ACUERDO 26 DE 2011
(septiembre 8)
Diario Oficial No. 48.197 de 19 de septiembre de 2011
COMISIÓN DE REGULACIÓN EN SALUD
<NOTA DE VIGENCIA: Acuerdo derogado por el artículo 27 de Resolución 6411 de 2016>
Por el cual se define un ponderador a la UPC para las Entidades Promotoras de Salud (EPS) del Régimen Contributivo (RC).
LA COMISIÓN DE REGULACIÓN EN SALUD,
en ejercicio de las facultades legales, en especial las que le confiere el numeral 3 del artículo 7o de la Ley 1122 de 2007, y
CONSIDERANDO:
Que en ejercicio de las competencias otorgadas por la Ley 1122 de 2007, la Comisión de Regulación en Salud (CRES) expidió el Acuerdo 19 de 2010 y el Acuerdo 23 de 2011 por medio de los cuales se fijó el valor de la Unidad de Pago por Capitación (UPC) del Plan Obligatorio de Salud de los Regímenes Contributivo y Subsidiado para el año 2011.
Que el artículo 182 de la ley 100 de 1993 señala que la UPC se fijará en función del perfil epidemiológico y los riesgos cubiertos, entre otros.
Que el artículo 13 del Acuerdo 23 de 2011 concluye que deben complementarse los análisis con base en desviaciones de riesgo por concentración de población y patologías por grupos etarios y realizar estimativos que podrán ser tenidos en cuenta en la definición de la Unidad de Pago por Capitación.
Que el Consejo Nacional de Seguridad Social en Salud realizó continuos esfuerzos para adoptar mecanismos con el propósito de lograr una distribución equilibrada de los costos de atención de distintos tipos de riesgos que presentan una concentración.
Que a pesar de lo anterior, se mantienen desviaciones y diferencias entre aseguradores que implican desventajas competitivas en cuanto a la gestión del riesgo de sus afiliados, por lo cual el Ministerio de la Protección Social en la sesión de Comisión del 16 de mayo de 2011, planteó la necesidad de realizar estimativos de las desviaciones de riesgos por concentración de población afiliada para grupos etarios mayores de 50 años. En consecuencia el Ministerio de la Protección Social realizó el estudio “Análisis del Riesgo por Concentración de Población en grupos etarios mayores de 50 años en el Régimen Contributivo del Sistema General de Seguridad Social en Salud” en el cual muestra que existen algunas entidades que tienen una alta proporción de población en edades avanzadas lo cual afecta su riesgo etario y epidemiológico impactando a la población de afiliados a esa EPS y generándole una desventaja competitiva.
Que se requiere una medida que corrija el problema detectado y que contribuya a una distribución equitativa de los riesgos que deben afrontar los aseguradores del Sistema que presentan esta concentración y que incentive la movilidad de los afiliados entre las EPS y lograr así una redistribución de la población para lo cual se acoge la recomendación del estudio elaborado por el Ministerio de la Protección Social, del 2%.
Que para la definición del factor de ajuste de riesgo se tuvo en cuenta la sostenibilidad de la subcuenta de compensación y su proyección de ingresos.
Que cualquier inexactitud en la aplicación del factor de ajuste que se establece en este acuerdo como consecuencia de inconsistencias en la información reportada por las entidades aseguradoras será responsabilidad de estas.
Que para efectos de dar cumplimiento a lo establecido en el artículo 7o de la Ley 1340 de 2009 la Comisión informó respecto del presente acto administrativo a la Superintendencia de Industria y Comercio (SIC), entidad que presentó sus observaciones al proyecto.
Que las entidades adaptadas obligadas a Compensar son entidades que para continuar operando debieron adaptarse al nuevo Sistema contenido en la Ley 100 de 1993, por lo cual tienen una población cerrada, y por ello no les resulta aplicable el ponderador que se define con el presente Acuerdo.
Que se cuenta con el pronunciamiento de la Oficina Asesora Jurídica de la Unidad Administrativa Especial - Comisión de Regulación en Salud, en el cual se conceptúa que el texto del presente Acuerdo se encuentra ajustado a derecho.
Que en mérito de lo expuesto, la Comisión de Regulación en Salud,
ACUERDA:
ARTÍCULO 1o. PONDERADOR DE CONCENTRACIÓN DE RIESGO ETARIO. <Acuerdo derogado por el artículo 27 de Resolución 6411 de 2016> Para efectos de corregir la actual situación de concentración de riesgo para los grupos etarios mayores de 50 años evidenciada en algunas EPS del Sistema y para incentivar la movilidad de estos afiliados, se establece un ponderador sobre la UPC-C promedio que resultará de relacionar la diferencia de la participación de afiliados activos mayores de 50 años en el total de la población del Régimen Contributivo de mayores de 50 años y el promedio y la desviación estándar de esta.
El ponderador se calculará con la siguiente fórmula:
![]()
Donde yi es la participación de la población mayor de 50 años de cada EPS en el total de la población mayor de 50 años afiliada al Régimen Contributivo;
y
son el promedio y la desviación estándar de la participación yi.
Para el cálculo del ponderador se toma la parte entera que resulte de la expresión
. En el caso que este cociente sea menor que uno se tomará como un valor de 1, con lo cual el ponderador a reconocer será mínimo del 2%.
Este ponderador se aplicará sobre la UPC-C promedio vigente, que para el año 2011 está definida en el artículo 1o del Acuerdo 23 de 2011, y se reconocerá a aquellas EPS que cumplan con el siguiente criterio:
Que a 31 de diciembre del año 2010 presenten, al calcular la proporción entre sus afiliados activos mayores de 50 años y el total de sus afiliados activos, un valor superior a dos desviaciones estándar por encima del promedio de la misma proporción calculada para todas las EPS, según información de afiliados activos registrados en la Base de Datos Única de Afiliados (BDUA).
Para incentivar la movilidad de los afiliados de los grupos etarios mayores de 50 años, a partir del año 2012 este ponderador se aplicará sobre la UPC-C promedio vigente y se reconocerá a aquellas EPS que cumplan por lo menos con uno de los dos siguientes criterios:
1. Que utilizando los datos de cierre del año inmediatamente anterior certificados por la Oficina competente del Ministerio de la Protección Social o quien haga sus veces, presenten al calcular la proporción entre sus afiliados activos mayores de 50 años y el total de sus afiliados activos, un valor superior a una y media (1,5) desviaciones estándar por encima del promedio de la misma proporción calculada para todas las EPS, según información de afiliados activos registrados en la Base de Datos Única de Afiliados (BDUA).
2. Que utilizando los datos de cierre del año inmediatamente anterior certificados por la Oficina competente del Ministerio de la Protección Social o quien haga sus veces, las EPS presenten en la Base de Datos Única de Afiliados (BDUA) una proporción de afiliados activos mayores de 50 años con relación a los afiliados totales de cada EPS superior al promedio de esta proporción del año anterior para todas las EPS y una tasa de crecimiento de los afiliados activos para los grupos etarios mayores de 50 años igual o mayor a una y media (1,5) desviaciones estándar del año anterior de la proporción de mayores de 50 años para cada EPS.
PARÁGRAFO 1o. Las fórmulas matemáticas para el cálculo del ponderador de concentración de riesgo etario y de los criterios para su otorgamiento se detallan en el Anexo Técnico que forma parte integral del presente Acuerdo y están respaldados en el estudio “Análisis del Riesgo por Concentración de Población en grupos etarios mayores de 50 años en el Régimen Contributivo del Sistema General de Seguridad Social en Salud” elaborado por el Ministerio de la Protección Social.
PARÁGRAFO 2o. El Ministerio de la Protección Social elaborará los cálculos que sean necesarios para llevar a cabo el proceso de compensación interna del régimen contributivo y efectuará los ajustes de carácter operacional que se requieran para insertar en el citado proceso de compensación el ponderador de riesgo etario y de los criterios para su otorgamiento.
ARTÍCULO 2o. <Acuerdo derogado por el artículo 27 de Resolución 6411 de 2016> Adiciónese un inciso final al artículo 2o del Acuerdo 23 de 2011, así:
“A partir de los afiliados activos en la Base de Datos Única de Afiliados (BDUA) a 31 diciembre 2010 y dando aplicación al artículo primero del presente Acuerdo, se define un ponderador del 6% sobre la Unidad de Pago por Capitación promedio del Régimen Contributivo (UPC-C), lo que equivale a quinientos treinta mil seis cientos diez y ocho pesos con sesenta y dos centavos ($530.618,62) moneda corriente.
Dando aplicación al artículo 1o del presente Acuerdo, la EPS037 cumple con el primer criterio allí definido”.
ARTÍCULO 3o. VIGENCIA Y DEROGATORIAS. <Acuerdo derogado por el artículo 27 de Resolución 6411 de 2016> El ponderador que se define en el presente acuerdo aplicará a partir del 1o de abril del 2011 de conformidad con lo dispuesto por el Acuerdo 23 de 2011, que fijó la Unidad de Pago por Capitación definitiva para el presente año a partir de esa fecha. El presente Acuerdo deja en firme las demás disposiciones contenidas en el Acuerdo 23 de 2011.
Publíquese y cúmplase.
Dado en Bogotá, D. C., a 8 de septiembre de 2011.
El Presidente de la Comisión de Regulación en Salud,
MAURICIO SANTA MARÍA SALAMANCA.
La Comisionada Experta Vocera,
ESPERANZA GIRALDO MUÑOZ.
METODOLOGÍA PARA LA APLICACIÓN DEL PONDERADOR DE CONCENTRACIÓN DE RIESGO ETARIO.
1. Ponderador de riesgo etario:
El ponderador de concentración de riesgo etario será equivalente al porcentaje resultante de relacionar la diferencia de la participación de afiliados activos mayores de 50 años en el total de la población del Régimen Contributivo de mayores de 50 años y el promedio y la desviación estándar de esta.
El ponderador resultará de aplicar la siguiente fórmula:
![]()
Donde yi es la participación de la población mayor de 50 años de cada EPS en el total de la población mayor de 50 años afiliada al Régimen Contributivo;
y
son el promedio y la desviación estándar de la participación yi.
Para el cálculo del ponderador se toma la parte entera que resulte de la expresión
En el caso que este cociente sea menor que uno se tomará como un valor de 1, con lo cual el ponderador a reconocer será mínimo del 2%.
1.1 Cálculo de la participación de la población mayor de 50 años de cada EPS en el total de la población mayor de 50 años afiliada a Régimen Contributivo:
![]()
Donde i es la respectiva EPS del Régimen Contributivo.
1.2 Cálculo del promedio simple
y desviación estándar
de la participación yi definida en (2):

Donde i es la respectiva EPS del Régimen Contributivo (RC) y N es el número total de EPS del RC.
2. Criterios de aplicación:
El ponderador definido en la sección anterior aplicará para las EPS del Régimen Contributivo, sobre la UPC-C promedio vigente de cada año, de acuerdo a los siguientes criterios:
2.1 Para el año 2011:
Para el año 2011 el ponderador definido en (1) aplicará para aquellas EPS del RC que al calcular la proporción entre sus afiliados activos mayores de 50 años y el total de sus afiliados activos, se obtenga un valor en (1) superior a dos desviaciones estándar por encima del promedio de la misma proporción calculada para todas las EPS, utilizando la información de afiliados activos registrados en la Base de Datos Única de Afiliados (BDUA).
La metodología del cálculo de este primer criterio es la siguiente:
2.1.1 Cálculo de la proporción de mayores de 50 años para cada EPS:
![]()
Donde xi es la relación entre el número de afiliados activos mayores de 50 años de la EPSi del RC como proporción del total de afiliados activos en la EPSi del RC.
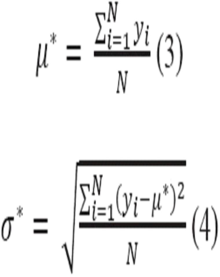
2.1.2 Cálculo del promedio simple ì y la desviación estándar ó de la proporción de mayores de 50 años para cada EPS:

Donde N corresponde al número de EPS del Régimen Contributivo y el subíndice i corresponde a cada una de las EPS del Régimen Contributivo.
2.1.3 El criterio descrito en 2.1 aplicará de acuerdo a la siguiente expresión:
![]()
2.2 A partir del año 2012:
Para incentivar la movilidad de los afiliados de los grupos etarios mayores de 50 años, a partir del año 2012 el ponderador definido en (1) se aplicará sobre la UPC-C promedio vigente y se reconocerá a aquellas EPS del RC que cumplan por lo menos con uno de los dos siguientes criterios:
2.2.1 Que utilizando los datos de cierre del año inmediatamente anterior certificados por la Oficina competente del Ministerio de la Protección Social o quien haga sus veces, presenten al calcular la proporción entre sus afiliados activos mayores de 50 años y el total de sus afiliados activos, un valor superior a una y media (1,5) desviaciones estándar por encima del promedio de la misma proporción calculada para todas las EPS, según información de afiliados activos registrados en la Base de Datos Única de Afiliados (BDUA).
2.2.2 Que utilizando los datos de cierre del año inmediatamente anterior certificados por la Oficina competente del Ministerio de la Protección Social o quien haga sus veces, las EPS presenten en la Base de Datos Única de Afiliados (BDUA) una proporción de afiliados activos mayores de 50 años con relación a los afiliados totales de cada EPS superior al promedio de esta proporción del año anterior para todas las EPS y una tasa de crecimiento de los afiliados activos para los grupos etarios mayores de 50 años igual o mayor a una y media (1,5) desviaciones estándar del año anterior de la proporción de mayores de 50 años para cada EPS.
La metodología del cálculo del criterio definido en 2.2 es la siguiente:
El criterio descrito en 2.2.1 aplicará de acuerdo a la siguiente expresión:
![]()
El criterio descrito en 2.2.2 aplicará si:
![]()
y
![]()
Donde
es la desviación estándar calculada para el año anterior y descrita en (7) y
es el promedio del año anterior calculado como se describe en (6).