DECRETO 415 DE 2018
(marzo 2)
Diario Oficial No. 50.523 de 02 de marzo de 2018
MINISTERIO DE HACIENDA Y CRÉDITO PÚBLICO
Por el cual se modifica el Decreto 2555 de 2010 en lo relacionado con el patrimonio adecuado de sociedades fiduciarias, sociedades administradoras de fondos de pensiones y de cesantías, sociedades comisionistas de bolsa, sociedades administradoras de inversión y entidades aseguradoras.
EL PRESIDENTE DE LA REPÚBLICA DE COLOMBIA,
en uso de sus facultades constitucionales y legales, en especial de las consagradas en los numerales 11 y 25 del artículo 189 de la Constitución Política, el literal c) del numeral 1 del artículo 48 y el numeral 1 del artículo 82 del Estatuto Orgánico del Sistema Financiero, del artículo 94 de la Ley 100 de 1993 y del literal c) del artículo 4o de la Ley 964 de 2005,
CONSIDERANDO:
Que con el propósito de reforzar las normas existentes para la gestión del riesgo operacional en aquellas entidades que administran activos de terceros, se hace necesario actualizar y uniformar dicha regulación para las sociedades fiduciarias, sociedades comisionistas de bolsa, sociedades administradoras de fondos de pensiones y cesantías, sociedades administradoras de inversión y entidades aseguradoras, con el fin de incorporar mejores estándares asociados a la naturaleza de las operaciones que llevan a cabo con los activos que administran.
Que el reconocimiento de la exposición al riesgo operacional de los administradores de activos de terceros que se propone, guarda consonancia con estándares internacionales que garantizan la flexibilidad y correspondencia necesaria entre las actividades que estos ejecutan, la naturaleza de los activos administrados y una metodología que permite cuantificar dicho riesgo de manera proporcional al tamaño del negocio que las entidades gestionan.
Que dentro de tal ejercicio de actualización normativa, se hallaron además herramientas idóneas en la custodia de valores que se prevé en el Libro 37 de la Parte 2 del Decreto 2555 de 2010, para la mitigación apropiada del riesgo operacional atado a las actividades que los administradores de activos de terceros llevan a cabo con los activos que administran en el mercado de valores, en particular, frente al aseguramiento de la entrega de los valores y los recursos en dinero asociados a las operaciones que en ese mercado se ejecutan.
Que el fortalecimiento de las relaciones de solvencia de las entidades autorizadas para actuar como administradores de activos de terceros, también implica el manejo adecuado de aquellos recursos que gestionan las mismas entidades desde su posición propia, gestión esta que puede ser robustecida a partir de la consideración de la ponderación de este tipo de activos por su nivel de riesgo y valor de su exposición por riesgo de mercado en el cálculo de tales relaciones de solvencia.
Que el Consejo Directivo de la Unidad Administrativa Especial de Proyección Normativa y Estudios de Regulación Financiera (URF), aprobó por unanimidad el contenido del presente Decreto, mediante Acta No. 013 del 27 de octubre de 2017,
DECRETA:
ARTÍCULO 1o. Sustitúyase el Título 3 del Libro 5 de la Parte 2 del Decreto 2555 de 2010, el cual quedará así:
“TÍTULO 3
PATRIMONIO ADECUADO PARA LAS SOCIEDADES FIDUCIARIAS
Artículo 2.5.3.1.1 Patrimonio adecuado. Las sociedades fiduciarias deberán mantener permanentemente y acreditar ante la Superintendencia Financiera de Colombia niveles adecuados de patrimonio, para lo cual deberán cumplir como mínimo con la relación de solvencia.
La relación de solvencia se define como el valor del patrimonio técnico calculado en los términos de este Título, dividido por la sumatoria de los activos ponderados por nivel de riesgo, cien novenos (100/9) del valor en riesgo de mercado y cien novenos (100/9) del valor de exposición al riesgo operacional. Esta relación se expresa en términos porcentuales. La relación de solvencia mínima de las sociedades fiduciarias será del nueve por ciento (9%).
Para las sociedades fiduciarias autorizadas para realizar la actividad de custodia de valores de que trata el Libro 37 de la Parte 2 del presente Decreto, la relación de solvencia se define como el valor del patrimonio técnico calculado en los términos de este Título, dividido entre el mayor valor de los dos siguientes: (i) la sumatoria de los activos ponderados por nivel de riesgo, del valor en riesgo de mercado y el valor de exposición al riesgo operacional, y (ii) cien novenos (100/9) de veinte mil millones de pesos ($20.000.000.000), cifra esta última que a partir de enero de 2019, se actualizará anualmente en forma automática en el mismo porcentaje en que varíe el Índice de Precios al Consumidor que suministre el DANE.
Artículo 2.5.3.1.2 Patrimonio técnico. Para la determinación del patrimonio técnico de las sociedades fiduciarias se utilizará en lo pertinente el procedimiento descrito en el Título 1 del Libro 6 de la presente Parte y las normas que lo modifiquen o adicionen.
Para efectos de la deducción de las reservas de estabilización de los fondos administrados descrita en el artículo 2.6.1.1.3 del presente decreto, sólo se sustraerán aquellas asociadas a la administración de recursos del Fondo Nacional de Pensiones de las Entidades Territoriales (Fonpet).
Artículo 2.5.3.1.3. Riesgo de crédito. Para efectos del cálculo de la relación de solvencia, se entiende como riesgo de crédito la posibilidad de pérdidas que disminuyan el patrimonio técnico de una sociedad fiduciaria como consecuencia del incumplimiento de obligaciones financieras en los términos acordados. Entre otras razones, este riesgo puede tener origen en un posible incumplimiento de la contraparte en una operación o en una potencial variación del precio del instrumento de que se trate, por causas relacionadas bien con su emisor o con el emisor de su instrumento principal, si se trata de un instrumento derivado.
Artículo 2.5.3.1.4. Riesgo de mercado. Para efectos del cálculo de la relación de solvencia, se entiende como riesgo de mercado la posibilidad de pérdidas que disminuyan el patrimonio técnico de una sociedad fiduciaria por movimientos adversos en los indicadores del mercado que afecten los instrumentos financieros en los que la entidad mantenga posiciones dentro o fuera del balance. Los indicadores del mercado que se tendrán en cuenta son, entre otros, los tipos de interés, tipos de cambio, precio de los valores o títulos y otros índices.
Artículo 2.5.3.1.5. Riesgo Operacional. Se entiende por Riesgo Operacional la posibilidad de que una sociedad fiduciaria incurra en pérdidas y disminuya el valor de su patrimonio como consecuencia de la inadecuación o fallos de los procesos, el personal y los sistemas internos, o bien a causa de acontecimientos externos. El riesgo operacional incluye el riesgo legal, pero excluye los riesgos estratégico y de reputación.
Artículo 2.5.3.1.6. Clasificación y ponderación de los activos para riesgo de crédito. Para efectos de determinar el valor total de activos ponderados por nivel de riesgo crediticio, los activos propios y exposiciones de la sociedad fiduciaria se deben clasificar dentro de una de las siguientes categorías dependiendo de su naturaleza:
Categoría I. Activos de máxima seguridad. En esta categoría se clasificará la caja, depósitos a la vista en entidades sometidas a vigilancia de la Superintendencia Financiera de Colombia, las inversiones en títulos o valores del Banco de la República o de la Nación y los garantizados por esta en la parte cubierta.
Así mismo, computarán dentro de esta categoría los títulos o valores emitidos o totalmente garantizados por entidades multilaterales de crédito.
En esta categoría también se debe incluir la exposición neta en las operaciones de reporto o repo, operaciones simultáneas y operaciones de transferencia temporal de valores siempre que la contraparte sea la Nación, el Banco de la República o una cámara de riesgo central de contraparte.
Adicionalmente, en esta categoría se debe incluir la exposición crediticia en operaciones con instrumentos financieros derivados siempre que la contraparte sea la Nación, el Banco de la República o una cámara de riesgo central de contraparte.
Categoría II. Activos de alta seguridad, tales como los títulos o valores emitidos por entidades públicas del orden nacional, los depósitos a término, en establecimientos de crédito, y créditos garantizados incondicionalmente con títulos o valores emitidos por la Nación o por el Banco de la República o por Gobiernos o Bancos Centrales de países que autorice expresamente la Superintendencia Financiera de Colombia.
En esta categoría también se debe incluir la exposición neta en las operaciones de reporto o repo, operaciones simultáneas y operaciones de transferencia temporal de valores siempre que la contraparte sea una entidad vigilada por la Superintendencia Financiera de Colombia distinta del Banco de la República, o una entidad pública de orden nacional o un fondo mutuo de inversión controlado.
Así mismo, en esta categoría se debe incluir la exposición crediticia en las operaciones con instrumentos financieros derivados siempre que la contraparte sea una entidad vigilada por la Superintendencia Financiera de Colombia distinta del Banco de la República, una entidad pública de orden nacional o un fondo mutuo de inversión controlado.
Categoría III. Otros activos de riesgo: En esta categoría se incluirán los otros activos de riesgo no deducidos en el cómputo del patrimonio técnico y no incluidos en ninguna categoría anterior incluyendo cuentas por cobrar, otras inversiones voluntarias, inversiones en activos fijos, bienes de arte y cultura, bienes muebles o inmuebles realizables recibidos en dación de pago o en remates judiciales, la exposición neta en las operaciones de reporto o repo, operaciones simultáneas y operaciones de transferencia temporal de valores y la exposición crediticia en operaciones con instrumentos financieros derivados, siempre que la contraparte sea una entidad no contemplada en ninguna de las categorías anteriores.
Los activos incluidos en la Categoría I se ponderarán al 0%, en la Categoría II al 20% y en la Categoría III ponderarán de la siguiente manera, de acuerdo con la calificación otorgada por las sociedades calificadoras autorizadas por la Superintendencia Financiera de Colombia, para lo cual se observarán los rangos de calificación indicados en la siguiente matriz o su equivalente:
RIESGO CREDITICIO DE LARGO PLAZO
| RANGO DE CALIFICACION | PONDERACION |
| AAA hasta AA- | 20% |
| A+ hasta A- | 50% |
| BBB+ o Inferior o sin calificación | 100% |
RIESGO CREDITICIO DE CORTO PLAZO
| RANGO DE CALIFICACION | PONDERACIÓN |
| 1+ hasta 1- | 20% |
| 2+ hasta 2- | 50% |
| 3 o Inferior o sin calificación | 100% |
En la Categoría III, la exposición neta en las operaciones de reporto o repo, operaciones simultáneas y operaciones de transferencia temporal de valores y la exposición crediticia en operaciones con instrumentos financieros derivados, ponderarán de la siguiente manera, de acuerdo con la calificación otorgada por las sociedades calificadoras autorizadas por la Superintendencia Financiera de Colombia a la contraparte en dichas operaciones:
| RANGO DE CALIFICACIÓN | PONDERACIÓN |
| AAA hasta AA- | 20% |
| A+ hasta A- | 50% |
| BBB+ o Inferior o sin calificación | 100% |
PARÁGRAFO 1. Bonos y títulos hipotecarios. Los bonos y títulos hipotecarios de que trata el artículo 30 de la Ley 546 de 1999, que cuenten con garantía total del Gobierno nacional, a través del Fondo de Garantías de Instituciones Financieras (Fogafín), computarán al cero por ciento (0%).
PARÁGRAFO 2. Productos estructurados. Computarán por su precio justo de intercambio multiplicado por el factor de ponderación que corresponda, según la categoría de riesgo del emisor del respectivo producto.
Cuando se realicen inversiones en un producto estructurado cuyos componentes provengan de distintas contrapartes, pero se haya adquirido el mismo a otra entidad que obra como vendedor de este y no es responsable de su pago, dicho producto estructurado computará por la suma de los siguientes dos (2) factores:
i) La multiplicación del precio justo de intercambio del componente no derivado por el factor de ponderación que aplique al respectivo emisor de conformidad con lo previsto en el presente artículo;
ii) La multiplicación de la exposición crediticia de los componentes derivados por el factor de ponderación que aplique a la respectiva contraparte, de conformidad con lo previsto en el presente artículo.
PARÁGRAFO 3. Títulos derivados de procesos de titularización. Para efectos de determinar el valor total de estos activos ponderados por su nivel de riesgo crediticio, los mismos se clasificarán, de acuerdo con la calificación otorgada por las sociedades calificadoras autorizadas por la Superintendencia Financiera de Colombia, para lo cual se observarán los rangos de calificación indicados en la siguiente matriz o su equivalente:
RIESGO CREDITICIO DE LARGO PLAZO
| AAA hasta AA+ | 20% |
| A+ hasta A- | 50% |
| BBB + hasta bbb- | 100% |
| BB+ hasta BB- | 150% |
| B+ hasta B- | 200% |
| CCC | 300% |
| DD o inferior o sin clasificacion | Destruccion |
RIESGO CREDITICIO DE CORTO PLAZO
| RANGO DE CALIFICACIÓN | PONDERACIÓN |
| 1+ hasta 1- | 20% |
| 2+ hasta 2- | 50% |
| 3 | 100% |
| 4 | 300% |
| 5 o Inferior o sin calificación | Deducción |
PARÁGRAFO 4. Acciones. Las acciones ponderarán al 50%. Sin embargo, aquellas cuyos emisores cuenten con un adecuado gobierno corporativo y mecanismos que garanticen liquidez, en los términos que determine la Superintendencia Financiera de Colombia, ponderarán al veinte por ciento (20%).
PARÁGRAFO 5. Para los efectos del presente artículo, se entiende como exposición neta en operaciones de reporto o repo, operaciones simultáneas y operaciones de transferencia temporal de valores, el monto que resulte de restar la posición deudora de la posición acreedora que ostenta la entidad en cada operación, siempre que este monto sea positivo. Para el cálculo de dichas posiciones deberán tenerse en cuenta el valor de mercado de los títulos o valores cuya propiedad se transfirió y/o la suma de dinero entregada como parte de la operación, así como los intereses o rendimientos asociados a la misma.
PARÁGRAFO 6. Los valores transferidos en desarrollo de las operaciones repo o reporto simultáneas o de transferencia temporal de valores deberán ser tenidos en cuenta para los efectos previstos en este artículo, mientras permanezcan en el balance del enajenante, originador o receptor, según sea el caso, conforme a las disposiciones contables que rigen dichas operaciones.
PARÁGRAFO 7. Para los efectos del presente artículo, para determinar la exposición crediticia en instrumentos financieros derivados, serán aplicables las definiciones contenidas en el artículo 2.35.1.1.1 del presente decreto.
PARÁGRAFO 8. Los activos que en desarrollo del presente Título se deduzcan para efectuar el cálculo del patrimonio técnico, no se computarán para efectos de determinar el valor total de activos ponderados por nivel de riesgo crediticio de las sociedades fiduciarias.
PARÁGRAFO 9. Para efectos de este artículo, los activos computarán netos de su respectiva provisión. Las provisiones de carácter general que ordene la Superintendencia Financiera de Colombia no serán deducibles de los activos.
PARÁGRAFO 10. La Superintendencia Financiera de Colombia impartirá las instrucciones necesarias para facilitar la debida clasificación de la totalidad de los activos dentro de las categorías previstas en el presente artículo.
Artículo 2.5.3.1.7. Valor de la exposición por riesgo de mercado. Para el cálculo del riesgo de mercado de los activos propios y exposiciones de las sociedades fiduciarias, se utilizará la metodología VeR, conforme a la cual se estima la pérdida que podría registrar una determinada posición de la sociedad fiduciaria en un intervalo de tiempo con un cierto nivel de probabilidad o confianza debido a un cambio adverso en los precios. Para el efecto, la Superintendencia Financiera de Colombia instruirá de manera general a los vigilados respecto de los procedimientos que permitan dar aplicación a dicha metodología.
Artículo 2.5.3.1.8. Valor de la exposición por riesgo operacional. El valor de exposición al riesgo operacional a que hace referencia este artículo será el dieciséis por ciento (16%) del valor resultante de:
1. Sumar los ingresos por comisiones provenientes de la administración de activos que se realice a través de contratos de fiducia de inversión, fiducia inmobiliaria, fiducia de administración, fiducia en garantía, administración o gestión de fondos de inversión colectiva, fondos de pensiones voluntarias, Fondo Nacional de Pensiones de las Entidades Territoriales (Fonpet), patrimonios autónomos sobre pasivos pensionales y la custodia de valores de que trata el Libro 37 de la Parte 2 del Decreto 2555 de 2010.
2. Deducir los gastos por comisiones causados por la custodia de valores de que trata el Libro 37 de la Parte 2 del Decreto 2555 de 2010, respecto de los valores administrados bajo los contratos a que hace referencia el numeral 1 del presente artículo.
Las entidades deberán reportar a la Superintendencia Financiera de Colombia información homogénea que permita avanzar hacia medidas más adecuadas de riesgo operacional. La Superintendencia Financiera de Colombia definirá las características de esta información y las condiciones en las que las entidades supervisadas deberán reportarla.
PARÁGRAFO 1. En consideración a los criterios que de manera específica determine la Superintendencia Financiera de Colombia en relación con la adecuada gestión del riesgo operacional de las sociedades fiduciarias respecto a uno o varios de los contratos a que se refiere el numeral 1 del presente artículo, esta podrá disminuir de manera diferencial el valor de exposición al riesgo operacional que en forma particular aplique respecto de cada uno de estos contratos. En estos casos, dicho valor de exposición no podrá ser inferior al doce por ciento (12%).
PARÁGRAFO 2. Para realizar los cálculos contemplados en el presente artículo, se tomarán como referencia los ingresos y gastos por comisiones anuales promedio de los últimos tres (3) años a la fecha de cálculo. Para nuevos administradores, o para aquellos que no tengan información para los tres (3) años anteriores, los ingresos y gastos por comisiones aplicables serán calculados como el resultado de multiplicar el valor de los activos administrados por los cocientes de los ingresos y gastos por comisiones sobre el valor de los activos administrados de aquellas entidades financieras que administraron estos activos en los últimos tres (3) años, de acuerdo con las definiciones que para el efecto imparta la Superintendencia Financiera de Colombia.
PARÁGRAFO 3. Para realizar el cálculo contemplado en el numeral 1 respecto al Fondo Nacional de Pensiones de las Entidades Territoriales (Fonpet), se tomarán como referencia los ingresos y gastos por comisiones anuales promedio de los últimos tres (3) años a la fecha de cálculo bajo un mismo contrato de administración. Para aquellos que no tengan información para los tres (3) años anteriores bajo un mismo contrato de administración, los ingresos y gastos por comisiones aplicables serán calculados como el resultado de multiplicar el valor de los activos administrados por los cocientes de los ingresos y gastos por comisiones sobre el valor de los activos administrados de aquellas entidades financieras que administraron estos activos en los últimos tres (3) años, de acuerdo con las definiciones que para el efecto imparta la Superintendencia Financiera de Colombia.
Artículo 2.5.3.1.9. Requisito previo a la administración de recursos. La acreditación del margen de solvencia, incluidos los recursos que se pretenden administrar, será una condición previa a la celebración de contratos relacionados con la administración de recursos de la seguridad social.
Artículo 2.5.3.1.10. Sanciones. Cuando las sociedades fiduciarias incurran en defectos respecto de los niveles adecuados de patrimonio exigidos para la administración de los recursos de que trata el presente decreto, la Superintendencia Financiera de Colombia impondrá, por cada incumplimiento, una multa a favor del Fondo de Solidaridad Pensional, equivalente al tres punto cinco por ciento (3.5%) del valor del defecto mensual, sin exceder, respecto de cada incumplimiento, del uno punto cinco por ciento (1.5%) del monto requerido para dar cumplimiento a tal relación.
Además de lo previsto en el inciso anterior, la Superintendencia Financiera de Colombia impartirá, en todos los casos, las órdenes necesarias para el inmediato restablecimiento de los niveles adecuados de patrimonio”.
ARTÍCULO 2o. Modifíquense los artículos 2.6.1.1.2, 2.6.1.1.7 y 2.6.1.1.8 del Decreto 2555 de 2010, los cuales quedarán así:
“Artículo 2.6.1.1.2. Relación de Solvencia. La relación de solvencia se define como el valor del patrimonio técnico calculado en los términos de este Título, dividido por el valor que resulta de la sumatoria de los activos ponderados por nivel de riesgo, cien novenos (100/9) del valor de la exposición al riesgo operacional y cien novenos (100/9) del valor de la exposición al riesgo de mercado. Esta relación se expresa en términos porcentuales. La relación de solvencia mínima de las sociedades administradoras de fondos de pensiones y de cesantías será del nueve por ciento (9%).
Artículo 2.6.1.1.7 Riesgos operacionales. Para los efectos de este título se entiende por Riesgos Operacionales la posibilidad de que una sociedad administradora de fondos de pensiones y de cesantías incurra en pérdidas y disminuya el valor de su patrimonio como consecuencia de la inadecuación o fallos de los procesos, el personal y los sistemas internos, o bien a causa de acontecimientos externos. El riesgo operacional incluye el riesgo legal, pero excluye los riesgos estratégico y de reputación.
Para determinar el valor de exposición al riesgo operacional a que hace referencia el artículo 2.6.1.1.2 del presente decreto las sociedades administradoras de fondos de pensiones y de cesantías deberán multiplicar por dieciséis por ciento (16%) el valor resultante de:
1. Sumar los ingresos por comisiones provenientes de la administración de activos que se realice a través de contratos de fondos de pensiones obligatorias, fondos de cesantías, fondos de pensiones voluntarias, Fondo Nacional de Pensiones de las Entidades Territoriales (Fonpet) y patrimonios autónomos sobre pasivos pensionales.
2. Deducir los gastos por comisiones causados por la custodia de valores de que trata el Libro 37 de la Parte 2 del Decreto 2555 de 2010, respecto de los valores administrados bajo los contratos a que hace referencia el numeral 1 del presente artículo.
Las entidades deberán reportar a la Superintendencia Financiera de Colombia información homogénea que permita avanzar hacia medidas más adecuadas de riesgo operacional. La Superintendencia Financiera de Colombia definirá las características de esta información y las condiciones en las que las entidades supervisadas deberán reportarla.
PARÁGRAFO 1. En consideración a los criterios que de manera específica determine la Superintendencia Financiera de Colombia en relación con la adecuada gestión del riesgo operacional de las sociedades administradoras de fondos de pensiones y de cesantías respecto a uno o varios de los contratos a que se refiere el numeral 1 del presente artículo, esta podrá disminuir de manera diferencial el valor de exposición al riesgo operacional que en forma particular aplique respecto de cada uno de estos contratos. En estos casos, dicho valor de exposición no podrá ser inferior al doce por ciento (12%).
PARÁGRAFO 2. Para realizar los cálculos contemplados en el presente artículo, se tomarán como referencia los ingresos y gastos por comisiones anuales promedio de los últimos tres (3) años a la fecha de cálculo. Para nuevos administradores, o para aquellos que no tengan información para los tres (3) años anteriores, los ingresos y gastos por comisiones aplicables serán calculados como el resultado de multiplicar el valor de los activos administrados por los cocientes de los ingresos y gastos por comisiones sobre el valor de los activos administrados de aquellas entidades financieras que administraron estos activos en los últimos tres (3) años, de acuerdo con las definiciones que para el efecto imparta la Superintendencia Financiera de Colombia.
PARÁGRAFO 3. Para realizar el cálculo contemplado en el numeral 1 respecto al Fondo Nacional de Pensiones de las Entidades Territoriales (Fonpet), se tomarán como referencia los ingresos y gastos por comisiones anuales promedio de los últimos tres (3) años a la fecha de cálculo bajo un mismo contrato de administración. Para aquellos que no tengan información para los tres (3) años anteriores bajo un mismo contrato de administración, los ingresos y gastos por comisiones aplicables serán calculados como el resultado de multiplicar el valor de los activos administrados por los cocientes de los ingresos y gastos por comisiones sobre el valor de los activos administrados de aquellas entidades financieras que administraron estos activos en los últimos tres (3) años, de acuerdo con las definiciones que para el efecto imparta la Superintendencia Financiera de Colombia.
Artículo 2.6.1.1.8. Riesgo de crédito. Para efectos del cálculo de la relación de solvencia, se entiende como riesgo de crédito la posibilidad de pérdidas que disminuyan el patrimonio técnico de una sociedad administradora de fondos de pensiones y de cesantías como consecuencia del incumplimiento de obligaciones financieras en los términos acordados. Entre otras razones, este riesgo puede tener origen en un posible incumplimiento de la contraparte en una operación o en una potencial variación del precio del instrumento de que se trate, por causas relacionadas bien con su emisor o con el emisor de su instrumento principal, si se trata de un instrumento derivado”.
ARTÍCULO 3o. Adiciónense los artículos 2.6.1.1.9., 2.6.1.1.10., 2.6.1.1.11. y 2.6.1.1.12. del Decreto 2555 de 2010 los cuales quedarán así:
“Artículo 2.6.1.1.9. Riesgo de mercado. Para efectos del cálculo de la relación de solvencia, se entiende como riesgo de mercado la posibilidad de pérdidas que disminuyan el patrimonio técnico de una sociedad administradora de pensiones y de cesantías por movimientos adversos en los indicadores del mercado que afecten los instrumentos financieros en los que la entidad mantenga posiciones dentro o fuera del balance. Los indicadores del mercado que se tendrán en cuenta son, entre otros, los tipos de interés, tipos de cambio, precio de los valores o títulos y otros índices.
Artículo 2.6.1.1.10. Clasificación y ponderación de los activos para riesgo de crédito. Para efectos de determinar el valor total de activos ponderados por nivel de riesgo crediticio, los activos propios y exposiciones de la sociedad administradora de fondos de pensiones y de cesantías, se deben clasificar dentro de una de las siguientes categorías dependiendo de su naturaleza:
Categoría I. Activos de máxima seguridad. En esta categoría se clasificará la caja, depósitos a la vista en entidades sometidas a vigilancia de la Superintendencia Financiera de Colombia, las inversiones en títulos o valores del Banco de la República o de la Nación y los garantizados por esta en la parte cubierta.
Así mismo, computarán dentro de esta categoría los títulos o valores emitidos o totalmente garantizados por entidades multilaterales de crédito.
En esta categoría también se debe incluir la exposición neta en las operaciones de reporto o repo, operaciones simultáneas y operaciones de transferencia temporal de valores siempre que la contraparte sea la Nación, el Banco de la República o una cámara de riesgo central de contraparte.
Adicionalmente, en esta categoría se debe incluir la exposición crediticia en operaciones con instrumentos financieros derivados siempre que la contraparte sea la Nación, el Banco de la República o una cámara de riesgo central de contraparte.
Categoría II. Activos de alta seguridad, tales como los títulos o valores emitidos por entidades públicas del orden nacional, los depósitos a término, en establecimientos de crédito, y créditos garantizados incondicionalmente con títulos o valores emitidos por la Nación o por el Banco de la República o por Gobiernos o Bancos Centrales de países que autorice expresamente la Superintendencia Financiera de Colombia.
En esta categoría también se debe incluir la exposición neta en las operaciones de reporto o repo, operaciones simultáneas y operaciones de transferencia temporal de valores siempre que la contraparte sea una entidad vigilada por la Superintendencia Financiera de Colombia distinta del Banco de la República, o una entidad pública de orden nacional o un fondo mutuo de inversión controlado.
Así mismo, en esta categoría se debe incluir la exposición crediticia en las operaciones con instrumentos financieros derivados siempre que la contraparte sea una entidad vigilada por la Superintendencia Financiera de Colombia distinta del Banco de la República, una entidad pública de orden nacional o un fondo mutuo de inversión controlado.
Categoría III. Otros activos de riesgo: En esta categoría se incluirán los otros activos de riesgo no deducidos en el cómputo del patrimonio técnico y no incluidos en ninguna categoría anterior incluyendo cuentas por cobrar, otras inversiones voluntarias, inversiones en activos fijos, bienes de arte y cultura, bienes muebles o inmuebles realizables recibidos en dación de pago o en remates judiciales, la exposición neta en las operaciones de reporto o repo, operaciones simultáneas y operaciones de transferencia temporal de valores y la exposición crediticia en operaciones con instrumentos financieros derivados, siempre que la contraparte sea una entidad no contemplada en ninguna de las categorías anteriores.
Los activos incluidos en la Categoría I se ponderarán al 0%, en la Categoría II al 20% y en la Categoría III ponderarán de la siguiente manera, de acuerdo con la calificación otorgada por las sociedades calificadoras autorizadas por la Superintendencia Financiera de Colombia, para lo cual se observarán los rangos de calificación indicados en la siguiente matriz o su equivalente:
RIESGO CREDITICIO DE LARGO PLAZO
| RANGO DE CALIFICACIÓN | PONDERACIÓN |
| AAA hasta AA- | 20% |
| A+ hasta A- | 50% |
| BBB+ o Inferior o sin calificación | 100% |
RIESGO CREDITICIO DE CORTO PLAZO
| RANGO DE CALIFICACIÓN | PONDERACIÓN |
| 1+ hasta 1- | 20% |
| 2+ hasta 2- | 50% |
| 3 o Inferior o sin calificación | 100% |
En la Categoría III, la exposición neta en las operaciones de reporto o repo, operaciones simultáneas y operaciones de transferencia temporal de valores y la exposición crediticia en operaciones con instrumentos financieros derivados, ponderarán de la siguiente manera, de acuerdo con la calificación otorgada por las sociedades calificadoras autorizadas por la Superintendencia Financiera de Colombia a la contraparte en dichas operaciones:
| RANGO DE CALIFICACIÓN | PONDERACIÓN |
| AAA hasta AA- | 20% |
| A+ hasta A- | 50% |
| BBB+ o Inferior o sin calificación | 100% |
PARÁGRAFO 1. Bonos y títulos hipotecarios. Los bonos y títulos hipotecarios de que trata el artículo 30 de la Ley 546 de 1999, que cuenten con garantía total del Gobierno nacional, a través del Fondo de Garantías de Instituciones Financieras (Fogafín), computarán al cero por ciento (0%).
PARÁGRAFO 2. Productos estructurados. Computarán por su precio justo de intercambio multiplicado por el factor de ponderación que corresponda según la categoría de riesgo del emisor del respectivo producto.
Cuando se realicen inversiones en un producto estructurado cuyos componentes provengan de distintas contrapartes, pero se haya adquirido el mismo a otra entidad que obra como vendedor de este y no es responsable de su pago, dicho producto estructurado computará por la suma de los siguientes dos (2) factores:
i) La multiplicación del precio justo de intercambio del componente no derivado por el factor de ponderación que aplique al respectivo emisor de conformidad con lo previsto en el presente artículo;
ii) La multiplicación de la exposición crediticia de los componentes derivados por el factor de ponderación que aplique a la respectiva contraparte, de conformidad con lo previsto en el presente artículo.
PARÁGRAFO 3. Títulos derivados de procesos de titularización. Para efectos de determinar el valor total de estos activos ponderados por su nivel de riesgo crediticio, los mismos se clasificarán, de acuerdo con la calificación otorgada por las sociedades calificadoras autorizadas por la Superintendencia Financiera de Colombia, para lo cual se observarán los rangos de calificación indicados en la siguiente matriz o su equivalente:
RIESGO CREDITICIO DE LARGO PLAZO
| RANGO DE CALIFICACIÓN | PONDERACIÓN |
| AAA hasta AA- | 20% |
| A+ hasta A- | 50% |
| RANGO DE CALIFICACIÓN | PONDERACIÓN |
| BBB+ hasta BBB- | 100% |
| BB+ hasta BB- | 150% |
| B+ hasta B- | 200% |
| CCC | 300% |
| DD o Inferior o sin calificación | Deducción |
RIESGO CREDITICIO DE CORTO PLAZO
| RANGO DE CALIFICACIÓN | PONDERACIÓN |
| 1+ hasta 1- | 20% |
| 2+ hasta 2- | 50% |
| 3 | 100% |
| 4 | 300% |
| 5 o Inferior o sin calificación | Deducción |
PARÁGRAFO 4. Acciones. Las acciones ponderarán al 50%. Sin embargo, aquellas cuyos emisores cuenten con un adecuado gobierno corporativo y mecanismos que garanticen liquidez, en los términos que determine la Superintendencia Financiera de Colombia, ponderarán al veinte por ciento (20%).
PARÁGRAFO 5. Para los efectos del presente artículo, se entiende como exposición neta en operaciones de reporto o repo, operaciones simultáneas y operaciones de transferencia temporal de valores, el monto que resulte de restar la posición deudora de la posición acreedora que ostenta la entidad en cada operación, siempre que este monto sea positivo. Para el cálculo de dichas posiciones deberán tenerse en cuenta el valor de mercado de los títulos o valores cuya propiedad se transfirió y/o la suma de dinero entregada como parte de la operación, así como los intereses o rendimientos asociados a la misma.
PARÁGRAFO 6. Los valores transferidos en desarrollo de las operaciones repo o reporto simultáneas o de transferencia temporal de valores deberán ser tenidos en cuenta para los efectos previstos en este artículo, mientras permanezcan en el balance del enajenante, originador o receptor, según sea el caso, conforme a las disposiciones contables que rigen dichas operaciones.
PARÁGRAFO 7. Para los efectos del presente artículo, para determinar la exposición crediticia en instrumentos financieros derivados, serán aplicables las definiciones contenidas en el artículo 2.35.1.1.1 del presente decreto.
PARÁGRAFO 8. Los activos que en desarrollo del presente título se deduzcan para efectuar el cálculo del patrimonio técnico, no se computarán para efectos de determinar el valor total de activos ponderados por nivel de riesgo crediticio de las sociedades administradoras de fondos de pensiones y de cesantías.
PARÁGRAFO 9. Para efectos de este artículo, los activos computarán netos de su respectiva provisión. Las provisiones de carácter general que ordene la Superintendencia Financiera de Colombia no serán deducibles de los activos.
PARÁGRAFO 10. La Superintendencia Financiera de Colombia impartirá las instrucciones necesarias para facilitar la debida clasificación de la totalidad de los activos dentro de las categorías previstas en el presente artículo.
Artículo 2.6.1.1.11. Valor de la exposición por riesgo de mercado. Para el cálculo del riesgo de mercado de los activos propios y exposiciones de las sociedades administradores de fondos de pensiones y de cesantías, se utilizará la metodología VeR, conforme a la cual se estima la pérdida que podría registrar una determinada posición de la sociedad administradora de fondos de pensiones y de cesantías en un intervalo de tiempo con un cierto nivel de probabilidad o confianza debido a un cambio adverso en los precios. Para el efecto, la Superintendencia Financiera de Colombia instruirá de manera general a los vigilados respecto de los procedimientos que permitan dar aplicación a dicha metodología.
Artículo 2.6.1.1.12. Vigilancia. Las sociedades administradoras deberán dar cumplimiento diario a la relación de solvencia a que se refiere el presente capítulo. La Superintendencia Financiera de Colombia controlará como mínimo una vez al mes el cumplimiento de estas disposiciones y dictará las medidas necesarias para su correcta aplicación”.
ARTÍCULO 4o. Modifíquense los artículos 2.9.1.1.2., 2.9.1.1.10. y 2.9.1.1.13. del Decreto 2555 de 2010 los cuales quedarán así:
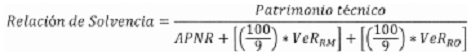
“Artículo 2.9.1.1.2 Relación de solvencia. Las sociedades comisionistas de bolsa deberán mantener una relación de solvencia mínima del nueve por ciento (9%), la cual se calcula dividiendo el numerador por el denominador. El numerador corresponde al valor del patrimonio técnico de las sociedades comisionistas de bolsa y el denominador es la sumatoria de los activos ponderados por nivel de riesgo, del valor en riesgo de mercado multiplicado por 100/9 (cien novenos) y del valor de exposición por riesgo operacional multiplicado por 100/9 (cien novenos). La relación se expresa mediante la siguiente fórmula aritmética:

Donde:
APNR: Activos ponderados por nivel de riesgo crediticio.
VeRRM: Valor de la exposición por riesgo de mercado.
VeRRo: Valor de la exposición por riesgo operacional
Artículo 2.9.1.1.10 Riesgos operacionales. Para los efectos de este título se entiende por Riesgos Operacionales la posibilidad de que una sociedad comisionista de bolsa incurra en pérdidas y disminuya el valor de su patrimonio como consecuencia de la inadecuación o fallos de los procesos, el personal y los sistemas internos, o bien a causa de acontecimientos externos. El riesgo operacional incluye el riesgo legal, pero excluye los riesgos estratégico y de reputación.
Artículo 2.9.1.1.13 Valor de la exposición por riesgo operacional. El valor de exposición al riesgo operacional será el dieciséis por ciento (16%) del valor resultante de:
1. Sumar los ingresos por comisiones provenientes de la colocación de títulos, asesoría en el mercado de valores y administración de activos que se realice a través de contratos de comisión, administración de valores, administración de portafolios de terceros y administración o gestión de fondos de inversión colectiva.
2. Deducir los gastos por comisiones causados por la custodia de valores de que trata el Libro 37 de la Parte 2 del Decreto 2555 de 2010, respecto de los valores administrados bajo los contratos a que hace referencia el numeral 1 del presente artículo.
Las entidades deberán reportar a la Superintendencia Financiera de Colombia información homogénea que permita avanzar hacia medidas más adecuadas de riesgo operacional. La Superintendencia Financiera de Colombia definirá las características de esta información y las condiciones en las que las entidades supervisadas deberán reportarla.
PARÁGRAFO 1. En consideración a los criterios que de manera específica determine la Superintendencia Financiera de Colombia en relación con la adecuada gestión del riesgo operacional de las sociedades comisionistas de bolsa respecto a uno o varios de los contratos a que se refiere el numeral 1 del presente artículo, esta podrá disminuir de manera diferencial el valor de exposición al riesgo operacional que en forma particular aplique respecto de cada uno de estos contratos. En estos casos, dicho valor de exposición no podrá ser inferior al doce por ciento (12%).
PARÁGRAFO 2. Para realizar los cálculos contemplados en el presente artículo, se tomarán como referencia los ingresos y gastos por comisiones anuales promedio de los últimos tres (3) años a la fecha de cálculo. Para nuevos administradores, o para aquellos que no tengan información para los tres (3) años anteriores, los ingresos y gastos por comisiones aplicables serán calculados como el resultado de multiplicar el valor de los activos administrados por los cocientes de los ingresos y gastos por comisiones sobre el valor de los activos administrados de aquellas entidades financieras que administraron estos activos en los últimos tres (3) años, de acuerdo con las definiciones que para el efecto imparta la Superintendencia Financiera de Colombia”.
ARTÍCULO 5o. Adiciónense los parágrafos 8, 9y 10 al artículo 2.9.1.1.11. del Decreto 2555 de 2010, los cuales quedarán así:
“PARÁGRAFO 8. Los activos que en desarrollo del presente título se deduzcan para efectuar el cálculo del patrimonio técnico, no se computarán para efectos de determinar el valor total de activos ponderados por nivel de riesgo crediticio de las sociedades comisionistas de bolsa.
PARÁGRAFO 9. Para efectos de este artículo, los activos computarán netos de su respectiva provisión. Las provisiones de carácter general que ordene la Superintendencia Financiera de Colombia no serán deducibles de los activos.
PARÁGRAFO 10. La Superintendencia Financiera de Colombia impartirá las instrucciones necesarias para facilitar la debida clasificación de la totalidad de los activos dentro de las categorías previstas en el presente artículo”.
ARTÍCULO 6o. Modifíquese el artículo 2.20.1.1.9. del Decreto 2555 de 2010, el cual quedará así:
“Artículo 2.20.1.1.9 Patrimonio adecuado de las Sociedades Administradoras de Inversión. Serán aplicables a las sociedades administradoras de inversión las disposiciones contenidas en los artículos 2.9.1.1.1 al 2.9.1.1.13 del presente decreto, en lo que resulte pertinente”.
ARTÍCULO 7o. Modifíquese el parágrafo 1 del artículo 2.31.1.2.5. del Decreto 2555 de 2010, el cual quedará así:
“Parágrafo 1. Las entidades aseguradoras que administren a través de patrimonios autónomos recursos del Fondo Nacional de Pensiones de las Entidades Territoriales (Fonpet), deberán restar del patrimonio técnico el valor de la reserva de estabilización que están obligadas a constituir para tal fin. El valor a deducir corresponderá al saldo de la reserva de estabilización del último 31 de marzo, siempre que esta fecha esté cubierta por un contrato de administración vigente. En caso contrario corresponderá al saldo de la reserva de estabilización del último día del primer mes administrado.
Así mismo, deberán adicionar al patrimonio adecuado de que trata el presente artículo, el valor de exposición al riesgo operacional asociado a la administración de recursos de la seguridad social a través de patrimonios autónomos.
Se entiende por Riesgo Operacional la posibilidad de que una entidad aseguradora que administre a través de patrimonios autónomos recursos de la seguridad social incurra en pérdidas y disminuya el valor de su patrimonio como consecuencia de la inadecuación o fallos de los procesos, el personal y los sistemas internos, o bien a causa de acontecimientos externos. El riesgo operacional incluye el riesgo legal, pero excluye los riesgos estratégico y de reputación.
El valor de exposición al riesgo operacional a que hace referencia este parágrafo será el dieciséis por ciento (16%) del valor resultante de:
1. Sumar los ingresos por comisiones provenientes de la administración de activos que se realice a través de contratos de fondos de pensiones voluntarias, Fondo Nacional de Pensiones de las Entidades Territoriales (Fonpet) y patrimonios autónomos sobre pasivos pensionales.
2. Deducir los gastos por comisiones causados por la custodia de valores de que trata el Libro 37 de la Parte 2 del Decreto 2555 de 2010, respecto de los valores administrados bajo los contratos a que hace referencia el numeral 1 del presente artículo.
En consideración a los criterios que de manera específica determine la Superintendencia Financiera de Colombia en relación con la adecuada gestión del riesgo operacional de las entidades aseguradoras respecto a uno o varios de los contratos a que se refiere el numeral 1 del presente artículo, esta podrá disminuir de manera diferencial el valor de exposición al riesgo operacional que en forma particular aplique respecto de cada uno de estos contratos. En estos casos, dicho valor de exposición no podrá ser inferior al doce por ciento (12%).
Para realizar los cálculos contemplados en el presente parágrafo, se tomarán como referencia los ingresos y gastos por comisiones anuales promedio de los últimos tres (3) años a la fecha de cálculo. Para nuevos administradores, o para aquellos que no tengan información para los tres (3) años anteriores, los ingresos y gastos por comisiones aplicables serán calculados como el resultado de multiplicar el valor de los activos administrados por los cocientes de los ingresos y gastos por comisiones sobre el valor de los activos administrados de aquellas entidades financieras que administraron estos activos en los últimos tres (3) años, de acuerdo con las definiciones que para el efecto imparta la Superintendencia Financiera de Colombia.
Para realizar los cálculos contemplados en el presente parágrafo respecto al Fondo Nacional de Pensiones de las Entidades Territoriales (Fonpet), se tomarán como referencia los ingresos y gastos por comisiones anuales promedio de los últimos tres (3) años a la fecha de cálculo bajo un mismo contrato de administración. Para aquellos que no tengan información para los tres (3) años anteriores bajo un mismo contrato de administración, los ingresos y gastos por comisiones aplicables serán calculados como el resultado de multiplicar el valor de los activos administrados por los cocientes de los ingresos y gastos por comisiones sobre el valor de los activos administrados de aquellas entidades financieras que administraron estos activos en los últimos tres (3) años, de acuerdo con las definiciones que para el efecto imparta la Superintendencia Financiera de Colombia.
Las entidades deberán reportar a la Superintendencia Financiera de Colombia información homogénea que permita avanzar hacia medidas más adecuadas de riesgo operacional. La Superintendencia Financiera de Colombia definirá las características de esta información y las condiciones en las que las entidades supervisadas deberán reportarla”.
ARTÍCULO 8o. RÉGIMEN DE TRANSICIÓN. Las sociedades fiduciarias, las sociedades administradoras de fondos de pensiones y de cesantías, las sociedades comisionistas de bolsa, las sociedades administradoras de inversión y las entidades aseguradoras tendrán un término de nueve (9) meses contados a partir de la fecha de publicación del presente decreto, para ajustarse a las disposiciones que aquí se señalan.
Excepcionalmente la Superintendencia Financiera de Colombia podrá disponer la ampliación de este término hasta por seis (6) meses adicionales, previa solicitud de la respectiva entidad vigilada, con fundamento en los criterios que dicha Superintendencia defina.
ARTÍCULO 9o. VIGENCIA Y DEROGATORIAS. El presente decreto rige a partir de la fecha de su publicación, sin perjuicio del régimen de transición previsto en el artículo 8o de este decreto y, sustituye el Título 3 del Libro 5 de la Parte 2 del Decreto 2555 de 2010, modifica los artículos 2.6.1.1.2., 2.6.1.1.7., 2.6.1.1.8., 2.9.1.1.2., 2.9.1.1.10., 2.9.1.1.11., 2.9.1.1.13., 2.20.1.1.9. y 2.31.1.2.5. y adiciona los artículos 2.6.1.1.9., 2.6.1.1.10., 2.6.1.1.11. y 2.6.1.1.12. al Decreto 2555 de 2010. Así mismo, deroga los artículos 2.9.7.1.5. y 3.1.1.3.3. del Decreto 2555 de 2010.
Publíquese y cúmplase.
Dado en Bogotá, D. C., 2 de marzo de 2018.
JUAN MANUEL SANTOS CALDERÓN
El Ministro de Hacienda y Crédito Público,
Mauricio Cárdenas Santamaría.