RESOLUCIÓN 1 DE 2012
(febrero 16)
Diario Oficial No. 48.350 de 21 de febrero de 2012
FONDO DE GARANTÍAS DE INSTITUCIONES FINANCIERAS
<NOTAS DE VIGENCIA: Resolución derogada por el artículo 22 de la Resolución 3 de 2012>
Por medio de la cual se actualizan, modifican y unifican las normas expedidas por la Junta Directiva del Fondo de Garantías de Instituciones Financieras relativas al Seguro de Depósitos.
LA JUNTA DIRECTIVA DEL FONDO DE GARANTÍAS DE INSTITUCIONES FINANCIERAS,
en uso de sus facultades legales, en especial de las que le confieren el literal d) del numeral 2 del artículo 316, el literal c) del numeral 2 del artículo 318 y el artículo 323 del Estatuto Orgánico del Sistema Financiero,
CONSIDERANDO:
1. Que de conformidad con lo dispuesto en el literal d) del numeral 2 del artículo 316 del Estatuto Orgánico del Sistema Financiero, una de las funciones que debe cumplir el Fondo de Garantías de Instituciones Financieras es la de organizar y desarrollar el Sistema de Seguro de Depósitos.
2. Que el literal c) del numeral 2 del artículo 318 del Estatuto Orgánico del Sistema Financiero, en concordancia con el artículo 323 de dicho estatuto, atribuyó a la Junta Directiva, como máximo órgano de dirección y administración del Fondo, la potestad de regular el seguro de depósitos con observancia de los principios allí enunciados; y que, dentro de esa potestad, y en la forma prevista en la ley y los estatutos, la Junta puede dejar a otras instancias del Fondo la adopción de detalles operativos necesarios para llevar a la práctica las regulaciones que expida la Junta.
3. Que teniendo en cuenta la facultad descrita en el numeral anterior, el Fondo diseñó un sistema para la inscripción de instituciones financieras en línea, con el fin de hacer más ágil y eficiente el mencionado proceso de inscripción, lo cual se incluyó en la Resolución número 004 de 2011, expedida por la Junta Directiva de esta entidad.
4. Que teniendo en cuenta que el Decreto 4687 de 2011, regula el depósito electrónico ofrecido por los establecimientos de crédito, el cual constituye un nuevo instrumento que permite la realización de transacciones electrónicas que tienen lugar como resultado de los avances tecnológicos, con el cual se promueve el acceso y la profundización de los servicios financieros, es necesario que el mismo esté amparado por el Seguro de Depósitos administrado por el Fondo.
5. Que considerando lo expuesto en los numerales anteriores, y con el propósito de adecuar las regulaciones a las experiencias del Fondo y a la evolución del sistema financiero, la Junta Directiva del Fondo considera necesario expedir una resolución, en la que se incluya el Depósito Electrónico como una acreencia amparada para efectos del Seguro de Depósitos.
RESUELVE:
DISPOSICIONES GENERALES.
ARTÍCULO 1o. OBJETO. <Resolución derogada por el artículo 22 de la Resolución 3 de 2012> El seguro de depósitos del Fondo de Garantías de Instituciones Financieras tiene por objeto garantizar, en los términos de esta resolución, las acreencias a cargo de las instituciones financieras inscritas en el Fondo, que sean objeto de liquidación forzosa administrativa.
Sin perjuicio de lo dispuesto en el parágrafo 2o del artículo 17 de esta resolución, para hacer efectivo el amparo de las acreencias aseguradas a cargo de las instituciones financieras inscritas, el Fondo podrá:
1. A partir de la toma de posesión para liquidar, y una vez ejecutoriada la decisión del Fondo sobre los montos que se van a pagar, cancelar un monto equivalente al valor del seguro de depósitos respecto de las acreencias vigentes a la fecha de la toma de posesión para liquidar, pago que tendrá efectos liberatorios respecto del seguro de depósitos en el monto por el cual se realice, o
2. Pagar el seguro de depósitos propiamente dicho una vez quede en firme la orden de restitución y pago de las reclamaciones aceptadas, expedida por el liquidador.
ARTÍCULO 2o. INSTITUCIONES FINANCIERAS QUE DEBEN INSCRIBIRSE. <Resolución derogada por el artículo 22 de la Resolución 3 de 2012> Sin perjuicio de lo dispuesto en las normas especiales que establezcan un régimen particular de seguro de depósitos para algunas instituciones financieras, deben inscribirse en el Fondo de Garantías de Instituciones Financieras, los establecimientos bancarios, las corporaciones financieras y las compañías de financiamiento.
ARTÍCULO 3o. PROCEDIMIENTO DE INSCRIPCIÓN. <Resolución derogada por el artículo 22 de la Resolución 3 de 2012> Las instituciones financieras indicadas en el artículo anterior, que obtengan la autorización de constitución de la Superintendencia Financiera de Colombia, deberán solicitar su inscripción conforme al siguiente procedimiento:
1o. Presentar ante el Fondo, a través de la página web dispuesta para el efecto, solicitud de inscripción, adjuntando en formato digitalizado la carta de solicitud de inscripción, suscrita por el representante legal o por el apoderado designado para el efecto y el documento en el que se acredite la calidad con la que actúa el solicitante.
Una vez recibida la solicitud, el Fondo deberá solicitar a la Superintendencia Financiera de Colombia el certificado de existencia y representación legal expedido por dicha entidad o copia de la resolución o del documento mediante el cual la mencionada Superintendencia autorice su constitución.
2o. Pagar, por una sola vez, una cuota equivalente al 0.115 por mil del capital suscrito que tenga la institución al momento de su constitución, de acuerdo con la autorización impartida por la Superintendencia Financiera de Colombia.
3o. Los derechos de inscripción deberán pagarse a través del Servicio Electrónico del Banco de la República (Sebra), acreditando la cuenta única de depósito número 62090014 portafolio 0 (cero) a nombre del Fondo de Garantías de Instituciones Financieras, dentro de los treinta (30) días calendario siguientes a la fecha en que el Fondo le comunique por medio electrónico sobre la autorización de inscripción que haya impartido.
Las instituciones financieras que no cuenten directamente con el Servicio Electrónico del Banco de la República (Sebra), podrán utilizar intermediarios, para lo cual estos deben cumplir con todos los requisitos aplicables para tales efectos.
4o. Acreditado el pago de los derechos correspondientes, el Fondo comunicará por medio electrónico a la institución financiera sobre la inscripción.
PARÁGRAFO 1o. El Fondo informará a la Superintendencia Financiera de Colombia sobre las inscripciones de instituciones, que autorice.
PARÁGRAFO 2o. Las instituciones financieras inscritas en el Fondo, que obtengan autorización de conversión para desarrollar el objeto social de cualquier otra clase de institución que deba estar inscrita conforme a la presente resolución, no requerirán adelantar gestión de inscripción adicional.
ARTÍCULO 4o. ACREENCIAS AMPARADAS. <Resolución derogada por el artículo 22 de la Resolución 3 de 2012> Salvo disposición legal en contrario, deben tomar obligatoriamente el seguro de depósitos los establecimientos bancarios, las corporaciones financieras, y las compañías de financiamiento inscritas o que llegaren a inscribirse en el Fondo de Garantías de Instituciones Financieras.
Únicamente las acreencias, que se mencionan a continuación, constituidas en establecimientos bancarios, corporaciones financieras, y compañías de financiamiento, están amparadas por el seguro de depósitos:
a) Depósitos en Cuenta Corriente
b) Depósitos Simples
c) Certificados de Depósitos a Término (CDT)
d) Depósitos de Ahorro
e) Cuentas de Ahorro Especial
f) Bonos Hipotecarios
g) Depósitos Especiales
h) Servicios Bancarios de Recaudo
i) Depósitos Electrónicos
PARÁGRAFO. Las acreencias a que hace referencia este artículo, comprenden las acreencias en moneda legal y extranjera que se posean en Colombia, de acuerdo con la reglamentación cambiaria vigente expedida por la Junta Directiva del Banco de la República.
PRIMAS.
ARTÍCULO 5o. PRIMAS A CARGO DE LAS INSTITUCIONES FINANCIERAS. <Resolución derogada por el artículo 22 de la Resolución 3 de 2012> Los establecimientos bancarios, las corporaciones financieras y las compañías de financiamiento inscritas deberán pagar una prima anual por seguro de depósitos, correspondiente al cero punto tres por ciento (0.3%) anual del monto de los pasivos, a cargo de cada institución, relacionados en el artículo 4o de la presente resolución.
PARÁGRAFO 1o. Las primas establecidas en el presente artículo se liquidarán con base en el promedio simple de las cifras del balance de cierre de los meses, que comprenden el trimestre calendario objeto de pago. La forma de pago será por trimestre calendario vencido y deberán ser entregadas al Fondo dentro de los tres (3) últimos días hábiles, de los primeros quince (15) días corrientes de los meses de mayo, agosto, noviembre y febrero. Si el pago se hace el último día hábil, este deberá ser realizado a más tardar a las 5 p. m.
PARÁGRAFO 2o. Entiéndese por trimestre calendario aquel que termina en marzo, junio, septiembre y diciembre de cada año.
PARÁGRAFO 3o. Las instituciones calcularán el valor de la prima que deben pagar, con base en sus balances transmitidos a la Superintendencia Financiera de Colombia, correspondientes al trimestre objeto de pago de la prima, disponibles al momento del pago.
En caso de que la entidad no tenga balances transmitidos a la Superintendencia Financiera de Colombia, al momento del pago, deberá calcular y pagar el valor de la prima, con base en los balances que tenga disponibles a dicha fecha.
Lo anterior, sin perjuicio de los intereses moratorios que podrá cobrar el Fondo, por las diferencias que se originen entre las cifras de los balances transmitidos y disponibles, de acuerdo con lo dispuesto en el artículo 11 de esta resolución.
PARÁGRAFO 4o. Los pagos realizados el último día hábil de los primeros quince (15) días calendario de los meses de mayo, agosto, noviembre y febrero después de las 5 p. m., se entenderán realizados el día hábil siguiente y, por lo tanto, darán lugar al cobro de intereses moratorios por parte del Fondo, en aplicación de lo dispuesto en el artículo 11 de esta resolución.
PARÁGRAFO 5o. Si la cifra que resulta del cálculo de la prima de que trata el parágrafo 3o del presente artículo incluye decimales, el valor por pagar deberá aproximarse a un número entero, así: (i) si el primer decimal es igual o superior a cinco (5) se deberá aproximar al número entero superior siguiente, y (ii) si el primer decimal es inferior a cinco (5), se deberá aproximar al número entero inmediatamente anterior.
ARTÍCULO 6o. SISTEMA DE DEVOLUCIÓN DE PRIMAS Y PRIMA ADICIONAL.<Resolución derogada por el artículo 22 de la Resolución 3 de 2012>
1. La devolución de primas o el cobro de prima adicional, anual, se hará con base en la calificación que realice el Fondo de cada uno de los establecimientos bancarios, las corporaciones financieras y las compañías de financiamiento, para cuyo efecto se usarán los indicadores financieros que se establecen a continuación, que permitan evaluar el riesgo para el sistema de seguro de depósitos de dichas instituciones:

Dicha calificación se otorgará en un rango de uno a cinco (1 a 5) siendo uno (1) la más baja posible y cinco (5) la más alta posible.
La calificación total de la entidad está determinada por la suma ponderada de la calificación promedio mensual de cada uno de los indicadores.
![]()
Donde
| Dij = | Calificación del mes i del indicador |
| Wjj = | Ponderación del indicador j |
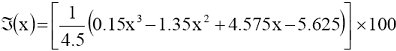
2. El porcentaje de devolución que se aplicará al valor total de las primas pagadas, durante el año inmediatamente anterior a aquel en el cual se realiza la respectiva devolución, se calculará aplicando la siguiente fórmula:

Donde
| x = | Calificación total |
| Porcentaje de devolución dada la calificación X | |
Las ponderaciones y rangos que operan para la calificación de la entidad, se detallan en el cuadro anterior del numeral 1 del presente artículo.
El porcentaje, expresado en valor absoluto, se deberá multiplicar por el monto de la prima recaudada en el año objeto de la devolución.
Tanto la calificación total como el porcentaje de devolución se aproximarán a dos decimales.
3. Si el porcentaje resultante de aplicar la fórmula descrita en el numeral anterior resulta negativo, el Fondo lo aplicará, expresado en valor absoluto, al monto total de las primas pagadas durante el año anterior; el valor que arroje dicha operación corresponderá al monto adicional que por concepto de prima de seguro de depósitos deberá pagar la respectiva entidad.
Tanto la calificación total como el porcentaje de cobro de prima adicional se aproximarán a dos decimales.
PARÁGRAFO 1o. La aplicación de los indicadores, de que trata el numeral 1 de este artículo, para evaluar el comportamiento de la situación financiera de las instituciones inscritas, se hará con base en los balances transmitidos por las instituciones a la Superintendencia Financiera de Colombia correspondientes al año objeto de devolución o cobro de prima adicional, disponibles en el momento de la calificación.
PARÁGRAFO 2o. En caso de que para una institución financiera no sea procedente el cálculo de alguno de los indicadores, por razón de la inexistencia de alguna de las variables utilizadas en dicho cálculo, el procedimiento para obtener la calificación total se hará distribuyendo la ponderación del indicador faltante entre los indicadores existentes, en forma proporcional a la ponderación asignada a cada uno de ellos.
PARÁGRAFO 3o. Cuando se trate de instituciones que hayan sido autorizadas por la Superintendencia Financiera de Colombia y se hayan inscrito en el Fondo durante el período objeto de examen y, por lo tanto, no se puedan calcular los indicadores de los doce (12) meses, la calificación total de la institución estará determinada por la suma ponderada de la calificación promedio de los meses evaluados, multiplicada por un factor resultante de la división de 1 sobre la cantidad de meses evaluados.
Para el caso de los establecimientos bancarios, las corporaciones financieras y las compañías de financiamiento:

Donde
| Dij = | Calificación del mes i del indicador |
| Wjj = | Ponderación del indicador jn |
| n = | Número de meses evaluados |
PARÁGRAFO 4o. En el caso de que a una institución financiera le falten datos de un indicador, debido a la falta de aprobación de los estados financieros por parte de la Superintendencia Financiera, el Fondo aplicará la calificación más baja posible y con base en esta calculará el monto de prima adicional.
ARTÍCULO 7o. REQUISITOS PARA DETERMINAR LA DEVOLUCIÓN O COBRO ADICIONAL DE PRIMAS POR SEGURO DE DEPÓSITOS. <Resolución derogada por el artículo 22 de la Resolución 3 de 2012>
A. Requisitos para la Devolución de Primas
Para que una institución financiera sea acreedora de devolución de primas por seguro de depósitos, se requiere que la respectiva institución cumpla con tres requisitos:
1. Que en ningún momento del período anual objeto de devolución haya contado con capital garantía otorgado por el Fondo de Garantías de Instituciones Financieras.
2. Que en ningún mes del período anual objeto de devolución haya registrado una relación de solvencia inferior a 9,00%, calculada según lo dispuesto en el artículo 2.1.1.1.2 del Decreto 2555 de 2010 o las normas que lo modifiquen o sustituyan.
3. Que la calificación total obtenida por la institución financiera sea mayor a 3,00.
Cumplidos los anteriores requisitos, el monto de la devolución será equivalente al valor que resulte de aplicar un porcentaje de devolución entre 0,01% y 50,00% al valor pagado por la respectiva institución durante el año inmediatamente anterior, por concepto de prima de seguro de depósitos.
B. Requisitos para el Cobro Adicional de Primas por Seguro de Depósitos
Toda institución financiera está sujeta al cobro adicional de primas por seguro de depósitos cuando la calificación total obtenida por la institución sea menor a 3,00.
Cumplido el anterior requisito, el monto de la prima adicional será equivalente al resultante de aplicar un porcentaje entre 0,01% y 50,00% al valor pagado por la respectiva institución durante el año inmediatamente anterior por concepto de prima de seguro de depósitos.
El cobro de la prima adicional opera aun en el evento en que la institución financiera haya registrado una relación de solvencia superior a 9,00% en el período anual objeto de devolución, o aun cuando no haya contado con capital garantía otorgado por el Fondo de Garantías de Instituciones Financieras.
ARTÍCULO 8o. OPORTUNIDAD PARA LA DEVOLUCIÓN DE PRIMAS Y PAGO DE LA PRIMA ADICIONAL. <Resolución derogada por el artículo 22 de la Resolución 3 de 2012> La devolución de primas establecida en los numerales 1 y 2 del artículo 6o de la presente resolución la hará el Fondo de Garantías de Instituciones Financieras a más tardar el 15 de abril de cada año.
El pago de la prima adicional establecida en el numeral 3 del artículo 6o, deberá efectuarse por parte de las instituciones financieras, dentro de los tres (3) últimos días hábiles de los primeros quince (15) días corrientes del mes de abril de cada año. Si el pago se hace el último día hábil, este deberá ser realizado a más tardar a las 5 p. m.
PARÁGRAFO. En caso de retardo en el pago de la prima adicional la respectiva institución financiera pagará al Fondo intereses de mora liquidados a la tasa más alta permitida para las operaciones comerciales y vigente a la fecha en que se realice efectivamente el pago.
Los pagos que se realicen el último día hábil de los primeros quince (15) días calendario del mes de abril después de las 5 p. m., se entenderán realizados el día hábil siguiente y, por lo tanto, darán lugar al cobro de intereses moratorios por parte del Fondo, en aplicación de lo dispuesto en el artículo 11 de esta resolución.
ARTÍCULO 9o. PAGO DE LA PRIMA. <Resolución derogada por el artículo 22 de la Resolución 3 de 2012> Las instituciones financieras pagarán las primas y las primas adicionales, cuando estas últimas procedan, a través del Servicio Electrónico del Banco de la República (Sebra), acreditando la cuenta única de depósito número 62090022 portafolio 1 (uno) a nombre del Fondo de Garantías de Instituciones Financieras.
En el campo de descripción de transferencia registrar los siguientes datos: nombre de la entidad responsable del pago, número del NIT de la entidad responsable del pago y concepto: “pago prima” o “pago prima adicional”, según corresponda.
Las instituciones financieras que no cuenten directamente con el Servicio Electrónico del Banco de la República (Sebra), podrán utilizar intermediarios, para lo cual estos deben cumplir con todos los requisitos aplicables para tales efectos.
ARTÍCULO 10. RESTITUCIÓN DE PAGOS EN EXCESO. <Resolución derogada por el artículo 22 de la Resolución 3 de 2012> En caso de que una institución financiera efectúe un pago en exceso de lo que le corresponde pagar por prima de seguro de depósitos, podrá solicitar por escrito y obtener del Fondo, la devolución de las sumas correspondientes. Con tal fin, la institución respectiva deberá probar el error y la base correcta de la liquidación, mediante certificación suscrita por el representante legal y el revisor fiscal. La solicitud de restitución deberá presentarse dentro del año siguiente a la fecha en que se produjo el pago en exceso.
Si la respectiva institución no solicita la devolución y la suma pagada en exceso supera el cero punto uno por ciento (0.1%) del valor que le correspondería pagar a la institución financiera, durante el trimestre objeto de pago, el Fondo enviará una comunicación al representante legal de la institución, informándole sobre el pago en exceso e indicándole que para efectos que proceda la devolución deberá solicitarla por escrito y adjuntar la certificación suscrita por el representante legal y el revisor fiscal, sobre la base correcta de la liquidación.
El Fondo girará las sumas pagadas en exceso, previa deducción de los gravámenes tributarios y costos transaccionales a que haya lugar y que se originen en el hecho de la restitución de los pagos en exceso.
No habrá lugar al pago de intereses por parte del Fondo a favor de la institución que por cualquier causa haya cancelado una suma mayor a la que le corresponde, salvo que se pruebe que el pago en exceso haya sido causado por un error del Fondo, caso en el cual se causarán intereses a partir de la fecha en que la institución financiera hubiera realizado el pago. En cualquier caso, las devoluciones se realizarán una vez compensadas las obligaciones de plazo vencido a cargo de la respectiva institución financiera.
ARTÍCULO 11. RETARDO EN EL PAGO DE LA PRIMA. <Resolución derogada por el artículo 22 de la Resolución 3 de 2012> Cuando una institución financiera retarde el pago de las primas a su cargo, conforme a la presente resolución, se causarán a favor del Fondo intereses de mora liquidados a la tasa más alta permitida para las operaciones comerciales y vigente a la fecha en que se realice efectivamente el pago.
PARÁGRAFO. La institución financiera deberá pagar al Fondo intereses de mora liquidados como lo dispone este artículo, en el evento de que realice un pago por un monto inferior al que corresponde, para lo cual el Fondo podrá realizar el cobro pertinente.
COBERTURA Y PAGO DEL SEGURO DE DEPÓSITOS Y DEL MONTO EQUIVALENTE AL SEGURO DE DEPÓSITOS.
ARTÍCULO 12. VALOR MÁXIMO ASEGURADO. <Resolución derogada por el artículo 22 de la Resolución 3 de 2012> El valor máximo asegurado que reconocerá el Fondo de Garantías de Instituciones Financieras por concepto de seguro de depósitos será de veinte millones de pesos ($20.000.000) m/cte. por persona, en cada institución, independientemente del número de acreencias de las cuales sea titular esa persona, bien sea en forma individual, conjunta o colectiva con otras.
PARÁGRAFO 1o. Cuando dos o más personas sean titulares de una misma acreencia en forma conjunta, el Fondo pagará el seguro de depósitos correspondiente por partes iguales a cada uno de los titulares.
Cuando dos o más personas sean titulares de una misma acreencia en forma colectiva, el Fondo pagará el seguro de depósitos correspondiente a cualquiera de ellos que se presente a reclamarlo, teniendo en cuenta el límite por persona descrito en este artículo. Sin embargo, si se presentan varios o todos los titulares, el Fondo pagará hasta el monto máximo de $20.000.000.00, por persona, al primero que se presente, y si existiere un saldo por acreencia, al siguiente y así sucesivamente.
PARÁGRAFO 2o. Cuando el titular de la acreencia sea una institución administradora de patrimonios autónomos, de mandatos o de encargos fiduciarios, cada patrimonio autónomo, cada mandato o cada encargo fiduciario se considerará individualmente para efectos del reconocimiento del seguro de depósitos. En cualquier caso, los fondos y patrimonios autónomos se tratarán, cada uno, como una sola persona.
ARTÍCULO 13. ALCANCE DE LA COBERTURA. <Resolución derogada por el artículo 22 de la Resolución 3 de 2012> Cuando se trate de acreencias remuneradas, el seguro de depósitos amparará el valor del capital y los intereses corrientes, pero sólo aquellos causados y no pagados a la fecha de expedición de la resolución de toma de posesión para liquidar, todo dentro de los límites establecidos en el artículo 12 de la presente resolución y sobre la base de lo previsto en el artículo 1o de esta resolución.
ARTÍCULO 14. PAGO DEL MONTO EQUIVALENTE Y DEL SEGURO DE DEPÓSITOS. <Resolución derogada por el artículo 22 de la Resolución 3 de 2012> El pago del monto equivalente al seguro de depósitos respecto de las acreencias vigentes a la fecha de la toma de posesión se sujetará a las siguientes reglas:
1. Mediante acto administrativo que se notificará en la forma dispuesta en los artículos 44 y 45 del Código Contencioso Administrativo, el Fondo determinará el monto equivalente al valor del seguro de depósitos de acuerdo con la base de datos definitiva que le entregará la Superintendencia Financiera de Colombia al momento de la toma de posesión para liquidar de la institución inscrita.
2. El pago del monto equivalente al seguro de depósitos lo hará el Fondo previa presentación por parte del acreedor del “Formulario Pago del Seguro de Depósitos”, del Fondo, y diligenciado de acuerdo con las instrucciones que en él se indiquen. El Formulario deberá ser entregado a más tardar dentro de los 5 días hábiles siguientes a la notificación personal o por edicto del acto administrativo al que se refiere el numeral anterior.
3. Al monto equivalente al valor del seguro de depósitos, el Fondo le descontará, previa autorización del acreedor, las deudas exigibles (cartera en mora y/o sobregiro en cuenta corriente) que este tenga con la institución en liquidación. En caso de que el acreedor no autorice dichos descuentos, se le pagará el seguro de depósitos en los términos de los artículos 15 y siguientes de esta resolución.
4. El Fondo podrá pagar el monto equivalente al valor del seguro de depósitos, a más tardar dentro de los veintiséis (26) días hábiles siguientes a la expedición por parte de la Superintendencia Financiera de Colombia de la respectiva resolución de toma de posesión para liquidar de la institución.
5. Cuando no sea posible realizar el pago en el término previsto en el numeral anterior, el Fondo, de acuerdo con lo dispuesto en los artículos 15 y siguientes de esta resolución, cancelará el valor del seguro de depósitos respecto de las acreencias que hayan sido reclamadas oportunamente y reconocidas en la resolución expedida por el liquidador sobre el orden de restitución y pago, una vez esta se encuentre debidamente ejecutoriada.
ARTÍCULO 15. PAGO DEL SEGURO DE DEPÓSITOS. <Resolución derogada por el artículo 22 de la Resolución 3 de 2012> Quien tenga una acreencia amparada no podrá obtener el pago del monto equivalente al seguro de depósitos y deberá seguir el procedimiento descrito en el numeral 2 del artículo 1o y los artículos 16 y siguientes de esta resolución para reclamar el pago del seguro de depósitos, en los siguientes casos:
1o. Cuando el acreedor hubiere interpuesto recursos en contra del acto mediante el cual el Fondo notifique el pago del monto equivalente al valor del seguro de depósitos.
2o. Cuando al acreedor no pueda notificársele ni personalmente ni por edicto del acto por el cual el Fondo determina el monto de las sumas que va a pagar por seguro de depósitos.
3o. Cuando el acreedor, a pesar de ser notificado del acto administrativo, no entregue diligenciado el “Formulario Pago del Seguro de Depósitos”, dentro del término al que se refiere el numeral 2 del artículo 14 de la presente resolución.
4o. Cuando el acreedor aparezca reportado en la “Lista Clinton” o “Lista de Narcotraficantes Específicamente Señalados” (SND List) o en listas de similar naturaleza publicadas por autoridades nacionales y extranjeras.
5o. Cuando la Unidad de Información y Análisis Financiero, UIAF, transmita a las autoridades competentes información del acreedor, que lo vincule, eventualmente, con actividades prohibidas en el marco de la lucha integral contra el lavado de activos, la financiación del terrorismo y las actividades que dan origen a la acción de extinción del dominio.
6o. Cuando el nombre del acreedor o su acreencia no aparezca en la base de datos que entregará la Superintendencia Financiera de Colombia al Fondo, al momento de la toma de posesión para liquidar de la institución financiera inscrita.
7o. Cuando por razón de informaciones inconsistentes o incompletas, o por la naturaleza de los documentos aportados, el Fondo tenga dudas sobre el saldo de la acreencia o sobre la autenticidad de los soportes que el acreedor entregue al Fondo como prueba de su acreencia.
8o. Respecto de los acreedores cuyas acreencias hayan sido objeto de medidas cautelares, pero sólo respecto de aquellas acreencias objeto de la medida cautelar.
9o. Cuando un acreedor no autorice descontar del monto equivalente al valor del seguro de depósitos las deudas exigibles (cartera en mora y/o sobregiro en cuenta corriente), que tenga con la institución en liquidación o que tengan otros deudores con los cuales sea solidario en un título en el que tal solidaridad conste expresamente, en los términos del artículo 14 de la presente resolución.
ARTÍCULO 16. PLAZO PARA RECLAMAR EL PAGO DEL SEGURO DE DEPÓSITOS. <Resolución derogada por el artículo 22 de la Resolución 3 de 2012> La solicitud de pago del seguro de depósitos deberá ser presentada ante el Fondo por los titulares de las acreencias amparadas o por quienes demuestren tener derecho al pago, a más tardar dentro de los 8 meses, contados a partir de la fecha de ejecutoria de la resolución, expedida por la Superintendencia Financiera de Colombia en la que se decrete la toma de posesión para liquidar la institución. Vencido el término señalado sin que se haya presentado la solicitud de pago, se perderá el derecho a reclamar el seguro de depósitos, sin perjuicio de los derechos que correspondan a cada acreedor frente a la liquidación.
ARTÍCULO 17. <Resolución derogada por el artículo 22 de la Resolución 3 de 2012> Para garantizar el trato igualitario a los acreedores y con el fin de evitar que directa o indirectamente estos puedan recibir un pago superior a la suma que les corresponde, el Fondo deberá deducir del monto del seguro de depósitos el porcentaje que este o la Liquidación hubieren pagado respecto de cada acreencia con anterioridad a la reclamación, al pago del monto equivalente al valor del seguro de depósitos o al pago del valor del seguro de depósitos, propiamente dicho.
PARÁGRAFO 1o. Serán causales de suspensión de pago las contempladas en el artículo 323 literal d) del Estatuto Orgánico del Sistema Financiero.
PARÁGRAFO 2o. De conformidad con el literal g) del artículo 323 del Estatuto Orgánico del Sistema Financiero, el Fondo se reserva el derecho de efectuar el pago de las obligaciones a su cargo por concepto de seguro de depósitos mediante el empleo de otros mecanismos diferentes a la entrega de una suma de dinero, que permitan al acreedor recibir por lo menos un monto equivalente al amparo de su acreencia, en las oportunidades y condiciones que determine el Fondo.
ARTÍCULO 18. SUBROGACIÓN A FAVOR DEL FONDO. <Resolución derogada por el artículo 22 de la Resolución 3 de 2012> De conformidad con el numeral 3 del artículo 9.1.3.2.4 del Decreto 2555 de 2010 o las normas que lo modifiquen o sustituyan y el artículo 300 del Estatuto Orgánico del Sistema Financiero, modificado por el artículo 25 de la Ley 510 de 1999, cuando el Fondo de Garantías de Instituciones Financieras pague el seguro de depósitos en las resoluciones de reconocimiento de acreencias a cargo de la institución financiera en liquidación, el liquidador dejará expresa constancia que el Fondo se subroga hasta el valor de los montos pagados, por lo cual tendrá derecho a obtener el pago de las sumas que haya cancelado, con la misma prelación y en las mismas condiciones que los depositantes o ahorradores a los que hizo el pago. El Fondo también se subrogará parcialmente en todas las sumas que hubiere pagado a partir de la toma de posesión a los depositantes y ahorradores de conformidad con el literal h) del artículo 323 del EOSF.
ARTÍCULO 19. PAGO DEL SEGURO DE DEPÓSITOS SIN JUICIO DE SUCESIÓN. <Resolución derogada por el artículo 22 de la Resolución 3 de 2012> El Fondo de Garantías de Instituciones Financieras pagará sin necesidad de juicio de sucesión, dentro del límite al que se refiere el artículo 12 de esta resolución, el valor del seguro de depósitos a quienes puedan aportar prueba sumaria que los acredite como cónyuge, compañero(a) permanente o herederos del beneficiario(a), cuando el valor del mismo no exceda la cuantía a la cual hace referencia el numeral 7 del artículo 127 del Estatuto Orgánico del Sistema Financiero, previa entrega del “Formulario Pago del Seguro de Depósitos”, elaborado por el Fondo de Garantías de Instituciones Financieras, diligenciado de acuerdo con las instrucciones que este imparta y acompañado de los siguientes documentos, según el caso:
a) Copia auténtica del documento de identidad del (los) reclamante (s).
b) Copia auténtica del acta de defunción del (los) titular (es) de la acreencia.
c) Copia auténtica de las pruebas de estado civil que acrediten el grado de parentesco que se pretende hacer valer.
d) Copia auténtica de la partida de matrimonio, si quien reclama es el cónyuge.
e) Copia auténtica del documento que constituya prueba idónea para acreditar la calidad de compañero (a) permanente.
PARÁGRAFO. El beneficio de pago de seguro de depósitos, sin juicio de sucesión, a que se refiere el presente artículo, se aplicará igualmente a aquellos casos en que se distribuyan remanentes de acreencias subrogadas totalmente al Fondo, de conformidad con el régimen vigente antes de la expedición de la Ley 510 de 1999.
ARTÍCULO 20. ACREENCIAS NO AMPARADAS POR EL SEGURO DE DEPÓSITOS. <Resolución derogada por el artículo 22 de la Resolución 3 de 2012> El seguro de depósitos no amparará en ningún caso intereses de mora a cargo de la institución financiera en liquidación ni otorgará derecho a sus beneficiarios para exigir tal clase de intereses al Fondo de Garantías de Instituciones Financieras.
Están excluidas del amparo del seguro de depósitos las acreencias cuyo(s) titular(es) las haya(n) adquirido en pago de pasivos a cargo de la institución financiera en liquidación, no cubiertos por el mencionado seguro.
DISPOSICIONES VARIAS.
ARTÍCULO 21. SEGUIMIENTO. <Resolución derogada por el artículo 22 de la Resolución 3 de 2012> El Fondo de Garantías de Instituciones Financieras organizará un sistema de obtención y análisis continuo de información que le permita evaluar periódicamente el estado y modificación de los riesgos asegurados.
ARTÍCULO 22. VIGENCIA. <Resolución derogada por el artículo 22 de la Resolución 3 de 2012> La presente resolución rige a partir de su publicación y deroga la Resolución 4 de 2011, y las disposiciones que le sean contrarias.
Publíquese y cúmplase.
Dada en Bogotá, D. C., a 16 de febrero de 2012.
Publíquese y cúmplase.
El Presidente,
GERMÁN ARCE ZAPATA.
La Secretaria,
DINA MARÍA OLMOS APONTE.