Buscar search
Índice developer_guide

RESOLUCIÓN 1892 DE 2017
(diciembre 28)

<Fuente: Archivo interno entidad emisora>

<Esta norma no incluye análisis de vigencia>

SUPERINTENDENCIA FINANCIERA DE COLOMBIA

Por medio de la cual se certifican los porcentajes de cobertura de riesgo de tasa de interés y de tasa de cambio, para efectos de la proyección de los intereses y del saldo de la deuda de los entes territoriales.

EL DIRECTOR DE INVESTIGACIÓN Y DESARROLLO DE LA SUPERINTENDENCIA FINANCIERA DE COLOMBIA

En ejercicio de la facultad establecida en el numeral 8 del artículo 11.2.1.4.3 del Decreto 2555 de 2010, en concordancia con lo establecido en el parágrafo del artículo 14 de la ley 819 de 2003, y

CONSIDERANDO:

PRIMERO.- Que el artículo 14 de la Ley 819 de 2003 establece: "La capacidad de pago de las entidades territoriales se analizará para todo el período de vigencia del crédito que se contrate y si al hacerlo, cualquiera de los dos indicadores consagrados en el artículo 6o de la Ley 358 de 1997 se ubica por encima de los limites allí previstos, la entidad territorial seguirá los procedimientos establecidos en la citada ley”.

SEGUNDO.- Que el parágrafo del artículo 14 de la Ley 819 de 2003 dispone que “(...) la proyección de los intereses y el saldo de la deuda tendrán en cuenta los porcentajes de cobertura de riesgo de tasa de interés y de tasa de cambio que serán definidos trimestralmente por la Superintendencia Bancada”.

TERCERO.- Que el artículo 6o de la Ley 358 de 1997 establece que: “Ninguna entidad territorial podrá, sin autorización del Ministerio de Hacienda y Crédito Público, contratar nuevas operaciones de crédito público cuando su relación intereses/ahorro operacional supere el 40% o su relación saldo de la deuda/ingresos corrientes supere el 80%. Para estos efectos, las obligaciones contingentes provenientes de las operaciones de crédito público se computarán por un porcentaje de su valor, de conformidad con los procedimientos establecidos en las leyes y en los reglamentos vigentes”.

CUARTON Que en cumplimiento de la normatividad citada corresponde a la Superintendencia Financiera de Colombia certificar los mencionados porcentajes de cobertura de riesgo de tasa de interés y de tasa de cambio trimestralmente.

QUINTO.- Que de acuerdo con el numeral 8 del artículo 11.2.1.4.3 del Decreto 2555 de 2010 de 2005 corresponde a la Dirección de Investigación y Desarrollo el “Expedir las certificaciones de índole financiero o económico que deba expedir la Superintendencia Financiera de Colombia".

En mérito de lo anterior,

RESUELVE:

ARTÍCULO PRIMERO. COBERTURA DE RIESGO DE TASA DE CAMBIO. Para efectos de las proyecciones del saldo de deuda y del pago de intereses a que hace referencia el parágrafo del artículo 14 de la ley 819 de 2003, se utilizará una tasa de cambio estresada, la cual incluye cobertura de riesgo, estimada de la siguiente forma:

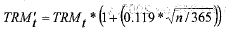
a. Para el cálculo del saldo de la deuda al 31 de diciembre de 2018, la tasa de cambio estresada corresponde a:

Donde TRMt corresponde a la tasa de cambio vigente en la fecha de cálculo y n corresponde al número de días corrientes entre la fecha de cálculo y el 31 de diciembre de 2018.

b. Para el cálculo del saldo de la deuda para vigencias posteriores, la tasa estresada corresponde a:

Donde TRMj corresponde a la tasa de cambio proyectada para el fin del periodo j. Las proyecciones que se deberán utilizar son aquellas estipuladas en el último Marco Fiscal de Mediano Plazo (MFMP) disponible, realizado por el Ministerio de Hacienda y Crédito Público de conformidad con lo establecido en el artículo 1o de la Ley 819 de 2003.

Para realizar las proyecciones de periodos posteriores a los cubiertos por el mencionado MFMP, el escenario base a utilizar (TRM) corresponderá a la tasa de cambio del último año proyectado, ajustada por la última devaluación nominal disponible en los supuestos del Programa Macroeconómico Plurianual del respectivo MFMP, de la siguiente manera:

Donde TRMk corresponde a la tasa de cambio del último año proyectado en el MFMP (año k), siendo / un periodo no cubierto por el MFMP respectivo.

PARÁGRAFO: Para monedas distintas al dólar de los.. Estados Unidos de Norteamérica, se deben convertir previamente las exposiciones a dicha moneda con base en las tasas de conversión de divisas publicadas para el día del cálculo en la página de internet del Banco Central Europeo (BCE).

ARTÍCULO SEGUNDO. COBERTURA DE RIESGO DE TASA DE INTERÉS EXTRANJERA. Para efectos de la proyección del pago de intereses a que hace referencia el parágrafo del artículo 14 de la ley 819 de 2003, se utilizará una tasa de interés de referencia estresada que se define como.

Donde corresponde a la tasa de interés de referencia proyectada para el periodo j. Las proyecciones utilizadas serán aquellas estipuladas en el último MFMP disponible, realizado por el Ministerio de Hacienda y Crédito Público de conformidad con lo establecido en el artículo 1o de la Ley 819 de 2003.

Para realizar las proyecciones de periodos posteriores a los cubiertos por el mencionado MFMP, el escenario base a utilizar (n) corresponderá a la tasa de interés del último año proyectado.

ARTÍCULO TERCERO. COBERTURA DE RIESGO DE TASA DE INTERÉS INTERNA. Para efectos de la proyección del pago de intereses a que hace referencia el parágrafo del artículo 14 de la ley 819 de 2003, se utilizará una tasa de interés de referencia estresada que se define como:

Donde rt corresponde a la tasa de interés de referencia vigente para el día de cálculo,

ARTÍCULO CUARTO. La presente resolución rige para el trimestre comprendido entre el 1 de enero y el 31 de marzo de 2018.

PUBLÍQUESE Y CÚMPLASE

Dada en Bogotá D.C., a los 28 días del mes de diciembre de 2017.

LA DIRECTORA DE INVESTIGACIÓN Y DESARROLLO

JULIANA LAGOS CAMARGO

×
Volver arriba