RESOLUCIÓN 76 DE 2024
(enero 31)
Diario Oficial No. 52.675 de 20 de febrero de 2024
SUPERINTENDENCIA DEL SUBSIDIO FAMILIAR
Por la cual se determinan los valores de los pagos de subsidio en dinero de las Cajas de Compensación Familiar respecto del porcentaje obligatorio del cincuenta y cinco por ciento (55%) de la vigencia 2023, se ordenan unas transferencias de excedentes y se autoriza el uso de los mismos.
LA SUPERINTENDENTE DEL SUBSIDIO FAMILIAR (E),
en ejercicio de sus facultades legales y en especial las conferidas por el Decreto número 2595 de 2012, la Ley 789 de 2002, la Ley 49 de 1990, el Decreto Ley 1769 de 2003, el Decreto Único Reglamentario del Sector Vivienda, Ciudad y Territorio 1077 de 2015, el Decreto número 1247 de 2022, la Ley 1780 de 2015 y el Código de Procedimiento Administrativo y de lo Contencioso Administrativo, y
CONSIDERANDO QUE:
Las Cajas de Compensación Familiar son Corporaciones sometidas a la supervisión, inspección, control y vigilancia de la Superintendencia del Subsidio Familiar de conformidad con el numeral 1 del artículo 3o del Decreto Ley 2150 de 1992, concordante con el numeral 1 del artículo 24 de la Ley 789 de 2002 y el artículo 1o del Decreto número 2595 de 2012.
Así, al Superintendente del Subsidio Familiar en uso de las facultades conferidas por el artículo 2.1.1.1.1.6.1.4 del Decreto Único Reglamentario 1077 de 2015, le concierne expedir cada año, a más tardar el treinta y uno (31) de enero, las certificaciones correspondientes al Cuociente Nacional y a los Cuocientes Particulares y fijar mediante resolución, el porcentaje que le corresponda aportar mensualmente a cada una de las Cajas de Compensación Familiar con destino al Fondo de Subsidio de Vivienda de Interés Social (FOVIS).
Mediante el Decreto Ley 1769 de 2003, se expresaron los términos y condiciones a los que debe sujetarse la cuota monetaria en el Sistema de Compensación Familiar, régimen de organización, funcionamiento y tiempo de implementación. Así, en su artículo 5o establece:
“[…] Cuando una Caja de Compensación Familiar, después de pagar las cuotas monetarias que le corresponden no supere el porcentaje obligatorio del cincuenta y cinco por ciento (55%), la diferencia con respecto a la cuota de referencia será girada a las Cajas de Compensación Familiar cuyo porcentaje sea inferior al de la cuota de referencia, con el objeto de lograr la cuota monetaria equitativa al interior de cada departamento, teniendo en cuenta los criterios de ingresos, cuociente y nivel de desarrollo socioeconómico de los mismos.
La Superintendencia del Subsidio Familiar o la entidad que haga sus veces con corte a diciembre 31 de cada año, determinará los valores objeto de esta transferencia.
PARÁGRAFO. El orden de prioridades de transferencia será primero hacia el propio departamento, y una vez satisfechas las necesidades de este, se girarán recursos a otras regiones, de acuerdo con los criterios definidos en el presente artículo”. subrayado fuera de texto.
Por su parte, el artículo 2 ibidem, precisa que la cuota de referencia “[…] Equivale al cincuenta y cinco por ciento (55%) de los aportes recaudados por las Cajas de Compensación Familiar del departamento, descontadas las apropiaciones legales, dividido entre el total de cuotas del subsidio pagadas por las Cajas de Compensación Familiar, por personas a cargo beneficiarias en el mismo departamento”.
Adicionalmente, en el artículo 5o de la Ley 789 de 2002, se determinan los principios que se deben tener en cuenta para el cálculo de la cuota monetaria y la transferencia del excedente del 55%:
“[…] SOLIDARIDAD.
Es la práctica de la mutua colaboración y apoyo entre las diferentes Cajas de Compensación Familiar, lo cual se concreta en la prohibición de establecer transferencias de recursos por parte de las Cajas de Compensación con ingresos y/o cuocientes inferiores al promedio a favor de las Cajas de Compensación con ingresos y/o cuocientes superiores al promedio para pago de subsidio en dinero o cualquier otro concepto. Para realizar este principio, se podrán establecer cuotas regionales, departamentales, mínimos, máximos o cualquier otro mecanismo que se considere procedente con este principio.
EQUIDAD.
Se concreta como mecanismo de redistribución y compensación regional o departamental, que se desarrolla en la prohibición de obligar a Cajas ubicadas en regiones de menor desarrollo socioeconómico a girar recursos por cualquier concepto a Cajas que se encuentren operando en regiones con mayores índices de desarrollo socioeconómico, sin perjuicio de establecer, respetando el anterior parámetro, transferencias financieras entre Cajas para lograr Cuota Monetaria equitativa al interior de cada Departamento o Región, dentro de los principios descritos en el presente artículo. Se concreta igualmente, en la necesidad de evaluar el total de los ingresos disponibles de la Caja, cuando se examinen o determinen transferencias a otras Cajas. Para efecto de la evaluación de las transferencias, se deberá examinar la capacidad de apalancamiento de la Caja en sus propias fuentes de recursos para financiar la cuota monetaria, conforme al monto de los subsidios que hubieren otorgado. […]”.
Respecto de los principios antes mencionados, la Sala de Consulta y Servicio Civil con ponencia del Consejero de Estado Flavio Augusto Rodríguez Arce, en concepto con radicación número 1704 del 2 de marzo de 2006, al referirse a los términos y condiciones para la fijación de la cuota monetaria establecidos en la Ley 789 de 2002 y en el Decreto Ley 1769 de 2003, manifestó:
“[…]
La filosofía de la reforma del sistema de cuotas monetarias en la Ley 789 es establecer el equilibrio y solidaridad entre las Cajas de Compensación del país, evitar que el criterio de afiliación esté incentivado únicamente en función de la cuota monetaria y disminuir el impacto de los subsidios sobre el porcentaje obligatorio del 55% en dinero.
[…]
Las modificaciones introducidas en el sistema de cómputo de la cuota monetaria resultan, como se verá más adelante, incompatibles con la autorización de computar el subsidio de escolaridad dentro del porcentaje obligatorio del 55% destinado a cubrir la cuota monetaria.
[…]
Observa la Sala que el procedimiento a cumplirse por la Superintendencia de Subsidio Familiar, o quien haga sus veces, para calcular la cuota monetaria el cual constituye una regulación integral de la misma, no autoriza computar dentro del porcentaje del 55% destinado a cubrir dicha cuota, ningún otro subsidio en dinero, razón por la cual el parágrafo segundo del artículo 65 de la Ley 633 de 2000 que permitía computar el de escolaridad en dinero dentro de dicho porcentaje obligatorio, se debe entender derogado. […]”
De acuerdo con lo anterior, corresponde a esta Superintendencia determinar los valores objeto de la transferencia establecida en el citado artículo 5o del Decreto Ley 1769 de 2003, de acuerdo con los criterios y el orden de prioridades establecidos en el mismo, a partir de la información y de los argumentos que son tenidos en cuenta para la fijación de la cuota monetaria; lo que implica, que la determinación de los valores de los excedentes del 55% y de las respectivas transferencias debe ser consistente la información contenida en los actos administrativos relacionados con la cuota monetaria fijada para la vigencia 2024.
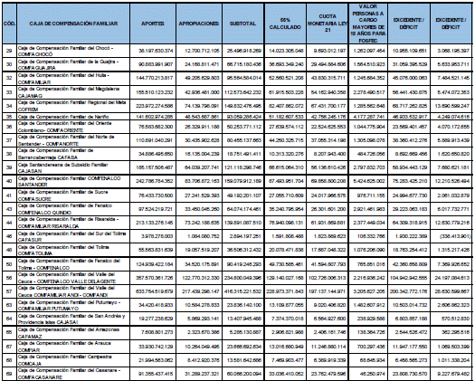
Que una vez analizada la información reportada por las Cajas de Compensación Familiar con corte a 31 de diciembre de 2023, correspondiente a los aportes del 4%, las apropiaciones y transferencias de ley, se realizó el cálculo de excedentes del 55% de cada una de las Corporaciones, se generó la siguiente información:


Fuente: Reporte SIGER. Estructura 3-030 6. Cuota Monetaria. Información reportada por las cajas de compensación familiar.
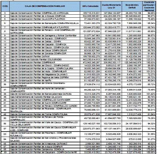
Que de acuerdo con la información reportada a 31 de diciembre de 2023 por las Cajas de Compensación Familiar, el cuociente particular respecto del nacional para el año 2024, es el siguiente:


Fuente: Reporte SIGER. Estructura 3-030 4. Cuota Monetaria. Información reportada por las cajas de compensación familiar.
En cumplimiento de los principios de solidaridad y equidad señalados en el artículo 5o de la Ley 789 de 2002, se considera necesario establecer las transferencias de recursos de excedentes del 55% a las Cajas de Compensación Familiar que se ven obligadas a pagar un porcentaje superior al 55% en cuota monetaria por la composición económica de los trabajadores afiliados de categorías A y B.
Ahora bien, resulta pertinente citar el criterio desarrollado por la Corte Constitucional en la Sentencia C-508 de 1997, con ponencia del Magistrado Vladimiro Naranjo Mesa, y transcrito en la Sentencia T-686 de 2001; en el que se describe al subsidio familiar como un “[…] mecanismo de redistribución del ingreso, en especial si se atiende a que el subsidio en dinero se reconoce al trabajador en razón de su carga familiar y de unos niveles de ingresos precarios, que le impiden atender en forma satisfactoria las necesidades más apremiantes en alimentación, vestuario, educación y alojamiento”.
Así mismo, mediante la Sentencia C-508 de 1997, la Corte Constitucional señaló que: “[…] el subsidio familiar en Colombia ha buscado beneficiar a los sectores más pobres de la población, estableciendo un sistema de compensación entre los salarios bajos y los altos, dentro de un criterio que mira a la satisfacción de las necesidades básicas del grupo familiar. Los medios para la consecución de este objetivo son básicamente el reconocimiento de un subsidio en dinero a los trabajadores cabeza de familia que devengan salarios bajos, subsidio que se paga en atención al número de hijos; y también en el reconocimiento de un subsidio en servicios, a través de programas de salud, educación, mercadeo y recreación. El sistema de subsidio familiar es entonces un mecanismo de redistribución del ingreso, en especial si se atiende a que el subsidio en dinero se reconoce al trabajador en razón de su carga familiar y de unos niveles de ingreso precarios, que le impiden atender en forma satisfactoria las necesidades más apremiantes en alimentación, vestuario, educación y alojamiento. Los principios que lo inspiraron y los objetivos que persigue, han llevado a la ley y a la doctrina a definir el subsidio familiar como una prestación social legal, de carácter laboral. Mirado desde el punto de vista del empleador, es una obligación que la ley le impone, derivada del contrato de trabajo. Así mismo, el subsidio familiar es considerado como una prestación propia del régimen de seguridad social”.
Por su parte, el artículo 1o de la Ley 21 de 1982 establece que el subsidio familiar es una prestación social pagadera no sólo en dinero, sino en especie y servicios, razón por la cual esta Superintendencia no puede apartarse de las situaciones que generan la reducción del Saldo de Obras y Programas de Beneficio Social, ya que esto puede implicar que las Cajas de Compensación no puedan ampliar la cobertura en los servicios sociales misionales propios, disminuyendo los subsidios, así como de la realización de inversiones sociales, afectando a la población afiliada con menos recursos y precisamente, en su connotación de prestación social.
Que en virtud de lo anterior y conservando el orden de prioridades de transferencia, las Cajas de Compensación Familiar que superaron el 55% fueron:

Fuente: Reporte SIGER. Estructura 3-030 6. Cuota Monetaria 55% total. Información reportada por las cajas de compensación familiar.
Que las Cajas de Compensación Familiar que no superaron el porcentaje obligatorio del cincuenta y cinco por ciento (55%) en la vigencia 2023, y que tienen un cuociente particular superior al 100% del cuociente nacional, fueron:

Fuente: Reporte SIGER. Estructura 3-030 Cuota Monetaria. Información reportada por las cajas de compensación familiar.
Finalmente, la Superintendencia del Subsidio Familiar mediante el numeral 1.3., 1.3.1., 1.3.2., 1.3.3. y 1.3.4 del Libro II, Circular Básica Contable y Financiera, de la Circular Única de 2022, instruyó a las Cajas de Compensación sobre la correcta utilización de los recursos excedentes del 55%, bajo unos parámetros claros y precisos, que permitan efectivamente aumentar los subsidios en los programas de inversión social y de esta manera fomentar las coberturas de personas afiliadas de menores ingresos, tanto por la vía infraestructura como por la vía tarifas. Así mismo, especificó las inversiones válidas y no válidas con dichos recursos.
“[…]
1.3 Inversión de Excedentes del 55%
El ordenamiento legal es expreso en señalar que si no hay Cajas de Compensación Familiar a las cuales transferir los recursos, los excedentes deberán destinarse para aumentar los subsidios en los programas de inversión social de la misma Caja de Compensación Familiar. La intención del legislador es que los recursos excedentes del 55% se destinen para aumentar los subsidios en los programas de inversión social de las mismas Cajas de Compensación Familiar para beneficio de la población afiliada. Así, los excedentes se destinarán para aumentar los subsidios en los programas de inversión social de la Caja bajo la modalidad de subsidios en servicios o en especie.
[…]
1.3.3 Inversiones Válidas
Los recursos previstos en el artículo 9o del Decreto número 1769 de 2003, pueden ser invertidos válidamente por las Cajas de Compensación Familiar en los proyectos que estén sujetos a las necesidades de cada Corporación, de la población afiliada, de la disposición de los recursos, al entorno de la región, la normativa vigente y las directrices de esta Entidad.
Entre otros, las Cajas de Compensación pueden invertir en:
- La ampliación de infraestructura existente, siempre y cuando dicha inversión tenga por objeto ampliar los subsidios en los programas de inversión social de la respectiva Caja de Compensación Familiar para su población afiliada, aspecto que así deberá quedar claramente establecido y soportado en el respectivo proyecto.
- Otorgamiento de becas estudiantiles para hijos de trabajadores beneficiarios en programas de Educación Formal de acuerdo con la Ley 115 de 1994.
- Otorgamiento de becas estudiantiles para hijos de trabajadores beneficiarios en programas de Educación para el Trabajo y el Desarrollo Humano de conformidad con la Ley 1064 de 2006.
- Otorgamiento de becas estudiantiles para hijos de trabajadores beneficiarios en programas de Jardines Infantiles.
- Obras y programas de beneficio social para fomentar el acceso de afiliados especialmente categoría A y B.
- Obras de ampliación de infraestructura existente para programas de Educación Formal (Ley 115 de 1994).
- Obras de ampliación de infraestructura existente para programas de Educación para el Trabajo y el Desarrollo Humano (Ley 1064 de 2006).
- Obras de ampliación de infraestructura existente para Jardines Infantiles.
- Obras de ampliación de infraestructura existente para el acceso a actividades culturales de teatro, música y danza. Obras de ampliación de infraestructura existente para centros recreacionales y vacacionales.
- Otorgar tasas de interés diferenciales y rebajadas a las ofrecidas por la Caja para el otorgamiento de créditos sociales para afiliados preferiblemente categoría A y B, administradas en un fondo común con recursos de excedentes del 55%.
- Aumento de la base presupuestal de recursos para atender actividades básicas en los programas especiales de Adulto Mayor y Discapacitados, para los afiliados a la respectiva Caja.
1.3.4 Inversiones no válidas
Las Cajas de Compensación Familiar no podrán aplicar los subsidios a que se refiere el artículo 9o del Decreto número 1769 del 26 de junio de 2003, en inversiones para actividades de Salud IPS, programas de Salud EPS, EPS-RS, mercadeo, Fovis y Foniñez, ya que estas inversiones se adelantan con fuente de recursos de destinación específica.
Tampoco se autorizará la inversión de estos recursos para la compra de lotes de terreno, construcción de nuevas sedes o dotaciones en general”.
En virtud de lo anteriormente señalado, este Despacho,
RESUELVE:
ARTÍCULO 1o. Definir, conforme a la información reportada por los entes vigilados con corte a 31 de diciembre de 2023, que las Cajas de Compensación Familiar cuyos pagos de subsidio en dinero no superaron y presentaron excedentes del porcentaje obligatorio del cincuenta y cinco por ciento (55%) de los ingresos (descontadas las apropiaciones de ley), son las que se relacionan en la siguiente tabla:

Fuente: Reporte SIGER. Estructura 3-030 Cuota Monetaria. Información reportada por las cajas de compensación familiar.
ARTÍCULO 2o. Definir, conforme a la información reportada por los entes vigilados con corte a 31 de diciembre de 2023, que las Cajas de Compensación Familiar cuyos pagos de subsidio en dinero superaron el porcentaje obligatorio del cincuenta y cinco por ciento (55%) de los ingresos (descontadas las apropiaciones de ley), son las que se relacionan en la siguiente tabla:

Fuente: Reporte SIGER. Estructura 3-030 Cuota Monetaria. Información reportada por las cajas de compensación familiar.
ARTÍCULO 3o. Ordenar la transferencia y el giro de los recursos por concepto de excedentes del 55%, de que trata el artículo 5o del Decreto Ley 1769, y en aplicación de los principios de solidaridad y equidad de que trata en el artículo 5o de la Ley 789 de 2002, de conformidad con lo expuesto en la parte motiva de la presente resolución, así:

Fuente: Reporte SIGER. Estructura 3-030 Cuota Monetaria. Información reportada por las cajas de compensación familiar.
PARÁGRAFO. Las Cajas de Compensación Familiar transferentes, deberán trasladar los recursos antes señalados, a las Corporaciones requirentes dentro de los quince (15) días calendario, posteriores a la ejecutoria de la present e resolución.
ARTÍCULO 4o. Las Cajas de Compensación Familiar identificadas en el artículo primero, una vez realizadas las trasferencias ordenadas en el artículo tercero, del presente proveído, destinarán el saldo de los excedentes del 55% para aumentar los subsidios en los programas de inversión social de la misma Caja de Compensación Familiar y, de esta manera, fomentar las coberturas de los afiliados de menores ingresos, tanto por vía infraestructura como por vía tarifas.
ARTÍCULO 5o. Notificar el contenido de la presente resolución a los Directores Administrativos de las Cajas de Compensación Familiar, a las direcciones físicas o electrónicas registradas de acuerdo con las manifestaciones recibidas en esta Superintendencia. Lo anterior, haciéndoles saber que contra esta procede el recurso de reposición, el cual deberá interponerse por escrito ante el Superintendente del Subsidio Familiar, en el acto de la diligencia de notificación o dentro de los diez (10) días siguientes a ella.
En caso de que no pudiere hacerse la notificación personal, deberá surtirse por aviso, de conformidad con el artículo 69 del Código de Procedimiento Administrativo y de lo Contencioso Administrativo.
ARTÍCULO 6o. Publíquese en el Diario Oficial y en la página web de esta Superintendencia, el presente Acto Administrativo de conformidad con lo establecido en el artículo 65 del Código del Procedimiento Administrativo y de lo Contencioso Administrativo.
ARTÍCULO 7o. La presente resolución rige a partir de la fecha de su ejecutoria de conformidad con lo dispuesto en los artículos 87 y 89 del Código de Procedimiento Administrativo y de lo Contencioso Administrativo.
Notifíquese, comuníquese y cúmplase.
Dada en Bogotá, D. C., a 31 de enero de 2024.
La Superintendente del Subsidio Familiar (e),
Angie Katherine Monroy Bobadilla.