RESOLUCIÓN 2353 DE 2010
(enero 29)
Diario Oficial No. 47.618 de 9 de febrero de 2010
COMISIÓN DE REGULACIÓN DE COMUNICACIONES
<NOTA DE VIGENCIA: Resolución derogada por el artículo 5.7 de la Resolución 3067 de 2011>
Por la cual se establece la metodología para la medición del Nivel de Satisfacción del Usuario de los servicios de TPBCL y TPBCLE, se recoge el procedimiento para el cálculo del Factor de Calidad, y se dictan otras disposiciones.
LA COMISIÓN DE REGULACIÓN DE COMUNICACIONES,
en ejercicio de sus facultades legales, especialmente las conferidas por la Ley 1341 de 2009, y
CONSIDERANDO:
Que de conformidad con lo establecido en el artículo 334 de la Constitución Política, corresponde al Estado intervenir, por mandato de la ley, en los servicios públicos y privados, con el fin de conseguir el mejoramiento de la calidad de vida de los habitantes, la distribución equitativa de las oportunidades y los beneficios del desarrollo y la preservación de un ambiente sano.
Que el artículo 365 de la Constitución Política, establece que es deber del Estado asegurar la prestación eficiente de los servicios públicos a todos los habitantes del territorio nacional.
Que de conformidad con el artículo 19 de la Ley 1341 del 30 de julio de 2009, la Comisión de Regulación de Telecomunicaciones (CRT), se denominará Comisión de Regulación de Comunicaciones (CRC).
Que mediante los numerales 1 y 3 del artículo 22 de la Ley 1341 de 2009, corresponde a la CRC, establecer el régimen de regulación que maximice el bienestar social de los usuarios, expedir la regulación de carácter general en las materias relacionadas con los parámetros de calidad de los servicios, los criterios de eficiencia del sector y la medición de indicadores sectoriales para avanzar en la sociedad de la información, respectivamente.
Que para el ejercicio de sus diversas funciones y competencias regulatorias, previstas en el artículo 22 de la Ley 1341 de 2009, especialmente las relacionadas con la promoción de la competencia, la protección de los derechos de los usuarios y en materia tarifaria, la Comisión de Regulación de Comunicaciones requiere el envío selectivo de información amplia, exacta, veraz y oportuna por parte de todas aquellas empresas que prestan servicios públicos de telecomunicaciones, incluyendo sus actividades complementarias e inherentes.
Que con el propósito de reglamentar la Ley 1341 citada, en lo que a la organización y funcionamiento de la Comisión de Regulación de Comunicaciones se refiere, el Gobierno Nacional expidió el 4 de agosto de 2009 el Decreto 2888 de 2009, señalando en el inciso 3o de su artículo 1o que los actos administrativos de carácter general y particular expedidos por esta Comisión, con fundamento en las funciones que le fueron asignadas en normas anteriores a la fecha de entrada en vigencia de la Ley 1341 de 2009, continuarán vigentes.
Que mediante el Anexo 007 de la Resolución CRT 1250 de 2005, se definieron los indicadores para el cálculo del Factor Q, el cual permite medir la calidad para los servicios de TPBCL y TPBCLE.
Que la Resolución CRT 2030 de 2008 y sus modificaciones[1], establecieron el esquema de Control y Gestión y Resultados para las empresas de TPBC, para lo cual definió los criterios, características, indicadores y modelos de carácter obligatorio para las empresas de TPBC que permitieran evaluar la gestión y resultados de dichas empresas, señalando las definiciones de Auditoría Externa de Gestión y Resultados –AEGR–, Sociedad Calificadora de Valores (SCV), Grado de Inversión, Grado de no Inversión, Plan de Gestión y Resultados.
Que la Ley 1341 de 2009 estableció que a las telecomunicaciones y a las empresas que prestan los servicios de telefonía pública básica conmutada, telefonía local móvil en el sector rural y larga distancia no les será aplicable la Ley 142 de 1994 respecto de estos servicios, salvo lo establecido en los artículos 4, 17, 24, 41, 42 y 43 de la citada Ley 142.
Que de conformidad con lo anterior, las reglas regulatorias relativas al plan de gestión y resultados, sistemas de Control Interno, Auditorías Externas de Gestión y Resultados –AEGR– y el indicador de Calificación de Riesgo –CR–, así como las facultades de inspección, control y vigilancia en cabeza de la Superintendencia de Servicios Públicos Domiciliarios –SSPD–, que correspondían al desarrollo regulatorio fundamentado en las reglas contenidas en el Título IV y particularmente los artículos 45 a 49 y 51, 52 y 79 de la Ley 142 de 1994, desde la entrada en vigencia de la Ley 1341 de 2009, no resultan exigibles, por virtud de lo dispuesto en el artículo 73 de la citada ley, la cual fue publicada en el Diario Oficial el 30 de julio de 2009[2]. En tal sentido, se reconoce que a partir de la fecha de entrada en vigencia de la Ley 1341 de 2009, han sido derogados los artículos 1, 2, 3, 4, 5, 6, 7, 8, 9, 10, 11, 12, 13, 14, 15, 16, 17, 19, 20, 21, 22, 23, 24 y 25 de la Resolución CRT 2030 de 2008.
Que con ocasión de la promulgación de la Ley 1341 de 2009, no resulta exigible el acto administrativo respecto del “Esquema de Control de Gestión y Resultados para las empresas de TPBC” contenido en la Resolución CRT 2030 de 2008, a excepción de lo dispuesto en el artículo 18 y los anexos 1 y 2 de dicha resolución, toda vez que la competencia para definir los parámetros de calidad, indicadores y medición de los mismos fue reiterada por virtud del numeral 3 del artículo 22 de la Ley 1341 citada, en cabeza de esta Comisión.
Que teniendo en cuenta que el contenido del artículo 18 de la Resolución CRT 2030 de 2008 y los anexos 1 y 2 de la misma, se encuentran vigentes, esta Comisión identificó la necesidad de recogerlos en el presente acto administrativo en la medida en que dichas disposiciones se habían incluido dentro de la resolución que establecía el “Esquema de Control de Gestión y Resultados para las empresas de TPBC”, el cual ha sido derogado a partir de la entrada en vigencia de la Ley 1341 de 2009.
Que mediante el Anexo 2 de la Resolución CRT 2030 de 2008, modificada mediante Resolución CRT 2091 de 2009, se definió la Metodología de Medición del Indicador Nivel de Satisfacción del Usuario.
Que a partir de la entrada en vigencia de la Ley 1341 de 2009, ante la imposibilidad que tenían los prestadores de servicios de TPBC y TMR, de efectuar sus reportes a través del SUI, esta Comisión expidió la Resolución CRC 2209 de 2009, mediante la cual los prestadores de los servicios de TPBCL y TPBCLE deberán remitir a la Comisión de Regulación de Comunicaciones, la información relativa al NSU, según los términos dispuestos en el Anexo 1 de dicha resolución.
Que en el año 2008, conforme a los términos de la Agenda Regulatoria de dicho año, se llevó a cabo el proyecto “Modificación de la responsabilidad de medición del NSU de servicios de TPBCL y TPBCLE”, el cual tenía por objeto el ajuste del marco regulatorio al entorno en convergencia, dejando dicha responsabilidad en cabeza del regulador, tal como actualmente ocurre con los servicios de TPBCLD, valor agregado de acceso a Internet, TMC, PCS y Trunking.
Que en revisión de su marco regulatorio en materia de la responsabilidad de la medición del NSU de los servicios de TPBCL y TPBCLE, de acuerdo con el Anexo 2 de la Resolución CRT 2030 de 2008, que contiene la “Metodología de Medición del indicador Nivel de Satisfacción del Usuario”, el cual fue modificado por la Resolución CRT 2091 de 2009, se encontraron diferencias en las obligaciones existentes para los prestadores de servicios de TPBCL y TPBCLE respecto de los prestadores de servicios de TPBCLD, TMC, PCS, Trunking y de valor agregado de acceso a Internet, consistentes en que para los prestadores de servicios locales y locales extendidos existe la obligación de medir su NSU, mientras que para los demás prestadores mencionados, corresponde a esta Comisión llevar a cabo dicha medición, a través de la contratación de una empresa de investigación de mercados especializada.
Que considerando la decisión de la Sesión de Comisión del 29 de agosto de 2008, consignada en Acta número 187, en relación con la propuesta regulatoria sobre “Modificación de la Responsabilidad de la Medición del NSU de servicios TPBCL y TPBCLE”, se incluye dicho estudio en el marco de la presente propuesta regulatoria que la Comisión ha venido adelantando conforme a los términos de la Agenda Regulatoria del año 2009.
Que la metodología de medición del NSU de los servicios de TPBCL y TPBCLE data del año 2005, y teniendo en cuenta el dinamismo del sector, este se ha transformado y actualmente se encuentra caracterizado por la convergencia de redes y servicios, lo cual no solo ha cambiado la industria en general y el modelo de negocio de los prestadores, sino la concepción del usuario, hoy usuario en un entorno convergente que exige unas condiciones de calidad específicas con unos estándares exigentes debido a los desarrollos tecnológicos.
Que la CRC consideró necesaria una revisión de la metodología de medición del NSU de servicios de TPBCL y TPBCLE, con el fin de establecer una herramienta metodológica que se ajustara a la realidad del sector de telecomunicaciones, la cual, a su vez, permitiera al regulador analizar la calidad de dichos servicios y tomar decisiones regulatorias orientadas a mejorar su prestación y aporte a las empresas de telecomunicaciones, elementos importantes para el desarrollo de sus planes de mercadeo y sus procesos de mejoramiento de la calidad de los servicios que ofrecen a sus usuarios.
Que esta Comisión contrató una firma de investigación de mercados, Consenso S. A., para revisar, ajustar y actualizar las metodologías para la medición del Nivel de Satisfacción al Usuario –NSU– para los servicios de Telefonía Pública Básica Conmutada Local –TPBCL–y Telefonía Pública Básica Conmutada Local Extendida –TPBCLE– y, posteriormente, se llevó a cabo un foro dirigido a los mencionados prestadores, en fecha 20 de octubre de 2009, en el marco del cual los participantes tuvieron la oportunidad de conocer y efectuar comentarios a los análisis realizados por dicha firma.
Que basados en el modelo presentado por la firma consultora y los ajustes efectuados con ocasión de las observaciones presentadas en el mencionado foro, la CRC identificó los aspectos a tener en cuenta en la metodología que se acoge en la presente resolución.
Que atendiendo a lo establecido en el Decreto 2696 de 2004, esta Comisión publicó desde el 7 de diciembre de 2009 hasta el 28 de diciembre de 2009, los proyectos regulatorios de “Modificación de la Resolución CRT 2030 de 2008”[3] y “Modificación de la metodología de medición del NSU de los servicios de TPBCL y TPBCLE”[4] acompañados de sus documentos soporte y formularios de encuesta de TPBCL Residencial y No-Residencial, así como los formularios de TPBCLE Residencial y No-Residencial, respectivamente, para comentarios de los agentes del sector.
Que en atención a lo anterior, una vez finalizado el plazo definido por la CRC para recibir comentarios de los diferentes agentes del sector, fueron elaborados en forma separada, los documentos de respuesta a comentarios recibidos a los proyectos regulatorios de “Modificación de la Resolución CRT 2030 de 2008” y “Modificación de la metodología de medición del NSU de los servicios de TPBCL y TPBCLE”. Seguido de lo cual, se identificó la necesidad de unificar en el presente acto administrativo el resultado de los estudios efectuados por esta Comisión en el marco de los proyectos regulatorios antes mencionados, previa consideración de los comentarios del sector.
Que en cumplimiento del Decreto 2696 de 2004, una vez finalizado el plazo definido por la CRC para recibir comentarios de los diferentes agentes del sector, se elaboró el documento que contiene las razones por las cuales se aceptan o rechazan las propuestas allegadas, el cual fue aprobado por el Comité de Comisionados según consta en el Acta 689 del 18 de enero de 2010 y posteriormente presentado a los miembros de la Sesión de Comisión, en la cual fueron aprobados según consta en el Acta número 224 del 27 de enero de 2010.
En virtud de lo expuesto,
RESUELVE:
ARTÍCULO 1o. INDICADORES DE CALIDAD DE LOS SERVICIOS DE TPBC. <Resolución derogada por el artículo 5.7 de la Resolución 3067 de 2011> <Artículo modificado por el artículo 1 de la Resolución 2562 de 2010. El nuevo texto es el siguiente:> Los procedimientos para el cálculo de los Indicadores de Calidad de TPBCL y TPBCLE Número de daños por cada cien (100) líneas en servicio, Tiempo medio de reparación de daños y Tiempo medio de instalación de nuevas líneas de que trata el artículo 4.1 de la Resolución 1740 de 2007, se definen en el Anexo –DEFINICIÓN Y FORMULACIÓN DE INDICADORES DE CALIDAD DE LOS SERVICIOS DE TPBC– de la presente resolución.
Los procedimientos para el cálculo de los indicadores para el servicio de TPBCLD Tasa de completación de llamadas nacionales y Tasa de completación de llamadas internacionales de que trata el artículo 4.2 de la Resolución 1740 de 2007, se encuentran definidos en el Anexo de la presente resolución.
PARÁGRAFO. Para efectos del cálculo del Factor Q de que trata el Anexo 007 de la Resolución CRT 087 de 1997, modificado por la Resolución CRT 1250 de 2005, se tomarán los indicadores descritos en el Anexo de la presente resolución.
ARTÍCULO 2o. <Resolución derogada por el artículo 5.7 de la Resolución 3067 de 2011> Derogar lo previsto en el artículo 18 y los anexos 1 y 2 de la Resolución CRT 2030 de 2008, así como las disposiciones que le sean contrarias.
ARTÍCULO 3o. VIGENCIA. <Resolución derogada por el artículo 5.7 de la Resolución 3067 de 2011> La presente resolución rige a partir de la fecha de su publicación en el Diario Oficial.
Dada en Bogotá D. C., a 29 de enero de 2010.
Publíquese y cúmplase.
La Presidenta,
MARÍA DEL ROSARIO GUERRA DE LA ESPRIELLA.
El Director Ejecutivo
CRISTHIAN LIZCANO ORTIZ.
DEFINICIÓN Y FORMULACIÓN DE LOS INDICADORES DE CALIDAD DE LOS SERVICIOS DE TPBC.
A. Número de Daños por Cada 100 Líneas en Servicio.
Es el número total de daños presentados en el año que afectan la prestación del servicio respecto al total de líneas telefónicas que tenga en servicio el operador.
A.1 Objetivos del Indicador
A.1.1 Objetivo General
Medir la gestión de las áreas de reparación, mantenimiento y atención al usuario.
A.1.2. Objetivos Específicos
-- Medir la capacidad de respuesta de la empresa para atender reparaciones en su red.
-- Obtener información sobre las fallas del servicio telefónico reportadas por los usuarios y en general sobre el funcionamiento de la red.
-- Disminuir los reclamos de los usuarios por falta de información sobre los servicios.
-- Obtener información sobre la calidad de la red.
A.2 Fórmula
![]()
Daño, falla y reclamación en el servicio: Es cualquier tipo de circunstancia que afecte la prestación normal del servicio telefónico y que sea reportada por el abonado o usuario. Incluye los daños internos a la propiedad del usuario pero no los reclamos por servicios suplementarios.
Tiempo para reparar el daño: Es el tiempo en días calendario que transcurre entre el momento en que el usuario reporta un daño hasta el momento en que este es solucionado. Cuando el daño es interno a la propiedad del usuario, se entiende como solucionado y finalizado el tiempo de reparación en el momento que el usuario recibe una notificación de la empresa.
Líneas en Servicio Totales: Cantidad de líneas instaladas, en funcionamiento y que tienen asignado un usuario.
A.3 Cálculo numérico del indicador
-- Cálculo del total de daños reportados durante el período, descontando los daños asociados a hurto de cable. El operador debe mantener un registro de dichos daños, disponible para la consulta de los entes de control y vigilancia, si estos así lo requieren.
-- Estimación del total de líneas en servicio al final del período de medición.
-- Cálculo del indicador de acuerdo con la fórmula del numeral 3.1. El cálculo se deberá realizar con las reparaciones de todo el período de medición y no con el promedio de valores mensuales.
El tipo de dato, resultado del cálculo del indicador, debe ser un real positivo aproximado por exceso o por defecto al decimal más cercano. Sólo se manejará un decimal.
B. Tiempo Medio de Reparación de Daños
Es el tiempo promedio en días calendario que utiliza la empresa para solucionar una falla en el servicio telefónico.
B.1 Objetivos del Indicador
B.1.1. Objetivo General
Medir la gestión de las áreas de reparación, mantenimiento y atención al usuario.
B.1.2. Objetivos Específicos
-- Medir la capacidad de respuesta de la empresa para atender reparaciones en su red.
-- Obtener información sobre la atención de fallas del servicio telefónico, reportadas por los usuarios.
-- Disminuir el tiempo de atención de reclamos.
B.2 Fórmula
![]()
Donde:
i = número de cada reparación efectuada dentro del período de medición
N = número total de reparaciones efectuadas dentro del período de medición
B.3 Procedimiento de Cálculo
Este manual de procedimiento deberá ser aplicado por todos los operadores de TPBCL y TPBCLE que operen o llegaren a operar dentro del territorio de la República de Colombia.
Todos los operadores de TPBCL y TPBCLE deberán asignar un código de atención a la solicitud de reparación que identifique al usuario y llevar un registro en donde se especifique las fechas de solicitud inicial y de reparación.
-- No se deberán contabilizar los reclamos que tengan fundamento en:
a) suspensión por falta de pago,
b) suspendido por orden del suscriptor,
c) suspendido por investigaciones especiales (posibilidad de fraude u otras de igual naturaleza),
d) daño por hurto de cable. El operador debe mantener un registro de dichos daños, disponible para la consulta de los entes de control y vigilancia, si estos así lo requieren.
Cuando un usuario reporte el mismo daño varias veces, será contabilizado como uno solo, siempre y cuando se pueda comprobar que los reportes se realizaron mientras no se haya reparado. De cualquier otra forma se contabilizará cada reclamación como un nuevo daño. No se podrán eliminar registros de reclamos que no hayan sido solucionados, estos serán imputables al operador hasta que se solucionen.
Para reducir los reclamos por daños internos a la propiedad de los usuarios, los operadores deberán buscar estrategias propias, tales como:
a) informar a los usuarios sobre las posibles causas de daños más frecuentes, tales como, la capacidad máxima de extensiones dentro de los inmuebles y sus efectos,
b) ofrecerle a los usuarios una lista de empresas que pueden arreglar los problemas de las redes internas, etc.
B.4 Cálculo Numérico del Indicador
Para obtener el valor del indicador se deberán realizar los siguientes pasos:
-- Cálculo del número de daños solucionados durante el período.
-- Cálculo del “tiempo de reparación” para cada daño atendido y solucionado, como la resta en días de la fecha de notificación de solución del reclamo y la fecha de presentación del mismo.
-- Restar los días que son responsabilidad del usuario.
-- Cálculo de la sumatoria del “tiempo de reparación” para todas las reclamaciones atendidas y solucionadas.
-- Cálculo del indicador de acuerdo con la fórmula del numeral B.2. El cálculo se deberá realizar con las reparaciones de todo el período de medición y no con el promedio de valores mensuales.
-- El tipo de dato, resultado del cálculo del indicador, debe ser un real positivo aproximado por exceso o por defecto al decimal más cercano. Sólo se incluirá un decimal.
C. Tiempo medio de instalación de nuevas líneas
Es el número de días calendario, que utiliza la empresa para la instalación correcta y completa de todos los elementos que componen una línea telefónica y las pruebas necesarias para entregar en funcionamiento definitivo al usuario, medido desde la fecha de recepción de la solicitud, hasta la fecha de entrega definitiva de la línea en funcionamiento o servicio al usuario, descontado el tiempo que es responsabilidad de este.
C.1 Objetivos del Indicador
C.1.1 Objetivo General
Impulsar el mejoramiento de la gestión en la instalación de nuevas líneas telefónicas.
C.1.2 Objetivos Específicos
-- Establecer el número de instalaciones realizadas en el período de medición.
-- Obtener información sobre la gestión en la atención de solicitudes de instalación de una línea telefónica.
-- Establecer el tiempo máximo y mínimo de respuesta a una solicitud de instalación de una línea telefónica.
-- Medir la capacidad de respuesta de la empresa para atender instalación de líneas telefónicas en su red.
-- Fomentar el mejoramiento en la gestión de atención al usuario.
C.2 Fórmula
![]()
i = número de cada instalación efectuada dentro del período de medición
N = número total de instalaciones efectuadas dentro del período de medición
Nueva línea = para los efectos del presente manual se entenderá por nueva línea, aquella línea telefónica que entra en servicio por primera vez o aquellas que son reasignadas (no se incluyen los traspasos, cesiones o traslados).
C.3 Procedimiento de Cálculo
Este manual de procedimiento deberá ser aplicado por todos los operadores de TPBCL y TPBCLE que operen o llegaren a operar dentro del territorio de la República de Colombia.
Las líneas en servicio enlazan el equipo terminal del abonado con la red pública conmutada con un acceso individualizado a los equipos de la central telefónica, es decir, las extensiones o derivaciones no se cuentan como parte de las líneas en servicio.
Todos los operadores de TPBCL y TPBCLE deberán asignar un código de atención a la solicitud de instalación que identifique al usuario y llevar un registro en donde se especifique las fechas de solicitud inicial y de instalación, o de negativa de la instalación.
Los operadores podrán aceptar o rechazar solicitudes de instalación de líneas de acuerdo con su disponibilidad técnica-financiera, por las causales especiales descritas a continuación o por causas excepcionales definidas por el operador (las cuales serán reportadas a la Superintendencia de Servicios Públicos Domiciliarios en el informe anual de resultados del indicador). Las causas especiales son:
i) Barrios no legalizados
ii) Direcciones inexistentes
iii) Inmuebles sellados por autoridad competente
iv) Suscriptores no localizables
v) Inmuebles donde no se permiten instalaciones
C.4 Cálculo numérico del indicador
-- Cálculo del número total de líneas instaladas en el período.
-- Cálculo del “tiempo de instalación” para cada solicitud atendida, como la resta entre la fecha de solicitud de instalación y la fecha de instalación, menos los días que son responsabilidad del usuario. Esta operación se realizará en días y fracción de día para homogeneizar los resultados.
-- Cálculo de la sumatoria del “tiempo de instalación” para todas las solicitudes atendidas y satisfechas.
-- Cálculo del indicador de acuerdo con la fórmula del numeral C.2 de este anexo. El cálculo se deberá realizar con el número de instalaciones de todo el período de medición y no con el promedio de valores mensuales.
El tipo de dato, resultado del cálculo del indicador, deberá ser un real positivo aproximado por exceso o por defecto al decimal más cercano. Solo se manejará un decimal.
D. Tasa de Completación de Llamadas Nacionales
Función de calidad aplicada al porcentaje de llamadas con contestación respecto al total de tomas del servicio nacional o internacional.
E. Tasa de Completación de Llamadas Internacionales
Función de calidad aplicada al porcentaje de llamadas con contestación respecto al total de tomas del servicio nacional o internacional.
METODOLOGÍA DE MEDICIÓN DEL NSU DE LOS SERVICIOS DE TPBCL Y TPBCLE.
<Anexo derogado por el artículo 2 de la Resolución 2562 de 2010>
ARTÍCULO 1o. AMBITO DE APLICACIÓN. La presente metodología se aplica a todos los prestadores de servicios de TPBCL y TPBCLE habilitados de conformidad con lo establecido en los artículos 10, 68 y 69 de la Ley 1341 de 2009. Los prestadores que inicien operaciones deberán aplicar las encuestas una vez hayan cumplido un año en la provisión de sus actividades.
ARTÍCULO 2o. DEFINICIONES. Para efectos del presente anexo, se adoptan las siguientes definiciones:
Elemento muestral: Es el elemento del cual se obtiene la información. Es también llamado unidad de análisis. Para el caso de la presente metodología corresponde al usuario que responde las preguntas contenidas en el instrumento de recolección de información.
Marco muestral o Población Operativa: Es el dispositivo digital (listado) que contiene las unidades que conforman la población objetivo y el cual le garantiza al investigador su identificación y localización. Para la presente metodología, el marco de muestreo está conformado por el listado de usuarios de TPBCL y TPBCLE en una relación de 1 a 15 con respecto al tamaño y distribución de la muestra para cada servicio.
Muestra: Subconjunto de la población objetivo, del que se obtiene la información para hacer las estimaciones relativas a dicha población. En el marco de la presente metodología, la muestra debe ser representativa de la población de los servicios de TPBCL y TPBCLE. Es también llamada población operativa.
Muestreo: Procedimiento de selección de una muestra de la población.
Nivel de Satisfacción del Usuario –NSU–: Indicador perceptual que expresa numéricamente –en una escala de 0 a 100– la satisfacción del usuario. En el marco de la presente metodología, este indicador se calcula a partir de la calificación que los usuarios entrevistados dan a los diferentes atributos del modelo desarrollado. La calificación inicial del usuario, que se realiza en una escala cualitativa (Muy malo, Malo, Regular, Bueno y Muy Bueno) es transformada posteriormente a una escala cuantitativa de 0 a 100 (0, 25, 50, 75 y 100, respectivamente).
Petición: Cualquier manifestación verbal o escrita del suscriptor y/o usuario, por medio de la cual solicita ante el prestador de servicios algún derecho derivado de la ejecución del contrato o inherente al mismo, o algún tipo de servicio.
Población objetivo: Es el conjunto de elementos de referencia sobre el que se realizan las observaciones, también llamada universo.
PQR: Petición, queja o recurso formulado por el suscriptor y/o usuario ante el prestador de servicios de telecomunicaciones, que contribuye al adecuado ejercicio de sus derechos.
Queja: Acción por medio de la cual el suscriptor y/o usuario expresa las razones de una inconformidad con la forma y/o condiciones en que se ha prestado el servicio, y solicita correctivos.
Recurso: Acto interpuesto por un suscriptor y/o usuario, constitutivo de una inconformidad respecto de una decisión del prestador del servicio, a efectos de exigir su revisión.
Unidad muestral: Es la unidad a través de la cual se llega al elemento de muestreo. Todo miembro de la población pertenecerá a una y soólo una unidad de muestreo.
Usuario No-Residencial: Persona jurídica que se beneficia con la prestación de un servicio público de telecomunicaciones.
ARTÍCULO 3o. OBJETO DEL INDICADOR NIVEL DE SATISFACCIÓN DEL USUARIO –NSU–. Medir para cada uno los prestadores de servicios de TPBCL y TPBCLE, habilitados de conformidad con lo establecido en la Ley 1341 de 2009, la percepción de sus usuarios sobre la calidad y grado de satisfacción con el servicio que reciben.
ARTÍCULO 4o. RESPONSABILIDAD DE LA MEDICIÓN. La CRC será responsable de llevar a cabo la medición del NSU de los servicios de TPBCL y TPBCLE de acuerdo con los criterios establecidos en el presente Anexo, garantizando en todo caso la protección de los datos personales. Para tal fin, contratará una empresa especializada en investigación de mercados para la ejecución de las etapas descritas en el artículo 5o del presente Anexo.
ARTÍCULO 5o. ETAPAS DE LA METODOLOGÍA PARA LA OBTENCIÓN DEL INDICADOR NIVEL DE SATISFACCIÓN DEL USUARIO.
5.1. Etapa 1: Diseño Muestral
La determinación de la población operativa o muestra de la medición del NSU de los servicios de TPBCL y TPBCLE se deberá realizar siguiendo los pasos estipulados en el Apéndice 1 “Diseño Muestral”.
PARÁGRAFO. La información obtenida de la muestra seleccionada será única y no podrá ser modificada en las etapas siguientes para la obtención del indicador NSU.
5.2. Etapa 2: Realización de Entrevistas
La medición del NSU de los servicios de TPBCL y TPBCLE se debe realizar utilizando los cuestionarios definidos en el Apéndice 2 “Recolección de información”.
5.3. Etapa 3: Obtención del indicador NSU
Para los prestadores de los servicios de TPBCL y TPBCLE se obtendrá un indicador numérico del NSU, de acuerdo con la metodología de cálculo definida en el Apéndice 3 “Obtención del Indicador NSU”.
ARTÍCULO 6o. PUBLICACIÓN DE LOS RESULTADOS. Los resultados de la medición del NSU serán publicados en el Sistema de Información Integral, de que trata el artículo 15 de la Ley 1341 de 2009. La publicación se efectuará en el primer trimestre del año siguiente a la medición.
Apéndice 1: Diseño Muestral
1.1. Población Objetivo (universo)
-- Para el servicio de TPBCL: Está constituida por las líneas en servicio de cada prestador de servicios, contabilizadas por departamento al último día del mes inmediatamente anterior al inicio del trabajo de campo de la medición correspondiente, discriminadas en las siete (7) categorías, según su uso en los segmentos residencial (separadas por estrato del 1 al 6 y 7 no-residencial). Dichas líneas deberán tener una permanencia mínima con el prestador de servicios de tres (3) meses.
En el segmento no-residencial se debe contabilizar el número de usuarios no-residenciales por cada prestador de servicios, tomando como base de la población solamente un número telefónico de identificación por usuario no-residencial. Para esta categoría se deberá considerar los Nit únicos por empresa, con el número telefónico principal.
Para realizar el cálculo y distribución de la muestra de cada prestador de servicios por departamento, los prestadores del servicio TPBCL deberán proveer a la CRC, el tamaño de la población contabilizada por departamento al último día del mes inmediatamente anterior al inicio del trabajo de campo de la medición correspondiente, discriminada en las siete (7) categorías, según su uso en los segmentos residencial y no-residencial, por cada prestador del servicio. Dichas líneas deberán tener una permanencia mínima con el prestador de servicios de tres (3) meses. La información de la población objetivo (universo) deberá ser presentada en Excel, de acuerdo al siguiente formato.
POBLACIÓN OBJETIVO (UNIVERSO) TPBCL
| IDE | Localidad/ municipio | Departamento | Categoría (del 1 al 7) | Número de líneas en servicio |
| 1 | Municipio aa | Depto aa | Categoría aa | ## |
| 2 | Municipio bb | Depto bb | Categoría bb | ## |
| … | … | … | … | ## |
| … | … | … | … | ## |
| … | … | … | … | ## |
| n | Municipio xxx | Depto cc | Categoría xxx | ## |
| Total población objetivo (universo) | ## | |||
-- Para el servicio de TPBCLE: Está constituida por las líneas en servicio contabilizadas por región al último día del mes inmediatamente anterior al inicio del trabajo de campo de la medición correspondiente, discriminadas según su uso en los segmentos residenciales y no-residencial, por cada prestador del servicio. Dichas líneas deberán tener una permanencia mínima con el prestador de servicios de tres (3) meses y corresponder a aquellas desde las cuales en los últimos tres (3) meses se hayan realizado llamadas a teléfonos fijos a municipios adyacentes o vecinos de un mismo departamento.
En el segmento no-residencial se debe contabilizar el número de usuarios no-residenciales por cada prestador de servicios, tomando como base de la población solamente un número telefónico de identificación por usuario no-residencial. Para esta categoría se deberá considerar los Nit únicos por empresa, con el número telefónico principal.
Para realizar el cálculo y distribución de la muestra de cada prestador de servicios por región, los prestadores del servicio TPBCLE deberán proveer a la Comisión, el tamaño de la población contabilizada por región, al último día del mes inmediatamente anterior al inicio del trabajo de campo de la medición correspondiente, discriminadas según su uso en los segmentos residencial y no-residencial, por cada prestador del servicio. Dichas líneas deberán tener una permanencia mínima con el prestador de servicios de tres (3) meses y corresponder a aquellas desde las cuales en los últimos tres (3) meses se hayan realizado llamadas a teléfonos fijos a municipios adyacentes o vecinos de un mismo departamento. La información de la población objetivo (universo) deberá ser presentada en Excel, de acuerdo al siguiente formato.
Población Objetivo (universo) TPBCLE
| IDE | Localidad/ municipio | Departamento | Región según proyecto resolución | Segmento (residencial y no residencial) | Número de líneas en servicio |
| 1 | Municipio aa | Depto aa | Región aa | Segmento aa | ## |
| 2 | Municipio bb | Depto bb | Región aa | Segmento aa | ## |
| … | … | … | ## | ||
| … | … | … | ## | ||
| … | … | … | ## | ||
| n | Municipio xxx | Depto cc | Región aa | Segmento aa | ## |
| Total población objetivo (universo) | ## | ||||
1.2. Población Operativa o Marco de Muestreo.
-- Para el servicio de TPBCL: Corresponde al listado en medio magnético (Excel) de los usuarios del servicio TPBCL provista por los prestadores de este servicio, según las siguientes definiciones:
–Elemento de Muestreo TPBCL: Usuarios de los segmentos residencial, discriminado por estrato socioeconómico, y no-residencial, contactados a partir del listado de líneas en servicio contabilizadas al último día del mes inmediatamente anterior al inicio del trabajo de campo de la medición correspondiente. Los usuarios a contactar tendrán el servicio TPBCL con permanencia mínima con el prestador de servicios de tres (3) meses.
–Unidad de Muestreo TPBCL: Números telefónicos de contacto de los elementos de muestreo.
Los prestadores de servicios de TPBCL, deberán suministrar a la CRC, además del tamaño de la población, el marco de muestreo. El representante legal del proveedor de servicios, deberá certificar la veracidad de la información suministrada y manifestar bajo la gravedad de juramento que el marco de muestreo aplicado cumple con las siguientes características:
Primera Característica: Tamaño del Marco de Muestreo TPBCL
El tamaño del marco de muestreo debe considerar una relación de 1 a 15 con respecto al tamaño y distribución de la muestra correspondiente al prestador del servicio TPBCL, según lo establecido en los puntos 1.4 y 1.6 del Apéndice 1: “Diseño Muestral” de la presente resolución. En caso de que la población objetivo sea menor a esta relación el prestador de servicios deberá entregar la totalidad de la población.
| n muestra | n marco de muestreo a enviar a la CRC |
| n | n * 15 |
Esta determinación de la cantidad de registros que conforman el marco muestral considera históricos de tasas de incidencia como: tasa de contactos requeridos para obtener una encuesta efectiva y tasa de no respuesta.
Segunda Característica: Selección de las Unidades del Marco de Muestreo TPBCL
Dado que un muestreo probabilístico requiere garantizar que todas las unidades de la muestra tengan una probabilidad de ser seleccionadas distinta de cero y considerando que la empresa investigadora sólo controla la última etapa del muestreo, es menester que los prestadores de servicios de TPBCL bajo estudio, garanticen la utilización de un muestreo aleatorio simple en la selección del marco de muestreo (listado de usuarios) que entregarán a la CRC, para la medición del NSU del servicio TPBCL.
La selección deberá realizarse utilizando el método conocido como “coordinado negativo” que consiste en realizar n ensayos con una distribución de probabilidad uniforme (0,1), asignar estos números a cada uno de los elementos del universo, ordenar los elementos respecto a los valores aleatorios y considerar como muestra los elementos correspondientes a los n (tamaño de muestra dentro del segmento) valores aleatorios más pequeños.
Tercera Característica: Estructura del listado de usuarios a entregar TPBCL
La estructura del listado en Excel correspondiente al marco de muestreo del usuario de TPBCL debe incluir los siguientes campos:
| Números de abonados en servicio (número telefónico incluido el indicativo) | Categoría (del 1 al 6 para segmento residencial y 7 para el segmento no residencial) | Municipio (localidad) | Departamento |
| #### | |||
| #### | |||
| . . . | |||
| #### | |||
-- Para el servicio de TPBCLE: Corresponde al listado en medio magnético (Excel) de los usuarios residenciales y no-residenciales del servicio TPBCLE provista por los prestadores de este servicio, según las siguientes definiciones.
– Elemento de muestreo TPBCLE: Usuarios de los segmentos residenciales y no-residenciales, contactados a partir del listado de líneas en servicio contabilizadas al último día del mes inmediatamente anterior al inicio del trabajo de campo de la medición correspondiente. Los usuarios a contactar tendrán el servicio TPBCL con permanencia mínima con el prestador de servicios de tres (3) meses y en los últimos seis (6) meses haber realizado llamadas a teléfonos fijos a municipios adyacentes o vecinos de un mismo departamento.
–Unidad de Muestreo TPBCLE: Las unidades muestrales son los números telefónicos de contacto de los elementos de muestreo del servicio de TPBCLE.
Los prestadores de servicios de TPBCLE deberán suministrar a la CRC, además del tamaño de la población, el marco de muestreo. El representante legal del proveedor de servicios deberá certificar la veracidad de la información suministrada y manifestar bajo la gravedad de juramento que el marco de muestreo aplicado cumple con las siguientes características:
Primera Característica: Tamaño del Marco de Muestreo TPBCLE
El tamaño del marco de muestreo debe considerar una relación de 1 a 15 con respecto al tamaño y distribución de la muestra correspondiente al prestador del servicio TPBCLE según lo establecido en los puntos 1.4 y 1.6 del Apéndice 1: “Diseño Muestral” de la presente resolución. En caso de que la población objetivo sea menor a esta relación el prestador de servicios deberá entregar la totalidad de la población.
| n muestra | n marco de muestreo a enviar a la CRC |
| n | n * 15 |
Esta determinación de la cantidad de registros que conforman el marco muestral considera históricos de tasas de incidencia como: tasa de contactos requeridos para obtener una encuesta efectiva y tasa de no respuesta.
Segunda Característica: Selección de las Unidades del Marco de Muestreo TPBCLE
Dado que un muestreo probabilístico requiere garantizar que todas las unidades de la muestra tengan una probabilidad distinta de cero de ser seleccionadas y considerando que la empresa investigadora solo controla la última etapa del muestreo, es menester que los prestadores de servicios bajo estudio garanticen la utilización de un muestreo aleatorio simple en la selección del marco de muestreo (listado de usuarios) que entregarán a la CRC para la medición del NSU del servicio TPBCLE.
La selección deberá realizarse utilizando el método conocido como “coordinado negativo” que consiste en realizar n ensayos con una distribución de probabilidad uniforme (0,1), asignar estos números a cada uno de los elementos del universo, ordenar los elementos respecto a los valores aleatorios y considerar como muestra los elementos correspondientes a los n (tamaño de muestra dentro del segmento) valores aleatorios más pequeños.
Tercera Característica: Estructura de la base de datos a entregar TPBCLE
La estructura del listado en Excel correspondiente al marco de muestreo del usuario de TPBCLE debe incluir los siguientes campos
| Números de abonados en servicio desde los cuales se han realizado llamadas a teléfonos fijos a municipios adyacentes o vecinos de un mismo departamento (número telefónico incluido el indicativo) | Segmento (residencial y no residencial) | Municipio (localidad) | Departamento | Región |
| #### | ||||
| #### | ||||
| . . . | ||||
| #### | ||||
1.3. Período de referencia de calificación por parte del usuario:
-- Para el servicio de TPBCL: Los usuarios que participarán en el estudio evaluarán el servicio de TPBCL según su experiencia con el prestador del servicio en los últimos seis (6) meses; sin importar la frecuencia de uso que haga del servicio. En caso de que el usuario tenga una permanencia entre tres (3) y menos de seis (6) meses, evaluará el servicio de acuerdo al tiempo que lleve haciendo uso de este. Es importante indicar que la línea en servicio a través de la cual se contacte al usuario de TPBCL debe llevar como mínimo tres (3) meses de permanencia con el prestador de servicios.
-- Para el servicio de TPBCLE: Los usuarios que participarán en el estudio evaluarán el servicio de TPBCLE según su experiencia con este en los últimos seis (6) meses, sin importar la frecuencia de uso que haga del servicio. En caso de que el usuario tenga una permanencia entre tres (3) y menos de seis (6) meses, evaluará el servicio de acuerdo al tiempo que lleve haciendo uso de este. Es importante indicar que la línea en servicio a través de la cual se contacte al usuario TPBCLE debe llevar como mínimo tres (3) meses de permanencia con el prestador de servicios.
1.4. Tamaño de muestra
-- Para el servicio de TPBCL: Se debe calcular el número de encuestas por prestador del servicio de TPBCL en cada departamento donde este haga presencia, aplicando la siguiente ecuación, la cual garantiza por departamento una confiabilidad del 95% y un error relativo de muestreo del 5%.

-- Para el servicio de TPBCLE: Se debe calcular el número de encuestas por prestador del servicio de TPBCLE en cada región donde este haga presencia, aplicando la siguiente ecuación, la cual garantiza por región una confiabilidad del 95% y un error relativo de muestreo del 5%.

1.5. Método de Muestreo
-- Para el servicio de TPBCL: El muestreo por prestador del servicio de TPBCL en cada departamento donde este haga presencia será probabilístico estratificado con afijación proporcional a las siete (7) categorías identificadas en la población objetivo, donde, 1 a 6, son las categorías correspondientes a los estratos residenciales y 7 es la categoría correspondiente al segmento no residencial.
-- Para el servicio de TPBCLE: El muestreo por prestador del servicio TPBCLE en cada región donde este haga presencia será probabilístico estratificado con afijación proporcional a los segmentos residenciales y no residencial.
La asignación de la región se hará de acuerdo con la presencia del prestador del servicio de TPBCLE con base en la siguiente tabla:
| Región Caribe | Región Occidente | Región Oriente |
| Atlántico | Antioquia | Amazonas |
| Bolívar | Caldas | Arauca |
| Cesar | Cauca | Bogotá D. C. |
| Córdoba | Chocó | Boyacá |
| Guajira | Nariño | Caquetá |
| Magdalena | Putumayo | Casanare |
| San Andrés y Providencia | Quindío | Cundinamarca |
| Sucre | Risaralda | Guainía |
| Valle del Cauca | Guaviare | |
| Huila | ||
| Meta | ||
| Norte de Santander | ||
| Santander | ||
| Tolima | ||
| Vaupés | ||
| Vichada | ||
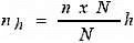
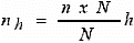
1.6. Distribución de la muestra
-- Para el servicio de TPBCL: El número total de entrevistas por departamento (n) se debe distribuir proporcionalmente según la categoría al que pertenece (estrato del 1 al 6 para segmento residencial y 7 para el segmento no-residencial), según el número de líneas en servicio contabilizadas al último día del mes inmediatamente anterior al inicio del trabajo de campo de la medición correspondiente. Dichas líneas deberán tener una permanencia mínima con el prestador de servicios de tres (3) meses.
![]()
Donde:
nh= Número de entrevistas por departamento en la categoría h. Este resultado deberá redondearse al entero más cercano.
n= Número total de encuestas a realizar en el departamento.
Nh= Número de líneas en servicio para la categoría h en el departamento para el mes inmediatamente anterior a la fecha de la medición y desde las cuales en los últimos seis (6) meses se hayan realizado llamadas locales.
N= Número total de líneas en servicio de todas las categorías en el departamento para el mes inmediatamente anterior a la fecha de la medición y desde las cuales en los últimos seis (6) meses se hayan realizado llamadas locales.
h = Corresponde a cada una de las categorías que comprenden los segmentos residenciales y no-residencial, de la siguiente manera: 1 al 6, son las categorías (estratos socioeconómicos) correspondientes al segmento residencial. 7 es la categoría correspondiente al segmento no-residencial.
Después de realizada la distribución en cada departamento por categoría, deberá hacerse un ajuste a la misma para que se efectúen por lo menos catorce (14) entrevistas en cada una de estas, asegurando así que la muestra estadística sea representativa.
Este ajuste deberá realizarse siempre y cuando el prestador tenga más de catorce (14) líneas en servicio en determinada categoría. Si dicho número de líneas en servicio es menor, deberá contactar a todos los usuarios de esta categoría, siendo efectivas solo aquellas encuestas de usuarios que puedan ser contactados y, además, acepten responder la encuesta. Adicionalmente, se deberá intentar el contacto por lo menos en tres (3) oportunidades.
Para mayor claridad véase el siguiente ejemplo:
| DEPARTAMENTO | TPBCL: LÍNEAS EN SERVICIO AL MES INMEDIATAMENTE ANTERIOR DE LA MEDICIÓN | |||||||
| TOTAL | Estrato 1 | Estrato 2 | Estrato 3 | Estrato 4 | Estrato 5 | Estrato 6 | Estrato 7(No-residencial) | |
| Departamento 1 | 4.092 | 593 | 790 | 1.185 | 89 | 12 | 711 | 711 |
| Departamento 2 | 24.449 | 2.509 | 566 | 18.822 | 1.505 | 627 | 175 | 245 |
| Departamento 3 | 2.898 | 424 | 126 | 849 | 339 | 141 | 509 | 509 |
| DEPARTAMENTO | TPBCL: PROPORCIÓN DE LÍNEAS EN SERVICIO AL MES INMEDIATAMENTE ANTERIOR DE LA MEDICIÓN | |||||||
| TOTAL | Estrato 1 | Estrato 2 | Estrato 3 | Estrato 4 | Estrato 5 | Estrato 6 | Estrato 7(No-residencial) | |
| Departamento 1 | 100% | 14% | 19% | 29% | 2% | 0% | 17% | 17% |
| Departamento 2 | 100% | 10% | 2% | 77% | 6% | 3% | 1% | 1% |
| Departamento 3 | 100% | 15% | 4% | 29% | 12% | 5% | 18% | 18% |
| DEPARTAMENTO | TPBCL: DISTRIBUCIÓN DE LA MUESTRA | |||||||
| TOTAL | Estrato 1 | Estrato 2 | Estrato 3 | Estrato 4 | Estrato 5 | Estrato 6 | Estrato 7(No-residencial) | |
| Departamento1 | 351 | 51 | 68 | 102 | 8 | 1 | 61 | 61 |
| Departamento 2 | 378 | 39 | 9 | 291 | 23 | 10 | 3 | 4 |
| Departamento 3 | 339 | 50 | 15 | 99 | 40 | 17 | 60 | 60 |
| DEPARTAMENTO | TPBCL: DISTRIBUCIÓN AJUSTADA DE LA MUESTRA -MUESTRA A REALIZAR- | |||||||
| TOTAL | Estrato 1 | Estrato 2 | Estrato 3 | Estrato 4 | Estrato 5 | Estrato 6 | Estrato 7(No-residencial) | |
| Departamento1 | 369 | 51 | 68 | 102 | 14** | 12* | 61 | 61 |
| Departamento 2 | 409 | 39 | 14** | 291 | 23 | 14** | 14** | 14** |
| Departamento 3 | 341 | 50 | 15 | 99 | 40 | 17 | 60 | 60 |
(*) Para este caso, el número de encuestas deberá ser doce (12), porque el número de líneas en servicio es inferior a 14.
(**) Para este caso, el número de encuestas deberá ser catorce (14), porque el número de líneas en servicio es superior a 14.
-- Para el servicio de TPBCLE: El número total de entrevistas por región (n) se debe distribuir proporcionalmente según el segmento al que pertenezca residencial y no-residencial, según el número de líneas en servicio contabilizadas por región al último día del mes inmediatamente anterior al inicio del trabajo de campo de la medición correspondiente. Dichas líneas deberán tener una permanencia mínima con el prestador de servicios de tres (3) meses y en los últimos tres (3) meses haber realizado llamadas a teléfonos fijos a municipios adyacentes o vecinos de un mismo departamento.
![]()
Para el caso particular de la fórmula anterior se tiene que:
nh= Número de entrevistas por región en la categoría h. Este resultado deberá redondearse al entero más cercano.
n= Número total de encuestas a realizar en la región.
Nh=Número de líneas locales de la categoría h desde las cuales en los últimos seis (6) meses se hayan realizado llamadas a usuarios de municipios adyacentes, dentro del mismo departamento.
N= Número total de líneas locales de todas las categorías desde las cuales en los últimos seis (6) meses se hayan realizado llamadas a usuarios de municipios adyacentes, dentro del mismo departamento.
h =Segmento residencial y no-residencial
Después de realizada la distribución en cada región por el segmento residencial y no-residencial, deberá hacerse un ajuste a la misma para que se realicen por lo menos catorce (14) entrevistas en cada uno de los segmentos, asegurando así que la muestra estadística sea representativa.
Este ajuste deberá realizarse siempre y cuando el prestador tenga más de catorce (14) líneas en servicio en determinado segmento, si dicho número de líneas en servicio es menor, deberá contactar a todos los usuarios de este segmento, siendo efectivas solo aquellas encuestas de usuarios que puedan ser contactados y, además, acepten responderlas. Adicionalmente, se deberá intentar el contacto por lo menos en tres (3) oportunidades.
Para mayor claridad véase el siguiente ejemplo:
| REGIÓN | TPBCLE: LÍNEAS EN SERVICIO AL MES INMEDIATAMENTE ANTERIOR DESDE DONDE SE HA REALIZADO LLAMADAS A MUNICIPIOS ADYACENTES DEL MISMO DEPARTAMENTO | ||
| TOTAL | Residencial | No-residencial | |
| CARIBE | 940 | 150 | 790 |
| ORIENTE | 1.658 | 750 | 908 |
| OCCIDENTE | 176 | 12 | 164 |
| REGIÓN | TPBCLE: PROPORCIÓN DE LÍNEAS EN SERVICIO AL MES INMEDIATAMENTE ANTERIOR DESDE DONDE SE HA REALIZADO LLAMADAS A MUNICIPIOS ADYACENTES DEL MISMO DEPARTAMENTO | ||
| TOTAL | Residencial | No-residencial | |
| CARIBE | 100% | 16% | 84% |
| ORIENTE | 100% | 45% | 55% |
| OCCIDENTE | 100% | 7% | 93% |
| REGIÓN | TPBCLE: DISTRIBUCIÓN DE LA MUESTRA | ||
| TOTAL | Residencial | No-residencial | |
| CARIBE | 273 | 44 | 229 |
| ORIENTE | 312 | 141 | 171 |
| OCCIDENTE | 121 | 8 | 113 |
| REGIÓN | TPBCLE: DISTRIBUCIÓN AJUSTADA DE LA MUESTRA | ||
| TOTAL | Residencial | No-residencial | |
| CARIBE | 273 | 44 | 229 |
| ORIENTE | 312 | 141 | 171 |
| OCCIDENTE | 125 | 12 * | 113 |
(*) Para este caso, el número de encuestas deberá ser doce (12), porque el número de líneas en servicio es inferior a 14.
1.7. Selección de la Muestra
-- Para el servicio de TPBCL: Las líneas en servicio que deben integrar la muestra serán seleccionadas en forma aleatoria del marco de muestreo (listado de la población operativa) provisto por los prestadores que suministran el servicio de TPBCL. Para tal fin, la información entregada por el prestador de servicio debe ser la siguiente: listado de líneas en servicio contabilizadas al último día del mes inmediatamente anterior al inicio del trabajo de campo de la medición correspondiente. Dichas líneas en servicio deberán tener una permanencia mínima con el prestador de servicios de tres (3) meses. El listado contendrá únicamente los números de abonado en servicio (número telefónico), la localidad y el departamento donde está instalado y el estrato al que pertenece (del 1 al 6 para segmento residencial y 7 para el segmento no-residencial). Para esta última categoría se deberá considerar los Nit únicos por empresa, con el número telefónico principal.
-- Para el servicio de TPBCLE: La selección de las líneas en servicio que deben integrar la muestra, serán seleccionadas en forma aleatoria del marco de muestreo (listado de la población operativa) provisto por los prestadores que suministran el servicio de TPBCLE. Para tal fin, la información entregada por el prestador de servicio debe ser la siguiente: listado con el número de líneas en servicio contabilizadas por región al último día del mes inmediatamente anterior al inicio del trabajo de campo de la medición correspondiente. Dichas líneas deberán tener una permanencia mínima con el prestador de servicios de tres (3) meses y en los últimos tres (3) meses haber realizado llamadas a teléfonos fijos a municipios adyacentes o vecinos de un mismo departamento. El listado contendrá únicamente los números de abonado en servicio (número telefónico), la localidad y departamento donde está instalado y el estrato al que pertenece (del 1 al 6 para segmento residencial y 7 para el segmento no-residencial). Para esta última categoría se deberá considerar los Nit únicos por empresa, con el número telefónico principal.
Apéndice 2: “Recolección de Información”.
2.1. Técnica de recolección
-- Para el servicio de TPBCL: Se debe utilizar la técnica de encuesta telefónica con cuestionario estructurado. Se deben instaurar los procedimientos y controles necesarios para lograr la calidad y efectividad requeridas.
-- Para el servicio de TPBCLE: Se debe utilizar la técnica de encuestas telefónica con cuestionario estructurado. Se deben instaurar los procedimientos y controles necesarios para lograr la calidad y efectividad requeridas.
2.2. Instrumentos de recolección de información
-- Para el servicio de TPBCL: Se deben aplicar dos cuestionarios: Uno para el servicio de TPBCL del segmento residencial y otro para el segmento no-residencial.
-- Para el servicio de TPBCLE: Se deben aplicar dos cuestionarios: Uno para el servicio de TPBCLE del segmento residencial y otro para el segmento no-residencial.
2.3. Usuarios que participan en la medición
-- Para el servicio de TPBCL: Las personas que integrarán la muestra deben pertenecer a la población objetivo de este servicio y tener las siguientes características:
Segmento residencial. Se debe aplicar el cuestionario del servicio de TPBCL del segmento residencial, a hombres o mujeres entre los 18 y 60 años, responsables del servicio de telefonía fija local en el hogar; persona que además de utilizar el servicio de TPBCL cuente con conocimiento sobre los aspectos evaluados en la encuesta.
Segmento no-residencial. Se debe aplicar el cuestionario del servicio de TPBCL del segmento no-residencial exclusivamente a la persona responsable del manejo del servicio de telefonía fija local en la empresa; persona encargada de los canales de comunicación con el prestador del servicio, y que cuente con conocimientos sobre los aspectos evaluados en la encuesta.
-- Para el servicio de TPBCLE: Las personas que integrarán la muestra deberán pertenecer a la población objetivo de este servicio y tener las siguientes características:
Segmento residencial. Se debe aplicar el cuestionario del servicio de TPBCLE del segmento residencial, a hombres o mujeres entre los 18 y 60 años, responsables del servicio de telefonía fija local extendida en el hogar; persona que además de utilizar el servicio de TPBCLE cuente con conocimiento sobre los aspectos evaluados en la encuesta.
Segmento no-residencial. Se debe aplicar el cuestionario del servicio de TPBCLE del segmento no-residencial exclusivamente a la persona responsable del manejo del servicio de telefonía fija local extendida en la empresa; la persona encargada de los canales de comunicación con el prestador del servicio y que cuente con conocimientos sobre los aspectos evaluados en la encuesta.
2.4. Auditoría de calidad
Para la captura de la información se deberá hacer uso de herramientas o software que garantice: (i) la selección aleatoria de las líneas, (ii) el registro directo de las respuestas dadas por el entrevistado, (iii) la grabación de la llamada, (iv) la posibilidad de realizar auditorías de manera permanente y anónima al personal que realiza las encuestas y (v) evaluar la calidad de la información registrada. La información capturada deberá conservarse seis (6) meses después de la fecha de entrega de resultados.
Apéndice 3: “Obtención del Indicador NSU”
3.1. Procedimiento para el cálculo del NSU del servicio TPBCL
Para obtener el NSU de los servicios de TPBCL se debe llevar a cabo el siguiente procedimiento:
Primer Paso: Conversión de la escala TPBCL
La conversión de las respuestas dadas por todos los usuarios de TPBCL de la escala cualitativa a la escala cuantitativa se realizará de la siguiente manera:
Cuadro 1
Equivalencias de escalas
| Escala cualitativa | Valor asignado en escala cuantitativa (Xij) |
| Muy Bueno | 100 |
| Bueno | 75 |
| Regular | 50 |
| Malo | 25 |
| Muy Malo | 0 |
| No sabe / No responde | 99 o valor perdido (Ci) |
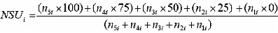
Segundo Paso: Obtención del NSU TPBCL para cada atributo
El valor del NSU TPBCL (calificación promedio) por atributo se obtiene con la siguiente expresión:
![]()
Donde:
NSUi Nivel de satisfacción TPBCL del i-ésimo atributo.
n5i: Cantidad de usuarios TPBCL que calificaron “Muy Bueno” en el atributo i-ésimo.
n4i: Cantidad de usuarios TPBCL que calificaron “Bueno” en el atributo i-ésimo.
n3i: Cantidad de usuarios TPBCL que calificaron “Regular” en el atributo i-ésimo.
n2i: Cantidad de usuarios TPBCL que calificaron “Malo” en el atributo i-ésimo.
n1i: Cantidad de usuarios TPBCL que calificaron “Muy Malo” en el atributo i-ésimo.
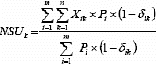
Tercer Paso: Cálculo del NSU TPBCL de cada usuario
El valor del NSU TPBCL para cada usuario se obtendrá a través de la siguiente fórmula:

Donde,
NSUk Nivel de satisfacción del k-ésimo usuario del servicio TPBCL.
Xik Calificación entre 0 y 100 dada en el atributo i-ésimo por el usuario k-ésimo.
Pi Valor del ponderador asociado al i-ésimo atributo.
N Cantidad total de usuarios entrevistados del servicio TPBCL
M Cantidad de atributos TPBCL
ik Constante numérica que toma valores entre 0 y 1, para las respuestas dadas en el i-ésimo atributo, por el k-ésimo usuario.
Para la obtención de los (
ik):
Se define un delta (
ik): como una variable binaria o dicotómica que toma los valores:
![]()
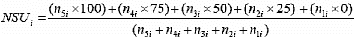
Cuarto Paso: Obtención del NSU TPBCL para cada categoría
Luego de calculado el NSU TPBCL por usuario (NSUk) se obtiene el NSU de cada categoría (NSUcategoríaTPBCL) de la siguiente manera:
![]()
Donde,
NSU categoría TPBCL Nivel de satisfacción del usuario TPBCL por categoría h en cada departamento
NSUk Nivel de satisfacción obtenido para cada usuario TPBCL correspondiente a la categoría h en cada departamento
nh Cantidad total de usuarios TPBCL entrevistados en la categoría h en cada departamento
h {1, 2, 3, 4, 5, 6, 7}, donde, 1 a 6, son las categorías correspondientes a los estratos residenciales del 1 al 6 respectivamente.
7 es la categoría correspondiente al segmento no-residencial
k Usuarios TPBCL entrevistado
Quinto paso: Obtención del NSU TPBCL por departamento
El NSU por departamento para TPBCL se obtiene así:

Donde,
NSU departamento TPBCL= Nivel de satisfacción del usuario TPBCL por departamento
NSUcategoríaNivel de satisfacción del usuario TPBCLE por categoría h en cada departamento
Wh Relación entre el número de líneas en servicio para la categoría h respecto al total de líneas en servicio por departamento (Nh/N).
N Número de líneas TBPCL en servicio del departamento (según población objetivo)
Nh Número de líneas TPBCL en servicio en la categoría en cada departamento (según población objetivo)
h {1, 2, 3, 4, 5, 6, 7}, donde, 1 a 6, son las categorías correspondientes a los estratos residenciales del 1 al 6 respectivamente. 7 es la categoría correspondiente al segmento no-residencial
Sexto paso: Obtención del NSU TPBCL Global (total prestador de servicios)
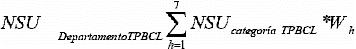
El NSU global (total prestador de servicios) para TPBCL se obtiene así:
![]()
Donde,
NSU global TPBCL Nivel de satisfacción del usuario TPBCL global por prestador de servicios
NSU departamento TPBCL Nivel de satisfacción del usuario TPBCL por departamento
Wd Relación entre el número de líneas en servicio para el departamento d respecto al total de líneas en servicio del prestador de servicios (Nd/N).
Nd Número de líneas TBPCL en servicio en cada departamento d (según población objetivo)
N Número de líneas TBPCL en servicio del prestador de servicios en toda el área de cobertura (según población objetivo)
d Departamentos donde el prestador de servicios tiene cobertura del servicio TBPCL
3.1.1. Cálculo de la Varianza TPBCL
3.1.1.1. Cálculo de la Varianza TPBCL por categoría
![]()
Donde,
S2categoríaTPBCL Varianza TBPCL de la categoría h en cada departamento
NSUk Nivel de satisfacción obtenido para cada usuario TPBCL correspondiente a la categoría h en cada departamento
NSUsegmento TPBCL Nivel de satisfacción del usuario TPBCL por cada categoría h en cada departamento
nh Cantidad total de usuarios TPBCL entrevistados en cada categoría h en cada departamento
i Usuarios TPBCL entrevistados en cada categoría en cada departamento
h {1, 2, 3, 4, 5, 6, 7}, donde, 1 a 6, son las categorías correspondientes a los estratos residenciales del 1 al 6 respectivamente.
7 es la categoría correspondiente al segmento no-residencial
3.1.1.2 Cálculo de la Varianza TPBCL por departamento
![]()
Donde,
Sdepartamento Varianza TPBCL del departamento d.
NSUk Nivel de satisfacción obtenido para cada usuario TPBCL correspondiente al departamento d
NSU departamento TPBCL Nivel de satisfacción del usuario por cada departamento d.
Nd Cantidad total de usuarios entrevistados en cada departamento d.
d Departamentos donde el prestador de servicios tiene cobertura
3.1.1.3 Cálculo de la Varianza TPBCL Global (Total Prestador de servicios)
![]()
Donde,
SglobalTPBCL Varianza TBPCL global (total prestador de servicios)
NSUk Nivel de satisfacción obtenido para cada usuario del prestador de servicios TPBCL
NSU global TPBCL Nivel de satisfacción del usuario global del prestador de servicios TPBCL
nk Cantidad total de usuarios entrevistados del prestador de servicios TPBCL
k Usuarios TPBCL entrevistados del prestador de servicios
3.1.1.4. Cálculo de margen de error real
3.1.14.1Cálculo de margen de error real TPBCL por categoría
-- Se estima el error muestral real TPBCL para cada categoría, utilizando un nivel de confianza del 95% (Z
/2 = 1,96)
![]()
Donde,
ecatgoríaTPBCL Margen de error real TPBCL por categoría h
ScategoríaTPBCL Desviación estándar del NSU categoría h TPBCL
Z
/2 Nivel de confianza a un 95%.
nh Número total de encuestas realizadas en la categoría h
Nh Total líneas TPBCL en servicio de la categoría h (según población objetivo)
h {1, 2, 3, 4, 5, 6, 7}, donde, 1 a 6, son las categorías correspondientes a los estratos residenciales del 1 al 6, respectivamente.
7 es la categoría correspondiente al segmento no-residencial
3.1.1.4.2. Cálculo de margen de error real TPBCL por departamento
Se estima el error muestral real TPBCL para cada departamento, utilizando un nivel de confianza del 95% (Z
/2 = 1,96)
![]()
Donde,
edepartamentoTPBCL Margen de error real TPBCL por departamento d
SdepartamentoTPBCL Desviación estándar del NSU departamento d TPBCL
Z
/2 Nivel de confianza a un 95%.
nd Número total de encuestas realizadas en el departamento d
Nd Total líneas TPBCL en servicio del departamento d (según población objetivo)
d Departamentos donde el prestador de servicios tiene cobertura
3.1.1.4.3. Cálculo de margen de error real TPBCL Global (total prestador de servicios)
![]()
Donde,
eGlobalTPBCLMargen de error real TPBCL Global (total prestador de servicios)
SGlobalTPBCL Desviación estándar del NSU TPBCL global (total) prestador de servicios
Z
/2 Nivel de confianza a un 95%.
n Número total de encuestas realizadas para cada prestador de servicios TPBCL
N Total líneas en servicio de cada prestador de servicios TBPCL (según población objetivo)
3.2. Procedimiento para el cálculo del NSU de los servicios TPBCLE
Para obtener el NSU de los servicios de TPBCLE se debe llevar a cabo el siguiente procedimiento:
Primer Paso: Conversión de la escala TPBCLE
La conversión de las respuestas dadas por todos los usuarios de TPBCLE de la escala cualitativa a la escala cuantitativa se realizará de la siguiente manera:
Cuadro 1
Equivalencias de escalas
| Escala cualitativa | Valor asignado en escala cuantitativa (Xij) |
| Muy Bueno | 100 |
| Bueno | 75 |
| Regular | 50 |
| Malo | 25 |
| Muy Malo | 0 |
| No sabe / No responde | 99 o valor perdido (Ci) |
Segundo Paso: Obtención del NSU TPBCLE para cada atributo
El valor del NSU TPBCLE (calificación promedio) por atributo se obtiene con la siguiente expresión:
![]()
Donde:
NSUi Nivel de satisfacción TPBCLE del i-ésimo atributo.
n5i: Cantidad de usuarios TPBCLE que calificaron “Muy Bueno” en el atributo i-ésimo.
n4i: Cantidad de usuarios TPBCLE que calificaron “Bueno” en el atributo i-ésimo.
n3i: Cantidad de usuarios TPBCLE que calificaron “Regular” en el atributo i-ésimo.
n2i: Cantidad de usuarios TPBCLE que calificaron “Malo” en el atributo i-ésimo.
n1i: Cantidad de usuarios TPBCLE que calificaron “Muy Malo” en el atributo i-ésimo.
Tercer Paso: Cálculo del NSU TPBCLE de cada usuario
El valor del NSU TPBCLE para cada usuario se obtendrá a través de la siguiente fórmula:

Donde,
NSUk =Nivel de satisfacción del k-ésimo usuario del servicio TPBCLE.
Xik=Calificación entre 0 y 100 dada en el atributo i-ésimo por el usuario k-ésimo.
Pi=Valor del ponderador asociado al i-ésimo atributo.
n=Cantidad total de usuarios entrevistados del servicio TPBCLE
m=Cantidad de atributos TPBCLE
ik=Constante numérica que toma valores entre 0 y 1, para las respuestas dadas en el i-ésimo atributo, por el k-ésimo usuario.
Para la obtención de los (
ik):
Se define un delta (
ik): como una variable binaria o dicotómica que toma los valores:
![]()
Cuarto Paso: Obtención del NSU TPBCLE para cada segmento
Luego de calculado el NSU por usuario (NSUk) se obtiene el NSU de cada segmento (NSUsegmentoTPBCLE) de la siguiente manera:
![]()
Donde,
NSUsegmento TPBCLE Nivel de satisfacción del usuario TPBCLE por segmento s en cada región
NSUk Nivel de satisfacción obtenido para cada usuario TPBCLE correspondiente a cada segmento en cada región
ns Cantidad total de usuarios TPBCLE entrevistados en el segmento s en cada región
s Segmento residencial y no residencial
k Usuarios TPBCLE entrevistados
Quinto Paso: Obtención del NSU TPBCLE para cada región
El NSU por región para TPBCLE se obtiene así:
![]()
Donde,
NSU región TPBCLE Nivel de satisfacción del usuario TPBCLE por región
NSUsegmento TPBCLE Nivel de satisfacción del usuario TPBCLE por segmento en cada región
Ws Relación entre el número de líneas en servicio para segmento s respecto al total de líneas en servicio del prestador de servicios (Ns/N)
N Número de líneas en servicio de la región (según población objetivo)
Ns Número de líneas en servicio para el segmento s en cada región (según población objetivo)
r Región donde el prestador de servicios tiene cobertura del servicio TPBCLE
Sexto paso: Obtención del NSU TPBCLE Global (total prestador de servicios)
El NSU global (total prestador de servicios) para TPBCLE se obtiene así:
![]()
Donde,
NSU global TPBCLE Nivel de satisfacción del usuario TPBCLE global por prestador de servicios
NSU región TPBCLE Nivel de satisfacción del usuario TPBCLE por región
Wr Relación entre el número de líneas en servicio para región r respecto al total de líneas en servicio del prestador de servicios (Nr/N).
Nr Número de líneas en servicio en cada región r (según población objetivo)
N Número de líneas en servicio del prestador de servicios en toda el área de cobertura (según población objetivo)
k Usuarios TPBCLE entrevistados
3.2.1. Cálculo de la Varianza TPBCLE
3.2.1.1. Cálculo de la Varianza TPBCLE por segmento
![]()
Donde,
Ssegmento TPBCLE Varianza TBPCLE del segmento s en cada región
NSUk Nivel de satisfacción obtenido para cada usuario TPBCLE correspondiente al segmento s en cada región
NSUsegmento TPBCLE Nivel de satisfacción del usuario TPBCL por cada segmento s en cada región
Ns Cantidad total de usuarios TPBCL entrevistados en cada segmento s en cada región
i Usuarios TPBCL entrevistados en cada segmento s en cada región
s Segmento residencial y no-residencial
3.2.1.2. Cálculo de la Varianza TPBCLE por región
![]()
Donde,
S2regiónTPBCLE Varianza TBPCLE de la región r
NSUk Nivel de satisfacción obtenido para cada usuario TPBCLE correspondiente a la región s
NSURegiónTPBCLE Nivel de satisfacción del usuario TPBCLE por cada región r
nr Cantidad total de usuarios TPBCLE entrevistados en cada región r
r Regiones donde el prestador de servicios tiene cobertura del servicio TPBCLE
3.2.1.3. Cálculo de la Varianza TPBCLE Global (Total Prestador de servicios)
![]()
Donde,
SglobalTPBCLE Varianza TBPCLE global (total prestador de servicios)
NSUk Nivel de satisfacción obtenido para cada usuario del prestador de servicios TPBCLE.
NSU global TPBCLE Nivel de satisfacción del usuario TPBCLE global del prestador de servicios
nk Cantidad total de usuarios entrevistados del prestador de servicios TPBCLE
k Usuarios TPBCLE entrevistados del prestador de servicios
3.2.2. Cálculo de margen de error real
3.2.2.1 Cálculo de margen de error real TPBCLE por segmento
-- Se estima el error muestral real TPBCLE para cada segmento, utilizando un nivel de confianza del 95% (Z
/2 = 1,96)
![]()
Donde,
esegmento TPBCLE Margen de error real TPBCLE por segmento s
Ssegmento TPBCLE Desviación estándar del NSU TPCBLE del segmento s
Z
/2 Nivel de confianza a un 95%.
ns Número total de encuestas realizadas en el segmento s
Ns Total líneas en servicio del segmento s (según población objetivo)
S Segmento residencial y no residencial
3.2.2.2. Cálculo de margen de error real TPBCLE por región
Se estima el error muestral real TPBCLE para cada región, utilizando un nivel de confianza del 95% (Zá/2 = 1,96)
![]()
Donde,
eregiónTPBCE Margen de error real TPBCLE por región r
SregiónTPBCEDesviación estándar del NSU TPBCLE región r
Z
/2 Nivel de confianza a un 95%.
nr Número total de encuestas realizadas en la región r
Nr Total líneas TPBCLE en servicio de la región r (según población objetivo)
R Regiones donde el prestador de servicios tiene cobertura
3.2.2.3. Cálculo de margen de error real TPBCLE Global (total)
![]()
Donde,
eGlobalTPBCLE Margen de error real TPBCLE Global (total)
SGlobalTPBCE Desviación estándar del NSU TPBCLE global (total) prestador de servicios
Z
/2 Nivel de confianza a un 95%.
N Número total de encuestas realizadas para cada prestador de servicios TPBCL
N Total líneas TPBCLE en servicio de la región r (según población objetivo)
3.3. Ponderadores para el cálculo del NSU del servicio de TPBCL
<CUADROS NO INCLUIDOS. VER ORIGINALES EN D.O. No. D.O. No. 47.618 de 9 de febrero de 2010; EN LA CARPETA “ANEXOS” O EN LA PÁGINA WEB www.imprenta.gov.co>
3.4. Ponderadores para el cálculo del NSU del servicio de TPBCLE.
<CUADROS NO INCLUIDOS. VER ORIGINALES EN D.O. No. D.O. No. 47.618 de 9 de febrero de 2010; EN LA CARPETA “ANEXOS” O EN LA PÁGINA WEB www.imprenta.gov.co>
Apéndice 4 “Presentación de Resultados”.
4.1. Presentación de los resultados del servicio de TPBCL
4.1.1 TPBCL: NSU por atributos
<CUADROS NO INCLUIDOS. VER ORIGINALES EN D.O. No. D.O. No. 47.618 de 9 de febrero de 2010; EN LA CARPETA “ANEXOS” O EN LA PÁGINA WEB www.imprenta.gov.co>
(*): En el proceso denominado “Tarifas, Servicio Prepago y Facturación” se debe considerar o bien los ponderadores de servicio prepago o bien los del servicio con factura, según aplica para el caso del usuario entrevistado.
4.1.2. TPBCL: NSU por Departamento
<CUADROS NO INCLUIDOS. VER ORIGINALES EN D.O. No. D.O. No. 47.618 de 9 de febrero de 2010; EN LA CARPETA “ANEXOS” O EN LA PÁGINA WEB www.imprenta.gov.co>
4.1.3. TPBCL: NSU global (total)
<CUADRO NO INCLUIDO. VER ORIGINAL EN D.O. No. 47.618 de 9 de febrero de 2010; EN LA CARPETA “ANEXOS” O EN LA PÁGINA WEB www.imprenta.gov.co>
4.1.4. TPBCL: Peticiones presentadas por los usuarios
<CUADRO NO INCLUIDO. VER ORIGINAL EN D.O. No. 47.618 de 9 de febrero de 2010; EN LA CARPETA “ANEXOS” O EN LA PÁGINA WEB www.imprenta.gov.co>
(*) Los porcentajes totales de cada petición se calculan como promedio simple de todos los entrevistados de los segmentos residenciales (discriminado por estratos) y no-residencial.
4.1.5. TPBCL: Daños presentados por los usuarios
<CUADRO NO INCLUIDO. VER ORIGINAL EN D.O. No. 47.618 de 9 de febrero de 2010; EN LA CARPETA “ANEXOS” O EN LA PÁGINA WEB www.imprenta.gov.co>
(*) Los porcentajes totales de cada daño se calculan como promedio simple de todos los entrevistados de los segmentos residenciales (discriminado por estratos) y no-residencial.
4.1.6. TPBCL: Quejas o recursos presentados por los usuarios
<CUADRO NO INCLUIDO. VER ORIGINAL EN D.O. No. 47.618 de 9 de febrero de 2010; EN LA CARPETA “ANEXOS” O EN LA PÁGINA WEB www.imprenta.gov.co>
(*) Los porcentajes totales de cada queja o recurso se calculan como promedio simple de todos los entrevistados de los segmentos residenciales (discriminado por estratos) y no-residencial.
4.1.7. TPBCL: Calificación de los canales de atención
<CUADRO NO INCLUIDO. VER ORIGINAL EN D.O. No. 47.618 de 9 de febrero de 2010; EN LA CARPETA “ANEXOS” O EN LA PÁGINA WEB www.imprenta.gov.co>
(*) La calificación total de cada canal se calcula como promedio simple de todos los entrevistados de los segmentos residenciales (discriminado por estratos) y no-residencial.
4.2. Presentación de resultados del servicio de TPBCLE
4.2.1. TPBCLE: NSU por atributos
<CUADRO NO INCLUIDO. VER ORIGINAL EN D.O. No. 47.618 de 9 de febrero de 2010; EN LA CARPETA “ANEXOS” O EN LA PÁGINA WEB www.imprenta.gov.co>
(*): En el proceso denominado “Tarifas, Servicio Prepago y Facturación” se debe considerar o bien los ponderadores de servicio prepago o bien los del servicio con factura, según aplica para el caso del usuario entrevistado.
4.2.2. TPBCLE: NSU por regiones TPBCLE
<CUADRO NO INCLUIDO. VER ORIGINAL EN D.O. No. 47.618 de 9 de febrero de 2010; EN LA CARPETA “ANEXOS” O EN LA PÁGINA WEB www.imprenta.gov.co>
4.2.3. TPBCLE: NSU global (total prestador de servicios)
<CUADRO NO INCLUIDO. VER ORIGINAL EN D.O. No. 47.618 de 9 de febrero de 2010; EN LA CARPETA “ANEXOS” O EN LA PÁGINA WEB www.imprenta.gov.co>
4.2.4. TPBCLE: Quejas o recursos presentados por los usuarios
<CUADRO NO INCLUIDO. VER ORIGINAL EN D.O. No. 47.618 de 9 de febrero de 2010; EN LA CARPETA “ANEXOS” O EN LA PÁGINA WEB www.imprenta.gov.co>
4.2.5. TPBCLE: Calificación de los canales de atención
<CUADRO NO INCLUIDO. VER ORIGINAL EN D.O. No. 47.618 de 9 de febrero de 2010; EN LA CARPETA “ANEXOS” O EN LA PÁGINA WEB www.imprenta.gov.co>
Nota: Se deberán reportar los resultados obtenidos para el consolidado y para los departamentos en los que el prestador del servicio tenga cobertura.
* * *
1. Resolución CRT 2091 del 2 de abril de 2009 modificatoria del Anexo 2 de la Resolución CRT 2030 de 2008, incorporando la metodología establecida en la Resolución CRT 1361 de 2005 para la medición del indicador del NSU de los servicios de TPBCL y TPBCLE. Resolución CRT 2147 del 3 de julio de 2009, mediante la cual la Comisión complementó el artículo 8 de la Resolución CRT 2030 de 2008, precisando el plazo para la remisión a la Superintendencia de Servicios Públicos Domiciliarios de la información sobre el indicador de Calificación de Riesgo –CR–. Resolución CRC 2179 del 26 de agosto de 2009, por la cual se suspendió la aplicación, medición y el reporte del indicador de Calificación de Riesgo –CR– de que trata la Resolución 2030 de 2008, con ocasión de la promulgación de la Ley 1341 del 30 de julio de 2009.
2. Publicada en el Diario Oficial número 47.426.
3. Cuyo objetivo era establecer el efecto de la Ley 1341 de 2009, respecto de la regulación que define el Esquema de Control de Gestión y Resultados para las empresas de TPBC.
4. El objeto de este proyecto es la revisión y actualización de la Metodología de NSU de los Servicios de TPBCL y TPBCLE, prevista en el Anexo 2 de la Resolución CRT 2030 de 2008, modificada por la Resolución CRT 2091 de 2009.