Buscar search
Índice developer_guide

RESOLUCIÓN 677 DE 2021

(diciembre 20)

Diario Oficial No. 51.895 de 21 de diciembre de 2021

INSTITUTO PARA LA EVALUACIÓN DE LA EDUCACIÓN

Por la cual se establece una de las metodologías que guían la evaluación de la educación a partir del examen saber 11 y se modifica la Resolución número 268 de 2020.

LA DIRECTORA GENERAL DEL INSTITUTO COLOMBIANO PARA LA EVALUACIÓN DE LA EDUCACIÓN (ICFES),

en ejercicio de sus atribuciones legales y en especial las conferidas por la Ley 1324 de 2009, por el numeral 9 del artículo 9o del Decreto número 5014 de 2009, el Decreto número 1075 de 2015, y

CONSIDERANDO:

Que el artículo 12 de la Ley 1324 de 2009 establece que el objeto del ICFES es ofrecer el servicio de evaluación de la educación en todos sus niveles y adelantar investigación sobre los factores que inciden en la calidad educativa, con la finalidad de ofrecer información para mejorar la calidad de la educación.

Que el citado artículo 12 consigna como funciones del ICFES, entre otras, las siguientes: “1. Establecer las metodologías y procedimientos que guían la evaluación de la educación y, además, desarrollar la fundamentación teórica, diseñar, elaborar y aplicar instrumentos de evaluación. (…) 3. Diseñar, implementar, administrar y mantener actualizadas las bases de datos con la información de los resultados alcanzados en las pruebas aplicadas y los factores asociados, de acuerdo con prácticas internacionalmente aceptadas. (…) 5. Diseñar, implementar y controlar el procesamiento de información y la producción y divulgación de resultados de las evaluaciones realizadas, según las necesidades identificadas en cada nivel educativo. (…) 8. Impulsar y fortalecer la cultura de la evaluación mediante la difusión de los resultados de los análisis y el desarrollo de actividades de formación en los temas que son de su competencia, en los niveles local, regional y nacional”.

Que el ICFES expidió la Resolución número 268 de 2020, modificada por la Resolución número 507 de 2020, mediante la cual reglamentó, entre otras, las metodologías para la generación de resultados de los exámenes de Estado. En desarrollo de lo anterior, los artículos 11 a 13 de la citada resolución fijaron el procedimiento para clasificar a cada plantel educativo de educación media en una categoría, según los resultados de los estudiantes que presentaron el examen de Estado saber 11.

Que la clasificación de planteles no corresponde a un ranking de mejores establecimientos o sedes educativas, ni tiene por objeto realizar comparaciones particulares entre establecimientos y sedes. Su propósito es ubicar en una categoría a un establecimiento, con base en los resultados de sus estudiantes en los exámenes de estado Saber 11 durante los últimos tres (3) años consecutivos. Mediante esta clasificación, el establecimiento obtiene información general del desempeño de sus estudiantes en el examen de estado Saber 11.

Por lo anterior, la metodología de clasificación se realiza para cumplir el objeto del ICFES de entregar a cada establecimiento, de forma individual, información sobre la calidad de la educación que ofrece. Además, es una herramienta que permite a la entidad cumplir todas las funciones de la Ley 1324 de 2009 relacionadas con la publicación de resultados.

Que la Dirección de Evaluación del ICFES considera, con base en razones técnicas, que la metodología de clasificación de establecimientos educativos requiere ser modificada en los siguientes aspectos:

1. Para brindar certeza de la obtención de los datos, es conveniente aclarar de donde proviene la información con la cual se realiza la clasificación. En ese sentido, la resolución 675 de 2019 establece en los artículos 26 y 27, que las Instituciones Educativas deberán registrar por primera vez o actualizar, según corresponda, la información necesaria en los sistemas de información del Ministerio de Educación Nacional (SIMAT) para la inscripción de sus estudiantes al Examen de Estado Saber 11. Por lo anterior, la información que se usará para el procedimiento de clasificación de planteles provendrá de la base de inscripción del ICFES como una versión actualizada del SIMAT.

2. Con el propósito de ofrecer información articulada y unificada en relación con la clasificación de los establecimientos o sedes, es conveniente que el cálculo y publicación de la clasificación de planteles se realice de manera anual.

Que la presente resolución no modificará los puntos de corte de la metodología establecida en la Resolución número 268 de 2020, esto con el fin de no afectar la traza de información, ni el mínimo de nueve (9) estudiantes evaluados que se necesitan para garantizar la estabilidad temporal del índice para un establecimiento o sede.

Que por todo lo anterior se hace necesario modificar los artículos 11, 12 y 13 de la Resolución número 268 de 2020.

Que, en mérito de lo expuesto,

RESUELVE:

ARTÍCULO 1o. Modificar los artículos 11, 12 y 13 de la Resolución número 268 de 2020, los cuáles quedarán así:

Artículo 11. Metodología de clasificación de resultados de los establecimientos educativos y sus sedes. Posterior a las dos aplicaciones que realice el ICFES anualmente del examen Saber 11, se producirá una única clasificación anual de forma independiente y por separado para cada establecimiento educativo y para cada una de sus sedes. La clasificación se producirá con base en los resultados del examen Saber 11 de los estudiantes de grados 11 y 26, cuando corresponda. Cuando un establecimiento tenga resultados para grado 11 y para grado 26, se producirá una clasificación independiente con los resultados de cada grado.

Para realizar cada uno de los pasos del procedimiento, la Subdirección de estadísticas podrá apoyarse y solicitar la información que requiere de cualquier otra área del ICFES; dicho procedimiento se adelantará de la siguiente manera:

1. Se verificará que al menos un estudiante del establecimiento o sede haya presentado el examen Saber 11 en cualquiera de las dos aplicaciones del año para el cual se está haciendo la clasificación. Si se cumple esa condición, se continuará con el procedimiento.

2. Se producirá un listado con la suma de los estudiantes inscritos al examen Saber 11 de los tres últimos años (3) consecutivos, incluyendo el año para el cual se está haciendo la clasificación. Los estudiantes inscritos del listado deben cumplir las siguientes condiciones:

a) Estudiantes que durante la inscripción no hubieran reportado alguna discapacidad o que la discapacidad reportada fuera física-movilidad.

b) Estudiantes no repitentes.

Para efectos de la generación de este listado se tendrá en cuenta lo expuesto en los artículos 26 y 27 de la Resolución ICFES 000675 del 2019.

3. Con base en el listado de estudiantes inscritos del paso anterior, se producirá un segundo listado con los estudiantes que reúnan, además, las siguientes características:

a) Estudiantes que hayan presentado el examen.

b) Estudiantes con estado presente, que hayan respondido al menos una pregunta del examen.

c) Estudiantes con estado publicado.

d) Estudiantes sin investigación ni sanción dentro de un Procedimiento Administrativo Sancionatorio de los que adelanta el ICFES.

Si para un establecimiento o sede el total de estudiantes el listado obtenido en este paso es mayor o igual a 9, se continúa con el procedimiento; de lo contrario, no se continuará con este, conforme lo señala el artículo 13 de esta resolución.

4. Se compara el número de estudiantes inscritos del numeral 2 frente a los estudiantes que presentaron el examen del numeral 3. Si el número de estudiantes inscritos es igual al número de estudiantes que presentaron el examen, se aplica el paso 4.1. Si la diferencia entre las personas inscritas y las personas que presentaron el examen es menor al 20%, se aplica el paso 4.2. Si la diferencia es mayor o igual al 20%, se aplica el paso 4.3.

4.1. Si el número de personas que presentaron el examen es igual que el número de personas inscritas: Se hará un listado descendente de los puntajes de cada una de las pruebas del examen y luego se excluirá el 20%, redondeado al menor entero más cercano, de los puntajes más bajos de cada prueba. El procedimiento continuará con el 80% restante. En caso de que el 80% sea menor a 9 personas, se continúa con los 9 puntajes.

4.2. Si la diferencia entre las personas inscritas y las que presentaron el examen es menor al 20%: Para cada prueba se hará un listado descendente conformado por (i) las personas que obtuvieron puntajes; y, (ii) las personas inscritas pero que no presentaron el examen. Luego de ello, se eliminará el 20%, redondeado al menor entero más cercano, de las personas que integran la lista, empezando por las personas que no presentaron el examen y seguido por las personas que obtuvieron los puntajes más bajos para cada una de las pruebas. El procedimiento continuará con el 80% restante. En caso de que el 80% sea menor a 9 personas, se continúa con los 9 puntajes más altos.

4.3. Si la diferencia entre las personas inscritas y las que presentaron el examen es mayor o igual al 20%: Para cada prueba se hará un listado descendente conformado exclusivamente por las personas que presentaron el examen. El procedimiento continuará con todas las personas que hagan parte de esa lista siempre que sea no menor a 9 personas. En caso de que no se obtenga ese número, no se continúa con el proceso de clasificación.

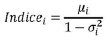
5. Con posterioridad, se obtendrá el índice de cada una de las 5 pruebas del examen Saber 11 para cada establecimiento y sede, el cual se calcula de forma independiente. Estos índices se construyen ordenando los puntajes de mayor a menor para así obtener las frecuencias relativas acumuladas de los estudiantes asociados a cada uno de los puntajes en la escala de cero (0) a cien (100). El índice se generará al dividir el promedio de las frecuencias acumuladas por uno (1) menos la varianza de dichas frecuencias esto es:

Donde íi es el promedio de las frecuencias acumuladas y la varianza de las frecuencias acumuladas de los puntajes de los estudiantes en la prueba i. Nótese que i se refiere a cada una de las cinco pruebas que constituyen el examen Saber 11º

Posteriormente, se obtendrá un Índice Global realizando un promedio ponderado de los índices obtenidos en cada una de las pruebas, usando como ponderadores los señalados en el literal b) del artículo tercero de la presente resolución, es decir, el Índice Global se calculará de la siguiente manera:

Donde, MA: Matemáticas, SC: Sociales y Ciudadanas, CN: Ciencias Naturales, LC: Lectura Crítica y IN: Inglés.

PARÁGRAFO. La persona que se acoja al artículo 28 de la Resolución Icfes 675 de 2019, no presentará la prueba de inglés y su puntaje global será calculado como lo señala el artículo 17 de la Resolución número 268 de 2019. En el evento especial que el establecimiento o sede tenga menos de nueve (9) resultados en la prueba de inglés en el paso (4), pero nueve (9) o más resultados en las otras cuatro pruebas del examen Saber 11 en el paso (4), su índice global será calculado como el promedio aritmético de los índices de, MA: Matemáticas, SC: Sociales y Ciudadanas, CN: Ciencias Naturales y LC: Lectura Crítica.

Artículo 11-A. Puntos de corte de la clasificación. El Índice Global que se hubiere obtenido a partir del procedimiento del artículo 11 producirá una clasificación para cada establecimiento educativo y para cada una de sus sedes, de conformidad con los siguientes puntos de corte:

a) Categoría A+: mayor a 0.77 y menor o igual a 1.

b) Categoría A: mayor a 0.72 y menor o igual a 0.77.

c) Categoría B: mayor a 0.67 y menor o igual a 0.72.

d) Categoría C: mayor a 0.62 y menor o igual a 0.67.

e) Categoría D: mayor o igual 0 y menor o igual a 0.62.

PARÁGRAFO. La clasificación de planteles se publicará en la página web del ICFES, en la fecha señalada en la resolución de cronograma del examen Saber 11 correspondiente. Cada establecimiento y sede podrán consultar la clasificación con su código DANE.

Artículo 12. situaciones especiales con relación al procedimiento de clasificación. Las siguientes son algunas situaciones especiales que se pueden presentar con relación al procedimiento o a la publicación de la clasificación.

1. Un establecimiento educativo podrá solicitar que, para el cálculo de clasificación, se incluyan los resultados de los estudiantes con discapacidad que no fueron tenidos en cuenta en los numerales 2 y 3 del artículo 11. Esta clasificación será tomada como la oficial, anulando la anterior que no incluía a dichos estudiantes.

2. En caso de que un evaluado se hubiere presentado al Examen Saber 11 en más de una ocasión, solo se tendrán en cuenta los resultados que haya obtenido la primera vez que lo presentó, siempre y cuando hubiera sido en calidad de estudiante de grado 11 o 26.

PARÁGRAFO. Las anteriores solicitudes, al igual que cualquier otra reclamación contra la clasificación, se podrán presentar únicamente mediante comunicación oficial dirigida al ICFES dentro de los dos meses (2) posteriores a la publicación oficial de la clasificación de planteles. El plazo de reclamaciones, solo se aplicará a partir del siguiente cronograma de exámenes de estado que expida el ICFES.

Artículo 13. eventos en los cuales no se producirá la clasificación. No se hará o continuará el procedimiento de clasificación cuando ocurra cualquiera de las siguientes situaciones:

1. Cuando ningún estudiante del establecimiento o sede presente el examen Saber 11 en alguna de las dos aplicaciones del año de cálculo clasificación;

2. Cuando los estudiantes, el establecimiento o la sede no cumplan con algunas de las condiciones del numeral 3 del artículo 11;

3. Cuando el establecimiento o sede cuente con menos de 9 resultados válidos en los últimos tres años consecutivos.

4. Cuando el establecimiento o sede hubiere reportado información no veraz de las personas que haya inscrito para cualquier aplicación de los últimos 3 años. Esto implica, pero no está limitado a: Inscribir como estudiantes a personas que no son estudiantes, no inscribir como estudiantes a personas que son estudiantes, reportar estudiantes con una condición de discapacidad cuando no tiene dicha condición o inscribir a estudiantes en un grado diferente en el cual se encuentra matriculado en el establecimiento o sede;

5. Cuando no se alcanzare el número mínimo de estudiantes necesario para llevar a cabo el análisis de resultados institucionales. Lo anterior como consecuencia de las actuaciones administrativas sancionatorias contra estudiantes.

PARÁGRAFO. El ICFES compulsará copias a las Secretarías de Educación correspondientes para el ejercicio de sus funciones de inspección y vigilancia, respecto de los establecimientos educativos involucrados en las conductas señaladas anteriormente cuando así lo amerite”.

ARTÍCULO 2o. Esta resolución deroga cualquier otra norma en contrario y rige a partir de la fecha de su publicación. Las demás disposiciones contenidas en las Resoluciones números 268 y 507 de 2020 que no se modifican expresamente continúan vigentes.

El plazo de las reclamaciones que estuviera en curso a la entrada en vigencia de la presente resolución seguirá rigiéndose por el que estaba vigente al momento de la respectiva publicación.

Dada en Bogotá, D. C., a 20 de diciembre de 2021.

Publíquese y cúmplase.

La Directora General,

Mónica Ospina Londoño

×
Volver arriba