SUPERINTENDENCIA FINANCIERA DE COLOMBIA
RESOLUCIÓN 83 DE 2008
(Enero 21)
<Fuente: Boletín Ministerio de Hacienda, Capítulo Superintendencia Financiera de Colombia, No. 84 de 21 de enero de 2008>
SUPERINTENDENCIA FINANCIERA DE COLOMBIA
Por la cual se aprueban modificaciones a los documentos que integran el “Sistema de Proveedor de Información para Valoración de Inversiones” contenido en el ARTÍCULO SEGUNDO de la Resolución 1822 de 2006;
EL SUPERINTENDENTE FINANCIERO
En ejercicio de sus facultades legales, en especial del numeral 19 del artículo 3o del Decreto 2739 de 1991, el literal a) del numeral 3o del artículo 326 del Estatuto Orgánico del Sistema Financiero y el numeral 14 del artículo 11 del Decreto 4327 de 2005,
CONSIDERANDO
PRIMERO: Que a través de la Resolución 1822 de 2006 la Superintendencia Financiera de Colombia aprobó modificaciones a los documentos contentivos del “Sistema de Proveedor de Información para Valoración de Inversiones”.
En la mencionada resolución se unificaron todos los documentos que constituían, para ese momento, el “Sistema proveedor de Información para valoración de Inversiones”.
SEGUNDO: Que a través de la Resolución 2068 de 2007 la Superintendencia Financiera de Colombia cambió, para actualizar su contenido, el artículo 2 de la Resolución 1822 de 2006 contentivo del “Sistema Proveedor de Información para Valoración de Inversiones”, integrado por los documentos: Capítulo I “Información para valoración de TES Clase B”; Capítulo II “Información para valoración de títulos diferentes de TES clase B; Capítulo III” “Metodología de ajuste y actualización de márgenes de valoración” y finalmente por el “Método de Estimación de la Curva Cero Cupón para Títulos TES tasa fija en pesos (CEC en pesos) y la Curva Cero Cupón para Títulos TES en UVR (CEC en UVR)”.
TERCERO: Que de conformidad con lo dispuesto en los parágrafos 1, 2 y 3 del numeral 2.1 del Capítulo I de la Circular Básica Contable y Financiera (Circular Externa 100 de 1995) corresponde a la Superintendencia Financiera de Colombia aprobar las metodologías para determinar los precios, tasas de referencia y márgenes para la valoración de inversiones.
CUARTO: Que mediante comunicación calendada el 14 de Enero de 2008, la Bolsa de Valores de Colombia S.A. envió un documento contentivo de unas modificaciones al Sistema de Proveedor de Información para Valoración de Inversiones”, concretamente al documento técnico “Método de Estimación de la Curva Cero Cupón para Títulos TES tasa fija en pesos (CEC en pesos) y la Curva Cero Cupón para Títulos TES en UVR (CEC en UVR)”.
La modificación solicitada corresponde a una nueva definición y estimación de un punto sintético (muestral) que se utilizará para la construcción de la Curva Cero Cupón UVR, el cual será calculado a partir de la Curva Cero Cupón pesos y la inflación anualizada.
QUINTO: Que la Superintendencia Financiera de Colombia considera apropiados los cambios solicitados por la Bolsa de Valores de Colombia S.A. porque los mismos permiten mejorar la representatividad de las condiciones de mercado en la información utilizada para calcular el precio de valoración de los títulos o valores.
RESUELVE:
ARTÍCULO PRIMERO. Autorizar las modificaciones solicitadas por la Bolsa de Valores de Colombia S.A. al “Sistema Proveedor de Información para Valoración de Inversiones”, concretamente al documento técnico “Método de Estimación de la Curva Cero Cupón para Títulos TES tasa fija en pesos (CEC en pesos) y la Curva Cero Cupón para Títulos TES en UVR (CEC en UVR)”.
ARTÍCULO SEGUNDO. Cambiar de manera integral el ARTÍCULO SEGUNDO de la Resolución 1822 de 2006, modificado por la Resolución 2068 de 2007, cuyo texto quedará así:
Sistema Proveedor de Información para Valoración de Inversiones
INFORMACIÓN PARA VALORACIÓN DE TES CLASE B.
1. Definiciones
Para efectos del presente documento deberá entenderse para las expresiones que se indican a continuación la definición asignada a la misma.
1.1 Sistema proveedor de información para valoración de inversiones: Corresponderá al sistema que implemente la Bolsa Valores de Colombia S.A., en adelante BVC, para proveer precios, márgenes e información para valoración de inversiones, con base en operaciones o información de mercado.
1.2 Operación de contado: Es la operación de compraventa definitiva de títulos celebrada para cumplimiento dentro de un plazo considerado como de contado. Para efectos de la presente norma esta condición será un parámetro que se aplicará con un valor máximo de fecha de cumplimiento de t+2.
1.3 Plazo de contado: Corresponderá a los días hábiles entre la fecha de celebración de la operación y la fecha del cumplimiento, inclusive para las operaciones del Banco de la República.
1.4 Valor par: VP, Corresponde al capital por amortizar.
VP= 100 - Amortizaciones
1.5 Precio sucio o precio total: Precio porcentual con tres decimales, al cuál se adjudica, calza o registra una operación, el cual incluye los intereses causados y pendientes sobre el título, desde la fecha de emisión o último pago de intereses hasta la fecha de cumplimiento de la operación de compraventa.
(1)

Donde:
PS :Precio sucio del título.
Fi :Son los flujos del título por concepto de intereses y capital.
ni :Son los días que median entre la fecha de liquidación y el próximo pago de intereses y capital, considerando un calendario corriente de 365 días, sin corrimiento de días en caso de caer el flujo en día no hábil y sin considerar el día 29 de febrero de los años bisiestos.
TIR :Tasa interna de retorno, equivalente a la tasa de rentabilidad de la operación.
VP :Valor par.
K : Es el número total de flujos del título.
1.6 Precio limpio: Precio porcentual con tres decimales, resultado de sustraer del precio sucio, los intereses sobre el título causados desde la fecha de emisión o último pago de intereses hasta la fecha de operación de compraventa o valoración.
(2) ![]()
Donde:
PL : Precio limpio del título.
PS : Precio sucio del título.
i : Tasa convertida porcentual a la modalidad y periodicidad de pago del título.
n : Son los días comprendidos entre la fecha del último pago de intereses y la fecha de liquidación o valoración. La fecha del último pago que se tomará para este cálculo, será la fecha real en que se debió hacer el pago de intereses, no obstante este sea un día no hábil; se tomará el día no hábil, con base en un año comercial o calendario según lo definido en la especie.
m : Es el período de pago del interés en días definido en la especie o la oferta, con base en un año comercial o calendario según lo definido en la especie.
VP : Valor par.
1.7 Precio promedio: Precio sucio con tres decimales que se obtiene del promedio ponderado por cantidad de los precios sucios de las operaciones para un mismo título de conformidad con lo establecido en el numeral 7.
1.8 Precio estimado: Precio sucio con tres decimales que se obtiene como resultado de encontrar el valor presente de los flujos de un título, descontándolos con la tasa de referencia y el margen correspondiente.
1.9 TIR: Tasa interna de retorno, es la tasa en términos efectivos anuales y expresada en porcentaje de rentabilidad de la operación, aproximado por redondeo mundial hasta con tres decimales, a la cual se adjudicó, se calzó o se informó la operación en el sistema, base 365 días, sin corrimiento de días en caso de caer el flujo en día no hábil y sin considerar el día 29 de febrero de los años bisiestos.
1.10 Tasa de descuento: Se compone de una tasa de referencia y un margen que refleja los diferentes riesgos no incorporados en dicha tasa, de acuerdo con la siguiente fórmula:
(2)
Donde:
TD: Tasa de descuento en términos efectivos anuales base 365 días, sin corrimiento de días en caso de caer el flujo en día no hábil y sin considerar el día 29 de febrero de los años bisiestos.
TR: Tasa de referencia, distinta para cada categoría, en términos efectivos anuales.
M: Margen, distinto para cada categoría, en términos efectivos anuales.
Esta tasa podrá variar para cada flujo, en caso de que la tasa de referencia para el título corresponda a una curva estimada cero cupón.
1.11 Margen por operación: Es el porcentaje efectivo anual expresado con cuatro (4) decimales, aproximado por redondeo mundial, de manera que si el quinto decimal es 5 o superior, el cuarto decimal se aproxima al entero inmediatamente superior y si el quinto decimal es 4 o inferior, el cuarto decimal se aproxima al entero inmediatamente inferior.
1.12 Margen promedio: Es el porcentaje efectivo anual expresado con cuatro (4) decimales aproximado por redondeo mundial, que se obtiene como resultado del promedio ponderado por cantidad de los márgenes de las operaciones para una misma categoría.
1.13 Parámetro de vigencia: Número de días corridos calendario en los que un margen promedio se mantiene vigente como margen histórico, contados a partir del día de su cálculo y hasta por un año, entendido este de 365 ó 366 días según el año correspondiente.
1.14 Ultimo día de vigencia: Será el último día en el cual el margen histórico de una categoría tiene vigencia de acuerdo con el parámetro de vigencia establecido en el numeral 1.13.
1.15 Margen histórico vigente: Se denominará así al último margen promedio calculado para una categoría que se encuentre dentro del plazo estipulado como “parámetro de vigencia”.
1.16 Margen histórico sin vigencia: Se denominará así al último margen promedio calculado para una categoría, que pierde su vigencia por tener un plazo de haberse calculado mayor que el “parámetro de vigencia”. Plazo de haberse calculado que se cuenta como los días corridos calendario a partir del día del cálculo del margen promedio y hasta la fecha de valoración.
1.17 Margen interpolado: Se denominará así el margen asignado de conformidad con las reglas que se establecen en el numeral 8.4, cuando una categoría no tenga margen promedio calculado o margen histórico vigente.
1.18 Tipo de tasa facial: Es el indicador, índice, o porcentaje fijado contractualmente para determinar el pago de los rendimientos, establecido en las condiciones de emisión del título.
Sin perjuicio de lo anterior, el tipo de tasa facial podrá corresponder a una agrupación de las mismas con base en características similares.
1.19 Calificación de riesgo: Corresponde a una convención que representa una evaluación de la probabilidad de incumplimiento en el pago tanto de capital como de intereses, si se trata de títulos; en el caso de entidades, representa una evaluación de su solvencia y su desempeño, entre otros. Cada tipo de calificación varía de acuerdo con la naturaleza de la emisión, la empresa que emite, su desempeño particular y su cultura empresarial. Sin perjuicio de lo anterior, la calificación podrá corresponder a una agrupación de tipos de calificaciones de las calificadoras con condiciones homogéneas, para efectos de la valoración.
1.20 Clase (CTV): Corresponde a la agrupación básica de los títulos de renta fija efectuada para valorar, que considera el sector del emisor y el tipo de título.
1.21 Moneda o unidad: Es la denominación en la cual se expresa la cantidad nominal del título, esta puede ser: en pesos, dólares, euros, unidad de valor real UVR, entre otras. Sin perjuicio de lo anterior, la clasificación por moneda o unidad podrá corresponder a una agrupación con base en características similares.
1.22 Días al vencimiento: Son los días contados desde la fecha de celebración de la operación hasta la fecha de vencimiento del título, base 365 días, sin corrimiento de días en caso de caer el flujo en día no hábil y sin considerar el día 29 de febrero de los años bisiestos. Sin perjuicio de lo anterior, para efectos de la clasificación los días a vencimiento podrán agruparse con base en efectos financieros similares.
1.23 Categoría para margen promedio: Es la agrupación de los títulos para efectos de obtener margen promedio, resultante de la combinación de las siguientes características: clase, calificación, tipo de tasa, moneda o unidad, días al vencimiento o emisión, como se muestra en el presente documento en el numeral 6.
1.24 Margen Mínimo: Es el margen correspondiente a una categoría conformada por clase, grupo de tipo de tasa facial, grupo de moneda o unidad, grupo de días a vencimiento y grupo de calificación, asignado a la misma clase, grupo de tipo de tasa, grupo de moneda o unidad y grupo de días a vencimiento, pero del grupo de calificación de menor riesgo inmediatamente anterior.
1.25 Muestra: es el conjunto de operaciones utilizadas para realizar los cálculos de la información para valoración.
2. Criterios generales
2.1 Periodicidad de la información suministrada: La BVC como administrador del Sistema Proveedor de Información para Valoración de Inversiones publicará información para valoración todos los días del año, incluyendo días hábiles y no hábiles bancarios. Sin perjuicio de lo anterior, solo se realizaran los cálculos con información de los mercados que hayan operado los días hábiles bancarios.
2.2 Vigencia del precio promedio: El precio promedio para efectos de valoración sólo tiene vigencia diaria. En consecuencia, si al día siguiente no se dan las condiciones para su cálculo, no se publicará el dato anterior y se procederá al cálculo y publicación del margen o precio estimado a través del margen y la tasa de referencia.
2.3 Valoración de cupones y principales: Los cupones y principales de títulos que se tengan en el portafolio en forma independiente, que hagan parte de títulos a los que se les calcule curva estimada cero cupón (tales como TES a tasa fija en pesos), se deberán valorar con la tasa de la curva estimada cero cupón que le corresponda y el margen del título completo al que pertenecen.
2.4 Vigencia del margen promedio calculado: El margen promedio calculado, de conformidad con las reglas que se establecen en el numeral 8, para una categoría seguirá vigente hasta tanto no haya lugar a su actualización por nuevas operaciones de títulos que correspondan a la categoría.
2.5 No retroactividad: Todo cambio que afecte la categorización sólo tendrá efectos futuros para los nuevos cálculos a realizar con un título y nunca tendrá efectos retroactivos.
2.6 Información al mercado por cambios en agrupaciones: Cuando se modifiquen las agrupaciones de las características bases para la categorización, la BVC deberá informar al mercado con al menos dos (2) días hábiles de antelación a su aplicación, salvo que la Superintendencia Financiera de Colombia establezca un plazo distinto.
2.7 Horarios para recepción de información: La BVC como administradora del sistema de información para valoración recibirá la información proveniente de todas las fuentes externas transaccionales a más tardar a las 3:40 p.m. y de las internas, a más tardar dentro de los treinta (30) minutos siguientes al cierre de los sistemas de negociación en que se celebran operaciones de contado, sin incluir horarios adicionales. Sin perjuicio de lo anterior, la información correspondiente a calificación de riesgo que sea reportada después de las 2:00 p.m. será tenida en cuenta a partir del día hábil siguiente al día en que fue informada a la BVC por la calificadora respectiva.
2.8 Horarios para entrega de información: Una vez realizados los cálculos para obtener la información para valoración, se publicará y dejará disponible el mismo día a los usuarios del sistema.
2.9 Información base para los cálculos: Los datos a utilizar para los cálculos del sistema proveedor de la información para valoración serán aquellos disponibles en los sistemas de negociación a la hora de cierre para transmisión. En consecuencia cualquier modificación posterior a las operaciones no implicará el recálculo de la información para valoración a menos que así lo determinen las Superintendencia Financiera de Colombia.
2.10 Efectos de la cancelación de una emisión o un emisor: Cuando se cancele un emisor o emisión por medidas adoptadas por la autoridad competente no se le calculará información para valoración a partir de esa fecha.
2.11 Efectos del cierre del mercado: Cuando un administrador de un sistema transaccional, que sea fuente para los cálculos del sistema de información para valoración, cierre en forma anticipada el mercado, la información para valoración se calculará con las operaciones disponibles hasta el momento del cierre.
2.12 Otra información: Los índices y la curva estimada de rentabilidad de TES – CETES, que actualmente calcula y difunde la BVC, se continuarán publicando para fines informativos.
2.13 Tipo de títulos objeto de cálculos de información para valoración: La BVC sólo calculará precio y margen para títulos de contenido crediticio en la forma y términos del presente documento.
2.14 Exclusión de operaciones: Por razones de seguridad se permitirá, bajo una opción especial, ignorar una operación, que a pesar de haber pasado los filtros, no deba ser tenida en cuenta para la realización de los cálculos del sistema de información para valoración, por no corresponder a una operación de mercado. La opción estará disponible sólo bajo el esquema de doble autorización, bajo dos códigos de perfiles diferentes. Cuando se haga uso de dicha opción, la misma deberá quedar consignada en los sistemas de auditoria del Administrador, al cual tendrán acceso la Superintendencia Financiera de Colombia.
Para efectos de ignorar una operación en los términos previstos en el párrafo anterior el Administrador del sistema realizará una consulta a un comité consultivo designado por el grupo de trabajo conformado con ocasión del convenio de asociación para temas de valoración coordinado por la Superintendencia Financiera de Colombia.
De la lista disponible del comité consultivo se deberá elegir por sorteo tres miembros, preferiblemente dos del área de tesorerías y uno del área de riesgos y contar con la aprobación de al menos dos de ellos. No podrán hacer parte de dicho sorteo aquellos que puedan tener conflicto respecto a las operaciones consultadas, bien por tener relación o ser parte interviniente o emisor del título.
En la consulta el Administrador deberá omitir el nombre de las entidades compradora y vendedora y el nombre de los miembros consultados se mantendrá en reserva. La consulta se hará por llamada telefónica grabada.
2.15 Publicación De Información no calculada por el Sistema Proveedor de Información para Valoración de Inversiones: La BVC como administrador del Sistema Proveedor de Información para Valoración de Inversiones podrá publicar información de valoración calculada por un ente externo, siempre y cuando dicha información sea obtenida mediante la aplicación de una metodología aprobada por la Superintendencia Financiera de Colombia.
Respecto a esta información, la BVC no asumirá ninguna responsabilidad por los errores que ésta pueda contener y solamente será publicada los días hábiles y no hábiles para los cuales sea reportada.
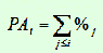
3. Conformación de la muestra para los cálculos de precio y margen de todos los TES clase B y la tasa de referencia ITUS
Para la conformación de la muestra de operaciones para los cálculos se tendrán en cuenta las siguientes consideraciones:
a) Para todos los cálculos se tomarán: (i) las operaciones de mercado secundario celebradas en sistemas transaccionales administrados por el Banco de la República, como el SEN; por entidades vigiladas por la Superintendencia Financiera de Colombia, como el MEC de la BVC; (ii) las operaciones de mercado primario provenientes de las subastas sobre TES realizadas por el Banco de la República, en adelante sistemas transaccionales y (iii) las operaciones de mercado secundario realizadas a través de intermediarios de valores, de conformidad con lo dispuesto en el Título Quinto, Capítulo Primero a Cuarto de la Parte Primera de la Resolución 400 de 1995 de la Superintendencia de Valores y registradas en sistemas centralizados de información para transacciones de que trata el Título Segundo de la Parte Cuarta de la Resolución 400 de 1995 de la Superintendencia de Valores, que hayan sido realizadas por Corredores Especializados en TES clase B (CVETES).
Las operaciones sobre títulos que presenten pago de cupón entre el día de la celebración y el día de su cumplimiento se excluirán para todos los efectos.
b) Las operaciones sólo se tendrán en cuenta para conformar la muestra y realizar los cálculos de la información para valoración, en la fecha de su celebración, salvo en el ITUS en la forma que se establece en el numeral 4.1.4.1.
c) Los cupones y principales de los títulos cuya negociación esté permitida en forma independiente se excluirán de todos los cálculos de información para valoración.
d) Sólo se tienen en cuenta las operaciones de compraventa definitiva, consideradas como de contado. Para efectos del sistema esta condición será un parámetro que se aplicará con un valor máximo de fecha de cumplimiento de t+0 para operaciones del mercado secundario y de t+2 para operaciones de subasta de TES.
e) Sobre todas las operaciones informadas por los sistemas de negociación (incluyendo subastas de TES) se aplicará en primera instancia un filtro por monto, de conformidad con lo establecido en el presente documento. Una vez realizado dicho filtro, las operaciones resultantes serán tenidas en cuenta para establecer un filtro por tasa. Una vez establecido el filtro por tasa, se realizará un filtro de medianas por precio, margen o rentabilidad, después de los cuales se ignorarán las operaciones que se encuentren por fuera de los límites del filtro de tasa para efectos de calcular precio, margen o índice ITUS.
4. Tasa de referencia
Es la tasa porcentual expresada en términos efectivos anuales, que junto con el margen conforma la tasa de descuento.
La tasa de referencia podrá ser una tasa estimada de rentabilidad a partir de una curva, un índice de rentabilidad, o el indicador pactado y señalado facialmente.
4.1 Criterio base para asignación de tasa de referencia.
Las tasas de referencia para cada caso serán:
4.1.1 Para títulos a tasa fija denominados en pesos (incluidos los TES en pesos, los cupones y los principales negociados por separado): Serán las tasas de rentabilidad efectiva anual de la curva cero cupón, CURVA DE RENTABILIDAD ESTIMADA CERO CUPÓN PARA TES EN PESOS A TASA FIJA “CEC en pesos”, correspondientes al plazo ni, donde i corresponde a cada flujo.
4.1.2 Para títulos a tasa fija denominados en UVR (incluidos los TES denominados en UVR): Serán las tasas de rentabilidad efectiva anual de la curva cero cupón, CURVA DE RENTABILIDAD ESTIMADA CERO CUPÓN PARA TES DENOMINADOS EN UVR A TASA FIJA “CEC en UVR”, correspondientes al plazo ni, donde i corresponde a cada flujo.
4.1.3 Para títulos a tasa variable (incluidos los TES indexados al IPC): Será el indicador pactado y señalado facialmente, expresado siempre en términos efectivos anuales para efectos de los cálculos de valoración.
4.1.4 Para TES en dólares: Se tendrá como tasa de referencia el índice para TES en dólares ITUS.
4.1.4.1 Determinación de la tasa de referencia para TES en dólares
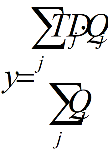
El ITUS se calculará como un promedio geométrico ponderado por la cantidad nominal de mínimo (n) rentabilidades de las operaciones dentro de un máximo de (m) días corridos, incluyendo el día de cálculo, que tengan operaciones que pasen los filtros. De no presentarse el mínimo de operaciones dentro del plazo establecido, el ITUS no se calcula. Dentro de la metodología (n) rentabilidades y (m) días corridos requeridos son parámetros. Sin perjuicio de lo anterior, se ha determinado que (n) sea igual a tres (3) y (m) sea igual a noventa (90) días corridos incluido el día de cálculo. Cuando sea necesario considerar operaciones de días anteriores para completar la muestra se tomarán todas las operaciones de dichos días.
Para el cálculo del promedio geométrico se utilizará la siguiente fórmula:
(3) 
Donde,
RENT j : Rentabilidad efectiva de negociación en el mercado secundario para títulos con j días al vencimiento.
Ri : Rentabilidad efectiva de la operación i-ésima, (base 365).
Qi : Cantidad transada en la operación i-ésima.
5 Criterios para determinar el precio promedio y el margen
El procedimiento que se seguirá para determinar el tipo de cálculos que la BVC debe realizar sobre cada título específico, la forma como se publicará y entregará la información al usuario, entre otros, será el mismo para los títulos que clasifiquen en las siguientes condiciones:
5.1 Títulos a los que se les calcula curva estimada cero cupón, TES clase B tasa fija en pesos y UVR
Primero se calculará el precio promedio sucio y limpio, si se cumplen las condiciones establecidas en el numeral 7.
En caso de no poderse calcular precio promedio;
a. Se procederá a calcular el precio estimado sucio y limpio con la tasa de referencia de la curva estimada cero cupón correspondiente para cada flujo y el margen histórico o interpolado, por cada emisión para títulos cuyo plazo de días a vencimiento sea mayor o igual que 183 días. Esta condición permanecerá hasta que se pueda calcular nuevamente precio promedio.
b. Para TES cuyo plazo de días a vencimiento sea menor que 183 días a vencimiento, para los que no fuese posible obtener precio promedio, se calculará e informará el margen por categoría (por rango de días a vencimiento, calculado, histórico o interpolado).
c. Para los cupones y principales de títulos que se tengan en el portafolio en forma independiente, que hagan parte de títulos a los que se les calcule curva estimada cero cupón (tales como TES a tasa fija en pesos), se deberán valorar con la tasa de la curva estimada cero cupón que le corresponda y el margen del título completo al que pertenecen, en este caso la BVC publicará las tasas de la curva estimada cero cupón y el margen del título completo.
5.2 Tes clase B tasa fija en dólares
Primero se calculará el precio promedio sucio y limpio, si se cumplen las condiciones establecidas en el numeral 7.
Si para el día de la valoración no fuere posible obtener precio promedio, se calculará e informará el precio estimado sucio y limpio con la última tasa de referencia disponible (ITUS).
5.3 Tes clase B indexados a la variación del IPC en pesos
Primero se calculará el precio promedio sucio y limpio, si se cumplen las condiciones establecidas en el numeral 7.
Si para el día de la valoración no fuere posible obtener precio promedio, se calculará e informará el margen por categoría (promedio, histórico o interpolado).
5.4 TESBMIXTOS
---Primero se calcula el precio promedio sucio, si se cumplen las condiciones establecidas en el numeral 7.
---Si para el día de la valoración no fuere posible obtener precio promedio, se calculará e informará el margen por categoría (promedio, histórico o interpolado).
6 Categorización para cálculo de margen
Los títulos se agruparán por categorías para el cálculo de margen promedio de conformidad a como se explicó en la definición 1.23 anterior.
La categorización de un título específico se realizará teniendo en cuenta los siguientes criterios:
--Clase
--Calificación
--Tipo de tasa
--Tipo de moneda o unidad
--Días a vencimiento o emisión
Para los TES B en pesos emitidos con plazo de días a vencimiento mayor o igual que 182 días, en dólares y en UVR se reemplaza los rangos de días al vencimiento por la emisión. En consecuencia la categorización general de todos los títulos será la siguiente:

(1) :Los TES pesos con plazo de días a vencimiento mayor o igual que 182 días, se agrupan por emisión.
(2) :Los TES pesos con plazo de días a vencimiento menor que 182, se agrupan por días a vencimiento.
Se almacenará la codificación de las características con las fechas en las que tiene vigencia, sin reasignar o modificar un código de grupo de los ya utilizados.
En consecuencia, dentro de cada característica, nunca se reasignará un número ya utilizado, a una nueva.
6.1 Clase
Para efectos de la categorización el concepto “Clase” implica una agrupación de títulos teniendo en cuenta el tipo de título y la naturaleza del emisor. La agrupación por “clase” es un parámetro dentro de la metodología y por lo tanto podrá ser objeto de modificaciones con base en el comportamiento de las características antes descritas.

6.2 Calificación
Para efectos de la categorización el concepto “calificación” implica una agrupación de títulos teniendo en cuenta la calificación de riesgo, el tipo de título y la naturaleza del emisor. La agrupación por “calificación” es un parámetro dentro de la metodología y por lo tanto podrá ser objeto de modificaciones con base en el comportamiento de las características antes descritas.

6.3 Tipos de tasa
Para efectos de la categorización el concepto “Tipos de tasa” implica la agrupación de títulos teniendo en cuenta el tipo de tasa facial pactada en el título al momento de su emisión, esto es, a tasa fija, a tasa variable o atada a un índice o indicador. La agrupación por “Tipos de tasa” es un parámetro dentro de la metodología y por lo tanto podrá ser objeto de modificaciones con base en el comportamiento de las características antes descritas.

6.4 Monedas o Unidades
Para efectos de la categorización el concepto “Monedas o Unidades” implica una agrupación de títulos teniendo en cuenta la moneda o unidad de denominación del título, tales como peso, dólar y UVR. La agrupación por “Monedas o Unidades” es un parámetro dentro de la metodología y por lo tanto podrá ser objeto de modificaciones con base en el comportamiento de las características antes descritas.

6.5 Días a vencimiento
Para efectos de la categorización el concepto “días a vencimiento” implica una agrupación de títulos teniendo en cuenta los días a vencimiento contados a partir de la fecha de celebración de la operación en el sistema transaccional, de conformidad con lo definido en el numeral 1.22 anterior. La agrupación por “Días a vencimiento” es un parámetro dentro de la metodología y por lo tanto podrá ser objeto de modificaciones con base en el comportamiento de las características antes descritas.
Para el efecto la agrupación por “Días a vencimiento” a utilizar cuando aplique como criterio de categorización es:

7 Procedimiento para calcular el precio promedio sucio y limpio
El precio promedio sucio y limpio sólo será calculado con las operaciones celebradas el día de los cálculos, que hayan pasado los filtros de monto y/o tasa y/o margen y/o precio, y las demás serán excluidas del mismo, de conformidad con lo establecido a continuación.
Se calculará el precio promedio sucio y limpio con las operaciones celebradas sobre:
--un mismo título,
--de un mismo emisor,
--con idénticas características faciales,
--de una misma emisión,
--que le falten los mismos días a vencimiento.
Se considerará que hay lugar al cálculo de precio promedio sucio y limpio para valorar cuando:
I. Se haya celebrado al menos un número de transacciones, que hayan pasado el filtro de monto, tasa y/o margen y/o precio. Dentro de la metodología el número mínimo de operaciones requeridas es un parámetro. Sin perjuicio de lo anterior, se ha determinado que dicho número sea de tres (3).
II. Se requiere que el número mínimo de operaciones requeridas se hayan celebrado dentro de un número de días hábiles incluyendo el día del cálculo para la valoración. Dentro de la metodología el número de días es un parámetro. Sin perjuicio de lo anterior, se ha determinado que el número será de un (1) día, esto es, se tomará sólo el día de cálculo.
La fórmula para calcular el precio promedio sucio y limpio es:
(3) 
Donde:
: Precio promedio sucio o limpio ponderado porcentual para el título k, expresado con tres decimales.
Pi : Precio sucio ó limpio según corresponda, de la operación de contado i.
Qi : Cantidad nominal del título k en la operación i.
n : Número de operaciones a tener en cuenta con i= 1 hasta n.
8 Procedimiento para estimar el margen, en ausencia de precio promedio
La BVC calculará el margen por cada operación celebrada en los sistemas transaccionales con base en los flujos futuros de fondos por concepto de rendimientos y capital sobre el título objeto de la operación, según lo establecido en el Capítulo 4 de la Circular Única del MEC, teniendo en cuenta la tasa de referencia que le corresponda según lo establecido en el numeral 4 del presente documento.
Las operaciones a las cuales se les calcule el margen, serán aquellas que hayan pasado los filtros por monto y tasa, las demás serán excluidas de los mismos.
El margen por operación y el promedio de los mismos, podrá ser positivo, negativo o cero).
8.1 Fórmula para determinar el margen para cada operación
La fórmula a utilizar para despejar el margen, es la que se indica a continuación:
(4) ![]()
Donde;
P : Precio de la negociación, con tres decimales.
Fii : Flujos del título en porcentaje.
TRK : Tasa de referencia dividida por 100, correspondiente al plazo nK, que toma diferentes tasas de referencias de acuerdo al tipo de tasa facial pactada y la clase de título como se explica en el numeral 4.
MARGEN: Variable porcentual a despejar.
nK : Número de días hasta el pago de cada flujo Fi. Son los días que median entre la fecha de liquidación y el próximo pago de intereses y capital, considerando un calendario corriente de 365 días, sin corrimiento de días en caso de caer el flujo en día no hábil y sin considerar el día 29 de febrero de los años bisiestos.
8.2 Agrupación por categoría para cálculo del margen promedio
Una vez calculado el margen sobre las operaciones que hayan pasado los filtros, se procederá a calcular el margen promedio de los títulos objeto de las operaciones que correspondan a una misma categoría.
Se entenderá que corresponden a igual categoría los títulos que pertenecen a idénticos grupos de: clase, calificación, tipos de tasa, moneda o unidad, días a vencimiento o emisión de acuerdo con lo estipulado en el numeral 6 del presente documento.
8.3 Determinación del margen promedio
Se considerará que hay lugar al cálculo de margen promedio para valorar cuando:
Se haya celebrado al menos un número de transacciones, que hayan pasado el filtro de monto y/o tasa y/o margen y/o precio. Dentro de la metodología el número mínimo de operaciones requeridas es un parámetro. Sin perjuicio de lo anterior, se ha determinado que dicho número sea de tres (3).
Se requiere que el número mínimo de operaciones se hayan celebrado dentro de un número de días hábiles incluyendo el día del cálculo para la valoración. Dentro de la metodología el número de días es un parámetro. Sin perjuicio de lo anterior, se ha determinado que el número será de un (1) día, esto es, se tomará sólo el día de cálculo.
La fórmula para calcular el margen promedio es:
(5)
Donde:
: Margen promedio ponderado, para el código de la categoría k.
mi : Margen de una operación i perteneciente al código de la categoría k.
Qi : Cantidad nominal de la operación i.
i : Operaciones a tener en cuenta con i= 1 hasta n.
8.4 Margen histórico, interpolado y vigencia
Cuando una categoría no haya tenido margen promedio calculado dentro del parámetro de vigencia, se le asignará un margen interpolado de conformidad con las reglas que se establecen más adelante en los literales de este numeral, dicho margen tendrá vigencia diaria. En caso que fuere posible obtener margen promedio calculado para la categoría será reemplazado definitivamente por éste, de lo contrario será reemplazado diariamente por el valor del nuevo margen interpolado que le corresponda para el día de los cálculos. En caso de que uno de los márgenes promedio calculados con los que se calcula el margen interpolado, pierda vigencia, este perderá vigencia en la misma fecha.
El margen interpolado se establecerá teniendo en cuenta los siguientes criterios:
El día de valoración se calcularán todos los márgenes promedio posibles por categoría y se conservarán los márgenes promedio históricos vigentes para aquellas categorías a las que no fue posible calcularles margen promedio del día.
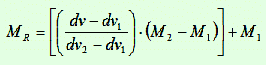
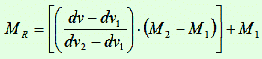
b) Para las categorías que quedaron sin margen de conformidad con lo establecido en el literal a) inmediatamente anterior, de TES tasa fija en pesos con plazo de días a vencimiento mayor o igual a 182 días y TES tasa fija en UVR, se encontrará el margen interpolado por emisión, si el grupo por emisión sin margen está ubicado entre dos grupos por emisión con márgenes calculados o históricos vigentes, se calcula el margen interpolado, de acuerdo con la siguiente fórmula:
Donde: 
MR : Margen interpolado
dv : Días al vencimiento de la emisión sin margen
: Margen calculado o histórico de la emisión con los días al vencimiento menores y mas próximos a dv.
: Margen calculado o histórico de la emisión con los días al vencimiento mayores y más próximos a dv.
: Días al vencimiento de la emisión correspondiente al margen M1.
: Días al vencimiento de la emisión correspondiente al margen M2.
c) Para las categorías que quedaron sin margen de conformidad con lo establecido en el literal a) inmediatamente anterior, de TES en pesos indexados al IPC y TES tasa fija en pesos con plazo de días a vencimiento menor que 182 días, el margen interpolado se establecerá teniendo en cuenta los siguientes criterios, en su respectivo orden:
-- Si el grupo de días a vencimiento sin margen está ubicado entre dos grupos de días a vencimiento con márgenes calculados o históricos vigentes, se calcula el margen interpolado, de acuerdo con la siguiente fórmula:
Donde:
MRIDV : Margen interpolado entre rangos de días a vencimiento.
Ddesconoc : La mitad de rango de días a vencimiento con margen desconocido.
Dinf : La mitad de rango de días a vencimiento inferior con margen conocido.
Dsup : La mitad de rango de días a vencimiento superior con margen conocido. Cuando se trate del máximo rango de días a vencimiento superior, se tomará el límite inferior de ese rango sumado 365 días.
Msup : Margen de rango de días a vencimiento conocido superior.
Minf : Margen de rango de días a vencimiento conocido inferior.
8.5 Cambio de margen por recategorización
Cuando las condiciones determinantes de la categorización de un título cambien, éste pasará a la nueva categoría y tomará el margen vigente para ella.
8.5.1 Cálculo de margen para nuevas categorías por división o agrupamiento
Cuando un grupo de una misma característica (como clase, moneda, tipo de tasa, etc) se divida en dos o más, así como, si dos o más grupos de una misma característica se consolidan en uno solo; al cierre del día hábil inmediatamente anterior al de entrada en vigencia de la nueva categorización, se deberán realizar los siguientes cálculos:
a) Calcular el margen promedio de conformidad con las reglas que se establecen en el presente documento, para las nuevas categorías con la información y las operaciones de un número de días hábiles inmediatamente anteriores a la entrada en vigencia (el valor inicial de este parámetro será de 240 días hábiles), de manera que se utilicen como los históricos para el día de entrada en vigencia.
b) Para las nuevas categorías a las que no se les pudo calcular margen promedio, se deberá asignar el margen interpolado de acuerdo con lo establecido en el presente documento.
PARÁGRAFO: Para efecto de cambios a realizar con aprobaciones que se impartan por efecto de aperturas de los grupos de días a vencimiento se utilizará, para las categorías con grupos de días a vencimiento nuevos que se queden sin margen calculado o histórico, los márgenes calculados e históricos vigentes el día inmediatamente anterior a la entrada en vigencia de los grupos sin dividir.
9 Precio estimado
Cuando no sea posible calcular precio promedio, de conformidad con lo establecido en el presente documento y se haya obtenido tasa de referencia y margen, se procederá a calcular precio estimado como se indica a continuación:
Para títulos a los que se les calcule curva estimada cero cupón, esto es TES a tasa fija en pesos y UVR, el precio estimado se calculará con la fórmula (4).
Para TES tasa fija en dólares, el precio estimado se calculará con la fórmula (6) y para ello se tomará el último valor del índice ITUS como tasa de referencia y un margen con valor igual a cero. De no haber sido posible obtener valor para el índice desde su creación, por no darse las condiciones para su cálculo, no se calculará precio.
Ahora bien, de no poderse calcular el índice ITUS el día de la valoración, se tomará el último vigente para cada título y se calculará el precio estimado. Por lo anterior, un precio calculado por índice, no podrá ser el mismo para fechas consecutivas, aunque el índice sea el último vigente porque los días a vencimiento en el descuento de los flujos del título se van reduciendo.
La fórmula a utilizar será:
(6)
Donde;
P : Precio calculado por el usuario.
Fii : Flujos del título.
INDICE : Valor del índice para cada emisión, igual para todos los flujos, en términos efectivos anuales publicado por la BVC.
nK : Número de días hasta el pago de cada flujo Fi.
10 Filtro por monto, por tasa de negociación y/o por mediana
Todas las operaciones recibidas de los sistemas transaccionales serán sometidas a filtros por monto y tasa, de conformidad con los criterios que se establecen en este numeral, a ser tenidas en cuenta en los cálculos y obtener la información para valoración.
10.1 Filtro por monto
El filtro por monto (valor de giro) consiste en establecer un monto mínimo para las operaciones a ser tenidas en cuenta en las muestras, para los cálculos del sistema de información para valoración.
Si el monto de la operación es menor que el valor del filtro, la operación será excluida de los cálculos; si el monto de la operación es mayor o igual que el valor del filtro, la operación se utilizará para el cálculo de la información, sin perjuicio del filtro por tasa.
El monto del filtro será un parámetro dentro de la metodología y se podrá asignar de manera diferencial teniendo en cuenta conjuntamente el tipo de título, el grupo de moneda o unidad y grupo de tipo de tasa. Sin perjuicio de lo anterior, se ha determinado que dichos montos sean:
Para TES a tasa fija en pesos y UVR: Cuatrocientos cincuenta millones de pesos ($450.000.000) y cuatrocientos millones de pesos ($400.000.000) respectivamente.
Para TES a tasa fija en dólares y TES indexados a la variación del IPC en pesos: Doscientos cincuenta millones de pesos ($250.000.000).
Para TESBMIXTO en pesos: Doscientos cincuenta millones de pesos ($250.000.000).
10.2 Filtro para tasa de negociación
10.2.1 Concepto general
Será requisito previo para las operaciones que se sometan a este filtro, haber pasado el filtro por monto.
El filtro por tasa consiste en establecer unos límites por tasa de rentabilidad para las operaciones a ser tenidas en cuenta en las muestras para los cálculos del sistema de información para valoración.
Si la tasa de la operación es mayor que el límite establecido como filtro, la operación será excluida de los cálculos; si la tasa de la operación es menor o igual que el valor del límite, la operación se utilizará para el cálculo de la información.
10.2.2 Determinación del límite para filtro por tasa
Para construir el filtro por tasa se procederá así:
Condiciones para la curva de TIR para filtro por tasa
Primero, se procederá a calcular curvas de TIR que deben cumplir con la condición de un número (n) mínimo de fechas de vencimiento correspondientes a operaciones sobre títulos. En caso de no encontrarlos en el día de realización de los cálculos de la información para valoración, deberá obtenerlos del día inmediatamente anterior más cercano en que los encuentre. De encontrar varias fechas de vencimiento para completar la condición, las tomará todas. En caso de que se devuelva a buscar operaciones o emisiones dentro del máximo de días y no las encuentre no se calculará curva y las operaciones pasarán automáticamente el filtro.
Para el efecto, se construirán las curvas que se indican a continuación en donde (n) será:
Las curvas de TIR para los TES a tasa fija en pesos, TES a tasa fija en UVR y TES indexados a la variación del IPC en pesos, deben tener un mínimo de seis (6) fechas de vencimiento diferentes.
La curva de TIR para TES a tasa fija en dólares debe tener un mínimo de cuatro (4) fechas de vencimiento diferentes.
Parámetros de la curva de TIR para filtro por tasa
Los parámetros de la curva de TIR se estiman utilizando mínimos cuadrados (Ver Anexo 1) de acuerdo a la siguiente formula
(7) 
Rentabilidad Promedio observada para el grupo con fecha de vencimiento i.
Rentabilidad Estimada para el grupo con fecha de vencimiento i.
Valor Parámetro para el proceso de minimización definido en 3000000000.
Numero total de grupos con fechas de vencimiento diferentes.
Establecimiento del límite por medio del error cuadrado medio
Para efectos de establecer el límite, se calculará el error cuadrado de cada operación con la siguiente fórmula:
(8) 
Donde:
:Error cuadrado de la TIR de la operación i, para el conjunto de títulos k.
:Curva de rentabilidad para el conjunto de operaciones k, en el plazo x.
TIRix :Tasa de rentabilidad de la operación i para el plazo de días a vencimiento x.
i :Operaciones a tener en cuenta con i = 1 hasta n.
K :Cada categoría de TES clase B.
Con los errores cuadrados
de cada operación, se procede a calcular un promedio aritmético de errores cuadrados, con la siguiente fórmula:
(9)
Donde:
: Promedio aritmético de los errores cuadrados de TIR, para todo el conjunto de títulos k.
: Error cuadrado de la TIR de la operación i, para el conjunto de títulos k.
n : Número de operaciones del conjunto k.
K : Cada categoría de TES clase B.
Límite = Número de amplitudes * ![]()
El número de amplitudes es un parámetro del sistema. Sin perjuicio de lo anterior, se ha determinado que las amplitudes sean:
TES a tasa fija en pesos : 8
TES a tasa fija en UVR : 6
TES a tasa fija en dólares : 6
TES indexados a la variación del IPC en pesos : 9
Aplicación del límite para filtro por tasa
Una vez establecido el límite por cada curva de TIR, de conformidad con lo establecido en los puntos anteriores del presente numeral, se procederá a aplicarlo a todas las operaciones que conforman la muestra de cada curva, así:
Si el error cuadrado
de la tasa de negociación de la operación es mayor que el Límite, la operación se excluye de la muestra para cálculo de la información para valoración;
En caso contrario, si el error de la tasa de la operación
es menor o igual que el Límite, la operación se incluye en los cálculos de información para valoración.
10.3 Filtro por mediana
El filtro por medianas consiste en establecer agrupaciones de operaciones por las mismas características de marcación de precio promedio o de marcación de margen promedio y establecer unos intervalos de aceptación de rentabilidad, margen o precio dentro de los cuales se determina si una operación será tenida en cuenta para los cálculos de la información para valoración.
Si la rentabilidad, margen o precio de la operación se encuentra dentro del intervalo establecido por el filtro, la operación será incluida en los cálculos; si la rentabilidad, margen o pecio de la operación se encuentra por fuera del intervalo establecido por el filtro, la operación será excluida de los cálculos.
El filtro por medianas se puede definir como un filtro de rentabilidad por emisión, filtro de precio por emisión, filtro de margen por emisión, filtro de margen por categoría o como un filtro de rentabilidad por categoría. Para la descripción de los filtros que se desarrolla a continuación, se utilizaran variables definidas como parámetros. Sin perjuicio de lo anterior se ha establecido que los parámetros de los filtros de medianas por emisión y de medianas por categoría se muestren en el anexo 2.
Las operaciones que se sometan a este filtro, deben superar los filtros por monto y si tienen definido un filtro por tasa, deben superar el filtro por tasa, definidos en los puntos anteriores.
En la descripción que se realiza para el filtro por emisión se utiliza la rentabilidad. El filtro de precio o margen por emisión es igual solo que se realiza utilizando la variable precio de la operación, o con la variable margen de la operación en lugar de rentabilidad de la operación.
En la descripción que se realiza para el filtro por categoría se utiliza el margen. El filtro de rentabilidad por categoría es igual solo que se realiza con la variable rentabilidad de la operación en lugar de margen de la operación.
Inicialmente solo se definirán filtros de medianas de rentabilidad por emisión, filtros de medianas de precio por emisión y filtros de medianas de margen o rentabilidad por categoría.
10.3.1 Descripción general del filtro de rentabilidad por emisión
a) Utilizando las operaciones del día para el cual se están calculando los filtros se agrupan las operaciones para cada emisión (de acuerdo con las mismas características de marcación de precio promedio) y se determina el número de operaciones para cada grupo. Luego, con el conjunto de operaciones de cada grupo se realiza el procedimiento descrito en los numerales (b) - (e).
b) Si el número de operaciones es mayor o igual a M (parámetro) se conforma la muestra para el calculo de la mediana ponderada de la rentabilidad por valor nominal MP (ver detalle en calculo de la mediana ponderada) y la desviación estándar de la rentabilidad DE (ver detalle en cálculo de la desviación estándar). El valor de la desviación estándar debe compararse con un valor mínimo (DEM (parámetro)).
Si la DE calculada es menor que el valor de DEM, entonces al valor de DE se le asigna el valor de la desviación estándar mínima (DEM).
Si para la agrupación, el día de cálculo de los filtros, no se completa la muestra no se calcula filtro para el grupo.
c) La muestra se conforma con las operaciones del día y con todas las operaciones de la emisión de días anteriores desde el día en el que se hubiera presentado la n-esima (parámetro=n) marcación de precio anterior, incluyendo las operaciones que realizan la marcación. La marcación se define como la existencia del mínimo de operaciones para calcular precio promedio en INFOVAL.
Ejemplos:
-- Ejemplo 1: Si n es 1, la muestra se conforma con las operaciones del día y con todas las operaciones desde la última marcación de precio.
-- Ejemplo 2: Si n es 2, la muestra se conforma con las operaciones del día y con todas las operaciones desde la penúltima marcación de precio.
El número máximo de días corridos permitido para buscar operaciones para conformar la muestra es de J (parámetro) días corridos sin incluir el día de cálculo. Si para la emisión no existe cálculo de precio promedio dentro de los últimos J (parámetro) días corridos, la muestra del filtro se construye únicamente con las operaciones del día del filtro.
Si n se define como 0, no se busca última marcación y se toman todas las operaciones que se encuentren en el rango máximo de días permitido para devolverse.
d) Se determina un limite superior (LS) y un limite inferior (LI) de aceptación de observaciones con un nivel de confianza (Z) establecido como parámetro.
![]()
LS : Limite Superior
LI: Limite Inferior
MP : Mediana Ponderada por el valor nominal
DE : Desviación Estándar
:Nivel de confianza (parámetro)
e) Se evalúa la rentabilidad de cada operación con respecto al límite superior y el límite inferior respectivo. Sea Ri la rentabilidad de la operación i. Si
o
la operación queda excluida; si
la operación queda incluida. Las operaciones del día excluidas por el filtro no se tendrán en cuenta para ningún cálculo de valoración en futuras fechas.
10.3.2 Descripción general del filtro de margen por categoría
a) Utilizando las operaciones del día para el cual se están calculando los filtros, se agrupan las operaciones para cada categoría (combinación de las siguientes características: clase, grupo calificación, grupo tasa, grupo moneda y grupo de rango de días vencimiento) y se determina el numero de operaciones para cada grupo. Luego, con el conjunto de operaciones de cada grupo se realiza el procedimiento descrito en los numerales (b) a (e) siguientes.
b) Si el número de operaciones es mayor o igual a M (parámetro) se conforma la muestra para el calculo de la mediana ponderada del margen por valor nominal MP (ver detalles en calculo de la mediana ponderada) y la desviación estándar DE (ver detalles en cálculo de la desviación estándar). El valor de la desviación estándar debe compararse con un valor mínimo (DEM (parámetro)). Si la e calculada es menor que el valor de DEM, entonces al valor de DE se le asigna el valor de la desviación estándar mínima (DEM).
Si para la agrupación, el día de cálculo de los filtros, no se completa la muestra no se calcula filtro para el grupo.
c) La muestra se conforma con las operaciones del día y con todas las operaciones de la categoría de días anteriores desde el día en el que se hubiera presentado la n-esima (parámetro) marcación de margen anterior, incluyendo las operaciones que realizan la marcación. La marcación se define como la existencia del mínimo de operaciones para calcular margen promedio por categoría en INFOVAL.
Ejemplos:
-- Ejemplo1: Si n es 1, la muestra se conforma con las operaciones del día y con todas las operaciones desde la última marcación de margen.
-- Ejemplo 2: Si n es 2, la muestra se conforma con las operaciones del día y con todas las operaciones desde la penúltima marcación de margen.
El número máximo de días corridos permitido para buscar operaciones para conformar la muestra es de J (parámetro) días corridos sin incluir el día de cálculo. Si para la categoría no existe cálculo de margen promedio (marcación) dentro de los últimos J (parámetro) días corridos, la muestra del filtro se construye únicamente con las operaciones del día del filtro.
Si n es 0, no se busca última marcación y se toman todas las operaciones que se encuentren en el rango máximo de días permitido para devolverse.
d) Se determina un límite inferior y un límite superior de aceptación de observaciones con un nivel de confianza (Z) establecido como parámetro:
![]()
LS : Limite Superior
LI : Limite Inferior
MP : Mediana Ponderada por el valor nominal
DE : Desviación Estándar
: Nivel de confianza igual (parámetro)
e) Se evalúa el margen de cada operación con respecto a su límite superior y límite inferior respectivo. Sea Mi el margen de la operación i. Si
o
la operación queda excluida; si
la operación queda incluida. Las operaciones del día excluidas por el filtro no se tendrán en cuenta para ningún cálculo de valoración en futuras fechas.
10.3.3 Procedimiento matemático para el cálculo de la mediana ponderada
Para calcular la mediana ponderada se debe disponer de la información de la rentabilidad, margen o precio y del valor nominal (cantidad) de cada operación. En el procedimiento descrito a continuación se describe el cálculo de una mediana ponderada de margen. El procedimiento es igual para el cálculo de la mediana ponderada de precio o rentabilidad y solo cambia la variable a utilizar.
Sobre el conjunto de operaciones agrupadas para calcular el filtro, se realiza el siguiente procedimiento:
I. Se ordenan las operaciones por margen de forma ascendente.
II. Se calcula el porcentaje de valor nominal transado para cada operación.

: Porcentaje de la cantidad para la operación i
: Cantidad (valor nominal) de la operación i.
: Suma de la cantidad (valor nominal) de las operaciones del grupo
III. Se calcula el porcentaje acumulado de valor nominal para cada operación.

: Porcentaje acumulado de la cantidad (valor nominal) para la operación i.
: Porcentaje de la cantidad para la operación j
IV. Se ubica el 50% del porcentaje acumulado.
-- Si el 50% del porcentaje acumulado se encuentra exactamente en una operación, la mediana ponderada es el promedio simple del margen de esa operación con la siguiente.
-- Si no, la mediana ponderada es el margen de la operación que tiene un acumulado mayor al 50%.
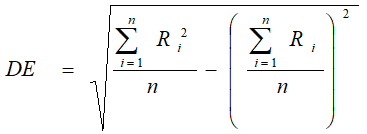
10.3.4 Procedimiento matemático para el cálculo de la desviación estándar
Para calcular la desviación estándar se debe disponer de la información de la rentabilidad, margen o precio de cada operación. La formula descrita a continuación aplica para el cálculo de la desviación estándar de la rentabilidad. El procedimiento es igual para el cálculo de la mediana ponderada de margen o precio y solo cambia la variable a utilizar. La formula ilustrara el cálculo con rentabilidades.

DE : Desviación Estándar
Ri : Rentabilidad de la operación i
n : Numero de operaciones de la muestra
11Información base para inicio de cálculos a la entrada en vigencia de la metodología
Para calcular las tasas de referencia y márgenes el 2 de enero del 2003, se utilizará una base de datos histórica construida desde el 1 de agosto hasta el 30 de diciembre de 2002.
La base de datos histórica fue construida con la metodología vigente en el momento de su cálculo.
Los datos publicados por la BVC dentro del tiempo previo a la entrada en vigencia de la presente metodología sólo tienen carácter informativo.
El día de entrada en vigencia del procedimiento que elimina el margen referido y llega hasta margen interpolado entre rangos de días a vencimiento o entre emisiones, se tomarán todos los márgenes referidos del día hábil inmediatamente anterior, como márgenes históricos sin vigencia.
12Difusión de la información a los usuarios para valoración de los títulos de renta fija
La BVC publicará diariamente a nivel de consulta en su sitio web para el público en general la información para valoración de inversiones que se haya obtenido con base en los procedimientos antes descritos (precios promedio, precios estimados, márgenes, y tasas de las curvas estimadas de rentabilidad). Lo anterior sin perjuicio que establezca mecanismos de trasferencia de información mediante archivos para los usuarios que contraten dicho servicio.
13Revisión periódica de parámetros y criterios de categorización
La BVC revisará con una periodicidad mínima trimestral la validez y vigencia de los parámetros y criterios de categorización, de manera que recomendará los ajustes que se consideren necesarios a la Superintendencia Financiera de Colombia, para que otorgue su aprobación.
14Información para Valoración en días no hábiles bancarios
La información para valoración que se publicará en los días no hábiles bancarios será:
a) Las tasas de referencia del día hábil bancario inmediatamente anterior.
b) El precio estimado de los títulos a los cuales se les informa éste durante los días hábiles bancarios, estimado con el margen según procedimiento del literal c) siguiente y la tasa de referencia del día hábil inmediatamente anterior, pero correspondiente con los días a vencimiento que le queden a los flujos o al título según corresponda (curva cero cupón o curva de TIR o índice), contados desde el día de la valoración, hasta la fecha de vencimiento, base 365, sin corrimiento de días en caso de caer el flujo en día no hábil y sin considerar el día 29 de febrero de los años bisiestos.
Los márgenes de los títulos calculados el último día hábil y asignados de acuerdo a la categoría conformada por las características de grupo de clase, grupo de calificación, grupo de tipo de tasa, grupo de moneda o unidad, grupo de días al vencimiento, asignado con los días a vencimiento que le queden contados desde el día de la valoración, hasta la fecha de vencimiento, base 365, sin corrimiento de días en caso de caer el flujo en día no hábil y sin considerar el día 29 de febrero de los años bisiestos o emisión.
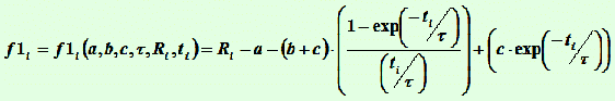
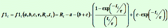
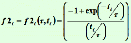
PROCEDIMIENTO MATEMÁTICO PARA EL CALCULO DE LA CURVA QUE SE UTILIZARA EN LOS FILTROS PARA TASAS.
Este documento tiene el propósito de realizar una descripción matemática de los cálculos necesarios para estimar la curva de rendimientos que servirá como indicador de mercado para elaborar los filtros por tasa y de esta forma, detectar las operaciones fuera de mercado.
Tabla de Contenido
1. Descripción general de la estimación de la curva
2. Variables de la muestra
3. Algoritmo del método de Descenso
4. Definición de funciones auxiliares para los numerales 5 y 6
5. Cálculo del valor f(yk)
6. Calculo del Vector Gradiente g(yk) de
con el vector de parámetros yk
7. Cálculo de la norma de un vector
8. Cálculo del vector unitario
9. Calculo del vector xik
1. Descripción general de la estimación de la curva
La función para la curva de rentabilidades a estimar esta dada por:

: Rentabilidad estimada del bono correspondiente al conjunto de títulos agrupados para la fecha de vencimiento i
Tiempo de maduración anualizado para el conjunto de títulos agrupados para la fecha de vencimiento i.
: Parámetros de la función para estimar
Es el exponente x aplicado a la base e. La constante e es igual a 2.71828182845904, la base del logaritmo natural.
Los parámetros de la función se estiman utilizando mínimos cuadrados

Rentabilidad Promedio observada para el grupo con fecha de vencimiento i.
Rentabilidad Estimada para el grupo con fecha de vencimiento i.
Valor Parámetro para el proceso de minimización definido en 3000000000.
Numero total de grupos con fechas de vencimiento diferentes.
Debido a la no linealidad del problema, se utiliza un método de Descenso para resolver el problema de minimización.
Antes de realizar la minimización para encontrar los parámetros de la función de la curva de filtros se realiza el siguiente procedimiento:
a.) Cálculo de la Rentabilidad Promedio para Operaciones con la misma fecha de vencimiento
Para cada grupo de operaciones con la misma fecha de vencimiento se calcula un promedio de la rentabilidad de cada operación ponderado por la cantidad (o valor facial) de la operación.

Dónde:
R(i)j: Tasa de Descuento de la operación j dentro del grupo con la misma fecha de vencimiento i.
Qj: Cantidad o Valor Facial de la operación j dentro del grupo con la misma fecha de vencimiento i.
RPi: Rentabilidad Promedio para el grupo con la misma fecha de vencimiento i.
b.) Cálculo de los Días al Vencimiento con base en años 365 para el grupo de operaciones con la misma fecha de vencimiento
Para cada grupo de operaciones con la misma fecha de vencimiento se calculan los días al vencimiento contados entre la fecha para la cual se desea realizar el filtro por tasa y la fecha de vencimiento. Este conteo se realizara con base en años de 365 días (sin considerar el día 29 de febrero para los años bisiestos).
Este conjunto conforma el grupo de variables para la muestra necesario para la estimación de los parámetros de la curva de filtros
Rentabilidad Efectiva Promedio del grupo con fecha de vencimiento i - Tasa de Descuento
Días al vencimiento del grupo con fecha de vencimiento i
Parámetro para el proceso de minimización definido en 3.000.000.000.
Numero total de grupos con fechas de vencimiento diferentes
Los días vencimiento (DVi) del grupo de operaciones con la misma fecha de vencimiento se anualizan para obtener la nueva variable: tiempo anualizado (ti) del grupo de fecha de vencimiento i.
![]()
Con el valor nominal promedio del grupo con fecha de vencimiento i se calcula la variable
correspondiente a la raíz del parámetro
de la siguiente forma:
![]()
Valor Parámetro para el proceso de minimización definido en 3.000.000.000
3. Algoritmo del método de Descenso
DATOS DE ENTRADA:
---Aproximación inicial de los parámetros
![]()
---Tolerancia1: TOL1 = 0.0001
---Tolerancia2: TOL2 = 100
---Numero máximo de iteraciones: MAXITE = 1000
Los valores a1, b1, c1, t1, TOL1, TOL2 y MAXITE son parámetros del programa.
En la iteración k del método se hace referencia al vector de parámetros
![]()
SALIDA:
Solución aproximada de los parámetros ![]()
Paso 1 Tome k = 1
Paso 2 Mientras k<= MAXITE haga pasos 3-15
Paso 3 Calcule el valor el valor
(Ver numeral 5)
Calcule el vector gradiente de
,
(Ver numeral 6)
Calcule la norma del vector gradiente de
,
.
(Ver numeral 7)
Paso 4 Si
entonces SALIDA (
)
(Procedimiento terminado satisfactoriamente) PARE
Paso 5 Calcule el vector unitario
(Ver numeral 8)
Tome
Tome
Calcule
(Ver numeral 9)
Calcule
(Ver numeral 5)
Paso 6 Mientras (
) haga los pasos 7 y 8
Paso 7 Calcule ![]()
Calcule
(Ver numeral 9)
Calcule
(Ver numeral 5)
Paso 8 Si
entonces SALIDA (
)
(Procedimiento terminado satisfactoriamente) PARE
Paso 9 Calcule ![]()
Calcule
(Ver numeral 9)
Calcule
(Ver numeral 5)
Paso 10 Calcule![]()
Calcule ![]()
Calcule ![]()
Paso 11 Calcule ![]()
Calcule
(Ver numeral 9)
Calcule
(Ver numeral 5)
Paso 12 Si
Entonces
y ![]()
Sino
y ![]()
Paso 13 Calcule
(Ver numeral 9)
Paso 14 Si,
entonces SALIDA (
)
Abs(x) representa el valor absoluto de x
(Procedimiento terminado satisfactoriamente) PARE
Paso 15 Tome k = k+1
Paso 16 SALIDA (
)
(Numero máximo de iteraciones excedido)
PARE
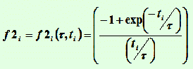
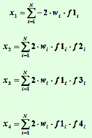
4. Definición de funciones auxiliares para los numerales 5 y 6
En la iteración k del método de Descenso se deberá calcular el vector gradiente. Para esto, se elaboraran algunas funciones auxiliares con los datos de las operaciones de la muestra del numeral 2.
Los parámetros
corresponden a los parámetros que se tengan en la iteración k del método de Descenso. El subíndice i indica que se están utilizando los datos correspondientes al grupo con la misma fecha de vencimiento i.
A continuación se definen las funciones auxiliares, los datos en paréntesis son los parámetros de entrada de la función.




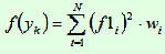
5. Cálculo del valor f(yk)
DATOS DE ENTRADA: El vector de parámetros ![]()
SALIDA: El valor ![]()
En la iteración k del método se realiza el cálculo de la función
con el vector de parámetros
. En este numeral se utilizaran las funciones auxiliares (definidas en el numeral 4) evaluadas cuando sea necesario en los parámetros
.

6. Calculo del Vector Gradiente g(yk) de
con el vector de parámetros yk
DATOS DE ENTRADA: El vector de parámetros![]()
SALIDA: El vector de
, ![]()
En la iteración k del método se calcula un vector
de
con el vector de parámetros
correspondientes a esa iteración. En este numeral se utilizaran las funciones auxiliares (definidas en el numeral 4) evaluadas cuando sea necesario en los parámetros
.
El vector
se define de la siguiente forma:

Donde:

7. Cálculo de la norma de un vector
DATOS DE ENTRADA: El vector b de ![]()
SALIDA: El valor de la magnitud de b, ![]()
Para obtener la magnitud de un vector de
, se realiza la siguiente definición:
Sea
un vector de
de la siguiente forma:

La magnitud de
,
, se define como:
![]()
8. Cálculo del vector unitario
DATOS DE ENTRADA: El vector b de
. El valor de la magnitud de b, ![]()
SALIDA: El vector unitario d de
.
Sea
un vector de
de la siguiente forma:

Sea
el valor de la magnitud de ![]()
El vector unitario d de
se define como:

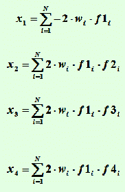
DATOS DE ENTRADA: Los vectores
y
de
. El valor de
.
SALIDA: El vector
de
.
Sean:

Entonces se define:

Donde Abs(x) representa el valor absoluto de x.
PARÁMETROS DE LOS FILTROS DE MEDIANAS POR EMISIÓN Y DE MEDIANAS POR CATEGORÍA.
Los parámetros generales se adjuntan en las siguientes tablas. Lo anterior no obsta para determinar parámetros distintos para un grupo en particular.
Parámetros para los filtros de medianas de rentabilidad por emisión (1)

Parámetros para los filtros de medianas de margen por categoría

Sistema Proveedor de Información para Valoración de Inversiones
INFORMACIÓN PARA VALORACIÓN DE TÍTULOS DIFERENTES DE TES CLASE B.
1. Definiciones
Para efectos del presente documento deberá entenderse para las expresiones que se indican a continuación la definición asignada a la misma.
1.1 Sistema proveedor de información para valoración de inversiones: Corresponderá al sistema que implemente la Bolsa Valores de Colombia S.A., en adelante BVC, para proveer precios, índices, márgenes e información para valoración de inversiones, con base en operaciones o información de mercado.
1.2 Operación de contado: Es la operación de compraventa definitiva de títulos celebrada para cumplimiento dentro de un plazo considerado como de contado. Para efectos de la presente norma esta condición será un parámetro que se aplicará con un valor máximo de fecha de cumplimiento de t+2.
1.3 Plazo de contado: Corresponderá a los días hábiles entre la fecha de celebración de la operación y la fecha del cumplimiento, inclusive para las operaciones del Banco de la República.
1.4 Valor par: VP, Corresponde al capital por amortizar.
VP= 100 - Amortizaciones
1.5 Precio sucio o precio total: Precio porcentual con tres decimales, al cuál se adjudica, calza o registra una operación, el cual incluye los intereses causados y pendientes sobre el título, desde la fecha de emisión o último pago de intereses hasta la fecha de cumplimiento de la operación de compraventa.
(1) 
Donde:
PS :Precio sucio del título.
Fi :Son los flujos del título por concepto de intereses y capital.
ni :Son los días que median entre la fecha de liquidación y el próximo pago de intereses y capital, considerando un calendario corriente de 365 días, sin corrimiento de días en caso de caer el flujo en día no hábil y sin considerar el día 29 de febrero de los años bisiestos.
TIR :Tasa interna de retorno, equivalente a la tasa de rentabilidad de la operación, en términos porcentuales.
VP :Valor par.
K : Es el número total de flujos del título.
1.6 Precio limpio: Precio porcentual con tres decimales, resultado de sustraer del precio sucio, los intereses sobre el título causados desde la fecha de emisión o último pago de intereses hasta la fecha de operación de compraventa o valoración.
(2) ![]()
Donde:
PL : Precio limpio del título.
PS : Precio sucio del título.
i : Tasa convertida porcentual a la modalidad y periodicidad de pago del título.
n : Son los días comprendidos entre la fecha del último pago de intereses y la fecha de liquidación o valoración. La fecha del último pago que se tomará para este cálculo, será la fecha real en que se debió hacer el pago de intereses, no obstante este sea un día no hábil; se tomará el día no hábil, con base en un año comercial o calendario según lo definido en la especie.
m : Es el período de pago del interés en días definido en la especie o la oferta, con base en un año comercial o calendario según lo definido en la especie.
VP : Valor par.
1.7 TIR: Tasa interna de retorno, es la tasa en términos efectivos anuales y expresada en porcentaje de rentabilidad de la operación, aproximado por redondeo mundial hasta con tres decimales, a la cual se adjudicó, se calzó o se informó la operación en el sistema, base 365 días, sin corrimiento de días en caso de caer el flujo en día no hábil y sin considerar el día 29 de febrero de los años bisiestos.
1.8 Tasa de descuento: Se compone de una tasa de referencia y un margen que refleja los diferentes riesgos no incorporados en dicha tasa, de acuerdo con la siguiente fórmula:
(2)
Donde:
-- TD: Tasa de descuento en términos efectivos anuales base 365 días, sin corrimiento de días en caso de caer el flujo en día no hábil y sin considerar el día 29 de febrero de los años bisiestos.
-- TR: Tasa de referencia porcentual, distinta para cada categoría, en términos efectivos anuales.
-- M: Margen porcentual, distinto para cada categoría, en términos efectivos anuales.
Esta tasa podrá variar para cada flujo, en caso de que la tasa de referencia para el título corresponda a una curva estimada cero cupón.
1.9 Margen por operación: Es el porcentaje efectivo anual expresado con cuatro (4) decimales, aproximado por redondeo mundial, de manera que si el quinto decimal es 5 o superior, el cuarto decimal se aproxima al entero inmediatamente superior y si el quinto decimal es 4 o inferior, el cuarto decimal se aproxima al entero inmediatamente inferior.
1.10 Margen promedio: Es el porcentaje efectivo anual expresado con cuatro decimales aproximado por redondeo mundial, que se obtiene como resultado del promedio ponderado por cantidad de los márgenes de las operaciones para una misma categoría.
1.11 Parámetro de vigencia: Número de días corridos calendario en los que un margen promedio se mantiene vigente como margen histórico, contados a partir del día de su cálculo y hasta por un año, entendido este de 365 ó 366 días según el año correspondiente.
1.12 Ultimo día de vigencia: Será el último día en el cual el margen histórico de una categoría tiene vigencia de acuerdo con el parámetro de vigencia establecido en el numeral 1.11.
1.13 Margen histórico vigente: Se denominará así al último margen promedio calculado para una categoría que se encuentre dentro del plazo estipulado como “parámetro de vigencia”.
1.14 Margen histórico sin vigencia: Se denominará así al último margen promedio calculado para una categoría, que pierde su vigencia por tener un plazo de haberse calculado mayor que el “parámetro de vigencia”. Plazo de haberse calculado que se cuenta como los días corridos calendario a partir del día del cálculo del margen promedio y hasta la fecha de valoración.
1.15 Margen interpolado: Se denominará así el margen asignado de conformidad con las reglas que se establecen en el numeral 8.4.1, cuando una categoría no tenga margen promedio calculado o margen histórico vigente.
1.16 Tipo de tasa facial: Es el indicador, índice, o porcentaje fijado contractualmente para determinar el pago de los rendimientos, establecido en las condiciones de emisión del título. Sin perjuicio de lo anterior, el tipo de tasa facial podrá corresponder a una agrupación de las mismas con base en características similares.
1.17 Calificación de riesgo: Corresponde a una convención que representa una evaluación de la probabilidad de incumplimiento en el pago tanto de capital como de intereses, si se trata de títulos; en el caso de entidades, representa una evaluación de su solvencia y su desempeño, entre otros. Cada tipo de calificación varía de acuerdo con la naturaleza de la emisión, la empresa que emite, su desempeño particular y su cultura empresarial. Sin perjuicio de lo anterior, la calificación podrá corresponder a una agrupación de tipos de calificaciones de las calificadoras con condiciones homogéneas, para efectos de la valoración.
1.18 Clase (CTV): Corresponde a la agrupación básica de los títulos de renta fija efectuada para valorar, que considera el sector del emisor y el tipo de título.
1.19 Moneda o unidad: Es la denominación en la cual se expresa la cantidad nominal del título, esta puede ser: en pesos, dólares, euros, unidad de valor real UVR, entre otras. Sin perjuicio de lo anterior, la clasificación por moneda o unidad podrá corresponder a una agrupación con base en características similares.
1.20 Días al vencimiento: Son los días contados desde la fecha de celebración de la operación hasta la fecha de vencimiento del título, base 365 días, sin corrimiento de días en caso de caer el flujo en día no hábil y sin considerar el día 29 de febrero de los años bisiestos. Sin perjuicio de lo anterior, para efectos de la clasificación los días a vencimiento podrán agruparse con base en efectos financieros similares.
1.21 Categoría para margen promedio: Es la agrupación de los títulos para efectos de obtener margen promedio, resultante de la combinación de las siguientes características: clase, calificación, tipo de tasa, moneda o unidad, días al vencimiento o emisión.
1.22 Margen Mínimo: Es el margen correspondiente a una categoría conformada por clase, grupo de tipo de tasa facial, grupo de moneda o unidad, grupo de días a vencimiento y grupo de calificación, asignado a la misma clase, grupo de tipo de tasa, grupo de moneda o unidad y grupo de días a vencimiento, pero del grupo de calificación de menor riesgo inmediatamente anterior.
1.23 Filtros: Expresión que corresponde a los límites que se establezcan por monto, tasa o precio de negociación, para que una operación sea incluida en la muestra para efectos de cálculo de precio promedio o margen promedio.
1.24 Muestra: es el conjunto de operaciones utilizadas para realizar los cálculos de la información para valoración.
1.25 Vida Media: Estimación del número de periodos al vencimiento de un título, teniendo en cuenta la información de amortizaciones de capital. La vida media depende del saldo del crédito y del tiempo al vencimiento restante.
2. Criterios generales
2.1 Periodicidad de la información suministrada: La BVC como administrador del Sistema Proveedor de Información para Valoración de Inversiones publicará información para valoración todos los días del año, incluyendo días hábiles y no hábiles bancarios. Sin perjuicio de lo anterior, solo se realizaran los cálculos con información de los mercados que hayan operado los días hábiles bancarios.
La BVC como administrador del Sistema Proveedor de Información para Valoración de Inversiones podrá publicar información de valoración calculada por un ente externo, siempre y cuando dicha información sea obtenida mediante la aplicación de una metodología aprobada por la Superintendencia Financiera de Colombia.
Respecto a esta información, la BVC no asumirá ninguna responsabilidad por los errores que ésta pueda contener y solamente será publicada los días hábiles y no hábiles para los cuales sea reportada.
2.2 Vigencia del precio promedio: El precio promedio para efectos de valoración sólo tiene vigencia diaria. En consecuencia, si al día siguiente no se dan las condiciones para su cálculo, no se publicará el dato anterior y se procederá al cálculo y publicación del margen promedio o precio estimado (con el margen y la tasa de referencia o índice).
2.3 Valoración de cupones y principales: Los cupones y principales de títulos que se tengan en el portafolio en forma independiente, se deberán valorar con la tasa de referencia que le corresponda y el margen del título completo.
2.4 Vigencia del margen promedio calculado: El margen promedio calculado, de conformidad con las reglas que se establecen en el numeral 8.3, para una categoría seguirá vigente hasta tanto no haya lugar a su actualización por nuevas operaciones de títulos que correspondan a la categoría.
2.5 No retroactividad: Todo cambio que afecte la categorización sólo tendrá efectos futuros para los nuevos cálculos a realizar con un título y nunca tendrá efectos retroactivos.
2.6 Información al mercado por cambios en agrupaciones: Cuando se modifiquen las agrupaciones de las características bases para la categorización, la BVC deberá informar al mercado con al menos dos (2) días hábiles de antelación a su aplicación, salvo que la Superintendencia Financiera de Colombia establezca un plazo distinto.
2.7 Horarios para recepción de información: La BVC como administradora del sistema de información para valoración recibirá la información proveniente de todas las fuentes externas transaccionales o de registro a más tardar a las 3:40 p.m. y de las internas, a más tardar dentro de los treinta (30) minutos siguientes al cierre de los sistemas de negociación en que se celebran operaciones de contado, sin incluir horarios adicionales. Sin perjuicio de lo anterior, la información correspondiente a calificación de riesgo que sea reportada después de las 2:00 p.m. será tenida en cuenta a partir del día hábil siguiente al día en que fue informada a la BVC por la calificadora respectiva.
2.8 Horarios para entrega de información: Una vez realizados los cálculos para obtener la información para valoración, se publicará y dejará disponible el mismo día a los usuarios del sistema.
2.9 Información base para los cálculos: Los datos a utilizar para los cálculos del sistema proveedor de información para valoración serán aquellos disponibles en los sistemas de negociación a la hora de cierre para transmisión y en los sistemas de registro a la hora en que se inicie el proceso de cálculo de la información. En consecuencia cualquier modificación posterior a las operaciones no implicará el recálculo de la información para valoración a menos que así lo determine la Superintendencia Financiera de Colombia.
2.10 Efectos de la cancelación de una emisión o un emisor: Cuando se cancele un emisor o emisión por medidas adoptadas por la autoridad competente no se le calculará información para valoración a partir de esa fecha.
2.11 Efectos del cierre del mercado: Cuando un administrador de un sistema transaccional o de registro, que sea fuente para los cálculos del sistema de información para valoración, cierre en forma anticipada el mercado, la información para valoración se calculará con las operaciones disponibles hasta el momento del cierre.
2.12 Otra información: Los índices y la curva estimada de rentabilidad de TES – CETES, que actualmente calcula y difunde la BVC, se continuarán publicando para fines informativos.
2.13 Tipo de títulos objeto de cálculos de información para valoración: La BVC sólo calculará precios, márgenes e índices para títulos de contenido crediticio en la forma y términos del presente documento.
2.14 Exclusión de operaciones: Por razones de seguridad se permitirá, bajo una opción especial, ignorar una operación, que a pesar de haber pasado los filtros, no deba ser tenida en cuenta para la realización de los cálculos del sistema de información para valoración, por no corresponder a una operación de mercado. La opción estará disponible sólo bajo el esquema de doble autorización, bajo dos códigos de perfiles diferentes. Cuando se haga uso de dicha opción, la misma deberá quedar consignada en los sistemas de auditoria del Administrador, al cual tendrán acceso la Superintendencia Financiera de Colombia.
Para efectos de ignorar una operación en los términos previstos en el párrafo anterior el Administrador del sistema realizará una consulta a un comité consultivo designado por el grupo de trabajo conformado con ocasión del convenio de asociación para temas de valoración coordinado por la Superintendencia Financiera de Colombia.
De la lista disponible del comité consultivo se deberá elegir por sorteo tres miembros, preferiblemente dos del área de tesorerías y uno del área de riesgos y contar con la aprobación de al menos dos de ellos. No podrán hacer parte de dicho sorteo aquellos que puedan tener conflicto respecto a las operaciones consultadas, bien por tener relación o ser parte interviniente o emisor del título.
En la consulta el Administrador deberá omitir el nombre de las entidades compradora y vendedora y el nombre de los miembros consultados se mantendrá en reserva. La consulta se hará por llamada telefónica grabada.
2.15 Títulos con prepago: En la medida que los emisores de títulos con prepago informen a la BVC el nuevo esquema de flujos producto de un prepago, ésta lo informará a sus usuarios y realizará los cálculos para valoración con base en los nuevos flujos a partir de la fecha de información.
2.16 Publicación De Información no calculada por el Sistema Proveedor de Información para Valoración de Inversiones: La BVC como administrador del Sistema Proveedor de Información para Valoración de Inversiones podrá publicar información de valoración calculada por un ente externo, siempre y cuando dicha información sea obtenida mediante la aplicación de una metodología aprobada por la Superintendencia Financiera de Colombia.
Respecto a esta información, la BVC no asumirá ninguna responsabilidad por los errores que ésta pueda contener y solamente será publicada los días hábiles y no hábiles para los cuales sea reportada.
3. Conformación de la muestra para los cálculos de precio, margen, índices y curvas de rentabilidad
Para la conformación de la muestra de operaciones para los cálculos se tendrán en cuenta las siguientes consideraciones:
Para todos los cálculos se tomarán: (i) las operaciones de mercado primario y secundario celebradas en sistemas transaccionales vigilados por la Superintendencia Financiera de Colombia: el MEC de la BVC, y el SEN del Banco de la República; (ii) las operaciones de mercado primario registradas en Inverlace y (iii) las operaciones de mercado secundario realizadas a través de intermediarios de valores, de conformidad con lo dispuesto en el Título Quinto, Capítulo Primero a Cuarto de la Parte Primera de la Resolución 400 de 1995 de la Superintendencia de Valores y registradas en sistemas centralizados de información para transacciones de que trata el Título Segundo de la Parte Cuarta de la Resolución 400 de 1995 de la Superintendencia de Valores, que hayan sido realizadas por Corredores Especializados en TES clase B (CVETES). En adelante MEC, SEN e Inverlace se denominarán sistemas.
Las operaciones sobre títulos que presenten pago de cupón entre el día de celebración y el día de su cumplimiento se excluirán para todos los efectos.
Las operaciones sólo se tendrán en cuenta para conformar la muestra y realizar los cálculos de la información para valoración, en la fecha de su celebración.
Sin perjuicio de lo anterior, para los títulos que no hagan parte de lo dispuesto en el punto (i) del presente literal, la BVC los incorporará a la categorización que corresponda de acuerdo con sus características para efectos de informar margen o índice.
Los cupones y principales de los títulos cuya negociación esté permitida en forma independiente se excluirán de todos los cálculos de información para valoración.
Sólo se tienen en cuenta las operaciones de compraventa definitiva, consideradas como de contado. Para efectos del sistema esta condición será un parámetro que se aplicará con un valor máximo de fecha de cumplimiento de t+0 para operaciones del mercado secundario y de t+2 para operaciones del mercado primario.
Sobre todas las operaciones informadas por los “sistemas” se aplicará en primera instancia un filtro por monto, de conformidad con lo establecido en el presente documento. Una vez realizados dichos filtros, las operaciones resultantes serán tenidas en cuenta para establecer un filtro por tasa, margen o precio. Una vez realizado, se ignorarán las operaciones que se encuentren por fuera de los límites del filtro por tasa, margen o precio para efectos de calcular precios, márgenes o índices.
Los títulos cuya negociación se haga por precio, no contribuirán a la muestra de márgenes, ni de índices. No obstante, para dichos títulos se calculará precio promedio cuando haya lugar y se valorarán con el margen de su respectiva categoría. Lo anterior aplica excepto para algunos títulos, entre ellos los relacionados en el anexo 1, para los cuales no se calculará precio, margen, ni índice.
4. Tasa de referencia
Es la tasa porcentual expresada en términos efectivos anuales, que junto con el margen conforma la tasa de descuento.
La tasa de referencia podrá ser una tasa estimada de rentabilidad a partir de una curva, un índice de rentabilidad, o el indicador pactado y señalado facialmente.
4.1 Criterio base para asignación de tasa de referencia.
Las tasas de referencia para cada caso serán:
4.1.1 Para títulos a tasa fija denominados en pesos (incluidos los cupones y los principales negociados por separado): Serán las tasas de rentabilidad efectiva anual de la curva cero cupón, CURVA DE RENTABILIDAD ESTIMADA CERO CUPÓN PARA TES EN PESOS A TASA FIJA “CEC en pesos”, correspondientes al plazo ni, donde i corresponde a cada flujo.
De la regla anterior se exceptúan los títulos agrupados en la “clase 11 Bancos” y la “clase 32 Títulos emitidos por otras entidades financieras” emitidos por el sistema financiero, cuyos días a vencimiento sean menores o iguales a un año, en el que la tasa de referencia será la curva de rentabilidad de certificados de depósito a término-CRCDT explicada en el anexo 12.
4.1.2 Para títulos a tasa fija denominados en UVR: Serán las tasas de rentabilidad efectiva anual de la curva cero cupón, CURVA DE RENTABILIDAD ESTIMADA CERO CUPÓN PARA TES DENOMINADOS EN UVR A TASA FIJA “CEC en UVR”, correspondientes al plazo ni, donde i corresponde a cada flujo.
4.1.3 Para títulos a tasa variable: Será el indicador pactado y señalado facialmente, expresado siempre en términos efectivos anuales para efectos de los cálculos de valoración.
4.1.4 Para títulos a tasa fija en moneda diferente de pesos y UVR: Se tendrá como tasa de referencia un índice respectivo y el margen será cero.
4.1.5 Para TIDIS y CERTS: No habrá tasa de referencia ni margen, dado que se valorarán siempre por precio.
4.1.5.1 Determinación de la tasa de referencia para títulos a tasa fija en moneda diferente de pesos y UVR
Para cada título a tasa fija en moneda diferente de peso y UVR, se publicará un índice respectivo que será la tasa de referencia. El índice se calculará como un promedio geométrico ponderado por la cantidad nominal de mínimo (n) rentabilidades de las operaciones dentro de un máximo de (m) días corridos, incluyendo el día de cálculo, que tengan operaciones que pasen los filtros. De no presentarse el mínimo de operaciones dentro del plazo establecido, el índice no se calcula. Dentro de la metodología (n) rentabilidades y (m) días corridos requeridos son parámetros. Sin perjuicio de lo anterior, se ha determinado que (n) sea igual a tres (3) y (m) sea igual a noventa (90) días corridos incluido el día de cálculo. Cuando sea necesario considerar operaciones de días anteriores para completar la muestra se tomarán todas las operaciones de dichos días.
Para el cálculo del promedio geométrico se utilizará la siguiente fórmula:
(3)
Donde,
RENT j : Rentabilidad efectiva de negociación en el mercado secundario para títulos con j días al vencimiento.
Ri : Rentabilidad efectiva de la operación i-ésima, (base 365).
Qi : Cantidad transada en la operación i-ésima.
5 Criterios para determinar el precio promedio y el margen
El procedimiento que se seguirá para determinar los tipos de cálculos que la BVC debe realizar sobre cada título específico, la forma como se publicará y entregará la información al usuario, entre otros, será el mismo para los títulos que clasifiquen en las siguientes condiciones:
5.1 Títulos a tasa fija en pesos o UVR
Primero se calculará el precio promedio, si se cumplen las condiciones establecidas en el numeral 7.
En caso de no poderse calcular precio promedio;
a. Se procederá a calcular margen promedio con la tasa de referencia de la curva estimada cero cupón correspondiente para cada flujo, excepto para títulos de la “clase 11” y “clase 32”, a los que se les aplica como tasa de referencia la TIR de la curva de rentabilidad de CDT- CRCDT correspondiente al plazo que le queda al vencimiento al título, la misma TIR para todos los flujos.
b. Si para el día de los cálculos no fuere posible obtener precio promedio, ni margen promedio se calculará e informará el margen por categoría (histórico o interpolado).
c. Para los cupones y principales de títulos que se tengan en el portafolio en forma independiente, que hagan parte de títulos a tasa fija en pesos o UVR, se deberán valorar con la tasa de la curva estimada cero cupón que le corresponda y el margen del título completo al que pertenecen, en este caso la BVC publicará las tasas de la curva estimada cero cupón y el margen del título completo.
5.2 Títulos a tasa fija en monedas diferente al peso y la UVR
Primero se calculará el precio promedio, si se cumplen las condiciones establecidas en el numeral 7.
Si para el día de la valoración no fuere posible obtener precio promedio, se calculará e informará el precio estimado con la última tasa de referencia disponible (índice respectivo).
5.3 Títulos indexados a una tasa variable
Primero se calculará el precio promedio, si se cumplen las condiciones establecidas en el numeral 7.
Si para el día de la valoración no fuere posible obtener precio promedio, se calculará e informará el margen por categoría (promedio, histórico o interpolado).
5.4 TIDIS y CERTS
TIDIS: Se calculará e informará un precio promedio único general, si se cumplen las condiciones establecidas en el numeral 7 y aplicable a todas las emisiones.
CERTS: Primero se calculará el precio promedio, si se cumplen las condiciones establecidas en el numeral 7.
Si para el día de la valoración no fuese posible obtener precio promedio, se informará el último precio promedio.
6 Categorización para cálculo de margen
Los títulos se agruparán por categorías para el cálculo de margen promedio.
La categorización de un título específico se realizará teniendo en cuenta los siguientes criterios:
Clase
Calificación
Tipo de tasa
Tipo de moneda o unidad
Días a vencimiento o emisión
Se almacenará la codificación de las características con las fechas en las que tiene vigencia, sin reasignar o modificar un código de grupo de los ya utilizados.
En consecuencia, dentro de cada característica, nunca se reasignará un número ya utilizado, a una nueva.
6.1 Clase
Para efectos de la categorización el concepto “Clase” implica una agrupación de títulos teniendo en cuenta el tipo de título y la naturaleza del emisor. La agrupación por “clase” es un parámetro dentro de la metodología y por lo tanto podrá ser objeto de modificaciones con base en el comportamiento de las características antes descritas. Las clases se muestran en el anexo 2.
6.2 Calificación
Para efectos de la categorización el concepto “calificación” implica una agrupación de títulos teniendo en cuenta la calificación de riesgo, el tipo de título y la naturaleza del emisor. La agrupación por “calificación” es un parámetro dentro de la metodología y por lo tanto podrá ser objeto de modificaciones con base en el comportamiento de las características antes descritas. La equivalencia y escala de los grupos de calificaciones se encuentra en el anexo 3.
Para efectos de la agrupación por calificación, se tendrá en cuenta lo siguiente:
Cada calificación tendrá el significado exacto que le de la respectiva calificadora.
El sistema determinará diariamente por una única vez la calificación vigente para cada operación, en el momento en que se realicen los cálculos de la información para valoración.
El orden para seleccionar la calificación para la categorización de los títulos es el siguiente:
Primero se tomará la calificación del título.
De no tenerla, si el tipo de título lo permite, se tomará la calificación del emisor. Para títulos con plazo de días a vencimiento menor o igual que un año, contado desde la fecha de celebración de la operación hasta la fecha de vencimiento del título se asumirá la calificación del emisor a corto plazo, y para títulos con plazo remanente mayor a un año se asumirá la calificación del emisor a largo plazo, como se indica en el anexo 4.
En el evento en que la emisión o el emisor cuente con calificaciones de más de una sociedad calificadora que se encuentren vigentes, se procederá así:
Si al menos dos de las calificaciones fueron expedidas dentro de los últimos tres (3) meses se deberá tener en cuenta la calificación más baja. En caso de que las dos sean equivalentes, se tomará cualquiera de las dos.
Si sólo hay una calificación expedida en los últimos tres meses, se toma ésta.
Si las calificaciones vigentes fueron expedidas con más de tres meses de anterioridad se tomará la calificación más reciente. Si fueron expedidas en la misma fecha, se tomará la más baja.
Se entiende como vigente aquella calificación que no tenga más de un año de ser emitida.
En el siguiente diagrama se presentan los pasos que se deben seguir para determinar la calificación a tener en cuenta para la categorización de una operación:

* En caso de que un título proveniente de una titularización no tenga calificación no se asumirá la calificación del emisor, ni del originador, ni del administrador, ni de ningún otro involucrado en la titularización; se considerará como “sin calificación”.
6.3 Tipos de tasa
Para efectos de la categorización el concepto “Tipos de tasa” implica la agrupación de títulos teniendo en cuenta el tipo de tasa facial pactada en el título al momento de su emisión, esto es, a tasa fija, a tasa variable o atada a un índice o indicador. La agrupación por “Tipos de tasa” es un parámetro dentro de la metodología y por lo tanto podrá ser objeto de modificaciones con base en el comportamiento de las características antes descritas. La tabla con los grupos de Tipos de tasa se presenta en el anexo 5.
6.4 Monedas o Unidades
Para efectos de la categorización el concepto “Monedas o Unidades” implica una agrupación de títulos teniendo en cuenta la moneda o unidad de denominación del título, tales como peso, dólar y UVR. La agrupación por “Monedas o Unidades” es un parámetro dentro de la metodología y por lo tanto podrá ser objeto de modificaciones con base en el comportamiento de las características antes descritas. Los grupos de Monedas o unidades se muestran en el anexo 6.
6.5 Días a vencimiento
Para efectos de la categorización el concepto “días a vencimiento” implica una agrupación de títulos teniendo en cuenta los días a vencimiento contados a partir de la fecha de celebración de la operación, de conformidad con lo definido en el numeral 1.20 anterior. La agrupación por “Días a vencimiento” es un parámetro dentro de la metodología y por lo tanto podrá ser objeto de modificaciones con base en el comportamiento de las características antes descritas.
Para el efecto, la agrupación por “Días a vencimiento” a utilizar cuando aplique como criterio de categorización se muestra en el anexo 7.
Por su parte los títulos que se categorizan por el concepto de “emisión” en lugar de “Días a vencimiento”, se señalan en el anexo 7.
7 Procedimiento para calcular el precio promedio sucio y limpio
El precio promedio sucio y limpio sólo será calculado con las operaciones celebradas el día de los cálculos, que hayan pasado los filtros de monto y/o tasa y/o margen y/o precio, y las demás serán excluidas del mismo, de conformidad con lo establecido a continuación.
a) Se calculará el precio promedio sucio y limpio con las operaciones celebradas sobre:
un mismo título,
de un mismo emisor,
con idénticas características faciales,
de una misma emisión,
que le falten los mismos días a vencimiento.
Excepto para los TIDIS, a los que se les calculará un único precio promedio conformado con las operaciones celebradas sin diferenciar la emisión y los días que le falten a vencimiento a cada título de cada operación.
b) Se considerará que hay lugar al cálculo de precio promedio sucio y limpio para valorar cuando:
I. Se haya celebrado al menos un número de transacciones, que hayan pasado el filtro de monto, tasa y/o margen y/o precio. Dentro de la metodología el número mínimo de operaciones requeridas es un parámetro. Sin perjuicio de lo anterior, se ha determinado que dicho número sea de tres (3).
II. Se requiere que el número mínimo de operaciones requeridas se hayan celebrado dentro de un número de días hábiles incluyendo el día del cálculo para la valoración. Dentro de la metodología el número de días es un parámetro. Sin perjuicio de lo anterior, se ha determinado que el número será de un (1) día, esto es, se tomará sólo el día de cálculo.
III. En caso de tratarse de los títulos listados en el anexo 13 y de que se presenten menos de tres (3) operaciones en un (1) día, se evaluará si se presentaron operaciones de mercado primario en las que el monto individual por operación sea mayor o igual que un monto establecido como parámetro determinado en el anexo 13. De presentarse una operación que cumpla las condiciones establecidas, se considerará que hay lugar a cálculo de precio con esa única operación. De presentarse dos operaciones que cumplan las condiciones, habrá lugar al cálculo de precio promedio con ellas como se explica en el literal siguiente.
c) La fórmula para calcular el precio promedio sucio y limpio es:
(3) 
Donde:
: Precio promedio sucio y limpio ponderado porcentual para el título k, expresado con tres decimales.
Pi : Precio sucio ó limpio según corresponda de la operación de contado i.
Qi : Cantidad nominal del título k en la operación i.
n : Número de operaciones a tener en cuenta con i = 1 hasta n.
8 Procedimiento para estimar el margen, en ausencia de precio promedio
La BVC calculará el margen por cada operación celebrada en los sistemas con base en los flujos futuros de fondos por concepto de rendimientos y capital sobre el título objeto de la operación, según lo establecido en el Capítulo 4 de la Circular Única del MEC, teniendo en cuenta la tasa de referencia que le corresponda según lo establecido en el numeral 4 del presente documento.
Las operaciones a las cuales se les calcule el margen, serán aquellas que hayan pasado los filtros por monto y tasa, las demás serán excluidas de los mismos.
El margen por operación y el promedio de los mismos, podrá ser positivo, negativo o cero.
8.1 Fórmula para determinar el margen para cada operación
La fórmula a utilizar para despejar el margen, es la que se indica a continuación:
(4)
Donde;
P : Precio sucio de la negociación, con tres decimales.
Fii : Flujos del título en porcentaje.
TRK : Tasa de referencia dividida por 100, correspondiente al plazo nK, que toma diferentes tasas de referencias de acuerdo al tipo de tasa facial pactada y la clase de título como se explica en el numeral 4.
MARGEN: Variable porcentual a despejar.
nK : Número de días hasta el pago de cada flujo Fi. Son los días que median entre la fecha de liquidación y el próximo pago de intereses y capital, considerando un calendario corriente de 365 días, sin corrimiento de días en caso de caer el flujo en día no hábil y sin considerar el día 29 de febrero de los años bisiestos.
Es importante advertir que el margen de un título en una operación y el margen promedio podrán ser negativos o positivos.
8.2 Agrupación por categoría para cálculo del margen promedio
Una vez calculado el margen sobre las operaciones que hayan pasado los filtros, se procederá a calcular el margen promedio de los títulos objeto de las operaciones que correspondan a una misma categoría.
Se entenderá que corresponden a igual categoría los títulos que pertenecen a idénticos grupos de: clase, calificación, tipos de tasa, moneda o unidad, días a vencimiento o emisión de acuerdo con lo estipulado en el numeral 6 del presente documento.
8.3 Determinación del margen promedio
Se considerará que hay lugar al cálculo de margen promedio para valorar cuando:
I. Se haya celebrado al menos un número de transacciones, que hayan pasado el filtro de monto y/o tasa y/o margen y/o precio. Dentro de la metodología el número mínimo de operaciones requerido es un parámetro. Sin perjuicio de lo anterior, se ha determinado que dicho número sea de tres (3).
II. Se requiere que las operaciones para calcular el margen se hayan celebrado dentro de un máximo número de días hábiles incluyendo el día de cálculo para la valoración. La muestra del margen se compone de las operaciones aceptadas del día de valoración y de las operaciones aceptadas de días hábiles anteriores (se incluyen todas las operaciones aceptadas de cada día) hasta cumplir con el mínimo número de operaciones. No se incluyen operaciones de días que estén dentro del máximo de días hábiles, si se obtiene el número mínimo de operaciones con operaciones realizadas en días más recientes. Dentro de la metodología, el número máximo de días hábiles es un parámetro. Sin perjuicio de lo anterior, se ha determinado que el número será de un (1) día, esto es, se tomará sólo el día de cálculo. Serán excepciones a éste valor del parámetro los casos presentados en el anexo 14.
III. En caso de tratarse de los títulos listados en el anexo 13 y de que se presenten menos de tres (3) operaciones en un (1) día, se evaluará si se presentaron operaciones de mercado primario en las que el monto individual por operación sea mayor o igual que un monto establecido como parámetro en el anexo 13. De presentarse una operación que cumpla las condiciones establecidas, se considerará que hay lugar a cálculo de margen promedio con esa única operación. De presentarse dos operaciones que cumplan las condiciones, habrá lugar al cálculo de margen promedio con ellas como se explica en el literal siguiente.
IV. La fórmula para calcular el margen promedio es:
(5) 
Donde:
: Margen promedio ponderado, para el código de la categoría k.
mi : Margen de una operación i perteneciente al código de la categoría k.
Qi : Cantidad nominal de la operación i.
i : Operaciones a tener en cuenta con i= 1 hasta n.
8.4 Margen histórico interpolado y vigencia
El margen histórico es el último margen promedio calculado en una fecha anterior que se mantiene vigente por encontrarse dentro del plazo estipulado para la vigencia y no haberse dado de nuevo las condiciones para el cálculo de margen promedio. En caso que fuere posible obtener margen promedio calculado para la categoría, el margen histórico será reemplazado definitivamente por éste.
El margen interpolado se establecerá de forma diferente según se trate de margen interpolado entre márgenes de categorías por grupos de rangos de días a vencimiento, o entre márgenes de categorías por emisión, así:
8.4.1 Margen interpolado entre márgenes de categorías por grupos de días a vencimiento
El margen interpolado se establecerá teniendo en cuenta los siguientes criterios, en su respectivo orden:
a) El día de valoración se calcularán todos los márgenes promedio posibles por categoría y se conservarán los márgenes promedio históricos vigentes para aquellas categorías a las que no fue posible calcularles margen promedio del día.
b) Para las categorías que quedaron sin margen de conformidad con lo establecido en el literal a) inmediatamente anterior, se busca en la categoría con la misma clase, grupo de calificación, grupo de tipo de tasa y grupo de moneda o unidad, los grupos de días a vencimiento que se encuentran sin margen.
Si este grupo de días a vencimiento sin margen está ubicado entre dos grupos de días a vencimiento con márgenes calculados o históricos vigentes, se calcula el margen interpolado, de acuerdo con la siguiente fórmula:

Donde:
MRIDV : Margen interpolado entre rangos de días a vencimiento.
Ddesconoc : La mitad de rango de días a vencimiento con margen desconocido.
Dinf : La mitad de rango de días a vencimiento inferior con margen conocido.
Dsup : La mitad de rango de días a vencimiento superior con margen conocido. Cuando se trate del máximo rango de días a vencimiento superior, se tomará el límite inferior de ese rango sumado 365 días.
Msup : Margen de rango de días a vencimiento conocido superior.
Minf : Margen de rango de días a vencimiento conocido inferior.
8.4.2 Margen interpolado entre márgenes de categorías por emisión
El margen interpolado se calculará de conformidad con las reglas que se establecen a continuación:
a) Margen Interpolado por Días al Vencimiento: Si los días al vencimiento de la emisión sin margen se encuentran ubicados entre los días al vencimiento de dos emisiones con márgenes calculados o históricos vigentes, se calcula el margen interpolado, de acuerdo con la siguiente formula:

Donde:
MR : Margen interpolado
dv : Días al vencimiento de la emisión sin margen
: Margen calculado o histórico de la emisión con los días al vencimiento menores y mas próximos a dv.
: Margen calculado o histórico de la emisión con los días al vencimiento mayores y más próximos a dv.
: Días al vencimiento de la emisión correspondiente al margen M1.
: Días al vencimiento de la emisión correspondiente al margen M2.
b) Margen interpolado por Días de vida media: Si los días de vida media de la emisión sin margen se encuentran ubicados entre los días de vida media de dos emisiones con márgenes calculados, históricos vigentes o actualizados, se calcula el margen interpolado, de acuerdo con la siguiente formula:

Donde:
MR : Margen interpolado
Vm : Días de Vida media de la emisión sin margen
: Margen calculado o histórico de la emisión con la vida media menor y más próxima a días de Vida Media.
: Margen calculado o histórico de la emisión con la vida media mayor y más próximos a días de Vida Media.
: Días de Vida Media de la emisión correspondiente al margen M1.
: Días de Vida Media de la emisión correspondiente al margen M2.
8.5 Cambio de margen por recategorización
Cuando las condiciones determinantes de la categorización de un título cambien, éste pasará a la nueva categoría y tomará el margen vigente para ella.
8.5.1 Cálculo de margen para nuevas categorías por división o agrupamiento
Cuando un grupo de una misma característica (como clase, moneda, tipo de tasa, etc) se divida en dos o más, así como, si dos o más grupos de una misma característica se consolidan en uno solo; al cierre del día hábil inmediatamente anterior al de entrada en vigencia de la nueva categorización, se deberán realizar los siguientes cálculos:
Calcular el margen promedio de conformidad con las reglas que se establecen en el presente documento, para las nuevas categorías con la información y las operaciones de un número de días hábiles inmediatamente anteriores a la entrada en vigencia (el valor inicial de este parámetro será de 120 días hábiles), de manera que se utilicen como los históricos para el día de entrada en vigencia.
Para las nuevas categorías a las que no se les pudo calcular margen promedio, se deberá asignar el margen interpolado de acuerdo con lo establecido en el presente documento.
PARÁGRAFO: Para efecto de cambios a realizar con aprobaciones que se impartan por efecto de aperturas de los grupos de días a vencimiento se utilizará, para las categorías con grupos de días a vencimiento nuevos que se queden sin margen calculado o histórico, los márgenes calculados e históricos vigentes el día inmediatamente anterior a la entrada en vigencia de los grupos sin dividir.
9 Precio estimado
Cuando no sea posible calcular precio promedio, de conformidad con lo establecido en el presente documento y se haya obtenido índice como tasa de referencia, se procederá a calcular precio estimado como se indica a continuación:
Para títulos a tasa fija en moneda diferente a peso y UVR, el precio estimado se calculará con la fórmula (6) y para ello se tomará el último valor del índice como tasa de referencia y un margen con valor igual a cero. De no haber sido posible obtener valor para el índice desde su creación, por no darse las condiciones para su cálculo, no se calculará precio.
Ahora bien, de no poderse calcular el índice el día de la valoración, se tomará el último vigente para cada título y se calculará el precio estimado. Por lo anterior, un precio calculado por índice, no podrá ser el mismo para fechas consecutivas, aunque el índice sea el último vigente porque los días a vencimiento en el descuento de los flujos del título se van reduciendo.
La fórmula a utilizar será:
(6)
Donde;
P : Precio calculado por el usuario.
Fii : Flujos del título.
INDICE : Valor del índice para cada emisión, igual para todos los flujos, en términos efectivos anuales publicado por la BVC.
nK : Número de días hasta el pago de cada flujo Fi.
El valor del índice estará en términos efectivos anuales para todos los casos.
10 Filtro para operaciones por monto, filtro por tasa o precio de negociación y filtro por mediana
10.1 Filtro por monto
El filtro por monto (valor de giro) consiste en establecer un monto mínimo para las operaciones a ser tenidas en cuenta en las muestras, para los cálculos del sistema de información para valoración.
Si el monto de la operación es menor que el valor del filtro, la operación será excluida de los cálculos; si el monto de la operación es mayor o igual que el valor del filtro, la operación se utilizará para el cálculo de la información, sin perjuicio del filtro por tasa.
El monto del filtro será un parámetro dentro de la metodología y se podrá asignar de manera diferencial teniendo en cuenta conjuntamente el tipo de título, el grupo de moneda o unidad y grupo de tipo de tasa. Sin perjuicio de lo anterior, se ha determinado que dichos montos sean los mostrados en el anexo 8.
10.2 Filtro para tasa de negociación
10.2.1 Concepto general
Será requisito previo para las operaciones que se sometan a este filtro, haber pasado el filtro por monto.
El filtro por tasa o precio de negociación consiste en establecer unos límites dentro de los cuales la operación será tenida en cuenta para los cálculos de la información para valoración. Si el error cuadrado de la tasa de la operación es mayor que el límite establecido como filtro, la operación será excluida de los cálculos; si el error cuadrado de la tasa de la operación es menor o igual que el valor del límite, la operación se utilizará para el cálculo de la información.
10.2.2 Determinación del límite para filtro por tasa
Para construir el filtro por tasa se procederá así:
Condiciones para la curva de TIR para filtro por tasa
Primero, se procederá a calcular varias curvas de rentabilidad (TIR) por agrupaciones de títulos, que deben cumplir con la condición de un número (n) mínimo de fechas de vencimiento diferentes correspondientes a operaciones sobre títulos. En caso de no encontrar las fechas de vencimiento diferentes en las operaciones del día de realización de los cálculos de la información para valoración, deberá obtenerlas del día inmediatamente anterior más cercano en que las encuentre. De encontrar varias fechas de vencimiento para completar la condición, las tomará todas. El número (m) máximo de días hábiles de negociación permitido para devolverse a buscar operaciones será un parámetro del sistema. Sin perjuicio de lo anterior se ha determinado que las agrupaciones de títulos para calcular las curvas, y los parámetros m y n sean mostradas en el anexo 9. En caso de que se devuelva a buscar operaciones o emisiones dentro del máximo de días y no las encuentre no se calculará curva y las operaciones pasarán automáticamente el filtro.
Parámetros de la curva de TIR para filtro por tasa
Los parámetros de la función de curvas de TIR se estiman utilizando mínimos cuadrados (Ver Anexo 9) de acuerdo a la siguiente formula
(7) ![]()
Rentabilidad Promedio observada para el grupo con fecha de vencimiento i.
Rentabilidad Estimada para el grupo con fecha de vencimiento i.
Valor Parámetro para el proceso de minimización definido en 3000000000.
Numero total de grupos con fechas de vencimiento diferentes.
Establecimiento del límite por medio del error cuadrado medio
Para efectos de establecer el límite, se calculará el error cuadrado de cada operación con la siguiente fórmula:
(8) ![]()
Donde:
: Error cuadrado de la TIR de la operación i, para el conjunto de títulos k.
: Curva de rentabilidad para el conjunto de operaciones k, en el plazo x.
TIRix : Tasa de rentabilidad de la operación i para el plazo de días a vencimiento x.
i : Operaciones a tener en cuenta con i = 1 hasta n.
K : Categoría para el cálculo de la curva de filtros.
Con los errores cuadrados
de cada operación, se procede a calcular un promedio aritmético de errores cuadrados, con la siguiente fórmula:
(9) 
Donde:
: Promedio aritmético de los errores cuadrados de TIR, para todo el conjunto de títulos k.
: Error cuadrado de la TIR de la operación i, para el conjunto de títulos k.
n : Número de operaciones del conjunto k.
K : Categoría para el cálculo de la curva de filtros.
Límite = Número de amplitudes * ![]()
El número de amplitudes es un parámetro del sistema. Sin perjuicio de lo anterior, se ha determinado que las amplitudes sean las mostradas en el anexo 10.
Aplicación del límite para filtro por tasa
Una vez establecido el límite por cada curva de TIR, de conformidad con lo establecido en los puntos anteriores del presente numeral, se procederá a aplicarlo a todas las operaciones que conforman la muestra de cada curva, así:
Si el error cuadrado
de la tasa de negociación de la operación es mayor que el Límite, la operación se excluye de la muestra para cálculo de la información para valoración;
En caso contrario, si el error de la tasa de la operación
es menor o igual que el Límite, la operación se incluye en los cálculos de información para valoración.
10.3 Filtro por mediana
El filtro por medianas consiste en establecer agrupaciones de operaciones por las mismas características de marcación de precio promedio o de marcación de margen promedio y establecer unos intervalos de aceptación de rentabilidad, margen o precio dentro de los cuales se determina si una operación será tenida en cuenta para los cálculos de la información para valoración.
Si la rentabilidad, margen o precio de la operación se encuentra dentro del intervalo establecido por el filtro, la operación será incluida en los cálculos; si la rentabilidad, margen o pecio de la operación se encuentra por fuera del intervalo establecido por el filtro, la operación será excluida de los cálculos.
El filtro por medianas se puede definir como un filtro de rentabilidad por emisión, filtro de precio por emisión, filtro de margen por emisión, filtro de margen por categoría o como un filtro de rentabilidad por categoría. Para la descripción de los filtros que se desarrolla a continuación, se utilizaran variables definidas como parámetros. Sin perjuicio de lo anterior se ha establecido que los parámetros de los filtros de medianas por emisión y de medianas por categoría se muestren en el anexo 11.
Las operaciones que se sometan a este filtro, deben superar los filtros por monto y si tienen definido un filtro por tasa, deben superar el filtro por tasa, definidos en los puntos anteriores.
En la descripción que se realiza para el filtro por emisión se utiliza la rentabilidad. El filtro de precio o margen por emisión es igual solo que se realiza utilizando la variable precio de la operación, o con la variable margen de la operación en lugar de rentabilidad de la operación.
En la descripción que se realiza para el filtro por categoría se utiliza el margen. El filtro de rentabilidad por categoría es igual solo que se realiza con la variable rentabilidad de la operación en lugar de margen de la operación.
Inicialmente solo se definirán filtros de medianas de rentabilidad por emisión, filtros de medianas de precio por emisión y filtros de medianas de margen o rentabilidad por categoría.
10.3.1 Descripción general del filtro de rentabilidad por emisión
a) Utilizando las operaciones del día para el cual se están calculando los filtros se agrupan las operaciones para cada emisión (de acuerdo con las mismas características de marcación de precio promedio) y se determina el número de operaciones para cada grupo. Luego, con el conjunto de operaciones de cada grupo se realiza el procedimiento descrito en los numerales (b) - (e).
b) Si el número de operaciones es mayor o igual a M (parámetro) se conforma la muestra para el calculo de la mediana ponderada de la rentabilidad por valor nominal MP (ver detalle en calculo de la mediana ponderada) y la desviación estándar de la rentabilidad DE (ver detalle en cálculo de la desviación estándar). El valor de la desviación estándar debe compararse con un valor mínimo (DEM (parámetro)).
Si la DE calculada es menor que el valor de DEM, entonces al valor de DE se le asigna el valor de la desviación estándar mínima (DEM).
Si para la agrupación, el día de cálculo de los filtros, no se completa la muestra no se calcula filtro para el grupo.
c) La muestra se conforma con las operaciones del día y con todas las operaciones de la emisión de días anteriores desde el día en el que se hubiera presentado la n-esima (parámetro=n) marcación de precio anterior, incluyendo las operaciones que realizan la marcación. La marcación se define como la existencia del mínimo de operaciones para calcular precio promedio en INFOVAL.
Ejemplos:
-- Ejemplo 1: Si n es 1, la muestra se conforma con las operaciones del día y con todas las operaciones desde la última marcación de precio.
-- Ejemplo 2: Si n es 2, la muestra se conforma con las operaciones del día y con todas las operaciones desde la penúltima marcación de precio.
El número máximo de días corridos permitido para buscar operaciones para conformar la muestra es de J (parámetro) días corridos sin incluir el día de cálculo. Si para la emisión no existe cálculo de precio promedio dentro de los últimos J (parámetro) días corridos, la muestra del filtro se construye únicamente con las operaciones del día del filtro.
Si n se define como 0, no se busca última marcación y se toman todas las operaciones que se encuentren en el rango máximo de días permitido para devolverse.
d) Se determina un limite superior (LS) y un limite inferior (LI) de aceptación de observaciones con un nivel de confianza (Z) establecido como parámetro.
![]()
LS : Limite Superior
LI : Limite Inferior
MP : Mediana Ponderada por el valor nominal
DE : Desviación Estándar
Z :Nivel de confianza (parámetro)
e) Se evalúa la rentabilidad de cada operación con respecto al límite superior y el límite inferior respectivo. Sea Ri la rentabilidad de la operación i. Si
o
la operación queda excluida; si
la operación queda incluida. Las operaciones del día excluidas por el filtro no se tendrán en cuenta para ningún cálculo de valoración en futuras fechas.
10.3.2 Descripción general del filtro de margen por categoría
a) Utilizando las operaciones del día para el cual se están calculando los filtros, se agrupan las operaciones para cada categoría (combinación de las siguientes características: clase, grupo calificación, grupo tasa, grupo moneda y grupo de rango de días vencimiento) y se determina el numero de operaciones para cada grupo. Luego, con el conjunto de operaciones de cada grupo se realiza el procedimiento descrito en los numerales (b) a (e) siguientes.
b) Si el número de operaciones es mayor o igual a M (parámetro) se conforma la muestra para el calculo de la mediana ponderada del margen por valor nominal MP (ver detalles en calculo de la mediana ponderada) y la desviación estándar DE (ver detalles en cálculo de la desviación estándar). El valor de la desviación estándar debe compararse con un valor mínimo (DEM (parámetro)). Si la e calculada es menor que el valor de DEM, entonces al valor de DE se le asigna el valor de la desviación estándar mínima (DEM).
Si para la agrupación, el día de cálculo de los filtros, no se completa la muestra no se calcula filtro para el grupo.
c) La muestra se conforma con las operaciones del día y con todas las operaciones de la categoría de días anteriores desde el día en el que se hubiera presentado la n-esima (parámetro) marcación de margen anterior, incluyendo las operaciones que realizan la marcación. La marcación se define como la existencia del mínimo de operaciones para calcular margen promedio por categoría en INFOVAL.
Ejemplos:
-- Ejemplo1: Si n es 1, la muestra se conforma con las operaciones del día y con todas las operaciones desde la última marcación de margen.
-- Ejemplo 2: Si n es 2, la muestra se conforma con las operaciones del día y con todas las operaciones desde la penúltima marcación de margen.
El número máximo de días corridos permitido para buscar operaciones para conformar la muestra es de J (parámetro) días corridos sin incluir el día de cálculo. Si para la categoría no existe cálculo de margen promedio (marcación) dentro de los últimos J (parámetro) días corridos, la muestra del filtro se construye únicamente con las operaciones del día del filtro.
Si n es 0, no se busca última marcación y se toman todas las operaciones que se encuentren en el rango máximo de días permitido para devolverse.
d) Se determina un límite inferior y un límite superior de aceptación de observaciones con un nivel de confianza (Z) establecido como parámetro:

LS : Limite Superior
LI : Limite Inferior
MP : Mediana Ponderada por el valor nominal
DE : Desviación Estándar
Z : Nivel de confianza igual (parámetro)
e) Se evalúa el margen de cada operación con respecto a su límite superior y límite inferior respectivo. Sea Mi el margen de la operación i. Si Mi > LS o Mi < LI la operación queda excluida; si
la operación queda incluida. Las operaciones del día excluidas por el filtro no se tendrán en cuenta para ningún cálculo de valoración en futuras fechas.
10.3.3 Procedimiento matemático para el cálculo de la mediana ponderada
Para calcular la mediana ponderada se debe disponer de la información de la rentabilidad, margen o precio y del valor nominal (cantidad) de cada operación. En el procedimiento descrito a continuación se describe el cálculo de una mediana ponderada de margen. El procedimiento es igual para el cálculo de la mediana ponderada de precio o rentabilidad y solo cambia la variable a utilizar.
Sobre el conjunto de operaciones agrupadas para calcular el filtro, se realiza el siguiente procedimiento:
I. Se ordenan las operaciones por margen de forma ascendente.
II. Se calcula el porcentaje de valor nominal transado para cada operación.
![]()
: Porcentaje de la cantidad para la operación i
: Cantidad (valor nominal) de la operación i.
: Suma de la cantidad (valor nominal) de las operaciones del grupo
III. Se calcula el porcentaje acumulado de valor nominal para cada operación.
![]()
: Porcentaje acumulado de la cantidad (valor nominal) para la operación i.
: Porcentaje de la cantidad para la operación j
IV. Se ubica el 50% del porcentaje acumulado.
-- Si el 50% del porcentaje acumulado se encuentra exactamente en una operación, la mediana ponderada es el promedio simple del margen de esa operación con la siguiente.
-- Si no, la mediana ponderada es el margen de la operación que tiene un acumulado mayor al 50%.
10.3.4 Procedimiento matemático para el cálculo de la desviación estándar
Para calcular la desviación estándar se debe disponer de la información de la rentabilidad, margen o precio de cada operación. La formula descrita a continuación aplica para el cálculo de la desviación estándar de la rentabilidad. El procedimiento es igual para el cálculo de la mediana ponderada de margen o precio y solo cambia la variable a utilizar. La formula ilustrara el cálculo con rentabilidades.

DE : Desviación Estándar
Ri : Rentabilidad de la operación i
n : Numero de operaciones de la muestra
11Información base para inicio de cálculos a la entrada en vigencia de la metodología
Para calcular las tasas de referencia y márgenes el 6 de junio del 2003, se utilizará una base de datos histórica construida desde el 1 de abril del 2002 hasta el 5 de junio de 2003.
La base de datos histórica fue construida con la metodología vigente en el momento de su cálculo.
El día de entrada en vigencia del procedimiento que elimina el margen referido y llega hasta margen interpolado entre rangos de días a vencimiento o entre emisiones, se tomarán todos los márgenes referidos del día hábil inmediatamente anterior, como márgenes históricos sin vigencia.
12Difusión de la información a los usuarios para valoración de los títulos de renta fija
La BVC publicará diariamente a nivel de consulta en su sitio web para el público en general la información para valoración de inversiones que se haya obtenido con base en los procedimientos antes descritos (precios promedio, precios estimados, márgenes, tasas de las curvas estimadas de rentabilidad, índices). Lo anterior sin perjuicio que establezca mecanismos de transferencia de información mediante archivos para los usuarios que contraten dicho servicio.
13Revisión periódica de parámetros y criterios de categorización
La BVC revisará con una periodicidad mínima trimestral la validez y vigencia de los parámetros y criterios de categorización, de manera que recomendará los ajustes que se consideren necesarios a la Superintendencia Financiera de Colombia, para que otorgue su aprobación.
14Información para Valoración en días no hábiles bancarios
La información para valoración que se publicará en los días no hábiles bancarios será:
a) Las tasas de referencia del día hábil bancario inmediatamente anterior.
b) El precio estimado de los títulos a los cuales se les informa éste durante los días hábiles bancarios, estimado con el margen según procedimiento del literal c) siguiente y la tasa de referencia del día hábil inmediatamente anterior, pero correspondiente con los días a vencimiento que le queden a los flujos o al título según corresponda (curva cero cupón o curva de TIR o índice), contados desde el día de la valoración, hasta la fecha de vencimiento, base 365, sin corrimiento de días en caso de caer el flujo en día no hábil y sin considerar el día 29 de febrero de los años bisiestos.
c) Los márgenes de los títulos calculados el último día hábil y asignados de acuerdo a la categoría conformada por las características de grupo de clase, grupo de calificación, grupo de tipo de tasa, grupo de moneda o unidad, emisión o grupo de días al vencimiento, asignado con los días a vencimiento que le queden contados desde el día de la valoración, hasta la fecha de vencimiento, base 365, sin corrimiento de días en caso de caer el flujo en día no hábil y sin considerar el día 29 de febrero de los años bisiestos.
TABLA DE TITULOS EXCLUIDOS DE CALCULO DE PRECIO, MARGEN E INDICE.

TABLA DE CLASES.

TABLA DE GRUPO DE CALIFICACIONES, EQUIVALENCIAS Y ESCALA.

TABLA DE GRUPO DE TIPOS DE PLAZO.

TABLA DE GRUPO DE TIPOS DE TASA.


TABLA DE GRUPO DE MONEDA O UNIDAD.


TABLA DE GRUPO DE DIAS A VENCIMIENTO.

TABLA DE TÍTULOS CATEGORIZADOS POR EMISION

FILTRO POR MONTO.

PROCEDIMIENTO MATEMÁTICO PARA EL CALCULO DE LA CURVA QUE SE UTILIZARA EN LOS FILTROS PARA TASAS.
Este documento tiene el propósito de realizar una descripción matemática de los cálculos necesarios para estimar la curva de rendimientos que servirá como indicador de mercado para elaborar los filtros por tasa y de esta forma, detectar las operaciones fuera de mercado.
Tabla de Contenido
1. Descripción general de la estimación de la curva
2. Variables de la muestra
3. Algoritmo del método de Descenso
4. Definición de funciones auxiliares para los numerales 5 y 6
5. Cálculo del valor f(yk)
6. Calculo del Vector Gradiente g(yk) de
con el vector de parámetros yk
7. Cálculo de la norma de un vector
8. Cálculo del vector unitario
9. Calculo del vector xik
1. Descripción general de la estimación de la curva
La función para la curva de rentabilidades a estimar esta dada por:

: Rentabilidad estimada del bono correspondiente al conjunto de títulos agrupados para la fecha de vencimiento i
Tiempo de maduración anualizado para el conjunto de títulos agrupados para la fecha de vencimiento i.
Parámetros de la función para estimar
Es el exponente x aplicado a la base e. La constante e es igual a 2.71828182845904, la base del logaritmo natural.
Los parámetros de la función se estiman utilizando mínimos cuadrados
Rentabilidad Promedio observada para el grupo con fecha de vencimiento i.
Rentabilidad Estimada para el grupo con fecha de vencimiento i.
Valor Parámetro para el proceso de minimización definido en 3000000000.
Numero total de grupos con fechas de vencimiento diferentes.
Debido a la no linealidad del problema, se utiliza un método de Descenso para resolver el problema de minimización.
2. Variables de la muestra
Antes de realizar la minimización para encontrar los parámetros de la función de la curva de filtros se realiza el siguiente procedimiento:
a.) Cálculo de la Rentabilidad Promedio para Operaciones con la misma fecha de vencimiento
Para cada grupo de operaciones con la misma fecha de vencimiento se calcula un promedio de la rentabilidad de cada operación ponderado por la cantidad (o valor facial) de la operación.

Dónde:
R(i)j: Tasa de Descuento de la operación j dentro del grupo con la misma fecha de vencimiento i.
Qj: Cantidad o Valor Facial de la operación j dentro del grupo con la misma fecha de vencimiento i.
RPi: Rentabilidad Promedio para el grupo con la misma fecha de vencimiento i.
b.) Cálculo de los Días al Vencimiento con base en años 365 para el grupo de operaciones con la misma fecha de vencimiento
Para cada grupo de operaciones con la misma fecha de vencimiento se calculan los días al vencimiento contados entre la fecha para la cual se desea realizar el filtro por tasa y la fecha de vencimiento. Este conteo se realizara con base en años de 365 días (sin considerar el día 29 de febrero para los años bisiestos).
Este conjunto conforma el grupo de variables para la muestra necesario para la estimación de los parámetros de la curva de filtros
Rentabilidad Efectiva Promedio del grupo con fecha de vencimiento i - Tasa de Descuento
Días al vencimiento del grupo con fecha de vencimiento i
Parámetro para el proceso de minimización definido en 3.000.000.000.
Numero total de grupos con fechas de vencimiento diferentes
Los días vencimiento (DVi) del grupo de operaciones con la misma fecha de vencimiento se anualizan para obtener la nueva variable: tiempo anualizado (ti) del grupo de fecha de vencimiento i.
![]()
Con el valor nominal promedio del grupo con fecha de vencimiento i se calcula la variable
correspondiente a la raíz del parámetro
de la siguiente forma:
![]()
Valor Parámetro para el proceso de minimización definido en 3.000.000.000
3. Algoritmo del método de Descenso
DATOS DE ENTRADA:
---Aproximación inicial de los parámetros
![]()
---Tolerancia1: TOL1 = 0.0001
---Tolerancia2: TOL2 = 100
---Numero máximo de iteraciones: MAXITE = 1000
Los valores a1, b1, c1, t1, TOL1, TOL2 y MAXITE son parámetros del programa.
En la iteración k del método se hace referencia al vector de parámetros ![]()
SALIDA:
Solución aproximada de los parámetros ![]()
Paso 1 Tome k = 1
Paso 2 Mientras k<= MAXITE haga pasos 3-15
Paso 3 Calcule el valor el valor
(Ver numeral 5)
Calcule el vector gradiente de
,
(Ver numeral 6)
Calcule la norma del vector gradiente de
,
.
(Ver numeral 7)
Paso 4 Si
entonces SALIDA (
)
(Procedimiento terminado satisfactoriamente) PARE
Paso 5 Calcule el vector unitario
(Ver numeral 8)
Tome
Tome
Calcule
(Ver numeral 9)
Calcule
(Ver numeral 5)
Paso 6 Mientras (
) haga los pasos 7 y 8
Paso 7 Calcule ![]()
Calcule
(Ver numeral 9)
Calcule
(Ver numeral 5)
Paso 8 Si
entonces SALIDA (
)
(Procedimiento terminado satisfactoriamente)
PARE
Paso 9 Calcule ![]()
Calcule
(Ver numeral 9)
Calcule
(Ver numeral 5)
Paso 10 Calcule ![]()
Calcule![]()
Calcule ![]()
Paso 11 Calcule ![]()
Calcule
(Ver numeral 9)
Calcule
(Ver numeral 5)
Paso 12 Si
Entonces
y ![]()
Sino
y ![]()
Paso 13 Calcule
(Ver numeral 9)
Paso 14 Si,
entonces SALIDA (
)
Abs(x) representa el valor absoluto de x
(Procedimiento terminado satisfactoriamente)
PARE
Paso 15 Tome k = k+1
Paso 16 SALIDA (
)
(Numero máximo de iteraciones excedido)
PARE
4. Definición de funciones auxiliares para los numerales 5 y 6
En la iteración k del método de Descenso se deberá calcular el vector gradiente. Para esto, se elaboraran algunas funciones auxiliares con los datos de las operaciones de la muestra del numeral 2.
Los parámetros
corresponden a los parámetros que se tengan en la iteración k del método de Descenso. El subíndice i indica que se están utilizando los datos correspondientes al grupo con la misma fecha de vencimiento i.
A continuación se definen las funciones auxiliares, los datos en paréntesis son los parámetros de entrada de la función.




5. Cálculo del valor f(yk)
DATOS DE ENTRADA: El vector de parámetros ![]()
SALIDA: El valor ![]()
En la iteración k del método se realiza el cálculo de la función
con el vector de parámetros
En este numeral se utilizaran las funciones auxiliares (definidas en el numeral 4) evaluadas cuando sea necesario en los parámetros![]()
![]()
6. Calculo del Vector Gradiente g(yk) de
con el vector de parámetros yk
DATOS DE ENTRADA: El vector de parámetros ![]()
SALIDA: El vector de
, ![]()
En la iteración k del método se calcula un vector
de
con el vector de parámetros
correspondientes a esa iteración. En este numeral se utilizaran las funciones auxiliares (definidas en el numeral 4) evaluadas cuando sea necesario en los parámetros
.
El vector
se define de la siguiente forma:

Donde:

7. Cálculo de la norma de un vector
DATOS DE ENTRADA: El vector b de ![]()
SALIDA: El valor de la magnitud de b, ![]()
Para obtener la magnitud de un vector de
, se realiza la siguiente definición:
Sea
un vector de
de la siguiente forma:

La magnitud de
,
, se define como:
![]()
8. Cálculo del vector unitario
DATOS DE ENTRADA: El vector b de
. El valor de la magnitud de b, ![]()
SALIDA: El vector unitario d de
.
Sea
un vector de
de la siguiente forma:

Sea
el valor de la magnitud de ![]()
El vector unitario d de
se define como:

9. Calculo del vector xik
DATOS DE ENTRADA: Los vectores
y
de
. El valor de
.
SALIDA: El vector
de
.
Sean:

Entonces se define:

Donde Abs(x) representa el valor absoluto de x.
PARAMETROS PARA LAS CURVAS DE FILTRO POR TASA.

PARÁMETROS DE LOS FILTROS DE MEDIANAS POR EMISIÓN Y DE MEDIANAS POR CATEGORÍA.
Los parámetros generales se adjuntan en las siguientes tablas. Lo anterior no obsta para determinar parámetros distintos para un grupo en particular.
Parámetros para los filtros de medianas de rentabilidad por emisión (2)

Parámetros para los filtros de medianas de precio por emisión

Parámetros para los filtros de medianas de margen por categoría

Se excluyen de la muestra y el escrutinio todas las operaciones correspondientes a títulos de la clase 36.
Parámetros para los filtros de medianas de rentabilidad por categoría

CURVA DE RENTABILIDAD DE CERTIFICADOS DE DEPOSITO A TERMINO –CRCDT.
La muestra para la conformación de la curva de rentabilidades de CDT (CRCDT) se compone de dos subconjuntos de operaciones con las siguientes características:
1. Títulos CDT a tasa fija en pesos.
El emisor debe tener calificación DP1+ ó BRC1+.
Que tengan días al vencimiento menores o iguales a 365 días.
2. Títulos CDT indexados a la DTF en pesos, que se encuentren con un plazo remanente tal, que sólo falte el pago del último cupón, que sean tasa vencida y que la tasa con que paga dicho cupón sea previa, es decir conocida.
El emisor debe tener calificación DP1+ ó BRC1+.
Que tengan días al vencimiento menores o iguales a 181 días.
Las operaciones que entran al cálculo de la curva de rentabilidades deben haber superado los filtros de monto, tasa (curva de TIR) y los filtros de medianas, descritos en el documento.
Para construir cada subconjunto de la muestra se deben tomar las operaciones de las características mencionadas anteriormente de los últimos n días (parámetro) con operaciones dentro de un máximo de N días corridos (parámetro), incluyendo el día de cálculo. Días con operaciones significa que si existe algún día sin operaciones, debe devolverse el numero de días que sea necesario hasta encontrar siempre los n días (parámetro) con operaciones.
Una vez se ha conformado esta muestra para cada subconjunto de operaciones se debe verificar que existan m (parámetro) fechas de vencimiento diferentes dentro de la muestra. Si no existen m (parámetro) fechas de vencimiento diferentes para cada subconjunto debe devolverse el numero de días que sea necesario (tomando las operaciones que cumplan las características mencionadas anteriormente) hasta encontrar las m (parámetro) fechas de vencimiento diferentes. El número máximo permitido para devolverse en este caso será de M días corridos (parámetro).
Sin perjuicio de lo anterior, se ha determinado para el conjunto de títulos CDT a tasa fija en pesos que (n) sea igual a cinco (5), (N) sea igual a noventa (90) días corridos incluido el día de cálculo, (m) sea igual a seis (6) fechas de vencimiento diferentes y (M) sea igual a noventa (90) días corridos incluido el día de cálculo. Para el conjunto de títulos CDT indexados a DTF en pesos que (n) sea igual a tres (3), (N) sea igual a noventa (90) días corridos incluido el día de cálculo, (m) sea igual a seis (6) fechas de vencimiento diferentes y (M) sea igual a noventa (90) días corridos incluido el día de cálculo.
Una vez se tiene la muestra de la curva deben existir por lo menos ni operaciones en el rango Ri. Los rangos Ri se definen para el conjunto de títulos CDT a tasa fija en pesos como se muestran a continuación: (los rangos de días no necesariamente deben coincidir con los rangos de la categorización del numeral 5).

Los rangos Ri se definen para el conjunto de títulos CDT indexados a DTF en pesos como se muestran a continuación: (los rangos de días no necesariamente deben coincidir con los rangos de la categorización del numeral 5).

Antes de encontrar los parámetros de la función de la curva de rentabilidades se agrupan las operaciones de la muestra por aquellas que tengan los mismos días al vencimiento. De esta forma, para cada grupo de operaciones con los mismos días al vencimiento se calcula un promedio de la rentabilidad de cada operación ponderado por la cantidad (o valor facial) de la operación.
El procedimiento utilizado para estimar los parámetros de la curva de rentabilidades de CDT (CRCDT) es el de mínimos cuadrados. Es importante aclarar que esta curva de CDT no es una curva cero cupón sino una curva de TIRs. Por lo tanto en todos los flujos del título se utiliza la misma tasa de descuento así los flujos se presenten en fechas de vencimiento diferentes.
La tasa de la curva de rentabilidades correspondiente a los días al vencimiento dv se calcula por medio de la siguiente formula:

Donde:
: Tasa de la curva de rentabilidades para los días al vencimiento
.
Parámetros de la función de la curva de rentabilidades.
TABLA TITULOS QUE MARCAN PRECIO Y/O MARGEN CON OPERACIONES DE MERCADO PRIMARIO.

TABLA PARÁMETRO DE DÍAS DENTRO DE LOS CUALES SE CELEBRAN OPERACIONES OBJETO DE CÁLCULO DE MARGEN PROMEDIO.
El máximo número de días hábiles incluyendo del día de cálculo para valoración definido en el numeral 8.3. II es igual a uno (1), excepto para las categorías determinadas a continuación:

Sistema Proveedor de Información para Valoración de Inversiones
METODOLOGÍA DE AJUSTE Y ACTUALIZACIÓN DE MÁRGENES DE VALORACIÓN.
1. Introducción
La existencia de mercados específicos, incompletos y fragmentados genera la presencia de información parcial, insuficiente y poco profunda que hace difícil la definición de una metodología para determinar de forma adecuada el precio de valoración de aquellos títulos o valores que presentan un volumen bajo de negociación.
Teniendo en cuenta que en la metodología de valoración vigente la renovación de la información de márgenes sólo es posible a través de operaciones de títulos o valores en la respectiva categoría, algunas de éstas presentan márgenes desactualizados debido a que se conservan como históricos vigentes márgenes calculados en condiciones diferentes a las existentes en la fecha para la cual se publica el margen.
Para generar precios de valoración que reflejen las condiciones propias y reales de los títulos o valores en el mercado, se hace necesario aplicar una metodología que permita actualizar la información de márgenes, la cual esté basada en referencias de mercado diferentes a la realización de operaciones.
La Metodología de Ajuste y Actualización de Márgenes de Valoración tiene como finalidad actualizar los márgenes históricos en las categorías con información desactualizada, teniendo como referencia las tasas de los títulos TES a través de las curvas Cero Cupón en Pesos y en UVR. Además, se tendrán en cuenta los márgenes calculados recientemente de las agrupaciones que se definan dentro de las definiciones de la metodología mencionada.
Con base en estas consideraciones, el presente documento define una metodología para ajustar los márgenes de valoración y una metodología para actualizarlos de acuerdo con las condiciones del mercado existentes en la fecha de valoración, en caso de que dichos márgenes no representen información actualizada.
2. Definiciones
Para efectos del presente documento deberá entenderse para las expresiones que se indican a continuación la definición asignada a la misma.
2.1 Sistema proveedor de información para valoración de inversiones: corresponderá al sistema que implemente la Bolsa Valores de Colombia S.A., en adelante BVC, para proveer precios, índices, márgenes e información para valoración de inversiones, con base en operaciones o información de mercado.
2.2 Fecha de valoración: fecha para la cual se calcula y publica la información de valoración.
2.3 Margen promedio: es el porcentaje efectivo anual expresado con cuatro decimales aproximado por redondeo mundial, que se obtiene como resultado del promedio ponderado por cantidad de los márgenes de las operaciones para una misma categoría.
2.4 Parámetro de vigencia: Número de días corridos calendario en los que un margen promedio se mantiene vigente como margen histórico, contados a partir del día de su cálculo y hasta por un año, entendido este de 365 ó 366 días según el año correspondiente.
2.5 Margen histórico vigente: se denominará así al último margen promedio calculado para una categoría que se encuentre dentro del plazo estipulado como “parámetro de vigencia”.
2.6 Margen histórico sin vigencia: se denominará así al último margen promedio calculado para una categoría, que pierde su vigencia por tener un plazo de haberse calculado mayor que el “parámetro de vigencia”. Plazo de haberse calculado que se cuenta como los días corridos calendario a partir del día del cálculo del margen promedio y hasta la fecha de valoración.
2.7 Margen interpolado: se denominará así el margen asignado de conformidad con las reglas que se establecen en los documentos “Sistema Proveedor de Información para Valoración de Inversiones - Capítulo I - Información para valoración de TES clase B” y “Sistema Proveedor de Información para Valoración de Inversiones - Capítulo II - Información para valoración de títulos diferentes de TES clase B”, cuando una categoría no tenga margen promedio calculado o margen histórico vigente.
2.8 Categoría: conjunto determinado por Clase, Grupo Moneda, Grupo Tasa, Rango de Días al Vencimiento y Grupo Calificación.
2.9 Agrupación: conjunto de categorías, determinadas según parámetros por clase, grupo moneda, grupo tasa, grupo calificación y rango de días al vencimiento ó emisión.
2.10 Indicador: valor representativo del nivel de los márgenes de las categorías en una agrupación, o la diferencia entre las tasas de rentabilidad de las curvas cero cupón y las tasas de referencia.
2.11 Variación para Actualización: Parámetro de la metodología que determina si se debe realizar la actualización para una agrupación.
2.12 Factor de Corrección por Calificación: parámetro de la metodología que se aplica en el cálculo del margen actualizado o ajustado de una categoría diferenciando las características de calificación.
2.13 Fecha de Última Actualización o Ajuste: fecha en la cual se realizó la última actualización o ajuste para una agrupación en el Rango de Días al Vencimiento Extremo o Emisión Extremo correspondiente.
2.14 Fecha de Evaluación: fecha en la cual se esta realizando la valoración.
2.15 Margen Actualizado: margen de una categoría o emisión resultado del proceso de actualización en la agrupación.
2.16 Margen Ajustado: margen de una categoría o emisión resultado del proceso de ajuste en la agrupación.
2.17 Rango de Días al Vencimiento Extremo de la agrupación: menor y mayor rango de días al vencimiento de las categorías en la agrupación para los cuales puedan existir títulos vigentes en la agrupación de acuerdo con plazo máximo de emisión.
2.18 Emisión Extremo de la agrupación: Son los títulos en la agrupación con menor y mayor días al vencimiento, o menor y mayor días de vida media.
2.19 Vida Media: Estimación del número de periodos al vencimiento de un título, teniendo en cuenta la información de amortizaciones de capital. La vida media depende del saldo del crédito y del tiempo al vencimiento restante.
3. Criterios Generales
3.1 Aplicabilidad de la metodología:
La metodología que se describe en el presente documento complementa la contenida en los documentos “Sistema Proveedor de Información para Valoración de Inversiones - Capítulo I - Información para valoración de TES clase B” y “Sistema Proveedor de Información para Valoración de Inversiones - Capítulo II - Información para valoración de títulos diferentes de TES clase B”, aprobados por la Superintendencia Financiera de Colombia. Su aplicación depende de aquellas agrupaciones para las cuales se establezca la metodología, las cuales se presentan en el anexo 1.
4. Descripción General del Proceso
La metodología de evaluación y actualización tiene como objetivo determinar diferencias en las condiciones del mercado en la fecha de cálculo de un margen histórico vigente y las condiciones en la fecha actual.
Si las condiciones son estables, el margen continuaría como un margen histórico vigente. Si hay cambios significativos en las condiciones del mercado, el margen se actualiza.
La evaluación y actualización es determinada para agrupaciones de categorías que tienen condiciones similares. Las agrupaciones contienen categorías con el mismo grupo moneda, grupo tasa y grupo calificación. Para las categorías en la agrupación se calculan indicadores que permiten evaluar si las condiciones del mercado para los títulos en la agrupación han cambiado y es necesario actualizar los márgenes. Los indicadores también establecen en cuantos puntos se deben actualizar los márgenes.
Cada día se realiza una evaluación que indica si se deben actualizar o no los márgenes de cada agrupación. Esta se define utilizando indicadores sobre la información de marcaciones de la agrupación, o a partir de indicadores a partir de la CEC y tasas de referencia.
De este modo hay dos indicadores que determinan si se realiza actualización:
- Indicadores definidos sobre la información de márgenes calculados recientemente: Es el promedio de los márgenes calculados en los últimos días hábiles en categorías que pertenezcan a la agrupación.
- Indicadores definidos sobre la información de curvas Cero Cupón y tasas de referencia: Es igual al margen sobre las tasas de referencia de la rentabilidad correspondiente a la curva Cero Cupón.
La referencia principal en la evaluación y actualización es el indicador sobre información de márgenes calculados. En caso de no existir márgenes calculados recientemente, quien determina si se realiza una actualización en los márgenes es el indicador de la tasa de referencia sobre la curva cero cupón.
La evaluación consiste en comparar a través de los indicadores las condiciones de mercado en la fecha de evaluación respecto a la fecha de la última actualización. Se determina si es necesario realizar una actualización o no, de acuerdo a si la diferencia calculada es mayor a un parámetro establecido, señalando que se ha presentado un cambio en las condiciones del mercado.
4.2 Actualización de márgenes de valoración
Si se realiza, la actualización consiste en:
---Finalizar la vigencia de márgenes históricos que no son recientes, es decir, aquellos cuya fecha de inicio de vigencia sea mayor a un parámetro de días de conservación.
---Definir como referente de mercado para los rangos de días al vencimiento extremos en la agrupación (el de menor plazo y el de mayor plazo) un margen actualizado.
---Conservar los márgenes históricos recientes a partir de un parámetro de días de conservación, y calculados en la fecha de valoración.
5. Agrupaciones
Las agrupaciones se definen como los conjuntos de categorías a partir de los cuales se busca recoger información representativa de mercado y a partir de ésta, determinar la conveniencia de una actualización en los márgenes de las categorías de la agrupación. De esta forma cada agrupación se actualiza en la medida en la que la información que surja de sus elementos constitutivos (categorías) sugiera un cambio en las condiciones de negociación de los títulos. En ausencia de dicha información la actualización debe determinarse a partir de un referente diferente (sobre la información de curvas Cero Cupón y tasas de referencia).
Cada agrupación dentro de la metodología de actualización está definida por grupos de criterios de categorización. Dichos criterios de categorización están definidos en los documentos técnicos “Sistema Proveedor de Información para Valoración de Inversiones - Capítulo I - Información para valoración de TES clase B” y “Sistema Proveedor de Información para Valoración de Inversiones - Capítulo II - Información para valoración de títulos diferentes de TES clase B” y se presentan a continuación.
- Clases
- Grupo de tasa de referencia
- Grupo de moneda
- Grupos de calificación
- Rangos de días al vencimiento o Emisiones específicas
La composición de las agrupaciones es un parámetro dentro de la metodología y por lo tanto podrá ser objeto de modificaciones. Dicha composición se presenta en el anexo 1.
6. Indicadores
Para cada una de las agrupaciones que se definan se calculará, siempre que se presenten las condiciones, dos tipos de indicadores que servirán para determinar una variación de las condiciones de negociación en el mercado, a partir de la cual se define el evento de realizar una actualización de los márgenes.
6.1 Indicadores definidos sobre la información de márgenes calculados recientemente (IMC)
Su propósito es el de recoger información acerca de la variación en los niveles de valoración y negociación basándose en la información de valoración calculada en un periodo de tiempo reciente. Corresponde al promedio de los márgenes calculados en los últimos días en las categorías de la muestra de Indicador de márgenes calculados de la agrupación.
La fórmula para calcular el IMC para una agrupación es:

Donde:
A: es el conjunto de las categorías con el grupo de calificación más alto de la agrupación que tienen un margen calculado en el periodo de n últimos días hábiles incluyendo la fecha de evaluación.
K: número de categorías en el conjunto A.
CªA: son todas las categorías en el conjunto A.
MC: Margen Calculado más reciente de la categoría C.
El indicador de márgenes calculados para una agrupación será calculado siempre y cuando se encuentren en las categorías de la muestra de Indicador de márgenes calculados de la agrupación un número mínimo de categorías que tengan un margen calculado en el periodo de n últimos días hábiles incluyendo la fecha de evaluación. Dentro de la metodología el número mínimo de categorías con margen calculado en el periodo se establece como un parámetr relacionado con cada agrupación y se presenta en el anexo 1. El periodo de tiempo (número de días hábiles) en el que se buscan los márgenes calculados a partir de los cuales se calcula el indicador incluye a la fecha de valoración, dentro de la metodología se establece como parámetro relacionado con cada agrupación y se presenta en el anexo 1.
6.2 Indicadores definidos sobre la información de curvas y tasas de referencia (ICECTR)
Es el margen calculado a partir de las tasas de referencia como la DTF o el IPC, y de las curvas cero cupón para plazos específicos que se definen como los rangos de días al vencimiento extremos que se encuentren dentro de una agrupación. Esto es, si una agrupación de categorías contempla más de un rango de días al vencimiento se calculará un indicador ICECTR para el rango de días al vencimiento más corto y otro para el más largo en el cual exista la posibilidad de encontrar títulos vigentes de acuerdo con el plazo máximo registrado en los sistemas de Bolsa de Valores de Colombia para las categorías que integran una agrupación.
El indicador definido sobre la información de tasas de referencia y curvas debe ser calculado permanentemente pues servirá como referencia en los casos en que no se pueda realizar la evaluación de indicadores definidos sobre la información de márgenes calculados recientemente.
Para el cálculo de un ICECTR se sigue el siguiente procedimiento:
6.2.1 Cálculo de valores promedio de la CEC correspondiente al grupo de moneda de la agrupación.
De acuerdo con el grupo de moneda de la agrupación para la que se calcula el indicador, se calcularán los valores promedio de las curva cero cupón correspondientes a los últimos días hábiles incluyendo la fecha de valoración.
Dentro de la metodología el número de últimos días de valoración a partir los cuales se calcula el promedio de los valores de la curva cero cupón se define como parámetr relacionado con cada agrupación y se presenta en el anexo 1.

Donde:
CECPR(t): Valor de la curva cero cupón promedio de los últimos n días de valoración evaluada en t días al vencimiento.
CECj(t): Valor de la curva en el j-ésimo día más próximo a la fecha de valoración, evaluada en t días al vencimiento.
n: número de días de valoración dentro de los cuales se calcula el promedio de la curva.
6.2.2 Cálculo de la rentabilidad efectiva anual para los Rangos de Días al Vencimiento o Emisión requeridos
Para cada una de las agrupaciones se debe determinar la rentabilidad efectiva anual para el rango de días al vencimiento o emisión tomando como base la información calculada en el punto 6.2.1. Dicha rentabilidad se obtiene construyendo un título teórico cuyo último flujo vence en el plazo representativo del rango de días al vencimiento o en los días al vencimiento de la emisión del indicador a calcular y tiene una periodicidad asociada a la agrupación.
El valor de la tasa de rentabilidad efectiva anual, para el plazo T días al vencimiento, se obtiene de la siguiente fórmula:

Donde:
T: Días al vencimiento representativo del rango de días al vencimiento para el que se calcula la rentabilidad o correspondiente a la emisión en la fecha de valoración. Los valores se presentan para cada RDV en el anexo 2.
RT: Tasa de rentabilidad efectiva anual, para el plazo T días al vencimiento o días de vida media.
N: Número de flujos que corresponde a T días al vencimiento o días de vida media según la periodicidad. Si la periodicidad indica pagos periódicos N=T·P/365, si indica un pago al vencimiento N=1. N debe ser un entero.
P: Periodicidad del título teórico.
ti: Días al pago del i-ésimo flujo. Los días al pago de flujos se determinan de acuerdo con la periodicidad. Si la periodicidad indica pagos periódicos ti=i·365/P para i= 1, 2,..., N, si indica un pago al vencimiento t1=T.
CECPR(ti): es el valor de la curva cero cupón promedio, evaluada en ti días.
La periodicidad del título teórico está asociada a cada agrupación y se presenta para cada una de ellas en el anexo 1.
Si la periodicidad indica pagos periódicos, para los días al vencimiento o días de vida media T para los cuales no exista un entero N tal que T=N·365/P, la rentabilidad será:
-- Si T<365/P, y el título con periodicidad P paga sólo un flujo, entonces es igual a la tasa en la CECPR correspondiente al plazo T.
-- Si (N-1) ·365/P < T < N·365/P y N>1, entonces la rentabilidad se calcula como interpolado entre las rentabilidades correspondientes a los días los plazos (N-1) ·365/P y N·365/P días al vencimiento o días de vida media.
6.2.3 Determinación de la tasa de referencia
En caso de que la tasa de referencia de la agrupación para la cual desea calcular el indicador que se desea calcular sea la curva cero cupón en pesos o UVR, el valor de la tasa de referencia (efectiva anual basada en la CEC promedio) es igual al valor de la de la rentabilidad efectiva anual calculada en 6.2.2.
Si la tasa de referencia de la agrupación para la cual desea calcular el indicador es la curva de rendimientos de CDT (CRCDT) o alguna tasa variable como la DTF o el IPC, el valor correspondiente será el valor de la CRDT de la fecha de valoración evaluada en el plazo representativo del rango de días al vencimiento, días al vencimiento por emisión, días de vida media por emisión, o el valor de la tasa variable del día
6.2.4 Determinación del Indicador
El indicador de la curva CEC sobre la tasa de referencia para el Rango de Días al Vencimiento, días al vencimiento por emisión o días de vida media por emisión se determina aplicando la siguiente fórmula:

Donde:
ICECTRT: indicador definido sobre la información de curvas y tasas de referencia resultante para el plazo representativo T del rango de días al vencimiento, días al vencimiento por emisión o días de vida media por emisión determinado o para los días al vencimiento T de la emisión.
TR: Tasa de referencia efectiva anual, para el plazo representativo del rango de días al vencimiento, días al vencimiento por emisión o días de vida media por emisión o para la emisión determinado, definido en 6.2.3.
RT: Tasa de rentabilidad efectiva anual, para el plazo representativo T del rango de días al vencimiento, días de vida media o para los días al vencimiento T de la emisión como es definido en 6.2.2.
7 Determinación de la variación entre indicadores para la evaluación de la actualización de márgenes de una agrupación
La variación para evaluación se calcula para cada Rango de Días al Vencimiento Extremo o Emisión Extremo de la agrupación.
La variación entre dos indicadores del mismo tipo, calculados en una Fecha Inicial F1 y una Fecha Final F2, se determina de la siguiente forma:

Donde:
IF1: Indicador calculado en la fecha inicial F1.
IF2: Indicador calculado en la fecha final F2.
La variación total entre una fecha inicial F1 y una final F2, VTF1,F2, se basa en la información de las variaciones entre indicadores del mismo tipo y se define como la composición de:
- Variación 1: es igual a la variación entre los indicadores ICECTR, para el Rango de Días al Vencimiento Extremo o Emisión Extremo, calculados en F1 y en la primera fecha posterior a F1 (incluyendo a F1 y a F2) para la que se haya podido calcular un IMC; o es igual a 0 si no existe una fecha entre F1 y F2 para la que se haya podido calcular un IMC.
- Variación 2: es igual a la variación entre los indicadores ICECTR, para el Rango de Días al Vencimiento Extremo o Emisión Extremo, calculados en la última fecha posterior a F1 para la cual se haya podido calcular un IMC (incluyendo a F1 y a F2) y en F2; o es igual a la variación entre los indicadores ICECTR calculados en F1 y en F2 si no existe una fecha entre F1 y F2 para la que se haya podido calcular un IMC.
- Variación 3: es igual a la variación entre los indicadores IMC, para la agrupación, calculados en la primera y en la última fecha posteriores a F1 (incluyendo a F1 y a F2) para las cuales se hayan podido calcular un IMC; o es igual a 0 si no existe una fecha entre F1 y F2 para la que se haya podido calcular un IMC.
Esto es:
![]()
La variación para evaluación del Rango de Días al Vencimiento Extremo o de la Emisión Extremo es igual a la variación total entre la Fecha de Última Actualización o Ajuste y la Fecha de Valoración, VTFA,FV donde FV es la Fecha de Valoración y FA es la Fecha de Última Actualización o Ajuste del Rango de Días al Vencimiento Extremo o Emisión Extremo.
8 Evaluación de la actualización de márgenes de la agrupación
Para cada Rango de Días al Vencimiento Extremo o Emisión Extremo en la agrupación, se realiza la evaluación de actualización de márgenes de la agrupación.
La variación para evaluación obtenida se compara frente a un parámetro establecido como el límite de decisión para la actualización de los márgenes de una agrupación. El criterio de decisión para definir la actualización se determina de la siguiente forma:
- Si el valor absoluto de la variación para evaluación es mayor que el límite para actualización, entonces se aplica la actualización para los márgenes de las categorías pertenecientes a la agrupación k.
- Si el valor absoluto de la variación para evaluación es menor o igual que el límite para actualización, las categorías de la agrupación k conservan su información actual y no se realiza ningún tipo de actualización en sus márgenes.
El parámetro definido como límite se denomina variación para actualización está relacionado con cada agrupación y se presenta en el anexo 1.
9 Aplicación de la Metodología de Actualización de Márgenes de la Agrupación
En cada agrupación en el anexo 1 se realiza el procedimiento de evaluación de la actualización.
Si para un Rango de Días al Vencimiento Extremo o Emisión Extremo se aplica la actualización, entonces los márgenes de las categorías o emisiones en la agrupación, excepto las categorías que tienen como rango de días al vencimiento al otro Rango de Días al Vencimiento Extremo o emisiones diferentes a la otra Emisión Extremo, son determinados por:
9.1 Conservación de márgenes recientes
Aquellos márgenes de las categorías o emisiones de la agrupación que hayan sido calculados en la fecha de valoración y los históricos vigentes que hayan sido calculados dentro de un periodo de días recientes conservarán su valor y su vigencia. Dentro de la metodología, el número de días que conforman dicho periodo se establece como parámetr relacionado con cada agrupación y se presenta en el anexo 1.
9.2 Actualización de márgenes
Aquellos márgenes vigentes que no hayan sido conservados y que correspondan a categorías con el Rango de Días a Vencimiento Extremo o a la Emisión Extremo de una agrupación serán actualizados. El valor del margen actualizado se obtiene al componer el último margen calculado, actualizado o ajustado en la categoría con la variación total, corregida por calificación, entre la fecha de valoración y la última fecha de cálculo, actualización ó ajuste, respectivamente. Dentro de la metodología, el factor de corrección por grupo de calificación y el grupo de calificación base se establecen como parámetro relacionados con cada agrupación y se presentan en el anexo 1.

Donde
Donde
á: Factor de corrección por calificación en la actualización.
i: Diferencia entre el número de grupo de calificación base para corrección y el número de grupo de calificación de la categoría C en la agrupación, siendo 1 el número del grupo de calificación 100 y 12 el del grupo de calificación 10.
FV: Fecha de Valoración.
FC: Fecha de margen calculado más recientemente en la categoría o emisión.
MFC: Margen calculado para la categoría o emisión en la fecha FC.
VTFC,FV: Variación Total entre la fecha FC y FV.
FA: Fecha Última Actualización o Ajuste en el Rango de Días al Vencimiento Extremo o Emisión Extremo.
MFA: Margen Actualizado o Ajustado para la categoría o emisión en la fecha de Última Actualización o Ajuste.
VTFA,FV: Variación Total entre la fecha FA y FV.
9.2.1 Procedimiento cuando hay un nuevo Rango de Días al Vencimiento Extremo o Emisión Extremo en la Agrupación
Para realizar el procedimiento de Evaluación y de Actualización, una emisión Extremo o un Rango de días al vencimiento Extremo siempre debe tener una fecha de Última Actualización o Ajuste sobre la cual se determine la variación.
Si un título se convierte en emisión extremo o si un Rango de Días al Vencimiento se convierte en Rango de Días al Vencimiento Extremo en la agrupación, entonces la fecha de Última Actualización se define como la fecha de valoración y el valor y la condición del margen estarán determinados por:
-- Si en la fecha de valoración, la emisión o categoría tiene un margen promedio calculado se conservará su valor, su condición de calculado.
-- Si en la fecha de valoración, la emisión o categoría no tiene un margen promedio calculado, entonces toma el valor del margen de la emisión o categoría con las mismas condiciones de clase, tipo de moneda, tipo de tasa y calificación con plazo o rango de días al vencimiento más cercano (inclusive la emisión o el rango de días al vencimiento que se convierte en extremo) que tenga el día hábil anterior un margen promedio, histórico vigente o interpolado. Su condición en la fecha de valoración es Actualizado.
Si la evaluación en esta fecha no indica actualización de márgenes de la agrupación, entonces no se realizan los procesos de finalización de vigencias ni de conservación de márgenes recientes descritos en los numerales y.
9.3 Finalización de vigencias
Aquellos márgenes históricos vigentes en categorías o emisiones de la agrupación que no sean extremos y que hayan sido calculados antes del periodo descrito en el punto 9.1. perderán su condición de vigencia.
10 Aplicación de la Metodología de Ajuste de Márgenes de la Agrupación
En la fecha de valoración y para las agrupaciones que se indique la Aplicación del Ajuste de Márgenes, de acuerdo con los parámetros presentados para cada agrupación en el Anexo 1, se realizará el siguiente procedimiento.
10.1 Conservación de márgenes recientes
Aquellos márgenes de las categorías o emisiones de la agrupación que hayan sido calculados en la fecha de valoración y los históricos vigentes que hayan sido calculados dentro de un periodo de días recientes conservarán su valor y su vigencia. Dentro de la metodología, el número de días que conforman dicho periodo se establece como parámetr relacionado con cada agrupación y se presenta en el anexo 1.
10.2 Ajuste de márgenes
10.2.1 Ajuste de márgenes a Curva Cero Cupón
Aquellos márgenes vigentes que no hayan sido conservados y que correspondan a los Rangos de Días al vencimiento Extremo o Emisiones Extremo de una agrupación serán ajustados.
En caso de que la tasa de referencia de la agrupación para la cual desea calcular el indicador sea la curva cero cupón en pesos o UVR, el valor del margen ajustado para la categoría o emisión, se obtiene de la siguiente fórmula:

Donde
â: Factor de corrección por calificación en el ajuste de márgenes.
i: diferencia entre el número de grupo de calificación base para corrección y el número de grupo de calificación de la categoría C en la agrupación, siendo 1 el número del grupo de calificación 100 y 12 el del grupo de calificación 10.
RT: Tasa de rentabilidad para el plazo representativo T del rango de días o para los días al vencimiento T de la emisión como es definido en 6.2.2.
T: Días al vencimiento representativo del rango de días al vencimiento o emisión días de vida media por emisión en la fecha de valoración.
N: Número de flujos que corresponde a T días al vencimiento o días de vida media según la periodicidad. Si la periodicidad indica pagos periódicos N=T·P/365, si indica un pago al vencimiento N=1. N debe ser un entero.
P: Periodicidad del título teórico.
ti: Días al pago del i-ésimo flujo. Los días al pago de flujos se determinan de acuerdo con la periodicidad. Si la periodicidad indica pagos periódicos ti=i·365/P para i= 1, 2,..., N, si indica un pago al vencimiento t1=T.
CECPR(ti): es el valor de la curva cero cupón promedio, evaluada en ti días.
Si la tasa de referencia de la agrupación para la cual desea calcular el indicador es una tasa variable, el valor del margen ajustado para la categoría o emisión, es igual a la Tasa de rentabilidad para el Rango de días al Vencimiento, días de vida media o días al vencimiento de la emisión calculados en la fecha de ajuste corregida por calificación descontado la tasa de referencia. Dentro de la metodología, el factor de corrección por grupo de calificación y el grupo de calificación base se establecen como parámetro relacionados con cada agrupación y se presentan en el anexo 1.

Donde
â: Factor de corrección por calificación en el ajuste de márgenes.
i: Diferencia entre el número de grupo de calificación base para corrección y el número de grupo de calificación de la categoría C en la agrupación, siendo 1 el número del grupo de calificación 100 y 12 el del grupo de calificación 10.
TR: Tasa de referencia efectiva anual, para el plazo representativo del rango de días al vencimiento, días de vida media o días al vencimiento de la emisión determinado, definido en 6.2.3.
RT: Tasa de rentabilidad para el plazo representativo T del rango de días, días de vida media o para los días al vencimiento T de la emisión como es definido en 6.2.2.
10.2.2 Ajuste de márgenes para Títulos con condición de prepago
Para determinar el valor del ajuste se tomará como referencia los márgenes de las emisiones mas corta y mas larga según vida media, de la serie más representativa, entendiéndose ésta como aquella con mayor monto en circulación y que en la fecha del ajuste presenta márgenes de valoración calculados o históricos vigentes..
En caso de existir emisiones con vida media inferiores y/o superiores a la vida media de la emisión más corta y más larga de la serie de referencia, sus márgenes serán ajustados al valor del margen de dicha serie.
10.3 Finalización de vigencias
Aquellos márgenes históricos vigentes en categorías o emisiones de la agrupación que no sean extremos y que hayan sido calculados antes del periodo descrito en el punto 10.1. perderán su condición de vigencia en la fecha de valoración.
11 Aplicación del Procedimiento para estimar el margen, en ausencia de precio promedio: Margen Histórico, Interpolado y Vigencia
Para las agrupaciones sobre las cuales se aplica la metodología de actualización de márgenes o la metodología de ajuste de márgenes se aplica completamente la metodología contenida en los documentos “Sistema Proveedor de Información para Valoración de Inversiones - Capítulo I - Información para valoración de TES clase B” y “Sistema Proveedor de Información para Valoración de Inversiones - Capítulo II - Información para valoración de títulos diferentes de TES clase B”, excepto por las siguientes consideraciones sobre la aplicación del numeral 8-Procedimiento para estimar el margen, en ausencia de precio promedio:
1. El día de valoración los márgenes promedio se calculan como se indica en el numeral 8.3. La evaluación de la actualización de márgenes de la agrupación se realiza luego de obtener los márgenes promedio calculados de las categorías de la agrupación.
2. Si la evaluación lo determina, se aplica la metodología de actualización de márgenes de la agrupación. Si para la agrupación se indica la aplicación de la metodología de ajuste, se aplica la metodología de ajuste de márgenes de la agrupación.
3. En la definición de Margen Histórico, Interpolado y Vigencia en el numeral 8.4, las condiciones que se establecen sobre un Margen Promedio Calculado se aplican a un Margen Promedio Calculado o Margen Actualizado o Margen Ajustado.
El margen histórico es el último margen promedio calculado o Margen Actualizado o Margen Ajustado en una fecha anterior que se mantiene vigente por encontrarse dentro del plazo estipulado para la vigencia y no haberse dado de nuevo las condiciones para el cálculo de margen promedio. En caso que fuere posible obtener margen promedio calculado o Margen Actualizado o Margen Ajustado para la categoría, el margen histórico será reemplazado definitivamente por éste.
Si una categoría o emisión sin margen está ubicado entre dos grupos de días a vencimiento o emisiones con márgenes calculados o Margen Actualizado o Margen Ajustado o histórico vigente se calcula el margen interpolado.
4. Un margen será histórico vigente como se indica en el numeral 8.4, excepto si la aplicación de la metodología actualización o la aplicación de la metodología de ajuste determina la finalización de su vigencia.
TABLA DE AGRUPACIONES A LAS QUE APLICA LA METODOLOGÍA DE ACTUALIZACIÓN DE MÁRGENES DE VALORACIÓN.
PARÁMETROS DE CONSTRUCCIÓN DE INDICADORES

TABLA DE AGRUPACIONES A LAS QUE APLICA LA METODOLOGÍA DE ACTUALIZACIÓN DE MÁRGENES DE VALORACIÓN
PARÁMETROS DE CONSTRUCCIÓN DE INDICADORES

PARÁMETROS DE APLICACIÓN DE AJUSTE Y ACTUALIZACIÓN
PARÁMETROS DE APLICACIÓN DE AJUSTE Y ACTUALIZACIÓN

TABLA DE PLAZOS REPRESENTATIVOS PARA CADA RANGO DE DÍAS AL VENCIMIENTO.
| CÓDIGO DE RANGO | RANGO DE DÍAS AL VENCIMIENTO | Plazo de Días al vencimiento |
| 15 | de 0 a 30 días | 15 |
| 16 | de 31 a 61 días | 46 |
| 17 | de 62 a 92 días | 77 |
| 18 | de 93 a 181 días | 137 |
19 | de 182 a 273 días | 227.5 |
| 20 | de 274 a 365 días | 319.5 |
| 21 | de 366 a 548 días | 456.25 |
| 22 | de 549 a 730 días | 638.75 |
| 4 | de 731 a 1095 días | 912.5 |
| 5 | de 1096 a 1460 días | 1277.5 |
| 6 | de 1461 a 1825 días | 1642.5 |
| 7 | de 1826 a 2190 días | 2007.5 |
| 8 | de 2191 a 2555 días | 2372.5 |
| 9 | de 2556 a 2920 días | 2737.5 |
| 10 | de 2921a 3285 días | 3102.5 |
| 11 | de 3286 a 3650 días | 3467.5 |
| 12 | de 3651 a 4015 días | 3832.5 |
| 13 | de 4016 a 4380 días | 4197.5 |
| 23 | de 4381 a 5110 días | 4745 |
| 24 | de 5111 a 5840 días | 5475 |
| 25 | de 5841 a 6570 días | 6205 |
| 26 | de 6571 a 7300 días | 6935 |
| 27 | de 7301 a más | 7665 |
CLASES EXCLUIDAS DE LA METODOLOGÍA DE AJUSTE Y ACTUALIZACIÓN.
Método de Estimación de la Curva Cero Cupón para Títulos TES tasa fija en pesos (CEC en pesos) y la Curva Cero Cupón para Títulos TES en UVR (CEC en UVR)
1. Objetivo
En este documento se presenta el método de estimación de las curvas cero cupón para títulos TES en pesos y UVR calculadas por la Bolsa de Valores de Colombia S.A.
En el trabajo de determinación de una adecuada metodología de estimación de la curva cero cupón para los títulos TES, participaron diferentes investigadores del Banco de la República, la Superintendencia de Valores, la Superintendencia Bancaria, Crédito Publico y la Bolsa de Valores de Colombia S.A.
La metodología propuesta para la estimación de las curvas es la desarrollada por Nelson y Siegel (1987). Esta metodología presenta numerosas e importantes ventajas sobre otras metodologías evaluadas, como son:
- Mínima discrecionalidad en su estimación
- Buen ajuste
- Reducida fluctuación
- Parsimonia
- Bajos requerimientos de información
- Estimación de tasas para el corto y el largo plazo, incluso fuera de la muestra.
El objetivo de este documento es presentar la metodología definitiva de cálculo para las curvas que servirán como tasas de referencia para los títulos emitidos a tasa fija en pesos y en UVR que trata el literal ii) del numeral 6.1.1 de la Circular 033 de 2002 de la Superintendencia Bancaria y el literal ii) del literal b, del artículo 1.7.3.2.1 de la Resolución 550 de 2002 de la Superintendencia de Valores.
2. Operaciones a utilizar en el procedimiento de estimación de la curva cero cupón
2.1 Se incluyen las operaciones con TES B tasa fija en pesos, para CEC pesos y TES B tasa fija en UVR, para CEC UVR.
2.2 Se incluyen las operaciones negociadas en el mercado secundario en Sistemas Centralizados de Negociación de TES reconocidos por el Ministerio de Hacienda y Crédito Público para efectos de la calificación de la actividad de los participantes en el Programa de Creadores de Mercado en el mercado secundario de TES Clase B como son: el Mercado Electrónico Colombiano - MEC de la BVC y el Sistema Electrónico de Negociación – SEN del Banco de la República y las operaciones de mercado secundario realizadas a través de intermediarios de valores, de conformidad con lo dispuesto en el Título Quinto, Capítulo Primero a Cuarto de la Parte Primera de la Resolución 400 de 1995 de la Superintendencia de Valores y registradas en sistemas centralizados de información para transacciones de que trata el Título Segundo de la Parte Cuarta de la Resolución 400 de 1995 de la Superintendencia de Valores, que hayan sido realizadas por Corredores Especializados en TES clase B (CVETES). También incluye las operaciones de subasta primaria de títulos TES de Crédito Publico.
2.3 Las operaciones consideradas serán las registradas como ventas definitivas de contado (spot). No se incluirán operaciones que hagan parte de una operación de ingeniería financiera (operaciones a plazo, ventas con pacto de recompra-repo, swap, carruseles, simultáneas, préstamos de valores).
2.4 Solo se incluirán las operaciones que tengan un plazo para cumplimiento en días hábiles menor o igual a dos (Se incluirán las operaciones del mercado secundario con plazo de cumplimiento t+0 y las subastas primarias de TES se incluyen el día de la subasta con plazo de cumplimiento hasta t+2).
Las operaciones sobre títulos que presenten pago de cupón entre el día de la celebración y el día de su cumplimiento se excluirán para todos los efectos.
2.5 Sólo se incluyen operaciones negociadas con títulos TES completos, se excluyen las negociaciones con cupones y principales.
3. Información proveniente de los diferentes sistemas de negociación de TES necesaria para el cálculo de la curva cero cupón
Para efectos del cálculo de la curva cero cupón, son necesarias las siguientes variables de los diferentes sistemas de negociación de TES.
3.1 Tasa de Descuento (TD o y ) - Rentabilidad o yield: Es la rentabilidad efectiva anual a la que se realizó el negocio y que se utilizó para el descuento de todos los flujos calculados con las condiciones nominales del título. La rentabilidad no debe incluir ningún tipo de comisión o cargo. Base 365 días, sin corrimiento de días en caso de caer el flujo en día no hábil y sin considerar el día 29 de febrero de los años bisiestos.
3.2 Cantidad (Q): Esta corresponde al valor facial (nominal) del título, en la respectiva unidad del título.
3.3 Volumen (V): Valor de giro de la operación en pesos.
3.4 Tasa Cupón (C): Valor del cupón del título.
3.5 Tipo de Título: Titulo Completo, Principal o Cupón.
3.6 Fecha de la operación: Fecha de realización de la operación.
3.7 Fecha de emisión del título de la operación: Fecha en la que se emitió el título.
3.8 Fecha de vencimiento del título de la operación: Fecha en la que se paga el último flujo de capital e intereses.
3.9 Moneda: Es la denominación en la cual se expresa la cantidad nominal del título, esta puede ser: en pesos, o en unidad de valor real UVR.
3.10 Días plazo al vencimiento de la operación: Diferencia entre la fecha de vencimiento del título y la fecha de cumplimiento de la operación considerando un calendario corriente de 365 días, sin corrimiento de días en caso de caer el flujo en día no hábil y sin considerar el día 29 de febrero de los años bisiestos.
3.11 Días plazo al vencimiento del título de la operación: Corresponderá a los días hábiles entre la fecha en que se efectúa la operación y la fecha de vencimiento del título considerando un calendario corriente de 365 días, sin corrimiento de días en caso de caer el flujo en día no hábil y sin considerar el día 29 de Febrero de los años bisiestos.
3.12 Días de cumplimiento de la operación: Corresponderá a los días hábiles contados entre la fecha en que se efectúa la operación y la fecha de cumplimiento de la operación considerando un calendario corriente de 365 días, sin corrimiento de días en caso de caer el flujo en día no hábil y sin considerar el día 29 de Febrero de los años bisiestos.
3.13 Anclaje: Punto de la curva cero cupón obtenido mediante información de operaciones de n días anteriores a la fecha de calculo de la curva.
3.14 Días de Conservación de un anclaje: Máximo de días de permanencia de un anclaje en ausencia de operaciones en el día de estimación de la curva.
3.15 Punto Sintético: Punto muestral para la estimación de la curva CEC UVR calculado mediante información de la curva CEC PESOS y la inflación anualizada, teniendo en cuenta el procedimiento y los plazos establecidos en el anexo 2.
3.16 Inflación Anualizada: Corresponde a la variación neta del Índice de Precios al Consumidor (IPC) certificado por el Departamento Administrativo Nacional de Estadística, DANE, para los últimos doce meses, expresado como una tasa de interés efectiva anual.
La inflación que se utilizará para el cálculo del punto sintético será la conocida para el día del cálculo. En el caso que eventualmente el Gobierno elimine el IPC, éste será reemplazado por el indicador que el Gobierno establezca para el mismo propósito.
4. Conformación de la Muestra
4.1 Depuración de la Muestra
Sólo se incluirán las operaciones del día e históricas que hayan superado los filtros de monto, tasa y mediana descritos en Metodología de Valoración, capitulo I “Información para valoración de TES clase B”.
Gráfica 1 - Diagrama de Flujo del Proceso de Filtros

4.2 Información Necesaria para el Cálculo
De negociarse seis emisiones diferentes en el día de valoración para TES en pesos y TES en UVR, respectivamente, la curva se calculará con los datos del día. Sin embargo, para dar mayor representatividad a la muestra, esta podrá incluir datos registrados en 180 días corridos calendario anteriores al día de cálculo. Los datos que se incluirán serán sólo los de las emisiones que completen las seis mínimas.
Para los casos en que no se cuente con emisiones suficientes que garanticen la obtención de información en plazos específicos de la curva CECUVR, se procederá a obtener información mediante la metodología estipulada en el Anexo 2.
Así mismo, para garantizar el buen ajuste de la estimación, dentro del mínimo de emisiones siempre se debe contar con información de los plazos considerados anclajes.
Los parámetros de los anclajes se definen en el Anexo 1
5. Procedimiento de cálculo
Este método fue desarrollado por Nelson y Siegel (1987) con la intención de minimizar el número de parámetros que se desea estimar suponiendo que la tasa forward instantánea es la solución a una ecuación diferencial de segundo orden con raíces iguales y repetidas. De esta forma, la tasa forward instantánea con maduración en t tiene la siguiente expresión:
![]()
Donde
son los parámetros para estimar en el modelo.
Dependiendo del valor de los parámetros, la ecuación anterior puede tomar las diferentes formas que más comúnmente toma la estructura de tasas. Entre las formas que pueden tomar las curvas se encuentran curvas monótonas crecientes, en formas de S o en forma de U invertida. Integrando la ecuación que relaciona la tasa spot y la tasa forward que se presentó anteriormente se obtiene la siguiente expresión para la tasa spot (s(t)):

Este método se lleva a cabo minimizando la suma de los errores cuadráticos entre los precios observados y estimados de los precios de la siguiente forma:
![]()
El proceso de estimación se lleva a cabo empleando un método de máxima verosimilitud.
La tasa spot estimada es una tasa continua que se tiene que convertir a una tasa compuesta anual de forma discreta:
![]()
Para el cálculo de las dos curvas se utilizará el programa Gauss y el módulo de máxima verosimilitud.
5.1 Cálculo de la rentabilidad promedio
Se ordenan los datos por las fechas de vencimiento de la operación y para cada fecha de vencimiento diferente y para cada valor de cupón diferente se obtiene el promedio ponderado del yield por la cantidad negociada.

Dónde:
TD: Tasa de Descuento de la operación j.
Q: Cantidad o Valor Facial de la operación j.
y: Yield observada para cada fecha de vencimiento y para cada valor de cupón diferente.
Con los días vencimiento se calculan los tiempos anualizados que resultan de aplicar la siguiente formula:
![]()
Donde:
TAi = Maduración anualizada de la agrupación i
De esta forma, hasta el momento, después de filtros y de calcular la rentabilidad promedio se tendría la siguiente información:

6. Procedimiento en caso de estimación de tasas negativas en el corto plazo
6.1 Se estimará el modelo sin ningún tipo de restricción y se almacenará el coeficiente Bo estimado.
6.2 Incorporar la restricción de que Bo sea la calculada con el modelo sin restricciones, e incluir en la muestra como una tasa más para el plazo de días a vencimiento de un día, el promedio aritmético de las tasas de expansión y contracción del Banco de la República.
6.3 Si el modelo continúa estimando tasas negativas se aplica el procedimiento descrito en 7.1 y se agrega la siguiente restricción:
Bo+B1 = 0
En el caso en que se presente el problema de tasas negativas estimadas en corto plazo para la curva de UVR solo se aplicara el procedimiento descrito en los numerales 7.1 y 7.3.
7. Resultados de la función
7.1 Los cuatro parámetros de la función.
7.2 Los Precios Estimados de los bonos de la muestra.
7.3 Los Precios Observados de los bonos de la muestra.
7.4 Las Rentabilidades Estimadas de los bonos de la muestra.
7.5 Las Rentabilidades Observadas de los bonos de la muestra
8. Estadísticos que se calcularán y publicarán con las curvas estimadas cero cupón
8.1 Estadístico de Ajuste
Este es uno de los criterios más importantes ya que mide que tan bien el modelo y su procedimiento de estimación asociado describen los datos de la muestra. La medida de ajuste que se calculara será la raíz cuadrada del promedio de los errores al cuadrado (RMSE)
Esta medida se puede interpretar como la desviación estándar de los errores.

Este estadístico se calculara para los errores de los precios y para los errores de las rentabilidades.
8.2 Indicador de Fluctuación
Una característica importante de la curva estimada es que sea estable y que no posea mucha fluctuación, o que presente movimientos bruscos. Una medida conveniente para la fluctuación esta dada por el siguiente indicador:

Donde r(t) representa la función estimada de la curva spot.
Este funcional mide la magnitud de los cambios de pendiente de la curva spot a lo largo de todo el intervalo de estimación de la curva. Además, la cantidad de fluctuación se pondera por el tiempo de maduración y de esta forma se permite mayor flexibilidad en el corto plazo.
PARÁMETROS DE LOS ANCLAJES.

(1) Emisiones de títulos TES Clase B totales, moneda pesos, tasa Fija Simple. Los días al vencimiento se calcularán en base 365.
(2) Emisiones de títulos TES Clase B totales, moneda UVR, tasa Fija Simple. Los días al vencimiento se calcularán en base 365.
PUNTO SINTÉTICO.
Para la obtención de información en plazos específicos en donde no se cuente con referencias de de mercado en la curva CECUVR, se procederá a obtener información mediante el cálculo de puntos sintéticos. Dichos puntos se obtendrán aplicando la siguiente formula:

: Punto estimado para los días al vencimiento t (según parámetro tabla de plazos Anexo 3) de la Curva Cero Cupón en Pesos (CEC).
: Índice de Precios al Consumidor certificado por el Departamento Administrativo Nacional de Estadística, DANE, para los últimos doce meses, expresado como una tasa de interés efectiva anual.
: Tasa sintética estimada para los días al vencimiento t en la curva parametrizada en la siguiente tabla.
TABLA DE PARÁMETROS PARA EL CÁLCULO DE PUNTOS SINTÉTICOS.
![]()
ARTÍCULO TERCERO. VIGENCIA. La presente Resolución rige a partir de su publicación y deroga todas las disposiciones que le sean contrarias en especial la Resolución 2068 de 2007.
PUBLÍQUESE Y CÚMPLASE
Dada en Bogotá, D.C. a los 21 días del me de enero de 2008
EL SUPERINTENDENTE FINANCIERO,
CÉSAR PRADO VILLEGAS