE OBRA PÚBLICA DE INFRAESTRUCTURA DE INVERSIÓN SOCIAL
| Código | CCE-EICP-FM-113 | Página | 1 de 14 |
| Versión No. | 2 | ||
FORMATO 10A – PARTICIPACIÓN MAYORITARIA DE MUJERES CABEZA DE FAMILIA Y/O MUJERES VÍCTIMA DE VIOLENCIA INTRAFAMILIAR (PERSONA JURÍDICA)
Este formato se diligencia por el representante legal o el revisor fiscal, según corresponda, de la persona jurídica en el que mayoritariamente participen mujeres cabeza de familia y/o mujeres víctima de violencia intrafamiliar. En el evento que la oferta la presente una entidad privada sin ánimo de lucro, ya sea fundación, corporación o asociación se ajustará el formato en lo pertinente. La información aquí vertida contiene datos sensibles los cuales están sujetos a reserva legal y, por tanto, no podrán publicarse en el SECOP I y II para su conocimiento]
Señores
[NOMBRE DE LA ENTIDAD]
[Ciudad]
REFERENCIA: Proceso de Contratación [Incluir número del Proceso de Contratación]
Objeto:
[Incluir cuando el Proceso de Contratación sea estructurado por lotes o grupos] Lote: [Indicar el lote o lotes a los cuales se presenta oferta.]
Estimados señores:
[Incluir el nombre del representante legal de la persona jurídica o del revisor fiscal, según corresponda] identificado con [Incluir el número de identificación], en mi condición de [Indicar si actúa como representante legal o revisor fiscal] de [Incluir la razón social de la persona jurídica] identificada con el NIT [Incluir el NIT], certifico bajo la gravedad del juramento que más del cincuenta por ciento (50 %) de la composición accionaria o cuota parte de la persona jurídica está constituida por mujeres cabeza de familia y/o mujeres víctima de violencia intrafamiliar. Esta información está soportada de acuerdo con los libros de comercio de la sociedad, los cuales gozan de reserva legal en los términos del artículo 61 del Código de Comercio.
En el siguiente cuadro señalo las mujeres cabeza de familia y/o mujeres víctima de violencia intrafamiliar que participan mayoritariamente en la persona jurídica, junto con su respectivo porcentaje de participación:
| Identificación de las mujeres cabeza de familia y/o mujeres víctima de violencia intrafamiliar que participan en la persona jurídica (Incluir nombre y documento de identidad) | Número de cuotas sociales, acciones que poseen o el alcance o condición de su participación en el caso de las personas jurídicas sin ánimo de lucro |
Sin perjuicio de lo anterior, para probar la condición de cada una de las mujeres que participan en la sociedad, aporto los documentos de cada una de ellas, de acuerdo con los incisos 1, 2 y 3 del subnumeral 2 del numeral 4.9 del Documento Base.
En constancia, se firma en ______________, a los ____ días del mes de _____ del 20__
___________________________________________
[Nombre y firma del representante legal de la persona jurídica o el revisor fiscal, según corresponda]
FORMATO 10B – VINCULACIÓN DE PERSONAS EN CONDICIÓN DE DISCAPACIDAD
[Tratándose de Proponentes Plurales, este formato lo presentará el integrante o los integrantes que tengan una participación de por lo menos el veinticinco por ciento (25 %) en el Consorcio o en la Unión teTemporal y aporten mínimo el veinticinco por ciento (25 %) de la experiencia acreditada en la oferta]
Señores
[NOMBRE DE LA ENTIDAD]
[Ciudad]
REFERENCIA: Proceso de Contratación [Incluir número del Proceso de Contratación]
Objeto:
[Incluir cuando el Proceso de Contratación sea estructurado por lotes o grupos] Lote: [Indicar el lote o lotes a los cuales se presenta oferta.]
Estimados señores:
[Incluir el nombre de la persona natural, el representante legal de la persona jurídica o el revisor fiscal, según corresponda] identificado con [Incluir el número de identificación], en mi condición de [Indicar si actúa como, persona natural (nombre propio) representante legal o revisor fiscal] de [Incluir la razón social de la persona jurídica (si aplica)] [identificada con el NIT (si aplica) __________], certifico que tengo vinculado en la planta de personal un mínimo del diez por ciento (10 %) de empleados en las condiciones de discapacidad enunciadas en la Ley 361 de 1997, contratados [con una anterioridad no inferior a un año o desde la constitución de la sociedad -si aplica- (para sociedades con menos de un año de constitución)], para lo cual adjunto el certificado expedido por el Ministerio del Trabajo.
Para acreditar el tiempo de vinculación de que tratan los incisos 1 y 3 subnumeral 3 del numeral 4.9 del Documento Base, allego el certificado de aportes al Sistema de Seguridad Social del último año, en el que se demuestran los pagos realizados por el empleador.
De igual manera me comprometo en caso de resultar adjudicatario del Proceso de Contratación, a mantener vinculados a los empleados en condiciones de discapacidad por un lapso igual al del plazo de ejecución del contrato.
En constancia, se firma en ______________, a los ____ días del mes de _____ del 20__.
[Nombre y firma de la persona natural]
[Nombre y firma del representante legal de la persona jurídica o el revisor fiscal, según corresponda]
FORMATO 10C – VINCULACIÓN DE PERSONAS NO BENEFICIARIAS DE LA PENSIÓN DE VEJEZ, FAMILIAR O SOBREVIVENCIA
(EMPLEADOR – PROPONENTE)
[Este formato lo diligencia la persona natural, el representante legal o el revisor fiscal de la persona jurídica que tenga dentro de su personal trabajadores mayores de edad vinculados en la planta del personal que no sean beneficiarios de la pensión de vejez, familiar o de sobrevivencia y que hayan cumplido la edad de pensión. En el caso de los Proponentes Plurales, este formato lo diligenciará el representante del Proponente Plural en el cual certificará la totalidad de los trabajadores vinculados en la planta de personal de cada uno de los integrantes y la totalidad de personas mayores de edad vinculados de cada uno de sus integrantes, en las condiciones aquí exigidas en cuanto a no ser beneficiarios de la pensión de vejez, familiar o de sobrevivencia.]
Señores
[NOMBRE DE LA ENTIDAD]
[Ciudad]
REFERENCIA: Proceso de Contratación [Incluir número del Proceso de Contratación]
Objeto:
[Incluir cuando el Proceso de Contratación sea estructurado por lotes o grupos] Lote: [Indicar el lote o lotes a los cuales se presenta oferta.]
Estimados señores:
[Incluir el nombre de la persona natural, el representante legal de la persona jurídica o el revisor fiscal, según corresponda, o el representante del Proponente Plural] identificado con [Incluir el número de identificación], en mi condición de [Indicar si actúa como persona natural (nombre propio) representante legal o revisor fiscal o representante del Proponente Plural] de [Incluir la razón social de la persona jurídica (si aplica)] [identificada con el NIT (si aplica) __________], certifico que el número total de trabajadores personas mayores de edad vinculados en la planta del personal que no son beneficiarios de la pensión de vejez, familiar o de sobrevivencia y que hayan cumplido el requisito de edad de pensión establecido en la ley es el que se relaciona a continuación:
| Número total de trabajadores vinculados a la planta de personal | Número de personas mayores no beneficiarias a la pensión de vejez, familiar o de sobrevivencia y que hayan cumplido el requisito de pensión |
[Incluir el siguiente cuadro para los Proponentes Plurales]
| Número total de trabajadores vinculados a la planta de personal de los integrantes del Proponente Plural | Número de personas mayores, no beneficiarias a la pensión de vejez, familiar o de sobrevivencia y que hayan cumplido el requisito de pensión de los integrantes del Proponente Plural |
[El Proponente persona natural o jurídica incorporará una de las siguientes dos (2) opciones para manifestar el tiempo de vinculación de las personas anteriormente descritas, que cumplen las condiciones definidas en el numeral 4 del artículo 35 de la Ley 2069 de 2020].
[Opción 1. Esta opción la incorporará el Proponente persona natural o el Proponente persona jurídica cuya constitución sea igual o mayor a un (1) año]
Asimismo, manifiesto que las personas mayores no beneficiarias de la pensión de vejez, familiar o de sobrevivencia y que han cumplido el requisito de edad de pensión, han estado vinculadas a la planta de personal con una anterioridad igual o mayor a un (1) año contado a partir de la fecha del cierre del Proceso de Contratación.
Para acreditar el tiempo de vinculación en la planta referida de que trata el inciso anterior, allego el certificado de aportes al Sistema Seguridad Social del último año, en el que se demuestran los pagos realizados por el empleador.
[Opción 2. Esta opción la incorporará el Proponente persona jurídica cuya constitución sea inferior a un (1) año]
Asimismo, manifiesto que las personas mayores no beneficiarias de la pensión de vejez, familiar o de sobrevivencia y que han cumplido el requisito de edad de pensión, han estado vinculadas a la planta de personal desde el momento de la constitución de la persona jurídica.
Para acreditar el tiempo de vinculación en la planta referida de que trata el inciso anterior, allego el certificado de aportes al Sistema de Seguridad Social del tiempo de constitución de la persona jurídica, en el que se demuestre los pagos realizados por el empleador.
En constancia, se firma en ______________, a los ____ días del mes de _____ del 20__.
[Nombre y firma de la persona natural]
[Nombre y firma del representante legal de la persona jurídica o el revisor fiscal, según corresponda, o el representante del Proponente Plural]
FORMATO 10C – VINCULACIÓN DE PERSONAS NO BENEFICIARIAS DE LA PENSIÓN DE VEJEZ, FAMILIAR O SOBREVIVENCIA (TRABAJADOR)
[Este formato lo diligencia el trabajador vinculado en la planta de personal del Proponente que presenta la oferta, que no sea beneficiario de la pensión de vejez, familiar o de sobrevivencia y que haya cumplido la edad de pensión]
Señores
[NOMBRE DE LA ENTIDAD]
[Ciudad]
REFERENCIA: Proceso de Contratación [Incluir número del Proceso de Contratación]
Objeto:
[Incluir cuando el Proceso de Contratación sea estructurado por lotes o grupos] Lote: [Indicar el lote o lotes a los cuales se presenta oferta.]
Estimados señores:
[Incluir el nombre del trabajador vinculado en la planta de personal de la persona natural o de la persona jurídica] identificado con [Incluir el número de identificación], en mi condición de trabajador vinculado a [Indicar el nombre de la persona jurídica o persona natural], [identificada con NIT o CC __________], certifico bajo la gravedad del juramento que no soy beneficiario de la pensión de vejez, familiar o de sobrevivencia y ya cumplí la edad de pensión.
Asimismo, manifiesto me encuentro vinculado en la planta de personal [indicar si se trata de la persona natural o de la persona jurídica o del integrante del proponente plural] con una anterioridad [Indicar si el tiempo de vinculación es igual o mayor a un (1) año contado a partir de la fecha del cierre del Proceso de Contratación o desde el momento de la constitución de la persona jurídica en los casos que esta tenga menos de (1) año de constitución].
Adjunto a esta certificación aporto mi documento de identificación, de acuerdo con el inciso 4 del subnumeral 4 del numeral 4.9. del Documento Base.
En constancia, se firma en ______________, a los ____ días del mes de _____ del 20__.
[Nombre y firma del trabajador vinculado a la persona natural o jurídica]
FORMATO 10D – VINCULACIÓN DE POBLACIÓN INDÍGENA, NEGRA, AFROCOLOMBIANA, RAIZAL, PALENQUERA, RROM O GITANA
[La información de este formato contiene datos sensibles los cuales están sujetos a reserva legal y por tanto no podrán publicarse en el SECOP I y II para su conocimiento]
Señores
[NOMBRE DE LA ENTIDAD]
[Ciudad]
REFERENCIA: Proceso de Contratación [Incluir número del Proceso de Contratación]
Objeto:
[Incluir cuando el Proceso de Contratación sea estructurado por lotes o grupos] Lote: [Indicar el lote o lotes a los cuales se presenta oferta.]
Estimados señores:
[Incluir el nombre del Proponente persona natural o del representante legal de la persona jurídica o el revisor fiscal, según corresponda, o el representante del Proponente Plural] identificado con [Incluir el número de identificación], en mi condición de [Indicar si actúa como persona natural (nombre propio) representante legal o revisor fiscal] de [Incluir la razón social de la persona jurídica (si aplica)], [identificada con el NIT (si aplica) __________], certifico bajo la gravedad del juramento que:
i) El número total de trabajadores vinculados a la nómina corresponden a [Diligenciar el número de trabajadores vinculados a la nómina]
ii) En la nómina están vinculadas las siguientes personas: [Indicar a continuación el nombre y número de cédula de las personas que se encuentran vinculadas al Proponente o integrante de la estructura plural según corresponda y respecto de las cuales se aportan las pruebas correspondientes, para acreditar la pertenencia a población indígena, negra, afrocolombiana, raizal, palanquera, Rrom o gitanas]
| Nombre completo | numero de identificacion |
iii) Así mismo declaramos que las personas señaladas anteriormente se encuentran vinculadas con una antigüedad igual o mayor a un año contado a partir de la fecha del cierre del presente Proceso de Contratación. [Para los casos de personas jurídicas constituidas con menos de un año, se tendrá que indicar que las personas señaladas se encuentran vinculadas desde el momento de constitución de esta].
Sin perjuicio de lo anterior, para probar la pertenencia a la población indígena, negra, afrocolombiana, raizal, palanquera, Rrom o gitanas, aporto la certificación expedida por el Ministerio del Interior, de acuerdo con los incisos 3 y 4 del subnumeral 5 del numeral 4.9 del Documento Base.
En constancia, se firma en ______________, a los ____ días del mes de _____ del 20__
[Nombre y firma de la persona natural]
Nombre y firma del representante legal de la persona jurídica o el revisor fiscal, según corresponda, o el representante del Proponente Plural]
FORMATO 10 E – PARTICIPACIÓN MAYORITARIA DE PERSONAS EN PROCESO DE REINCORPORACIÓN Y/O REINTEGRACIÓN (PERSONAS JURÍDICAS)
Este formato se diligencia por el representante legal o el revisor fiscal, si están obligados a tenerlo, de la persona jurídica en el que mayoritariamente participan personas en proceso de reintegración o reincorporación. En el evento que la oferta la presente una entidad privada sin ánimo de lucro, ya sea fundación, corporación o asociación se ajustará el formato en lo pertinente. La información de este formato contiene datos sensibles los cuales están sujetos a reserva legal y, por tanto, no podrán publicarse en el SECOP I y II para su conocimiento]
Señores
[NOMBRE DE LA ENTIDAD]
[Ciudad]
REFERENCIA: Proceso de Contratación [Incluir número del Proceso de Contratación]
Objeto:
[Incluir cuando el Proceso de Contratación sea estructurado por lotes o grupos] Lote: [Indicar el lote o lotes a los cuales se presenta oferta.]
Estimados señores:
[Incluir el nombre del representante legal de la persona jurídica y el revisor fiscal, si están obligados a tenerlo] identificado con [Incluir el número de identificación], en mi condición de [Indicar si actúa como representante legal o revisor fiscal o ambos] de [Incluir la razón social de la persona jurídica], [identificada con el NIT __________], certifico bajo gravedad del juramento que más del cincuenta por ciento (50 %) de la composición accionaria o cuota parte de la persona jurídica está constituida por personas en proceso reincorporación y/o reintegración. Esta información está soportada de acuerdo con los respectivos certificados de la Oficina del Alto Comisionado para la Paz, del Comité Operativo para la Dejación de Armas, de la Agencia para la Reintegración y la Normalización y el documento de identificación de cada una de dichas personas.
En el siguiente cuadro señalo las personas en proceso de reincorporación o reintegración que participan mayoritariamente en la persona jurídica, junto con su respectivo porcentaje de participación:
| Identificación de las personas en proceso de reincorporación o reintegración (Incluir nombre y documento de identidad) | Número de cuotas sociales, acciones que poseen o el alcance o condición de su participación en el caso de las personas jurídicas sin ánimo de lucro |
Adjunto a esta certificación aporto los documentos de identificación de las personas en proceso de reincorporación o reintegración, de acuerdo con los incisos 1 y 2 del subnumeral 6 del numeral 4.9. del Documento Base.
En constancia, se firma en ______________, a los ____ días del mes de _____ del 20__.
[Nombre y firma del representante legal de la persona jurídica o revisor fiscal]
FORMATO 10 E – PARTICIPACIÓN MAYORITARIA DE PERSONAS EN PROCESO DE REINCORPORACIÓN (PERSONA JURÍDICA INTEGRANTE DEL PROPONENTE PLURAL)
[Este formato se diligencia por el representante legal o el revisor fiscal, si están obligados a tenerlo, de la persona jurídica del Proponente Plural en el que mayoritariamente participan personas en proceso de reincorporación. En el evento que la oferta la presente una entidad privada sin ánimo de lucro, ya sea fundación, corporación o asociación se ajustará el formato en lo pertinente. La información de este formato contiene datos sensibles los cuales están sujetos a reserva legal y, por tanto, no se podrán publicar en el SECOP I y II para su conocimiento]
Señores
[NOMBRE DE LA ENTIDAD]
[Ciudad]
REFERENCIA: Proceso de Contratación [Incluir número del Proceso de Contratación]
Objeto:
[Incluir cuando el Proceso de Contratación sea estructurado por lotes o grupos] Lote: [Indicar el lote o lotes a los cuales se presenta oferta.]
Estimados señores:
[Incluir el nombre del representante legal de la persona jurídica o el revisor fiscal, si están obligados a tenerlo] identificado con [Incluir el número de identificación], en mi condición de [Indicar si actúa como representante legal o revisor fiscal o ambos] de [Incluir la razón social de la persona jurídica], [identificada con el NIT __________], certifico bajo gravedad del juramento que más del cincuenta por ciento (50 %) de la composición accionaria o cuota parte de la persona jurídica está constituida por personas en proceso de reincorporación. Esta información está soportada de acuerdo con los respectivos certificados de la Oficina del Alto Comisionado para la Paz, del Comité Operativo para la Dejación de Armas, de la Agencia para la Reincorporación y la Normalización y el documento de identificación de cada una de dichas personas.
En el siguiente cuadro señalo las personas en proceso de reincorporación que participan mayoritariamente en la persona jurídica, junto con su respectivo porcentaje de participación:
| Identificación de las personas en proceso de reincorporación (Incluir nombre y documento de identidad) | Número de cuotas sociales, acciones que poseen o el alcance o condición de su participación en el caso de las personas jurídicas sin ánimo de lucro |
Adjunto a esta certificación aporto los documentos de identificación de las personas en proceso de reincorporación o reintegración, de acuerdo con el inciso 3 del subnumeral 6 del numeral 4.9. del Documento Base.
En constancia, se firma en ______________, a los ____ días del mes de _____ del 20__.
________________________________________
[Nombre y firma del representante legal de la persona jurídica o revisor fiscal]
FORMATO 10F – PARTICIPACIÓN MAYORITARIA DE MUJERES CABEZA DE FAMILIA Y/O PERSONAS EN PROCESO DE REINCORPORACIÓN Y/O REINTEGRACIÓN (PERSONAS JURÍDICAS)
[Este formato se diligencia por el representante legal o el revisor fiscal, según corresponda, del integrante del Proponente Plural (persona jurídica) en el que mayoritariamente participen madres cabeza de familia y/o personas en proceso de reintegración o reincorporación. Este formato lo podrá presentar el integrante o los integrantes que, cumpliendo la condición anterior, tengan una participación de por lo menos el veinticinco por ciento (25 %) en el Consorcio o en la Unión Temporal y aporten mínimo el veinticinco por ciento (25 %) de la experiencia acreditada en la oferta.
En el evento que la oferta la presente una entidad privada sin ánimo de lucro, ya sea, fundación, corporación o asociación se ajustará el formato en lo pertinente.
En el evento en el que participen personas en procesos de reintegración o reincorporación, teniendo en cuenta que la información de este formato contiene datos sensibles la cual está sujeta a reserva legal, no se podrá publicar en el SECOP I y II para su conocimiento]
Señores
[NOMBRE DE LA ENTIDAD]
[Ciudad]
REFERENCIA: Proceso de Contratación [Incluir número del Proceso de Contratación]
Objeto:
[Incluir cuando el Proceso de Contratación sea estructurado por lotes o grupos] Lote: [Indicar el lote o lotes a los cuales se presenta oferta.]
Estimados señores:
[Incluir el nombre del representante legal de la persona jurídica o del revisor fiscal, según corresponda] identificado con [Incluir el número de identificación], en mi condición de [Indicar si actúa como representante legal o revisor fiscal] de [Incluir la razón social de la persona jurídica], [identificada con el NIT __________], certifico bajo la gravedad del juramento que más del cincuenta por ciento (50 %) de la composición accionaria o cuota parte de la persona jurídica del Proponente Plural está constituida por madres cabeza de familia y/o personas en proceso de reintegración o reincorporación.
En el siguiente cuadro señalo las madres cabeza de familia y/o personas en proceso de reincorporación o reintegración que participan mayoritariamente en la persona jurídica, junto con su respectivo porcentaje de participación:
| Identificación de las madres cabeza de familia o personas en proceso de reincorporación o reintegración (Incluir nombre y documento de identidad) | Número de cuotas sociales, acciones que poseen o el alcance o condición de su participación en el caso de las personas jurídicas sin ánimo de lucro |
De igual manera acredito que la condición de madre cabeza de familia y/o una persona en proceso de reincorporación o reintegración, se soporta de acuerdo con lo previsto en el inciso 1 del subnumeral 2 y/o el inciso 1 del subnumeral 6 del numeral 4.9 del Documento Base, para lo cual adjunto los documentos correspondientes.
[Para la acreditación de desempate establecida en el literal (c) del subnumeral 7 del numeral 4.9 del Documento Tipo incluir la siguiente redacción:]
Adicionalmente, los abajo firmantes, certificamos que ni la madre cabeza de familia o la persona en proceso de reincorporación o reintegración, ni la persona jurídica, ni sus accionistas, socios o representantes legales son empleados, socios o accionistas de los miembros del Proponente Plural.
En constancia, se firma en ______________, a los ____ días del mes de _____ del 20__.
________________________________________
[Nombre y firma del representante legal de la persona jurídica o revisor fiscal]
FORMATO 10 G – PAGOS REALIZADOS A MIPYMES, COOPERATIVAS O ASOCIACIONES MUTUALES
Señores
[NOMBRE DE LA ENTIDAD]
[Ciudad]
REFERENCIA: Proceso de Contratación [Incluir número del Proceso de Contratación]
Objeto:
[Incluir cuando el Proceso de Contratación sea estructurado por lotes o grupos] Lote: [Indicar el lote o lotes a los cuales se presenta oferta.]
Estimados señores:
[Incluir el nombre del Proponente persona natural y contador público, o el representante legal y revisor fiscal para las empresas obligadas por ley, o del representante legal y contador público, según corresponda] identificados con [Incluir el número de identificación], en nuestra condición de [Indicar si actúa como persona natural (nombre propio), representante legal o revisor fiscal] de [Incluir la razón social de la persona jurídica (si aplica)], [identificada con el NIT (si aplica) __________], declaramos bajo la gravedad del juramento, que de acuerdo con nuestros estados financieros o información contable con corte al 31 de diciembre del año anterior, por lo menos el veinticinco por ciento (25 %) del total de pagos fueron realizados a Mipymes, cooperativas o asociaciones mutuales por concepto de proveeduría del oferente, realizados durante el año anterior.
En constancia, se firma en ______________, a los ____ días del mes de _____ del 20__.
[En el evento que sea un Proponente persona natural quien presente la oferta, incluir las firmas de la siguiente manera:]
_________________________ _________________________
[Nombre y firma del Proponente o integrante persona natural y contador público]
[En el evento que sea un Proponente persona jurídica quien presente la oferta, incluir las firmas de la siguiente manera:]
_________________________ _________________________
[Nombre y firma del representante legal y revisor fiscal para las empresas obligadas por ley o del representante legal y contador público, según corresponda]
FORMATO 10 H – ACREDITACIÓN MIPYME
Señores
[NOMBRE DE LA ENTIDAD]
[Ciudad]
REFERENCIA: Proceso de Contratación [Incluir número del Proceso de Contratación]
Objeto:
[Incluir cuando el Proceso de Contratación sea estructurado por lotes o grupos] Lote: [Indicar el lote o lotes a los cuales se presenta oferta.]
Estimados señores:
[Incluir el nombre o integrante persona natural y contador público o del representante legal de la persona jurídica y el revisor fiscal para las personas obligadas por ley o del representante legal y contador público, según corresponda,] identificados con [Incluir el número de identificación], actuando en representación de [Indicar nombre del Proponente, o integrante de Proponente Plural] declaramos bajo la gravedad del juramento que la [indicar si es empresa o sociedad] se encuentra clasificada como: [Indicar si es micro, pequeña y mediana empresa] de acuerdo con los criterios definidos por las normas legales vigentes.
Adicionalmente, los abajo firmantes certificamos que ni la Mipyme, cooperativa o asociación mutual ni sus accionistas, socios o representantes legales son empleados, socios o accionistas de los miembros del Proponente Plural.
En constancia, se firma en ______________, a los ____ días del mes de _____ del 20__.
[En el evento que sea un Proponente persona natural quien presente la oferta, incluir las firmas de la siguiente manera:]
__________________________________________________
[Nombre y firma del Proponente o integrante persona natural y contador público]
[En el evento que sea un Proponente persona jurídica quien presente la oferta, incluir las firmas de la siguiente manera:]
_________________________ _________________________
[Nombre y firma del representante legal y revisor fiscal para las empresas obligadas por ley o del representante legal y contador público, según corresponda]
| codigo | CCE-EICP-FM-113 | Versión | 2 |
FORMATO 11– AUTORIZACION PARA EL TRAMITE DE DATOS PERSONALES
LICITACIÓN DE OBRA PÚBLICA DE INFRAESTRUCTURA SOCIAL
| Código | CCE-EICP-FM-114 | Página | 1 de 3 |
| Versión No. | 2 | ||
FORMATO 11 – AUTORIZACIÓN PARA EL TRATAMIENTO DE DATOS PERSONALES
[El presente Formato lo diligenciará toda persona (Proponente, socia o trabajador) que al momento de presentar su oferta contenga datos sensibles, para que la Entidad Estatal contratante garantice el tratamiento adecuado a estos datos]
Señores
[NOMBRE DE LA ENTIDAD]
[Dirección de la Entidad]
[Ciudad]
REFERENCIA: Proceso de Contratación [Incluir número del Proceso de Contratación]
Objeto:
[Incluir cuando el Proceso de Contratación sea estructurado por lotes o grupos] Lote: [Indicar el lote o lotes a los cuales se presenta oferta.]
Cumpliendo con lo dispuesto en la Ley 1581 de 2012 “Por la cual se dictan disposiciones para la protección de datos personales” y de conformidad con lo señalado en el Decreto 1377 de 2013, con la firma de este documento manifiesto que he sido informado por [Incluir el nombre de la Entidad] de lo siguiente:
1) La [Incluir el nombre de la Entidad Estatal] actuará como responsable del tratamiento de datos personales de los cuales soy titular y que conjunta o separadamente podrá recolectar, almacenar y usarlos para hacer efectivo el factor de desempate previsto en el numeral 4.9, subnumerales 2, 5, 6 y 7 del Pliego de Condiciones, relacionados con la acreditación de ser mujer víctima de violencia intrafamiliar, persona en proceso de reintegración o reincorporación, o persona que pertenecen a la población indígena, negra, afrocolombiana raizal, palenquera, Rrom o gitana.
| Autoriza | ||
| Finalidad | SÍ | NO |
| Hacer efectivo el factor de desempate para la acreditación de una mujer víctima de violencia intrafamiliar, persona que pertenecen a la población indígena, negra, afrocolombiana raizal, palenquera, Rrom, o gitana, o persona en proceso de reintegración o reincorporación. | ||
2) Entiendo que son datos sensibles aquellos que afectan la intimidad del titular o cuyo uso indebido puede generar discriminación, tales como como aquellos que revelen el origen racial o étnico, la orientación política, las convicciones religiosas o filosóficas, la pertenencia a sindicatos, organizaciones sociales, de derechos humanos o que promueva intereses de cualquier partido político o que garanticen los derechos y garantías de partidos políticos de oposición así como los datos relativos con la salud, la vida sexual y los biométricos.
3) Manifiesto que me informaron que los datos sensibles que se recolectarán serán utilizados para hacer efectivo el criterio de desempate previsto en el numeral 4.9, subnumerales 2, 5, 6 y 7 del Pliego de Condiciones, relacionados con la acreditación de ser mujer víctima de violencia intrafamiliar, integrante de la población indígena, negra, afrocolombiana raizal, palenquera, Rrom, o gitanas, o persona en proceso de reintegración o reincorporación.
4) [La Entidad Estatal incluirá este numeral cuando durante la ejecución del Contrato se desempeñen cargos, oficios o profesiones que involucren una relación directa y habitual con menores de edad]. La [Incluir el nombre de la Entidad Estatal] actuará como responsable del tratamiento de datos personales de los cuales soy titular y que conjunta o separadamente podrá recolectar, almacenar y usar para hacer efectiva la prescripción establecida en el artículo 1 de la Ley 1918 de 2018, relacionados con la configuración de la inhabilidad por delitos sexuales contra menores de edad, para lo cual autorizo la consulta de dicha información en la base de datos correspondientes.
| Autoriza | ||
| Finalidad | SÍ | NO |
| Hacer efectiva la prescripción del artículo 1 de la Ley 1918 de 2018, a efectos de verificar que el (los) Proponente(s) o sus integrantes, según el caso, no se encuentran incursos en la inhabilidad por delitos sexuales contra menores de edad, de que trata el artículo 1 de la Ley 1918 de 2018. | ||
Derechos del titular
Los derechos como titular de los datos son los previstos en la Constitución y en la Ley 1581 de 2012, especialmente los siguientes:
a) Acceder en forma gratuita a los datos proporcionados que hayan sido objeto de tratamiento.
b) Solicitar la actualización y rectificación de la información frente a los datos parciales, inexactos e incompletos.
c) Solicitar prueba de la autorización otorgada.
d) Presentar ante la Superintendencia de Industria y Comercio quejas por infracciones a lo dispuesto en la normatividad vigente.
e) Revocar la autorización y/o solicitar la supresión del dato, a menos que exista un deber legal o contractual que haga imperativo conservar la información.
f) Abstenerse de responder las preguntas sobre datos sensibles o sobre datos de las niñas y niños y adolescentes.
Estos derechos los podré ejercer mediante los canales o medios dispuestos por [Incluir nombre de la Entidad] para la atención al público, la línea de atención nacional [incluir número de atención de la Entidad], el correo electrónico [incluir el correo electrónico] y las oficinas de atención al cliente a nivel nacional, cuya información puedo consultar en [incluir página web de la Entidad], disponibles de [lunes a viernes de 8:00 am a 6:00 p.m.].
Por todo lo anterior, he otorgado mi consentimiento a [Incluir nombre de la Entidad] para que trate mi información personal de acuerdo con la Política de Tratamiento de Datos Personales dispuesta en [Incluir el link en donde se encuentra la Política de Tratamiento de Datos Personales] y que me dio a conocer antes de entregarlos.
Manifiesto que la presente autorización me fue solicitada y puesta de presente antes de entregar mis datos y que la suscribo de forma libre y voluntaria una vez leída en su totalidad.
Nombre: [Incluir nombre del titular de la autorización datos sensibles para la autorización de datos]
Firma: [Incluir firma del titular]
Identificación: [Incluir número de identificación del titular de datos sensibles]
Fecha: [Fecha en que se puso de presente la autorización y entregó sus datos]
| codigo | CCE-EICP-FM-114 | Versión | 2 |
FORMATO 13 ACREDITACIÓN DE EMPRENDIMIENTOS Y EMPRESAS DE MUJERES
LICITACIÓN DE OBRA PÚBLICA DE INFRAESTRUCTURA SOCIAL
| Código | CCE-EICP-FM-135 | Página | 1 de 6 |
| Versión No. | 1 | ||
FORMATO 13A – ACREDITACIÓN DE EMPRENDIMIENTOS Y EMPRESAS DE MUJERES (PERSONA JURÍDICA)
[Este Formato debe diligenciarse por los Proponentes personas jurídicas o los integrantes que sean personas jurídicas del Proponente Plural cuyo porcentaje de participación sea al menos del diez por ciento (10 %) y acrediten la condición de emprendimientos y empresas de mujeres.]
Señores
[NOMBRE DE LA ENTIDAD]
[Ciudad]
REFERENCIA: Proceso de Contratación [Incluir número del Proceso de Contratación]
Objeto:
[Incluir cuando el Proceso de Contratación sea estructurado por lotes o grupos] Lote: [Indicar el lote o lotes a los cuales se presenta oferta.]
Estimados señores:
[Incluir el nombre del representante legal de la persona jurídica y del revisor fiscal, cuando este último exista de acuerdo con los requerimientos de ley, o el contador] identificados con [Incluir los números de identificación], en nuestra condición de representante legal [y revisor fiscal, en caso de estar obligado según los requerimientos de ley, o el contador] de [Incluir la razón social de la persona jurídica] identificada con el NIT [Incluir el NIT], en adelante el Proponente, acreditamos la condición de ser emprendimiento y empresa de mujer en los términos del artículo 2.2.1.2.4.2.14 del Decreto 1082 de 2015.
[El Proponente escogerá una de las siguientes dos (2) opciones para acreditar la condición de emprendimiento y empresa de mujer:]
[Opción 1. Incorporar si la participación accionaria de la persona jurídica en su mayoría son mujeres y los derechos de propiedad han pertenecido a éstas durante el último año.]
Manifestamos bajo la gravedad del juramento que más del cincuenta por ciento (50 %) de las acciones, partes de interés o cuotas de participación de la persona jurídica pertenecen a mujeres y los derechos de propiedad han pertenecido a estas durante al menos el último año anterior a la fecha de cierre del Proceso de Contratación. En el siguiente cuadro señalamos la identificación de las mujeres en la persona jurídica y la distribución de los derechos en la sociedad durante el último año:
| Nombre completo y número de identificación de la (s) mujeres (s) que tienen o tuvieron participación durante el último año en la persona jurídica | Número de acciones, partes de interés o cuotas de participación de la persona jurídica, o el alcance o condición de su participación en el caso de las personas jurídicas sin ánimo de lucro |
De igual manera, manifestamos bajo la gravedad del juramento que más del cincuenta por ciento (50 %) de las acciones, partes de interés o cuotas de participación de la persona jurídica ha pertenecido a mujeres, y dicha participación mayoritaria se ha mantenido a partir de: [Indicar la fecha (día/mes/año) desde que se cumple con dicha condición].
[Opción 2. Incorporar si por lo menos el cincuenta por ciento (50 %) de los empleos del nivel directivo de la persona jurídica son ejercidos por mujeres y estas han estado vinculadas laboralmente durante al menos el último año.]
En el siguiente cuadro señalamos de forma detallada la denominación de los cargos directivos que existen dentro de la persona jurídica, la identificación de las personas que conforman los cargos del nivel directivo del Proponente y el tiempo de vinculación:
| Denominación del cargo directivo dentro de la empresa | Nombre completo y número de identificación de la (s) persona (s) que ocuparon / ejercen el cargo durante el último año en la persona jurídica | Tiempo de vinculación de la (s) persona(s) que ejerció / ejerce el cargo del nivel directivo |
| [Indique la denominación del cargo directivo, a modo de ejemplo: Gerente general, director ejecutivo] | [Indique el nombre completo y el número de identificación de las personas que ocuparon / ejercen el cargo en el último año] | [Indique el tiempo de vinculación de la persona que ejerció/ejerce el cargo en el nivel directivo] |
| [Indique el nombre completo y el número de identificación de las personas que ocuparon / ejercen el cargo en el último año] | [Indique el tiempo de vinculación de la persona que ejerció/ejerce el cargo en el nivel directivo] | |
| [Indique el nombre completo y el número de identificación de las personas que ocuparon / ejercen el cargo en el último año] | [Indique el tiempo de vinculación de la persona que ejerció/ejerce el cargo en el nivel directivo] | |
| [Indique el nombre completo y el número de identificación de las personas que ocuparon / ejercen el cargo en el último año] | [Indique el tiempo de vinculación de la persona que ejerció/ejerce el cargo en el nivel directivo] | |
| [Indique la denominación del cargo directivo, a modo de ejemplo: Gerente/ Director de ventas] | [Indique el nombre completo y el número de identificación de las personas que ocuparon / ejercen el cargo en el último año] | [Indique el tiempo de vinculación de la persona que ejerció/ejerce el cargo en el nivel directivo] |
| [Indique el nombre completo y el número de identificación de las personas que ocuparon / ejercen el cargo en el último año] | [Indique el tiempo de vinculación de la persona que ejerció/ejerce el cargo en el nivel directivo] | |
| [Indique el nombre completo y el número de identificación de las personas que ocuparon / ejercen el cargo en el último año] | [Indique el tiempo de vinculación de la persona que ejerció/ejerce el cargo en el nivel directivo] | |
| [Indique el nombre completo y el número de identificación de las personas que ocuparon / ejercen el cargo en el último año] | [Indique el tiempo de vinculación de la persona que ejerció/ejerce el cargo en el nivel directivo] | |
| [Indique la denominación del cargo directivo, a modo de ejemplo: Director de desarrollo tecnológico] | [Indique el nombre completo y el número de identificación de las personas que ocuparon / ejercen el cargo en el último año] | [Indique el tiempo de vinculación de la persona que ejerció/ejerce el cargo en el nivel directivo] |
| [Indique el nombre completo y el número de identificación de las personas que ocuparon / ejercen el cargo en el último año] | [Indique el tiempo de vinculación de la persona que ejerció/ejerce el cargo en el nivel directivo] | |
| [Indique el nombre completo y el número de identificación de las personas que ocuparon / ejercen el cargo en el último año] | [Indique el tiempo de vinculación de la persona que ejerció/ejerce el cargo en el nivel directivo] | |
| [Indique el nombre completo y el número de identificación de las personas que ocuparon / ejercen el cargo en el último año] | [Indique el tiempo de vinculación de la persona que ejerció/ejerce el cargo en el nivel directivo] | |
Conforme a lo anterior, manifestamos bajo la gravedad del juramento que por lo menos el cincuenta por ciento (50 %) de los empleos del nivel directivo de la persona jurídica han sido ejercidos por mujeres y estas han estado vinculadas laboralmente a la empresa durante al menos el último año anterior a la fecha de cierre del Proceso de Contratación en el mismo cargo u otro del mismo nivel.
Para los efectos de esta certificación son empleos del nivel directivo aquellos cuyas funciones están relacionadas con la dirección de áreas misionales de la empresa y la toma de decisiones a nivel estratégico. En este sentido, son cargos del rango directivo los que dentro de la organización de la empresa implican mando o los que por su jerarquía desempeñan cargos encaminados al cumplimiento de funciones orientadas a representar al empleador.
Como soporte de esta declaración se anexa copia de (i) los respectivos documentos de identidad, (ii) los contratos de trabajo o certificación laboral con las funciones y (iii) el certificado de aportes al Sistema de Seguridad Social del último año en el que se demuestren los pagos realizados por el empleador, en relación con cada una de las personas que conforman el nivel directivo del Proponente.
[Si el Proponente cumple ambas condiciones escogerá alguna de las dos (2) opciones descritas, para acreditar la calidad de emprendimientos y empresas de mujeres en los términos del 2.2.1.2.4.2.14 del Decreto 1082 de 2015]
En constancia, se firma en ______________, a los ____ días del mes de _____ del 20__
[Nombre y firma del representante legal de la persona jurídica]
[Nombre y firma del contador o revisor fiscal, si está obligado a tenerlo]
FORMATO 13B – ACREDITACIÓN DE EMPRENDIMIENTOS Y EMPRESAS DE MUJERES (PERSONA NATURAL)
[Este Formato debe diligenciarse por los Proponentes personas naturales o los integrantes personas naturales del Proponente Plural cuyo porcentaje de participación sea al menos del diez por ciento (10 %) y acredite la condición de emprendimientos y empresas de mujeres.]
Señores
[NOMBRE DE LA ENTIDAD]
[Ciudad]
REFERENCIA: Proceso de Contratación [Incluir número del Proceso de Contratación]
Objeto:
[Incluir cuando el Proceso de Contratación sea estructurado por lotes o grupos] Lote: [Indicar el lote o lotes a los cuales se presenta oferta.]
Estimados señores:
[Incluir el nombre de la persona natural] identificada con [Incluir el número de identificación], en mi condición de mujer, en adelante el Proponente, certifico la condición de ser emprendimiento y empresa de mujer en los términos del artículo 2.2.1.2.4.2.14 del Decreto 1082 de 2015, para lo cual manifiesto bajo la gravedad del juramento que he ejercido actividades comerciales a través del establecimiento de comercio [Indicar el nombre del establecimiento de comercio], [identificado con NIT __________], durante al menos el último año anterior contado a partir de la fecha del cierre del Proceso de Contratación.
Para acreditar la anterior circunstancia aporto [copia de la cédula de ciudadanía, la cédula de extranjería o el pasaporte, según corresponda], así como la copia del registro mercantil.
En constancia, se firma en ______________, a los ____ días del mes de _____ del 20__.
[Nombre y firma de la persona natural]
FORMATO 13C – ACREDITACIÓN DE EMPRENDIMIENTOS Y EMPRESAS DE MUJERES (ASOCIACIONES Y COOPERATIVAS)
[Este Formato debe diligenciarse por los Proponentes que son asociaciones o cooperativas o los integrantes asociaciones o cooperativas del Proponente Plural cuyo porcentaje de participación sea al menos del diez por ciento (10 %) y acredite la condición de emprendimientos y empresas de mujeres.]
Señores
[NOMBRE DE LA ENTIDAD]
[Ciudad]
REFERENCIA: Proceso de Contratación [Incluir número del Proceso de Contratación]
Objeto:
[Incluir cuando el Proceso de Contratación sea estructurado por lotes o grupos] Lote: [Indicar el lote o lotes a los cuales se presenta oferta.]
Estimados señores:
[Incluir el nombre del representante legal de la asociación o cooperativa] identificado con [Incluir el número de identificación], en mi condición de representante legal de [Incluir la razón social de la asociación o cooperativa] identificado con el NIT [Incluir el NIT], en adelante el Proponente, certifico la condición de ser emprendimiento y empresa de mujer en los términos del artículo 2.2.1.2.4.2.14 del Decreto 1082 de 2015, para lo cual manifiesto bajo la gravedad del juramento que más del cincuenta por ciento (50 %) de los asociados son mujeres y que la participación de estas en la [indicar si es en la asociación o cooperativa] ha permanecido durante al menos el último año anterior contado a partir de la fecha de cierre del Proceso de Contratación.
En constancia, se firma en ______________, a los ____ días del mes de _____ del 20__
[Nombre y firma del representante legal de la asociación o cooperativa]
| codigo | CCE-EICP-FM-135 | Versión | 1 |
FORMATO 14 ACREDITACIÓN MIPYME
LICITACIÓN DE OBRA PÚBLICA DE INFRAESTRUCTURA SOCIAL
| Código | CCE-EICP-FM-136 | Página | 1 de 2 |
| Versión No. | 1 | ||
FORMATO 14A – ACREDITACIÓN MIPYME
(Cuando el interesado solicite la limitación de convocatoria a Mipyme)
(PERSONAS NATURALES)
[El interesado persona natural que solicita limitar la convocatoria del Proceso de Contratación a Mipyme, acreditará la condición de Mipyme con el diligenciamiento de este Formato y entregará los documentos requeridos en el artículo 2.2.1.2.4.2.4. del Decreto 1082 de 2015. En todo caso, cuando la calidad de Mipyme se demuestre con la presentación del RUP vigente y en firme, no será necesario diligenciar este Formato, ni aportar los mencionados documentos].
Señores
[NOMBRE DE LA ENTIDAD]
[Ciudad]
REFERENCIA: Proceso de Contratación [Incluir número del Proceso de Contratación]
Objeto:
Estimados señores:
[Incluir el nombre de la persona natural y el contador público] identificados con [Incluir los números de identificación], declaramos bajo la gravedad del juramento que [incluir el nombre del establecimiento de comercio]se encuentra clasificada como: [Indicar si es micro, pequeña y mediana empresa] de acuerdo con los criterios definidos por las normas vigentes.
Para acreditar dicha condición adjuntamos copia del registro mercantil.
En constancia, se firma en ______________, a los ____ días del mes de _____ del 20__.
[Nombre y firma de la persona natural]
[ N o m b r e y f i r ma del contador público público]
FORMATO 14 ACREDITACIÓN MIPYME
LICITACIÓN DE OBRA PÚBLICA DE INFRAESTRUCTURA SOCIAL
| Código | CCE-EICP-FM-136 | Página | 2 de 2 |
| Versión No. | 1 | ||
FORMATO 14B – ACREDITACIÓN MIPYME
(Cuando el interesado solicite la limitación de convocatoria a Mipyme)
(PERSONAS JURÍDICAS)
[El interesado persona jurídica que solicita limitar la convocatoria del Proceso de Contratación a Mipyme, acreditará la condición de Mipyme con el diligenciamiento de este Formato y entregará los documentos requeridos en el artículo 2.2.1.2.4.2.4. del Decreto 1082 de 2015. En todo caso, cuando la calidad de Mipyme se demuestre con la presentación del RUP vigente y en firme, no será necesario diligenciar este Formato, ni aportar los mencionados documentos]
Señores
[NOMBRE DE LA ENTIDAD]
[Ciudad]
REFERENCIA: Proceso de Contratación [Incluir número del Proceso de Contratación]
Objeto:
Estimados señores:
[Incluir el nombre del representante legal y el contador o revisor fiscal, si están obligados a tenerlo] identificados con [Incluir los números de identificación], actuando en representación de [Indicar nombre del Proponente] declaramos bajo la gravedad de juramento que [incluir el nombre del establecimiento de comercio] se encuentra clasificada como: [Indicar si es micro, pequeña y mediana empresa] de acuerdo con los criterios definidos por las normas vigentes.
Para acreditar dicha condición, adjuntamos copia del certificado de existencia y representación legal de la Cámara de Comercio de ______________ o por la autoridad competente para expedir dicha certificación.
En constancia, se firma en ______________, a los ____ días del mes de _____ del 20__.
[Nombre y firma del representante legal]
[Nombre y firma del contador o revisor fiscal si está obligado a tenerlo]
| codigo | CCE-EICP-FM-136 | Versión | 1 |
MATRIZ 1 – INDICADORES FINANCIEROS Y ORGANIZACIONALES
LICITACIÓN DE OBRA PÚBLICA DE INFRAESTRUCTURA SOCIAL
| Código | CCE-EICP-FM-117 | Página | 1 de 2 |
| Versión No. | 2 | ||
MATRIZ 1 – INDICADORES FINANCIEROS Y ORGANIZACIONALES LICITACIÓN DE OBRA PÚBLICA DE INFRAESTRUCTURA SOCIAL
1. Índices de capacidad financiera y organizacionales para Mipyme.
El Proponente persona natural o jurídica que demuestre la condición de Mipyme de conformidad con lo previsto en el artículo 2.2.1.2.4.2.4. del Decreto 1082 de 2015, en concordancia con el parágrafo del artículo 2.2.1.13.2.4 del Decreto 1074 de 2015 o las normas que los modifiquen, sustituyan o complementen, probará los siguientes indicadores:
| Indicador | Valor concertado |
| Índice de liquidez | |
| Índice de endeudamiento | |
| Razón de cobertura de intereses | |
| Capital de trabajo | Definido en los Pliegos Tipo |
| Rentabilidad del patrimonio | |
| Rentabilidad del activo |
Tratándose de Proponente Plurales estos indicadores solo se aplicarán si por lo menos uno de los integrantes acredita la calidad de Mipyme de conformidad con lo previsto en el artículo en el artículo 2.2.1.2.4.2.4. del Decreto 1082 de 2015, o la normas que los modifiquen, sustituyan o complementen, y tienen una participación igual o superior al diez por ciento (10 %) en el Consorcio o en la Unión Temporal.
Para acreditar la calidad de Mipyme el Proponente entregará copia del certificado del Registro Único de Proponentes, el cual deberá encontrarse vigente y en firme al momento de su presentación.
2. Índices de capacidad financiera y organizacionales para los demás Proponentes
Los Proponentes que NO demuestren la condición de Mipyme de conformidad con lo previsto en el artículo 2.2.1.2.4.2.4. del Decreto 1082 de 2015, en concordancia con el parágrafo del artículo 2.2.1.13.2.4 del Decreto 1074 de 2015 o las normas que los modifiquen, sustituyan o complementen, acreditarán los siguientes indicadores:
| Indicador | Valor concertado |
| Índice de liquidez | |
| Índice de endeudamiento | |
| Razón de cobertura de intereses | |
| Capital de trabajo | Definido en los Pliegos Tipo |
| Rentabilidad del patrimonio | |
| Rentabilidad del activo |
Los indicadores definidos en la presente matriz deben ser usados por las Entidades en la estructuración de los Documentos del Proceso de Contratación de obra pública para infraestructura
| codigo | CCE-EICP-FM-117 | Versión | 2 |
NOTAS AL FINAL:
1 Ley 1682 de 2013.
2 Reglamentos Aeronáuticos de Colombia (RAC). RAC 14. Numeral 14.1. Definiciones
3 Decreto 1077 de 2015. Artpiculo 2.2.3.1.5. Numeral 1.2.
4 NSR-10. Título A. Capítulo A.13.
5 Reglamentos Aeronáuticos de Colombia (RAC). RAC 14. Numeral 14.1. Definiciones.
6 Decreto Reglamentario No. 769 de 2014, compilado en el Decreto Único Reglamentario No. 1076 de 2015.
7 Reglamentos Aeronáuticos de Colombia (RAC). RAC 14. Numeral 14.1. Definiciones.
1 Ley 1682 de 2013.
2 Reglamentos Aeronáuticos de Colombia (RAC). RAC 14. Numeral 14.1. Definiciones
3 Decreto 1077 de 2015. Artpiculo 2.2.3.1.5. Numeral 1.2.
4 NSR-10. Título A. Capítulo A.13.
5 Reglamentos Aeronáuticos de Colombia (RAC). RAC 14. Numeral 14.1. Definiciones.
6 Decreto Reglamentario No. 769 de 2014, compilado en el Decreto Único Reglamentario No. 1076 de 2015.
7 Reglamentos Aeronáuticos de Colombia (RAC). RAC 14. Numeral 14.1. Definiciones.
1 Ley 1682 de 2013.
2 Reglamentos Aeronáuticos de Colombia (RAC). RAC 14. Numeral 14.1. Definiciones
3 Decreto 1077 de 2015. Artpiculo 2.2.3.1.5. Numeral 1.2.
4 Ley 1682 de 2013, artículo 12.
5 Ley 1508 de 2012 "Por la cual se establece el régimen jurídico de las Asociaciones Público Privadas, se dictan normas orgánicas de presupuesto y se dictan otras disposiciones".
6 Reglamentos Aeronáuticos de Colombia (RAC). RAC 14. Numeral 14.1. Definiciones.
7 Decreto Reglamentario No. 769 de 2014, compilado en el Decreto Único Reglamentario No. 1076 de 2015.
8 Reglamentos Aeronáuticos de Colombia (RAC). RAC 14. Numeral 14.1. Definiciones.
Centro Normativo Keralty
n.d.
Última actualización: 30 de diciembre de 2025
