RESOLUCIÓN 457 DE 2016
(julio 14)
Diario Oficial No. 49.939 de 19 de julio de 2016
INSTITUTO COLOMBIANO PARA LA EVALUACIÓN DE LA EDUCACIÓN
<NOTA DE VIGENCIA: Resolución derogada por el artículo 31 de la Resolución 268 de 2020>
Por la cual se reglamentan las metodologías utilizadas con ocasión del Examen de Estado, Icfes SABER 11 y se dictan otras disposiciones.
LA DIRECTORA GENERAL DEL INSTITUTO COLOMBIANO PARA LA EVALUACIÓN DE LA EDUCACIÓN (ICFES),
en ejercicio de sus atribuciones legales, en especial las conferidas en la Ley 1324 de 2009, el Decreto 5014 de 2009, el Decreto 869 de 2010, el Acuerdo de la Junta Directiva del Icfes número 0023 de 2014, y,
CONSIDERANDO:
Que mediante Acuerdo 23 de 2014, la junta Directiva del Icfes aprobó la estructura y organización del Examen de Estado para la Educación Media Icfes SABER 11 (Desde ahora Examen Icfes SABER 11).
Que relacionado con lo anterior, la Dirección del Icfes expidió las Resoluciones 503 de 2014[1], 540 de 2014[2], 713 de 2014[3] y 920 de 2014[4].
Que la Junta Directiva del Icfes en sesiones del 11 de febrero de 2016 y 4 de marzo de 2016 aprobó algunos cambios al Acuerdo 23 de 2014 con relación al modelo de Rasch, la supresión del puesto de los examinandos y el reporte de las subpruebas, todo lo cual afecta el contenido de algunas de las resoluciones atrás citadas. Los cambios mencionados fueron incluidos en el Acuerdo 02 de 2016.
Que en virtud de los principios de economía y eficiencia administrativa, es conveniente tener todas las disposiciones sobre la estructura, organización del Examen Icfes SABER 11 y metodologías asociadas en una única resolución. Por lo anterior se expedirá un acto administrativo que recoja todas las resoluciones que traten esos temas e incluya algunas metodologías cuya aprobación no dependen de la Junta Directiva pero que son importantes para el examen, como son la metodología de resultados agregados y la metodología de detección de copia.
Que en consecuencia, este nuevo acto administrativo derogará las resoluciones 503 de 2014, 540 de 2014, 713 de 2014 y 920 de 2014, y tendrá las siguientes características: a) Contendrá los cambios ordenados en el Acuerdo 02 de 2016; b) Conservará en su integridad las disposiciones no modificadas de las resoluciones señaladas anteriormente, sin perjuicio de que se realicen cambios formales para conservar la coherencia del documento; y, c) Incluirá las metodologías sobre resultados agregados y de detección de copia.
Que en mérito de lo expuesto,
RESUELVE:
ARTÍCULO 1o. OBJETO. <Resolución derogada por el artículo de la Resolución 268 de 2020> La presente resolución tiene por objeto reglamentar las siguientes metodologías que se generan con ocasión de cada aplicación del Examen Icfes SABER 11 y el examen de Validación del Bachillerato.
I. Metodología de cálculo para la obtención de los resultados individuales;
II. Metodología para la selección de estudiantes con mejores resultados;
III. Metodología de clasificación de resultados de los establecimientos educativos y sus sedes;
IV. Metodología de cálculo para la obtención de los resultados agregados;
V. Metodología de calificación del Examen de Validación del Bachillerato;
VI. Metodología para la detección de copia.
ARTÍCULO 2o. DEFINICIONES. <Resolución derogada por el artículo de la Resolución 268 de 2020> Para efectos de esta resolución, aplíquense las siguientes definiciones:
Examen: Conjunto de pruebas que deben presentar los evaluados, a saber: 1. Matemáticas; 2. Lectura Crítica; 3. Ciencias Naturales; 4. Sociales y Competencias Ciudadanas; 5. Inglés.
Índice Global (IG): Cálculo que permite obtener una medida global de los resultados del estudiante en las cinco (5) pruebas del examen para efectos de seleccionar a los evaluados con mejores resultados y establecer el puntaje global. Corresponde al promedio ponderado de los resultados en las cinco (5) pruebas y se calcula para cada estudiante. Las ponderaciones son de tres (3) para Lectura Crítica, Matemáticas, Ciencias Naturales y Sociales y Ciudadanas, y de uno (1) para Inglés.
Puntaje Global (PG): Corresponde a la calificación oficial del cómputo de las cinco (5) pruebas del Examen de Estado ICFES SABER 11. Se entregará en una escala de cero (0) a quinientos (500).
Teoría de respuesta al ítem (TRI): Corresponde a una familia de modelos estadísticos con los cuales se analizan pruebas e ítems.
Modelo Logístico de Tres (03) Parámetros para calificar (3PL): Modelo estadístico que define que la probabilidad de una respuesta correcta en un ítem particular es función de la habilidad de evaluado, la dificultad del ítem, la discriminación del ítem y la probabilidad de contestar el ítem al azar.
Resultados Individuales: Son los que están destinados a informar a cada uno de los estudiantes evaluados con el Examen, su desempeño en el mismo.
Resultados Institucionales: Son los que se reportan a los establecimientos o sedes educativas y que consolidan los resultados de los estudiantes de dicho establecimiento o sede.
Resultados Agregados: Todos aquellos reportes de resultados que no corresponden a resultados individuales, es decir, que agrupan estudiantes o establecimientos o sedes educativas en función de variables sociodemográficas (municipio, sector, naturaleza, etc.).
Estudiantes de los últimos tres años de grado 11 o 26 del establecimiento o la sede:
Son aquellas personas que han sido registrados en el Sistema de Matrícula Estudiantil de la Educación Básica y Media - Simat del Ministerio de Educación Nacional, en el grado correspondiente, dentro de los seis (06) semestres anteriores al de la aplicación del Examen de la cual se esté haciendo la clasificación, inclusive. Se consideran estudiantes del grado 26 aquellas personas matriculadas en instituciones educativas por ciclos.
RESULTADOS INDIVIDUALES.
ARTÍCULO 3o. RESULTADOS INDIVIDUALES Y METODOLOGÍA DE CÁLCULO. <Resolución derogada por el artículo de la Resolución 268 de 2020> El Examen Icfes SABER 11 producirá los siguientes resultados para cada uno de los evaluados: a) Puntajes en cada una de las cinco (05) pruebas que conforman el examen, a saber: Lectura Crítica (LC), Matemáticas (MA), Ciencias Naturales (CN), Sociales y Ciudadanas (SC) e Inglés (IN); b) Un índice global (IG) que no se mostrará en el reporte entregado al estudiante; c) Un puntaje Global (OG) y; d) Percentil en el que se encuentra el estudiante.
PARÁGRAFO. <Parágrafo modificado por el artículo 2 de la Resolución 470 de 2017. El nuevo texto es el siguiente:> Estarán excluidos de presentar la prueba de inglés los miembros de comunidades indígenas o de grupos étnicos con tradición lingüística propia para quienes su segunda lengua es el castellano.
También estarán excluidas de presentar dicha prueba las personas que por comprobado diagnóstico presenten limitaciones que les dificulte el aprendizaje de los idiomas extranjeros. Esto incluye, pero no está limitado a, personas que presenten alguna condición de discapacidad cognitiva, auditiva o visual, independientemente de si requieren o no interprete.
ARTÍCULO 4o. <Resolución derogada por el artículo de la Resolución 268 de 2020> La metodología para obtener cada tipo de resultado es la siguiente:
Puntaje de las Pruebas: Los puntajes de las pruebas se producirán utilizando el modelo logístico de tres (03) parámetros (3PL) en escalas de cero (0) a cien (100), sin decimales, de maneras que en todas las pruebas el puntaje promedio de los estudiantes evaluados sea cincuenta (50) puntos y desviación diez (10) puntos.
Índice Global (IG): <Ítem modificado por el artículo 1 de la Resolución 161 de 2017. El nuevo texto es el siguiente:> Se calculará como promedio ponderado de los puntajes en las cinco (5) pruebas, sin decimales, usando ponderaciones de uno (01) para Inglés y de tres (03) para el resto de las pruebas, de acuerdo con la siguiente fórmula:
IG = (3*LC + 3*MA + 3*CN + 3*SC + IN)/13, con excepción de lo señalado en el parágrafo 1o del presente artículo.
Este índice global no se incluirá en el reporte individual de los evaluados. Sin embargo, cualquier persona puede calcularlo aplicando la fórmula señalada anteriormente.
Puntaje Global (PG): Se calculará a partir del índice global, multiplicando este por cinco (5) y aproximando el resultado al entero más cercano, aplicando la siguiente fórmula: PG = IG*5. De esta manera, el puntaje global se produce en una escala de cero (0) a quinientos (500), sin decimales.
Percentil: Es cada uno de los 99 valores que divide un conjunto de datos ordenados en 100 partes iguales.
PARÁGRAFO 1o. El índice Global del estudiante que por disposición legal esté eximido de presentar la prueba de Inglés (IN), se calculará como promedio simple de los puntajes en cuatro (04) pruebas, a saber Lectura Crítica (LC), Matemáticas (MA), Ciencias Naturales (CN) y Sociales y Ciudadanas (SC).
No obstante, si ese estudiante decide presentar la prueba y responde más del 50% de sus preguntas, el índice Global se calculará con la misma fórmula general señalada en el literal b) del presente artículo. Si, por el contrario, responde hasta el 50% o menos de las preguntas, su índice global se calculará como lo señala el inciso 1o del presente parágrafo.
PARÁGRAFO 2o. Los resultados del Examen Icfes SABER 11 solo se producirán para los evaluados que asistan a las dos (02) sesiones del examen. Por consiguiente, no se generará ningún resultado a la persona que no asista a todas las sesiones que componen el examen. Tampoco se generarán resultados a las personas a quienes se les anule el examen en el sitio de aplicación por cualquiera de las causales señaladas en las normas respectivas.
PARÁGRAFO 3o. Para efectos de lo señalado en este artículo, se debe asegurar la comparabilidad de los resultados de los estudiantes con la escala usada en el segundo semestre de 2014, momento desde el cual se empezó a aplicar la actual metodología y para el cual la cual el puntaje global promedio de los estudiantes evaluados en cada una de las cinco pruebas fue de 50 puntos con una desviación estándar de 10 puntos.
PARÁGRAFO 4o. Los resultados individuales no se darán a conocer a ninguna entidad pública o privada antes de la fecha oficial de publicación de los mismos.
ARTÍCULO 5o. METODOLOGÍA PARA SELECCIONAR A LOS ESTUDIANTES CON MEJORES RESULTADOS. <Resolución derogada por el artículo de la Resolución 268 de 2020> La selección de los estudiantes con mejores resultados en el Examen Icfes SABER 11 para los propósitos señalados en el Capítulo VII del Decreto Nacional 1075 de 2015, modificado por el Decreto 2029 de 2015, y en general para cualquier otro propósito que se requiera, se realizará aplicando la siguiente metodología:
1. Se tomarán los resultados que tengan los índices globales más altos, en estricto orden de mayor a menor.
2. Los empates en el índice global se resolverán en favor de quien tenga el mayor promedio simple de los puntajes en las cinco pruebas.
En los casos de los estudiantes que no hubiesen presentado la prueba de inglés por estar eximidos a presentarla, el cálculo para el desempate se hará sobre las cuatro pruebas presentadas.
PARÁGRAFO. La selección de estudiantes con mejores resultados solo se hará respecto de quienes estén tomando el Examen SABER 11 por primera vez. Los estudiantes que presenten el examen por fuera de la aplicación regular, por motivos no atribuibles al Icfes, no serán incluidos en esta selección.
RESULTADOS INSTITUCIONALES.
ARTÍCULO 6o. METODOLOGÍA DE CLASIFICACIÓN DE RESULTADOS DE LOS ESTABLECIMIENTOS EDUCATIVOS Y SUS SEDES. <Resolución derogada por el artículo de la Resolución 268 de 2020> Después de cada aplicación del Examen Icfes SABER 11, se producirán clasificaciones de forma independiente y por separado para los grados 11 y 26 para todos los establecimientos educativos y sedes. Para producir la clasificación se adelantarán los siguientes pasos:
1. Se sumará el número de estudiantes de la sede o el establecimiento de los últimos tres (03) años que tengan resultados en el examen.
2. Luego, se excluirá de forma independiente -para cada una de las 5 pruebas del examen- el veinte por ciento (20%) de los resultados más bajos de estudiantes de los últimos tres años. La exclusión de forma independiente se refiere a que el procedimiento de exclusión se aplicará a cada prueba, con independencia de las otras.
Si en este punto el número de estudiantes con resultados es igual o mayor a nueve (09), se continuará aplicando el procedimiento; de lo contrario no se seguirá aplicando la metodología ni se producirá clasificación.
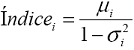
3. Posteriormente, para cada prueba se obtendrá un índice al dividir el promedio de frecuencias acumuladas de estudiantes que obtuvieron cada uno de los puntajes posibles, desde cien (100) hasta cero (0), por uno (1) menos la varianza de dichas frecuencias, esto es:

Donde
i es el promedio y
varianza de las frecuencias acumuladas de los puntajes de los estudiantes en la prueba i. Nótese que i se refiere a cada una de las cinco pruebas. Este índice toma valores más altos cuanto más altos y más homogéneos sean los puntajes de los estudiantes del colegio en el área en cuestión.
4. Luego, se obtendrá un Índice Total realizando un promedio ponderado de los índices obtenidos en cada una de las pruebas, usando como ponderadores los señalados en el literal b) del artículo tercero de la presente resolución.
5. El Índice Total que se hubiere obtenido producirá la clasificación del establecimiento educativo o su sede de conformidad con los siguientes puntos de corte:
Categoría A+: mayor o igual a 0.77 y menor o igual a 1.
Categoría A: mayor o igual a 0.72 y menor que 0.77.
Categoría B: mayor o igual a 0.67 y menor que 0.72.
Categoría C: mayor o igual a 0.62 y menor que 0.67.
Categoría D: mayor o igual a 0 y menos que 0.62.
PARÁGRAFO. La consulta de la clasificación de planteles se realizará por código DANE.
ARTÍCULO 7o. SITUACIONES ESPECIALES CON RELACIÓN A LA CLASIFICACIÓN DE ESTABLECIMIENTOS EDUCATIVOS. <Resolución derogada por el artículo de la Resolución 268 de 2020> Las siguientes son algunas situaciones especiales que se pueden dar con relación a la metodología:
a) Cuando un estudiante de grado 11 o 26 con discapacidad registrada en el Simat y certificada profesionalmente, manifieste por escrito ante el Icfes su intención de no presentar el Examen SABER 11, no será tenido en cuenta en el paso señalado en el numeral 1 del artículo 6o de la presente resolución. Lo anterior solamente tiene efectos para la metodología y no lo elimina como requisito para el ingreso a la educación superior.
b) Los resultados de los estudiantes que requieran de algún tipo de acomodación en la aplicación del examen por motivos de discapacidad reportada, serán excluidos del paso señalado en el numeral 1 del artículo 6o de esta resolución, salvo que el establecimiento educativo solicite al ICFES que sean incluidos.
c) En caso de que un establecimiento así lo solicite, se producirá una clasificación de resultados a partir de la evaluación de sus estudiantes reportados en condición de discapacidad, de cualquiera de los dos grados 11 o 26, siempre y cuando se tengan resultados de al menos nueve (9) estudiantes de esa condición en los últimos tres años.
d) En caso de que un evaluado haya presentado en condición de estudiante el Examen SABER 110 en más de una ocasión, solo se tendrán en cuenta los resultados que haya obtenido la primera vez que lo presentó, incluso, si aparece registrado más veces como estudiante de grado 11 o 26 en el Simat durante los últimos tres años.
e) Los establecimientos educativos podrán presentar solicitudes de corrección de la información de matriculados en el Simat dentro de las tres semanas siguientes a la fecha de aplicación del Examen SABER 11.
f) Cuando la solicitud incluya una justificación que exima al establecimiento de responsabilidad y cuente con el aval de la Secretaría de Educación y/o el Ministerio de Educación, se revisarán los soportes y, de encontrar evidencia de que la cantidad de evaluados equivale al porcentaje exigido por la presente resolución y se cumplan las demás condiciones se procederá con la publicación de la clasificación.
ARTÍCULO 8o. EVENTOS EN LOS CUALES NO SE PRODUCIRÁ LA CLASIFICACIÓN. <Resolución derogada por el artículo de la Resolución 268 de 2020> No se hará la clasificación del plantel cuando ocurra alguna de las siguientes condiciones:
a) Cuando el número de resultados válidos de estudiantes de los últimos tres años fuera inferior a nueve (9), tal como se señaló en el numeral 2 del artículo 6o de la presente resolución.
b) Cuando el número de resultados válidos fuera inferior al 80% del número de inscritos en los grados correspondientes en los últimos tres años según el Simat, en los términos del numeral 3 del artículo 6o de la presente resolución.
c) Cuando el establecimiento educativo hubiere reportado información no veraz de las personas que haya inscrito, para cualquier aplicación de los últimos 3 años, inclusive, de modo que pudiera afectar su clasificación. Esto implica, pero no está limitado a inscribir como estudiantes a personas que no lo son o reportar estudiantes con alguna condición de discapacidad cuando no la poseen.
d) Cuando el establecimiento educativo no cumpliere oportunamente con los procedimientos establecidos por el Icfes para el recaudo, registro, inscripción y citación de sus alumnos de grado 11 o 26.
e) Cuando no se alcanzare el número mínimo de estudiantes necesario para llevar a cabo el análisis de resultados institucionales como consecuencia de las actuaciones administrativas que se adelanten contra estudiantes o personas relacionadas con el establecimiento educativo involucrados en la comisión de las irregularidades descritas en este artículo.
PARÁGRAFO 1o. El Icfes compulsará copias a las Secretarías de Educación correspondientes para el ejercicio de sus funciones de inspección y vigilancia respecto de los establecimientos educativos involucrados en las conductas señaladas anteriormente cuando así lo amerite.
RESULTADOS AGREGADOS.
ARTÍCULO 9o. METODOLOGÍA DE CÁLCULO PARA LA OBTENCIÓN DE LOS RESULTADOS AGREGADOS. <Resolución derogada por el artículo de la Resolución 268 de 2020. Artículo modificado por el artículo 1 de la Resolución 161 de 2017. El nuevo texto es el siguiente:> El cálculo de agregados de la prueba SABER 11 se realiza con el fin de definir si un establecimiento educativo en grado 11 o 26 presenta diferencias importantes en el promedio respecto a los agregados y al promedio histórico. Para dichos cálculos se tienen en cuenta individuos que cumplan con las siguientes características:
1. Estudiantes presentes.
2. Estudiantes que no reporten ninguna condición de discapacidad.
3. Estudiantes no repitentes.
El cálculo para un agregado en particular se realizará de la siguiente manera:
1. Promedio: El cálculo del promedio del agregado se realiza con todos los individuos que presentan las características anteriores y que pertenecen al nivel de agregación correspondiente.
2. Desviación: El cálculo de la desviación del agregado se realiza con todos los individuos que presentan las características anteriores y que pertenecen al nivel de agregación correspondiente.
3. Conteos por niveles de desempeño: El cálculo de la distribución absoluto y relativa en los niveles de desempeño de cada una de las pruebas se realiza con todos los individuos que presentan las características anteriores y que pertenecen al nivel de agregación correspondiente.
VALIDACIÓN DEL BACHILLERATO.
ARTÍCULO 10. ESTRUCTURA DEL EXAMEN. <Resolución derogada por el artículo de la Resolución 268 de 2020> El Examen de Validación del Bachillerato tendrá la misma estructura que el Examen Icfes SABER 11 establecida por la Junta Directiva del Icfes mediante Acuerdo número 002 de 2016, o la norma que la modifique, adicione o sustituya.
ARTÍCULO 11. METODOLOGÍA DE CALIFICACIÓN. <Resolución derogada por el artículo de la Resolución 268 de 2020> La calificación de las pruebas del Examen Icfes - Validación del Bachillerato se realizará con la misma metodología utilizada para la calificación del Examen de Estado de la Educación Media Icfes Saber 11. Los resultados de cada una de las cinco pruebas se reportarán en una escala distinta, entre 0 y 60, sin decimales.
Para la calificación de cada prueba se fijarán los parámetros de dificultad de las preguntas, de tal forma que el promedio de los puntajes de las personas evaluadas a partir de la aplicación de segundo semestre de 2014 sea 30 y la desviación estándar de 6 puntos.
ARTÍCULO 12. CÁLCULO DEL PUNTAJE TOTAL. <Resolución derogada por el artículo de la Resolución 268 de 2020> Para obtener un puntaje total en el Examen, con base en el cual se define si se ha aprobado, se realizará un promedio ponderado de los puntajes por prueba usando las siguientes ponderaciones: Lectura crítica 3, Matemáticas 3, Sociales y Ciudadanas 3, Ciencias Naturales 3, Inglés 1 y se aproximará el resultado al entero más cercano. De esta forma, el puntaje total se encontrará también en una escala de cero (0) a sesenta (60) sin decimales.
PARÁGRAFO. En el caso de la persona que aun cuando por disposición legal esté eximida de presentar la prueba de Inglés, decida presentarla y responda más del 50% de las preguntas de la misma, su puntaje total se calculará con la misma fórmula de los demás validantes que la presenten en la aplicación correspondiente.
Sin embargo, si decide presentar la prueba y no responde más del 50% de las preguntas, su puntaje total del Examen se calculará como promedio simple de los puntajes que obtenga en las pruebas de Lectura Crítica, Matemáticas, Ciencias Naturales y Sociales y Ciudadanas.
ARTÍCULO 13. CRITERIO DE APROBACIÓN. <Resolución derogada por el artículo de la Resolución 268 de 2020> Aprobarán el Examen todos aquellos evaluados que tengan un Puntaje Total igual o superior a treinta (30) puntos.
ARTÍCULO 14. INSCRIPCIÓN. <Resolución derogada por el artículo de la Resolución 268 de 2020> Los requisitos para la inscripción en este examen son los señalados en la Resolución 068 de 2016 del Icfes y el Decreto 299 de 2009, o las normas que las modifiquen, adicionen o sustituyan.
ARTÍCULO 15. RESULTADOS ADICIONALES. <Resolución derogada por el artículo de la Resolución 268 de 2020> Las personas que aprueben el Examen de Validación recibirán adicionalmente los resultados del Examen de Estado de la Educación Media Icfes SABER 11.
ARTÍCULO 16. MAYORÍA DE EDAD. <Resolución derogada por el artículo de la Resolución 268 de 2020> De conformidad con lo establecido en el artículo 1o del Decreto 299 de 2009, es indispensable tener la mayoría de edad en la fecha de presentación de este examen. Por tanto, podrán inscribirse para presentar el Examen de Validación del Bachillerato, los mayores de edad e incluso los menores que para la fecha de aplicación de la prueba hayan cumplido los 18 años.
DETECCIÓN DE COPIA.
ARTÍCULO 17. METODOLOGÍA PARA LA DETECCIÓN DE COPIA. <Resolución derogada por el artículo de la Resolución 268 de 2020. Artículo modificado por el artículo 3 de la Resolución 161 de 2017. El nuevo texto es el siguiente:> La metodología de detección de copia es uno de los controles posteriores de que trata el artículo 22 de la Resolución 068 del Icfes y se realiza para todas las personas que hubieren presentado el Examen Icfes Saber 11 y el Examen de Validación del Bachillerato. Los pasos de la metodología son los siguientes:
Paso 1: Se comparan los resultados de una persona frente a los resultados de cada una de las otras personas que también presentaron el examen en el mismo sitio de aplicación, obteniendo tantas parejas como fuera posible. La comparación se hace para cada una de las pruebas que conforman el examen.
Para esta comparación se determina la habilidad de cada uno de los miembros de la pareja. La habilidad se entiende como la capacidad que tiene una persona para responder determinado conjunto de preguntas, y se determina a través de un modelo logístico multivariado de 3PL. La habilidad, relacionada con un cierto grado de coincidencia, el cual también es generado por el modelo, da como resultado si la pareja tiene o no cadenas de respuestas inusualmente coincidentes entre sí.
Paso 2: A las parejas con cadenas de respuestas inusualmente coincidentes entre sí, se les aplican los siguientes filtros:
I. Se excluyen las parejas que tengan hasta un veinte por ciento (20%) de respuestas coincidentes incorrectas en el mismo sitio de aplicación.
II. Se excluyen las parejas que tengan hasta un cuarenta por ciento (40%) de respuestas coincidentes correctas o incorrectas en el mismo salón.
III. Se excluyen las parejas que tengan hasta un setenta y cinco por ciento (75%) de respuestas coincidentes correctas o incorrectas en el mismo sitio de aplicación.
IV. Se excluyen las parejas en donde una de las personas tenga el noventa por ciento o más (90%) de omisiones o preguntas no contestadas.
V. Se excluyen las personas que usen la misma opción de respuesta en al menos el setenta por ciento (70%) de las preguntas.
VI. Se excluyen las personas con coincidencias en menos de dos (2) formas o pruebas.
Paso 3: Las personas que no hubieren sido excluidas después de aplicados los filtros señalados en el paso 2, tienen una alta probabilidad de haber realizado copia. Contra ellas se realizará el respectivo procedimiento administrativo señalado en la Resolución 631 de 2015 del Icfes.
ARTÍCULO 16. TRANSICIÓN. <Resolución derogada por el artículo de la Resolución 268 de 2020> Debido a que el artículo 8o de la Resolución 503 de 2014 estableció un régimen de transición que aún está vigente, téngase en cuenta que para producir las clasificaciones de resultados de una sede o un establecimiento educativo para las aplicaciones de segundo semestre de 2014, primer y segundo semestres de 2015, y primer y segundo semestres de 2016, se ajustará la metodología, así:
Para calcular el número total de estudiantes de los últimos tres años se considerarán como estudiantes de los semestres anteriores al segundo semestre de 2014 aquellos evaluados en las correspondientes aplicaciones del Examen Icfes SABER 11, 2012, 2013 y primer semestre de 2014. Para efectos del cálculo del índice de clasificación, se utilizarán las estimaciones de puntajes en las pruebas y escalas del nuevo examen producidas por el Icfes a partir de la recalificación de las aplicaciones de 2012, 2013 y primer semestre de 2014. Los resultados de esta recalificación serán divulgados a las instituciones y estudiantes con anterioridad a la clasificación de resultados de segundo semestre de 2014.
La categoría de rendimiento publicada antes del segundo semestre de 2014 no será comparable en ningún caso con la categoría de rendimiento que se publicará a partir del segundo semestre de 2014.
PARÁGRAFO. La recalificación a la que se refiere este artículo de las aplicaciones realizadas en los años 2012, 2013 y primer semestre de 2014 solamente se utilizarán para efectos de la comparabilidad de los resultados entre los periodos mencionados y los resultados que se generan con base en la nueva estructura de la prueba. En ningún caso la recalificación implica modificación de los resultados obtenidos en los periodos anteriores y/o de la clasificación de planteles.
ARTÍCULO 17. VIGENCIA Y DEROGATORIAS. <Resolución derogada por el artículo de la Resolución 268 de 2020> La presente resolución rige a partir de la fecha de su publicación y deroga todas las disposiciones contrarias, en especial las Resoluciones Icfes 503 de 2014, 540 de 2014, 713 de 2014 y 920 de 2014, y cualquier otra disposición que resulte contraria.
Dada en la ciudad de Bogotá, D. C., a 14 de julio de 2016
Publíquese, comuníquese y cúmplase.
La Directora General,
XIMENA DUEÑAS HERRERA.
* * *
1. Por la cual se establece la metodología, para la presentación de resultados en el Examen de Estado para la Educación Media ICFES Saber 11, para la selección de estudiantes con mejores resultados, para la Clasificación de los Establecimientos Educativos y sus sedes y se adoptan otras determinaciones.
2. Por la cual se unifica el Examen de Validación del Bachillerato con el Examen de Estado de la Educación Media Icfes SABER 11, se establece la metodología para obtener su calificación mínima de aprobación, se deroga la Resolución 104 de 2009 y se adoptan otras determinaciones.
3. Por la cual se Modifica y Adiciona la Resolución número 00540 del 29 de julio de 2014.
4. Por la cual se establecen los puntos de corte para la Clasificación de Resultados de los Establecimientos Educativos y sus sedes a partir de la nueva estructura adoptada para el Examen de Estado para la Educación Media Icfes SABER 11.
5. Por el cual se eximen de cursar idiomas extranjeros a alumnos de Educación Especial.
6. Por la cual se expide la Ley General de Educación.
7. Por la cual se reglamenta el proceso sancionatorio de los Exámenes de Estado que realiza el Icfes.