CIRCULAR EXTERNA 039 DE 2012
( Septiembre 28 )
<Fuente: Boletín Ministerio de Hacienda, Capítulo Superintendencia Financiera de Colombia, No. 250 de 28 de septiembre de 2012>
SUPERINTENDENCIA FINANCIERA DE COLOMBIA
Señores
REPRESENTANTES LEGALES DE LAS ENTIDADES VIGILADAS
Referencia: Modificación a la Circular Externa 006 de 2012, al Capítulo Décimo Sexto del Título Primero de la Circular Básica Jurídica, a los Capítulos I, XI y los anexos 1, 2 y 3 del Capítulo XXI de la Circular Básica Contable y Financiera, los instructivos de la Proforma F.0000-146 “Valoración de instrumentos financieros derivados básicos” y de la Proforma F-0000-110 “Composición del portafolio de inversiones”.
Apreciados señores:
Esta Superintendencia, en uso de sus facultades legales y en particular las consignadas en los numerales 9 y 14 del artículo 11.2.1.4.2. y los artículos 2.16.1.1.1 y siguientes del Decreto 2555 de 2010, se permite impartir las siguientes instrucciones:
Primera.- Modificar el subnumeral 2.1 y el inciso primero del subnumeral 2.2 de la Circular Externa 006 de 2012, los cuales quedarán así:
“2.1 El diferimiento de las utilidades y/o las pérdidas debe realizarse individualmente por cada una de las inversiones y no podrán compensarse o establecerse un neto entre estas. Dichas utilidades y/o pérdidas deberán contemplar el desmonte de las provisiones constituidas.
2.2 La decisión de diferir o no las utilidades y/o las pérdidas que se generen el 1 de diciembre de 2012 deberá ser aprobada por la junta directiva de la entidad o por el órgano que haga sus veces, quien deberá señalar el valor a diferir y el plazo durante el cual se realizará el diferimiento. Dicha decisión es inmodificable y deberá ser implementada, a más tardar, a partir del dieciséis (16) de diciembre de 2012. El término del diferimiento debe ser igual para utilidades y pérdidas, no podrá ser superior a un (1) año contado a partir de la fecha en que inició la implementación, y durante el plazo respectivo, se amortizará en alícuotas diarias.”
Segunda.- Adicionar a la instrucción segunda de la Circular Externa 006 de 2012 el siguiente parágrafo:
“Parágrafo: Las utilidades y/o pérdidas que se presenten como consecuencia del cambio en el proveedor oficial de precios para valoración en cualquiera de los segmentos, no generan la posibilidad de un nuevo diferimiento de dichas utilidades y/o pérdidas.”
Tercera.- Modificar la instrucción quinta de la Circular Externa 006 de 2012 la cual quedará así:
“Quinta.- A partir del primero (1º) de diciembre de 2012, las entidades vigiladas deberán valorar sus inversiones en Futuros y demás instrumentos financieros derivados que sean compensados y liquidados a través de la Cámara de Riesgo Central de Contraparte, utilizando el nuevo esquema de proveedores de precios para valoración.
Adicionalmente, por un término de cuatro (4) meses contados desde el momento en que la Superintendencia Financiera de Colombia expida el certificado de funcionamiento del primer proveedor de precios para valoración, las inversiones en instrumentos financieros derivados básicos contemplados en el Capítulo XVIII de la Circular Básica Contable y Financiera, que no sean compensados y liquidados a través de la Cámara de Riesgo Central de Contraparte, podrán ser valoradas utilizando la información de un proveedor de precios para valoración contratado por la entidad o mediante los procedimientos descritos en el mencionado capítulo
En igual sentido, por un término de ocho (8) meses contados desde el momento en que la Superintendencia Financiera de Colombia expida el certificado de funcionamiento del primer proveedor de precios para valoración, las inversiones en: i) instrumentos financieros derivados exóticos y ii) productos estructurados, contemplados en el Capítulo XVIII de la Circular Básica Contable y Financiera, podrán ser valoradas utilizando la información de un proveedor de precios para valoración contratado por la entidad o mediante los procedimientos descritos en el mencionado capítulo
De esta forma, en los mismos plazos señalados en precedencia, las entidades vigiladas quedan excluidas de la aplicación del numeral 3.3 del Capítulo XVI del Título I de la Circular Básica Jurídica respecto de las nuevas inversiones que cumplan con las características dispuestas en la presente instrucción.
Parágrafo: Al finalizar los plazos señalados en la presente instrucción, las entidades estarán obligadas a valorar la totalidad de las inversiones en instrumentos financieros derivados, sean estas propias o administradas, utilizando la información del proveedor de precios para valoración designado como oficial para cada segmento.”
Cuarta.- Modificar el inciso primero de la instrucción séptima de la Circular Externa 006 de Marzo de 2012 el cual quedará así:
“Séptima.- El término señalado por la Circular Externa 041 de 2011 se prorroga hasta el 30 de septiembre de 2012. Las entidades que realicen las actividades propias del objeto social de los proveedores de precios de valoración, deberán continuar desarrollándolas en los términos y condiciones que les han sido autorizadas hasta el 30 de noviembre de 2012.”
Quinta.- Modificar los numerales 2.3 y 3.3 del Capítulo Décimo Sexto del Título I de la Circular Básica Jurídica.
Sexta.- Modificar el Capítulo I de la Circular Básica Contable y Financiera.
Séptima.- Modificar el literal b. del numeral 3 del Capítulo XI de la Circular Básica Contable y Financiera.
Octava.- Modificar los Anexos 1, 2 y 3 del Capítulo XXI de la Circular Básica Contable y Financiera.
Novena.- Modificar el instructivo de la Proforma F.0000-146 “Valoración de instrumentos financieros derivados básicos”, con el fin de adicionar nuevos códigos a algunas columnas de los formatos 468, 469, 470, 471 y 472.
Décima.- Modificar el instructivo de la Proforma F.0000-110 “Composición del portafolio de inversiones”, Formato 351.
Décima Primera.- <Instrucción modificada por la Circular 50 de 2012. El nuevo texto es el siguiente:> De conformidad con el artículo 2.16.1.3.1 del Decreto 2555 de 2010, las entidades vigiladas deberán contratar, a más tardar el treinta y uno (31) de enero de 2013, un proveedor de precios de valoración para cada uno de los segmentos de mercado.
Vigencia.- <Ver Notas de Vigencia> La presente circular rige a partir de la fecha de su publicación, con excepción de las instrucciones Sexta y Octava las cuales entran en vigencia el primero (1º) de diciembre de 2012, Séptima la cual entrará en vigencia el primero (1º) de diciembre de 2013 y Novena la cual entrará en vigencia el primero (1) de febrero de 2013; y modifica la Circular Externa 006 de 2012, el Capítulo Décimo Sexto del Título Primero de la Circular Básica Jurídica, los capítulos I, XI y los anexos 1, 2 y 3 del capítulo XXI de la Circular Básica Contable y Financiera.
Sin perjuicio de lo anterior y hasta el 31 de enero de 2013, las inversiones en bonos pensionales, CDTs y demás instrumentos de renta fija no estandarizada, podrán utilizar la información para valoración que determine el proveedor de precios designado como oficial para el segmento correspondiente.
A partir del primero (1) de febrero de 2013 los Proveedores de Precios para Valoración, deberán suministrar precio para la valoración de las inversiones en instrumentos de renta fija no estandarizada.
Se anexan las páginas objeto de modificación.
Cordialmente,
GERARDO HERNÁNDEZ CORREA
Superintendente Financiero de Colombia
050000
==============
b) Las inversiones de los fondos de terceros, y en general cualquier instrumento de inversión colectiva tales como patrimonios autónomos, carteras colectivas, universalidades y portafolios de terceros.
SECCIÓN SEGUNDA
De los Proveedores de Precios para Valoración
2.1 Funciones Especiales de la Junta Directiva
En adición a las funciones contempladas en el Código de Comercio, en los estatutos sociales, en el artículo 2.16.1.2.8 del Decreto 2555 de 2010 y demás normas aplicables, corresponde a la junta directiva de los proveedores de precios para valoración el cumplimiento de las siguientes funciones:
a. Aprobar el reglamento de funcionamiento y sus modificaciones, el cual debe contener el reglamento del sistema de valoración y el reglamento del proceso para la impugnación, señalados en el artículo 2.16.1.2.9 ibídem.
b. Aprobar el código de conducta a que se refiere el numeral 10 del artículo 2.16.1.2.12 del Decreto 2555 de 2010, así como sus modificaciones.
c. Aprobar el manual contentivo de las políticas y medios que se utilizarán para proveer o suministrar información para la valoración de inversiones, señalado en el numeral 12 del artículo 2.16.1.2.12 del Decreto 2555 de 2010, así como sus modificaciones.
2.2 Composición del Comité de Valoración
En desarrollo de lo dispuesto en el artículo 2.16.1.2.10 del Decreto 2555 de 2010, el Comité de Valoración tendrá por lo menos siete (7) miembros, de los cuales al menos tres (3) deberán tener la calidad de independiente. Cuando dicho comité tenga un número mayor a siete (7) miembros, se deberá respetar la proporción mínima de miembros independientes establecida en dicho artículo.
Adicionalmente, corresponderá a la Junta Directiva del proveedor de precios para valoración, establecer las condiciones mínimas referentes a la capacidad técnica e idoneidad de la totalidad de los miembros del Comité de Valoración. Dichas condiciones deberán quedar expresamente establecidas en el reglamento de funcionamiento de la entidad.
2.3 Proveeduría de Precios para la Valoración de Inversiones
El proveedor de precios para valoración designado por el cliente como oficial para un segmento de mercado, según lo establecido en el numeral 3.2 del presente capítulo, deberá suministrar precios para aquellas inversiones que éste tenga en dicho segmento. Dicha obligación incluye el suministro de precios para días hábiles y no hábiles.
Tratándose de los instrumentos financieros derivados básicos con excepción de los futuros, el proveedor de precios deberá suministrar, además, la información para valoración según lo dispuesto en el numeral 1.3.2 del presente capítulo.
2.4 Reglamento de Funcionamiento
De conformidad con lo dispuesto en el artículo 2.16.1.2.11 del Decreto 2555 de 2010 los proveedores de precios para valoración deben adoptar un reglamento de funcionamiento, el cual debe contemplar la manera como desarrollarán su objeto social, contener el reglamento del sistema de valoración y el reglamento del proceso para la impugnación, señalados en el artículo 2.16.1.2.9 ibídem.
En adición a lo anterior, el reglamento de funcionamiento deberá contener, como mínimo, lo siguiente:
a) Procedimientos para su aprobación y modificación.
b) Derechos y obligaciones de los clientes;
TÍTULO I - CAPÍTULO DÉCIMO SEXTO Página 2
Proveeduría de Precios para Valoración de Inversiones de las Entidades Vigiladas
Circular Externa 039 de 2012 Septiembre de 2012
Colombia contrate los servicios de dos (2) o más proveedores de precios para un mismo segmento, deberá designar a uno de estos como oficial.
En todos los casos, la entidad deberá informar sobre la designación del proveedor oficial a la Superintendencia Financiera de Colombia y a los organismos de autorregulación de valores de los que sea miembro, por lo menos cinco (5) días hábiles antes del momento en que la entidad empiece a utilizar la información suministrada por dicho proveedor.
Parágrafo 1. El periodo mínimo a que se refiere el inciso primero de este numeral, únicamente será exigible respecto del proveedor de precios para valoración oficial.
La información oficial para valoración de las inversiones que se entregue al mercado, a la Superintendencia Financiera de Colombia y a sus clientes, debe provenir del proveedor oficial designado por la entidad.
La designación de un proveedor de precios como oficial no desconoce las obligaciones de los otros proveedores de precios contratados por la entidad para suministrar la información acordada para cada segmento de mercado.
Parágrafo 2. Para el caso de consorcios y uniones temporales, las entidades que lo componen deberán designar un solo proveedor de precios oficial para la valoración de las inversiones que lo componen. Igual designación deberá realizarse respecto de los casos en que varias entidades o consorcios participen en la administración de patrimonios autónomos que manejen recursos pensionales de fondos cuenta, adscritos o administrados por una entidad pública, y que deban garantizar una rentabilidad mínima.
3.3 Obligación de Valoración con Información de los Proveedores de Precios para Nuevas Inversiones
Las entidades vigiladas, de manera previa a la realización de la inversión en un nuevo activo, deben asegurarse que el proveedor de precios designado como oficial para el segmento de mercado al que pertenezca dicho activo, según lo establecido en el numeral 3.2 del presente capítulo, esté en la capacidad de suministrar precios para la valoración del mismo, cuando los Capítulos I y XVIII de la Circular Básica Contable y Financiera así lo dispongan.
TÍTULO I - CAPÍTULO DÉCIMO SEXTO Página 7
Proveeduría de Precios para Valoración de Inversiones de las Entidades Vigiladas
Circular Externa 039 de 2012 Septiembre de 2012
====================
CAPITULO I – CLASIFICACIÓN, VALORACIÓN Y CONTABILIZACIÓN DE INVERSIONES
Página 7
CAPÍTULO I
CLASIFICACIÓN, VALORACIÓN Y CONTABILIZACIÓN DE INVERSIONES
1. ALCANCE
Las entidades sometidas a la inspección y vigilancia de la Superintendencia Financiera de Colombia (entidades vigiladas), están obligadas a valorar y contabilizar las inversiones en valore de deuda, valores participativos, inversiones en bienes inmuebles, inversiones en títulos valores y demás derechos de contenido económico que conforman los portafolios o carteras colectivas bajo su control, sean éstos propios o administrados a nombre de terceros, de conformidad con lo dispuesto en la presente norma. Estas disposiciones no serán aplicables a los aportes efectuados en clubes sociales, en cooperativas o en entidades sin ánimo de lucro nacionales o internacionales, las cuales se deben registrar por su costo de adquisición.
Parágrafo. Para los efectos propios de la presente norma, dentro de su ámbito de aplicación, se entenderán como carteras colectivas las definidas en la Parte 3 del Decreto 2555 de 2010, los fondos de pensiones, los fondos de cesantía y, en general, cualquier ente o conjunto de bienes administrados por una sociedad legalmente habilitada para el efecto, que carecen de personalidad jurídica y pertenecen colectivamente a varias personas, que serán sus copropietarios en partes alícuotas.
2. OBJETIVO Y CRITERIOS GENERALES PARA LA VALORACIÓN
2.1. Objetivo de la valoración de inversiones
La valoración de las inversiones tiene como objetivo fundamental el cálculo, el registro contable y la revelación al mercado del valor o precio justo de intercambio al cual un valor, podría ser negociado en una fecha determinada, de acuerdo con sus características particulares y dentro de las condiciones prevalecientes en el mercado en dicha fecha.
Para los efectos propios de la presente norma, el precio justo de intercambio que se establezca debe corresponder a aquel por el cual un comprador y un vendedor, suficientemente informados, están dispuestos a transar el correspondiente valor.
Se considera precio justo de intercambio:
a. Eliminado
b. El que sea determinado por los proveedores de precios empleando aquellas metodologías que cumplan con los requisitos contenidos en el Capítulo XVI del Título I de la Circular Básica Jurídica.
c. El que se determine mediante otros métodos establecidos en la presente circular.
Parágrafo 1. Eliminado.
CAPITULO I – CLASIFICACIÓN, VALORACIÓN Y CONTABILIZACIÓN DE INVERSIONES
Página 2
Parágrafo 2. Eliminado
Parágrafo 3. Eliminado
Parágrafo 4. Eliminado
2.2. Criterios para la valoración de inversiones
La determinación del precio justo de intercambio de un valor, debe considerar todos los criterios necesarios para garantizar el cumplimiento del objetivo de la valoración de inversiones establecido en la presente norma. En todo caso, dichas metodologías deben cumplir, como mínimo, con los siguientes criterios:
a. Objetividad. La determinación y asignación del precio justo de intercambio de un valor se debe efectuar con base en criterios técnicos y profesionales, que reconozcan los efectos derivados de los cambios en el comportamiento de todas las variables que puedan afectar dicho precio.
b. Transparencia y representatividad. El precio justo de intercambio de un valor se debe determinar y asignar con el propósito de revelar un resultado económico cierto, neutral, verificable y representativo de los derechos incorporados en el respectivo valor.
c. Evaluación y análisis permanentes. El precio justo de intercambio que se atribuya a un valor se debe fundamentar en la evaluación y el análisis permanente de las condiciones del mercado, de los emisores y de la respectiva emisión. Las variaciones en dichas condiciones se deben reflejar en cambios del precio previamente asignado, con la periodicidad establecida para la valoración de las inversiones determinada en la presente norma.
d. Profesionalismo. La determinación del precio justo de intercambio de un valor se debe basar en las conclusiones producto del análisis y estudio que realizaría un experto prudente y diligente, encaminados a la búsqueda, obtención, conocimiento y evaluación de toda la información relevante disponible, de manera tal que el precio que se determine refleje los recursos que razonablemente se recibirían por su venta.
3. CLASIFICACIÓN DE LAS INVERSIONES
Las inversiones se clasifican en inversiones negociables, inversiones para mantener hasta el vencimiento o inversiones disponibles para la venta. A su vez, las inversiones negociables y las inversiones disponibles para la venta se clasifican en valores de deuda o valores participativos y en general cualquier tipo de activo que pueda hacer parte del portafolio de inversiones.
Se entiende como valores de deuda aquellos que otorguen al titular del respectivo valor la calidad de acreedor del emisor.
Se entiende como valores participativos aquellos que otorguen al titular del respectivo valor la calidad de copropietario del emisor.
Forman parte de los valores participativos los valores mixtos provenientes de procesos de titularización que reconozcan de manera simultánea derechos de crédito y de participación.
Los bonos convertibles en acciones se entienden como valores de deuda, en tanto no se hayan convertido en acciones.
3.1. Inversiones negociables
Se clasifican como inversiones negociables todo valor o título y, en general, cualquier tipo de inversión que ha sido adquirida con el propósito principal de obtener utilidades por las fluctuaciones a corto plazo del precio. Forman parte de las inversiones negociables, en todo caso, las siguientes:
CAPITULO I – CLASIFICACIÓN, VALORACIÓN Y CONTABILIZACIÓN DE INVERSIONES
Página 5
Las inversiones que las sociedades comisionistas de bolsa de valores registren en la cuenta 121416 del PUC que les es aplicable no podrán ser reclasificadas sin autorización previa de esta Superintendencia.
Parágrafo 1. Cuando las inversiones para mantener hasta el vencimiento o inversiones disponibles para la venta se reclasifiquen a inversiones negociables, se deben observar las normas sobre valoración y contabilización de estas últimas. En consecuencia, las ganancias o pérdidas no realizadas se deben reconocer como ingresos o egresos el día de la reclasificación.
Parágrafo 2. En los eventos en los que se reclasifique una inversión, la entidad vigilada respectiva deberá comunicar a la Superintendencia Financiera de Colombia la reclasificación efectuada, a más tardar dentro de los diez (10) días comunes siguientes a la fecha de la misma, indicando las razones que justifican tal decisión y precisando sus efectos en el estado de resultados.
Parágrafo 3. Las inversiones que se clasifiquen o reclasifiquen con el propósito de formar parte de las inversiones negociables, no pueden volver a ser reclasificadas, salvo que se trate de acciones cuya bursatilidad cambie de alta o media, a baja o mínima, o a sin ninguna cotización. En este caso, las acciones deberán ser reclasificadas como una inversión disponible para la venta de acuerdo con las reglas establecidas en el numeral 3.3 del presente Capítulo.
Parágrafo 4. Cuando la Dirección General de Crédito Público y del Tesoro Nacional del Ministerio de Hacienda y Crédito Público realice operaciones de manejo de deuda u operaciones transitorias de liquidez sobre valores de deuda pública, las entidades sometidas a inspección y vigilancia de la Superintendencia Financiera de Colombia podrán reclasificar dichos valores de las categorías “inversiones disponibles para la venta” o “inversiones para mantener hasta el vencimiento” a la categoría “inversiones negociables”. En todo caso, sólo se podrán reclasificar valores en aquellas operaciones realizadas con el cumplimiento de los supuestos y condiciones previstos en el presente parágrafo, por el monto efectivamente negociado.
Las entidades sometidas a inspección y vigilancia que reclasifiquen inversiones con base en lo dispuesto en este parágrafo deberán informar este hecho por escrito a la Superintendencia Financiera de Colombia dentro de los diez (10) días hábiles subsiguientes a la reclasificación. Dicho informe deberá contener como mínimo:
(i) El monto y las condiciones de la oferta inicial de la entidad vigilada;
(ii) El monto negociado.
(iii) Impacto en los estados financieros
Parágrafo 5: Hay lugar a reclasificar los títulos hipotecarios regulados por la Ley 546 de 1999, de las categorías “inversiones disponibles para la venta” o “inversiones para mantener hasta el vencimiento” a la categoría de “inversiones negociables”, cuando dicha reclasificación tenga por objeto exclusivo la vinculación de dichos títulos hipotecarios a procesos de retitularización en los términos definidos por el numeral 3 del artículo 3 del Decreto 1719 de 2001 y el artículo 3 de la Resolución 775 de 2001 de la Superintendencia de Valores o demás normas que las sustituyan, modifiquen o subroguen.
5. PERIODICIDAD DE LA VALORACIÓN Y DEL REGISTRO CONTABLE DE LA MISMA
La valoración de las inversiones se debe efectuar diariamente, a menos que en la presente norma o en otras disposiciones se indique una frecuencia diferente. Así mismo, los registros contables necesarios para el reconocimiento de la valoración de las inversiones se deben efectuar con la misma frecuencia prevista para la valoración.
Las inversiones de los fondos mutuos de inversión y de los fideicomisos administrados por sociedades fiduciarias distintos de los patrimonios autónomos o de los encargos fiduciarios constituidos para administrar recursos pensionales de la seguridad social se deben valorar por lo menos en forma mensual y sus resultados deben ser registrados con la misma frecuencia. No obstante, si los plazos de rendición de cuentas son menores o la presente u otras disposiciones contemplen una periodicidad diferente y específica, se deben acoger a éstos.
6. VALORACIÓN
Las inversiones de que trata la presente norma se valoran con sujeción a las siguientes disposiciones.
6.1. Valores de deuda
Los valores de deuda se valoran teniendo en cuenta la clasificación de que trata el numeral 3 de la presente norma, así:
6.1.1. Valores de deuda negociables o disponibles para la venta.
Los valores de deuda clasificados como inversiones negociables o como inversiones disponibles para la venta se valoran de acuerdo con el precio suministrado por el proveedor de precios para valoración designado como oficial para el segmento correspondiente, de acuerdo con las instrucciones establecidas en el Capítulo XVI del Título I de la Circular Básica Jurídica, teniendo en cuenta las siguientes instrucciones:
CAPITULO I – CLASIFICACIÓN, VALORACIÓN Y CONTABILIZACIÓN DE INVERSIONES
Página 6
a. Las inversiones negociables y las inversiones disponibles para la venta, representadas en valores o títulos de deuda, se deben valorar con base en el precio determinado por el proveedor de precios de valoración utilizando la siguiente fórmula:
![]()
Donde:
VM: Valor de mercado
VN: Valor nominal
PS: Precio sucio determinado por el proveedor de precios de valoración.
b. Para los casos en que no exista, para el día de valoración, precios justos de intercambio determinados de acuerdo al literal a. de este numeral, se deberá efectuar la valoración en forma exponencial a partir de la tasa interna de retorno. El valor o precio justo de intercambio de mercado del respectivo valor se debe estimar o aproximar mediante el cálculo de la sumatoria del valor presente de los flujos futuros por concepto de rendimientos y capital, de acuerdo con el siguiente procedimiento:
(i) Estimación de los flujos futuros de fondos por concepto de rendimientos y capital. Los flujos futuros de los valores de deuda deben corresponder a los montos que se espera recibir por los conceptos de capital y rendimientos pactados en cada título.
La determinación de los rendimientos se efectúa conforme a las siguientes reglas:
1. Valores de deuda a tasa fija. Los rendimientos para cada fecha de pago son los que resulten de aplicar al principal la correspondiente tasa pactada en el título, o los pagos específicos contractualmente establecidos, según el caso.
2. Valores de deuda a tasa variable. Los rendimientos para cada fecha de pago son los que resulten de aplicar al principal el valor del índice o indicador variable pactado, incrementado o disminuido en los puntos porcentuales fijos establecidos en las condiciones faciales del respectivo valor, cuando sea del caso.
· Cuando en las condiciones de la emisión se hubiere establecido el empleo del valor del indicador de la fecha de inicio del período a remunerar, éste se debe utilizar para el cálculo del flujo próximo, y para los flujos posteriores, se debe utilizar el valor del indicador vigente a la fecha de valoración.
· Cuando en las condiciones de la emisión se hubiere establecido el empleo del valor del indicador de la fecha de vencimiento del período a remunerar, se debe utilizar para el cálculo de todos los flujos el valor del indicador vigente a la fecha de valoración.
· Para los títulos indizados al IPC, tales como los TES Clase B a tasa variable, los flujos futuros de fondos se determinan utilizando la variación anual del IPC conocida el día de la valoración y el porcentaje contractual acordado, de acuerdo con la siguiente fórmula:
Rendimiento anual en pesos = VN*[((1+Variación anual IPC)*(1+PCA))-1]
Donde:
VN : Valor nominal del título
Variación anual IPC: Última variación certificada por el DANE.
PCA: Porcentaje Contractual Acordado, es el componente de rendimiento real anual que reconoce el título.
3. Valores con opción de prepago. Los rendimientos y las fechas de pago, para efectos de valoración, serán los que resulten de proyectar los flujos futuros del valor, de conformidad con las metodologías determinadas en el prospecto de emisión.
(ii) Determinación de la tasa interna de retorno: Los respectivos valores, se deben valorar en forma exponencial a partir de la tasa interna de retorno calculada con sujeción a lo previsto en el numeral 6.1.2. de la presente norma, en cuyo caso el valor por el cual se encuentra registrada la inversión se debe tomar como valor de compra y teniendo en cuenta el ítem (i) anterior. Este procedimiento se debe mantener hasta tanto el valor pueda ser valorado con sujeción al literal a. del presente numeral.
CAPITULO I – CLASIFICACIÓN, VALORACIÓN Y CONTABILIZACIÓN DE INVERSIONES
Página 7
(iii) Eliminado
c. Eliminado
d. Eliminado
e. Eliminado
CAPITULO I – CLASIFICACIÓN, VALORACIÓN Y CONTABILIZACIÓN DE INVERSIONES
Página 8
6.1.2. Valores de deuda para mantener hasta el vencimiento
Los valores clasificados como inversiones para mantener hasta el vencimiento, se valoran en forma exponencial a partir de la tasa interna de retorno calculada en el momento de la compra, sobre la base de un año de 365 días.
Cuando en las condiciones de la emisión se hubiere establecido el empleo del valor del indicador de la fecha de inicio del período a remunerar, la tasa interna de retorno se debe recalcular cada vez que cambie el valor del indicador facial. En estos casos, el valor presente a la fecha de reprecio del indicador, excluidos los rendimientos exigibles pendientes de recaudo, se debe tomar como el valor de compra.
Cuando en las condiciones de la emisión se hubiere establecido el empleo del valor del indicador de la fecha de vencimiento del período a remunerar, la tasa interna de retorno se debe recalcular cada vez que el valor del indicador facial cambie.
En el caso de los valores que incorporen opción de prepago la tasa interna de retorno se debe recalcular cada vez que cambien los flujos futuros y las fechas de pago para efecto de valoración, de conformidad con lo dispuesto en el numeral 3, ítem (i), literal b, del numeral 6.1.1., del presente capítulo. En estos casos el valor presente a la fecha de recálculo de los flujos futuros se debe tomar como valor de compra.
Cuando exista evidencia objetiva de que se ha incurrido en una pérdida por deterioro del valor en estos activos, el importe en libros del activo se reducirá directamente y el importe de la pérdida se reconocerá en el resultado del período.
6.1.3. Casos especiales
a. Bonos pensionales. Para efectos de la valoración de los bonos pensionales clasificados para mantener hasta el vencimiento, los proveedores de precios para valoración deberán seguir el siguiente procedimiento:
(i) Se debe actualizar y capitalizar el bono desde la fecha de emisión hasta la fecha de valoración.
(ii) El valor del bono actualizado y capitalizado a la fecha de valoración, se capitaliza por el período comprendido entre la fecha de valoración y la de redención del mismo, con base en la tasa real del título.
(iii) El valor de mercado es el que resulte de descontar los flujos utilizando la información para valoración (tasa de referencia y margen)..
Para efectos de la actualización y capitalización se debe seguir el procedimiento establecido por la Oficina de Bonos Pensionales del Ministerio de Hacienda y Crédito Público o quien haga sus veces.
Para efectos de la valoración de los bonos pensionales clasificados para mantener hasta el vencimiento, las entidades deberán utilizar el precio determinado por el proveedor de precios para valoración designado como oficial para el segmento correspondiente, siguiendo el procedimiento anterior. Para efectos de la valoración de los bonos pensionales clasificados como negociables o disponibles para la venta, las entidades deberán utilizar el precio determinado por el proveedor de precios para valoración designado como oficial para el segmento correspondiente.
b. Títulos o valores denominados en moneda extranjera, en unidades de valor real UVR u otras unidades.
En primera instancia se determina el valor de mercado del respectivo título o valor en su moneda o unidad de denominación, utilizando el procedimiento establecido en los numerales 6.1.1 y 6.1.2 de la presente norma, según corresponda.
Sin embargo, para el caso de los títulos negociados en el extranjero, cuando el proveedor de precios designado como oficial para el segmento correspondiente no cuente con una metodología de valoración para estas inversiones, las entidades podrán utilizar como fuente alterna de información, el precio sucio bid publicado por una plataforma de suministro de información a las 16:00 horas, hora oficial colombiana.
Si el título o valor se encuentra denominado en una moneda distinta del dólar de los Estados Unidos de Norteamérica, el valor determinado de conformidad con el inciso anterior se convierte a dicha moneda con base en las tasas de conversión de divisas publicadas el día de valoración en la página web del Banco Central Europeo (BCE), con seis (6) decimales, aproximado el último por el sistema de redondeo. Cuando la tasa de conversión de la divisa no se encuentre en la página web del Banco Central Europeo, se deberá tomar la tasa de conversión frente al dólar de los Estados Unidos de Norteamérica publicada por el Banco Central del respectivo país.
El valor obtenido de conformidad con lo dispuesto en el inciso precedente se debe multiplicar por la tasa representativa del mercado (TRM) calculada el día de la valoración y certificada por la Superintendencia Financiera de Colombia o por el valor de la unidad vigente para el mismo día, según sea el caso.
CAPITULO I – CLASIFICACIÓN, VALORACIÓN Y CONTABILIZACIÓN DE INVERSIONES
Página 9
6.2. Valores participativos
Las inversiones en títulos participativos se valoran teniendo en cuenta las siguientes instrucciones:
6.2.1. Valores participativos inscritos en el Registro Nacional de Valores y Emisores (RNVE)
Los valores participativos inscritos en el RNVE y listados en bolsas de valores en Colombia, se valoran de acuerdo con el precio determinado por los proveedores de precios de valoración autorizados por la Superintendencia Financiera de Colombia, utilizando la siguiente fórmula:
VM = Q*P
Donde:
VM: Valor de mercado.
Q: Cantidad de valores participativos.
P: Precio determinado por el proveedor de precios de valoración.
Las participaciones en carteras colectivas y los valores emitidos en desarrollo de procesos de titularización se valoran teniendo en cuenta el valor de la unidad calculado por la sociedad administradora el día inmediatamente anterior al de la fecha de valoración aún cuando se encuentren listados en bolsas de valores de Colombia. Lo anterior, a excepción de las participaciones en carteras colectivas que marquen precio en el mercado secundario y los valores representativos de participaciones en fondos bursátiles, los cuales se valoran de acuerdo con lo establecido en el inciso primero del presente numeral.
Las inversiones de las sociedades comisionistas de bolsa de valores registradas en la cuenta 121416 “Inversiones disponibles para la venta en títulos participativos obligatorias y voluntarias con vocación de permanencia en bolsas de valores” se deberán valorar de acuerdo con la metodología dispuesta en el numeral 6.2.4 del presente capítulo.
6.2.2 Valores participativos que cotizan únicamente en bolsas de valores del exterior
Estas inversiones se deben valorar por el siguiente procedimiento:
a. De acuerdo con el precio determinado por los proveedores de precios de valoración autorizados por la Superintendencia Financiera de Colombia, utilizando la siguiente fórmula:
VM = Q*P
Donde:
VM: Valor de mercado.
Q: Cantidad de valores participativos.
P: Precio determinado por el proveedor de precios de valoración.
En el caso en el que el precio determinado por el proveedor se encuentre en una denominación diferente a pesos colombianos, debe convertir a moneda legal, empleando para el efecto el procedimiento establecido en los incisos 2 y 3 del literal b de numeral 6.1.3 del presente capítulo.
b. Cuando el proveedor de precios designado como oficial para el segmento correspondiente no cuente con una metodología de valoración para estas inversiones, las entidades deberán utilizar el precio de cierre disponible en la bolsa donde se cotice el día de la valoración o, en su defecto, el precio de cierre más reciente reportado por ésta, durante los últimos cinco (5) días bursátiles, incluido el día de la valoración. De no existir precio de cierre durante dicho período, se valoran por el promedio simple de los precios de cierre reportados durante los últimos treinta (30) días bursátiles, incluido el día de la valoración.
En caso que los valores se negocien en más de una bolsa de valores del exterior, se deberá utilizar el (los) precio (s) de cierre del mercado de origen, para aplicar las instrucciones del inciso anterior.
Por mercado de origen se entiende lo siguiente:
i) Aquel en el cual se realizó la oferta pública de los valores, o
ii) En caso que los valores hayan sido ofrecidos públicamente simultáneamente en varios mercados, se entenderá por mercado de origen aquel en el cual el emisor tenga su domicilio principal, o
CAPITULO I – CLASIFICACIÓN, VALORACIÓN Y CONTABILIZACIÓN DE INVERSIONES
Página 9-1
iii) Si el domicilio principal del emisor no se encuentra en ninguno de tales mercados, el mercado de origen será aquel en el cual se transó el mayor volumen de los valores respectivos el día anterior al día inicial de valoración. Este será el mercado de origen para efectos de la valoración de todos los valores de la misma especie que en adelante adquiera la entidad. No obstante, bajo esta premisa el 31 de marzo y el 30 de septiembre de cada año se deberá revisar cuál es el mercado de origen del respectivo valor, atendiendo el criterio de mayor volumen. Dichas revisiones deberán estar sustentadas y a disposición permanente de la Superintendencia Financiera de Colombia, y deberán informarse a esta Superintendencia en un plazo no mayor a diez (10) días calendario después de realizadas, siempre que la respectiva revisión implique un cambio en el mercado de origen utilizado para la valoración.
El precio del valor se debe convertir a moneda legal, empleando para el efecto el procedimiento establecido en los incisos 2 y 3 del literal b de numeral 6.1.3 del presente capítulo.
En los casos en que no se hayan presentado cotizaciones durante los últimos treinta (30) días bursátiles deberá valorarse por el último precio de cierre registrado en la bolsa correspondiente
Parágrafo. Las bolsas a que hace referencia el presente numeral, deben ser aquellas que sean miembros de la Federación Mundial de Bolsas de Valores (WFE por sus siglas en idioma inglés). En caso contrario, los títulos o valores deben ser valorados de acuerdo con lo establecido en el numeral 6.2.4 del presente capítulo.
6.2.3 Valores participativos listados en sistemas de cotización de valores extranjeros autorizados en Colombia
Los valores participativos listados en sistemas de cotización de valores extranjeros autorizados en Colombia por medio de sociedades comisionistas de bolsa o mediante acuerdos o convenios de integración de bolsas de valores, se valoran por el precio que suministren los proveedores de precios de valoración autorizados por la Superintendencia Financiera de Colombia para estos efectos.
Cuando los valores participativos del exterior listados en los sistemas mencionados, sean adquiridos en un mercado distinto a éstos, en todo caso se deberán valorar de conformidad con la instrucción establecida en el presente numeral.
CAPITULO I – CLASIFICACIÓN, VALORACIÓN Y CONTABILIZACIÓN DE INVERSIONES
Página 10
6.2.4 Valores participativos no inscritos en bolsas de valores
Estas inversiones se deben valorar por el siguiente procedimiento:
(i) Por el precio que determine el proveedor de precios para valoración designado como oficial para el segmento correspondiente, utilizando la siguiente fórmula:
VM = Q*P
Donde:
VM: Valor de mercado.
Q: Cantidad de valores participativos.
P: Precio determinado por el proveedor de precios de valoración.
(ii) Cuando el proveedor de precios designado como oficial para el segmento correspondiente no cuente con una metodología de valoración para estas inversiones, las entidades deberán aumentar o disminuir el costo de adquisición en el porcentaje de participación que corresponda al inversionista sobre las variaciones subsecuentes del patrimonio del respectivo emisor.
Para el efecto, la variación en el patrimonio del emisor se calculará con base en los estados financieros certificados, con corte a 30 de junio y a 31 de diciembre de cada año. Sin embargo, cuando se conozcan estados financieros certificados más recientes, los mismos se deberán utilizar para establecer la variación en mención. Las entidades tendrán un plazo máximo de tres (3) meses, posteriores al corte de estados financieros, para realizar la debida actualización.
(iii) Eliminado.
6.2.5 Valores emitidos por sociedades de reciente creación no listadas en bolsas de valores
Estas inversiones se deben valorar por el siguiente procedimiento:
(i) Por el precio que determine el proveedor de precios para valoración designado como oficial para el segmento correspondiente.
(ii) Cuando el proveedor de precios designado como oficial para el segmento correspondiente no cuente con una metodología de valoración para estas inversiones, las inversiones en aportes para la creación de nuevas sociedades pueden registrarse por su valor de suscripción durante los dos (2) años siguientes a su constitución siempre que se cumplan los siguientes requisitos:
a. Que la entidad vigilada que según su régimen legal pueda efectuar este tipo de inversiones, cuente con procedimientos formales de verificación o medición del cumplimiento de los estándares de gobierno adoptados por la sociedad receptora del aporte.
b. Que la entidad vigilada inversionista cuente con mecanismos internos de documentación del proceso de verificación de los estándares de gobierno.
Vencido el plazo de dos (2) años establecido en el presente numeral tales aportes deben registrarse y valorarse de acuerdo con las reglas generales establecidas en el presente capítulo. Igual regla aplicará a las inversiones en aportes para la creación de nuevas sociedades que no cumplan los requisitos anteriores.
6.3. Inversiones en bienes inmuebles.
Las inversiones en bienes inmuebles correspondientes a los Fondos de Inversión Inmobiliaria, deberán valorarse de acuerdo con lo establecido en el artículo 20 del Decreto 1877 de 2004 o demás normas que lo sustituyan, modifiquen o subroguen.
Por su parte, las inversiones en bienes inmuebles correspondientes a aquellas entidades, carteras colectivas y negocios administrados por las mismas, que de acuerdo con su régimen legal puedan invertir en bienes inmuebles deberán ser valorados por el siguiente procedimiento:
(i) Por el precio que determine el proveedor de precios para valoración designado como oficial para el segmento correspondiente.
CAPITULO I – CLASIFICACIÓN, VALORACIÓN Y CONTABILIZACIÓN DE INVERSIONES
Página 10-1
(ii) Cuando el proveedor de precios designado como oficial para el segmento correspondiente no cuente con una metodología de valoración para este tipo de inversiones, se requerirá de un avalúo comercial efectuado dentro de los seis (6) meses anteriores a la fecha de compra. Una vez realizado, éste deberá actualizarse convirtiendo el precio inicial a su equivalente en Unidades de Valor Real (UVR), utilizando la variación diaria del señalado índice para obtener los nuevos valores.
El mencionado valor o precio corresponderá al valor de mercado del inmueble y deberá ser expresado en el balance en moneda legal
Los inmuebles deberán ser objeto de un avalúo comercial con una periodicidad no superior a doce (12) meses, de acuerdo con los métodos valuatorios establecidos por la Resolución 762 de 1998 del Instituto Geográfico Agustín Codazzi y demás normas que la sustituyan, modifiquen o subroguen.
En todo caso, una vez practicado el avalúo periódico, la respectiva entidad o cartera colectiva adoptará, de forma inmediata, el mismo como valor de mercado del inmueble.
En eventos extraordinarios, la Superintendencia Financiera de Colombia podrá ordenar un nuevo avaluó de los inmuebles en un periodo diferente al estipulado, cuando lo considere necesario.
De otra parte, los ingresos generados por este tipo de inversiones pueden surgir por:
I. El cambio en el valor de mercado de la inversión por concepto de los avalúos comerciales efectuados y/o por los movimientos de la unidad de valor real (UVR). Estos deberán registrarse en el ingreso o egreso y su contrapartida corresponderá a un mayor o menor valor de la inversión.
II. Los recursos percibidos por la utilización de los inmuebles. Estos recursos deberán registrarse en alícuotas lineales diarias (de acuerdo al número de días del mes correspondiente). Lo anterior se realizará por causación cuando los recursos sean entregados en periodos vencidos o por ingresos percibidos por anticipado, cuando éste sea el caso. La contrapartida de este registro contable será una cuenta por cobrar (Ingreso recibido en periodicidad vencida) o contra el disponible (Ingreso recibidos de forma anticipada).
![]()
= Ingreso diario por concepto de recursos percibidos por inmuebles en el día t
= Recursos percibidos por uso de los inmuebles, correspondientes al periodo i.
= Número de días del mes correspondiente.
CAPITULO I – CLASIFICACIÓN, VALORACIÓN Y CONTABILIZACIÓN DE INVERSIONES
Página 12
siguiente tabla:
Calificación | Días en Mora | % de Ajuste | |
B | Entre 1 y 5 días | 1% | |
C | Entre 6 y 20 días | 10% | |
D | Entre 21 y 60 días | 50% | |
| E | Entre 61 y 90 días | 75% | |
| F | Más de 90 días | 100% | |
VM = VN*P
Para el caso de instrumentos con varios flujos, para determinar el porcentaje de ajuste sobre el valor en balance del instrumento se tomará como referencia el flujo incumplido con el mayor número de días en mora.
6.5. Eliminado.
6.6 Certificados de Depósitos de Mercancías - CDM -
El precio justo de intercambio para los CDM será el precio de los subyacentes físicos del mismo valorados acorde a los precios de cierre publicados de forma diaria por las bolsas de bienes y productos agropecuarios, agroindustriales o de otros commodities para los productos físicos.
6.7. Títulos valores emitidos en el exterior
Estas inversiones se deben valorar por el siguiente procedimiento:
(i) Las inversiones negociables y las inversiones disponibles para la venta, representadas en valores o títulos de deuda pública o de deuda privada emitidos en el exterior, se deben valorar de acuerdo con el precio determinado por el proveedor de precios de valoración designado como oficial para el segmento correspondiente, utilizando la siguiente fórmula:
VM = VN*P
Donde:
VM: Valor de mercado.
VN: Valor nominal del título.
P: Precio determinado por el proveedor de precios de valoración.
(ii) Cuando el proveedor de precios designado como oficial para el segmento correspondiente no cuente con una metodología de valoración para estas inversiones, las entidades deberán utilizar el precio sucio genérico bid publicado por una plataforma de suministro de información reconocido a las 16:00 horas, hora oficial colombiana. En cualquier caso se deberá emplear la siguiente fórmula:
VM = VN*PS
Donde:
VM: Valor de mercado
VN: Valor nominal
PS: Precio Sucio
En el caso en que la plataforma de suministro de información publique únicamente precio limpio a las 16:00 horas, hora oficial colombiana, se deberá calcular el precio sucio, empleando la siguiente fórmula:
PS = PL + (IC)
Donde:
IC: Interés causado.

C: Tasa del cupón de interés
D: Número de días desde la última fecha de pago de cupón, sobre la base de un año de 365 días
B: Número de días al año según la base de cálculo del título.
VN: Valor nominal.
PL: Precio limpio bid del valor.
PS: Precio sucio del valor.
a) Eliminado
CAPITULO I – CLASIFICACIÓN, VALORACIÓN Y CONTABILIZACIÓN DE INVERSIONES
Página 12-1
b) Eliminado
7. CONTABILIZACIÓN DE LAS INVERSIONES
Las inversiones se deben registrar inicialmente por su costo de adquisición y desde ese mismo día deberán valorarse a precios de mercado. La contabilización de los cambios entre el costo de adquisición y el valor de mercado de las
CAPITULO I – CLASIFICACIÓN, VALORACIÓN Y CONTABILIZACIÓN DE INVERSIONES
Página 13
Los rendimientos exigibles pendientes de recaudo se deben mantener como un mayor valor de la inversión. En consecuencia, el recaudo de dichos rendimientos se debe contabilizar como un menor valor de la inversión.
7.3.2. Títulos y/o valores participativos.
a. Baja o mínima bursatilidad o sin ninguna cotización
La actualización de la participación que le corresponde al inversionista determinada de conformidad con lo establecido en el numeral 6.2.1 del presente capítulo, se contabiliza de la siguiente manera:
(i) En el evento en que el valor de la inversión actualizado con la participación que le corresponde al inversionista sea superior al valor por el cual se encuentra registrada la inversión, la diferencia debe afectar en primera instancia la desvalorización hasta agotarla y el exceso se debe registrar como superávit por valorización.
(ii) Cuando el valor de la inversión actualizado con la participación que le corresponde al inversionista sea inferior al valor por el cual se encuentra registrada la inversión, la diferencia debe afectar en primera instancia el superávit por valorización de la correspondiente inversión hasta agotarlo y el exceso se debe registrar como una desvalorización de la respectiva inversión dentro del patrimonio de la entidad.
(iii) Cuando los dividendos o utilidades se repartan en especie, incluidos los provenientes de la capitalización de la cuenta revalorización del patrimonio, se debe registrar como ingreso la parte que haya sido contabilizada como superávit por valorización, con cargo a la inversión, y revertir dicho superávit. Cuando los dividendos o utilidades se repartan en efectivo, se debe registrar como ingreso el valor contabilizado como superávit por valorización, revertir dicho superávit, y el monto de los dividendos que exceda el mismo se debe contabilizar como un menor valor de la inversión.
b. Alta y media bursatilidad
(i) La actualización del valor de mercado de los títulos de alta o media bursatilidad o que se coticen en bolsas del exterior internacionalmente reconocidas, determinado de conformidad con lo establecido en los numerales 6.2.1 y 6.2.2 de la presente norma, se contabiliza como una ganancia o pérdida acumulada no realizada, dentro de las cuentas del patrimonio, con abono o cargo a la inversión.
(ii) Los dividendos o utilidades que se repartan en especie o en efectivo, incluidos los provenientes de la capitalización de la cuenta revalorización del patrimonio, se deben registrar como ingreso hasta el monto que le corresponde al inversionista sobre las utilidades o revalorización del patrimonio del emisor contabilizadas por éste desde la fecha de adquisición de la inversión, con cargo a cuentas por cobrar.
c. Contabilización de provisiones
Para efectos de la contabilización de la provisión a que hace referencia el numeral 8.2 del presente capítulo, se debe seguir el siguiente procedimiento:
(i) Inversiones adquiridas con anterioridad a la entrada en vigencia de la Circular 33 de 2002
En el evento en que a la fecha de constitución de la provisión la inversión tenga contabilizada una desvalorización o valorización, registrada con posterioridad a la fecha de entrada en vigencia de la citada circular, ésta debe revertirse en el mismo valor de la provisión a constituir, hasta agotarla.
Si a la fecha en que se debe constituir la provisión la inversión tiene contabilizada una valorización, registrada con anterioridad a la fecha de entrada en vigencia de la citada circular, debe revertirse en primera instancia la valorización hasta agotarla y contabilizar una provisión por el valor que haga falta para ajustar la inversión al porcentaje previsto en el numeral 8.2.
Si a la fecha en que se debe constituir la provisión la inversión tiene contabilizada una desvaloración, registrada con anterioridad a la fecha de entrada en vigencia de la circular 033 de 2002, debe contabilizarse la provisión para ajustar la inversión al porcentaje previsto en el numeral 8.2., sin reversar la citada desvaloración.
En todo caso, cuando la inversión sea calificada en la categoría “E”, se debe reversar la desvalorización registrada con anterioridad a la fecha de entrada en vigencia de la circular 033 de 2002 y constituirse una provisión por el 100% de la inversión.
(ii) Inversiones adquiridas con posterioridad a la entrada en vigencia de la Circular 033 de 2002.
CAPITULO I – CLASIFICACIÓN, VALORACIÓN Y CONTABILIZACIÓN DE INVERSIONES
Página 14
En el evento en que a la fecha de constitución de la provisión la inversión tenga contabilizada una desvalorización o valorización, ésta debe revertirse en el mismo valor de la provisión a constituir, hasta agotarla.
7.4. Contabilización de inversiones en el exterior
Las inversiones negociables y las inversiones disponibles para la venta, representadas en valores o títulos de deuda pública, los valores o títulos de deuda privada emitidos en el exterior por emisores extranjeros, se deben valorar con base en el numeral 6.7 de la presente norma.
7.5. Tasas de conversión de divisas.
El valor presente o el valor de mercado de los valores o títulos denominados en una moneda distinta del dólar de los Estados Unidos de Norteamérica se debe convertir a dicha moneda con base en las tasas de conversión de divisas publicadas el día de la valoración en la página web del Banco Central Europeo, con seis (6) decimales, aproximado el último por el sistema de redondeo. Cuando la tasa de conversión de divisa no se encuentre en la página web del Banco Central Europeo, se deberá tomar la tasa de conversión frente al dólar de los Estados Unidos de Norteamérica publicada por el Banco Central del respectivo país.
7.6. CONTABILIZACIÓN Y VALORACIÓN DE TES GLOBALES
Los TES globales son valores de deuda pública emitidos en el exterior y, por lo tanto, para realizar su valoración se debe tener en cuenta lo previsto en los numerales 7.4. y 7.5. del presente capítulo.
La contabilización de las inversiones realizadas en TES globales se debe realizar de acuerdo con las reglas generales aplicables a las inversiones realizadas en valores de deuda pública externa emitidos por la República de Colombia contenidas en el numeral 7º del presente capítulo I.
Debe tenerse en cuenta que estos valores están denominados en pesos colombianos y se liquidan en pesos colombianos, aún cuando el pago de sus flujos, por parte del emisor, se realice en dólares u otra moneda extranjera. Por lo tanto, la posición propia en moneda extranjera se afecta en aquellas fechas en las cuales se realicen los pagos descritos. En otras palabras, para efectos de la contabilización de este tipo de inversiones se debe aplicar por regla general el sufijo 1- Moneda legal mientras se mantenga la calidad de propietario de estos valores, salvo cuando se reciban los cupones o el respectivo valor alcance su madurez.
Cuando se adquieran TES globales en el mercado primario o se negocien en el secundario y su compensación se realice en moneda extranjera, la obligación de entregar los dólares (en el caso de la compra de TES globales) o el derecho de recibirlos (en el caso de la venta de TES globales), deben registrarse en la posición propia el día de la negociación, puesto que la operación de compra o venta queda perfeccionada en esa fecha. Para el registro de la obligación o derecho mencionados se debe aplicar el sufijo 2- Moneda extranjera. Una vez se compense dicha operación, se eliminan la obligación o el derecho, según sea el caso disminuyendo o aumentando el disponible en moneda extranjera, también bajo el sufijo 2-Moneda extranjera, cuando el mismo sea aplicable, dependiendo del tipo de entidad supervisada.
CAPITULO I – CLASIFICACIÓN, VALORACIÓN Y CONTABILIZACIÓN DE INVERSIONES
Página 15
8. PROVISIONES O PÉRDIDAS POR CALIFICACIÓN DE RIESGO CREDITICIO
El precio de los títulos y/o valores de deuda de que tratan el literal b. del numeral 6.1.1 y el numeral 6.1.2, debe ser ajustado en cada fecha de valoración con fundamento en la calificación de riesgo crediticio, de conformidad con las siguientes disposiciones.
Salvo en los casos excepcionales que establezca la Superintendencia Financiera de Colombia, no estarán sujetos a las disposiciones de este numeral los títulos y/o valores de deuda pública interna o externa emitidos o avalados por la Nación, los emitidos por el Banco de la República y los emitidos o garantizados por el Fondo de Garantías de Instituciones Financieras – FOGAFÍN.
8.1. Títulos y/o valores de emisiones o emisores que cuenten con calificaciones externas
Los títulos y/o valores que cuenten con una o varias calificaciones otorgadas por calificadoras externas reconocidas por la Superintendencia Financiera de Colombia, o los títulos y/o valores de deuda emitidos por entidades que se encuentren calificadas por éstas, no pueden estar contabilizados por un monto que exceda los siguientes porcentajes de su valor nominal neto de las amortizaciones efectuadas hasta la fecha de valoración:
Calificación LARGO PLAZO | Valor máximo % | Calificación CORTO PLAZO | Valor máximo % | |
| BB+, BB, BB- | Noventa (90) | 3 | Noventa (90) | |
| B+, B, B- | Setenta (70) | 4 | Cincuenta (50) | |
| CCC | Cincuenta (50) | 5 y 6 | Cero (0) | |
| DD, EE | Cero (0) | |||
Parágrafo 1. Para efecto de la estimación de las provisiones sobre depósitos a término que se deriven de lo previsto en el presente numeral, se debe tomar la calificación del respectivo emisor.
Parágrafo 2. Las provisiones sobre las inversiones clasificadas como para mantener hasta el vencimiento y respecto de las cuales se pueda establecer un precio justo de intercambio de conformidad con lo previsto en el numeral 6.1.1, corresponden a la diferencia entre el valor registrado y dicho precio.
8.2. Títulos y/o valores de emisiones o emisores no calificados
Para los títulos y/o valores que no cuenten con una calificación externa o títulos y/o valores de deuda emitidos por entidades que no se encuentren calificadas, el monto de las provisiones se debe determinar con fundamento en la metodología que para el efecto determine la entidad inversionista. Dicha metodología debe ser aprobada de manera previa por la Superintendencia Financiera de Colombia
Parágrafo. Las entidades inversionistas que no cuenten con una metodología interna aprobada para la determinación de las provisiones a que hace referencia el presente numeral, se deben sujetar a lo siguiente:
a. Categoría "A"- Inversión con riesgo normal. Corresponde a emisiones que se encuentran cumpliendo con los términos pactados en el valor y cuentan con una adecuada capacidad de pago de capital e intereses, así como aquellas inversiones de emisores que de acuerdo con sus estados financieros y demás información disponible reflejan una adecuada situación financiera.
Para los títulos y/o valores que se encuentren en esta categoría, no procede el registro de provisiones.
b. Categoría "B"- Inversión con riesgo aceptable, superior al normal. Corresponde a emisiones que presentan factores de incertidumbre que podrían afectar la capacidad de seguir cumpliendo adecuadamente con los servicios de la deuda. Así mismo, comprende aquellas inversiones de emisores que de acuerdo con sus estados financieros y demás información disponible, presentan debilidades que pueden afectar su situación financiera.
Tratándose de títulos y/o valores de deuda, el valor por el cual se encuentran contabilizados no puede ser superior al ochenta por ciento (80%) de su valor nominal neto de las amortizaciones efectuadas hasta la fecha de valoración.
En el caso de títulos y/o valores participativos, el valor neto de provisiones por riesgo crediticio (costo menos provisión) por el cual se encuentran contabilizados no puede ser superior al ochenta por ciento (80%) del costo de adquisición.
CAPITULO I – CLASIFICACIÓN, VALORACIÓN Y CONTABILIZACIÓN DE INVERSIONES
Página 17
9.2. Revisión de las clasificaciones y valoración por parte de la superintendencia
Sin perjuicio de las sanciones personales e institucionales que correspondan, la Superintendencia Financiera de Colombia puede revisar en cualquier tiempo las clasificaciones y las valoraciones que de acuerdo con las normas previstas en la presente norma efectúe cada entidad vigilada, y ordenar las modificaciones pertinentes cuando constate la inobservancia de la misma.
9.3. Revelación en los estados financieros
Sin perjuicio de las disposiciones que establezcan requisitos particulares de revelación y periodicidad de la misma en relación con las inversiones, en las notas a los estados financieros de cada ejercicio contable se debe revelar, en forma comparada con el inmediatamente anterior, toda la información necesaria para un adecuado entendimiento de las clasificaciones y valoraciones efectuadas, y en todo caso lo siguiente:
a. Tratándose de inversiones en títulos y/o valores participativos que representen el veinte por ciento (20%) o más del capital del respectivo emisor, se debe indicar cuando menos el nombre o denominación social del emisor, su capital social, el porcentaje de participación, el costo de adquisición, el valor de mercado, y las valorizaciones o desvalorizaciones constituidas.
b. Del mismo modo se debe proceder cuando el valor de la inversión, por emisor, sea igual o superior al veinte por ciento (20%) del total de la cartera de inversiones.
c. Las restricciones jurídicas o económicas que afecten las inversiones, con indicación de las mismas, ya sea por pignoraciones, embargos, litigios o cualesquiera otras limitaciones al ejercicio de los derechos sobre las inversiones o que afecten la titularidad de las mismas.
9.4. Regla sobre revelación de información al público
Las entidades deben diseñar y poner en práctica mecanismos adecuados de divulgación que le permitan al público conocer permanentemente el valor de mercado de las inversiones que conforman su portafolio. Para el caso de inversiones forzosas y obligatorias clasificadas como hasta el vencimiento, se deberá indicar además el porcentaje de participación de las mismas en el portafolio. Sin perjuicio de disposiciones adicionales que se encuentren en esta u otra normatividad existente.
9.5. Obligación de invertir en títulos o valores con metodologías de valoración
Las entidades sometidas a inspección y vigilancia de la Superintendencia Financiera de Colombia así como los fondos mutuos de inversión controlados, solamente podrán realizar inversiones en títulos o valores respecto de los cuales exista una metodología de valoración, de acuerdo a las reglas establecidas en el presente Capítulo.
Lo anterior se entiende sin perjuicio de la normatividad especial aplicable a los instrumentos financieros derivados y a los productos estructurados.
==========
CAPITULO XI – VALORACIÓN DE LAS CARTERAS COLECTIVAS
Página 2 de 2
1.1.4.2. Del primer día de operación. Para realizar la valoración de la cartera colectiva en el día en que se inicie la operación de la misma, se realizará un primer cierre donde el valor de la unidad será de $10.000,oo, y luego se procederá a realizar el cálculo del valor de unidad según lo dispuesto en el presente numeral.
1.2. Cálculo de la rentabilidad obtenida por la cartera
El cálculo de la rentabilidad efectiva anual (Rp) obtenida por la cartera para un período determinado, debe calcularse conforme a la siguiente fórmula:
Rp (x,y) =
Donde:
Rp (x,y) = Rentabilidad efectiva anual para el período comprendido entre los días x e y
VUOy = Valor de la unidad para las operaciones del último día de el período de cálculo
VUOx = Valor de la unidad para las operaciones del primer día del período de cálculo.
n = Número de días durante el lapso x e y
2. CARTERAS COLECTIVAS CERRADAS
La valoración de portafolios y unidades de las carteras colectivas cerradas se realizará siguiendo las metodologías descritas en el numeral anterior. La periodicidad de la valoración de estas carteras deberá efectuarse diariamente.
3. FONDOS DE CAPITAL PRIVADO
La valoración de las inversiones de los portafolios deberá realizarse teniendo en cuenta lo siguiente:
a. Las inversiones que tienen una metodología de valoración establecida en el Capítulo I de la Circular Básica Contable y Financiera, o las normas que lo modifiquen, sustituyan o adicionen, deberán valorarse con la periodicidad y las metodologías allí establecidas.
b. Respecto de las demás inversiones, el Fondo de Capital Privado definirá, en el correspondiente reglamento, la metodología y periodicidad para la valoración de estos activos, siempre y cuando dicha periodicidad no sea mayor a la estipulada para la rendición de cuentas, o cada vez que se realice la redención parcial y anticipada de participaciones. Las entidades vigiladas deberán solicitar al proveedor de precios para valoración oficial el desarrollo de una metodología de valoración para las inversiones descritas en el presente numeral.
Sin embargo, las metodologías que no hayan sido objetadas por parte de la Superintendencia Financiera de Colombia hasta el treinta (30) de noviembre de 2013, no estarán sujetas a la obligación de presentarlas al proveedor de precios para valoración oficial. Por lo tanto, las entidades vigiladas podrán seguir utilizando las metodologías no objetadas para la valoración de este tipo de inversiones.
La valoración de las participaciones de los fondos de capital privado deberá realizarse de acuerdo con las metodologías para el cálculo de valor de la cartera y de la unidad, descritas en el numeral 1 del presente Capítulo.
4. FONDOS BURSÁTILES
La valoración de los fondos bursátiles se realizará de acuerdo a las instrucciones sobre metodología previstas en el numeral 1 del presente Capítulo. Para el efecto, se debe entender que el valor de la unidad en los fondos bursátiles corresponde al valor intrínseco, el cual sirve como referente de la tendencia del índice que se replica. Ahora bien, el valor de la unidad el primer día de operación del fondo bursátil corresponderá a lo que se prevea expresamente en el reglamento.
5. REMISIÓN DE INFORMACIÓN
Para los reportes que se deben hacer a la SFC, se debe tener en cuenta el Anexo I - Remisión de Información de esta Circular. Sin perjuicio de lo anterior, las sociedades comisionistas de bolsa de valores y las sociedades administradoras de inversión que administren carteras colectivas deberán transmitir diariamente el valor de la unidad de cada una de las carteras colectivas, incluyendo los fondos de capital privado, que administren. La transmisión deberá darse de acuerdo con el procedimiento señalado en el Manual del Usuario correspondiente, al cual se puede acceder a través de la dirección electrónica de la Superintendencia Financiera de Colombia, en el enlace “Trámites, Servicios y Pagos”, “Trámites en Línea y Remisión de Información”, opción 1 “Rentabilidad de fondos”.
=====================
ANEXO I: CAPÍTULO XXI REGLAS RELATIVAS A LA ADMINISTRACIÓN DE LOS RIESGOS DE MERCADO
Página 3
2. Una posición nocional corta en un título pactado a la tasa de interés que la entidad paga.
Cuando la tasa de interés del instrumento subyacente sea fija, la madurez residual correspondiente será igual a la duración del contrato.
Para los casos en que la tasa de interés sea variable, la duración del flujo se calculará de acuerdo a lo estipulado en el numeral 2.1.2.1 del presente capítulo para dichas posiciones.
En el caso de swaps que involucren posiciones en distintas monedas (cross currency swaps) cada una de las posiciones deberá ser clasificada en la respectiva escalera para el cálculo del riesgo de tasa de interés y adicionalmente deberá ser tenida en cuenta para calcular la exposición al riesgo de tasa de cambio.
Para efectos de los futuros cuya estructura se asemeje a intercambios de flujos calculados sobre tasas de interés les será aplicable lo establecido en el presente literal (i.e. futuro sobre IBR).
e. Futuros, Forwards y Operaciones a Plazo sobre acciones (o índices de acciones)
Estas operaciones deben descomponerse en dos (2) posiciones nocionales, una correspondiente a la acción (o índice de acciones) subyacente y otra correspondiente a un bono cero cupón con madurez residual igual al tiempo remanente para el cumplimiento del contrato.
Cuando la entidad tenga una posición larga en las operaciones de que trata el presente literal (es decir que se compromete a comprar una acción o índice de acciones a un precio previamente establecido en un punto de tiempo en el futuro), esta posición se descompone en:
1. Una posición nocional larga en el título subyacente.
2. Una posición nocional corta en un bono cero cupón con madurez residual igual al tiempo que resta para el cumplimiento del contrato (el valor nominal de esta posición corresponde al precio pactado).
Para el caso contrario (posición corta en el futuro, el forward o la operación a plazo), la primera posición nocional descrita es corta y la segunda larga.
Sólo la posición en el bono cero cupón computará en el cálculo de riesgo de tasa de interés. La posición en acciones será incluida en el módulo de Riesgo de precio de acciones.
f. Operaciones Carrusel
En términos financieros, un carrusel consiste en una secuencia de operaciones de compra y venta de un título a futuro. Por lo anterior, para efectos de la exposición a riesgos de mercado de que trata el presente capítulo, estas operaciones deberán ser tratadas como una serie de operaciones de compra y venta a futuro del título subyacente. Cada una de estas operaciones deberá ser tratada de acuerdo a lo estipulado en el literal b del presente numeral.
g. Opciones
El tratamiento de estas operaciones será descrito en la sección 2.1.6.
Para valorar aquellas posiciones nocionales asimiladas a bonos cero cupón, se deberán seguir las siguientes indicaciones:
(i) Cuando la posición se encuentre en moneda legal, se deberá utilizar la curva cero cupón para títulos TES tasa fija en pesos, suministrada por el proveedor de precios para valoración designado como oficial para el segmento correspondiente;
(ii) Cuando la posición se encuentre denominada en UVR se deberá utilizar la curva cero cupón para títulos TES en UVR, suministrada por el proveedor de precios para valoración designado como oficial para el segmento correspondiente.
ANEXO I: CAPÍTULO XXI REGLAS RELATIVAS A LA ADMINISTRACIÓN DE LOS RIESGOS DE MERCADO
Página 6
Dónde:
r Último rendimiento disponible en la fecha de cálculo (tasa efectiva anual). Es decir la última tasa de descuento disponible para el título, de acuerdo con la información para valoración suministrada por el proveedor de precios designado como oficial para el segmento correspondiente.
Para el cálculo de la duración de los diferentes instrumentos se deben seguir las instrucciones presentadas a continuación:
a. Duración de instrumentos pactados a tasa fija.
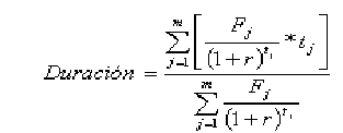
La duración de un título pactado a tasa fija corresponde al plazo promedio de los flujos asociados a dicho título. Partiendo de los flujos contractuales y de la tasa de rendimiento del título, la duración del instrumento corresponde a:

Donde:
Fj j-ésimo flujo de fondos del instrumento, j =1,..., m.
tj tiempo restante hasta el j-ésimo flujo medido en número de años (número de días/365).
r Último rendimiento disponible en la fecha de cálculo (tasa efectiva anual). Es decir la última tasa de descuento disponible para el título, de acuerdo con la información para valoración suministrada por el proveedor de precios designado como oficial para el segmento correspondiente.
m Número de flujos futuros de efectivo asociados al instrumento.
La duración deberá ser menor que la madurez contractual del instrumento, salvo en aquellos casos en que el instrumento tiene un único flujo de efectivo que ocurre en la fecha de vencimiento.
b. Duración de instrumentos pactados a tasa variable con y sin margen.
Teniendo en cuenta que en la valoración de los instrumentos pactados a tasa variable se tiene en cuenta un margen relacionado con las características del emisor y que, por ende, los flujos de efectivo posteriores a la siguiente fecha de reprecio pueden cambiar de valor ante movimientos en el margen, la duración de estos instrumentos debe ser calculada utilizando la siguiente expresión:

ANEXO I: CAPÍTULO XXI REGLAS RELATIVAS A LA ADMINISTRACIÓN DE LOS RIESGOS DE MERCADO
Página 7
Donde:
Fj j-ésimo flujo de fondos del instrumento, j =1,..., m.
tj tiempo restante hasta el j-ésimo flujo medido en número de años (número de días/365).
FD Último factor de descuento disponible en la fecha de cálculo, de acuerdo con la información para valoración suministrada por el proveedor de precios designado como oficial para el segmento correspondiente.
m Número de flujos futuros de efectivo asociados al instrumento.
Sin embargo, la duración de los títulos “tasa variable” pactados a tasas de referencia internacionales corresponderá al periodo de tiempo existente hasta el siguiente reprecio, es decir, hasta el siguiente momento en que se revise la tasa para calcular el pago del cupón. Dicha duración deberá ser calculada en número de años.
c. Duración de instrumentos pactados en UVR.
Para calcular la duración de los instrumentos financieros pactados en Unidades de Valor Real (UVR), los flujos futuros de efectivo deben proyectarse teniendo en cuenta la tasa pactada en UVR. La duración en este caso se calcula siguiendo el procedimiento establecido en el inciso a) del presente numeral.
Cabe aclarar que el cálculo de la duración no se ve afectado por la unidad en que estén denominados los flujos de efectivo al momento de realizarlo.
d. Duración de instrumentos pactados en moneda extranjera.
Para calcular la duración de los instrumentos financieros pactados en moneda extranjera, los flujos futuros de efectivo deben proyectarse teniendo en cuenta la tasa pactada en la moneda original. La duración en este caso se calcula siguiendo el procedimiento establecido en los literales a) y b) del presente numeral.
Cabe aclarar que el cálculo de la duración no se ve afectado por la unidad en que estén denominados los flujos de efectivo al momento de realizarlo.
e. Duración de instrumentos con opción de prepagos.
En el caso de los títulos que incorporen opción de prepagos, su duración se debe calcular de acuerdo con la expresión mencionada en el literal a), utilizándose como referencia los escenarios de prepago que se emplean para su valoración a precios de mercado, de acuerdo con lo establecido en el capítulo I de la CE 100 de 1995 o en el título séptimo de la parte primera de la Resolución 1200 de la Superintendencia de Valores, según sea el caso.
2.1.2.1.1 Cálculo de los componentes de la exposición a riesgo de tasas de interés.
Para calcular la exposición al riesgo de tasa de interés deben seguirse los siguientes pasos:
a. Cálculo de las sensibilidades
===========
ANEXO 2: CAPITULO XXI REGLAS RELATIVAS A LA ADMINISTRACIÓN DE LOS RIESGOS DE MERCADO
Página 4
f. Operaciones Carrusel
En términos financieros, un carrusel consiste en una secuencia de operaciones de compra y venta de un título a futuro. Por lo anterior, para efectos de la exposición a riesgos de mercado de que trata el presente capítulo, estas operaciones deberán ser tratadas como una serie de operaciones de compra y venta a futuro del título subyacente. Cada una de estas operaciones deberá ser tratada de acuerdo a lo estipulado en el literal b del presente numeral.
g. Opciones.
El tratamiento de estas operaciones será descrito en la sección 1.7.
Para valorar aquellas posiciones nocionales asimiladas a bonos cero cupón, se deberán seguir las siguientes indicaciones:
(i) Cuando la posición se encuentre en moneda legal, se deberá utilizar la curva cero cupón para títulos TES tasa fija en pesos suministrados por el proveedor de precios para valoración designado como oficial para el segmento correspondiente.
(ii) Cuando la posición se encuentre denominada en UVR se deberá utilizar la curva cero cupón para títulos TES en UVR suministrados por el proveedor de precios para valoración designado como oficial para el segmento correspondiente; y
(iii) Para el caso de posiciones denominadas en moneda extranjera, la tasa de descuento aplicable es la tasa “London Interbank Offer Rate” (LIBOR).
h. Notas estructuradas
El riesgo de mercado de las notas estructuradas que puedan descomponerse en instrumentos de renta fija o variable e instrumentos derivados deberá calcularse para cada uno de sus componentes.
Cuando se trate de notas estructuradas que, de acuerdo con su valoración, puedan descomponerse, el riesgo de mercado deberá calcularse teniendo en cuenta:(i) el módulo de tasa de interés, de acuerdo con las reglas contenidas en el numeral 1.2 de este anexo, cuando se trate de instrumentos de renta fija. (ii) el factor de riesgo de tasa de cambio, de acuerdo con las reglas contenidas en el numeral 1.3 del presente anexo. (iii) el factor de riesgo de precio de acciones o índice accionario, de acuerdo con las reglas contenidas en el numeral 1.4 del presente anexo, para el caso de instrumentos de renta variable.
Cuando se trate de notas estructuradas que, de acuerdo con su valoración, no puedan descomponerse y se asemejen en su comportamiento y estructura a una opción, el riesgo de mercado deberá calcularse de acuerdo con las reglas contenidas en el numeral 1.7 del presente instructivo.
ANEXO 2: CAPITULO XXI REGLAS RELATIVAS A LA ADMINISTRACIÓN DE LOS RIESGOS DE MERCADO
Página 7
Tabla 4
RANGOS días vencimiento | Asignación | ||
Desde | Hasta | nodo | Días al vencimiento |
0 | 180 | 1 | 180 |
181 | 545 | 2 | 365 |
546 | 910 | 3 | 730 |
911 | 1275 | 4 | 1095 |
| 1276 | 1640 | 5 | 1460 |
| 1641 | 2190 | 6 | 1825 |
| 2191 | 2920 | 7 | 2555 |
| 2921 | 3650 | 8 | 3285 |
| 3651 | - | 9 | 5475 |
Por ejemplo, para un flujo que se encuentra entre 0 y 180 días al vencimiento, el nodo asignado será el nodo uno (1) (180 días al vencimiento), mientras que para un flujo con 890 días al vencimiento, el nodo asociado al mismo, será el tres (3) (730 días al vencimiento). Esta asignación de nodos será la que permita calcular la exposición total de cada título.
Posterior a la asignación de nodo para cada flujo del título o valor, se debe calcular el valor presente del mismo, utilizado como tasa de descuento, la tasa cero cupón del flujo y el margen correspondiente suministrados por el proveedor de precios para valoración designado como oficial para el segmento correspondiente. En el caso de la curva de tesoros de los Estados Unidos, cuando los días al vencimiento del flujo no estén contemplados dentro de los nodos publicados por bloomberg (Curva Cero Cupón on the run) la entidad debe encontrar una aproximación a dicha tasa a través de interpolaciones de las tasas publicadas.
Calculado el valor presente del flujo del título o valor, éste debe multiplicarse por la duración modificada del flujo calculada como el tiempo anual al vencimiento descontado por la correspondiente tasa cero cupón del vencimiento del flujo. Por último, se deben sumar los flujos correspondientes a cada nodo asignado, con el fin de hallar la exposición total de cada nodo.

Donde:
Exposición del titulo o valor k en el nodo i, i = 1,...,9
VPFn Valor presente del flujo n
DMn Duración modificada del flujo n
========
CAPITULO XXI REGLAS RELATIVAS A LA ADMINISTRACIÓN DE LOS RIESGOS DE MERCADO DE LOS ACTIVOS QUE RESPALDAN LAS RESERVAS TÉCNICAS DE LAS ENTIDADES DE SEGUROS GENERALES.
Página 4
subyacente. Cada una de estas operaciones deberá ser tratada de acuerdo a lo estipulado en el literal b del presente numeral.
g. Opciones
El tratamiento de estas operaciones será descrito en la sección 1.1.6 del presente anexo.
Para valorar aquellas posiciones nocionales asimiladas a bonos cero cupón, se deberán seguir las siguientes indicaciones:
(i) Cuando la posición se encuentre en moneda legal, se deberá utilizar la curva cero cupón para títulos TES tasa fija en pesos, suministrada por el proveedor de precios para valoración designado como oficial para el segmento correspondiente
(ii) Cuando la posición se encuentre denominada en UVR se deberá utilizar la curva cero cupón para títulos TES en UVR, suministrada por el proveedor de precios para valoración designado como oficial para el segmento correspondiente; y
(iii) Para el caso de posiciones denominadas en moneda extranjera, la tasa de descuento aplicable es la tasa “London Interbank Offer Rate” (LIBOR).
h. Notas estructuradas
El riesgo de mercado de las notas estructuradas que puedan descomponerse en instrumentos de renta fija o variable e instrumentos derivados deberá calcularse para cada uno de sus componentes.
Cuando se trate de notas estructuradas que, de acuerdo con su valoración, puedan descomponerse, el riesgo de mercado deberá calcularse teniendo en cuenta: (i) el módulo de tasa de interés, de acuerdo con las reglas contenidas en el numeral 1.1.2 de este anexo, cuando se trate de instrumentos de renta fija; (ii) el factor de riesgo de tasa de cambio, de acuerdo con las reglas contenidas en el numeral 1.1.3 del presente anexo, y; (iii) el factor de riesgo de precio de acciones o índice accionario, de acuerdo con las reglas contenidas en el numeral 1.1.4 del presente anexo, para el caso de instrumentos de renta variable.
Cuando se trate de notas estructuradas que, de acuerdo con su valoración, no puedan descomponerse y se asemejen en su comportamiento y estructura a una opción, el riesgo de mercado deberá calcularse de acuerdo con las reglas contenidas en el numeral 1.1.6 del presente anexo.
i. Inversiones clasificadas hasta el vencimiento entregadas como garantías
Las inversiones que sean entregadas como garantías en una cámara de riesgo central de contraparte con el fin de respaldar el cumplimiento de las operaciones aceptadas para su compensación y liquidación deberán ser tenidas en cuenta para el cálculo de la exposición al riesgo de tasa de interés, por su valor de mercado, independientemente de su clasificación contable.
Así mismo, en el evento en que estas inversiones estén expresadas en moneda diferente a moneda legal, deberán tenerse en cuenta adicionalmente en el cálculo de la exposición al riesgo de tasa de cambio.
1.1.1.2. Operaciones de reporto o repo, operaciones simultáneas y operaciones de transferencia temporal de valores
Las operaciones a que hace referencia el presente subnumeral generan un intercambio de valores y de dinero entre las partes, con el compromiso de reversarlo al final de la operación.
En las operaciones de reporto o repo (repo) y simultáneas, el “Enajenante” le entrega valores al “Adquirente”, y al hacerlo le transfiere la propiedad de éstos. A cambio, el “Adquirente” le entrega dinero al “Enajenante”. De manera análoga, en las operaciones de
CAPITULO XXI REGLAS RELATIVAS A LA ADMINISTRACIÓN DE LOS RIESGOS DE MERCADO DE LOS ACTIVOS QUE RESPALDAN LAS RESERVAS TÉCNICAS DE LAS ENTIDADES DE SEGUROS GENERALES.
Página 6
Para efectos de los cálculos a que hace referencia el presen te numeral, las entidades deben reportar las exposiciones netas en cada instrumento. En ese sentido, se pueden excluir posiciones calzadas en los siguientes casos:
1. Cuando las posiciones largas y cortas calzadas correspondan a una emisión idéntica, incluyendo las posiciones en subyacentes derivadas de la participación en forwards, futuros y operaciones a plazo.
No se pueden excluir posiciones calzadas entre distintas emisiones de un mismo emisor, dado que las diferencias en cupones, opciones implícitas o liquidez, entre otros elementos, pueden ocasionar divergencia entre los precios de dichas emisiones en el corto plazo.
2. Para las posiciones nocionales asociadas a instrumentos derivados, con excepción de las posiciones nocionales en títulos subyacentes, se podrán excluir las posiciones largas y cortas calzadas cuando:
i. Las posiciones estén en la misma moneda;
ii. Para swaps y FRAs, la tasa de referencia debe ser idéntica y la diferencia entre los cupones pactados debe ser menor a quince (15) puntos básicos;
iii. Si la madurez residual (o próxima fecha de reprecio) de las posiciones nocionales es menor o igual a treinta días y el descalce entre ellas es menor o igual a un (1) día; o,
iv. Si la madurez residual (o próxima fecha de reprecio) de las posiciones nocionales es mayor que treinta (30) días y menor o igual a trescientos sesenta y cinco (365) días, y el descalce entre ellas es menor o igual a siete (7) días; o,
v. Si la madurez residual (o próxima fecha de reprecio) de las posiciones nocionales es mayor a trescientos sesenta y cinco (365) días y el descalce entre ellas es menor o igual a treinta (30) días; y
vi. Si las posiciones a calzar están en dos (2) categorías distintas de acuerdo a su madurez residual, el calce podrá realizarse sólo si se cumple con las condiciones de la posición con menor madurez residual. Por ejemplo, si se tiene una posición larga con una madurez residual de trescientos sesenta y tres (363) días, esta podrá calzarse con una posición corta, con una madurez residual de hasta trescientos sesenta y nueve (369) días, para garantizar que el descalce entre ellas sea menor a siete (7) días.
1.1.2.1. Medición del riesgo de tasa de interés
La exposición a riesgo de tasa de interés refleja el riesgo asociado a movimientos adversos en las tasas de interés del mercado. Dicha exposición debe ser medida por las entidades de manera separada para las posiciones en moneda legal, en moneda extranjera y en Unidades de Valor Real (UVR).
1.1.2.1.1. Cálculo de la duración modificada
Las entidades deberán calcular la duración modificada de cada una de las posiciones, incluyendo las nocionales asociadas a los instrumentos derivados, como una aproximación a la sensibilidad de su valor frente a cambios en la tasa de interés. Para dicho cálculo se debe utilizar la siguiente fórmula:

Dónde:
r Último rendimiento disponible en la fecha de cálculo (tasa efectiva anual). Es decir la última tasa de descuento disponible para el título, de acuerdo con la información para valoración suministrada por el proveedor de precios designado como oficial para el segmento correspondiente.
CAPITULO XXI REGLAS RELATIVAS A LA ADMINISTRACIÓN DE LOS RIESGOS DE MERCADO DE LOS ACTIVOS QUE RESPALDAN LAS RESERVAS TÉCNICAS DE LAS ENTIDADES DE SEGUROS GENERALES.
Página 7
Para el cálculo de la duración de los diferentes instrumentos se deben seguir las instrucciones presentadas a continuación:
a. Duración de instrumentos pactados a tasa fija.
La duración de un título pactado a tasa fija corresponde al plazo promedio de los flujos asociados a dicho título. Partiendo de los flujos contractuales y de la tasa de rendimiento del título, la duración del instrumento corresponde a:

Donde:
Fj j-ésimo flujo de fondos del instrumento, j =1,..., m.
tj tiempo restante hasta el j-ésimo flujo medido en número de años (número de días/365).
r Último rendimiento disponible en la fecha de cálculo (tasa efectiva anual). Es decir la última tasa de descuento disponible para el título, de acuerdo con la información para valoración suministrada por el proveedor de precios designado como oficial para el segmento correspondiente.
m Número de flujos futuros de efectivo asociados al instrumento.
La duración deberá ser menor que la madurez contractual del instrumento, salvo en aquellos casos en que el instrumento tiene un único flujo de efectivo que ocurre en la fecha de vencimiento.
b. Duración de instrumentos pactados a tasa variable con y sin margen.
Teniendo en cuenta que en la valoración de los instrumentos pactados a tasa variable se tiene en cuenta un margen relacionado con las características del emisor y que, por ende, los flujos de efectivo posteriores a la siguiente fecha de reprecio pueden cambiar de valor ante movimientos en el margen, la duración de estos instrumentos debe ser calculada utilizando la siguiente expresión:

Donde:
Fj j-ésimo flujo de fondos del instrumento, j =1,..., m.
tj tiempo restante hasta el j-ésimo flujo medido en número de años (número de días/365).
FD Último factor de descuento disponible en la fecha de cálculo, de acuerdo con la información para valoración suministrada por el proveedor de precios designado como oficial para el segmento correspondiente.
m Número de flujos futuros de efectivo asociados al instrumento.
Sin embargo, la duración de los títulos “tasa variable” pactados a tasas de referencia internacionales corresponderá al periodo de tiempo existente hasta el siguiente
======================
ANEXO l - REMISIÓN DE INFORMACIÓN
PARTE I - PROFORMAS F.0000
Página 33
Formato 468: Forward sobre Divisas (incluye FX - Swap)
Formato 469: Forward sobre títulos o valores
Formato 470: Forward sobre una tasa de interés a plazo ('Forward Rate Agreement' o 'FRA')
Formato 471: Opciones Europeas en el mercado mostrador (OTC)
Formato 472: Swaps ('Interest Rate Swap – IRS y 'Cross Currency Swap' – CCS)
CUERPO DE LOS FORMATOS
Formato 468: Forward sobre Divisas (incluye FX - Swap)
Unidad de Captura 01: Forward Peso - Dólar Americano que la entidad posea en su portafolio, incluyendo FX-Swap COP - USD.
Unidad de Captura 02: Forward Divisa X - Divisa Y, o Peso - Divisa diferente de USD que la entidad posea en su portafolio, incluyendo FX-Swap Divisa X - Divisa Y.
| Columna | Nombre | Concepto |
| 1 | Tipo de forward | Registre 1= FX-Swap COP - USD, 2 = Forward COP - USD diferente a FX-Swap, 3= FX-Swap Divisa X - Divisa Y, 4 = Forward Divisa X - Divisa Y diferente a FX-Swap, 5 = Forward COP – Divisa diferente a USD. (Numérico) |
| 2 | Número de contrato | Registre el número asignado al contrato por la entidad reportante. Si se trata de un instrumento financiero derivado OTC que fue aceptado por una cámara de riesgo central de contraparte (CRCC), registre, inmediatamente después del número de contrato asignado por la entidad y sin espacios, un guión “-“ seguido por el código o número que la CRCC le asignó a la operación. (Alfanumérico) |
| 3 | Finalidad de la operación | Registre el código de la finalidad del contrato: 1 = Especulación, 2 = Cobertura valor justo de intercambio, 3 = Cobertura de flujos de efectivo, 4 = Cobertura de activos y pasivos en moneda extranjera. (Numérico) |
| 4 | Forma de Liquidación | Registre el código de la clase de contrato 1 = Entregable (DF), 2 = Liquidación por diferencia (NDF). (Numérico) |
| 5 | Metodología de valoración | Registre 1 = si la metodología de valoración antigua se mantiene (reglas anteriores al 1 de septiembre de 2008), 2 = si se utiliza la metodología de valoración vigente entre el 1 de septiembre de 2008 y 30 de noviembre de 2012, 3 = si se utiliza información para valoración de Infovalmer y 4 = si se utiliza información para valoración de Proveedor Integral de Precios Colombia. (Numérico) |
| 6 | Fecha celebración contrato | Registre la fecha de celebración del contrato, bajo el formato DDMMAAAA. (Numérico) |
| 7 | Fecha vencimiento contrato | Registre la fecha de vencimiento del contrato, bajo el formato DDMMAAAA. (Numérico) |
| 8 | Código moneda comprada (divisa X o COP, según el caso) | Registre el código de la moneda comprada. La codificación puede ser consultada en la página www.superfinanciera.gov.co/Normativa/IndicedeReportesdeSuperf/monedasimc.xls (Alfanumérico) |
| 9 | Nominal moneda comprada (divisa X o COP, según el caso) | Registre el monto del contrato pactado en la divisa X, expresado en unidades de la misma, con dos cifras decimales. (Numérico) |
| 10 | Código moneda vendida (divisa Y o COP, según el caso) | Registre el código de la moneda vendida. La codificación puede ser consultada en la página web www.superfinanciera.gov.co/Normativa/IndicedeReportesdeSuperf/monedasimc.xls (Alfanumérico) |
| 11 | Nominal moneda vendida (divisa Y o COP, según el caso ) | Registre el monto del contrato pactado en la divisa Y, expresado en unidades de la misma, con dos cifras decimales. (Numérico) |
| 12 | Tipo identificación contraparte | Registre el código de tipo de identificación de la contraparte: 1 = Cédula de Ciudadanía, 2 = Cédula de extranjería, 3 = NIT Sociedad, 5= Pasaporte, 7 = sociedad extranjera sin NIT en Colombia, 8= NIT fideicomiso, cartera colectiva, fondo o patrimonio autónomo. (Numérico) |
| 13 | No. Identificación contraparte | Registre el número de identificación de la contraparte. Si se trata del NIT incluya el dígito de verificación sin guión. Para el caso de los fideicomisos, fondos, carteras colectivas o patrimonios autónomos que tengan un NIT diferente al de la sociedad administradora, se debe registrar el NIT del fondo, cartera colectiva, o patrimonio autónomo. En el caso de titularizaciones, diligencie el NIT del originador. (Alfanumérico) |
ANEXO l - REMISIÓN DE INFORMACIÓN
PARTE I - PROFORMAS F.0000
Página 485
Formato 469: Forward sobre títulos o valores
| Columna | Nombre | Concepto |
| 1 | Número de contrato | Registre el número asignado al contrato por la entidad reportante. Si se trata de un instrumento financiero derivado OTC que fue aceptado por una cámara de riesgo central de contraparte (CRCC), registre, inmediatamente después del número de contrato asignado por la entidad y sin espacios, un guión “-“ seguido por el código o número que la CRCC le asignó a la operación. (Alfanumérico) |
| 2 | Finalidad de la operación | Registre el código de la finalidad del contrato: 1 = Especulación, 2 = Cobertura valor justo de intercambio, 3 = Cobertura de flujos de efectivo, 4 = Cobertura de activos y pasivos en moneda extranjera. (Numérico) |
| 3 | Metodología de valoración | Registre 1 = si la metodología de valoración antigua se mantiene (reglas anteriores al 1 de septiembre de 2008), 2 = si se utiliza la metodología de valoración vigente entre el 1 de septiembre de 2008 y 30 de noviembre de 2012, 3 = si se utiliza información para valoración de Infovalmer y 4 = si se utiliza información para valoración de Proveedor Integral de Precios Colombia. (Numérico) |
| 4 | Fecha celebración contrato | Registre la fecha de celebración del contrato, bajo el formato DDMMAAAA. (Numérico) |
| 5 | Fecha vencimiento contrato | Registre la fecha de vencimiento del contrato, bajo el formato DDMMAAAA. (Numérico) |
| 6 | Posición de Compra o de Venta | Registre 1 = cuando la entidad se obliga a comprar el título o valor 2 = cuando la entidad se obliga a vender el título o valor. (Numérico) |
| 7 | Tipo identificación contraparte | Registre el código de tipo de identificación de la contraparte: 1 = Cédula de Ciudadanía, 2 = Cédula de extranjería, 3 = NIT Sociedad, 5= Pasaporte, 7 = sociedad extranjera sin NIT en Colombia, 8= NIT fideicomiso, cartera colectiva, fondo o patrimonio autónomo. (Numérico) |
| 8 | No. Identificación contraparte | Registre el número de identificación de la contraparte. Si se trata del NIT incluya el dígito de verificación sin guión. Para el caso de los fideicomisos, fondos, carteras colectivas o patrimonios autónomos que tengan un NIT diferente al de la sociedad administradora, se debe registrar el NIT del fondo, cartera colectiva, o patrimonio autónomo. En el caso de titularizaciones, diligencie el NIT del originador. (Alfanumérico) |
| 9 | Nombre de la contraparte | Diligencie el nombre completo o razón social o de la contraparte, tal y como se encuentra en el documento de identificación. Para los fideicomisos, fondos, carteras colectivas o patrimonios autónomos, diligencie el nombre de los mismos. En el caso de titularizaciones, diligencie el nombre del originador. (Alfanumérico) |
| 10 | Tipo de contraparte | Registre el número respectivo dependiendo del tipo de entidad al que corresponde la contraparte, así: 1 = Establecimiento de Crédito, 2 = Instituto Oficial Especial (IOE), 3 = Fondo de Pensiones Obligatorio, 4 = Fondo de Cesantía, 5 = Fondo de Pensiones Voluntario, 6 = Sociedad Administradora de Fondos de Pensiones y de Cesantía (AFP -cuenta propia), 7 = Sociedad Fiduciaria (cuenta propia), 8 = Cartera colectiva, patrimonio autónomo o fideicomiso, distinto a los enunciados en los códigos 2, 3, 4 y 6, 9 = Compañía de Seguros (generales o vida), Sociedad de Capitalización, o Cooperativa de Seguros, 10 = Sociedad Comisionista de Bolsa de Valores, 11 = Sociedad Comisionista de Bolsa Agropecuaria, 12 = Entidad del sector público colombiano no incluida en alguno de los códigos anteriores, 13 = Entidad del sector privado colombiano no incluida en alguno de los códigos anteriores, 14 = Entidad financiera del exterior, 15 = Entidad no financiera del exterior, 16 = Persona natural, y 17 = Entidad sin ánimo de lucro. (Numérico) |
| 11 | Nemotécnico subyacente | Registre el Nemotécnico del subyacente para emisiones locales o el ISIN del subyacente para emisiones extranjeras. En caso contrario dejar en blanco (Alfanumérico) |
| 12 | Código moneda pactada | Registre el código de la moneda pactada. La codificación puede ser consultada en la página www.superfinanciera.gov.co/Normativa/IndicedeReportesdeSuperf/monedasimc.xls (Alfanumérico) |
| 13 | Precio pactado | Registre el precio pactado en el contrato en la moneda original, con dos cifras decimales. (Numérico) |
Formato 470: Forward sobre una tasa de interés a plazo ('Forward Rate Agreement' o 'FRA')
| Columna | Nombre | Concepto |
| 1 | Número de contrato | Registre el número asignado al contrato por la entidad reportante. Si se trata de un instrumento financiero derivado OTC que fue aceptado por una cámara de riesgo central de contraparte (CRCC), registre, inmediatamente después del número de contrato asignado por la entidad y sin espacios, un guión “-“ seguido por el código o número que la CRCC le asignó a la operación. (Alfanumérico) |
| 2 | Finalidad de la operación | Registre el código de la finalidad del contrato: 1 = Especulación, 2 = Cobertura valor justo de intercambio, 3 = Cobertura de flujos de efectivo, 4 = Cobertura de activos y pasivos en moneda extranjera. (Numérico) |
| 3 | Metodología de valoración | Registre 1 = si la metodología de valoración antigua se mantiene (reglas anteriores al 1 de septiembre de 2008), 2 = si se utiliza la metodología de valoración vigente entre el 1 de septiembre de 2008 y 30 de noviembre de 2012, 3 = si se utiliza información para valoración de Infovalmer y 4 = si se utiliza información para valoración de Proveedor Integral de Precios Colombia. (Numérico) |
| 4 | Fecha celebración contrato | Registre la fecha de celebración del contrato, bajo el formato DDMMAAAA. (Numérico) |
| 5 | Fecha liquidación contrato | Registre la fecha de liquidación del contrato FRA, bajo el formato DDMMAAAA. (Numérico) |
| 6 | Fecha vencimiento contrato | Registre la fecha de vencimiento del contrato FRA, bajo el formato DDMMAAAA. Corresponde a la fecha de liquidación más el plazo de la tasa de referencia pactada. (Numérico) |
| 7 | Posición | Registre 1 = cuando la entidad asume el papel de tomador de fondos a la tasa de interés futura pactada, 2 = cuando la entidad asume el papel de prestador de fondos a la tasa de interés futura pactada. (Numérico) |
| 8 | Tipo identificación contraparte | Registre el código de tipo de identificación de la contraparte: 1 = Cédula de Ciudadanía, 2 = Cédula de extranjería, 3 = NIT Sociedad, 5= Pasaporte, 7 = sociedad extranjera sin NIT en Colombia, 8= NIT fideicomiso, cartera colectiva, fondo o patrimonio autónomo. (Numérico) |
| 9 | No. Identificación contraparte | Registre el número de identificación de la contraparte. Si se trata del NIT incluya el dígito de verificación sin guión. Para el caso de los fideicomisos, fondos, carteras colectivas o patrimonios autónomos que tengan un NIT diferente al de la sociedad administradora, se debe registrar el NIT del fondo, cartera colectiva, o patrimonio autónomo. En el caso de titularizaciones, diligencie el NIT del originador. (Alfanumérico) |
| 10 | Nombre de la contraparte | Diligencie el nombre completo o razón social o de la contraparte, tal y como se encuentra en el documento de identificación. Para los fideicomisos, fondos, carteras colectivas o patrimonios autónomos, diligencie el nombre de los mismos. En el caso de titularizaciones, diligencie el nombre del originador. (Alfanumérico) |
| 11 | Tipo de contraparte | Registre el número respectivo dependiendo del tipo de entidad al que corresponde la contraparte, así: 1 = Establecimiento de Crédito, 2 = Instituto Oficial Especial (IOE), 3 = Fondo de Pensiones Obligatorio, 4 = Fondo de Cesantía, 5 = Fondo de Pensiones Voluntario, 6 = Sociedad Administradora de Fondos de Pensiones y de Cesantía (AFP -cuenta propia), 7 = Sociedad Fiduciaria (cuenta propia), 8 = Cartera colectiva, patrimonio autónomo o fideicomiso, distinto a los enunciados en los códigos 2, 3, 4 y 6, 9 = Compañía de Seguros (generales o vida), Sociedad de Capitalización, o Cooperativa de Seguros, 10 = Sociedad Comisionista de Bolsa de Valores, 11 = Sociedad Comisionista de Bolsa Agropecuaria, 12 = Entidad del sector público colombiano no incluida en alguno de los códigos anteriores, 13 = Entidad del sector privado colombiano no incluida en alguno de los códigos anteriores, 14 = Entidad financiera del exterior, 15 = Entidad no financiera del exterior, 16 = Persona natural, y 17 = Entidad sin ánimo de lucro. (Numérico) |
| 12 | Código moneda pactada | Registre el código de la moneda pactada. La codificación puede ser consultada en la página www.superfinanciera.gov.co/Normativa/IndicedeReportesdeSuperf/monedasimc.xls (Alfanumérico) |
| 13 | Valor nominal contrato | Registre el valor nominal del contrato, en moneda original con dos cifras decimales, sobre el cual se calcularán los intereses. (Numérico) |
ANEXO l - REMISIÓN DE INFORMACIÓN
PARTE I - PROFORMAS F.0000
Página 489
Formato 471: Opciones Europeas en el mercado mostrador (OTC)
| Columna | Nombre | Concepto |
| 1 | Tipo de opción | Registre el tipo de opción: 1 = opción de compra (call), 2 = opción de venta (put). (Numérico) |
| 2 | Número de contrato | Registre el número asignado al contrato por la entidad reportante. Si se trata de un instrumento financiero derivado OTC que fue aceptado por una cámara de riesgo central de contraparte (CRCC), registre, inmediatamente después del número de contrato asignado por la entidad y sin espacios, un guión “-“ seguido por el código o número que la CRCC le asignó a la operación. (Alfanumérico) |
| 3 | Finalidad de la operación | Registre el código de la finalidad del contrato: 1 = Especulación, 2 = Cobertura valor justo de interc ambio, 3 = Cobertura de flujos de efectivo, 4 = Cobertura de activos y pasivos en moneda extranjera. (Numérico) |
| 4 | Metodología de valoración | Registre 1 = si la metodología de valoración antigua se mantiene (reglas anteriores al 1 de septiembre de 2008), 2 = si se utiliza la metodología de valoración vigente entre el 1 de septiembre de 2008 y 30 de noviembre de 2012, 3 = si se utiliza información para valoración de Infovalmer y 4 = si se utiliza información para valoración de Proveedor Integral de Precios Colombia. (Numérico) |
| 5 | Fecha celebración contrato | Registre la fecha de celebración del contrato, bajo el formato DDMMAAAA. (Numérico) |
| 6 | Fecha vencimiento contrato | Registre la fecha de vencimiento del contrato, bajo el formato DDMMAAAA. (Numérico) |
| 7 | Posición de Compra o de Venta | Registre: 1 = cuando la entidad es el comprador de la opción, 2 = cuando la entidad es el emisor o vendedor de la opción. (Numérico) |
| 8 | Tipo identificación contraparte | Registre el código de tipo de identificación de la contraparte: 1 = Cédula de Ciudadanía, 2 = Cédula de extranjería, 3 = NIT Sociedad, 5= Pasaporte, 7 = sociedad extranjera sin NIT en Colombia, 8= NIT fideicomiso, cartera colectiva, fondo o patrimonio autónomo. (Numérico) |
| 9 | No. Identificación contraparte | Registre el número de identificación de la contraparte. Si se trata del NIT incluya el dígito de verificación sin guión. Para el caso de los fideicomisos, fondos, carteras colectivas o patrimonios autónomos que tengan un NIT diferente al de la sociedad administradora, se debe registrar el NIT del fondo, cartera colectiva, o patrimonio autónomo. En el caso de titularizaciones, diligencie el NIT del originador. (Alfanumérico) |
| 10 | Nombre de la contraparte | Diligencie el nombre completo o razón social o de la contraparte, tal y como se encuentra en el documento de identificación. Para los fideicomisos, fondos, carteras colectivas o patrimonios autónomos, diligencie el nombre de los mismos. En el caso de titularizaciones, diligencie el nombre del originador. (Alfanumérico) |
| 11 | Tipo de contraparte | Registre el número respectivo dependiendo del tipo de entidad al que corresponde la contraparte, así: 1 = Establecimiento de Crédito, 2 = Instituto Oficial Especial (IOE), 3 = Fondo de Pensiones Obligatorio, 4 = Fondo de Cesantía, 5 = Fondo de Pensiones Voluntario, 6 = Sociedad Administradora de Fondos de Pensiones y de Cesantía (AFP -cuenta propia), 7 = Sociedad Fiduciaria (cuenta propia), 8 = Cartera colectiva, patrimonio autónomo o fideicomiso, distinto a los enunciados en los códigos 2, 3, 4 y 6, 9 = Compañía de Seguros (generales o vida), Sociedad de Capitalización, o Cooperativa de Seguros, 10 = Sociedad Comisionista de Bolsa de Valores, 11 = Sociedad Comisionista de Bolsa Agropecuaria, 12 = Entidad del sector público colombiano no incluida en alguno de los códigos anteriores, 13 = Entidad del sector privado colombiano no incluida en alguno de los códigos anteriores, 14 = Entidad financiera del exterior, 15 = Entidad no financiera del exterior, 16 = Persona natural, y 17 = Entidad sin ánimo de lucro. (Numérico) |
| 12 | Tipo de Subyacente | Registre el tipo de subyacente: 1 = moneda, 2 = títulos o valores, 3 =instrumentos financieros derivados, 4 = índices. (Numérico) |
| 13 | Código de moneda denominación subyacente | Registre el código de la moneda en la que está denominado el subyacente de la opción. Si en la columna 12 registró 4, no deberá reportar esta columna. La codificación puede ser consultada en la página www.superfinanciera.gov.co/Normativa/IndicedeReportesdeSuperf/monedasimc.xls (Alfanumérico) |
| 14 | Valor nominal del contrato | Registre el valor nominal del contrato, en la moneda original, con dos cifras decimales. (Numérico) |
| 15 | Valor prima pactada (COP) | Registre el valor de la prima pactada en el contrato, expresada en pesos con dos cifras decimales. (Numérico) |
Formato 472: Swaps ('Interest Rate Swap – IRS y 'Cross Currency Swap' – CCS)
Unidad de Captura 01: Información flujos (recibir y pagar) operaciones Swap ('Interest Rate Swap – IRS y 'Cross Currency Swap' – CCS). Esta unidad de captura aplica para las columnas: 1, 2, 11-25, 27 y 29.
Unidad de Captura 02: Información por contrato Swap. ('Interest Rate Swap – IRS y 'Cross Currency Swap' – CCS). Esta unidad de captura aplica para las columnas: 1-10 y 25-30.
| Columna | Nombre | Concepto |
| 1 | Tipo de Swap | Registre el tipo de Swap: 1 = tasa de interés (IRS), 2 = Monedas (CCS). (Numérico) |
| 2 | Número de contrato | Registre el número asignado al contrato por la entidad reportante. Si se trata de un instrumento financiero derivado OTC que fue aceptado por una cámara de riesgo central de contraparte (CRCC), registre, inmediatamente después del número de contrato asignado por la entidad y sin espacios, un guión “-“ seguido por el código o número que la CRCC le asignó a la operación. (Alfanumérico) |
| 3 | Finalidad de la operación | Registre el código de la finalidad del contrato: 1 = Especulación, 2 = Cobertura valor justo de intercambio, 3 = Cobertura de flujos de efectivo, 4 = Cobertura de activos y pasivos en moneda extranjera. (Numérico) |
| 4 | Metodología de valoración | Registre 1 = si la metodología de valoración antigua se mantiene (reglas anteriores al 1 de septiembre de 2008), 2 = si se utiliza la metodología de valoración vigente entre el 1 de septiembre de 2008 y 30 de noviembre de 2012, 3 = si se utiliza información para valoración de Infovalmer y 4 = si se utiliza información para valoración de Proveedor Integral de Precios Colombia. (Numérico) |
| 5 | Fecha celebración contrato | Registre la fecha de celebración del contrato, bajo el formato DDMMAAAA. (Numérico) |
| 6 | Fecha vencimiento contrato | Registre la fecha de vencimiento del contrato, bajo el formato DDMMAAAA. (Numérico) |
| 7 | Tipo identificación contraparte | Registre el código de tipo de identificación de la contraparte: 1 = Cédula de Ciudadanía, 2 = Cédula de extranjería, 3 = NIT Sociedad, 5= Pasaporte, 7 = sociedad extranjera sin NIT en Colombia, 8= NIT fideicomiso, cartera colectiva, fondo o patrimonio autónomo. (Numérico) |
| 8 | No. Identificación contraparte | Registre el número de identificación de la contraparte. Si se trata del NIT incluya el dígito de verificación sin guión. Para el caso de los fideicomisos, fondos, carteras colectivas o patrimonios autónomos que tengan un NIT diferente al de la sociedad administradora, se debe registrar el NIT del fondo, cartera colectiva, o patrimonio autónomo. En el caso de titularizaciones, diligencie el NIT del originador. (Alfanumérico) |
| 9 | Nombre de la contraparte | Diligencie el nombre completo o razón social o de la contraparte, tal y como se encuentra en el documento de identificación. Para los fideicomisos, fondos, carteras colectivas o patrimonios autónomos, diligencie el nombre de los mismos. En el caso de titularizaciones, diligencie el nombre del originador. (Alfanumérico) |
| 10 | Tipo de contraparte | Registre el número respectivo dependiendo del tipo de entidad al que corresponde la contraparte, así: 1 = Establecimiento de Crédito, 2 = Instituto Oficial Especial (IOE), 3 = Fondo de Pensiones Obligatorio, 4 = Fondo de Cesantía, 5 = Fondo de Pensiones Voluntario, 6 = Sociedad Administradora de Fondos de Pensiones y de Cesantía (AFP -cuenta propia), 7 = Sociedad Fiduciaria (cuenta propia), 8 = Cartera colectiva, patrimonio autónomo o fideicomiso, distinto a los enunciados en los códigos 2, 3, 4 y 6, 9 = Compañía de Seguros (generales o vida), Sociedad de Capitalización, o Cooperativa de Seguros, 10 = Sociedad Comisionista de Bolsa de Valores, 11 = Sociedad Comisionista de Bolsa Agropecuaria, 12 = Entidad del sector público colombiano no incluida en alguno de los códigos anteriores, 13 = Entidad del sector privado colombiano no incluida en alguno de los códigos anteriores, 14 = Entidad financiera del exterior, 15 = Entidad no financiera del exterior, 16 = Persona natural, y 17 = Entidad sin ánimo de lucro. (Numérico) |
| 11 | Código de moneda de principal y flujos a recibir | Registre el código de la moneda o unidad en la cual están expresados el nominal y los flujos a recibir. La codificación puede ser consultada en la página www.superfinanciera.gov.co/Normativa/IndicedeReportesdeSuperf/monedasimc.xls (Alfanumérico) |
===============
ANEXO l - REMISIÓN DE INFORMACIÓN
PARTE I - PROFORMAS F.0000
| Página 314-1 | ||
| 24 | Código tasa facial del título o valor | Registre el código de la tasa contractual del título o valor. La codificación puede ser consultada en el anexo de “tasas” el cual se puede ubicar en la página web http://www.superfinanciera.gov.co/Normativa/IndicedeReportesdeSuperf/codigostasasfacialesdreferencia.xls En el caso de los títulos o valores al descuento, debe emplearse el código TDESC. (Alfanumérico) |
| 25 | Valor tasa o spread | Cuando se trate de títulos o valores de renta fija a tasa fija, registre el valor (con cuatro (4) decimales) de la tasa fija contractual. Para el caso de títulos o valores de renta fija a tasa variable registre el valor (con cuatro (4) decimales) de la tasa real o el spread. En el caso de títulos o valores al descuento, no reportar ningún valor. (Numérico) |
| 26 | Base cálculo intereses | Registre los días base de proyección de intereses: 1 = 360, 2 = 365 ó 3 = 366. Si no aplica, no reportar este campo. (Numérico) |
| 27 | Periodicidad pago de rendimientos | Registre la frecuencia de pago de intereses, vigente a la fecha de reporte: 1 = mensual, 2 = bimestral, 3 = trimestral, 4 = cuatrimestral, 5 = semestral, 6 = anual, 7= período, 8= diaria, 9 = otro. Si no aplica, no reportar este campo. (Numérico) |
| 28 | Modalidad pago de intereses | Registre la modalidad de pago de intereses: 1 = vencido, 2 = anticipado. (Numérico) |
| 29 | Indicador tasa variable de referencia | Reporte el indicador de aplicación de la tasa variable para la proyección de intereses. Registre: 1 = si se toma la tasa de referencia del inicio del período, 2= si se toma la tasa de referencia del final del período; 3 = otro (Numérico) |
Valoración
| 30 | Valor de mercado o valor presente en pesos | Registre el valor de mercado de las inversiones negociables o disponibles para la venta ó el valor presente de las inversiones para mantener hasta el vencimiento, de acuerdo con lo dispuesto en el Capítulo I de la Circular Básica Contable y Financiera (Circular Externa No. 100 de 1995 de la anterior Superintendencia Bancaria). Cuando se trate de acciones de baja o mínima bursatilidad, debe reportarse en este campo el valor correspondiente al costo de adquisición. Esta última precisión no aplica para las entidades obligadas a clasificar la totalidad de sus inversiones como negociables de acuerdo con el literal b) del numeral 3.1. del Capítulo I de la Circular Básica Contable y Financiera (Circular Externa 100 de 1995 de la anterior Superintendencia Bancaria). Tratándose de participaciones en carteras colectivas, el valor de mercado a reportar debe corresponder al resultado de multiplicar el número de unidades reportadas en la columna 20 “Número de acciones, unidades o participaciones” por el valor de la unidad reportado en la columna 40 “Precio”. En el caso de inversiones que se encuentren vencidas y no hayan sido cobradas este campo debe reportarse con cero (0). (Numérico) |
| Página 314-2 | ||
| 31 | Valor presente en pesos | Aplica para títulos o valores de deuda clasificados como disponibles para la venta. Registre el valor presente de la inversión, calculado con base en la TIR de compra. (Numérico) |
| 32 | Valor de mercado o valor presente moneda diferente al peso | Registre en la moneda o unidad en que este denominado el título o valor, el valor de mercado de las inversiones negociables o disponibles para la venta ó el valor presente de las inversiones para mantener hasta el vencimiento, de acuerdo con lo dispuesto en el Capítulo I de la Circular Básica Contable y Financiera (Circular Externa No. 100 de 1995 de la anterior Superintendencia Bancaria). Cuando se trate de acciones de baja o mínima bursatilidad, debe reportarse en este campo el valor correspondiente al costo de adquisición. Esta última precisión no aplica para las entidades obligadas a clasificar la totalidad de sus inversiones como negociables de acuerdo con el literal b) del numeral 3.1. del Capítulo I de la Circular Básica Contable y Financiera (Circular Externa 100 de 1995 de la anterior Superintendencia Bancaria). Tratándose de participaciones en carteras colectivas, el valor de mercado a reportar debe corresponder al resultado de multiplicar el número de unidades reportadas en la columna 20 “Número de acciones, unidades o participaciones” por el valor de la unidad reportado en la columna 40 “Precio”. En el caso de inversiones que se encuentren vencidas y no hayan sido cobradas este campo debe reportarse con cero (0). (Numérico) |
| 33 | Tasa de negociación | No aplica para títulos o valores participativos. Registre el valor (con cuatro (4) decimales) de la tasa, en términos efectivos anuales, a la cual fue negociado el título o valor. Si se trata de títulos o valores unificados registre la tasa promedio ponderada por el valor nominal. (Numérico) |
Bases de valoración
| 34 | Días al vencimiento | Registre los días que faltan para el vencimiento del título o valor calculados con base 365 días. (Numérico) |
| 35 | Tasa de referencia | Registre el código de la tasa de referencia utilizado en la valoración del título o valor. No aplica para título que se valoren con precio suministrado por el proveedor de precios oficial La codificación puede ser consultada en la página web http://www.superfinanciera.gov.co/Normativa/IndicedeReportesdeSuperf/codigostasasfacialesdreferencia.xls. (Alfanumérico) |
| 36 | Valor tasa de referencia | No aplica para títulos o valores que se valoren con una curva de referencia suministrada por el proveedor de precios oficial ó con precio. Registre el valor (con cuatro (4) decimales) de la tasa de referencia a la fecha de reporte utilizada en la valoración expresada en términos efectivos anuales. (Numérico) |
| Página 314-3 | ||
| 37 | Valor de la tasa variable 1er flujo | Aplica para las inversiones de renta fija a tasa variable cuyos rendimientos se pagan con el valor de la tasa del inicio del período de causación. Registre el valor (con cuatro (4) decimales) de tasa del inicio del período, en los términos de la tasa contractual. (Numérico) |
| 38 | Margen de valoración | Registre el valor (con cuatro (4) decimales) del margen utilizado en la valoración. No aplica para título que se valoren con precio suministrado por el proveedor de precios oficial (Numérico) |
| 39 | Tasa de descuento | No aplica para títulos o valores que se valoren con una curva de referencia suministrada por el proveedor de precios oficial o con precio. Tratándose de títulos o valores que se valoren con tasa, registre el valor (con cuatro (4) decimales) de la tasa de descuento utilizada en la valoración. (Numérico) |
| 40 | Precio | Tratándose de títulos o valores de deuda que se valoren con precio, registre el precio (con seis (6) decimales) con el cual se valoró. Tratándose de títulos o valores participativos, registre el precio (con seis (6) decimales) por acción o el valor de la unidad de participación utilizado en la valoración. Registrar en este campo el precio de valoración de las acciones, cuando sea el caso. Tratándose de participaciones en carteras colectivas, debe reportar el precio de conformidad con lo establecido en el numeral 6.2. del Capítulo I de la Circular Básica Contable y Financiera (Circular Externa No. 100 de 1995 de la anterior Superintendencia Bancaria). En el caso de inversiones en inmuebles, registe en este campo el valor de la unidad de reexpresión con la que se calculó el nuevo valor de mercado del inmueble. . (Numérico) |
| 41 | Método de valoración | Registre el código del método de valoración del título o valor. La codificación puede ser consultada en la página web http://www.superfinanciera.gov.co/Normativa/IndicedeReportesdeSuperf/codigosmetodosdvaloracion.xls. (Numérico) |
| 42 | Fecha último reprecio | Exclusivo para las inversiones de renta fija a tasa variable, valoradas con base en la TIR, incluidas las inversiones clasificadas como disponibles para la venta en la porción que se contabiliza con base en la TIR. Registre la fecha del último recálculo de la TIR, expresada en el formato DDMMAAAA. (Numérico) |
| 43 | Valor presente al último reprecio | Registre el valor presente utilizado a la fecha de reprecio (columna 42) para efectos de recalcular la TIR, expresada en la moneda o unidad en que se encuentre expresado el título o valor. (Numérico) |
| 44 | Índice de bursatilidad | Exclusivo de inversiones en acciones de emisores nacionales. Registre: 1= alta bursatilidad, 2= media bursatilidad, 3= baja o mínima bursatilidad o sin ninguna cotización. (Numérico) |
| Página 314-4 | ||
| 45 | Intereses y capital vencidos y no cobrados | Registre el valor de los intereses y capital de las inversiones que se encuentren vencidos y no hayan sido cobrados. Para aquellas inversiones en que no sea aplicable este campo, ésta columna no debe ser reportada. (Numérico) |
| 46 | Código PUC provisión | Registre el código del PUC, a nivel de subcuenta (seis dígitos), en el cual se encuentra contabilizada la provisión de la inversión. (Alfanumérico) |
| 47 | Base de provisión | Registre 4 = si se trata de aquellos títulos o valores que se valoran de conformidad con el literal b) del numeral 6.1.1 o el numeral 6.1.2 del Capítulo I de la Circular Básica Contable y Financiera. (Numérico) |
| 48 | Valor de provisión | Registre el valor en pesos de la provisión por la evaluación de riesgo crediticio de que trata el numeral 8 del capítulo I de la Circular Básica Contable y Financiera. (Numérico) |
Control de calificación
| 49 | Calificación del título o valor o del emisor | Registre el código de la calificación que tuviere el título o valor a la fecha de reporte. La codificación puede ser consultada en la página web http://www.superfinanciera.gov.co/Normativa/IndicedeReportesdeSuperf/codigoscalificaciones.xls Tratándose de Depósitos a Término, registre el código de la calificación del emisor de la inversión según corresponda a inversiones de corto o largo plazo. Si la inversión o el emisor cuenta con más de una calificación y fueron expedidas dentro de los últimos tres (3) meses, se debe reportar la calificación más baja; si las calificaciones vigentes fueron expedidas con más de tres (3) meses de anterioridad, se reportará la calificación más reciente y si fueron expedidas en la misma fecha se debe reportar la más baja. Tratándose de títulos o valores de renta fija emitidos, avalados o garantizados por gobiernos extranjeros o bancos centrales extranjeros, se debe reportar la calificación de riesgo soberano otorgada al gobierno extranjero. Tratándose de títulos o valores emitidos, avalados o garantizados por organismos multilaterales, se debe reportar la calificación asignada a dicho organismo y a su deuda. En caso de no aplicar, no reportar este campo. (Numérico) |
| Página 314-5 | ||
50 | Entidad calificadora | Registre el código de la sociedad calificadora que haya asignado la calificación a la inversión. La codificación puede ser consultada en la página web http://www.superfinanciera.gov.co/Normativa/IndicedeReportesdeSuperf/codigosentidadescalificadoras.xls. En caso de no aplicar, no reportar este campo. (Numérico) |
| 51 | Calificación de riesgo crediticio o de incumpli-miento en el pago nominal o flujo. | Registre la calificación de la inversión por riesgo crediticio. A = Riesgo normal, B = Riesgo aceptable, C = Riesgo apreciable, D = Riesgo significativo, E = Inversión incobrable. Para aquellas inversiones que cuenten con calificaciones externas registre la información consignada en la columna 49. Si este campo no aplica, no lo reporte. Tratándose de las inversiones del numeral 6.4 del Capítulo I de la Circular Básica Contable y Financiera, reporte en esta columna la letra correspondiente a la calificación por el incumplimiento del pago del nominal o del flujo, según sea el caso, de acuerdo con la tabla del Parágrafo 3 del mismo numeral. (Alfanumérico) |
| 52 | Calificación del avalista | Registre el código de la calificación que tuviere el avalista a la fecha de reporte, según corresponda a inversiones de corto y largo plazo, de conformidad con los parámetros de calificación descritos en la columna 49. La codificación puede ser consultada en la página web http://www.superfinanciera.gov.co/Normativa/IndicedeReportesdeSuperf/codigoscalificaciones.xls (Numérico) |
| 53 | Calificación deuda soberana país del emisor o administrador del exterior | Para uso exclusivo de las entidades aseguradoras y sociedades de capitalización. Registre el código de la calificación del país en donde se encuentra localizado el emisor de los instrumentos emitidos o garantizados por entidades del exterior o el administrador del fondo, de conformidad con lo dispuesto en el numeral 2 del articulo 2° del decreto 2779 de 2001, o demás normas que lo sustituyan, modifiquen o subroguen. La codificación puede ser consultada en la página web http://www.superfinanciera.gov.co/Normativa/IndicedeReportesdeSuperf/codigoscalificaciones.xls (Alfanumérico) |
| 54 | Entidad calificadora deuda soberana país del emisor o administrador del exterior | Para uso exclusivo de las entidades aseguradoras y sociedades de capitalización: 0 Registre el código de la sociedad calificadora que haya asignado la calificación en la columna 53. La codificación puede ser consultada en la página web http://www.superfinanciera.gov.co/Normativa/IndicedeReportesdeSuperf/codigosentidadescalificadoras.xls (Numérico) |
Control Custodio
| 55 | Custodio | Registre: 1 = si el título o valor se encuentra en custodia en el DECEVAL, 2 = si se encuentra en custodia en DCV, 3 = en el exterior, 4 = físico en la entidad ó 5 = custodia por un tercero, (Numérico) |
| Página 314-8 | ||
| 68 | Restricciones | Registre 1 = si el título o valor tiene gravamen, embargo, medidas preventivas o de cualquier otra naturaleza que impida su libre cesión o transferencia; 2 = si se establecieron restricciones a la movilidad en el caso de operaciones de transferencia temporal de valores bajo las modalidades de valor contra valor y/o valor contra dinero y valor o 3 = si no tiene restricción alguna. (Numérico) |
Valorización o Desvalorización
| 69 | Valorización | Registre el valor acumulado correspondiente a la valorización que corresponde al inversionista determinada de conformidad con lo establecido en el numeral 6.2.1. del Capítulo I de la Circular Básica Contable y Financiera (Circular Externa No. 100 de 1995 de la Superintendencia Bancaria). Este campo no aplica para las entidades obligadas a clasificar la totalidad de sus inversiones como negociables de acuerdo con el literal b) del numeral 3.1. del Capítulo I de la Circular Básica Contable y Financiera (Circular Básica Contable de la Superintendencia Bancaria de Colombia). (Numérico) |
| 70 | Desvalorización | Registre el valor acumulado correspondiente a la desvalorización que corresponde al inversionista determinada de conformidad con lo establecido en el numeral 6.2.1. del Capítulo I de la Circular Básica Contable y Financiera (Circular Externa No. 100 de 1995 de la Superintendencia Bancaria). Este campo no aplica para las entidades obligadas a clasificar la totalidad de sus inversiones como negociables de acuerdo con el literal b) del numeral 3.1. del Capítulo I de la Circular Básica Contable y Financiera (Circular Básica Contable de la Superintendencia Bancaria de Colombia) y en el artículo 1.7.2.2. de la Resolución 1200 de 1995 expedida por la Superintendencia de Valores. (Numérico) |
Tasa variable de referencia
| 71 | Fecha de captura de la tasa variable de referencia | Si en la columna 29 “Indicador tasa variable de referencia” registró la opción tres (3) “Otro”, reporte en este campo la fecha acordada para la captura del indicador de la tasa variable de referencia, bajo el formato DDMMAAAA. (Numérico) |
Operaciones de reporto o repo, simultánea y de transferencia temporal de valores
| 72 | Número asignado por la entidad a la operación | Exclusivo para valores entregados y/o recibidos en operaciones de reporto o repo, simultánea y de transferencia temporal de valores. Registre el número asignado por la entidad a la operación. Esta información debe coincidir con lo reportado en la columna No. 2 “Número asignado por la entidad a la operación” del formato No. 397 “Operaciones de reporto o repo, simultáneas y transferencia temporal de valores” (Proforma F.0000-132). El número asignado por la entidad a la operación deberá repetirse en el presente formato, tantas veces como valores tenga la operación de que se trate. (Alfanumérico) |