CIRCULAR EXTERNA 1 DE 2023
(Febrero 01)
Boletín Ministerio de Hacienda, Capítulo Superintendencia Financiera de Colombia, No. 660 de 1 de febrero de 2023
SUPERINTENDENCIA FINANCIERA
Señores
REPRESENTANTES LEGALES DE LAS ENTIDADES VIGILADAS
Referencia: Por medio de la cual se imparten instrucciones relativas a los derivados de crédito que pueden celebrar las entidades vigiladas
Apreciados señores:
Como es de su conocimiento, mediante la Resolución Externa 10 del 16 de diciembre de 2022, la Junta Directiva del Banco de la República modificó el artículo 65 de la Resolución Externa 1 de 2018 para permitir que las entidades vigiladas por la Superintendencia Financiera de Colombia (SFC) puedan celebrar cualquier tipo de derivado de crédito con agentes del exterior autorizados, siempre que se trate de contratos emitidos en moneda extranjera o en moneda legal por emisores extranjeros sobre activos externos o locales.
Para dar cumplimiento a lo dispuesto en la citada Resolución, esta Superintendencia, en ejercicio de las facultades previstas en el literal a) del numeral 3 del artículo 326 del Estatuto Orgánico del Sistema Financiero y en los numerales 4 y 5 del artículo 11.2.1.4.2. del Decreto 2555 de 2010 imparte las siguientes instrucciones:
PRIMERA: Modificar el subnumeral 5.2. del Capítulo XVIII de la Circular Básica Contable y Financiera «Instrumentos financieros derivados y productos estructurados» con el objetivo de atender lo dispuesto por la Junta Directiva del Banco de la República mediante la Resolución Externa 10 del 16 de diciembre de 2022 para permitir que las entidades vigiladas realicen derivados de crédito en los términos previstos en la referida Resolución. <ANEXO>
SEGUNDA: Modificar los subnumerales 2.1., 2.1.1.1. y 2.1.7. del Anexo 1, <ANEXO 1> los literales d) y h) del subnumeral 1.1.1., y los subnumerales 1.6., 1.9., 1.9.1. y 1.9.2. del Anexo 2 <ANEXO 2> , y el subnumeral 1.1., los literales d) y h) del subnumeral 1.1.1.1. y el subnumeral 1.1.7. del Anexo 3 <ANEXO 3> del Capítulo XXI de la Circular Básica Contable y Financiera «Reglas relativas al sistema de administración de riesgo de mercado», con el propósito de instruir a las entidades vigiladas para que den cumplimiento a las reglas en materia de administración del riesgo de mercado cuando celebren derivados de crédito en virtud de lo dispuesto por la Junta Directiva del Banco de la República mediante la Resolución Externa 10 de 2022.
TERCERA: Modificar los subnumerales 2.1., 2.1.1.1., y 2.1.7. del Anexo 6 <ANEXO 6> , el numeral 2 y los subnumerales 2.1.1., 2.6., 2.9., 2.9.1. y 2.9.2. del Anexo 7 <ANEXO 7>, y el numeral 2 y los subnumerales 2.1.1. y 2.7. del Anexo 8 <ANEXO 8> del Capítulo XXXI de la Circular Básica Contable y Financiera «Sistema Integral de Administración de Riesgos (SIAR)», de conformidad con la instrucción segunda de la presente Circular.
CUARTA: VIGENCIA. La presente Circular rige a partir de la fecha de su publicación.
Se adjuntan los archivos correspondientes.
Cordialmente,
JORGE CASTAÑO GUTIÉRREZ
Superintendente Financiero de Colombia
50000
CAPITULO XVIII - INSTRUMENTOS FINANCIEROS DERIVADOS Y PRODUCTOS ESTRUCTURADOS
Página 9
dos (2) partes se obligan a comprar/vender un subyacente en una fecha futura (fecha de vencimiento) a un valor establecido en el momento de la celebración del contrato.
5.1.3. Permutas financieras básicas ('swaps' genéricos)
Un 'swap' es un contrato entre dos (2) partes, mediante el cual se establece la obligación bilateral de intercambiar una serie de flujos por un período de tiempo determinado, en fechas preestablecidas.
Se consideran 'swaps' básicos los denominados 'swaps' de tasas de interés “Interest Rate Swap (IRS)”, los 'swaps' de monedas “Cross Currency Swap” (CCS) o una combinación de estos dos (2) tipos. Respecto de lo anterior, es necesario precisar que las permutas o intercambios de títulos u otros activos no constituyen instrumentos financieros derivados. A su vez, un 'swap' sobre cualquier otro subyacente debe ser considerado como un instrumento financiero derivado exótico (por ejemplo, los 'swaps' asociados a eventos crediticios).
En los 'swaps' de tasas de interés se intercambian flujos calculados sobre un monto nominal, denominados en una misma moneda, pero referidos a distintas tasas de interés. Generalmente, en este tipo de contratos una parte recibe flujos con una tasa de interés fija y la otra recibe flujos con una tasa variable, aunque también se puede dar el caso de intercambios referidos a flujos con tasas variables distintas. Todo 'swap' que intercambie flujos en UVR con flujos en pesos colombianos (a tasa fija o variable) se debe considerar como un 'swap' de tasa de interés.
En los 'swaps' de divisas, las partes intercambian flujos sobre montos nominales o nocionales denominados en distintas monedas, los cuales necesariamente están referidos a diferentes tasas de interés, fijas o variables.
En algunos casos, además de intercambiar flujos de tasas de interés en distintas divisas se puede pactar el intercambio de los montos nominales durante la vigencia del contrato.
5.1.4. Opciones europeas estándar de compra o de venta ('Call – Put')
Las opciones europeas estándar son contratos mediante los cuales se establece para el adquirente de la opción el derecho, más no la obligación, de comprar o vender el subyacente, según se trate de una opción 'call' o de una opción put', respectivamente, a un valor determinado, denominado precio de ejercicio, en una fecha futura previamente establecida, la cual corresponde al día de vencimiento.
En los contratos de opciones intervienen las dos (2) partes siguientes:
5.1.4.1. La parte que compra la opción, asume una posición larga en la opción y, por consiguiente, le corresponde pagar una prima con el fin de que su contraparte asuma el riesgo que le está cediendo. El comprador de una opción 'call' obtiene el derecho, más no la obligación, de comprar (recibir) el subyacente en caso de que quiera ejercerla. El comprador de una opción 'put' obtiene el derecho, más no la obligación, de vender (entregar) el subyacente en caso de que desee ejercerla; y
5.1.4.2. La parte que emite la opción, asume una posición corta en la misma y, por consiguiente, tiene el derecho a recibir una prima por asumir los riesgos que el comprador le está cediendo. El vendedor de una opción 'call' tiene la obligación de vender (entregar) el subyacente en caso de que el comprador de la opción la ejerza. El vendedor de una opción 'put' tiene la obligación de comprar (recibir) el subyacente cuando el comprador de la opción la ejerza.
5.1.5. Estrategias con instrumentos financieros derivados básicos
Se consideran estrategias con instrumentos financieros derivados básicos los instrumentos que combinen, de cualquier manera, los tipos de instrumentos financieros derivados básicos referidos en los subnumerales anteriores, en cuyo caso la medición del valor corresponde a la suma de las mediciones individuales de los instrumentos financieros derivados básicos que la componen. Éstos deben especificarse en el numeral 18 del Anexo 1 del presente Capítulo.
Como ejemplo, se pueden mencionar las estrategias denominadas: 'Participating forward', 'straddles', 'strangles', 'spread', 'butterfly' y 'condor'. Para efectos de la gestión de riesgos de este tipo de estrategias, debe tenerse en cuenta que la misma se efectúa muchas veces sobre la cartera constituida por los instrumentos financieros derivados que componen la estrategia, y no necesariamente sobre cada componente considerado en forma individual. En todo caso, debe entenderse que las necesidades de información para la administración de tales estrategias son mayores que en los demás casos.
5.1.6. Otros
También se consideran instrumentos financieros derivados básicos todos los instrumentos financieros derivados que se transen en bolsas, sistemas de negociación de valores o aquéllos que se compensen y liquiden en sistemas de compensación y liquidación de valores, en Colombia o en el exterior, siempre que tengan un valor razonable diario publicado, independientemente del tipo de subyacente del instrumento y de la propia estructura de éste.
Adicionalmente, en esta categoría se incluyen aquellos instrumentos financieros derivados OTC o no estandarizados cuyas respectivas contrapartes hayan decidido, en cualquier momento posterior a su negociación y antes de su vencimiento, que los mismos se compensen y liquiden en una CRCC que acepte interponerse como contraparte de dichas operaciones.
5.2. Instrumentos financieros derivados exóticos
Pag. 1
1. CONSIDERACIONES GENERALES
En el presente Anexo se establece el Modelo Estándar para la medición de riesgos de mercado adoptado por la SFC, el cual deben emplear los establecimientos de crédito, las instituciones oficiales especiales, los organismos cooperativos de grado superior y el que se derive de las operaciones por cuenta propia y con recursos propios realizadas por las sociedades comisionistas de bolsa de valores
Sin embargo, las entidades que cuenten con modelos internos no objetados por la SFC deberán utilizarlos de acuerdo con lo establecido en el numeral 5.2.2. del presente capítulo.
2. REGLAS RELATIVAS A LA APLICACIÓN DE MODELOS PARA LA MEDICION DE RIESGOS DE MERCADO
2.1 Reglas relativas a la medición de riesgos de mercado a través del modelo estándar para establecimientos de crédito, las instituciones oficiales especiales, los organismos cooperativos de grado superior y a las sociedades comisionistas de bolsa de valores.
La metodología estandarizada se compone de cinco (5) módulos los cuales se calculan separadamente y son los siguientes:
· Riesgo de tasa de interés.
· Riesgo de tasa de cambio.
· Riesgo de precio de acciones.
· Riesgo de inversiones en carteras colectivas.
· Riesgo de derivados de crédito.
Para obtener la exposición total a riesgos de mercado los resultados de estos módulos se deben agregar aritméticamente.
Para los módulos de tasa de interés y de acciones, se toman en cuenta únicamente las posiciones del libro de tesorería.
En el caso del módulo de tasa de cambio se incluyen también las posiciones del libro bancario.
Para el cálculo del módulo de tasa de cambio, las entidades podrán excluir el valor de la porción descubierta de sus inversiones controladas en el exterior, de las posiciones del libro bancario. Para el efecto, la exclusión o cualquier cambio en el monto excluido requerirá de la aprobación previa de la junta directiva, debidamente sustentada.
Dicha decisión deberá ser informada a la Superintendencia Financiera de Colombia dentro de los diez (10) días comunes siguientes a su aprobación, indicando la fecha en la cual tendrá efecto la decisión.
La exclusión deberá cumplir con las siguientes condiciones:
a. El monto definido por la entidad para la exclusión no puede exceder la diferencia entre:
i) el valor de las inversiones controladas en el exterior, incluyendo cualquier concepto que pueda modificar dicho valor como el crédito mercantil, las valorizaciones y las ganancias o pérdidas, entre otros, con independencia del
Pag. 3
2. Una posición nocional corta en un título pactado a la tasa de interés que la entidad paga.
Cuando la tasa de interés del instrumento subyacente sea fija, la madurez residual correspondiente será igual a la duración del contrato.
Para los casos en que la tasa de interés sea variable, la duración del flujo se calculará de acuerdo a lo estipulado en el numeral 2.1.2.1 del presente capítulo para dichas posiciones.
En el caso de swaps que involucren posiciones en distintas monedas (cross currency swaps) cada una de las posiciones deberá ser clasificada en la respectiva escalera para el cálculo del riesgo de tasa de interés y adicionalmente deberá ser tenida en cuenta para calcular la exposición al riesgo de tasa de cambio.
Para efectos de los futuros cuya estructura se asemeje a intercambios de flujos calculados sobre tasas de interés les será aplicable lo establecido en el presente literal (i.e. futuro sobre IBR).
Los derivados de crédito que involucren el intercambio de los flujos completos de un activo por una tasa de interés pactada (Total Return Swaps), deberán ser tratados como dos posiciones nocionales separadas, así:
1. Una posición nocional larga o corta en el título de referencia (subyacente del derivado) que recibe o paga la entidad.
2. Una posición nocional larga o corta en un título pactado a la tasa de interés que la entidad recibe o paga.
Dependiendo de la naturaleza del título subyacente, se deberá aplicar el factor de riesgo correspondiente de acuerdo con lo previsto en el presente anexo.
e. Futuros, Forwards y Operaciones a Plazo sobre acciones (o índices de acciones)
Estas operaciones deben descomponerse en dos (2) posiciones nocionales, una correspondiente a la acción (o índice de acciones) subyacente y otra correspondiente a un bono cero cupón con madurez residual igual al tiempo remanente para el cumplimiento del contrato.
Cuando la entidad tenga una posición larga en las operaciones de que trata el presente literal (es decir que se compromete a comprar una acción o índice de acciones a un precio previamente establecido en un punto de tiempo en el futuro), esta posición se descompone en:
1. Una posición nocional larga en el título subyacente.
2. Una posición nocional corta en un bono cero cupón con madurez residual igual al tiempo que resta para el cumplimiento del contrato (el valor nominal de esta posición corresponde al precio pactado).
Para el caso contrario (posición corta en el futuro, el forward o la operación a plazo), la primera posición nocional descrita es corta y la segunda larga.
Sólo la posición en el bono cero cupón computará en el cálculo de riesgo de tasa de interés. La posición en acciones será incluida en el módulo de Riesgo de precio de acciones.
Pag. 3-1
f. Operaciones Carrusel
En términos financieros, un carrusel consiste en una secuencia de operaciones de compra y venta de un título a futuro. Por lo anterior, para efectos de la exposición a riesgos de mercado de que trata el presente capítulo, estas operaciones deberán ser tratadas como una serie de operaciones de compra y venta a futuro del título subyacente. Cada una de estas operaciones deberá ser tratada de acuerdo a lo estipulado en el literal b del presente numeral.
g. Opciones
El tratamiento de estas operaciones será descrito en la sección 2.1.6.
Para valorar aquellas posiciones nocionales asimiladas a bonos cero cupón, se deberán seguir las siguientes indicaciones:
(i) Cuando la posición se encuentre en moneda legal, se deberá utilizar la curva cero cupón para títulos TES tasa fija en pesos, suministrada por el proveedor de precios para valoración designado como oficial para el segmento correspondiente;
(ii) Cuando la posición se encuentre denominada en UVR se deberá utilizar la curva cero cupón para títulos TES en UVR, suministrada por el proveedor de precios para valoración designado como oficial para el segmento correspondiente.
Pag. 4
(iii) Para el caso de posiciones denominadas en moneda extranjera, la tasa de descuento aplicable es la tasa “London Interbank Offer Rate” (LIBOR).
h. Notas estructuradas
El riesgo de mercado de las notas estructuradas que puedan descomponerse en instrumentos de renta fija o variable e instrumentos derivados deberá calcularse para cada uno de sus componentes.
Cuando se trate de notas estructuradas que, de acuerdo con su valoración, puedan descomponerse, el riesgo de mercado deberá calcularse teniendo en cuenta:(i) el módulo de tasa de interés, de acuerdo con las reglas contenidas en el numeral 2.1.2 de este anexo, cuando se trate de instrumentos de renta fija; (ii) el factor de riesgo de tasa de cambio, de acuerdo con las reglas contenidas en el numeral 2.1.3 del presente anexo; (iii) el factor de riesgo de precio de acciones o índice accionario, de acuerdo con las reglas contenidas en el numeral 2.1.4 del presente anexo, para el caso de instrumentos de renta variable, y (iv) el factor de riesgo de operaciones de derivados de crédito, de acuerdo con las reglas contenidas en el subnumeral 2.1.7 del presente anexo.
Cuando se trate de notas estructuradas que, de acuerdo con su valoración, no puedan descomponerse y se asemejen en su comportamiento y estructura a una opción, el riesgo de mercado deberá calcularse de acuerdo con las reglas contenidas en el numeral 2.1.6 del presente instructivo.
c. Inversiones clasificadas hasta el vencimiento entregadas como garantías
Las inversiones que sean entregadas como garantías en una cámara de riesgo central de contraparte con el fin de respaldar el cumplimiento de las operaciones aceptadas para su compensación y liquidación deberán ser tenidas en cuenta para el cálculo de la exposición al riesgo de tasa de interés, por su valor de mercado, independientemente de su clasificación contable.
Así mismo, en el evento en que estas inversiones estén expresadas en moneda diferente a moneda legal, deberán tenerse en cuenta adicionalmente en el cálculo de la exposición al riesgo de tasa de cambio.
2.1.1.2 Operaciones de reporto o repo, operaciones simultáneas y operaciones de transferencia temporal de valores
Las operaciones a que hace referencia el presente subnumeral generan un intercambio de valores y de dinero entre las partes, con el compromiso de reversarlo al final de la operación.
En las operaciones de reporto o repo (repo) y simultáneas, el “Enajenante” le entrega valores al ”Adquirente”, y al hacerlo le transfiere la propiedad de éstos. A cambio, el ”Adquirente” le entrega dinero al ”Enajenante”. De manera análoga, en las operaciones de transferencia temporal de valores el ”Originador” le entrega valores al “Receptor” y, al hacerlo, le transfiere la propiedad de éstos. A cambio, el ”Receptor” le entrega dinero o valores al “Originador”, en cuyo caso también se transfiere la propiedad.
Dado que en las tres (3) operaciones mencionadas la vocación del valor es regresar a manos del “Enajenante”, del “Originador” o del “Receptor”, según sea el caso, la realidad financiera de la operación exige que el riesgo siga en el balance de las entidades que entregaron los valores al principio de las mismas.
Pag. 16
1.) Por banda en las escaleras de duración modificada en el caso de opciones con subyacentes expuestos a riesgo de tasa de interés.
2.) Por mercado nacional en el caso de opciones con subyacentes expuestos a riesgo de cambios en el precio de acciones.
3.) Por moneda en el caso de opciones con subyacentes expuestos a riesgo de tasa de cambio.
Para cada grupo se calcula un impacto gamma neto, como la suma de los impactos gamma de todas las posiciones en la agrupación. Para el cálculo de los requerimientos de capital solamente se tienen en cuenta, en valor absoluto, los impactos gamma netos negativos.
c. Riesgo Vega
El riesgo vega refleja la sensibilidad del valor de las posiciones en opciones con respecto a cambios en la volatilidad del valor del instrumento subyacente. El cargo de capital correspondiente a este tipo de riesgo es calculado como la suma de los impactos vega de cada opción.
Estos impactos se calculan aplicando a la volatilidad del valor subyacente asociado un cambio de 25% positivo o negativo según sea la posición (corta o larga), sobre el factor vega correspondiente.
El factor vega correspondiente mide el cambio del valor de la opción ante un cambio unitario en la volatilidad del valor del instrumento subyacente.
Para el cálculo de los factores de sensibilidad delta, gamma y vega, así como de las volatilidades de los subyacentes que se utilicen en el cálculo del riesgo vega, las instituciones financieras deben aplicar metodologías concordantes con los modelos para la valoración de dichos instrumentos, de acuerdo a lo estipulado en el Capítulo XVIII de la presente circular.
a. La posición neta de cada derivado de crédito.
b. El factor de sensibilidad al riesgo general de los derivados de crédito publicado por la SFC.
2.1.8. Cálculo exposición total a los riesgos de mercado con el modelo estándar.
Con el fin de calcular la exposición total a los riesgos de mercado, las entidades a que hace referencia el presente numeral deben sumar las exposiciones obtenidas para cada uno de los módulos de la metodología estandarizada, de acuerdo a lo descrito en los subnumerales 2.1.2 a 2.1.5. y 2.1.7.
El monto obtenido siguiendo este procedimiento, corresponde a los riesgos de mercado aplicables al cálculo de la relación de solvencia de los establecimientos de crédito de acuerdo a lo estipulado en el Artículo 2.1.1.1.2 del Decreto 2555 de 2010 o demás normas
Pag 16-1
que lo sustituyan, modifiquen o subroguen. De forma análoga, el valor obtenido computa en la relación de solvencia de las sociedades comisionistas de bolsa de valores de acuerdo con lo estipulado en el artículo 2.9.1.1.2 del Decreto 2555 de 2010 o demás normas que lo sustituyan, modifiquen o subroguen.
ANEXO 2. CAPITULO XXI REGLAS RELATIVAS A LA ADMINISTRACIÓN DE LOS RIESGOS DE MERCADO.
Pag. 3
d. Swaps de tasas de interés.
Estos instrumentos deberán ser tratados como dos posiciones nocionales en bonos subyacentes en las tasas de interés respectivas. En este sentido la posición se descompone en:
1. Una posición nocional larga en un título pactado a la tasa de interés que recibe la entidad.
2. Una posición nocional corta en un título pactado a la tasa de interés que la entidad paga.
Cuando la tasa de interés del instrumento subyacente sea fija, la madurez residual correspondiente será igual a la duración del contrato. Para los casos en que la tasa de interés sea variable, la duración del flujo se calculará de acuerdo a lo estipulado en el numeral 2.1.2.1 del Anexo 1 del presente capítulo.
En el caso de swaps que involucren posiciones en distintas monedas (cross currency swaps) cada una de las posiciones deberá ser tenida en cuenta para calcular la exposición al riesgo de tasa de cambio.
Para efectos de los futuros cuya estructura se asemeje a intercambios de flujos calculados sobre tasas de interés les será aplicable lo establecido en el presente literal (i.e. futuro sobre IBR).
Los derivados de crédito que involucren el intercambio de los flujos completos de un activo por una tasa de interés pactada (Total Return Swaps) deberán ser tratados como dos posiciones nocionales separadas, así:
1. Una posición nocional larga o corta en el título de referencia (subyacente del derivado) que recibe o paga la entidad.
2. Una posición nocional larga o corta en un título pactado a la tasa de interés que la entidad recibe o paga.
Dependiendo de la naturaleza del título subyacente, se deberá aplicar el factor de riesgo correspondiente de acuerdo con lo previsto en el presente Anexo.
e. Futuros, Forwards y Operaciones a Plazo sobre acciones (o índices de acciones).
Estas operaciones deben descomponerse en dos (2) posiciones nocionales, una correspondiente a la acción (o índice de acciones) subyacente y otra correspondiente a un bono cero cupón con madurez residual igual al tiempo remanente para el cumplimiento del contrato.
Cuando la entidad tenga una posición larga en las operaciones señaladas en el presente literal (es decir que se compromete a comprar una acción o índice de acciones a un precio previamente establecido en un punto de tiempo en el futuro), esta posición se descompone en:
1. Una posición nocional larga en el título subyacente.
2. Una posición nocional corta en un bono cero cupón con madurez residual igual al tiempo que resta para el cumplimiento del contrato (el valor nominal de esta posición corresponde al precio pactado).
Para el caso contrario (posición corta en el futuro, el forward o la operación a plazo), la primera posición nocional descrita es corta y la segunda larga.
Sólo la posición en el bono cero cupón computará en el cálculo de riesgo de tasa de interés. La posición en acciones estará sujeta al factor de riesgo de precio de acciones.
Pag. 4
f. Operaciones Carrusel
En términos financieros, un carrusel consiste en una secuencia de operaciones de compra y venta de un título a futuro. Por lo anterior, para efectos de la exposición a riesgos de mercado de que trata el presente capítulo, estas operaciones deberán ser tratadas como una serie de operaciones de compra y venta a futuro del título subyacente. Cada una de estas operaciones deberá ser tratada de acuerdo a lo estipulado en el literal b del presente numeral.
g. Opciones.
El tratamiento de estas operaciones será descrito en la sección 1.7.
Para valorar aquellas posiciones nocionales asimiladas a bonos cero cupón, se deberán seguir las siguientes indicaciones:
(i) Cuando la posición se encuentre en moneda legal, se deberá utilizar la curva cero cupón para títulos TES tasa fija en pesos suministrados por el proveedor de precios para valoración designado como oficial para el segmento correspondiente.
(ii) Cuando la posición se encuentre denominada en UVR se deberá utilizar la curva cero cupón para títulos TES en UVR suministrados por el proveedor de precios para valoración designado como oficial para el segmento correspondiente; y
(iii) Para el caso de posiciones denominadas en moneda extranjera, la tasa de descuento aplicable es la tasa “London Interbank Offer Rate” (LIBOR).
h. Notas estructuradas
El riesgo de mercado de las notas estructuradas que puedan descomponerse en instrumentos de renta fija o variable e instrumentos derivados deberá calcularse para cada uno de sus componentes.
Cuando se trate de notas estructuradas que, de acuerdo con su valoración, no puedan descomponerse y se asemejen en su comportamiento y estructura a una opción, el riesgo de mercado deberá calcularse de acuerdo con las reglas contenidas en el numeral 1.7 del presente instructivo.
Pag. 15
| DTF | 10. Corto Plazo | |
| 11.Largo Plazo | ||
| 12. IPC | ||
| Tasa de Cambio | 13. TRM | |
| 14. Euro / Pesos | ||
| Precio de Acciones | 15. Acciones Colombia | |
| 16. Acciones Global | ||
| Participación en Carteras colectivas | 17. Carteras colectivas | |
| Derivados de Crédito | 18. Derivados de Crédito | |
* Los componentes principales 1, 2 y 3 describen los choques de tasa paralelo, de pendiente y convexidad respectivamente y se comportan como factores de riesgo independientes.
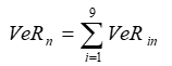
1.6.1. Suma aritmética de los VeR de cada factor de riesgo (suma de los Valores en Riesgo de un mismo factor de riesgo).
a. Factores de riesgo con cálculo de exposición por banda de tiempo
En el caso del riesgo de tasa de interés en moneda legal y extranjera (Componentes Principales de las Curvas Cero Cupón, pesos, UVR y tesoros), existe un VeR por banda de tiempo para cada uno de los factores de riesgo (en este caso se aplicará solo para los factores 1 a 9 según la Tabla 5). Este valor en riesgo debe ser agregado aritméticamente de la siguiente forma.

Donde:
n: Factor de riesgo n, n = 1…..9.
i: Banda de tiempo para cálculo de exposición al riesgo de mercado para tasa de interés
: Valor en Riesgo de la banda de tiempo i para el factor de riesgo n.
: Valor en riesgo total del factor de riesgo n.
b. Factores de riesgo con cálculo de exposición total (sin bandas de tiempo)
En el caso de los factores de riesgo 10 a 18, listados en la Tabla 5, no se hace necesaria una agregación aritmética de la exposición dado que estos no utilizan bandas de tiempo para el cálculo de la exposición. En este caso se tomará el valor de la exposición total calculada, según lo descrito en el presente instructivo.
Pag. 17
posiciones en opciones se agruparán según el factor de riesgo asociado al instrumento subyacente.
Para cada grupo se calcula un impacto gamma neto, como la suma de los impactos gamma de todas las posiciones en la agrupación.
Cuando el subyacente de la opción, sea el mismo factor de riesgo asociado, este cargo no deberá ser tenido en cuenta.
c. Riesgo Vega
El riesgo vega refleja la sensibilidad del valor de las posiciones en opciones con respecto a cambios en la volatilidad del valor del instrumento subyacente. El valor en riesgo es calculado como la suma de los impactos vega de cada opción.
Estos impactos se calculan aplicando a la volatilidad del valor subyacente asociado un cambio de 25% positivo o negativo según sea la posición (corta o larga), sobre el factor vega correspondiente.
El factor vega correspondiente mide el cambio del valor de la opción ante un cambio unitario en la volatilidad del valor del instrumento subyacente.
Para el cálculo de los factores de sensibilidad delta, gamma y vega, así como de las volatilidades de los subyacentes que se utilicen en el cálculo del riesgo vega, las instituciones financieras deben aplicar metodologías concordantes con los modelos para la valoración de dichos instrumentos, de acuerdo a lo estipulado en el Capítulo XVIII de la presente circular.
1.8 Matrices de choques por componente principal, volatilidades y correlaciones de los factores de riesgo
Las matrices de choques por componente principal, las volatilidades y la matriz de correlaciones se actualizarán mensualmente, a más tardar el día 25 de cada mes, o el siguiente día hábil si este último no lo es, a través de la página web de la Superintendencia Financiera de Colombia.
1.9.2. Cálculo de la exposición neta y sensibilidad al riesgo
Pag 18.
El valor en riesgo para este factor de riesgo se calculará de la siguiente forma:
![]()
Donde:
VeR: Valor en riesgo por variación en el factor de riesgo.
ó: Volatilidad asociada al factor de riesgo de Derivados de Crédito
2. REGLAS RELATIVAS A LOS REPORTES DE INFORMACION
Los resultados de la medición de riesgos de mercado deben reportarse a la Superintendencia Financiera de Colombia con la periodicidad establecida en los formatos previstos para este propósito.
Pag. 1
CONSIDERACIONES GENERALES
En el presente Anexo se establece el Modelo Estándar para la medición de riesgos de mercado adoptado por la SFC, el cual deben emplear las entidades de seguros generales para las inversiones que respalden sus reservas técnicas.
Sin embargo, las entidades que cuenten con modelos internos no objetados por la SFC deberán utilizarlos de acuerdo con lo establecido en el numeral 5.2.2. del presente capítulo.
1. REGLAS RELATIVAS A LA APLICACIÓN DE MODELOS PARA LA MEDICION DE RIESGOS DE MERCADO
1.1. Reglas relativas a la medición de riesgos de mercado a través del modelo estándar para las entidades de seguros generales.
La metodología estandarizada se compone de cinco (5) módulos los cuales se calculan separadamente y son los siguientes:
· Riesgo de tasa de interés.
· Riesgo de tasa de cambio.
· Riesgo de precio de acciones.
· Riesgo de inversiones en carteras colectivas.
· Riesgo de derivados de crédito.
Para obtener la exposición total a riesgos de mercado los resultados de estos módulos se deben agregar aritméticamente.
Para los módulos de tasa de interés y de acciones, se toman en cuenta únicamente las posiciones del libro de tesorería. En el caso del módulo de tasa de cambio se incluyen también las posiciones del libro bancario.
1.1.1. Tratamiento de las posiciones en derivados y otras operaciones
Las posiciones en instrumentos derivados y en operaciones de repo o reporto, en operaciones simultáneas y en operaciones de transferencia temporal de valores serán tenidas en cuenta para el cálculo de los requerimientos de capital en cada uno de los módulos de acuerdo a las condiciones señaladas a continuación.
1.1.1.1. Posiciones en derivados
Para su inclusión en los cálculos del cargo de capital del presente numeral, los instrumentos derivados deberán ser convertidos en posiciones de los instrumentos subyacentes correspondientes. Los montos reportados corresponderán al valor de mercado de las posiciones nocionales reportadas. A continuación se presentan instrucciones referentes al tratamiento de algunos instrumentos específicos.
a. Futuros y Forwards sobre tasa de interés
Estos instrumentos deberán ser tratados como dos (2) posiciones nocionales en bonos cero cupón.
Pag. 3
d. Swaps de tasas de interés
Estos instrumentos deberán ser tratados como dos posiciones nocionales en bonos subyacentes en las tasas de interés respectivas. En este sentido la posición se descompone en:
1. Una posición nocional larga en un título pactado a la tasa de interés que recibe la entidad.
2. Una posición nocional corta en un título pactado a la tasa de interés que la entidad paga.
Cuando la tasa de interés del instrumento subyacente sea fija, la madurez residual correspondiente será igual a la duración del contrato.
Para los casos en que la tasa de interés sea variable, la duración del flujo se calculará de acuerdo a lo estipulado en el numeral 1.1.2.1 del presente anexo para dichas posiciones.
En el caso de swaps que involucren posiciones en distintas monedas (cross currency swaps) cada una de las posiciones deberá ser clasificada en la respectiva escalera para el cálculo del riesgo de tasa de interés y adicionalmente deberá ser tenida en cuenta para calcular la exposición al riesgo de tasa de cambio.
Para efectos de los futuros cuya estructura se asemeje a intercambios de flujos calculados sobre tasas de interés les será aplicable lo establecido en el presente literal (i.e. futuro sobre IBR).
Los derivados de crédito que involucren el intercambio de los flujos completos de un activo por una tasa de interés pactada (Total Return Swaps), deberán ser tratados como dos posiciones nocionales separadas, así:
1. Una posición nocional larga o corta en el título de referencia (subyacente del derivado) que recibe o paga la entidad.
2. Una posición nocional larga o corta en un título pactado a la tasa de interés que la entidad recibe o paga.
Dependiendo de la naturaleza del título subyacente, se deberá aplicar el factor de riesgo correspondiente de acuerdo con lo previsto en el presente Anexo.
e. Futuros, Forwards y Operaciones a Plazo sobre acciones (o índices de acciones)
Estas operaciones deben descomponerse en dos (2) posiciones nocionales, una correspondiente a la acción (o índice de acciones) subyacente y otra correspondiente a un bono cero cupón con madurez residual igual al tiempo remanente para el cumplimiento del contrato.
Cuando la entidad tenga una posición larga en las operaciones de que trata el presente literal (es decir que se compromete a comprar una acción o índice de acciones a un precio previamente establecido en un punto de tiempo en el futuro), esta posición se descompone en:
1. Una posición nocional larga en el título subyacente.
2. Una posición nocional corta en un bono cero cupón con madurez residual igual al tiempo que resta para el cumplimiento del contrato (el valor nominal de esta posición corresponde al precio pactado).
Para el caso contrario (posición corta en el futuro, el forward o la operación a plazo), la primera posición nocional descrita es corta y la segunda larga.
Pag. 3-1
Sólo la posición en el bono cero cupón computará en el cálculo de riesgo de tasa de interés. La posición en acciones será incluida en el módulo de Riesgo de precio de acciones.
f. Operaciones Carrusel
En términos financieros, un carrusel consiste en una secuencia de operaciones de compra y venta de un título a futuro. Por lo anterior, para efectos de la exposición a riesgos de mercado de que trata el presente capítulo, estas operaciones deberán ser tratadas como una serie de operaciones de compra y venta a futuro del título
Pag. 4
subyacente. Cada una de estas operaciones deberá ser tratada de acuerdo a lo estipulado en el literal b del presente numeral.
g. Opciones
El tratamiento de estas operaciones será descrito en la sección 1.1.6 del presente anexo.
Para valorar aquellas posiciones nocionales asimiladas a bonos cero cupón, se deberán seguir las siguientes indicaciones:
(i) Cuando la posición se encuentre en moneda legal, se deberá utilizar la curva cero cupón para títulos TES tasa fija en pesos, suministrada por el proveedor de precios para valoración designado como oficial para el segmento correspondiente
(ii) Cuando la posición se encuentre denominada en UVR se deberá utilizar la curva cero cupón para títulos TES en UVR, suministrada por el proveedor de precios para valoración designado como oficial para el segmento correspondiente; y
(iii) Para el caso de posiciones denominadas en moneda extranjera, la tasa de descuento aplicable es la tasa “London Interbank Offer Rate” (LIBOR).
h. Notas estructuradas
El riesgo de mercado de las notas estructuradas que puedan descomponerse en instrumentos de renta fija o variable e instrumentos derivados deberá calcularse para cada uno de sus componentes.
Cuando se trate de notas estructuradas que, de acuerdo con su valoración, puedan descomponerse, el riesgo de mercado deberá calcularse teniendo en cuenta: (i) el módulo de tasa de interés, de acuerdo con las reglas contenidas en el numeral 1.1.2 de este anexo, cuando se trate de instrumentos de renta fija; (ii) el factor de riesgo de tasa de cambio, de acuerdo con las reglas contenidas en el numeral 1.1.3 del presente anexo; (iii) el factor de riesgo de precio de acciones o índice accionario, de acuerdo con las reglas contenidas en el numeral 1.1.4 del presente anexo, para el caso de instrumentos de renta variable, y (iv) el factor de riesgo de operaciones de derivados de crédito, de acuerdo con las reglas contenidas en el numeral 1.1.7 del presente anexo.
Cuando se trate de notas estructuradas que, de acuerdo con su valoración, no puedan descomponerse y se asemejen en su comportamiento y estructura a una opción, el riesgo de mercado deberá calcularse de acuerdo con las reglas contenidas en el numeral 1.1.6 del presente anexo.
i. Inversiones clasificadas hasta el vencimiento entregadas como garantías
Las inversiones que sean entregadas como garantías en una cámara de riesgo central de contraparte con el fin de respaldar el cumplimiento de las operaciones aceptadas para su compensación y liquidación deberán ser tenidas en cuenta para el cálculo de la exposición al riesgo de tasa de interés, por su valor de mercado, independientemente de su clasificación contable.
Así mismo, en el evento en que estas inversiones estén expresadas en moneda diferente a moneda legal, deberán tenerse en cuenta adicionalmente en el cálculo de la exposición al riesgo de tasa de cambio.
1.1.1.2. Operaciones de reporto o repo, operaciones simultáneas y operaciones de transferencia temporal de valores
Las operaciones a que hace referencia el presente subnumeral generan un intercambio de valores y de dinero entre las partes, con el compromiso de reversarlo al final de la operación.
Pag. 5-1
En las operaciones de reporto o repo (repo) y simultáneas, el “Enajenante” le entrega valores al “Adquirente”, y al hacerlo le transfiere la propiedad de éstos. A cambio, el “Adquirente” le entrega dinero al “Enajenante”. De manera análoga, en las operaciones de
Pag. 14-1
una tasa de interés. Para las opciones en acciones, la variación en el valor del subyacente es el factor de ponderación correspondiente según lo estipulado en 1.1.4. Para las posiciones en moneda extranjera o divisas, el cambio en el valor del subyacente es el estipulado en la Tabla 2 según corresponda.
Posteriormente, las posiciones en opciones se agruparán según el instrumento subyacente, como se explica a continuación:
a. Por banda en las escaleras de duración modificada en el caso de opciones con subyacentes expuestos a riesgo de tasa de interés.
b. Por mercado nacional en el caso de opciones con subyacentes expuestos a riesgo de cambios en el precio de acciones.
c. Por moneda en el caso de opciones con subyacentes expuestos a riesgo de tasa de cambio.
Para cada grupo se calcula un impacto gamma neto, como la suma de los impactos gamma de todas las posiciones en la agrupación. Para el cálculo de los requerimientos de capital solamente se tienen en cuenta, en valor absoluto, los impactos gamma netos negativos.
c. Riesgo Vega
El riesgo vega refleja la sensibilidad del valor de las posiciones en opciones con respecto a cambios en la volatilidad del valor del instrumento subyacente. El cargo de capital correspondiente a este tipo de riesgo es calculado como la suma de los impactos vega de cada opción.
Estos impactos se calculan aplicando a la volatilidad del valor subyacente asociado un cambio de 25% positivo o negativo según sea la posición (corta o larga), sobre el factor vega correspondiente.
El factor vega correspondiente mide el cambio del valor de la opción ante un cambio unitario en la volatilidad del valor del instrumento subyacente.
Para el cálculo de los factores de sensibilidad delta, gamma y vega, así como de las volatilidades de los subyacentes que se utilicen en el cálculo del riesgo vega, las instituciones financieras deben aplicar metodologías concordantes con los modelos para la valoración de dichos instrumentos, de acuerdo a lo estipulado en el Capítulo XVIII de la presente circular.
a. La posición neta de cada derivado de crédito.
b. El factor de sensibilidad al riesgo general de los derivados de crédito publicado por la SFC.
1.1.8. Cálculo exposición total a los riesgos de mercado con el modelo estándar.
Con el fin de calcular la exposición total a los riesgos de mercado, las entidades a que hace referencia el presente anexo deben sumar las exposiciones obtenidas para cada uno de los módulos de la metodología estandarizada, de acuerdo con lo descrito en los subnumerales 1.1.2 a 1.1.5 y 1.1.6 del presente anexo.
Pag. 14-2
El monto obtenido siguiendo este procedimiento, corresponde al valor de la exposición por riesgo de mercado aplicable al cálculo del patrimonio adecuado de las entidades de seguros generales de conformidad con lo dispuesto en el artículo 2.31.1.2.10 del Decreto 2555 de 2010.
Pag. 1
1. CONSIDERACIONES GENERALES
En el presente Anexo se establece el modelo estándar para la medición de riesgos de mercado adoptado por la SFC, el cual deben emplear los EC, las IOEs y el que se derive de las operaciones por cuenta propia y con recursos propios realizadas por las sociedades comisionistas de bolsa de valores SCBV.
2. REGLAS RELATIVAS A LA APLICACIÓN DE MODELOS PARA LA MEDICIÓN DE RIESGOS DE MERCADO
2.1. Reglas relativas a la medición de riesgos de mercado a través del modelo estándar para EC, las IOEs y SCBV
La metodología estandarizada se compone de 5 módulos los cuales se calculan separadamente y son los siguientes:
a. Riesgo de tasa de interés.
b. Riesgo de tasa de cambio.
c. Riesgo de precio de acciones.
d. Riesgo de FICs.
e. Riesgo de derivados de crédito.
Para obtener la exposición total a riesgos de mercado los resultados de estos módulos se deben agregar aritméticamente.
Para los módulos de tasa de interés y de acciones, se toman en cuenta únicamente las posiciones del libro de tesorería. En el caso del módulo de tasa de cambio se incluyen también las posiciones del libro bancario.
Para el cálculo del módulo de tasa de cambio, las entidades podrán excluir el valor de la porción descubierta de sus inversiones controladas en el exterior, de las posiciones del libro bancario. Para el efecto, la exclusión o cualquier cambio en el monto excluido requerirá de la aprobación previa de la junta directiva, debidamente sustentada.
Dicha decisión debe ser informada a la SFC dentro de los 10 días comunes siguientes a su aprobación, indicando la fecha en la cual tendrá efecto la decisión.
La exclusión debe cumplir con las siguientes condiciones:
a. El monto definido por la entidad para la exclusión no puede exceder la diferencia entre:
i. El valor de las inversiones controladas en el exterior, incluyendo cualquier concepto que pueda modificar dicho valor como el crédito mercantil, las valorizaciones y las ganancias o pérdidas, entre otros, con independencia del código contable que estén utilizando para el reporte de los mismos. Para el efecto, el monto del crédito mercantil deberá incluirse tomando el valor que tenía al momento en que se generó, descontando los ajustes por deterioro, en la moneda en que está estipulada la inversión; y
ii. El valor de los derivados y demás obligaciones designadas por el órgano competente de la entidad como instrumentos de cobertura de las inversiones controladas en el exterior, en cumplimiento de los requisitos de la contabilidad de coberturas de las NIIF, siempre que estos pasivos estén en la misma moneda en que está estipulada la inversión controlada en el exterior. El valor de estos pasivos no puede, en ningún caso, exceder el valor total actual de las inversiones controladas en el exterior, de tal forma que la exclusión no podrá ser una posición neta negativa.
b. La exclusión del cálculo debe mantenerse al menos por un periodo de 6 meses.
c. Cuando la entidad planee liquidar parcial o totalmente la inversión controlada en el exterior, deberá incluir en el cálculo del módulo de tasa de cambio, el valor de esta con una antelación mínima de 6 meses.
2.1.1 Tratamiento de las posiciones en derivados y otras operaciones
Las posiciones en instrumentos derivados y en operaciones de repo o reporto, en operaciones simultáneas y en operaciones de transferencia temporal de valores deben ser tenidos en cuenta para el cálculo de los requerimientos de capital en cada uno de los módulos de acuerdo con las condiciones señaladas a continuación.
Pag. 3
ii. Una posición nocional corta en un título pactado a la tasa de interés que la entidad paga.
Cuando la tasa de interés del instrumento subyacente sea fija, la madurez residual correspondiente será igual a la duración del contrato.
Para los casos en que la tasa de interés sea variable, la duración del flujo se debe calcular de acuerdo con lo estipulado en el subnumeral 2.1.2.1 del presente Anexo para dichas posiciones.
En el caso de swaps que involucren posiciones en distintas monedas (cross currency swaps) cada una de las posiciones deberá ser clasificada en la respectiva escalera para el cálculo del riesgo de tasa de interés y adicionalmente deberá ser tenida en cuenta para calcular la exposición al riesgo de tasa de cambio.
Para efectos de los futuros cuya estructura se asemeje a intercambios de flujos calculados sobre tasas de interés les aplica lo establecido en el presente literal (i.e. futuro sobre IBR).
i. Una posición nocional larga o corta en el título de referencia (subyacente del derivado) que recibe o paga la entidad.
ii. Una posición nocional larga o corta en un título pactado a la tasa de interés que la entidad recibe o paga.
e. Futuros, Forwards y Operaciones a Plazo sobre acciones (o índices de acciones)
Estas operaciones deben descomponerse en 2 posiciones nocionales, una correspondiente a la acción (o índice de acciones) subyacente y otra correspondiente a un bono cero cupón con madurez residual igual al tiempo remanente para el cumplimiento del contrato.
Cuando la entidad tenga una posición larga en las operaciones de que trata el presente literal (es decir que se compromete a comprar una acción o índice de acciones a un precio previamente establecido en un punto de tiempo en el futuro), esta posición se descompone en:
i. Una posición nocional larga en el título subyacente.
ii. Una posición nocional corta en un bono cero cupón con madurez residual igual al tiempo que resta para el cumplimiento del contrato (el valor nominal de esta posición corresponde al precio pactado).
Para el caso contrario (posición corta en el futuro, el forward o la operación a plazo), la primera posición nocional descrita es corta y la segunda larga.
Sólo la posición en el bono cero cupón computará en el cálculo de riesgo de tasa de interés. La posición en acciones será incluida en el módulo de Riesgo de precio de acciones.
f. Operaciones Carrusel
En términos financieros, un carrusel consiste en una secuencia de operaciones de compra y venta de un título a futuro. Por lo anterior, para efectos de la exposición a riesgos de mercado de que trata el presente capítulo, estas operaciones deberán ser tratadas como una serie de operaciones de compra y venta a futuro del título subyacente. Cada una de estas operaciones deberá ser tratada de acuerdo con lo estipulado en el literal b del presente subnumeral.
g. Opciones
El tratamiento de estas operaciones será descrito en el subnumeral 2.1.6 del presente Anexo.
Para valorar aquellas posiciones nocionales asimiladas a bonos cero cupón, se deberán seguir las siguientes indicaciones:
i. Cuando la posición se encuentre en moneda legal, se deberá utilizar la curva cero cupón para títulos TES tasa fija en pesos, suministrada por el proveedor de precios para valoración designado como oficial para el segmento correspondiente;
ii. Cuando la posición se encuentre denominada en UVR se deberá utilizar la curva cero cupón para títulos TES en UVR, suministrada por el proveedor de precios para valoración designado como oficial para el segmento correspondiente.
iii. Para el caso de posiciones denominadas en moneda extranjera, la tasa de descuento aplicable es la tasa “London Interbank Offer Rate” (LIBOR).
Pag 3-1
h. Notas estructuradas
El riesgo de mercado de las notas estructuradas que puedan descomponerse en instrumentos de renta fija o variable e instrumentos derivados deberá calcularse para cada uno de sus componentes.
Pag. 12
2.1.6.2. Aproximación intermedia
En la aproximación intermedia el cargo de capital asociado a las posiciones en opciones es calculado a partir de los factores de sensibilidad (“Griegas”) delta, gamma y vega de acuerdo con lo estipulado en los siguientes incisos:
a. Posición delta ponderada.
Bajo esta aproximación la posición delta ponderada de las opciones está sujeta a los requerimientos de capital descritos en los subnumerales 2.1.2. a 2.1.5. del presente Anexo dependiendo de los cargos aplicables al subyacente de la opción.
b. Riesgo Gamma.
Para cada opción, un impacto gamma deberá ser calculado como:
![]()
Donde:
VS Variación del Valor del Subyacente
Gamma Cambio del factor delta ante un cambio de una unidad en el valor del subyacente.
La variación en el valor del subyacente corresponde al factor de sensibilidad de la banda correspondiente en la Tabla 1 cuando el subyacente sea un título de deuda o una tasa de interés. Para las opciones en acciones, la variación en el valor del subyacente es el factor de ponderación correspondiente según lo estipulado en el subnumeral 2.1.4 del presente Anexo. Para las posiciones en moneda extranjera o divisas, el cambio en el valor del subyacente es el estipulado en la Tabla 2 según corresponda.
Posteriormente, las posiciones en opciones se agruparán según el instrumento subyacente, como se explica a continuación:
i. Por banda en las escaleras de duración modificada en el caso de opciones con subyacentes expuestos a riesgo de tasa de interés.
ii. Por mercado nacional en el caso de opciones con subyacentes expuestos a riesgo de cambios en el precio de acciones.
iii. Por moneda en el caso de opciones con subyacentes expuestos a riesgo de tasa de cambio.
Para cada grupo se calcula un impacto gamma neto, como la suma de los impactos gamma de todas las posiciones en la agrupación. Para el cálculo de los requerimientos de capital solamente se tienen en cuenta, en valor absoluto, los impactos gamma netos negativos.
c. Riesgo Vega.
El riesgo vega refleja la sensibilidad del valor de las posiciones en opciones con respecto a cambios en la volatilidad del valor del instrumento subyacente. El cargo de capital correspondiente a este tipo de riesgo es calculado como la suma de los impactos vega de cada opción.
Estos impactos se calculan aplicando a la volatilidad del valor subyacente asociado un cambio de 25% positivo o negativo según sea la posición (corta o larga), sobre el factor vega correspondiente.
El factor vega correspondiente mide el cambio del valor de la opción ante un cambio unitario en la volatilidad del valor del instrumento subyacente.
Para el cálculo de los factores de sensibilidad delta, gamma y vega, así como de las volatilidades de los subyacentes que se utilicen en el cálculo del riesgo vega, las instituciones financieras deben aplicar metodologías concordantes con los modelos para la valoración de dichos instrumentos, de acuerdo con lo estipulado en el Capítulo XVIII de la CBCF.
2.1.7. Riesgo de derivados de crédito
a. La posición neta de cada derivado de crédito.
b. El factor de sensibilidad al riesgo general de los derivados de crédito publicado por la SFC.
Pag. 12-1
MODELOS CUANTITATIVOS DE RIESGO DE MERCADO APLICABLES A LAS SOCIEDADES FIDUCIARIAS, SOCIEDADES ADMINISTRADORAS DE FONDOS DE PENSIONES Y DE CESANTÍA, SOCIEDADES ADMINISTRADORAS DE INVERSIÓN, ENTIDADES ADMINISTRADORAS DEL RÉGIMEN SOLIDARIO DE PRIMA MEDIA, ENTIDADES ASEGURADORAS, SOCIEDADES DE CAPITALIZACIÓN, ASÍ COMO A LOS FONDOS DE INVERSIÓN COLECTIVA Y FONDOS QUE ÉSTAS Y LAS SOCIEDADES COMISIONISTAS DE BOLSA DE VALORES ADMINISTRAN.
Pag. 1
1. CONSIDERACIONES GENERALES
En el presente anexo se establece el Modelo Estándar para la medición de riesgo de mercado el cual deben emplear las SF, sociedades administradoras de fondos de pensiones y de cesantía, SAI, entidades administradoras del régimen solidario de prima media, EA, sociedades de capitalización, así como a los FICs y fondos que éstas administran. Igualmente, se debe aplicar lo dispuesto en el presente Anexo a los fondos y/o fideicomisos listados en el literal b. y d. del subnumeral 3.1. de la Parte III del presente Capítulo.
Las SCBV deben utilizar el modelo presentado en el presente Anexo para medir de forma independiente la exposición a riesgos de mercado para las posiciones de cada uno de los portafolios administrados.
2. METODOLOGÍA ESTÁNDAR DE MEDICIÓN
La metodología estandarizada se compone de un modelo de factores de riesgo correlacionado, calculando los siguientes factores de riesgo:
a. Riesgo de tasa de interés.
b. Riesgo de tasa de cambio.
c. Riesgo del precio de acciones o índices accionarios.
d. Riesgo por inversiones en FICs.
2.1 Tratamiento de las Posiciones en derivados y otras operaciones
El presente numeral aplica para aquellas entidades, FICs o portafolios, que por su régimen de inversiones puedan realizar este tipo de operaciones. Las posiciones en instrumentos derivados y en operaciones de repo o reporto, en operaciones simultáneas y en operaciones de transferencia temporal de valores serán tenidas en cuenta para el cálculo de la exposición al riesgo de mercado, independientemente de su clasificación contable y de acuerdo con las condiciones señaladas a continuación.
2.1.1. Posiciones en derivados
Para su inclusión en el cálculo de la exposición a riesgos de mercado del presente numeral, los instrumentos derivados deben ser convertidos en posiciones de los instrumentos subyacentes correspondientes. Los montos reportados corresponderán al valor de mercado de las posiciones nocionales reportadas. A continuación, se presentan instrucciones referentes al tratamiento de algunos instrumentos específicos.
a. Futuros y Forwards sobre tasa de interés.
Estos instrumentos deberán ser tratados como 2 posiciones nocionales en bonos cero cupón. Cuando la entidad vigilada vende un futuro sobre una tasa de interés o compra un forward sobre tasa de interés, es decir, que se compromete a pagar una tasa de interés durante un periodo de tiempo en el futuro, esta posición se descompone en:
i. Una posición nocional corta en un bono cero cupón con madurez residual igual al tiempo que resta hasta el inicio del contrato más el periodo efectivo de pago de la tasa de interés.
ii. Una posición nocional larga en un bono cero cupón con madurez residual igual al tiempo que resta hasta el inicio del contrato.
Para el caso contrario (la entidad compra un futuro o vende un FRA), la primera posición nocional descrita es larga y la segunda corta.
Para efectos de los futuros y forwards sobre variaciones de índices no accionarios les será aplicable lo establecido en el presente literal (i.e. futuro sobre inflación).
b. Futuros, Forwards y Operaciones a Plazo sobre títulos de deuda.
Estos instrumentos deberán ser tratados como 2 posiciones nocionales, una en el título subyacente y otra en un bono cero cupón. Cuando la entidad tenga una posición larga en las operaciones de que trata el
Pag 2
presente literal (es decir que se compromete a comprar un título a un precio previamente establecido en un punto de tiempo en el futuro), esta posición se descompone en:
i. Una posición nocional larga en el título subyacente.
ii. Una posición nocional corta en un bono cero cupón con madurez residual igual al tiempo que resta para el cumplimiento del contrato (el valor nominal de esta posición corresponde al precio pactado).
Para el caso contrario (posición corta en el futuro, el forward o la operación a plazo), la primera posición nocional descrita es corta y la segunda larga.
Cuando el título subyacente de la operación esté denominado en una moneda distinta a la legal, la primera posición nocional descrita deberá ser tenida en cuenta para calcular la exposición al riesgo de tasa de cambio.
En el caso de los futuros sobre bonos nocionales que se negocien en la Bolsa de Valores de Colombia, la posición nocional larga de que trata el presente literal será calculada cómo el cociente entre el valor a precios de mercado del “cheapest to deliver” a la fecha de valoración respectiva y el factor de conversión definido por la Bolsa de Valores de Colombia.
Para este tipo de futuros sobre bonos nocionales, la posición nocional corta se definirá de acuerdo con las instrucciones señaladas en el presente literal.
c. Futuros, Forwards y Operaciones a Plazo sobre divisas.
Estos instrumentos deberán ser tratados como 2 posiciones nocionales en bonos cero cupón en las monedas aplicables.
i. Una posición nocional larga en un bono cero cupón, denominado en la moneda comprada y con una madurez residual igual al tiempo que resta para el cumplimiento del contrato.
ii. Una posición nocional corta en un bono cero cupón, denominado en la moneda vendida y con una madurez residual igual al tiempo que resta para el cumplimiento del contrato.
Estas posiciones deben ser tenidas en cuenta para calcular la exposición al riesgo de tasa de cambio.
d. Swaps de tasas de interés.
Estos instrumentos deberán ser tratados como dos posiciones nocionales en bonos subyacentes en las tasas de interés respectivas. En este sentido la posición se descompone en:
i. Una posición nocional larga en un título pactado a la tasa de interés que recibe la entidad.
ii. Una posición nocional corta en un título pactado a la tasa de interés que la entidad paga.
Cuando la tasa de interés del instrumento subyacente sea fija, la madurez residual correspondiente será igual a la duración del contrato. Para los casos en que la tasa de interés sea variable, la duración del flujo se debe calcular de acuerdo a lo estipulado en el subnumeral 2.1.2.1 del Anexo 6 del presente Capítulo.
En el caso de swaps que involucren posiciones en distintas monedas (cross currency swaps) cada una de las posiciones debe ser tenida en cuenta para calcular la exposición al riesgo de tasa de cambio.
Para efectos de los futuros cuya estructura se asemeje a intercambios de flujos calculados sobre tasas de interés les será aplicable lo establecido en el presente literal (i.e. futuro sobre IBR).
Los derivados de crédito que involucren el intercambio de los flujos completos de un activo por una tasa de interés pactada (Total Return Swaps) deberán ser tratados como dos posiciones nocionales separadas, así:
i. Una posición nocional larga o corta en el título de referencia (subyacente del derivado) que recibe o paga la entidad.
ii. Una posición nocional larga o corta en un título pactado a la tasa de interés que la entidad recibe o paga.
Dependiendo de la naturaleza del título subyacente, se deberá aplicar el factor de riesgo correspondiente de acuerdo con lo previsto en el presente Anexo.
e. Futuros, Forwards y Operaciones a Plazo sobre acciones (o índices de acciones).
Pag 3
Estas operaciones deben descomponerse en 2 posiciones nocionales, una correspondiente a la acción (o índice de acciones) subyacente y otra correspondiente a un bono cero cupón con madurez residual igual al tiempo remanente para el cumplimiento del contrato.
Cuando la entidad tenga una posición larga en las operaciones señaladas en el presente literal (es decir que se compromete a comprar una acción o índice de acciones a un precio previamente establecido en un punto de tiempo en el futuro), esta posición se descompone en:
i. Una posición nocional larga en el título subyacente.
ii. Una posición nocional corta en un bono cero cupón con madurez residual igual al tiempo que resta para el cumplimiento del contrato (el valor nominal de esta posición corresponde al precio pactado).
Para el caso contrario (posición corta en el futuro, el forward o la operación a plazo), la primera posición nocional descrita es corta y la segunda larga.
Sólo la posición en el bono cero cupón computará en el cálculo de riesgo de tasa de interés. La posición en acciones estará sujeta al factor de riesgo de precio de acciones.
f. Operaciones Carrusel.
En términos financieros, un carrusel consiste en una secuencia de operaciones de compra y venta de un título a futuro. Por lo anterior, para efectos de la exposición a riesgos de mercado de que trata el presente Capítulo, estas operaciones deben ser tratadas como una serie de operaciones de compra y venta a futuro del título subyacente. Cada una de estas operaciones debe ser tratada de acuerdo a lo estipulado en el literal b del presente subnumeral.
g. Opciones.
El tratamiento de estas operaciones será descrito en la sección 2.7 del presente Anexo.
Para valorar aquellas posiciones nocionales asimiladas a bonos cero cupón, se deberán seguir las siguientes indicaciones:
i. Cuando la posición se encuentre en moneda legal, se deberá utilizar la curva cero cupón para títulos TES tasa fija en pesos suministrados por el proveedor de precios para valoración designado como oficial para el segmento correspondiente.
ii. Cuando la posición se encuentre denominada en UVR se deberá utilizar la curva cero cupón para títulos TES en UVR suministrados por el proveedor de precios para valoración designado como oficial para el segmento correspondiente; y
iii. Para el caso de posiciones denominadas en moneda extranjera, la tasa de descuento aplicable es la tasa “London Interbank Offer Rate” (LIBOR).
h. Notas estructuradas.
El riesgo de mercado de las notas estructuradas que puedan descomponerse en instrumentos de renta fija o variable e instrumentos derivados debe calcularse para cada uno de sus componentes.
Cuando se trate de notas estructuradas que, de acuerdo con su valoración, puedan descomponerse, el riesgo de mercado deberá calcularse teniendo en cuenta:(i) el módulo de tasa de interés, de acuerdo con las reglas contenidas en el subnumeral 2.2 de este anexo, cuando se trate de instrumentos de renta fija; (ii) el factor de riesgo de tasa de cambio, de acuerdo con las reglas contenidas en el subnumeral 2.3 del presente anexo; (iii) el factor de riesgo de precio de acciones o índice accionario, de acuerdo con las reglas contenidas en el subnumeral 2.4 del presente anexo, para el caso de instrumentos de renta variable; y (iv) el factor de riesgo de operaciones de derivados de crédito, de acuerdo con las reglas contenidas en el subnumeral 2.9 del presente anexo.
Cuando se trate de notas estructuradas que, de acuerdo con su valoración, no puedan descomponerse y se asemejen en su comportamiento y estructura a una opción, el riesgo de mercado deberá calcularse de acuerdo con las reglas contenidas en el subnumeral 2.7 del presente instructivo.
i. Inversiones clasificadas hasta el vencimiento entregadas como garantías
Las inversiones que sean entregadas como garantías en una cámara de riesgo central de contraparte con el fin de respaldar el cumplimiento de las operaciones aceptadas para su compensación y liquidación deberán ser tenidas en cuenta para el cálculo de la exposición al riesgo de tasa de interés, por su valor de mercado, independientemente de su clasificación contable.
Pag. 3-1
Así mismo, en el evento en que estas inversiones estén expresadas en moneda diferente a moneda legal, deberán tenerse en cuenta adicionalmente en el cálculo de la exposición al riesgo de tasa de cambio.
2.1.2 Operaciones de reporto o repo, operaciones simultáneas y operaciones de transferencia temporal de valores
Las operaciones a que hace referencia el presente numeral generan un intercambio de valores y de dinero entre las partes, con el compromiso de reversarlo al final de la operación.
Pag. 10
Tabla 5
| Riesgo | Factor | |
| Tasa de Interés | Curva Cero Cupón Pesos | 1. Componente Principal 1 |
| 2. Componente Principal 2 | ||
| 3. Componente Principal 3 | ||
| Curva Cero Cupón UVR | 4. Componente Principal 1 | |
| 5. Componente Principal 2 | ||
| 6. Componente Principal 3 | ||
| Curva Cero cupón Tesoros | 7. Componente Principal 1 | |
| 8. Componente Principal 2 | ||
| 9. Componente Principal 3 | ||
| DTF | 10. Corto Plazo | |
| 11.Largo Plazo | ||
| 12. IPC | ||
| Tasa de Cambio | 13. TRM | |
| 14. Euro / Pesos | ||
| Precio de Acciones | 15. Acciones Colombia | |
| 16. Acciones Global | ||
| Participación en Fondos de Inversión Colectiva | 17. Fondos de Inversión Colectiva | |
| Derivados de Crédito | 18. Derivados de Crédito | |
* Los componentes principales 1, 2 y 3 describen los choques de tasa paralelo, de pendiente y convexidad respectivamente y se comportan como factores de riesgo independientes.
2.6.1. Suma aritmética de los VeR de cada factor de riesgo (suma de los Valores en Riesgo de un mismo factor de riesgo).
a. Factores de riesgo con cálculo de exposición por banda de tiempo
En el caso del riesgo de tasa de interés en moneda legal y extranjera (Componentes Principales de las Curvas Cero Cupón, pesos, UVR y tesoros), existe un VeR por banda de tiempo para cada uno de los factores de riesgo (en este caso se aplicará solo para los factores 1 a 9 según la Tabla 5). Este valor en riesgo debe ser agregado aritméticamente de la siguiente forma.

Donde:
n: Factor de riesgo n, n = 1…..9.
i: Banda de tiempo para cálculo de exposición al riesgo de mercado para tasa de interés
: Valor en Riesgo de la banda de tiempo i para el factor de riesgo n.
: Valor en riesgo total del factor de riesgo n.
b. Factores de riesgo con cálculo de exposición total (sin bandas de tiempo)
En el caso de los factores de riesgo 10 a 18, listados en la Tabla 5, no se hace necesaria una agregación aritmética de la exposición dado que estos no utilizan bandas de tiempo para el cálculo de la exposición. En este caso se tomará el valor de la exposición total calculada, según lo descrito en el presente instructivo.
Pag 12
metodologías concordantes con los modelos para la valoración de dichos instrumentos, de acuerdo a lo estipulado en el Capítulo XVIII de la CBCF.
2.8 Matrices de choques por componente principal, volatilidades y correlaciones de los factores de riesgo
Las matrices de choques por componente principal, las volatilidades y la matriz de correlaciones se actualizarán mensualmente, a más tardar el día 25 de cada mes, o el siguiente día hábil si este último no lo es, a través de la página web de la SFC.
2.9.2. Cálculo de la exposición neta y sensibilidad al riesgo
El valor en riesgo para este factor de riesgo se calculará de la siguiente forma:
![]()
Donde:
VeR: Valor en riesgo por variación en el factor de riesgo.
3. Reglas relativas a los reportes de información
Los resultados de la medición de riesgos de mercado deben reportarse a la SFC con la periodicidad establecida en los formatos previstos para este propósito.
MODELOS CUANTITATIVOS DE RIESGO DE MERCADO APLICABLE A LAS
ENTIDADES DE SEGUROS GENERALES RESPECTO DE LAS
INVERSIONES QUE RESPALDEN SUS RESERVAS TÉCNICAS.
Pag. 1
1. CONSIDERACIONES GENERALES
En el presente Anexo se establece el modelo estándar para la medición de riesgo de mercado que deben emplear las entidades de seguros generales para las inversiones que respalden sus reservas técnicas.
2. METODOLOGÍA ESTÁNDAR DE MEDICIÓN
La metodología estandarizada se compone de un modelo de factores de riesgo que se calculan separadamente y son los siguientes:
a. Riesgo de tasa de interés.
b. Riesgo de tasa de cambio.
c. Riesgo de precio de acciones.
d. Riesgo de FICs.
Para obtener la exposición total a riesgos de mercado los resultados de estos módulos se deben agregar aritméticamente.
Para los módulos de tasa de interés y de acciones, se toman en cuenta únicamente las posiciones del libro de tesorería. En el caso del módulo de tasa de cambio se incluyen también las posiciones del libro bancario.
2.1 Tratamiento de las posiciones en derivados y otras operaciones
Las posiciones en instrumentos derivados y en operaciones de repo o reporto, en operaciones simultáneas y en operaciones de transferencia temporal de valores serán tenidas en cuenta para el cálculo de los requerimientos de capital en cada uno de los módulos de acuerdo con las condiciones señaladas a continuación.
2.1.1. Posiciones en Derivados
Para su inclusión en los cálculos del cargo de capital del presente numeral, los instrumentos derivados deben ser convertidos en posiciones de los instrumentos subyacentes correspondientes. Los montos reportados corresponderán al valor de mercado de las posiciones nocionales reportadas. A continuación, se presentan instrucciones referentes al tratamiento de algunos instrumentos específicos.
a. Futuros y Forwards sobre tasa de interés.
Estos instrumentos deberán ser tratados como 2 posiciones nocionales en bonos cero cupón.
Cuando la entidad vigilada vende un futuro sobre una tasa de interés o compra un forward sobre tasa de interés, es decir, que se compromete a pagar una tasa de interés durante un periodo de tiempo en el futuro, esta posición se descompone en:
i. Una posición nocional corta en un bono cero cupón con madurez residual igual al tiempo que resta hasta el inicio del contrato más el periodo efectivo de pago de la tasa de interés.
ii. Una posición nocional larga en un bono cero cupón con madurez residual igual al tiempo que resta hasta el inicio del contrato.
Para el caso contrario (la entidad compra un futuro o vende un FRA), la primera posición nocional descrita es larga y la segunda corta.
Para efectos de los futuros y forwards sobre variaciones de índices no accionarios les será aplicable lo establecido en el presente literal (i.e. futuro sobre inflación).
b. Futuros, Forwards y Operaciones a Plazo sobre títulos de deuda.
Estos instrumentos deberán ser tratados como 2 posiciones nocionales, una en el título subyacente y otra en un bono cero cupón. Cuando la entidad tenga una posición larga en las operaciones de que trata el presente literal (es decir que se compromete a comprar un título a un precio previamente establecido en un punto de tiempo en el futuro), esta posición se descompone en:
i. Una posición nocional larga en el título subyacente.
ii. Una posición nocional corta en un bono cero cupón con madurez residual igual al tiempo que resta para el cumplimiento del contrato (el valor nominal de esta posición corresponde al precio pactado).
Pag. 2
Para el caso contrario (posición corta en el futuro, el forward o la operación a plazo), la primera posición nocional descrita es corta y la segunda larga.
Cuando el título subyacente de la operación esté denominado en una moneda distinta a la legal, la primera posición nocional descrita deberá ser clasificada en la escalera de duraciones modificadas respectiva y adicionalmente deberá ser tenida en cuenta para calcular la exposición al riesgo de tasa de cambio.
En el caso de los futuros sobre bonos nocionales que se negocien en la Bolsa de Valores de Colombia, la posición nocional larga de que trata el presente literal será calculada cómo el cociente entre el valor a precios de mercado del “cheapest to deliver” a la fecha de valoración respectiva y el factor de conversión definido por la Bolsa de Valores de Colombia.
Para este tipo de futuros, la posición nocional corta se definirá de acuerdo con las instrucciones señaladas en el presente literal.
c. Futuros, Forwards y Operaciones a Plazo sobre divisas.
Estos instrumentos deberán ser tratados como 2 posiciones nocionales en bonos cero cupón en las monedas aplicables.
i. Una posición nocional larga en un bono cero cupón, denominado en la moneda comprada y con una madurez residual igual al tiempo que resta para el cumplimiento del contrato.
ii. Una posición nocional corta en un bono cero cupón, denominado en la moneda vendida y con una madurez residual igual al tiempo que resta para el cumplimiento del contrato.
Estas posiciones deberán ser tenidas en cuenta para calcular la exposición al riesgo de tasa de cambio.
d. Swaps de tasas de interés.
Estos instrumentos deberán ser tratados como dos posiciones nocionales en bonos subyacentes en las tasas de interés respectivas. En este sentido la posición se descompone en:
i. Una posición nocional larga en un título pactado a la tasa de interés que recibe la entidad.
ii. Una posición nocional corta en un título pactado a la tasa de interés que la entidad paga.
Cuando la tasa de interés del instrumento subyacente sea fija, la madurez residual correspondiente será igual a la duración del contrato.
Para los casos en que la tasa de interés sea variable, la duración del flujo se debe calcular de acuerdo con lo estipulado en el numeral 2.2.1 del presente anexo para dichas posiciones.
En el caso de swaps que involucren posiciones en distintas monedas (cross currency swaps) cada una de las posiciones deberá ser clasificada en la respectiva escalera para el cálculo del riesgo de tasa de interés y adicionalmente deberá ser tenida en cuenta para calcular la exposición al riesgo de tasa de cambio.
Para efectos de los futuros cuya estructura se asemeje a intercambios de flujos calculados sobre tasas de interés les será aplicable lo establecido en el presente literal (i.e. futuro sobre IBR).
Los derivados de crédito que involucren el intercambio de los flujos completos de un activo por una tasa de interés pactada (Total Return Swaps), deberán ser tratados como dos posiciones nocionales separadas, así:
i. Una posición nocional larga o corta en el título de referencia (subyacente del derivado) que recibe o paga la entidad.
ii. Una posición nocional larga o corta en un título pactado a la tasa de interés que la entidad recibe o paga.
Dependiendo de la naturaleza del título subyacente, se deberá aplicar el factor de riesgo correspondiente de acuerdo con lo previsto en el presente Anexo.
e. Futuros, Forwards y Operaciones a Plazo sobre acciones (o índices de acciones).
Estas operaciones deben descomponerse en 2 posiciones nocionales, una correspondiente a la acción (o índice de acciones) subyacente y otra correspondiente a un bono cero cupón con madurez residual igual al tiempo remanente para el cumplimiento del contrato.
Pag. 3
Cuando la entidad tenga una posición larga en las operaciones que trata el presente literal (es decir que se compromete a comprar una acción o índice de acciones a un precio previamente establecido en un punto de tiempo en el futuro), esta posición se descompone en:
i. Una posición nocional larga en el título subyacente.
ii. Una posición nocional corta en un bono cero cupón con madurez residual igual al tiempo que resta para el cumplimiento del contrato (el valor nominal de esta posición corresponde al precio pactado).
Para el caso contrario (posición corta en el futuro, el forward o la operación a plazo), la primera posición nocional descrita es corta y la segunda larga.
Sólo la posición en el bono cero cupón computará en el cálculo de riesgo de tasa de interés. La posición en acciones será incluida en el módulo de Riesgo de precio de acciones.
f. Operaciones Carrusel.
En términos financieros, un carrusel consiste en una secuencia de operaciones de compra y venta de un título a futuro. Por lo anterior, para efectos de la exposición a riesgos de mercado de que trata el presente Capítulo, estas operaciones deben ser tratadas como una serie de operaciones de compra y venta a futuro del título subyacente. Cada una de estas operaciones deberá ser tratada de acuerdo con lo estipulado en el literal b del presente numeral.
g. Opciones.
El tratamiento de estas operaciones se describe en el subnumeral 2.6 del presente anexo.
Para valorar aquellas posiciones nocionales asimiladas a bonos cero cupón, se deberán seguir las siguientes indicaciones:
i. Cuando la posición se encuentre en moneda legal, se deberá utilizar la curva cero cupón para títulos TES tasa fija en pesos, suministrada por el proveedor de precios para valoración designado como oficial para el segmento correspondiente
ii. Cuando la posición se encuentre denominada en UVR se deberá utilizar la curva cero cupón para títulos TES en UVR, suministrada por el proveedor de precios para valoración designado como oficial para el segmento correspondiente; y
iii. Para el caso de posiciones denominadas en moneda extranjera, la tasa de descuento aplicable es la tasa “London Interbank Offer Rate” (LIBOR).
h. Notas estructuradas.
El riesgo de mercado de las notas estructuradas que puedan descomponerse en instrumentos de renta fija o variable e instrumentos derivados deberá calcularse para cada uno de sus componentes.
Cuando se trate de notas estructuradas que, de acuerdo con su valoración, puedan descomponerse, el riesgo de mercado deberá calcularse teniendo en cuenta: (i) el módulo de tasa de interés, de acuerdo con las reglas contenidas en el subnumeral 2.2 de este anexo, cuando se trate de instrumentos de renta fija; (ii) el factor de riesgo de tasa de cambio, de acuerdo con las reglas contenidas en el subnumeral 2.3 del presente anexo,; (iii) el factor de riesgo de precio de acciones o índice accionario, de acuerdo con las reglas contenidas en el subnumeral 2.4 del presente anexo, para el caso de instrumentos de renta variable; y (iv) el factor de riesgo de operaciones de derivados de crédito, de acuerdo con las reglas contenidas en el subnumeral 2.7 del presente Anexo.
Cuando se trate de notas estructuradas que, de acuerdo con su valoración, no puedan descomponerse y se asemejen en su comportamiento y estructura a una opción, el riesgo de mercado deberá calcularse de acuerdo con las reglas contenidas en el numeral 2.6 del presente anexo.
i. Inversiones clasificadas hasta el vencimiento entregadas como garantías.
Las inversiones que sean entregadas como garantías en una cámara de riesgo central de contraparte con el fin de respaldar el cumplimiento de las operaciones aceptadas para su compensación y liquidación deberán ser tenidas en cuenta para el cálculo de la exposición al riesgo de tasa de interés, por su valor de mercado, independientemente de su clasificación contable.
Así mismo, en el evento en que estas inversiones estén expresadas en moneda diferente a moneda legal, deberán tenerse en cuenta adicionalmente en el cálculo de la exposición al riesgo de tasa de cambio.
Pag. 3-1
2.1.2 Operaciones de reporto o repo, operaciones simultáneas y operaciones de transferencia temporal de valores
Las operaciones a que hace referencia el presente subnumeral generan un intercambio de valores y de dinero entre las partes, con el compromiso de reversarlo al final de la operación.
En las operaciones de reporto o repo (repo) y simultáneas, el “Enajenante” le entrega valores al “Adquirente”, y al hacerlo le transfiere la propiedad de éstos. A cambio, el “Adquirente” le entrega dinero al “Enajenante”. De manera análoga, en las operaciones de transferencia temporal de valores el “Originador” le entrega valores al “Receptor” y, al hacerlo, le transfiere la propiedad de éstos. A cambio, el “Receptor” le entrega dinero o valores al “Originador”, en cuyo caso también se transfiere la propiedad.
Pag. 12
estipulado en el subnumeral 2.4 del presente anexo. Para las posiciones en moneda extranjera o divisas, el cambio en el valor del subyacente es el estipulado en la Tabla 2 según corresponda.
Posteriormente, las posiciones en opciones se agruparán según el instrumento subyacente, como se explica a continuación:
i. Por banda en las escaleras de duración modificada en el caso de opciones con subyacentes expuestos a riesgo de tasa de interés.
ii. Por mercado nacional en el caso de opciones con subyacentes expuestos a riesgo de cambios en el precio de acciones.
iii. Por moneda en el caso de opciones con subyacentes expuestos a riesgo de tasa de cambio.
Para cada grupo se calcula un impacto gamma neto, como la suma de los impactos gamma de todas las posiciones en la agrupación. Para el cálculo de los requerimientos de capital solamente se tienen en cuenta, en valor absoluto, los impactos gamma netos negativos.
c. Riesgo Vega.
El riesgo vega refleja la sensibilidad del valor de las posiciones en opciones con respecto a cambios en la volatilidad del valor del instrumento subyacente. El cargo de capital correspondiente a este tipo de riesgo es calculado como la suma de los impactos vega de cada opción.
Estos impactos se calculan aplicando a la volatilidad del valor subyacente asociado un cambio de 25% positivo o negativo según sea la posición (corta o larga), sobre el factor vega correspondiente.
El factor vega correspondiente mide el cambio del valor de la opción ante un cambio unitario en la volatilidad del valor del instrumento subyacente.
Para el cálculo de los factores de sensibilidad delta, gamma y vega, así como de las volatilidades de los subyacentes que se utilicen en el cálculo del riesgo vega, las instituciones financieras deben aplicar metodologías concordantes con los modelos para la valoración de dichos instrumentos, de acuerdo con lo estipulado en el Capítulo XVIII de CBCF.
2.7. Riesgo de derivados de crédito
a. La posición neta de cada derivado de crédito.
b. El factor de sensibilidad al riesgo general de los derivados de crédito publicado por la SFC.
2.8. Cálculo exposición total a los riesgos de mercado con el modelo estándar
Con el fin de calcular la exposición total a los riesgos de mercado, las entidades a que hace referencia el presente anexo deben sumar las exposiciones obtenidas para cada uno de los módulos de la metodología estandarizada, de acuerdo con lo descrito en los subnumerales 2.2 a 2.5 y 2.7 del presente anexo.
El monto obtenido siguiendo este procedimiento, corresponde al valor de la exposición por riesgo de mercado aplicable al cálculo del patrimonio adecuado de las entidades de seguros generales de conformidad con lo dispuesto en el artículo 2.31.1.2.10 del Decreto 2555 de 2010 o demás normas que lo sustituyan, modifiquen o subroguen.
2.9. Reglas relativas a la medición de riesgos de mercado a través de modelos internos para entidades de seguros generales
Las entidades de seguros generales que de acuerdo con lo señalado en el presente Capítulo puedan adoptar modelos internos para la medición de los riesgos de mercado, deben tener en cuenta en su diseño los parámetros mínimos establecidos en el presente numeral, de acuerdo con lo establecido en el numeral 3 de la Parte III del presente Capítulo.
En todo caso, hasta tanto no cuenten con el pronunciamiento de no objeción de los modelos internos presentados a la SFC, tales entidades deben utilizar el modelo estándar para la medición de sus exposiciones a los riesgos de mercado.
Pag. 12-1
Sin perjuicio de lo anterior, todas las entidades a que se refiere este numeral deben estar en capacidad de reportar el valor que resultaría de calcular la exposición a riesgos de mercado utilizando la metodología estandarizada.