DECRETO 3034 DE 2013
(diciembre 27)
Diario Oficial No. 49.016 de 27 de diciembre de 2013
MINISTERIO DE HACIENDA Y CRÉDITO PÚBLICO
Por el cual se reglamenta la Ley 643 de 2001, modificada por la Ley 1393 de 2010, en lo relativo a la modalidad del juego de lotería tradicional o de billetes.
EL PRESIDENTE DE LA REPÚBLICA DE COLOMBIA,
en ejercicio de sus facultades constitucionales y legales, en especial de las conferidas en el numeral 11 del artículo 189 de la Constitución Política y el artículo 2o de la Ley 643 de 2001, y
CONSIDERANDO:
Que conforme a lo establecido en el artículo 2o de la Ley 643 de 2001, la explotación, organización y administración del monopolio rentístico de juegos de suerte y azar está sujeta a la ley y a la reglamentación que expida el Gobierno Nacional;
Que en procura de mayor eficiencia en el monopolio y de una mayor obtención de rentas para la seguridad social en salud, se hace necesario reglamentar la operación del juego de lotería tradicional o de billetes, de manera que se actualicen los reglamentos existentes, especialmente los Decretos números 2975 de 2004, 855 de 2009 y 2341 de 2012 y se prevean condiciones técnicas, de mercado y de solidez para los actores que participan en esa operación;
Que por lo antes señalado,
DECRETA:
DISPOSICIONES GENERALES.
ARTÍCULO 1o. OBJETO. <Artículo compilado en el artículo 2.7.1.1.1 del Decreto Único Reglamentario 1068 de 2015. Debe tenerse en cuenta lo dispuesto por el artículo 3.1 del mismo Decreto 1068 de 2015> El presente decreto tiene por objeto reglamentar la explotación, organización, administración, operación, control y fiscalización del juego de lotería tradicional de billetes de que trata el Capítulo III de la Ley 643 de 2001, modificada por la Ley 1393 de 2010.
ARTÍCULO 2o. ÁMBITO DE APLICACIÓN. <Artículo compilado en el artículo 2.7.1.1.2 del Decreto Único Reglamentario 1068 de 2015. Debe tenerse en cuenta lo dispuesto por el artículo 3.1 del mismo Decreto 1068 de 2015> Las disposiciones contenidas en el presente decreto se aplican a todas las Entidades Territoriales, a las Empresas Industriales y Comerciales del Estado de cualquier orden, Sociedades de Capital Público Departamental (SCPD), la Cruz Roja Colombiana, a las asociaciones y a las demás personas, cualquiera fuere su naturaleza jurídica, que de conformidad con lo dispuesto en la Ley 643 de 2001, y las normas que la modifiquen, sustituyan o adicionen, exploten, organicen, administren, operen, controlen, fiscalicen, regulen vigilen el juego de lotería tradicional o de billetes.
La totalidad de las rentas y recursos obtenidos por la Lotería de la Cruz Roja Colombiana, en la explotación del juego de lotería estarán destinadas exclusivamente a los servicios de salud que se atiendan por esa entidad.
ARTÍCULO 3o. DEFINICIONES. <Artículo compilado en el artículo 2.7.1.1.3 del Decreto Único Reglamentario 1068 de 2015. Debe tenerse en cuenta lo dispuesto por el artículo 3.1 del mismo Decreto 1068 de 2015> Para efectos del presente decreto se adoptan las siguientes definiciones:
Billete: Es el documento al portador indiviso o fraccionado, preimpreso o expedido por una máquina o terminal electrónica conectada en línea y en tiempo real con el sistema de gestión del juego, singularizado con una combinación numérica o con otros caracteres a la vista, emitido por la entidad administradora u operadora de la lotería, que constituye prueba del contrato de juego entre el tenedor del mismo y la entidad operadora de la lotería, permitiéndole a este participar en un único sorteo.
Los billetes de lotería deben ser singularizados, usando números consecutivos o caracteres, en una o más series, de tal manera que se contemplen todas las combinaciones que se pueden obtener con el instrumento de sorteo.
Los billetes del juego de lotería se podrán vender por medio de canales de comercialización electrónicos siempre y cuando se garantice su tenencia bajo el control del apostador y se disponga de un medio de pago legalmente ofrecido a los clientes del sistema financiero o de la telefonía celular, con arreglo a las disposiciones sobre uso de mensajes de datos, comercio electrónico y firmas digitales que rijan en Colombia.
Emisión: Es el conjunto de billetes indivisos o fraccionados que de acuerdo al plan de premios se emiten y ponen en circulación para participar en cada sorteo. La emisión contendrá la totalidad de las combinaciones de números o de caracteres que se utilicen para numerar los billetes, en forma consecutiva o en series. La totalidad de las combinaciones que componen la emisión debe ser puesta a disposición del público por cualquier medio.
Ingresos brutos: Es el valor total de los billetes y fracciones vendidos en cada sorteo.
Se calculan multiplicando la cantidad de billetes o fracciones vendidos por el precio de venta al público.
Margen de contribución: Es la diferencia entre el precio de venta de un billete o fracción y la sumatoria de los costos fijos, que para los efectos del presente decreto son:
la comisión reconocida a la red de distribución, los premios y sus reservas, el impuesto a foráneas y el 12% de los ingresos que se paga como renta del monopolio.
Precio de venta al público: Es el valor señalado en el billete que el comprador paga por adquirir un billete o fracción. El precio del billete se indicará en el plan de premios de la lotería y será único en todo el territorio nacional.
Punto de equilibrio: Es el volumen de ventas en pesos y en unidades que produce una contribución marginal suficiente para pagar los gastos de administración y funcionamiento y los excedentes mínimos; en su cálculo no se incluyen los descuentos a la red de distribución, el impuesto a foráneas, la renta del monopolio, los premios en poder del público ni la provisión para constituir las reservas técnicas.
Valor de la emisión: Es el resultado de multiplicar el número de billetes o fracciones que componen la emisión por su precio de venta al público.
Valor nominal de los billetes o fracciones: Para efectos de lo previsto en el inciso primero del artículo 48 de la Ley 643 de 2001, se entiende por valor nominal del billete o fracción, el valor sobre el cual se liquida el impuesto de loterías foráneas. En ningún caso, dicho valor podrá ser inferior al 75% del precio de venta al público.
Valor nominal de los premios: El valor nominal del premio a que se refiere el inciso segundo del artículo 48 de la Ley 643 de 2001, como base para liquidar el impuesto a ganadores, equivale a la suma de dinero ofrecida al público como importe de aquel, según lo establecido en el respectivo plan de premios.
Valor Neto del Premio: Es el valor que efectivamente recibe el apostador y resulta de deducir del valor nominal del premio los impuestos y retenciones establecidos por ley.
GASTOS, EXCEDENTES Y CONTABILIDAD.
ARTÍCULO 4o. COSTOS Y GASTOS DE ADMINISTRACIÓN Y OPERACIÓN. <Artículo compilado en el artículo 2.7.1.2.1 del Decreto Único Reglamentario 1068 de 2015. Debe tenerse en cuenta lo dispuesto por el artículo 3.1 del mismo Decreto 1068 de 2015> Los gastos de administración y operación permitidos a los operadores directos del juego de lotería tradicional o de billetes, a que se refiere el artículo 9o de la Ley 643 de 2001, serán como máximo el 15% de los ingresos brutos de cada juego.
Para el cálculo de los gastos de administración y operación máximos del juego de lotería tradicional, no se incluirán los siguientes conceptos:
a) El descuento en ventas que se realice a cualquier título a la red de distribución, el cual en ningún caso podrá superar el 25% de los ingresos brutos.
b) Los premios otorgados a los apostadores, incluyendo la provisión para las reservas técnicas.
c) La renta del monopolio constituida según lo prescrito en los Literales a) y c) del artículo 6o de la Ley 643 de 2001.
d) El impuesto a foráneas definido en el artículo 48 de la Ley 643 de 2001.
PARÁGRAFO 1o. En la determinación de los gastos máximos de administración y operación, para efectos de la calificación de gestión y eficiencia, no se tendrá en cuenta el valor de los gastos correspondientes a pago de mesadas y cuotas partes, ni los ingresos percibidos por la empresa por concepto de cuotas partes pensionales.
PARÁGRAFO 2o. En todo caso la reducción de los costos y gastos de administración y operación de que trata el presente artículo, deberá reflejarse integralmente en los excedentes de las empresas.
ARTÍCULO 5o. EXCEDENTES MÍNIMOS DE LAS EMPRESAS OPERADORAS DE LOTERÍAS, EN LA OPERACIÓN DIRECTA DEL JUEGO. <Artículo compilado en el artículo 2.7.1.2.2 del Decreto Único Reglamentario 1068 de 2015. Debe tenerse en cuenta lo dispuesto por el artículo 3.1 del mismo Decreto 1068 de 2015> Los excedentes mínimos obtenidos por las empresas operadoras del juego de lotería tradicional, cuando la operación sea directa, se calcularán de acuerdo con la siguiente fórmula:
EXM = IB -(DES+PPP+RM+IF+GMA) Donde:
EXM = Excedentes mínimos obtenidos en ejercicio de la operación por la entidad operadora en el periodo, y su valor debe ser cuando menos el 0.5%.
IB = Valor de los ingresos brutos del juego de lotería obtenidos en el período de análisis.
DES = Valor del descuento en ventas reconocido a la red de distribución en el período de análisis.
PPP = Premios en poder del público, incluyendo la provisión para reservas técnicas en el período de análisis.
RM = Renta del monopolio, equivalente al 12% de los ingresos brutos generada en el período de análisis.
IF = Impuesto a loterías foráneas generado en el período de análisis.
GMA = Los gastos de administración y operación máximos permitidos de la entidad operadora en un periodo. Para el cálculo de los excedentes mínimos, el valor de este rubro no podrá ser superior al 15% de los ingresos brutos del juego.
PARÁGRAFO 1o. Los valores requeridos para determinar los excedentes mínimos de operación de las loterías serán tomados de los estados financieros correspondientes al período de análisis, incluyendo tanto los sorteos ordinarios como los extraordinarios.
PARÁGRAFO 2o. Los ingresos, costos y gastos que se generen por la operación de juegos de suerte y azar mediante la asociación de entidades públicas en los términos del artículo 95 de la Ley 489 de 1998 y que por ello no requiera la creación de personas jurídicas, se incorporarán en la contabilidad de cada una de las asociadas, de acuerdo con las normas generales de contabilidad que resulten aplicables.
ARTÍCULO 6o. CONTABILIDAD DE OTROS JUEGOS O NEGOCIOS. <Artículo compilado en el artículo 2.7.1.2.3 del Decreto Único Reglamentario 1068 de 2015. Debe tenerse en cuenta lo dispuesto por el artículo 3.1 del mismo Decreto 1068 de 2015> Las empresas del juego de lotería tradicional o de billetes que administren u operen otros juegos, o que obtengan ingresos en negocios distintos a la operación del juego de lotería tradicional o de billetes, deberán preparar un estado de resultados para cada negocio. Para el efecto, en el estado de resulta dos se reconocerán por separado los ingresos, gastos y costos propios de cada negocio y se asignarán los gastos generales de administración y operación.
PARÁGRAFO. Los gastos generales de operación y administración de la empresa operadora se deberán asignar a cada negocio proporcionalmente a sus ingresos, hasta por el valor de su utilidad operativa, y únicamente cuando esta se haya producido.
RELACIÓN ENTRE EMISIÓN Y VENTAS.
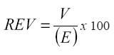
ARTÍCULO 7o. RELACIÓN ENTRE EMISIÓN Y VENTAS DE BILLETERÍA. <Artículo compilado en el artículo 2.7.1.2.4 del Decreto Único Reglamentario 1068 de 2015. Debe tenerse en cuenta lo dispuesto por el artículo 3.1 del mismo Decreto 1068 de 2015> Para efectos de lo dispuesto en el artículo 17 de la Ley 643 de 2001, entiéndase por “relación entre emisión y ventas”, el cociente expresado en porcentaje que resulte de dividir el valor total de los billetes adquiridos por el público entre el valor total de billetes emitidos para participar en un sorteo, en un grupo de sorteos consecutivos o en un período de tiempo.
La relación entre emisión y ventas, se calculará mediante la siguiente fórmula:

Donde,
| REV = | Relación entre emisión y ventas en un sorteo o un grupo de sorteos o en un período de tiempo. |
| V = | Valor de los billetes vendidos en un sorteo o un grupo de sorteos. |
| E = | Valor de los billetes emitidos en un sorteo o un grupo de sorteos o en un período de tiempo. |
Las empresas que operen el juego de lotería tradicional o de billetes mantendrán una relación entre la emisión y las ventas que le permitan operar en punto de equilibrio.
PARÁGRAFO. Cuándo la relación ventas emisión de una entidad operadora del juego de lotería tradicional o de billetes, no le permita operar en punto de equilibrio, se considerará que la entidad deberá someterse a un plan de desempeño, en el cual debe acreditar su viabilidad financiera e institucional.
ARTÍCULO 8o. RESERVAS TÉCNICAS PARA PAGO DE PREMIOS. <Artículo compilado en el artículo 2.7.1.2.5 del Decreto Único Reglamentario 1068 de 2015. Debe tenerse en cuenta lo dispuesto por el artículo 3.1 del mismo Decreto 1068 de 2015> Las empresas operadoras del juego de lotería tradicional observarán el régimen de reservas técnicas para garantizar el pago de premios que determine el Consejo Nacional de Juegos de Suerte y Azar. Estas reservas se crearán con cargo a la diferencia entre el valor de los premios en poder del público, expresado como porcentaje de las ventas brutas de cada sorteo y el porcentaje del valor de la emisión que define el plan de premios, de conformidad con el artículo 9o del presente decreto.
Las reservas técnicas para garantizar el pago de premios serán representadas en depósitos que garanticen su liquidez, seguridad y rentabilidad, de conformidad con las normas que regulan el manejo y la protección de los recursos en efectivo de las entidades públicas.
PARÁGRAFO 1o. El incumplimiento del régimen de liquidación, causación y depósito efectivo de reservas técnicas para garantizar el pago de premios del juego de lotería tradicional tendrá como consecuencia la suspensión inmediata de los sorteos. En ningún caso, las entidades operadoras del juego de lotería tradicional podrán efectuar sus sorteos, cuando el valor de las reservas técnicas depositadas tenga un valor inferior al valor del premio mayor ofrecido.
PARÁGRAFO 2o. Las empresas operadoras del juego de lotería tradicional o de billetes que pretendan cambiar su plan de premios deberán acreditar ante el Consejo Nacional de Juegos de Suerte y Azar, que desde la adopción del plan de premios que tienen en ejecución, han constituido, causado y depositado las reservas técnicas de conformidad con las normas establecidas por el mismo Consejo. Cualquier manejo de las reservas técnicas por fuera de las normas del régimen propio dará lugar a remitir el asunto a las autoridades correspondientes para que procedan a determinar la responsabilidad administrativa, fiscal, disciplinaria y penal a que hubiere lugar.
PLAN DE PREMIOS.
ARTÍCULO 9o. FORMULACIÓN DE LOS PLANES DE PREMIOS. <Artículo compilado en el artículo 2.7.1.2.6 del Decreto Único Reglamentario 1068 de 2015. Debe tenerse en cuenta lo dispuesto por el artículo 3.1 del mismo Decreto 1068 de 2015> Los planes de premios para los sorteos ordinarios y extraordinarios de los operadores del juego de lotería tradicional o de billetes serán aprobados por el órgano máximo de dirección del administrador de la lotería, según lo previsto por el artículo 18 de la Ley 643 de 2001 para entidades públicas, atendiendo las necesidades del mercado y la capacidad financiera de la empresa, condiciones que se establecerán por medio de los correspondientes estudios técnicos de administración de riesgos, financieros y de mercados. Cuando el juego se opere a través de terceros la aprobación del plan de premios corresponderá al administrador del juego.
A partir de la entrada en vigencia del presente Decreto el valor del plan de premios no podrá ser inferior al 35% del valor de la emisión. Dicho valor se incrementará un punto porcentual anualmente hasta alcanzar el 40% de la emisión, de conformidad con la siguiente graduación:
| Año | Valor del plan de premios expresado como porcentaje del valor de la emisión |
| 2014 | 36% |
| 2015 | 37% |
| 2016 | 38% |
| 2017 | 39% |
| 2018 en adelante | 40% |
Mientras el valor del plan de premios de las empresas operadoras del juego de lotería tradicional, alcanza el 40% del valor de la emisión, el valor de las reservas técnicas de que trata el artículo 8o del presente decreto se efectuará teniendo en cuenta los porcentajes señalados para cada año en el presente artículo.
El plan de premios de los sorteos extraordinarios deberá, cuando menos, ser superior en 1.5 veces al valor del plan de premios del sorteo ordinario. En caso de operación de sorteos extraordinarios en forma asociada se tomará como referencia el plan de premios de mayor valor de los sorteos ordinarios de sus loterías socias, observando en ambos casos el régimen de reservas y de patrimonio técnico mínimo aplicable a los sorteos ordinarios.
El valor del premio mayor contemplado en un plan de premios, no podrá superar el valor del patrimonio técnico de la empresa que esté operando o pretenda operar dicho juego. El valor del patrimonio técnico se establecerá deduciendo del patrimonio total el valor de las utilidades del período.
En ningún caso el valor del premio mayor podrá superar el valor depositado en el fondo de reservas.
PARÁGRAFO 1o. Terminado el periodo de transición previsto en el presente artículo, el valor del plan de premios a distribuir no podrá ser inferior al cuarenta por ciento (40%) del valor de la emisión y excluirá el valor de los sorteos promocionales. El valor del premio mayor no podrá ser superior al cincuenta por ciento (50%) del valor del plan de premios.
PARÁGRAFO 2o. Con cada cambio de plan de premios se determinará, si con el volumen de ventas proyectado, la entidad operadora alcanza el punto de equilibrio y genera suficientes reservas técnicas para cubrir los riesgos que genera el plan de premios.
PARÁGRAFO TRANSITORIO. Las empresas operadoras del juego de lotería que a la fecha de entrada en vigencia del presente decreto presenten patrimonio técnico con valor inferior al valor del premio mayor, presentarán ante el Consejo Nacional de Juegos de Suerte y Azar dentro de los sesenta días (60) días siguientes, un plan de desempeño en el que se evidencien las actividades y compromisos de la empresa para superar la situación, para cuya financiación podrán capitalizar los excedentes de los dos años subsiguientes, en las condiciones que para el efecto establezca el Consejo.
ARTÍCULO 10. ESTUDIO DE MERCADO. <Artículo compilado en el artículo 2.7.1.2.7 del Decreto Único Reglamentario 1068 de 2015. Debe tenerse en cuenta lo dispuesto por el artículo 3.1 del mismo Decreto 1068 de 2015> Las empresas operadoras del juego de lotería tradicional o de billetes definirán las características de sus planes de premios, por medio de un estudio de mercado.
Cuando se cambie el valor de la emisión, el respectivo estudio de mercado se realizará consultando fuentes primarias y/o secundarias. Para consultar las fuentes primarias se realizará el correspondiente trabajo de campo, aplicando instrumentos de recolección de información a los consumidores, a los distribuidores y vendedores, y utilizando procedimientos estadísticos de reconocido valor científico y técnicas de análisis de mercados. Las fuentes secundarias serán los registros estadísticos de la industria y de la economía en su conjunto y los propios registros de la empresa.
El estudio de mercado que se efectúe para justificar la modificación del plan de premios de las loterías, cuando se cambie el valor de la emisión, deberá obtener evidencia cuanto menos sobre los siguientes aspectos:
a) Motivaciones y hábitos de compra de los consumidores de juegos de suerte y azar.
b) Estudio de oferta caracterizando los competidores y comparando la aceptación de sus productos.
c) Análisis de precios del producto ofrecido.
d) Análisis de estructura comercial incluyendo estudios de red de comercialización, puntos de venta, campañas promocionales y publicidad.
e) Análisis de los resultados del plan de premios que prevé cambiar, indicando las razones comerciales, financieras, administrativas y de mercado por las cuales el plan de premios debe ser objeto de cambio.
PARÁGRAFO. El estudio de mercado podrá contratarse con una firma externa o podrá ser adelantado por la entidad operadora del juego de lotería tradicional o de billetes.
ARTÍCULO 11. ESTUDIO TÉCNICO DE ADMINISTRACIÓN DEL RIESGO. <Artículo compilado en el artículo 2.7.1.2.8 del Decreto Único Reglamentario 1068 de 2015. Debe tenerse en cuenta lo dispuesto por el artículo 3.1 del mismo Decreto 1068 de 2015> Las empresas operadoras del juego de lotería tradicional o de billetes deberán establecer y cuantificar los riesgos de mercado, de entorno económico y de estructura probabilística del plan de premios, que pretendan ofrecer al público.
ARTÍCULO 12. ESTUDIO FINANCIERO. <Artículo compilado en el artículo 2.7.1.2.9 del Decreto Único Reglamentario 1068 de 2015. Debe tenerse en cuenta lo dispuesto por el artículo 3.1 del mismo Decreto 1068 de 2015> Para consolidar la información financiera propia del estudio de mercado y del estudio técnico de administración del riesgo, las empresas operadoras del juego de lotería tradicional o de billetes proyectarán los ingresos, los gastos y los costos utilizando la metodología de los estados financieros y flujos de caja proyectados. Estas estimaciones se harán para un horizonte de dos (2) años y serán la base para la evaluación económica del plan de premios propuesto, para el cálculo del punto de equilibrio y de la relación entre emisión y ventas por sorteo expresada en pesos.
La proyección de las ventas se presentará detallando, para cada sorteo efectuado en su horizonte, el valor del descuento en ventas, la renta o derechos de explotación, el impuesto a foráneas, los premios y reservas y los gastos de administración y operación.
ARTÍCULO 13. ELEMENTOS DEL PLAN DE PREMIOS. <Artículo compilado en el artículo 2.7.1.2.10 del Decreto Único Reglamentario 1068 de 2015. Debe tenerse en cuenta lo dispuesto por el artículo 3.1 del mismo Decreto 1068 de 2015> El plan de premios de las empresas operadoras del juego de lotería tradicional o de billetes contendrá por lo menos, los siguientes elementos:
a) Número de billetes que componen la emisión.
b) Sistema para individualizar o numerar los billetes que componen la emisión.
c) Número de billetes por serie, cuando aplique de conformidad con el sistema de individualización elegido.
d) Número de series, si aplica.
e) Número de fracciones de los billetes.
f) Precio de venta al público de las fracciones y los billetes.
g) Valor total de la emisión.
h) Valor total de los premios ofrecidos.
i) Valor del premio mayor.
j) Cantidad y valor de los premios secos.
k) Cantidad y valor de los premios por aproximación al resultado del premio mayor o principal y los premios secos, indicando la probabilidad de acierto.
PARÁGRAFO 1o. Las empresas operadoras del juego de lotería tradicional o de billetes podrán reconocer un incentivo a los vendedores y/o distribuidores del premio mayor, cuyo monto no podrá exceder del 0.5% del valor de dicho premio.
PARÁGRAFO 2o. No se podrán ofrecer premios cuyo desembolso esté diferido en el tiempo, ni planes de premios que se paguen por cuotas, salvo que los mismos sean garantizados mediante la constitución de un depósito en un encargo fiduciario.
PARÁGRAFO 3o. De conformidad con las condiciones que establezca el Consejo Nacional de Juegos de Suerte y Azar, las empresas operadoras del juego de lotería tradicional o de billetes podrán ofrecer, en forma individual o asociada, premios acumulables.
ARTÍCULO 14. PAGO DE PREMIOS. <Artículo compilado en el artículo 2.7.1.2.11 del Decreto Único Reglamentario 1068 de 2015. Debe tenerse en cuenta lo dispuesto por el artículo 3.1 del mismo Decreto 1068 de 2015> Los operadores del juego de lotería tradicional o de billetes deberán pagar los premios obtenidos por los apostadores dentro de los treinta (30) días calendario siguientes a la presentación del documento de juego ganador, conforme lo señala el inciso 2o del artículo 12 de la Ley 1393 de 2010.
ARTÍCULO 15. VIGENCIA DE LOS PLANES DE PREMIOS DE LOS SORTEOS ORDINARIOS Y EXTRAORDINARIOS. <Artículo compilado en el artículo 2.7.1.2.12 del Decreto Único Reglamentario 1068 de 2015. Debe tenerse en cuenta lo dispuesto por el artículo 3.1 del mismo Decreto 1068 de 2015> Los planes de premios de las empresas operadoras del juego de lotería tradicional o de billetes, aprobados de acuerdo con lo establecido en el artículo 18 de la Ley 643 de 2001, tendrán la vigencia señalada por la Junta Directiva de la respectiva entidad administradora.
Las empresas administradoras del juego de lotería tradicional o de billetes podrán modificar el plan de premios hasta dos veces en cada vigencia anual, siempre y cuando cumplan los procedimientos y requisitos establecidos en el presente decreto.
ARTÍCULO 16. INFORMACIÓN AL ENTE DE VIGILANCIA. <Artículo compilado en el artículo 2.7.1.2.13 del Decreto Único Reglamentario 1068 de 2015. Debe tenerse en cuenta lo dispuesto por el artículo 3.1 del mismo Decreto 1068 de 2015> Dentro de los cinco (5) días posteriores a su aprobación, el plan de premios se remitirá al Consejo Nacional de Juegos de Suerte y Azar, anexando el ejercicio elaborado para calcular la relación entre emisión y ventas de billetes, junto con los estimativos, operaciones, estudios, análisis y demás documentos en los que se soportó su elaboración, para que esta entidad verifique, en ejercicio de su función de vigilancia, el cumplimiento de las normas que sobre la materia se establecen en el presente decreto.
CRONOGRAMA DE SORTEOS ORDINARIOS Y EXTRAORDINARIOS DEL JUEGO DE LOTERÍA TRADICIONAL O DE BILLETES.
ARTÍCULO 17. PERIODICIDAD DE LOS SORTEOS ORDINARIOS. <Artículo compilado en el artículo 2.7.1.3.1 del Decreto Único Reglamentario 1068 de 2015. Debe tenerse en cuenta lo dispuesto por el artículo 3.1 del mismo Decreto 1068 de 2015> Las empresas operadoras del juego de lotería tradicional o de billetes efectuarán sus sorteos ordinarios de conformidad con el cronograma que el Consejo Nacional de Juegos de Suerte y Azar expida anualmente y de acuerdo con las siguientes reglas:
a) Las empresas operadoras del juego de lotería tradicional o de billetes solo podrán realizar un sorteo a la semana. No obstante, los operadores podrán optar por realizar sus sorteos con periodicidades quincenales o mensuales, en cuyo caso, los sorteos se efectuarán en un fecha fija.
b) En los eventos en que la operación directa o por medio de terceros, se realice a través de convenios o asociaciones, celebrados en el marco de lo dispuesto en el artículo 95 de la Ley 489 de 1998, la periodicidad de los sorteos será de uno (1) a la semana por cada tres (3) asociados.
Cuando el día del sorteo coincida con un festivo, la entidad operadora podrá optar por efectuar el juego en un día de la misma semana, o jugar el día festivo correspondiente, o no realizar el sorteo.
ARTÍCULO 18. REASIGNACIÓN DE LOS DÍAS HABITUALES DE LOS SORTEOS ORDINARIOS. <Artículo compilado en el artículo 2.7.1.3.2 del Decreto Único Reglamentario 1068 de 2015. Debe tenerse en cuenta lo dispuesto por el artículo 3.1 del mismo Decreto 1068 de 2015> Sin perjuicio de los criterios señalados en el artículo anterior, las tres cuartas partes de los operadores del juego de lotería, podrán solicitar, mediante comunicación escrita dirigida a la Secretaría Técnica del Consejo Nacional de Juegos de Suerte y Azar, que se elabore el cronograma de sorteos ordinarios del juego de lotería aplicando el siguiente procedimiento:
a) El número de sorteos diarios será determinado por cociente con base en el total de sorteos autorizados, distribuidos en los seis (6) días disponibles para el juego. El residuo, si lo hubiere, se asignará proporcionalmente durante la semana, hasta un sorteo adicional en un mismo día.
b) En caso de que el número de propuestas para realizar sorteos en un mismo día supere el determinado por el cociente al que se refiere el numeral anterior, se preferirá, entre las entidades que posean idéntica pretensión, a la que haya registrado el mayor porcentaje de transferencias al sector salud con respecto a sus ventas, en la vigencia anual anterior.
ARTÍCULO 19. PROGRAMACIÓN DE LOS SORTEOS EXTRAORDINARIOS. <Artículo compilado en el artículo 2.7.1.3.3 del Decreto Único Reglamentario 1068 de 2015. Debe tenerse en cuenta lo dispuesto por el artículo 3.1 del mismo Decreto 1068 de 2015> Las empresas operadoras del juego de lotería tradicional o de billetes efectuarán los sorteos extraordinarios de que trata el artículo 19 de la Ley 643 de 2001, con arreglo a la siguiente periodicidad:
a) Si la operación del sorteo extraordinario se realiza en forma individual, se podrá efectuar un sorteo cualquier día comprendido entre el 1o de enero y el 31 de diciembre.
b) Si la operación del sorteo extraordinario se realiza a través de una asociación o sociedad, esta podrá efectuar máximo un sorteo por cada entidad asociada, en cualquiera de los días comprendidos entre el 1o de enero y el 31 de diciembre. Por razones comerciales las entidades operadoras del juego podrán efectuar un número menor de sorteos.
c) La asignación de fechas se sujetará a las propuestas formuladas por las empresas operadoras. En caso de que dos o más de estas coincidan respecto de la realización de un sorteo en una misma semana o día, se asignará la fecha sugerida a la entidad que en el último año registre un mayor porcentaje de transferencias al sector salud respecto de sus ventas, causadas y giradas en la misma vigencia. Tal decisión se comunicará por cualquier medio a los interesados cuya propuesta fue descartada, a fin de que estos, en el término de tres (3) días, indiquen la fecha en la que pretendan realizar el sorteo. Si no se obtuviere respuesta o si la misma no se ajusta a lo contemplado en el presente decreto, el Consejo Nacional de Juegos de Suerte y Azar fijará el día del sorteo con sujeción a las reglas aquí previstas.
ARTÍCULO 20. CRITERIOS PARA LA ELABORACIÓN DEL CRONOGRAMA DE SORTEOS EXTRAORDINARIOS. <Artículo compilado en el artículo 2.7.1.3.4 del Decreto Único Reglamentario 1068 de 2015. Debe tenerse en cuenta lo dispuesto por el artículo 3.1 del mismo Decreto 1068 de 2015>
Los sorteos extraordinarios anuales que se realicen en forma individual o asociada se realizarán con fundamento en los siguientes criterios:
a) El sorteo extraordinario podrá realizarse en una de las fechas que el operador tiene asignadas para jugar el sorteo ordinario;
b) Cuando la operación se realiza de forma asociada, no se podrá programar más de un sorteo operado por la misma asociación dentro de un mes calendario;
c) No se podrá programar más de un sorteo durante una misma semana;
d) Fijado el cronograma, la modificación posterior de días y fechas de los sorteos se regirá por lo dispuesto en artículo 21 del presente decreto.
ARTÍCULO 21. ELABORACIÓN DEL CRONOGRAMA DE LOS SORTEOS ORDINARIOS. <Artículo compilado en el artículo 2.7.1.3.5 del Decreto Único Reglamentario 1068 de 2015. Debe tenerse en cuenta lo dispuesto por el artículo 3.1 del mismo Decreto 1068 de 2015> Atendiendo las reglas de periodicidad señaladas en el artículo anterior, las empresas operadoras del juego enviarán a la Secretaría Técnica del Consejo Nacional de Juegos de Suerte y Azar, antes del primero de noviembre de cada año, por intermedio de su representante legal, una propuesta con el número de sorteos ordinarios y extraordinarios que pretendan realizar en el año siguiente, indicando los días, fechas y horas correspondientes.
Si la propuesta no fuere presentada oportunamente, esta omisión se entenderá como la aceptación voluntaria de la entidad operadora del sorteo de lo que sobre el particular disponga el Consejo Nacional de Juegos de Suerte y Azar, el cual en todo caso, deberá elaborar el cronograma de acuerdo con lo prescrito en la normatividad vigente y sin excluir a ninguna entidad habilitada por la ley para realizar sorteos de lotería tradicional.
Cuando una entidad pretenda iniciar operaciones, el representante legal de esta presentará al Consejo Nacional de Juegos de Suerte y Azar la propuesta para la realización de los sorteos que se efectuarán en lo que resta del año en curso, a fin de que, con arreglo a lo dispuesto en el presente decreto, sean fijadas en el cronograma las fechas y horas correspondientes. Si se trata de una nueva asociación, mientras el Consejo dispone la asignación respectiva, cada entidad asociada podrá continuar realizando los sorteos individuales a que tuviere derecho, siempre y cuando no se encuentre sometida a un proceso de liquidación o enajenación.
Cuando se requiera una modificación de cronograma, los operadores de lotería deben enviar previamente la solicitud al Consejo Nacional de Juegos de Suerte y Azar, indicando claramente las razones que obligan a la modificación.
PARÁGRAFO 1o. Los días, fechas y horas asignados en el cronograma de sorteos, solo podrán alterarse por razones de fuerza mayor o caso fortuito. En tal evento, se debe dar a conocer de inmediato a las entidades de vigilancia y al público en general, los motivos y las circunstancias que obligaron a realizar dicho cambio.
PARÁGRAFO 2o. En ningún caso, se podrá anticipar el día o la hora del sorteo señalada en el cronograma de sorteos.
SORTEOS PROMOCIONALES DE LAS EMPRESAS OPERADORAS DEL JUEGO DE LOTERÍA TRADICIONAL O DE BILLETES.
ARTÍCULO 22. SORTEOS PROMOCIONALES. <Artículo compilado en el artículo 2.7.1.1.4 del Decreto Único Reglamentario 1068 de 2015. Debe tenerse en cuenta lo dispuesto por el artículo 3.1 del mismo Decreto 1068 de 2015> Las empresas operadoras del juego de lotería tradicional que pretendan realizar juegos de suerte y azar promocionales se consideran dentro de las excepciones previstas en el inciso tercero del artículo 5o de la Ley 643 de 2001, y en tal calidad deberán solicitar y obtener de la Empresa Industrial y Comercial del Estado Administradora del Monopolio Rentístico de los Juegos de Suerte y Azar (Coljuegos) o de la respectiva Sociedad de Capital Público Departamental (SCPD), según el ámbito de operación de que se trate, concepto mediante el cual se establezca dicha circunstancia, para lo cual deberá acreditar los requisitos establecidos para el efecto.
PARÁGRAFO. El valor de los premios pagados en los sorteos promocionales de las empresas operadoras del juego de lotería, no podrán ser computados como parte del retorno al público.
CONDICIONES MÍNIMAS PARA EFECTUAR LOS SORTEOS.
ARTÍCULO 23. CONDICIONES PARA EFECTUAR LOS SORTEOS. <Artículo compilado en el artículo 2.7.1.4.1 del Decreto Único Reglamentario 1068 de 2015. Debe tenerse en cuenta lo dispuesto por el artículo 3.1 del mismo Decreto 1068 de 2015> Las empresas operadoras del juego de lotería tradicional efectuarán sus sorteos con arreglo a los requisitos de seguridad calidad para las organizaciones que realizan actividades de presorteo y sorteo de juegos de suerte y azar, contenidos en la Norma Técnica Colombiana que para el efecto expida el Instituto Colombiano de Normas Técnicas y Certificación (Icontec), sin perjuicio de la aplicación de las medidas de seguridad y los procedimientos establecidos en el presente decreto, así como de las definiciones técnicas, de seguridad y de transparencia que expida el Consejo Nacional de Juegos de Suerte y Azar. Adicionalmente, se tendrán en cuenta los procedimientos de aseguramiento de calidad de cada entidad, garantizando que los sorteos se ajusten al principio de transparencia consagrado en el literal b) del artículo 3o de la Ley 643 de 2001 y en las normas que la modifiquen, sustituyan o adicionen. Estas condiciones rigen para los sorteos del juego de lotería tradicional o de billetes, para sus sorteos promocionales y para los sorteos de los juegos que se autoricen a los operadores del juego de apuestas permanentes.
ARTÍCULO 24. AUTORIDADES QUE DEBEN PRESENCIAR EL SORTEO. <Artículo compilado en el artículo 2.7.1.4.2 del Decreto Único Reglamentario 1068 de 2015. Debe tenerse en cuenta lo dispuesto por el artículo 3.1 del mismo Decreto 1068 de 2015> Si la operación del juego de lotería tradicional o de billetes se realiza en forma directa, los sorteos se deben realizar en presencia de las siguientes autoridades:
1. El Alcalde del municipio donde se realiza el sorteo o su delegado.
2. El gerente o representante legal de la lotería o su delegado.
3. El revisor fiscal de la entidad operadora, si lo hubiere.
4. Un (1) funcionario de la Oficina de Control Interno o de la Auditoría Interna del operador.
5. Un (1) representante de los concesionarios de apuestas permanentes.
6. Un (1) delegado de las entidades que tengan autorización para utilizar los resultados de la lotería para realizar otros juegos de suerte y azar cuando así lo soliciten.
PARÁGRAFO 1o. Si la operación directa se realiza en forma asociada, además de las personas señaladas en el presente artículo, el sorteo debe ser presenciado por un delegado de los titulares del monopolio que se hayan asociado.
PARÁGRAFO 2o. Si la operación se realiza mediante terceros, además de las personas señaladas el presente artículo, el sorteo debe ser presenciado por el representante legal del concedente, o su delegado.
PARÁGRAFO 3o. La empresa operadora del juego de lotería tradicional o de billetes, por escrito, con una anterioridad no inferior a cinco (5) días calendario a la realización del sorteo, solicitará la presencia de las personas que en los términos de este artículo deben presenciarlo y verificará su asistencia para lo cual se les deberá informar el día, hora y lugar de la realización del sorteo y de las pruebas previas al mismo.
ARTÍCULO 25. PRUEBAS PREVIAS AL SORTEO. <Artículo compilado en el artículo 2.7.1.4.3 del Decreto Único Reglamentario 1068 de 2015. Debe tenerse en cuenta lo dispuesto por el artículo 3.1 del mismo Decreto 1068 de 2015> Previamente y en presencia de las personas que deben asistir al sorteo, se realizará un número aleatorio de sorteos de prueba, no menor de 5 ni mayor de 10, el cual se calculará mediante alguna rutina de software, lo anterior para determinar que el sistema y los elementos de sorteo estén exentos de fraudes, vicios o intervenciones tendientes a alterar la probabilidad de acertar o de sustraerla del azar. Si se observa tendencia hacia un resultado determinado se realizarán los cambios requeridos.
Los resultados de estas pruebas serán registrados en el acta del sorteo.
ARTÍCULO 26. SEGURIDAD DEL LUGAR Y ELEMENTOS DEL SORTEO. <Artículo compilado en el artículo 2.7.1.4.4 del Decreto Único Reglamentario 1068 de 2015. Debe tenerse en cuenta lo dispuesto por el artículo 3.1 del mismo Decreto 1068 de 2015> La empresa operadora deberá garantizar y mantener la seguridad en el lugar de permanencia y custodia de los elementos y sistemas utilizados para realizar el sorteo, los cuales permanecerán en un lugar cerrado con sellos de seguridad.
ARTÍCULO 27. ELEMENTOS Y SISTEMAS PARA REALIZAR EL SORTEO. <Artículo compilado en el artículo 2.7.1.4.5 del Decreto Único Reglamentario 1068 de 2015. Debe tenerse en cuenta lo dispuesto por el artículo 3.1 del mismo Decreto 1068 de 2015> La empresa operadora dispondrá de un sistema hidroneumático o de balotas u otro sistema que corresponda a los adelantos técnicos para efectuar sus sorteos, cuyas características garanticen la seguridad y transparencia de los sorteos, en los términos del artículo 20 de la Ley 643 de 2001 y en las normas que la modifiquen, sustituyan o adicionen.
Igualmente, mantendrá al menos tres (3) juegos de balotas debidamente certificadas por un laboratorio de metrología certificado por el Instituto Colombiano de Normas Técnicas y Certificación (Icontec) o por un organismo certificador acreditado por la Superintendencia de Industria y Comercio (SIC) o el Organismo Nacional de Acreditación (ONAC).
El sistema hidroneumático o de balotas, o cualquier otro utilizado para efectuar los sorteos debe estar debidamente certificado por un laboratorio técnico, de conformidad con los términos y condiciones que para el efecto determine el Consejo Nacional de Juegos de Suerte y Azar.
Los juegos de balotas serán sustituidos de acuerdo con el número de partidas de vida útil que aconseje el fabricante de las mismas o antes de ese límite, cuando se descubra que alguna de las balotas no está en perfectas condiciones. Las balotas sustituidas permanecerán a disposición de las autoridades por un período de (6) seis meses, en un recipiente cerrado, con sellos de seguridad.
Antes del sorteo se elegirán al azar, dentro de los tres (3) juegos de balotas, cuáles sortearán los números y la serie. De este hecho se dejará constancia en el acta del sorteo.
PARÁGRAFO. El Consejo Nacional de Juegos de Suerte y Azar podrá definir normas referentes a los elementos y sistemas para la realización de los sorteos, así mismo podrá presentar ante el Instituto Colombiano de Normas Técnicas (Icontec), o el organismo certificador acreditado por la Superintendencia de Industria y Comercio (SIC) o el Organismo Nacional de Acreditación (ONAC), proyectos de normas técnicas respecto de los elementos y sistemas para la realización de todo tipo de sorteos, tendientes a garantizar la transparencia de estos.
ARTÍCULO 28. TRANSPORTE DE LOS ELEMENTOS Y SISTEMAS DE SORTEO. <Artículo compilado en el artículo 2.7.1.4.6 del Decreto Único Reglamentario 1068 de 2015. Debe tenerse en cuenta lo dispuesto por el artículo 3.1 del mismo Decreto 1068 de 2015> En el evento que se requiera desplazamiento de los elementos del sorteo hasta el sitio de transmisión del sorteo por televisión, este movimiento requerirá de todas las garantías de seguridad y vigilancia en el transporte de las urnas selladas que los contengan.
ARTÍCULO 29. ACTA DEL SORTEO. <Artículo compilado en el artículo 2.7.1.4.7 del Decreto Único Reglamentario 1068 de 2015. Debe tenerse en cuenta lo dispuesto por el artículo 3.1 del mismo Decreto 1068 de 2015> Por cada sorteo de la lotería tradicional se deberá elaborar un acta que debe ser suscrita por las autoridades del sorteo, la cual debe contener como mínimo:
1. Identificación de las personas que deben asistir al sorteo, indicando el nombre, cargo y entidad a la cual representan.
2. Nombre e identificación de los funcionarios encargados de abrir el recinto, desconectar las alarmas y romper los sellos de seguridad, los cuales deben ser verificados previamente para determinar que estos correspondan con los colocados al finalizar el sorteo anterior, describiendo las circunstancias en las cuales fueron realizadas estas actividades.
3. Nombre e identificación de las personas que efectúan los lanzamientos.
4. Número del juego de balotas que se excluye y de las que participan en el sorteo y método por el cual fueron sorteadas.
5. Resultado de las pruebas previas a la realización del sorteo.
6. Número y serie de los billetes que obtuvieron cada uno de los premios ofrecidos.
7. Número de los sellos que se colocan a los recipientes de las balotas al finalizar el sorteo.
8. Cantidad de tracciones que participan en el sorteo.
ARTÍCULO 30. PUBLICIDAD DE LOS SORTEOS. <Artículo compilado en el artículo 2.7.1.4.8 del Decreto Único Reglamentario 1068 de 2015. Debe tenerse en cuenta lo dispuesto por el artículo 3.1 del mismo Decreto 1068 de 2015> Los sorteos de loterías, por ser de interés público nacional, deberán transmitirse por un canal de televisión público nacional y/o regional en el día hora y lugar señalado en el cronograma de sorteos. La transmisión por televisión se hará en vivo y en directo, y no pueden hacerse en diferido.
PARÁGRAFO. Las empresas operadoras registrarán en video en forma continua las pruebas previas y los sorteos respectivos. Esta grabación se deberá mantener a disposición de las diferentes autoridades.
ARTÍCULO 31. SEGURIDAD DE LOS BILLETES. <Artículo compilado en el artículo 2.7.1.4.9 del Decreto Único Reglamentario 1068 de 2015. Debe tenerse en cuenta lo dispuesto por el artículo 3.1 del mismo Decreto 1068 de 2015> Todo billete de lotería preimpreso, o expedido o generado por máquina o terminal electrónica, deberá contar con condiciones de seguridad que garanticen su autenticidad y deberá contener como mínimo las combinaciones de números o de caracteres que lo individualizan, la fecha y número del sorteo para el cual fue emitido, la entidad operadora, el distribuidor y el plan de premios.
Los billetes preimpresos deberán contar con un código de barras que valide que los billetes corresponden a los emitidos. Los billetes expedidos por máquina o terminal electrónica deben contar con un código de barras o un código numérico de seguridad. El código de barras que se adopte debe permitir su lectura por medio de un lector óptico, con el objeto de permitir su consolidación y la transmisión electrónica de la eventual devolución.
PARÁGRAFO. Las condiciones de seguridad descritas en el presente artículo deberán constar en el respectivo contrato de impresión y suministro de billetería. Los impresores o contratistas que suministren los billetes de lotería deberán acreditar certificación de calidad.
ARTÍCULO 32. DEVOLUCIÓN DE LOS BILLETES PREIMPRESOS NO VENDIDOS Y REPORTE A LOS OPERADORES. <Artículo compilado en el artículo 2.7.1.4.10 del Decreto Único Reglamentario 1068 de 2015. Debe tenerse en cuenta lo dispuesto por el artículo 3.1 del mismo Decreto 1068 de 2015> Los billetes preimpresos que tengan los distribuidores y que no hayan sido vendidos, serán entregados por estos a una empresa de transporte especializada, debidamente perforados, por lo menos una (1) hora antes de la realización del sorteo.
Los billetes preimpresos que tenga el operador, sin haberse entregado a un distribuidor y que no hayan sido vendidos, serán perforados con anterioridad a la realización del sorteo y en presencia de las personas que deben asistir al mismo.
Los distribuidores reportarán al operador la relación de los billetes preimpresos que no hayan sido vendidos, con antelación al sorteo, utilizando cualquier medio electrónico de transporte o intercambio de datos. En eventos de caso fortuito o fuerza mayor y previa autorización por escrito del operador, los distribuidores reportarán la devolución de billetes por teléfono o por fax, y dispondrán de los medios para preparar los reportes que deben enviarse a la Superintendencia Nacional de Salud, o la entidad que haga sus veces.
Cuando los distribuidores no reporten oportunamente al operador la relación de los billetes preimpresos no vendidos, pagarán al operador el valor total de los billetes no reportados.
Para el ejercicio de vigilancia sobre los sorteos, el operador, antes de la realización del sorteo, reportará treinta (30) minutos antes del citado sorteo, a la Superintendencia Nacional de Salud o a la entidad que haga sus veces, en las condiciones que esta autoridad determine, la relación de los billetes preimpresos, de los expedidos por máquinas o terminales electrónicas y de los electrónicos, que hayan sido vendidos y habilitados para participar en el sorteo.
ARTÍCULO 33. BLOQUEO DE VENTA DE BILLETES ELECTRÓNICOS Y EXPEDIDOS POR MÁQUINAS O TERMINALES ELECTRÓNICAS. <Artículo compilado en el artículo 2.7.1.4.11 del Decreto Único Reglamentario 1068 de 2015. Debe tenerse en cuenta lo dispuesto por el artículo 3.1 del mismo Decreto 1068 de 2015> Previa la realización del sorteo los distribuidores y/o los operadores del juego de lotería tradicional, bloquearán la venta de billetes expedidos por máquinas o terminales electrónicas, o por cualquier otro medio autorizado, treinta (30) minutos antes de la realización del sorteo, a través de su sistema de gestión de juego.
PARÁGRAFO. Los operadores del juego de lotería tomarán todas las medidas administrativas tendientes a garantizar el normal y oportuno flujo de información relacionada con la devolución, reporte y bloqueo de venta de la billetería, y formularán un plan de contingencia para garantizar la solución de los inconvenientes de tipo técnico que se puedan presentar.
LIQUIDACIÓN, DECLARACIÓN Y PAGO DE IMPUESTOS Y DERECHOS DE EXPLOTACIÓN.
ARTÍCULO 34. DERECHOS DE EXPLOTACIÓN. <Artículo compilado en el artículo 2.7.1.5.1 del Decreto Único Reglamentario 1068 de 2015. Debe tenerse en cuenta lo dispuesto por el artículo 3.1 del mismo Decreto 1068 de 2015> En la operación por intermedio de terceros, los derechos de explotación serán, como mínimo, del diecisiete por ciento (17%) de los ingresos brutos del juego, con arreglo a lo dispuesto en los artículos 7o, 8o y 49 de la Ley 643 de 2001.
Notas de Vigencia>
- Artículo compilado en el artículo 2.7.1.5.1 del Decreto Único Reglamentario 1068 de 2015, por medio del cual se expide el Decreto Único Reglamentario del Sector Hacienda y Crédito Público, publicado en el Diario Oficial No. 49.523 de 26 de mayo de 2015. Debe tenerse en cuenta lo dispuesto por el artículo 3.1 del mismo Decreto 1068 de 2015.
ARTÍCULO 35. DECLARACIÓN Y PAGO DE LOS DERECHOS DE EXPLOTACIÓN. <Artículo compilado en el artículo 2.7.1.5.2 del Decreto Único Reglamentario 1068 de 2015. Debe tenerse en cuenta lo dispuesto por el artículo 3.1 del mismo Decreto 1068 de 2015> En los casos en que el juego se opere por intermedio de terceros, dentro de los diez (10) primeros días hábiles de cada mes, los concesionarios del juego de lotería liquidarán y declararán ante el concedente los derechos de explotación causados en el mes anterior, incluidos los intereses a que haya lugar, así como los gastos de administración. Dentro del mismo plazo, los concesionarios girarán dichos recursos a los fondos de salud de las entidades territoriales correspondientes y a las entidades concedentes, respectivamente.
La declaración se presentará en los formularios diseñados por la Secretaría Técnica del Consejo Nacional de Juego de Suerte y Azar, o por la entidad que haga sus veces, los cuales serán suministrados por la entidad concedente. El pago de los derechos de explotación se acreditará con copia de un comprobante válido expedido por el concedente.
ARTÍCULO 36. ANTICIPO. <Artículo compilado en el artículo 2.7.1.5.3 del Decreto Único Reglamentario 1068 de 2015. Debe tenerse en cuenta lo dispuesto por el artículo 3.1 del mismo Decreto 1068 de 2015> Los concesionarios del juego de loterías pagarán mensualmente a la entidad concedente a título de derecho de explotación, el diecisiete por ciento (17%) de sus ingresos brutos.
Al momento de la presentación de la declaración de los derechos de explotación, se pagarán a título de anticipo de derechos de explotación del siguiente período, un valor equivalente al setenta y cinco por ciento (75%) de los derechos de explotación que se declaran.
En el caso de nuevos concesionarios el primer pago de anticipo se realizará con base en los ingresos brutos esperados, de acuerdo con el estudio de mercado elaborado para el efecto y presentado en el marco de la licitación previa a la celebración del contrato de concesión.
PARÁGRAFO. La diferencia entre el valor total de los derechos liquidados en el periodo y el anticipo pagado en el período anterior constituirá el remanente o saldo de los derechos de explotación a pagar por el período respectivo.
En el evento de que el valor total de los derechos de explotación del período sea inferior al anticipo liquidado por el mismo, procederá el reconocimiento de compensaciones contra futuros derechos de explotación.
ARTÍCULO 37. IMPUESTO A GANADORES. <Artículo compilado en el artículo 2.7.1.5.4 del Decreto Único Reglamentario 1068 de 2015. Debe tenerse en cuenta lo dispuesto por el artículo 3.1 del mismo Decreto 1068 de 2015> Las empresas operadoras del juego de lotería liquidarán, retendrán, declararán y girarán dentro de los diez (10) primeros días hábiles de cada mes, a sus titulares, el impuesto a ganadores de premios del juego de lotería tradicional o de billetes establecido en el artículo 48 de la Ley 643 de 2001. Este impuesto será retenido por las empresas operadoras al momento de pagar el premio.
ARTÍCULO 38. IMPUESTO DE LOTERÍAS FORÁNEAS. <Artículo compilado en el artículo 2.7.1.5.5 del Decreto Único Reglamentario 1068 de 2015. Debe tenerse en cuenta lo dispuesto por el artículo 3.1 del mismo Decreto 1068 de 2015> Dentro de los primeros diez (10) días de cada mes, las empresas operadoras del juego de lotería liquidarán, declararán y pagarán a los departamentos y al Distrito Capital el impuesto de loterías foráneas establecido en el artículo 48 de la Ley 643 de 2001. Este impuesto se liquidará sobre el valor nominal de cada billete o fracción vendido y no se causará en la jurisdicción de la entidad territorial que explote la respectiva lotería ni en los departamentos o el Distrito Capital, según el caso, con los que aquella se encuentre asociada para administrar u operar el juego.
ARTÍCULO 39. FORMULARIOS DE DECLARACIÓN Y LIQUIDACIÓN DE DERECHOS DE EXPLOTACIÓN, DE IMPUESTO DE LOTERÍAS FORÁNEAS E IMPUESTO SOBRE PREMIOS DE LOTERÍAS.<Artículo compilado en el artículo 2.7.1.5.6 del Decreto Único Reglamentario 1068 de 2015. Debe tenerse en cuenta lo dispuesto por el artículo 3.1 del mismo Decreto 1068 de 2015> Los formularios para declaración y liquidación de derechos de explotación, de impuesto de loterías foráneas e impuesto sobre premios de loterías, serán adoptados por el Consejo Nacional de Juegos de Suerte y Azar.
El formulario para declaración y liquidación de los derechos de explotación en la operación por medio de terceros, será suministrado por la entidad concedente.
Los formularios de impuesto de loterías foráneas e impuesto sobre premios de loterías, serán suministrados por el administrador de los respectivos fondos de salud.
RENTA DEL MONOPOLIO.
ARTÍCULO 40. TRANSFERENCIA DE LAS RENTAS AL SECTOR SALUD. <Artículo compilado en el artículo 2.7.1.5.7 del Decreto Único Reglamentario 1068 de 2015. Debe tenerse en cuenta lo dispuesto por el artículo 3.1 del mismo Decreto 1068 de 2015> Los operadores directos del juego de lotería tradicional, dentro de los primeros diez (10) días hábiles de cada mes, liquidarán y girarán a los fondos de salud de las entidades territoriales correspondientes, el 12% de los ingresos brutos obtenidos por la venta del juego de lotería del mes anterior.
El giro deberá comunicarse a la respectiva entidad territorial dentro de los tres (3) días hábiles siguientes a la fecha de la consignación, suministrándose además la siguiente información:
a) Número de billetes indivisos o número de fracciones vendidos en el mes anterior discriminados por cada sorteo y el valor unitario de venta al público.
b) Valor de venta al público de los billetes de que trata el literal anterior.
c) Valor de la renta generada y transferida por las ventas realizadas de acuerdo con el literal anterior.
ARTÍCULO 41. INTERÉS DE MORA Y SANCIONES. <Artículo compilado en el artículo 2.7.1.5.8 del Decreto Único Reglamentario 1068 de 2015. Debe tenerse en cuenta lo dispuesto por el artículo 3.1 del mismo Decreto 1068 de 2015> El incumplimiento de los plazos prevsitos para el pago o giro de los recursos de que trata este decreto, causará intereses moratorios a favor de quien debió recibirlos, liquidados a la tasa de interés moratorio establecida para los tributos administrados por la Dirección de Impuestos y Aduanas Nacionales (DIAN);
en lo que sea pertinente se aplicará lo dispuesto por el Decreto 1281 de 2002 y las normas que lo modifiquen, adicionen o sustituyan y, en general, por aquellas que se expidan sobre el flujo de recursos del sector salud.
MODALIDADES DE OPERACIÓN.
ARTÍCULO 42. MODALIDADES DE OPERACIÓN DEL JUEGO DE LOTERÍA TRADICIONAL O DE BILLETES POR PARTE DE ENTIDADES TERRITORIALES. <Artículo compilado en el artículo 2.7.1.6.1 del Decreto Único Reglamentario 1068 de 2015. Debe tenerse en cuenta lo dispuesto por el artículo 3.1 del mismo Decreto 1068 de 2015> En los términos de los artículos 7o y 16 de la Ley 643 de 2001, las entidades territoriales podrán operar el juego de lotería tradicional o de billetes directamente o mediante asociación o a través de terceros. Para la operación directa, las entidades territoriales lo harán a través de Empresas Industriales y Comerciales del Estado y para la operación asociada, mediante la constitución de Sociedades de Capital Público Departamental.
Para la operación por medio de terceros, las entidades territoriales podrán entregar en concesión el juego de manera individual, o en forma conjunta, en este caso, podrán además constituir asociaciones de Empresas Industriales y Comerciales del Estado o asociaciones de entidades públicas, en los términos del artículo 95 de la Ley 489 de 1998 o en las normas que los adicionen, modifiquen o sustituyan.
En este último evento, en el convenio que se celebre se determinarán, entre otros, los criterios de distribución de los derechos de explotación que genere la operación del juego entre las entidades territoriales concedentes que hagan parte del respectivo convenio, del impuesto a ganadores, el nombre comercial del juego de lotería y los mecanismos para adelantar el proceso de selección, adjudicación y celebración del respectivo contrato de concesión.
INICIACIÓN DE LA OPERACIÓN.
ARTÍCULO 43. INICIACIÓN DE LA OPERACIÓN. <Artículo compilado en el artículo 2.7.1.6.2 del Decreto Único Reglamentario 1068 de 2015. Debe tenerse en cuenta lo dispuesto por el artículo 3.1 del mismo Decreto 1068 de 2015> La iniciación de la operación del juego de lotería tradicional o de billetes se sujetará al procedimiento que se define en el presente capítulo.
En la operación directa del juego de lotería tradicional se entiende por iniciación de la operación, la ocurrencia de los siguientes eventos:
a) Cuando un número plural de departamentos opten por la explotación asociada y constituyan una Sociedad de Capital Público Departamental.
b) Cuando las empresas y entidades operadoras reinicien sus sorteos tras una suspensión voluntaria, siempre que se ajusten a lo establecido en este decreto y se encuentren a paz y salvo con las obligaciones relacionadas con el sector salud, según certificación que expida la entidad territorial respectiva.
c) Cuando los departamentos o el Distrito Capital disuelvan una Sociedad de Capital Público Departamental para operar el juego de lotería tradicional por intermedio de su propia empresa industrial y comercial.
d) Cuando se trate de Empresas Industriales y Comerciales del Estado y Sociedades de Capital Público Departamental que administran y operan el juego de lotería tradicional que reemplazan a las que hayan adelantado liquidaciones voluntarias.
En la operación por terceros se considera que hay iniciación de la operación a partir de la iniciación de la ejecución del contrato de concesión para operar el juego de lotería tradicional.
PARÁGRAFO 1o. De conformidad con lo dispuesto en el numeral 4 del artículo 47 de la Ley 643 de 2001, modificado por el Decreto-ley 4144 de 2011, corresponde al Consejo Nacional de Juegos de Suerte y Azar establecer el término y las condiciones en que las empresas que sean administradoras u operadoras del juego de lotería podrán recuperar la capacidad para realizar la operación directa de la actividad respectiva.
PARÁGRAFO 2o. En todo caso, las entidades que inicien la operación del juego de lotería tradicional deberán presentar paz y salvo expedido por el departamento o departamentos titulares de la renta por concepto de transferencias al sector salud.
ARTÍCULO 44. ESTUDIO DE FACTIBILIDAD. <Artículo compilado en el artículo 2.7.1.6.3 del Decreto Único Reglamentario 1068 de 2015. Debe tenerse en cuenta lo dispuesto por el artículo 3.1 del mismo Decreto 1068 de 2015> Las entidades territoriales a través de la entidad administradora del monopolio, aplicando el método de formulación y evaluación de proyectos, determinarán si la operación de la lotería generará rentabilidad social y económica de manera sostenible, todo lo cual se deberá realizar a través de un estudio de factibilidad que deberá contener lo siguiente:
a) Estudio de mercado;
b) Estudio técnico;
c) Estudio económico;
d) Evaluación económica;
e) Análisis y administración del riesgo.
ARTÍCULO 45. ESTUDIO DE MERCADO. <Artículo compilado en el artículo 2.7.1.6.4 del Decreto Único Reglamentario 1068 de 2015. Debe tenerse en cuenta lo dispuesto por el artículo 3.1 del mismo Decreto 1068 de 2015> Para establecer si desde el punto de vista comercial es viable la introducción de la lotería, las entidades administradoras del monopolio deberán elaborar el estudio de mercado determinando y cuantificando la demanda y la oferta mediante el análisis de esquema de precios y el estudio de los canales de comercialización de la lotería tradicional y la de los juegos de suerte y azar sustitutos. El estudio de mercado debe contener como mínimo lo siguiente:
a) Definición del producto, incluyendo el perfil probabilístico y el valor de los premios ofrecidos;
b) Análisis de la demanda, indicando distribución geográfica, comportamiento histórico y proyección de la demanda;
c) Análisis de la oferta, caracterizando los competidores directos y proyectando su desempeño;
d) Análisis de precios, incluyendo su comportamiento histórico y su proyección;
e) Descripción de los canales de comercialización.
PARÁGRAFO. El estudio de mercado se realizará consultando fuentes primarias y secundarias.
Para analizar la información obtenida de las fuentes primarias se efectuará el correspondiente trabajo de campo y se aplicarán instrumentos de recolección de información a los consumidores, distribuidores, vendedores y al público en general, utilizando procedimientos estadísticos de reconocido valor científico. Las fuentes secundarias serán los registros estadísticos de la industria y de la economía en su conjunto y los propios registros de la empresa cuando sea del caso.
ARTÍCULO 46. ESTUDIO TÉCNICO. <Artículo compilado en el artículo 2.7.1.6.5 del Decreto Único Reglamentario 1068 de 2015. Debe tenerse en cuenta lo dispuesto por el artículo 3.1 del mismo Decreto 1068 de 2015> Las entidades administradoras del monopolio deberán realizar un estudio técnico que permita establecer si desde el punto de vista tecnológico y organizacional es viable la introducción de la lotería, determinando el tamaño de la organización empresarial, los elementos para el juego, los recursos tecnológicos requeridos; si los costos que se generan son financiables con cargo a la fracción de los ingresos brutos destinados para gastos de administración de la empresa operadora. Dicho estudio determinará como mínimo:
a) Equipos, instalaciones, elementos del juego, equipos de cómputo y comunicaciones (hardware y software) y en general los activos fijos que se requieran para operar el juego de lotería;
b) Clase y tamaño de la organización y de su planta de personal;
c) Si se trata de una asociación de departamentos se requiere además un estudio de localización.
ARTÍCULO 47. ESTUDIO ECONÓMICO. <Artículo compilado en el artículo 2.7.1.6.6 del Decreto Único Reglamentario 1068 de 2015. Debe tenerse en cuenta lo dispuesto por el artículo 3.1 del mismo Decreto 1068 de 2015> Las entidades administradoras del monopolio deberán realizar un estudio económico que permita consolidar la información financiera obtenida por medio de los estudios de mercado y técnico, calcular los ingresos y la inversión inicial, la cual depende del tipo de organización y de la tecnología seleccionadas y del capital de trabajo requerido, aplicando la metodología de los estados financieros proyectados. Adicionalmente, se preparará un flujo de tesorería.
Estas estimaciones se harán para un horizonte de cinco (5) años y serán la base para la evaluación económica del proyecto.
El estudio económico determinará el valor de la inversión inicial de la siguiente forma:
a) Valor de la inversión fija, representada por los equipos, instalaciones, elementos del juego, equipos de cómputo y comunicaciones (hardware y software) y en general los activos fijos que se requieran para operar el juego de lotería. En las empresas en marcha la asignación de activos fijos se reconocerá por su valor en libros;
b) Valor del capital de trabajo;
c) Valor del fondo inicial de reserva;
d) Valor de los gastos preoperativos diferidos, incluyendo los costos de lanzamiento;
e) Valor del patrimonio técnico requerido.
ARTÍCULO 48. EVALUACIÓN ECONÓMICA. <Artículo compilado en el artículo 2.7.1.6.7 del Decreto Único Reglamentario 1068 de 2015. Debe tenerse en cuenta lo dispuesto por el artículo 3.1 del mismo Decreto 1068 de 2015> Las entidades administradoras del monopolio deberán realizar una evaluación económica que determine la conveniencia de la operación, de conformidad con los siguientes indicadores:
a) Tasa interna de retorno;
b) Valor presente neto de los flujos de caja;
c) Relación costo-beneficio.
d) El punto de equilibrio en pesos y unidades definido como el volumen de ventas en pesos y en unidades que produce una contribución marginal suficiente para pagar los gastos de administración y funcionamiento; la contribución marginal se calculará deduciendo de los ingresos brutos el descuento en ventas reconocido a la red de distribución, la renta del monopolio, el impuesto a foráneas, la rentabilidad mínima, los premios en poder del público y la reserva para el pago de premios.
PARÁGRAFO. Los flujos netos de caja se obtendrán de los estados de resultados proyectados devolviendo las depreciaciones y las amortizaciones después de calcular la utilidad neta y se descontarán a una tasa no inferior a la DTF vigente al momento del estudio.
ARTÍCULO 49. ANÁLISIS Y ADMINISTRACIÓN DEL RIESGO. <Artículo compilado en el artículo 2.7.1.6.8 del Decreto Único Reglamentario 1068 de 2015. Debe tenerse en cuenta lo dispuesto por el artículo 3.1 del mismo Decreto 1068 de 2015> Las entidades que pretendan operar el juego de lotería deberán establecer los riesgos de mercado, de entorno económico y de estructura probabilística del plan de premios, mediante la medición del riesgo técnico y la suficiencia del régimen de reservas y margen de solvencia requerido para gestionarlo, para lo cual deberán determinar el nivel de provisiones requerido de acuerdo con el riesgo del operador.
ARTÍCULO 50. REQUISITOS DE EFICIENCIA. <Artículo compilado en el artículo 2.7.1.6.9 del Decreto Único Reglamentario 1068 de 2015. Debe tenerse en cuenta lo dispuesto por el artículo 3.1 del mismo Decreto 1068 de 2015> Las entidades que pretendan operar el juego de lotería tradicional se someterán a los criterios de eficiencia de que tratan los artículos 50 y 51 de la Ley 643 de 2001 y a las disposiciones que expida el Consejo Nacional de Juegos de Suerte y Azar sobre la materia.
OPERACIÓN POR MEDIO DE TERCEROS.
ARTÍCULO 51. OPERACIÓN POR MEDIO DE TERCEROS. <Artículo compilado en el artículo 2.7.1.6.10 del Decreto Único Reglamentario 1068 de 2015. Debe tenerse en cuenta lo dispuesto por el artículo 3.1 del mismo Decreto 1068 de 2015> Cuando la operación del juego de lotería tradicional o de billetes se realice a través de terceros, la persona jurídica contratista será seleccionada mediante un proceso de licitación pública, con arreglo a la Ley del Régimen Propio del Monopolio Rentístico de los Juegos de Suerte y Azar y el Estatuto General de Contratación de la Administración Pública y las normas que los adicionen, modifiquen o sustituyan. Tales contratos serán celebrados por un término improrrogable no inferior de tres (3) años ni superior a cinco (5) años y en estos se pactarán las cláusulas excepcionales de caducidad, modificación, interpretación y terminación unilateral, y su inclusión será expresa en los respectivos contratos. Así mismo se deberá pactar la constitución de las garantías de cumplimiento del contrato y del pago de los premios a los apostadores.
PARÁGRAFO 1o. Los departamentos que de conformidad con el Artículo 50 de la Ley 643 de 2001 hayan liquidado o deban liquidar su empresa operadora de lotería, por haber presentado pérdidas durante tres (3) años consecutivos, solo podrán operar el juego de lotería tradicional a través de terceros.
PARÁGRAFO 2o. Los terceros que pretendan operar el juego de lotería deberán acreditar los requisitos señalados en el presente decreto para el inicio de la operación.
PARÁGRAFO 3o. No podrán ser operadoras de juegos de loterías aquellas empresas que utilicen los resultados de otros juegos, ni empresas cuyos socios tengan propiedad accionaria en empresas que utilicen los resultados de otros juegos.
ARTÍCULO 52. REQUISITOS DE CAPACIDAD FINANCIERA. <Artículo compilado en el artículo 2.7.1.6.11 del Decreto Único Reglamentario 1068 de 2015. Debe tenerse en cuenta lo dispuesto por el artículo 3.1 del mismo Decreto 1068 de 2015> La entidad que pretenda operar el juego de lotería tradicional, deberá respaldar y garantizar las obligaciones con los apostadores y con el sector salud, acreditando el cumplimiento de los siguientes requisitos de forma permanente:
a) Respaldo patrimonial. Disponer de un patrimonio técnico cuyo valor no podrá ser menor al monto del premio mayor ofrecido. El cumplimiento de este requisito procede sin perjuicio del cumplimiento de los requisitos de solvencia que se le exijan a quien opere simultáneamente otros juegos.
b) Razón de endeudamiento. No podrá presentar una razón de endeudamiento superior al 65%;
c) Fondo inicial de reserva. Constituir un fondo inicial de reservas técnicas, cuyo monto no podrá ser inferior al monto del premio mayor ofrecido.
Este fondo será reconocido contablemente de conformidad con las normas de contabilidad que le sean aplicables a la entidad y deberá ser depositado aparte en cuentas creadas exclusivamente para el efecto, sin hacer unidad de caja con los demás recursos de la entidad operadora.
d) Requisitos de liquidez. Las entidades que pretendan operar el juego de lotería tradicional deben disponer de un capital de trabajo para financiar sus operaciones de corto plazo, cuyo monto será cuando menos, equivalente al valor de 30 días de costos y gastos;
para este cálculo se debe excluir el monto del fondo inicial de reservas.
ARTÍCULO 53. REQUISITOS DE EXPERIENCIA. <Artículo compilado en el artículo 2.7.1.6.12 del Decreto Único Reglamentario 1068 de 2015. Debe tenerse en cuenta lo dispuesto por el artículo 3.1 del mismo Decreto 1068 de 2015> Para participar en el proceso de selección de concesionario del juego de lotería tradicional, las empresas acreditarán experiencia de cuando menos tres (3) años en la operación del juego en Colombia o en otro país, en las modalidades de lotería tradicional, instantánea o tipo loto.
ARTÍCULO 54. EFICIENCIA CONTRACTUAL EN LA OPERACIÓN POR MEDIO DE TERCEROS. <Artículo compilado en el artículo 2.7.1.6.13 del Decreto Único Reglamentario 1068 de 2015. Debe tenerse en cuenta lo dispuesto por el artículo 3.1 del mismo Decreto 1068 de 2015> En los documentos y estudios previos del proceso licitatorio para la escogencia del operador del juego de lotería tradicional o de billetes, se señalará el monto de las ventas mínimas que durante toda la ejecución del contrato, debe cumplir quien resulte seleccionado como concesionario; estas ventas mínimas constituyen un esfuerzo de eficiencia que se exige del concesionario y una obligación contractual que deberá pactarse expresamente, de manera que su incumplimiento dará lugar a las consecuencias previstas en la ley de régimen propio.
Las personas jurídicas que pretendan participar en el proceso de selección deberán efectuar sus propios estudios y evaluaciones técnicas, financieras, de mercado y de análisis de riesgos, de manera que, previa a su participación en el proceso de selección, determinen si pueden cumplir con las obligaciones de la operación del juego, incluyendo el porcentaje de derechos de explotación que deberán transferir y el valor mínimo de ventas exigido en los términos de referencia. La sola participación en el proceso de selección constituye prueba de que los proponentes manifiestan su libre y expresa aceptación sobre esas obligaciones, ventas mínimas y porcentajes a transferir, sin que haya lugar a reclamaciones o indemnizaciones posteriores por esta razón, en caso de resultar adjudicatarios.
ARTÍCULO 55. DOCUMENTACIÓN ADICIONAL. <Artículo compilado en el artículo 2.7.1.6.14 del Decreto Único Reglamentario 1068 de 2015. Debe tenerse en cuenta lo dispuesto por el artículo 3.1 del mismo Decreto 1068 de 2015> Los terceros operadores que pretendan iniciar la operación del juego de lotería tradicional deberán allegar ante el Consejo Nacional de Juegos de Suerte y Azar los siguientes documentos:
a) Ordenanza o decreto que ordena la creación de la empresa o escritura pública de constitución de la misma y certificado de existencia y representación legal;
b) Declaración expresa del operador de no encontrarse incurso en el régimen de inhabilidades e incompatibilidades, señaladas en el artículo 10 de la Ley 643 de 2001.
PARÁGRAFO. Cuando se trata de operadores públicos deberán cumplir además con los requisitos establecidos en la Ley 489 de 1998, referidos a la creación de Empresas Industriales y Comerciales del Estado y Sociedades de Capital Público.
ARTÍCULO 56. TRÁMITE Y CONCEPTO DEL CONSEJO NACIONAL DE JUEGOS DE SUERTE Y AZAR. <Artículo compilado en el artículo 2.7.1.6.15 del Decreto Único Reglamentario 1068 de 2015. Debe tenerse en cuenta lo dispuesto por el artículo 3.1 del mismo Decreto 1068 de 2015>
Radicada la documentación ante el Consejo Nacional de Juegos de Suerte y Azar, esta institución verificará que cumpla con todos los requisitos señalados en el presente decreto.
En caso de que sea necesario adicionar o aclarar la información entregada, se comunicará por una sola vez al interesado, y para el efecto se le concederá un plazo de dos (2) meses, contados a partir de la fecha del requerimiento. Si dentro de este plazo no se allega, se entenderá que se desiste de la petición y, en consecuencia, se procederá a declarar el abandono de la solicitud.
Examinado y verificado el cumplimiento de todos los requisitos, el Consejo Nacional de Juegos de Suerte y Azar procederá a la elaboración del respectivo cronograma de sorteos, dentro de los quince (15) días hábiles siguientes.
DISPOSICIONES FINALES.
ARTÍCULO 57. JUEGOS PROHIBIDOS Y PRÁCTICAS NO AUTORIZADAS. <Artículo compilado en el artículo 2.7.1.7.1 del Decreto Único Reglamentario 1068 de 2015. Debe tenerse en cuenta lo dispuesto por el artículo 3.1 del mismo Decreto 1068 de 2015> Quedan prohibidas y constituyen prácticas no autorizadas la explotación, administración u operación del juego de lotería tradicional o de billetes que se adelanten en contravención a los mandatos contenidos en la Ley 643 de 2001 y las disposiciones del presente decreto. En tales eventos, conforme se dispone en el artículo 4o de la citada ley, la autoridad de control competente podrá suspender esas actividades y adoptar las medidas preventivas y de intervención que resulten necesarias, sin perjuicio del ejercicio de las funciones de inspección, vigilancia y control correspondientes y de las acciones de tipo penal que deba adelantar la autoridad competente, por ejercicio ilícito de actividad monopolística.
ARTÍCULO 58. INDICADORES DE GESTIÓN Y EFICIENCIA. <Artículo compilado en el artículo 2.7.1.7.2 del Decreto Único Reglamentario 1068 de 2015. Debe tenerse en cuenta lo dispuesto por el artículo 3.1 del mismo Decreto 1068 de 2015> De conformidad con lo establecido en los artículos 50 y 51 de la Ley 643 de 2001, y en el artículo 47 ibídem, modificado por el artículo 2o del Decreto 4144 de 2011, y con las normas que los sustituyan, modifiquen o adicionen, el Consejo Nacional de Juegos de Suerte definirá los indicadores de gestión y eficiencia con los que serán calificados los operadores públicos o privados del juego de lotería tradicional o de billetes.
De la misma manera, establecerá los eventos y situaciones que obligan a los operadores del juego de lotería tradicional o de billetes, a someterse a planes de desempeño, entre otras, por verse comprometida su viabilidad financiera o institucional.
ARTÍCULO 59. CALIFICACIÓN DE LA GESTIÓN, EFICIENCIA Y RENTABILIDAD DE LAS ENTIDADES OPERADORAS DEL JUEGO DE LOTERÍA TRADICIONAL O DE BILLETES. <Artículo compilado en el artículo 2.7.1.7.3 del Decreto Único Reglamentario 1068 de 2015. Debe tenerse en cuenta lo dispuesto por el artículo 3.1 del mismo Decreto 1068 de 2015> El Consejo Nacional de Juegos de Suerte y Azar calificará anualmente la gestión y eficiencia de los operadores públicos o privados del juego de lotería tradicional o de billetes, con base en los indicadores de gestión, eficiencia y rentabilidad y en el procedimiento señalado para el efecto.
ARTÍCULO 60. PLANES DE DESEMPEÑO. <Artículo compilado en el artículo 2.7.1.7.4 del Decreto Único Reglamentario 1068 de 2015. Debe tenerse en cuenta lo dispuesto por el artículo 3.1 del mismo Decreto 1068 de 2015> Los operadores públicos o privados del juego de lotería tradicional o de billetes, que obtengan calificación insatisfactoria o que incurran en eventos y situaciones que comprometan su viabilidad financiera e institucional, se someterán a un plan de desempeño en las condiciones que establezca el Consejo Nacional de Juegos de Suerte y Azar en desarrollo de las facultades que le fueron concedidas en el artículo 47 de la Ley 643 de 2001, modificado por el artículo 2o del Decreto 4144 de 2011.
ARTÍCULO 61. DEBER DE SUMINISTRAR INFORMACIÓN. <Artículo compilado en el artículo 2.7.1.7.5 del Decreto Único Reglamentario 1068 de 2015. Debe tenerse en cuenta lo dispuesto por el artículo 3.1 del mismo Decreto 1068 de 2015> Las personas naturales y jurídicas, públicas y privadas que en cualquier forma o modalidad participen en la explotación, administración, operación, distribución o comercialización del juego de lotería tradicional o de billetes están en la obligación de atender los requerimientos de información formulados por el Consejo Nacional de Juegos de Suerte y Azar, y por las autoridades de control y vigilancia, los cuales hacen parte de los sistemas de información del sector salud.
El incumplimiento de esta obligación dará lugar a la imposición de las sanciones a que haya lugar, en concordancia con lo dispuesto en los artículos 116 y 131 de la Ley 1438 de 2011.
ARTÍCULO 62. FORMATOS Y FORMULARIOS. <Artículo compilado en el artículo 2.7.1.7.6 del Decreto Único Reglamentario 1068 de 2015. Debe tenerse en cuenta lo dispuesto por el artículo 3.1 del mismo Decreto 1068 de 2015> El Consejo Nacional de Juegos de Suerte y Azar deberá, dentro de los seis (6) meses siguientes a la expedición del presente decreto, expedir los formatos, formularios e instrucciones de que trata el mismo.
ARTÍCULO 63. VIGENCIA Y DEROGATORIAS. El presente decreto rige a partir de la fecha de su publicación, y deroga las disposiciones que le sean contrarias, especialmente los Decretos 2975 de 2004, 3367 de 2004, 4763 de 2005, 3847 de 2005, 855 de 2009 y los artículos 1o, 2o y 4o del Decreto 2341 de 2012.
Publíquese y cúmplase.
Dado en Bogotá, D. C., a 27 de diciembre de 2013.
JUAN MANUEL SANTOS CALDERÓN
El Ministro de Hacienda y Crédito Público,
MAURICIO CÁRDENAS SANTAMARÍA.