RESOLUCIÓN 128 DE 2015
(febrero 3)
Diario Oficial No. 49.448 de 9 de marzo de 2015
FONDO NACIONAL DE VIVIENDA
Por la cual se liquidan las Bolsas Nacionales conformadas en cumplimiento de la Resolución 0628 de 2014 del Ministerio de Vivienda, Ciudad y Territorio.
EL DIRECTOR EJECUTIVO DEL FONDO NACIONAL DE VIVIENDA,
en ejercicio de sus facultades legales y de conformidad con lo establecido en el numeral 1 del artículo 3o y el numeral 3 del artículo 8o del Decreto-ley 555 de 2003, el artículo 16 del Decreto 1432 del 5 de julio de 2013, en cumplimiento de la Resolución 0628 de 2014, y
CONSIDERANDO:
Que el Decreto 1432 del 5 de julio de 2013 reglamenta el parágrafo 4o del artículo 68 de la Ley 49 de 1990, adicionado por el artículo 185 de la Ley 1607 de 2012, y define el marco normativo para la implementación del “Programa de Vivienda de Interés Prioritario para Ahorradores”.
Que el artículo 16 del mismo decreto dispone que: “El Ministerio de Vivienda, Ciudad y Territorio definirá los criterios para la distribución y redistribución de los recursos del programa al que hace referencia este decreto en el territorio nacional y Fonvivienda los aplicará. Dentro de los criterios de distribución de recursos se considerará el nivel de desempleo que se presente en las ciudades, departamentos y/o regiones que se tengan en cuenta en la respectiva resolución. En todo caso, el Comité Fiduciario del patrimonio autónomo que se constituya de acuerdo con lo establecido en este decreto revisará la oferta de proyectos recibida en cada región y podrá recomendar al Ministerio de Vivienda, Ciudad y Territorio, la redistribución de los recursos en el territorio nacional, la cual se realizará de acuerdo con los criterios definidos por el mencionado Ministerio, los cuales serán aplicados por Fonvivienda”.
Que en cumplimiento de la citada disposición el Ministerio de Vivienda, Ciudad y Territorio expidió la Resolución 0441 de 2013 mediante la cual se determinan los criterios y coeficientes de distribución de los cupos de recursos, indicando en su artículo 1o lo siguiente: “El Fondo Nacional de Vivienda – Fonvivienda distribuirá los cupos de recursos, para 86.000 subsidios familiares de vivienda, mediante resolución, entre todos los Departamentos del país, teniendo en cuenta los criterios señalados en el artículo 2o de la presente resolución”.
Que la distribución se efectúa mediante cupos de recursos, cada cupo corresponderá como máximo al valor del subsidio familiar de vivienda a que se refiere el artículo 8o del Decreto 1432 de 2013.
Que el Fondo Nacional de Vivienda - Fonvivienda, mediante la Resolución 0510 del 15 de agosto de 2013, realizó la distribución de cupos de recursos de conformidad con los criterios y coeficientes señalados por el Ministerio de Vivienda, Ciudad y Territorio en el artículo 2o de la Resolución 0441 de 2013. A su turno, esta resolución fue modificada por la Resolución 0948 del 14 de noviembre de 2013, en el sentido de realizar una corrección aritmética al número de cupos de recursos asignados consistente en la aproximación al mayor entero más cercano.
Que el Ministerio de Vivienda, Ciudad y Territorio expidió la Resolución 0132 de 2014, “Por la cual se establecen criterios para realizar redistribuciones de cupos de recursos en el marco de programa de Vivienda de Interés Prioritario para Ahorradores – VIPA”, y entre otras disposiciones en el artículo 1o y 2o, le definió a Fonvivienda los lineamientos que debía considerar para la conformación de la Bolsa Nacional I y Bolsa Nacional II.
Que el Fondo Nacional de Vivienda - Fonvivienda, mediante la Resolución 0603 del 27 de marzo de 2014, creó la Bolsa Nacional I, en cumplimiento de lo dispuesto en los numerales 1.1 y 1.4 del artículo 1o de la Resolución 0132 de 2014 del Ministerio de Vivienda, Ciudad y Territorio y la Bolsa Nacional II en cumplimiento de lo dispuesto en el artículo 2o de la citada Resolución 0132 de 2014.
Que el Fondo Nacional de Vivienda – Fonvivienda expidió la Resolución 1893 del siete (7) de octubre de 2014, en cumplimiento de lo señalado en el artículo 5o de la Resolución 0132 de 2014 del Ministerio de Vivienda, Ciudad y Territorio, en el sentido de indicar el resultado de la distribución de cupos de recursos realizado mediante Resolución 0603 de 2014.
Que el Ministerio de Vivienda, Ciudad y Territorio expidió la Resolución 0628 de 2014, “Por la cual se establecen criterios para realizar redistribuciones de cupos de recursos en el marco de programa de Vivienda de Interés Prioritario para Ahorradores – VIPA”, cupos que no se encuentren comprometidos y destinarlos a la selección de proyectos que se encuentren en “listas de espera”, o a la apertura de nuevos procesos de selección.
Que el Fondo Nacional de Vivienda - Fonvivienda, mediante la Resolución 1895 del 8 de octubre de 2014, creó la Bolsa Nacional I y Bolsa Nacional II, en cumplimiento de lo previsto en la Resolución 0628 de 2014 del Ministerio de Vivienda, Ciudad y Territorio.
Que en virtud de lo anterior, una vez aplicados los criterios definidos en los artículos 3o, 4o y 5o de la Resolución 0628 de 2014, se hace necesario dar cumplimiento a lo dispuesto en el artículo 6o de la citada resolución, en aras de liquidar la Bolsa Nacional I y II, fijar los sobrantes, establecer el número de cupos de recursos que corresponden a cada Departamento después de la aplicación de los criterios de redistribución y determinar los porcentajes de cupos de recursos que fueron destinados para Municipios Categorías 4, 5 y 6.
Que en mérito de lo expuesto,
RESUELVE:
ARTÍCULO 1o. LIQUIDACIÓN DE SALDOS DE LOS CUPOS DE RECURSOS OBJETO DE LA REDISTRIBUCIÓN. De acuerdo con lo establecido en el artículo 6o de la Resolución 0628 de 2014, del Ministerio de Vivienda, Ciudad y Territorio y según lo dispuesto en la Resolución 1895 de 2014 del Fondo Nacional de Vivienda, Fonvivienda, existe un saldo de cupos de recursos a liquidar en la Bolsa Nacional I de 14.339 cupos y para la Bolsa Nacional II un total de 5.709 cupos de recursos disponibles.
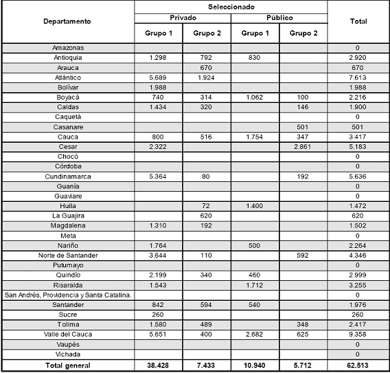
ARTÍCULO 2o. CUPOS DE RECURSOS QUE CORRESPONDEN A CADA DEPARTAMENTO. De acuerdo con lo dispuesto en el artículo 6o de la Resolución 0628 de 2014, del Ministerio de Vivienda, Ciudad y Territorio, el cupo de recursos que corresponde a cada Departamento, en el Programa de Vivienda de Interés Prioritario para Ahorradores, a la fecha de expedición de la presente resolución, es:

ARTÍCULO 3o. CUPOS DE RECURSOS PARA MUNICIPIOS DE CATEGORÍAS 4, 5 Y 6. A la fecha de expedición de la presente resolución, en los municipios categorías 4, 5 y 6 se han seleccionado 13.145 viviendas, que corresponden al 15.3% de las 86.000 viviendas y al 21% de lo actualmente seleccionado.
ARTÍCULO 4o. DISPONIBILIDAD PRESUPUESTAL. La asignación de subsidios familiares de vivienda que se realice de acuerdo con los cupos de recursos indicados en la presente resolución está sujeta, en todo caso, a la disponibilidad presupuestal por parte de Fonvivienda. En consecuencia, la expedición de la presente resolución no genera por sí misma la obligación de asignar subsidios familiares de vivienda de interés prioritario para ahorradores por parte de Fonvivienda.
ARTÍCULO 5o. VIGENCIA. La presente resolución rige a partir de su publicación en el Diario Oficial y deroga la Resolución 1893 de 2014 del Fondo Nacional de Vivienda – Fonvivienda.
Publíquese y cúmplase.
Dada en Bogotá, D. C., a 3 de febrero de 2015.
El Director Ejecutivo del Fondo Nacional de Vivienda,
CARLOS ARIEL CORTÉS MATÉUS.