ACUERDO 24 DE 2014
(junio 26)
Diario Oficial No. 49.195 de 27 de junio de 2014
DEPARTAMENTO NACIONAL DE PLANEACIÓN
COMISIÓN RECTORA DEL SISTEMA GENERAL DE REGALÍAS
Por el cual se determina la compatibilidad de la proyección de recursos contenida en el presupuesto del Sistema General de Regalías con el comportamiento de los recaudos de ese Sistema y se dictan otras disposiciones.
LA COMISIÓN RECTORA DEL SISTEMA GENERAL DE REGALÍAS,
en ejercicio de sus facultades, en especial las conferidas en los artículos 4o y 5o de la Ley 1530 de 2012, artículo 50 del Decreto 1949 de 2012 y artículo 16 del Decreto 1399 de 2013, y
CONSIDERANDO:
Que la Ley 1530 de 2012 creó la Comisión Rectora del Sistema General de Regalías, encargada de definir la política general del Sistema, evaluar su ejecución general y dictar, mediante acuerdos, las regulaciones de carácter administrativo orientadas a asegurar su adecuado funcionamiento.
Que la mencionada ley le otorga, a dicha Comisión, entre otras, la función de definir directrices generales, procesos, lineamientos, metodologías y criterios para el funcionamiento del Sistema.
Que el artículo 50 del Decreto 1949 de 2012 estableció los límites para aprobación de proyectos y señaló que, expedido el presupuesto del Sistema General de Regalías, los Órganos Colegiados de Administración y Decisión (OCAD) podrán aprobar proyectos hasta por el 80% del monto de las apropiaciones por entidad territorial beneficiaria de regalías directas y por fondos, y que el 20% restante podrá ser utilizado una vez esta Comisión determine que “la proyección de recursos contenida en el presupuesto será compatible con el comportamiento de los recaudos, en el tercer semestre de la bienalidad”.
Que el artículo 16 del Decreto 1399 de 2013, además de reiterar lo señalado en el artículo 50 del Decreto 1949 de 2012, estableció que el 20% restante del monto de las apropiaciones también podrá ser utilizado cuando la Secretaría Técnica del OCAD verifique que existe disponibilidad de recursos en caja, evento en el cual el OCAD podrá realizar la viabilización, priorización y aprobación de proyectos de inversión, de conformidad con dicha disponibilidad, siempre y cuando no supere el monto total de la apropiación presupuestada.
Que durante la sesión de la Comisión Rectora del 17 de junio de 2014, el Ministerio de Minas y Energía presentó el resultado del comportamiento del recaudo para el bienio 2013-2014, con corte a mayo 31 de 2014.
En consideración de lo expuesto,
ACUERDA:
ARTÍCULO 1o. COMPATIBILIDAD DE LA PROYECCIÓN DE RECURSOS CONTENIDA EN EL PRESUPUESTO DEL SISTEMA GENERAL DE REGALÍAS RESPECTO DEL COMPORTAMIENTO DE LOS RECAUDOS. Para efectos de la liberación del 20% de las apropiaciones de que trata el artículo 50 del Decreto 1949 de 2012, en concordancia con el artículo 16 del Decreto 1399 de 2013, se determina que la proyección de recursos contenida en el presupuesto del Sistema General de Regalías para el bienio 2013-2014, es compatible con el comportamiento de los recaudos a 31 de mayo de 2014.
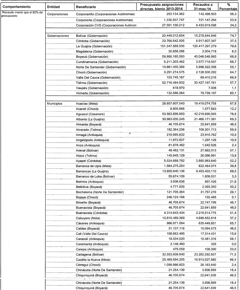
ARTÍCULO 2o. EXCEPCIONES. Sin perjuicio de lo dispuesto en el artículo anterior, los Órganos Colegiados de Administración y Decisión (OCAD) de aquellos departamentos en los cuales se requieran recursos para la compensación de que trata el inciso segundo del parágrafo segundo del artículo 361 de la Constitución Política y que se señalan en el Anexo Técnico que forma parte integral del presente acuerdo, no podrán aprobar proyectos de inversión con cargo al 20% de las apropiaciones del Fondo de Desarrollo Regional contenidas en la Ley 1606 de 2012.
ARTÍCULO 3o. APROBACIÓN DE PROYECTOS CON CARGO AL 20% DE ASIGNACIONES DIRECTAS. De conformidad con lo previsto en el artículo 1o del presente acuerdo, las entidades beneficiarias de asignaciones directas cuyo recaudo con corte a mayo 31 de 2014 sea igual o superior al 80% del presupuesto del bienio 2013-2014, podrán someter a los respectivos OCAD la aprobación de proyectos con cargo al 20% de las apropiaciones contenidas en la Ley 1606 de 2012.
Para las demás entidades beneficiarias de asignaciones directas, según lo señalado en el anexo técnico, el 20% podrá ser utilizado una vez la Secretaría Técnica del OCAD verifique que existe la disponibilidad de recursos en caja, evento en el cual los respectivos OCAD podrán realizar la aprobación de los proyectos de inversión, de conformidad con dicha disponibilidad, siempre y cuando no supere el monto total de la apropiación presupuestada, según lo establece el inciso segundo del artículo 16 del Decreto 1399 de 2013.
La verificación de la disponibilidad de los recursos en caja se hará con sujeción a la información de los giros de recursos del Sistema General de Regalías publicados por el Ministerio de Hacienda y Crédito Público, en su página web.
ARTÍCULO 4o. VIGENCIA Y DEROGATORIAS. El presente acuerdo rige a partir de su publicación y deroga las disposiciones contrarias.
Publíquese, comuníquese y cúmplase.
Dado en Bogotá, D. C., a 26 de junio de 2014.
La Directora General Departamento Nacional de Planeación,
TATIANA OROZCO DE LA CRUZ.
Presidenta de la Comisión Rectora del Sistema General de Regalías.
El Subdirector Territorial y de Inversión Pública (e), Departamento Nacional de Planeación,
JOSÉ MAURICIO CUESTAS GÓMEZ.
Secretario Técnico Comisión Rectora del Sistema General de Regalías.






Centro Normativo Keralty
n.d.
Última actualización: 30 de diciembre de 2025
