RESOLUCIÓN 2023150000000899-6 DE 2023
(febrero 10)
Diario Oficial No. 52.316 de 22 de febrero de 2023
SUPERINTENDENCIA NACIONAL DE SALUD
Por medio de la cual se modifica parcialmente la Resolución 002599 de 2016, modificada por las Resoluciones 011467 de 2018, 005949 de 2019, 2022130000000414-6, 2022320000001043-6 y 2022100000008592-6 de 2022.
EL SUPERINTENDENTE NACIONAL DE SALUD,
en ejercicio de sus atribuciones legales y reglamentarias, en especial las conferidas por el parágrafo 2 del artículo 233 de la Ley 100 de 1993, la Ley 715 de 2001, la Ley 1122 de 2007, el artículo 68 de la Ley 1753 de 2015, el Decreto Ley 663 de 1993 - Estatuto Orgánico del Sistema Financiero (EOSF), el numeral 4 del artículo 9.1.1.1.2 del Decreto 2555 de 2010, el numeral 11 artículo 7o del Decreto 1080 de 2021, el artículo 2.5.5.1.1 del Decreto 780 de 2016, el Decreto 1712 de 2022 y,
CONSIDERANDO:
Que, el parágrafo 2 del artículo 233 de la Ley 100 de 1993, concordante con el artículo 68 de la Ley 1753 de 2015, establece que el procedimiento administrativo de la Superintendencia Nacional de Salud para la adopción de la toma de posesión y las medidas especiales será el mismo que consagran las disposiciones legales para la Superintendencia Financiera que se encuentra contenido, principalmente, en el Decreto-Ley 663 de 1993 (Estatuto Orgánico del Sistema Financiero) y en el Decreto 2555 de 2010, en lo que resulte pertinente.
Que, de acuerdo con lo establecido en el numeral 5 del artículo 291 y artículos 295 y 296 del Decreto 663 de 1993 y la Resolución 002599 de 2016, así como del Decreto 1080 de 2021 corresponde al Superintendente Nacional de Salud, en el marco de las medidas preventivas y de toma de posesión e intervención forzosa administrativa (para liquidar o administrar), la designación de agentes especiales interventores, liquidadores y contralores.
Que, a través de la Resolución 002599 del 6 de septiembre de 2016, la Superintendencia Nacional de Salud adoptó las reglas relacionadas con la inscripción, designación, fijación de honorarios, posesión, funciones, obligaciones, seguimiento, sanciones, reemplazo y otros asuntos de los agentes interventores, liquidadores y contralores de las entidades objeto de medidas especiales de toma de posesión e intervención forzosa administrativa y las medidas especiales previstas en el artículo 68 de la Ley 1753 de 2015.
Que, los artículos 9o, 15, 42 y 45 de la citada resolución fueron modificados por las Resoluciones 011467 de 2018 y 005949 de 2019.
Que, mediante la Resolución 2022100000008592-6 del 14 de diciembre de 2022 la Superintendencia Nacional de Salud modificó los artículos 15, 21 y 42 de la Resolución 002599 de 2016, ajustando el procedimiento de escogencia y estableciendo una nueva metodología para el cálculo y fijación de los honorarios de los agentes interventores, liquidadores y contralores.
Que, de conformidad con las funciones atribuidas por el Decreto 1080 de 2021, corresponde a la Oficina de Liquidaciones, la Superintendencia Delegada para Entidades de Aseguramiento en Salud, la Superintendencia Delegada para Prestadores de Servicios de Salud y a la Superintendencia Delegada para Entidades Territoriales y Generadores, Recaudadores y Administradores de Recursos del Sistema General de Seguridad Social en Salud, conceptuar ante el Despacho del Superintendente Nacional de Salud, de acuerdo con su competencia y de manera previa a su designación, sobre el cumplimiento de requisitos de los liquidadores y contralores de las entidades en proceso de liquidación forzosa; interventores y contralores de las Entidades Promotoras de Salud, las entidades adaptadas y prestadores de servicios de salud, incluyendo en estas últimas a los promotores y emitir concepto en lo atinente a los agentes especiales de los monopolios rentísticos cedidos al sector salud y de las secretarías de salud o la entidad que haga sus veces; así como respecto de los honorarios que percibirán los mismos, de conformidad con la metodología definida por la Superintendencia Nacional de Salud y lo establecido en las disposiciones normativas que regulan la materia.
Que, de acuerdo con los numerales 7 y 11 del artículo 7o de la norma citada, el Superintendente Nacional de Salud tiene como funciones las relativas a “7. Ordenar la toma de posesión, los procesos de intervención forzosa administrativa para administrar o liquidar y otras medidas especiales a las entidades promotoras de salud, las entidades adaptadas, los prestadores de servicios de salud de cualquier naturaleza, y monopolios rentísticos cedidos al sector salud no asignados a otra Entidad, así como intervenir técnica y administrativamente a las secretarías departamentales, distritales y municipales de salud o las entidades que hagan sus veces” y “11. Fijar los honorarios que percibirán los interventores, liquidadores, contralores o promotores por la labor a desarrollar”.
Que, en atención a las funciones atribuidas por el mencionado decreto, es necesario realizar ajustes metodológicos al cálculo establecido en el artículo tercero de la Resolución 2022100000008592-6 del 14 de diciembre de 2022, modificatorio del artículo 42 de la Resolución 002599 de 2016, en lo relacionado con la remuneración de los agentes interventores, contralores y liquidadores de las Entidades Promotora de Salud y Entidades Adaptadas.
Que, deben corregirse por la presencia de errores aritméticos, los numerales 3 y 4 del artículo tercero de la Resolución 2022100000008592-6 del 14 de diciembre de 2022, modificatorio del artículo 42 de la Resolución 002599 de 2016, en concreto en las fórmulas aritméticas de las tablas “Cálculo de honorarios según la categoría y rango de la estandarización de los activos de la Institución Prestadora de Servicios de Salud”; además de los incisos primero y segundo del artículo 15 de la Resolución 002599 de 2016, modificado por el artículo primero de la Resolución 2022100000008592-6 del 14 de diciembre de 2022, y cambiar el orden de los parágrafos primero y segundo del mismo precepto.
Que, al respecto, el artículo 45 de la Ley 1437 de 2011 - Código de Procedimiento Administrativo y de lo Contencioso Administrativo aplicable al presente caso, frente a los errores aritméticos en los actos administrativos dispone:
“Artículo 45. Corrección de errores formales. En cualquier tiempo, de oficio o a petición de parte, se podrán corregir los errores simplemente formales contenidos en los actos administrativos, ya sean aritméticos, de digitación o de omisión de palabras.
En ningún caso la corrección dará lugar a cambios en el sentido material de la decisión, ni revivirá los términos legales para demandar el acto. Realizada la corrección, esta deberá ser notificada o comunicada a todos los interesados, según corresponda”.
Que, sobre la corrección formal del acto administrativo, la doctrina jurídica ha explicado:
“Se presenta cuando el acto es modificado por errores formales en su formación o transcripción, los cuales pueden ser de escritura, de expresión, numéricos, etc., y que no implica la extinción, ni modificación esencial del acto.
Es precisamente la situación prevista en el precitado artículo 45 del ahora CPACA, por lo tanto, procede hacerse sin limitaciones temporal, pues esa norma autoriza que la corrección se puede hacer en cualquier tiempo.
Es forma de modificación le corresponde hacerla a la autoridad que lo profirió, y se hará mediante un acto que se integra al que es objeto de la corrección, sin que reviva los términos para demandar este, ni sea necesario el consentimiento del o los interesados, pero si la notificación personal”(1)
Que, en el mismo orden, se tiene que la Corte Constitucional en sentencia T-033/02(2) ha esbozado respecto del error aritmético lo siguiente:
“El error aritmético se refiere a aquellas equivocaciones derivadas de una operación matemática que no altere los fundamentos, ni las pruebas que sirvieron de base para adoptar la decisión. De suerte que se limita su desarrollo o práctica a las modificaciones que no impliquen un cambio jurídico sustancial en la decisión adoptada, teniendo entonces dicha figura un uso restrictivo y limitado. Bajo esta consideración, el error aritmético no puede ser utilizado como herramienta jurídica válida para alterar el sentido y alcance de los actos administrativos, mediante una nueva evaluación probatoria, la aplicación de nuevos fundamentos jurídicos, o la inobservancia de los que sirvieron de sustento a la decisión. Incluso, en el caso de presentarse duda sobre la naturaleza jurídica del error, es decir, si este es o no aritmético, es deber de la Administración proceder en el sentido más garantista para el administrado, de tal manera que no se afecte la posición obtenida por este legítimamente”.
Que, en ese sentido, el máximo tribunal de lo Contencioso Administrativo ha expresado lo siguiente:
“En numerosas oportunidades esta Corporación ha establecido que la liquidación de corrección aritmética tiene como única finalidad corregir los errores resultantes de operaciones matemáticas y, en general, confusiones de orden numérico, que no alteran de fondo los datos básicos de la declaración. También se ha considerado que mediante el procedimiento de corrección aritmética no pueden debatirse aspectos de fondo, pues, el solo hecho de que la Administración tuviere que hacer planteamientos en relación con el origen y naturaleza de los valores declarados”(3).
Que, en igual sentido, el Consejo de Estado ha traído a colación sumaria respecto del entendido de rectificación de errores aritméticos, lo siguiente:
“Frente a lo que en otras legislaciones se conoce como la rectificación de errores materiales de hecho o aritméticos y que corresponde a lo que en nuestra normativa se conoce como errores aritméticos y de transcripción, la doctrina ha precisado lo siguiente:
“La pura rectificación material de errores de hecho o aritméticos no implica una revocación del acto en términos jurídicos. El acto material rectificado sigue teniendo el mismo contenido después de la rectificación, cuya finalidad es eliminar los errores de transcripción o de simple cuenta con el fin de evitar cualquier posible equívoco.
Este carácter estrictamente material y en absoluto jurídico de la rectificación justifica que para llevarla a cabo no requiera sujetarse a solemnidad ni límite temporal alguno. La rectificación de errores materiales puede hacerse en cualquier momento, tanto de oficio como a instancia del administrado (...).
La libertad de rectificación material plantea, sin embargo, ciertas dificultades en la medida en que la Administración puede intentar invocarla para, a través de ella, llegar a realizar verdaderas rectificaciones de concepto sin atenerse a los trámites rigurosos que establecen los artículo 102 y 103 de la propia LPC (se refiere a la revisión de oficio de actos nulos de pleno derecho y al recurso de lesividad), El problema radica, pues, en determinar las fronteras entre el error de hecho y el error de derecho, punto este en el que la doctrina (...) se muestra especialmente rigurosa para evitar el posible frau legis. Así, se niega el carácter de error de hecho siempre que su apreciación implica un juicio valorativo (...) o exige una operación de calificación jurídica (...) y, por supuesto, siempre que la rectificación represente realmente una alteración fundamental del sentido del acto (...)
Que se realizó por parte de la entidad control de legalidad posterior a la emisión del acto administrativo contenido en la Resolución 2022100000008592-6 del 14 de diciembre de 2022, modificatorio del artículo 42 de la Resolución 002599 de 2016, evidenciando la existencia de un error aritmético en las fórmulas correspondientes a la remuneración de los agentes interventores, contralores y liquidadores; en concreto, en las fórmulas aritméticas de las tablas “Cálculo de honorarios según la categoría y rango de la estandarización de los activos de la Institución Prestadora de Servicios de Salud” de los numerales 3 y 4 del artículo tercero de la Resolución 2022100000008592-6 del 14 de diciembre de 2022, modificatorio del artículo 42 de la Resolución 002599 de 2016.
Que, por lo expuesto, se procederá a corregir las tablas “Cálculo de honorarios según la categoría y rango de la estandarización de los activos de la Institución Prestadora de Servicios de Salud” de los numerales 3 y 4 del artículo tercero de la Resolución 2022100000008592-6 del 14 de diciembre de 2022, a efectos de presentar correctamente las fórmulas base para la liquidación de honorarios de los sujetos mencionados en el párrafo precedentes.
Que, en aras de efectivizar los principios de celeridad, eficacia y economía propios de la función y procedimientos administrativos, se modificarán los artículos 15 y 46 de la Resolución 002599 de 2016, a efectos de ajustar uno de los requisitos para tener en cuenta en la escogencia de los agentes interventores, liquidadores y contralores, así como el tiempo a partir del cual debe constituirse la póliza de seguros.
Que, en cumplimiento de lo establecido en las normas sobre transparencia activa relacionados con proyectos específicos de regulación establecidas en el artículo 8o, numeral 8, de la Ley 1437 de 2011, el artículo 5o del Decreto 270 de 2017 y el artículo 2o de la Resolución 009058 de 2019 de la Superintendencia Nacional de Salud, el presente acto administrativo fue publicado en la página web de la Superintendencia desde el 16 hasta el 23 de enero de 2023 y los comentarios recibidos del público y otras entidades públicas fueron debidamente analizados.
En mérito de lo expuesto, este despacho,
RESUELVE:
ARTÍCULO 1o. Modificar el artículo 15 de la Resolución 002599 de 2016, el cual quedará así:
“Artículo 15. Procedimiento de escogencia. La escogencia de los agentes interventores, liquidadores y contralores se hará exclusivamente por parte del Superintendente Nacional de Salud, para lo cual el Comité de Medidas Especiales deberá recomendar tres (3) candidatos, previa la verificación del cumplimiento de requisitos por parte de la Oficina de liquidaciones o la Delegada según corresponda. Para tal efecto, cada área responsable presentará la verificación y cumplimiento de requisitos de los tres (3) candidatos inscritos en la categoría aplicable a la entidad objeto de la medida preventiva o especial de las previstas en el artículo 68 de la Ley 1753 de 2015, en especial, los relacionados con:
a) El tipo de medida de que se trate y las características de esta;
b) El tipo de medida o procesos para los cuales se encuentre inscrito el agente interventor, liquidador o contralor;
c) La categoría a la cual pertenezca la entidad objeto de la medida;
d) La categoría en la cual se encuentre inscrito el agente interventor, liquidador o contralor;
e) El lugar en el cual se encuentre domiciliada la entidad objeto de la medida;
f) El lugar en el cual se encuentre domiciliado el agente interventor, liquidador o contralor;
g) El tipo de entidad de que se trate, dependiendo de sí es una Entidad Administradora de Planes de Beneficios; una Institución Prestadora de Servicios de Salud; una Entidad dedicada a la explotación u operación del monopolio de juegos de suerte y azar; o una Entidad Territorial de Salud;
h) La experiencia con la que cuente el agente interventor, liquidador o contralor en cada uno de los tipos de entidad mencionados en el literal anterior;
i) La formación profesional;
j) La formación académica en temas de insolvencia;
k) La experiencia profesional general en las áreas jurídica, económica, administrativa, contable y de ciencias de la salud;
I) La experiencia profesional específica en medidas de toma de posesión e intervención forzosa administrativa;
m) La experiencia docente en materias relacionadas con insolvencia;
n) El resultado de la evaluación de la gestión cumplida por el agente interventor, liquidador o contralor que ya hubiere actuado en ejecución de medidas.
En casos de grupos de entidades con vinculación económica, se buscará, en la medida de lo posible, que la misma persona actúe como agente interventor, liquidador o contralor, según sea el caso, de todas las entidades vinculadas.
Si no existiere agente interventor, liquidador o contralor en la categoría de la entidad que corresponda al momento de la escogencia, se escogerá entre las personas inscritas para las otras categorías, preferiblemente de mayor categoría.
PARÁGRAFO 1o. Lo anterior sin perjuicio del mecanismo excepcional para la selección del agente especial de conformidad con el cual, el Superintendente Nacional de Salud podrá designar a personas que no hagan parte de la lista vigente del Registro de Interventores, Liquidadores y Contralores (Rilco), y que cumplan con los requisitos establecidos en el numeral 4 del artículo 295 del Estatuto Orgánico del Sistema Financiero, aunado a los requisitos de idoneidad profesional a que hace referencia el artículo 5 del presente acto administrativo, excepto lo correspondiente al examen y el artículo 2.5.5.1.5 del Decreto 780 de 2016.
El mecanismo excepcional de designación se podrá ejercer mediante acto motivado, siempre y cuando se presente alguna de las siguientes condiciones:
1. Que exista una situación financiera o jurídica crítica de la entidad objeto de las medidas especiales de toma de posesión e intervención forzosa administrativa y las medidas especiales, según sea el caso.
2. Que la situación de la entidad objeto de las medidas especiales de toma de posesión e intervención forzosa administrativa y las medidas especiales, pueda tener un impacto económico y social, que ponga en grave peligro la protección de los servicios dirigidos a garantizar el goce efectivo del derecho a la salud.
Adicional a los requisitos anteriores, cuando sea procedente la designación de un liquidador o contralor, deberán acreditar las calidades laborales y profesionales establecidas para los cargos de Representante Legal y Revisor Fiscal en la respectiva institución según lo establecido en el artículo 2.5.5.1.5 del Decreto 780 de 2016 Único Reglamentario del Sector Salud y Protección Social.
PARÁGRAFO 2o. No se permitirá el desempeño simultáneo de un agente especial interventor o liquidador en más de una Entidad Promotora de Salud siguiendo lo ordenado en el artículo 2o del Decreto Ley 973 de 1994.
ARTÍCULO 2o. <Ver modificaciones a este artículo directamente en el artículo 42 de la Resolución 2599 de 2016> Corregir y modificar el artículo 42 de la Resolución 002599 de 2016, el cual quedará así:
“Artículo 42.- Remuneración de los agentes interventores, liquidadores y contralores. La evaluación, cálculo y fijación de honorarios de los agentes interventores, liquidadores y contralores designados por la Superintendencia Nacional de Salud en las entidades vigiladas objeto de medidas especiales, se regirá por el siguiente procedimiento:
1. Agente Interventor y Contralor de una entidad promotora de salud o entidades adaptadas. Los honorarios mensuales del agente interventor y contralor serán fijados por el Superintendente Nacional de Salud mediante acto administrativo, teniendo en cuenta la categoría de la entidad sometida a la medida especial que se trate.
El valor final de los honorarios del interventor corresponderá a un 90% del valor de los honorarios de referencia, más un incremento por complejidad de máximo el 10% calculado sobre el valor de los honorarios de referencia, teniendo en cuenta el número de departamentos y municipios donde presente operación.
Los honorarios de los contralores designados por parte de esta entidad equivaldrán al ochenta por ciento (80%) del monto de los honorarios de referencia.
Los honorarios de referencia se calculan con base en el indicador de afiliados definido por la siguiente fórmula:
![]()
Donde:
AfiliadosEPS, EAS = Afiliados de la EPS o EAS al mes inmediatamente anterior de la entrada en vigor de la medida definida.
Min(Afiliados) = Mínimo del número de afiliados de las EPS y EAS, al mes inmediatamente anterior de la entrada en vigor de la medida definida.
Max(Afiliados)=Máximo del número de afiliados de las EPS y EAS, al mes inmediatamente anterior de la entrada en vigor de la medida definida.
Cálculo de honorarios según la categoría de la Entidad Promotora de Salud y Entidades Adaptadas según el indicador de afiliados activos

Donde:
t= Año en el que se realiza el cálculo de los honorarios
Cálculo de porcentaje adicional de honorarios según el número de departamentos donde opera la Entidad Promotora de Salud o la Entidad Adaptada.

Cálculo de porcentaje adicional de honorarios según el número de municipios donde opera la Entidad Promotora de Salud o la Entidad Adaptada.

Cada seis (6) meses desde el inicio de la medida especial o intervención de las entidades que se encuentran en seguimiento por parte de la Dirección de Medidas Especiales para EPS y Entidades Adaptadas, se hará la actualización de honorarios fijados a los Agentes Interventores y Contralores, de acuerdo con el comportamiento dinámico de los afiliados, departamentos y municipios donde hace presencia la EPS, de conformidad con las condiciones señaladas en la presente resolución. En todo caso, cuando se traten de medidas adoptadas por términos iguales o inferiores a seis meses deberá efectuarse dicha actualización previo al vencimiento de estas.
2. Liquidadores de las entidades promotoras de salud y entidades adaptadas. Para la fijación de honorarios de los liquidadores designados por el Superintendente Nacional de Salud dentro de los procesos de intervención forzosa administrativa para liquidar, se establecerá un monto global, definido según la categoría y número de afiliados activos de la Entidad Promotora de Salud o Entidad Adaptada según sea el caso, de la siguiente manera:
Cálculo de honorarios según tamaño de la Entidad Promotora de Salud o Entidad Adaptada.

Donde:
t= Año en el que se realiza el cálculo de los honorarios
3. Agentes Especiales Interventor y Contralor de una Institución Prestadora de Servicios de Salud. Los honorarios de los agentes especiales interventor y contralor serán fijados por el Superintendente Nacional de Salud mediante acto administrativo, teniendo en cuenta la categoría de la entidad sometida a la medida preventiva o medida especial, según se trate.
El valor final de los honorarios corresponderá a un 100% del valor de los honorarios de referencia que están basados en el tamaño de la entidad, medido a través del indicador de tamaño, más un incremento por complejidad del 20%, calculado sobre el valor de los honorarios, si cumple al menos con alguno de los siguientes criterios:
A. El Prestador de Servicios de Salud (PSS) tenga más de una sede.
B. El Prestador de Servicios de Salud (PSS) tenga presencia en territorios de difícil acceso.
C. El Prestador de Servicios de Salud (PSS) esté presente en territorios con problemas de orden público.
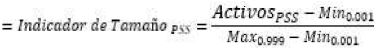
Los honorarios de referencia se calculan con base en el indicador de tamaño definido por la siguiente fórmula:
![]()
Donde:
Activo sin carteraPSS = Activos reportados por el PSS sin incluir las cuentas por cobrar a diciembre de la vigencia anterior.
Min0.001 = Promedio de los activos de los PSS sin incluir las cuentas por cobrar ubicados entre el 0% y 0.1 % de la distribución de dicha variable de todos los PSS con reporte a diciembre de la vigencia anterior.
Max0.999 = Promedio de los activos de los PSS sin incluir las cuentas por cobrar ubicados entre el 99,9% y 100% de la distribución de dicha variable de todos los PSS con reporte a diciembre de la vigencia anterior.
Cálculo de honorarios según la categoría y rango de la estandarización de los activos de la Institución Prestadora de Servicios de Salud.

Donde:
t= Año en el que se realiza el cálculo de los honorarios
4. Liquidadores de instituciones prestadoras de servicios de salud. Los honorarios de los liquidadores de Instituciones Prestadoras de Servicios de Salud serán fijados por el Superintendente Nacional de Salud mediante acto administrativo, teniendo en cuenta que:
a. Corresponderá a un valor global para todo el proceso de liquidación.
b. Se establecen topes máximos para cada categoría.
c. El valor final de los honorarios corresponderá a un 100% del valor de los honorarios de referencia.
Los honorarios de referencia se calculan con base en el indicador de tamaño definido por la siguiente fórmula:
![]()
Donde:
Activospss = Activos reportados por el PSS a diciembre de la vigencia anterior.
Min0.001 = Promedio de los activos de los PSS ubicados entre el 0% y 0.1 % de la distribución de activos de todos los PSS con reporte a diciembre de la vigencia anterior.
Maxo0.999 = Promedio de los activos de los PSS ubicados entre el 99,9% y 100% de la distribución de activos de todos los PSS con reporte a diciembre de la vigencia anterior.
Cálculo de honorarios según la categoría y rango de la estandarización de los activos de la Institución Prestadora de Servicios de Salud.

Donde:
t= Año en el que se realiza el cálculo de los honorarios
En los eventos en que la entidad objeto de la medida no haya reportado la información necesaria para realizar la evaluación, cálculo, y fijación de los honorarios definitivos, los agentes interventores, liquidador y contralores de las Instituciones Prestadoras de Servicio de Salud deberán presentar ante la Delegada para Prestadores de Servicios de Salud, dentro de los treinta (30) días siguientes a la fecha de su posesión, los estados financieros certificados por el contador o revisor fiscal o contralor, correspondientes a la vigencia anterior.
Dentro de los diez (10) días siguientes al recibo del reporte de los estados financieros a que hace alusión el inciso anterior, el Superintendente Nacional de Salud expedirá el acto administrativo complementario de fijación de honorarios definitivos de los agentes interventores, liquidadores y contralores de Instituciones Prestadoras de Servicios de Salud, conforme los criterios definidos en la presente resolución.
5. Periodicidad del pago. El monto de los honorarios fijados para agentes especiales interventores, liquidadores y contralores serán a cargo de las Instituciones Prestadoras de Servicios de Salud y de las Empresas Promotoras de Salud y Entidades Adaptadas, y estará comprendida dentro de los gastos de administración, de la siguiente manera:
5.1. Agentes Especiales Interventores y Contralores. Los honorarios serán fijados para los agentes especiales interventores y contralores al momento de su designación o en acto administrativo complementario, y su pago deberá hacerse de forma mensual.
5.2. Liquidadores. Los honorarios se fijarán al momento de su designación o en acto administrativo complementario, y su pago deberá hacerse en cinco (5) contados, así:
a) Un primer contado corresponderá al diez por ciento (10%) y será pagado una vez presentado y aprobado el cronograma del proceso de liquidación por la Delegada que corresponda.
b) Un segundo contado correspondiente al veinte por ciento (20%) y será pagado al momento en que culmine el término para presentar las reclamaciones oportunas y se realice el respectivo traslado de las mismas, acorde con lo establecido en el artículo 9.1.3.2.3 del Decreto 2555 de 2010.
c) Un tercer contado que corresponde al veinte por ciento (20%) y será pagado al momento en que se realice la notificación de la resolución que decida sobre las reclamaciones presentadas oportunamente, en cumplimiento de lo establecido en los artículos 9.1.3.2.4 y 9.1.3.2.5 del Decreto 2555 de 2010, siempre que la Superintendencia Nacional de Salud no haya objetado la labor del liquidador.
d) Un cuarto contado corresponde al veinticinco por ciento (25%) y será pagado una vez se encuentren culminadas y reportadas las actividades del cronograma de la liquidación, y siempre que se haya dado cumplimiento al trámite de rendición de cuentas de la finalización del proceso de liquidación previsto en el artículo 9.1.3.8.1 del Decreto 2555 de 2010.
e) Un quinto contado correspondiente al veinticinco por ciento (25%) una vez se haya dado cumplimiento a lo dispuesto en el artículo 9.1.3.6.5 del Decreto 2555 de 2010, es decir, que la rendición final de cuentas presentada por el liquidador se encuentre en firme y se haya declarado terminada la existencia legal de la entidad.
6. Agentes especiales interventores, liquidadores y contralores de entidades vigiladas dedicadas a la explotación u operación de monopolios de juegos de suerte y azar: (Máximo 70 puntos).
6.1. Tamaño de la entidad aspecto financiero.
Propiedad planta y equipo
| Rangos | Puntos |
| Menos de 5.000 smmlv | 1 |
| De 5.001 a 20.000 smmlv | 4 |
| De 20.001 a 100.000 smmlv | 8 |
| De 100.001 a 300.000 smmlv | 12 |
| De 300.001 a 500.000 smmlv | 16 |
| Más de 500.000 smmlv | 20 |
Restos de Activos
| Rangos | Puntos |
| Menos de 5.000 smmlv | 1 |
| De 5.001 a 100.000 smmlv | 4 |
| De 1.00.001 a 200.000 smmlv | 7 |
| De 200.001 a 300.000 smmlv | 10 |
| De 300.001 a 500.000 smmlv | 12 |
| Más de 500.000 smmlv | 15 |
Total pasivos
| Rangos | Puntos |
| Menos de 5.000 smmlv | 1 |
| De 5.001 a 50.000 smmlv | 4 |
| De 50.001 a 150.000 smmlv | 8 |
| De 150.001 a 300.000 smmlv | 12 |
| De 300.001 a 500.000 smmlv | 16 |
| Más de 500.000 smmlv | 20 |
Ingresos operacionales del último año
| Rangos | Puntos |
| Menos de 5.000 smmlv | 1 |
| De 5.001 a 50.000 smmlv | 4 |
| De 50.001 a 150.000 smmlv | 7 |
| De 150.001 a 300.000 smmlv | 10 |
| De 300.001 a 500.000 smmlv | 12 |
| Más de 500.000 smmlv | 15 |
6.2. Aspectos logísticos.
Sedes administrativas
| Número de sedes | Porcentaje de incremento |
| 1 | 1 |
| Mas de 1 | 5 |
Número de empleados y pensionados
| Rango | Puntos |
| Menos de 10 | 1 |
| De 11 a 50 | 3 |
| Más de 50 | 5 |
7. Agentes especiales interventores, liquidadores y contralores de direcciones territoriales de salud (Máximo 50 puntos).
7.1. Tamaño de la entidad aspecto financiero.
Deudores
| Rangos | Puntos |
| Menos de 5.000 smmlv | 1 |
| De 5.001 a 20.000 smmlv | 4 |
| De 20.001 a 30.000 smmlv | 8 |
| De 30.001 a 50.000 smmlv | 12 |
| De 50.001 a 100.000 smmlv | 16 |
| Más de 100.000 smmlv | 20 |
Restos de activos
| Rangos | Puntos |
| Menos de 5.000 smmlv | 1 |
| De 5.001 a 100.000 smmlv | 4 |
| De 1.00.001 a 200.000 smmlv | 8 |
| De 200.001 a 300.000 smmlv | 12 |
| De 300.001 a 500.000 smmlv | 16 |
| Más de 500.000 smmlv | 20 |
Total Pasivos
| Rangos | Puntos |
| Menos de 5.000 smmlv | 1 |
| De 5.001 a 50.000 smmlv | 2 |
| De 50.001 a 150.000 smmlv | 4 |
| De 150.001 a 300.000 smmlv | 6 |
| De 300.001 a 500.000 smmlv | 8 |
| Más de 500.000 smmlv | 10 |
7.2. Aspectos logísticos
Número de municipios del departamento
| Rangos | Puntos |
| Menos de 10 | 3 |
| De 11 a 50 | 7 |
| De 51 a 100 | 11 |
| Más de 100 | 15 |
Número de empleados y pensionados
| Rangos | Puntos |
| Menos de 10 | 3 |
| De 11 a 50 | 7 |
| De 51 a 100 | 11 |
| Más de 100 | 15 |
8. Complejidad entidades numerales 6 y 7: Máximo 20 puntos.
a) Situación Contable, Administrativa y jurídica (Máximo 10 puntos).
b) Actuaciones de la entidad en zonas de alto riesgo por orden público o difícil acceso (Máximo 10 puntos)
9. Tabla de asignación salarial entidades numerales 6 y 7.
TABLA DE ASIGNACIÓN SALARIAL SEGÚN PUNTUACIÓN
| CATEGORÍA | RANGO DE PUNTOS | MONTO MÁXIMO DE HONORARIOS MENSUALES SMMLV |
| 1 | De 1 hasta 20 | 12 |
| 2 | De 21 hasta 40 | 14 |
| 3 | De 41 hasta 60 | 17 |
| 4 | De 61 hasta 80 | 20 |
| 5 | De 81 hasta 90 | 30 |
| 6 | Más de 90 | 40 |
PARÁGRAFO 1o. Los honorarios de los contralores designados para las entidades vigiladas que cumplan funciones de administración, explotación de monopolios rentísticos las direcciones territoriales de salud que estén sometidas a Intervención Técnica Administrativa por parte de esta entidad equivaldrán al ochenta por ciento (80%) del monto de los honorarios fijados al interventor o liquidador.
PARÁGRAFO 2o. La remuneración se pagará con cargo a los activos de la entidad objeto de la medida. Los pagos a favor de los agentes interventores, liquidadores y contralores se considerarán gastos de administración.
PARÁGRAFO 3o. El monto de los honorarios que fije la Superintendencia Nacional de Salud para agentes especiales interventores, liquidadores y contralores, en virtud de lo dispuesto en la presente resolución, no incluye el valor de los impuestos, tasas y contribuciones que se generen con ocasión de dichos honorarios.
ARTÍCULO 3o. Modificar el artículo 46 de la Resolución 002599 de 2016, el cual quedará así:
“Artículo 46.- Constitución de póliza de seguros. Los agentes especiales interventores, liquidadores y contralores que sean designados, deberán constituir y presentar ante la Superintendencia Nacional de Salud una póliza de seguros con el fin de asegurar su responsabilidad y amparar el cumplimiento de sus obligaciones.
La póliza deberá ser constituida y acreditada ante la Superintendencia Nacional de Salud en un porcentaje equivalente al 30% por el concepto de responsabilidad y 20% por el de cumplimiento sobre el valor total del monto de honorarios fijados, a más tardar dentro de los diez (10) días siguientes a la notificación del acto administrativo, mediante el cual se fijan los honorarios por parte de la Superintendencia Nacional de Salud, so pena de remoción, con base en la metodología establecida para la evaluación, cálculo y fijación de honorarios.
PARÁGRAFO 1o. Cada vez que se prorrogue o modifique la medida, deberá realizarse la actualización respectiva de la póliza por parte de los agentes interventores, liquidadores y contralores, conforme las reglas previstas en el acto administrativo de designación”.
ARTÍCULO 4o. Los honorarios establecidos mediante acto administrativo que se encuentren en firme a la entrada en vigor de la presente resolución seguirán rigiéndose por las reglas y conforme las condiciones definidas al momento de su adopción.
ARTÍCULO 5o. VIGENCIA Y DEROGATORIAS. La presente resolución rige a partir de su publicación en el Diario Oficial y modifica, en lo pertinente la Resolución 002599 de 2016, modificada por las Resoluciones 011467 de 2018, 005949 de 2019, 2022130000000414-6, 2022320000001043-6 y 2022100000008592-6 de 2022.
Publíquese y cúmplase.
Dada en Bogotá, D. C., a 10 de febrero de 2023.
El Superintendente Nacional de Salud,
Ulahi Dan Beltrán López.
NOTAS AL FINAL:
1. Berrocal Guerrero, L. (2016). Manual del Acto Administrativo. Bogotá. Librería Ediciones del Profesional LTDA, pág. 491.
2. Corte Constitucional, Sentencia de Tutela T-033/02, M-P. Rodrigo Escobar Gil. Expedientes acumulados: T-431.321, T-460.873 y T-455-228.
3. Consejo de Estado, Sala de lo Contencioso Administrativo, Sección Cuarta. Sentencia del 10 de julio de 2010. M. P. Hugo Fernando Bastidas Bárcenas. Expediente: 25000-23-27-000-2006-00180-01 (16817).