RESOLUCIÓN 3272 DE 2015
(septiembre 3)
Diario Oficial No. 49.642 de 21 de septiembre de 2015
MINISTERIO DE HACIENDA Y CRÉDITO PÚBLICO
Por la cual se reglamenta el artículo 4o del Decreto número 36 de 2015.
EL MINISTRO DE HACIENDA Y CRÉDITO PÚBLICO,
CONSIDERANDO:
Que de acuerdo con lo dispuesto en el parágrafo 1o del artículo 4o del Decreto número 36 de 2015, corresponde a la Dirección General de Regulación Económica de Seguridad Social del Ministerio de Hacienda y Crédito Público establecer la metodología actuarial para realizar el cálculo de cobertura de que trata el mencionado artículo, la cual corresponderá exclusivamente al cambio de reserva matemática por variaciones de salario mínimo;
Que de acuerdo con la metodología actuarial definida por la Dirección General de Regulación Económica de Seguridad Social, el Ministerio de Hacienda y Crédito Público expide la presente resolución,
RESUELVE.
ARTÍCULO 1o. CÁLCULO DE LA COBERTURA DE SALARIO MÍNIMO. El valor de la cobertura de salario mínimo a que hace referencia el artículo 4o del Decreto número 36 de 2015, que se calculará para las rentas vitalicias inscritas en el mecanismo, será equivalente a:

| COB (A) | Valor en pesos de la cobertura en el año A, en los términos del Decreto número 36 de 2015. |
| SMMA: | Valor en pesos de un salario mínimo mensual vigente en el año A. |
| MA: | Valor en pesos de la mesada inicial en el año A (la asignada para enero del año del cálculo). |
| R1(A): | Reserva, en el año A, con base en el valor observado del salario mínimo |
| R2(A): | Reserva, en el año A, con base en el valor estimado el año A-1 del salario mínimo. |
De manera general:
| AF[M, SMM]: | Valor presente actuarial, en pesos, del auxilio funerario que corresponde teniendo en consideración una mesada M y un monto de salario mínimo inicial SMM. |
| VA[M, SMM]: | Valor presente actuarial, en pesos, de una renta vitalicia que inicia en M y no puede ser inferior al salario mínimo. El salario mínimo inicial es SMM. |

Con 1 + i = (1 + f). (1 + r)
| M: | Valor en pesos de la mesada inicial (la asignada para enero del año del cálculo) o de la mesada inicial proyectada cuando se trate de rentas diferidas. |
| Nt: | Indicador del número de mesadas |

| Grupo de edades del causante y sus beneficiarios. | |
| x: | Edad actuarial del causante, en años. Si cumple años después del 30 de junio, se usarán los años cumplidos; y si cumple años antes del 1o de julio, se usarán los años cumplidos más uno. |
| y, z, …: | Edad actuarial de los beneficiarios, en años. Si el sustituto cumple años después del 30 de junio, se usarán los años cumplidos; y si cumple años antes del 1o de julio, se usarán los años cumplidos más uno. |
Los beneficiarios deben corresponder con el grupo que se consideró al momento de la tarifación de la renta.
Se entiende por beneficiarios los enunciados en el artículo 74 de la Ley 100 de 1993, modificado por el artículo 13 de la Ley 797 de 2003.
| Tablas de Mortalidad por sexo, tanto del causante como de sus beneficiarios, las establecidas por la Superintendencia Financiera o las que las complementen o modifiquen para personas según clasificación. | |
| Corresponde al número de años necesarios para la terminación del grupo actuarial según la combinación de las tablas de mortalidad aplicables y las características de los beneficiarios. | |
| Probabilidad de que el grupo | |
| Probabilidad de que una persona de edad x años, fallezca entre las edades x+k-1 y x+k. | |
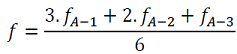
| fA: | Tasa de inflación, IPC doce meses certificado por el DANE a 31 de diciembre del año A. |
![]()
| r: | El menor valor entre 4% y la tasa de interés real utilizada en la tarifación de la renta. |
| Incremento real esperado del salario mínimo asignado a las rentas vitalicias inscritas al mecanismo en el mismo año de inscripción, en los términos definidos por el artículo 2o del Decreto número 36 de 2015. | |
| Tasa de factor de seguridad asociado al cambio en los beneficiarios, estimada en 0,6%, será revisada cada año por el Gobierno nacional. | |
ARTÍCULO 2o. VIGENCIA. La presente resolución rige a partir de la fecha de su publicación.
Publíquese y cúmplase.
Dada en Bogotá, D. C., a 3 de septiembre de 2015.
El Director General de Regulación Económica de Seguridad Social,
JAIME EDUARDO CARDONA RIVADENEIRA,
Ministro de Hacienda y Crédito Público.
Centro Normativo Keralty
n.d.
Última actualización: 30 de diciembre de 2025
