RESOLUCIÓN 1166 DE 2006
(junio 20)
Diario Oficial No. 46.307 de 22 de junio de 2006
MINISTERIO DE AMBIENTE, VIVIENDA Y DESARROLLO TERRITORIAL
<NOTA DE VIGENCIA: Resolución derogada a partir del 1o. de enero de 2019, por la Resolución 501 de 2017>
<NOTA: Ver artículo 17 sobre la entrada en vigencia de la presente norma>
Por la cual se expide el Reglamento Técnico que señala los requisitos técnicos que deben cumplir los tubos de acueducto, alcantarillado, los de uso sanitario y los de aguas lluvias y sus accesorios que adquieran las personas prestadoras de los servicios de acueducto y alcantarillado.
LA MINISTRA DE AMBIENTE, VIVIENDA Y DESARROLLO TERRITORIAL,
en ejercicio de sus facultades legales, en especial de las que le confiere los artículos 67.1 y 162.9 de la Ley 142 de 1994, y el Decreto 216 de febrero de 2003, y
CONSIDERANDO:
Que de conformidad con el artículo 73.5 concordante con el artículo 74 de la Ley 142 de 1994, la Comisión de Regulación de Agua Potable y Saneamiento Básico, mediante Resolución 344 de 2005, solicitó al Ministerio de Ambiente, Vivienda y Desarrollo Territorial “la expedición de un Reglamento Técnico de Tuberías de Acueducto y Alcantarillado y sus Accesorios, para ser aplicado por las personas prestadoras de los servicios de acueducto y alcantarillado, en los aspectos de composición química de los materiales y la estandarización de la información mínima sobre los requisitos técnicos que deben ser exigibles por parte de los prestadores, con el fin de garantizar la calidad del servicio”;
Que la Comisión de Regulación de Agua Potable y Saneamiento Básico motivó y circunscribió la necesidad de la expedición del reglamento únicamente en dos aspectos:
1. La composición química de los materiales utilizados en las tuberías y accesorios destinados a la prestación del servicio público de acueducto y alcantarillado, con el fin de proteger objetivos legítimos tales como la vida, la salud y la seguridad humana, animal, vegetal y el medio ambiente.
2. La estandarización de la información sobre los requisitos técnicos que deben ser exigibles, de tal manera que los prestadores tengan a su disposición la misma calidad y cantidad de información, y se prevengan prácticas que puedan inducir a error a los prestadores;
Que con base en el artículo 67, numeral 67.1 y artículo 162, numeral 162.9 de la Ley 142 de 1994, es competencia del Ministerio de Desarrollo Económico (hoy Ministerio de Ambiente, Vivienda y Desarrollo Territorial) “señalar los requisitos técnicos que deben cumplir las obras, equipos y procedimientos que utilicen las empresas de servicios públicos del sector, cuando la comisión respectiva haya resuelto por vía general que ese señalamiento es realmente necesario para garantizar la calidad del servicio, y que no implica restricción indebida a la competencia”;
Que el Decreto-Ley 216 de 2003, “por el cual se determinan los objetivos, la estructura orgánica del Ministerio de Ambiente, Vivienda y Desarrollo Territorial y se dicta n otras disposiciones”, prevé en el artículo 14, las funciones de la Dirección de Agua Potable, Saneamiento Básico y Ambiental, específicamente la señalada en el numeral 6, que estipula: “Definir los requisitos técnicos que deban cumplir las obras, equipos y procedimientos que utilicen las empresas de servicios públicos del sector de agua potable, saneamiento básico y ambiental, cuando la comisión de regulación haya resuelto por vía general que ese señalamiento es realmente necesario para garantizar la calidad del servicio y que no implica restricción indebida a la competencia”;
Que el proyecto de reglamento técnico de que trata la presente resolución, fue notificado a la Organización Mundial del Comercio, OMC, Comunidad Andina de Naciones, CAN, y el G3, mediante el documento identificado con la signatura G/TBT/N/COL/77 del 27 de enero de 2006, respecto del cual, cumplido el término para el efecto, no se presentó ninguna observación por parte de los países miembros de dichas organizaciones;
Que en mérito de lo expuesto,
RESUELVE:
OBJETO Y CAMPO DE APLICACION.
ARTÍCULO 1o. OBJETO. <Resolución derogada a partir del 1o. de enero de 2019, por la Resolución 501 de 2017> El presente Reglamento Técnico tiene por objeto señalar los requisitos técnicos mínimos asociados con la composición química de los materiales y, la estandarización de la información mínima sobre los requisitos técnicos que deben tener presentes los prestadores, con el fin de garantizar la calidad del servicio, para los tubos de acueducto y sus accesorios, integrantes en su conjunto de los sistemas de conducción y distribución de agua para consumo humano y para los tubos y accesorios integrantes en su conjunto de los sistemas de conexión, recolección y transporte final y tratamiento de las aguas residuales domésticas, industriales, pluviales o combinadas, previniendo la presentación de riesgos para la seguridad, la vida y la salud humana, animal y vegetal, el medio ambiente, y la realización de prácticas que puedan inducir a error, durante el horizonte de planeamiento para el cual fueron diseñados estos sistemas.
ARTÍCULO 2o. CAMPO DE APLICACIÓN. <Resolución derogada a partir del 1o. de enero de 2019, por la Resolución 501 de 2017> El presente Reglamento Técnico debe ser aplicado por parte de las personas prestadoras de los servicios públicos domiciliarios, en el marco de la Ley 142 de 1994 y demás normas que la adicionen, modifiquen o reglamenten, que requieran en sus sistemas de acueducto y alcantarillado, de tubos con sus uniones, sellos y accesorios, de acuerdo con las especificaciones definidas en los proyectos.
PARÁGRAFO 1o. Entiéndase por accesorios, cubiertos por este reglamento, los elementos componentes de un sistema de tuberías, diferentes de los tubos.
En el caso de acueductos, son los elementos prefabricados que debidamente instalados con los tubos, permiten cambios de dirección, empalmes, derivaciones, reducciones, conexiones y uniones con otros elementos o accesorios de control de las tuberías para acueducto, tales como: Uniones, codos, semicodos, tees, cruces, yees, reducciones, acoples, adaptadores, sillas, galápagos, collares de derivación, tapones, uniones de montaje y demás accesorios especiales de instalación.
En el caso de sistemas de alcantarillado: Son los elementos que debidamente instalados con los tubos, permiten cambios de dirección, empalmes, conexiones y uniones con otros elementos o accesorios de las tuberías para alcantarillado, tales como: sillas, derivaciones, galápagos, yees, codos, semicodos, tees, acoples, adaptadores, galápagos, uniones de montaje, válvulas, pozos, cámaras de inspección y demás accesorios especiales de instalación.
PARÁGRAFO 2o. Contempla además los materiales o combinación de materiales, destinados a los recubrimientos externos y/o revestimientos internos de los tubos de acueducto y de alcantarillado y sus accesorios de instalación.
PARÁGRAFO 3o. Para efectos del presente reglamento se aclara que los fabricantes de tuberías por este solo hecho no se consideran prestadores de los servicios públicos domiciliarios.
DEFINICIONES.
ARTÍCULO 3o. <Resolución derogada a partir del 1o. de enero de 2019, por la Resolución 501 de 2017> Para el propósito del presente Reglamento Técnico, se aplican las definiciones contenidas en el Reglamento Técnico del Sector, RAS, adoptado por la Resolución 1096 de noviembre de 2000, del Ministerio de Desarrollo Económico o la que la modifique o sustituya, las de la Resolución 03742 de febrero de 2001 de la Superintendencia de Industria y Comercio o la que la modifique o sustituya y las del Decreto 2269 de noviembre de 1993 del Ministerio de Desarrollo Económico o la ley o decreto que lo modifique o sustituya y además las siguientes:
Acreditación: <Definición adicionada por el artículo 1 de la Resolución 1127 de 2007. El nuevo texto es el siguiente:> Atestación de tercera parte relativa a un organismo de evaluación de la conformidad que manifiesta la demostración formal de su competencia para llevar a cabo tareas específicas de evaluación de la conformidad.
Atoxicidad: Requisito de medida de la máxima concentración admisible de metales y compuestos químicos de reconocido efecto adverso a la salud humana que pueden migrar de las paredes de la tubería al agua que transportan y que no debe exceder los valores máximos indicados en el Decreto 475 de 1998 del Ministerio de Salud y Desarrollo Económico, hoy Ministerio de la Protección Social y Ministerio de Ambiente, Vivienda y Desarrollo Territorial, o el que lo sustituya, modifique o derogue.
Concreto: Mezcla homogénea de material cementante, agregados y agua, la cual puede contener aditivos.
Concreto reforzado: Concreto que tiene un refuerzo consistente en barras o láminas de acero liso o corrugado, estribos transversales o mallas electrosoldadas, colocadas principalmente en zonas sometidas a esfuerzos de tracción.
Diámetro nominal: Es el número con el cual se designa comercialmente el diámetro interno o externo de un tubo o accesorio, aun cuando su valor no coincida con el diámetro real.
Diámetro real: Diámetro interno de una tubería determinado con elementos apropiados.
Evaluación de la conformidad: <Definición adicionada por el artículo 1 de la Resolución 1127 de 2007. El nuevo texto es el siguiente:> Demostración de que se cumplen los requisitos especificados relativos a un producto, proceso, sistema, persona u organismo.
Hierro Dúctil: Tipo de hierro usado para tubos, acoples y accesorios, en el cual el grafito está presente principalmente en forma esferoidal.
Junta: Conexión en tre los extremos de los tubos y/o acoples en la cual se usa un empaque para formar un sello.
Mantenimiento correctivo: Conjunto de actividades que se deben llevar a cabo cuando un equipo, instrumento o estructura ha tenido una parada forzosa o una suspensión parcial de su servicio por daño imprevisto y que tienen como objeto reponer su funcionamiento normal en un corto plazo.
Muestra: Una muestra puede representar una línea de productos de diferentes tamaños cuando se cumpla con cualquiera de las siguientes situaciones:
Los materiales son de la misma aleación, composición o formulación.
Los materiales han sido sometidos al mismo proceso de manufactura (extrusión o moldeado).
Los procesos de diseño y manufactura son análogos.
Los materiales cumplen con los requerimientos de normalización más estrictos, entendiéndose que las condiciones de normalización más estrictas son el producto de diámetro interno más pequeño dentro del rango de diámetros nominales.
Organismo de evaluación de la conformidad: <Definición adicionada por el artículo 1 de la Resolución 1127 de 2007. El nuevo texto es el siguiente:> Organismo que realiza servicios de evaluación de la conformidad.
Prácticas que puedan inducir a error: Son aquellas que desvirtúan el buen uso y desempeño para el cual está destinado un producto.
Poli(cloruro de vinilo) (PVC) rígido: Material termoplástico compuesto de poli(cloruro de vinilo), aditivos y exento de plastificantes.
Presión de trabajo: Valor máximo de la presión que el agua puede ejercer continuamente sobre las paredes del tubo, con un alto grado de seguridad de que no se van a presentar fallas o roturas y con la cual se clasifican y se deben rotular los tubos.
Prueba tipo: Ensayo o serie de ensayos realizados con el propósito de verificar el cumplimiento del diseño de un producto dado, con los requisitos de una norma específica.
Referente técnico: Ficha o documento que contiene las características y especificaciones técnicas sobre las cuales se elabora un producto.
Toxicidad: La propiedad que tiene una sustancia, elemento o compuesto, de causar daños en la salud humana o la muerte de un organismo vivo.
Tubería: En este reglamento técnico, es la sucesión de tubos debidamente unidos e intercalados con accesorios de instalación y control para permitir el transporte de agua, formando un conducto cerrado convenientemente aislado del exterior.
Tuberías de recolección: Red de tuberías que recibe las contribuciones de aguas residuales domici liarias, industriales y/o pluviales en cualquier punto a lo largo de su longitud.
Tuberías de transporte final: Red de tuberías que conforman la malla principal del servicio de alcantarillado de una población y que recibe el agua de las tuberías de recolección y las transporta hasta las plantas de tratamiento de aguas residuales o hasta el sitio de su disposición final.
Tubo: Cualquier sección, normalmente cilíndrica, hueca, dotada de paredes de espesor constante, en el cual las superficies internas y externas son concéntricas.
Tubo CCP: Tubo de acero con refuerzo de varilla y revestimientos interior y exterior de mortero de cemento y uniones de espigo-campana con empaque de caucho, para transporte de agua a presión.
Tubo de Asbesto-Cemento: Tubo fabricado con una mezcla íntima y homogénea de cemento Portland, asbesto y agua, utilizado para conducir agua residual doméstica y/o pluvial.
Tubo de concreto sin refuerzo: Tubo fabricado en concreto para transportar agua residual doméstica y/o pluvial.
Tubo de concreto reforzado: Tubo de concreto fabricado con acero de refuerzo como una estructura compuesta para transportar agua para consumo humano o para transportar agua residual doméstica y/o pluvial.
Tubo de fibra de vidrio: Tubo de poliester (resina termoestable) reforzada con fibra de vidrio, utilizado para conducir agua residual doméstica y/o pluvial.
Tubo de gres: Tubo fabricado de arcilla o de una combinación de esta, que se ha formado, secado y quemado hasta un punto que forme el material vitrificado; se funde para adherir los diferentes granos cristalinos, utilizado para conducir agua residual doméstica y/o pluvial.
Tubo de polietileno: Tubo fabricado a partir de compuestos de resina de polietileno, que se utiliza para conducir agua para consumo humano o para conducir agua residual doméstica y/o pluvial.
Tubo de hierro dúctil: Tubo fabricado en Fundición dúctil o nodular.
Tubo de metal corrugado: Tubo metálico de pared perfilada para conducir agua pluvial.
Tubo de PVC: Tubo fabricado a partir de compuestos de Poli(cloruro de vinilo) rígido, con interior liso, utilizado para transportar agua para consumo humano o utilizado para agua residual doméstica, industrial y/o pluvial.
Tubo de PVC Reforzado: Tubo fabricado a partir de compuestos de Poli(cloruro de vinilo) rígido, con interior liso formado helicoidalmente y una pared externa perfilada con refuerzo de acero, utilizado para t ransportar agua pluviales, residuales e industriales.
Tubo de PVCO: Tubo fabricado a partir de compuestos de Poli (cloruro de vinilo), cuyas moléculas están bi-orientadas, con interior liso, utilizado para transportar agua para consumo humano.
Tubo de GRP: Tubo fabricado a partir de resina de poliester, arena sílice y fibra de vidrio, superficie interior lisa para transportar agua para consumo humano o utilizado para agua residual doméstica, industrial y/o pluvial.
Usuario: Persona natural o jurídica que se beneficia con la prestación de un servicio público domiciliario, bien como propietario del inmueble en donde este se presta, o como receptor directo del servicio. A este último usuario se le conoce también como consumidor. (Ley 142 de 1994).
Válvula: Elemento mecánico sometido a presión, cuyo objeto es suspender por completo el flujo o regularlo. Las válvulas en las redes de distribución de agua potable se clasifican, de acuerdo con la función deseada, en válvulas de cierre, válvulas de cierre permanente, válvulas de admisión o expulsión de aire (ventosas), válvulas de regulación de presión, válvulas de regulación de caudal, válvulas reductoras de presión, válvulas de prevención de reflujo (válvulas de cheque), válvulas de drenaje o purga, válvulas de paso directo y válvulas de alivio.
PARÁGRAFO. Las siguientes siglas que aparecen en el texto del presente Reglamento Técnico tienen el siguiente significado y así deben ser identificadas:
ANSI: Por sus siglas en inglés: American National Standards Institute. Organismo de normalización de los Estados Unidos de Norteamérica.
ASTM: Por su sigla en inglés: American Society for Testing and Materials. Es una entidad normalizadora de los Estados Unidos de Norteamérica.
AWWA: Por sus siglas en inglés: American Water Works Association. Es una entidad normalizadora de los Estados Unidos de Norteamérica, en el campo de los acueductos.
ISO: Por sus siglas en inglés: International Organization for Standardization. Es una entidad internacional de normalización.
ICONTEC: Instituto Colombiano de Normas Técnicas y Certificación. Es el organismo nacional de normalización de Colombia.
NTC: Norma Técnica Colombiana.
NSR-98: Normas Colombianas de Diseño y Construcción sismo-resistente, Ley 400 de 1997 y Decreto 33 de 1998.
RAS: Reglamento Técnico del Sector de Agua Potable y Saneamiento Básico.
(CCP): Por sus siglas en inglés: Concrete Cylinder Pipe. Tubería CCP.
(CP): Por siglas en inglés: Concrete Pipe. Es la tubería de Concreto sin refuerzo.
(CPP): Por sus siglas en inglés: Concrete Presure Pipe. Tubería de concreto.
(GRP): Por sus siglas en inglés: Glass Reinforced Polyester Pipe. Tubería de poliester reforzado con fibra de vidrio.
(PCSP): Por sus siglas en inglés: Precoated Corrugated Steel Pipe. Tubería de Concreto reforzado pretensado.
(RCCP): Por sus siglas en inglés: Reinforced Concrete Cylinder Pipe. Tubería de Concreto Reforzado con cilindro de acero para presión.
(RCPP): Por sus siglas en inglés: Reinforced Concrete Pressure Pipe. Tubería de Concreto Reforzado sin cilindro de acero para presión.
(RCP): Por sus siglas en inglés, Reinforced Concrete Pipe. Es la tubería de Concreto Reforzado.
REQUISITOS TECNICOS DE CONSERVACION DE LA CALIDAD DEL AGUA PARA TUBERIAS DE ACUEDUCTO Y SUS ACCESORIOS, COMO PRODUCTOS TERMINADOS.
ARTÍCULO 4o. PROTECCIÓN A LA VIDA, A LA SALUD Y A LA SEGURIDAD HUMANA, ANIMAL, VEGETAL Y AL AMBIENTE. <Resolución derogada a partir del 1o. de enero de 2019, por la Resolución 501 de 2017> Con el fin de proteger a los usuarios de un posible efecto negativo (externalidad negativa) sobre la vida, la salud y la seguridad humana, animal, vegetal y el ambiente, derivado de una decisión de compra de tuberías y accesorios para el transporte de agua para consumo humano, por parte de las personas prestadoras del servicio, con información incompleta (asimetría de información), se debe atender los requerimientos del presente título.
ARTÍCULO 5o. CONSERVACIÓN DE LA CALIDAD DEL AGUA. <Resolución derogada a partir del 1o. de enero de 2019, por la Resolución 501 de 2017> <Artículo modificado por el artículo 2 de la Resolución 1127 de 2007. El nuevo texto es el siguiente:> Los tubos y accesorios, sus revestimientos internos y pinturas de protección interna, no deben exceder los valores máximos admisibles de las concentraciones de los elementos y compuestos químicos aluminio, antimonio, cobre, arsénico, bario, cadmio, cromo, plomo, mercurio, níquel, selenio y plata, de reconocido efecto adverso a la salud humana, que puedan migrar al agua que transportan los sistemas de tuberías para conducir agua potable, indicados en el Decreto 1575 de 2007 y en su respectiva regulación.
PARÁGRAFO 1o. Para demostrar el cumplimiento de lo dispuesto en el presente artículo, las personas prestadoras del servicio público de acueducto exigirán a los fabricantes, importadores, proveedores o comercializadores de tubos y accesorios, de sus revestimientos internos y pinturas de protección interna que conforman los sistemas de tuberías para conducir agua potable, la certificación de conformidad con el presente artículo de los productos que van a adquirir expedida por un organismo de certificación de producto acreditado por el Organismo Nacional de Acreditación o autorizado por entidad competente por ley. Para ello, la certificación será dada en los términos del artículo 6o del presente reglamento.
PARÁGRAFO 2o. Cuando se trate de tuberías y accesorios o revestimientos interiores de PVC o PVCO, la certificación debe incluir el resultado de la cantidad de cloruro de vinilo monómero residual, el cual garantice que esta cantidad es menor de 3,2 mg/kg.
La certificación de la cantidad de cloruro de vinilo monómero residual presente, se hará con base en las certificaciones de todos los lotes de resina de PVC o PVCO que se utilizaron para la fabricación de las tuberías y accesorios o revestimientos internos expedidas por el proveedor de la resina, en cada una de las cuales se garantice que la cantidad residual es menor de 3,2 mg/kg.
En caso de que no se cuente con las certificaciones, deberá realizarse el respectivo ensayo de que trata el artículo 6o de la presente resolución.
ARTÍCULO 6o. ENSAYO PARA EVALUAR LA CONFORMIDAD CON EL REQUISITO DE CONSERVACIÓN DE LA CALIDAD DEL AGUA DESTINADA AL CONSUMO HUMANO. <Resolución derogada a partir del 1o. de enero de 2019, por la Resolución 501 de 2017> La certificación que deberán exigir las personas prestadoras del servicio público de acueducto a los fabricantes, importadores, proveedores o comercializadores deberá contener su conformidad con los siguientes ensayos:
1. Para evaluar la capacidad de lixiviación de metales al agua, procedentes de tuberías o accesorios de cualquier material o de los revestimientos internos de tubos, cuando se usan en contacto con agua destinada al consumo humano, estos deberán cumplir con los procedimientos indicados en la norma ANSI/NSF 61:02.
2. Las tuberías y accesorios de concreto o de metal con revestimiento interno de mortero de cemento, además de la evaluación de la capacidad de lixiviación de metales al agua, deberán ser sometidos a ensayo de atoxicidad cuando usen aditivos controladores de fraguado en la mezcla de concreto o en el mortero de revestimiento, de acuerdo con lo dispuesto en la sección 4.4.4 –Aditivos, de la norma NTC 747:97 segunda actualización (Documento de referencia ANSI/AWWA C303/95) siguiendo los procedimientos indicados en la normas ASTM C 494/99.
REQUISITO TECNICO DE CONSERVACION DE LA CALIDAD DE LOS TUBOS PARA ALCANTARILLADO Y SUS ACCESORIOS Y PARA USO SANITARIO – AGUAS LLUVIAS, COMO PRODUCTOS TERMINADOS.
ARTÍCULO 7o. RESISTENCIA QUÍMICA. <Resolución derogada a partir del 1o. de enero de 2019, por la Resolución 501 de 2017> <Artículo modificado por el artículo 3 de la Resolución 1127 de 2007. El nuevo texto es el siguiente:> Las tuberías y accesorios deberán resistir la acción química agresiva de las aguas que deben transportar y la de los suelos donde van a ser instalados, debiendo resistir sin daño durante el horizonte de planeamiento para el cual fueron diseñados estos sistemas y durante las pruebas tipo de los ensayos a la resistencia química de que trata el artículo 8o de la presente resolución, con el fin de proteger a los usuarios de un posible efecto negativo sobre la vida, la salud y la seguridad humana, animal, vegetal y el medio ambiente.
PARÁGRAFO. Para demostrar el cumplimiento de lo dispuesto en el presente artículo, las personas prestadoras del servicio público de alcantarillado exigirán a los fabricantes, importadores, proveedores o comercializadores de tubos y accesorios que conforman los sistemas de tuberías para conducir las aguas residuales, la certificación de conformidad con el presente artículo expedida por un organismo de certificación de producto acreditado o autorizado por entidad competente por ley, en términos del artículo 8o del presente reglamento.
ARTÍCULO 8o. ENSAYO PARA EVALUAR LA CONFORMIDAD CON EL REQUISITO DE RESISTENCIA QUÍMICA. <Resolución derogada a partir del 1o. de enero de 2019, por la Resolución 501 de 2017> La certificación que deberán exigir las personas prestadoras del servicio público de alcantarillado a los fabricantes, importadores, proveedores o comercializadores deberá contener su conformidad con los siguientes ens ayos que tienen como fin determinar la resistencia de los tubos y accesorios de alcantarillado y los de uso sanitario y aguas lluvias, a la acción de las sustancias químicas disueltas que se puedan encontrar en las aguas residuales que transportan y/o en los suelos de instalación:
1. Los tubos de Arcilla Vitrificada (Gres) para alcantarillado y sus accesorios de instalación fabricados del mismo material, deberán ser sometidos al método de ensayo de resistencia a los ácidos de que trata el numeral 8 de la NTC 3796, primera actualización (Documento de referencia ASTM C 301:93) o el indicado en el numeral 5.6.3 de la NTC 4089 (1997-02-26) (Documento de referencia ASTM C 700:95).
2. Los tubos de Asbesto Cemento para alcantarillado y sus accesorios deberán cumplir con los requisitos de resistencia química y método de ensayo indicado en el numeral 3.5.4 de la NTC 384, segunda actualización, siguiendo el procedimiento indicado en el numeral 3.6.4 en la misma.
3. El concreto para los tubos de concreto reforzado y sin refuerzo para alcantarillado y sus accesorios, deben cumplir con los requisitos de durabilidad exigidos en el Capítulo C.4 de la NSR-98, o el que la modifique o sustituya.
4. Los tubos de fibra de vidrio (GRP) para uso de sistemas de alcantarillado y sus accesorios, deben cumplir con los requisitos químicos en el numeral 8.2 de la NTC 3870 (Documento de referencia ASTM B 3262:93), de acuerdo a los ensayos químicos de que trata la norma ASTM D3681.
5. <Numeral modificado por el artículo 4 de la Resolución 1127 de 2007. El nuevo texto es el siguiente:> 5. Los tubos de poli(cloruro de vinilo) (PVC) rígido para uso sanitario – aguas lluvias deberán cumplir con los requisitos y el método de ensayo para determinación de la resistencia química indicados en el numeral 6.7 de la NTC 1087, cuarta actualización (Documento de referencia ASTM D 2665:96). Los accesorios para esta tubería deberán ser sometidos al requisito específico de resistencia química indicado en el numeral 6.2 de la NTC 1341, séptima actualización (Documento de referencia ASTM D 2665:96).
6. Los tubos de Hierro Dúctil para alcantarillado y sus accesorios, deben cumplir con los requisitos de revestimiento establecidos en los numerales 4.3 y 4.4 de la Norma ISO 7186, segunda edición y de la NTC 4952 (2001-11-28) (Documento de referencia ISO 4179:85).
PARÁGRAFO. El material con el cual están fabricados los tubos y accesorios de Polietileno (PE) para alcantarillado no requiere de ensayos de resistencia química.
ESTANDARIZACION DE LA INFORMACION MINIMA SOBRE LOS REQUISITOS TECNICOS.
ARTÍCULO 9o. INFORMACIÓN SOBRE REQUISITOS TÉCNICOS MÍNIMOS. <Resolución derogada a partir del 1o. de enero de 2019, por la Resolución 501 de 2017> La información contenida en los artículos 10 y 11 sobre requisitos técnicos mínimos de las tuberías y accesorios, debe ser exigida por parte de las personas prestadoras de servicios públicos domiciliarios con el fin de que pueda ser ampliamente conocida, evaluada y utilizada en la toma de decisiones que deben realizar para su selección y adquisición y con el fin de garantizar de esta forma la calidad de prestación del servic io.
ARTÍCULO 10. ROTULADO. <Resolución derogada a partir del 1o. de enero de 2019, por la Resolución 501 de 2017> Los tubos y accesorios de acueducto y alcantarillado, deberán llevar de manera visible y mediante un sistema apropiado, un rótulo en caracteres perfectamente legibles.
El color del rótulo impreso deberá permitir un evidente contraste con la tubería, de manera que su lectura sea clara y fácil durante las pruebas de verificación de las características y especificaciones indicadas en los catálogos y durante el proceso de instalación.
Este rótulo debe contener como mínimo lo siguiente:
1. La destinación o uso del tubo.
2. Nombre del fabricante o marca registrada de fábrica.
3. País de origen.
4. Diámetro nominal.
5. Presión de trabajo, en el caso de tuberías que trabajarán a presión.
6. Fecha de fabricación (año-mes-día) e identificación del lote de fabricación.
7. Cumplir con el Sistema Internacional de unidades, sin perjuicio de que se incluya su equivalencia en otros sistemas, y
8. Reglamento técnico, norma técnica colombiana o internacional o cualquier otro tipo de norma o referente técnico utilizado para la fabricación del producto, si fuere el caso.
PARÁGRAFO 1o. Para el caso de los accesorios, los requisitos de rotulado previstos en el presente Reglamento Técnico, deberán estar marcados en la unidad de empaque cuando no sea posible marcarlos o grabarlos en el cuerpo del producto.
PARÁGRAFO 2o. Los tubos y accesorios termoplásticos aligerados con superficie interna lisa y externa perfilada y en general los tubos de pared estructural para alcantarillado, podrán ser rotulados internamente cuando el ancho presente en el valle (entre costillas) de la superficie exterior, no lo permita.
ARTÍCULO 11. CATÁLOGO O INFORMACIÓN TÉCNICA. <Resolución derogada a partir del 1o. de enero de 2019, por la Resolución 501 de 2017> Las personas prestadoras de servicios públicos domiciliarios verificarán que los catálogos de los fabricantes, importadores y comercializadores de las tuberías de acueducto, alcantarillado y sus accesorios, contengan como mínimo información suficiente, precisa y exacta sobre las características, propiedades y especificaciones técnicas referidas. Se exigirá que la información técnica de estos productos contenida en los catálogos esté vigente. En los catálogos se indicará la fecha de su edición y la versión que actualiza.
Los catálogos tendrán como mínimo la siguiente información:
a) Aspectos generales: Reglamento técnico, norma técnica colombiana o internacional o cualquier otro tipo de norma o referente técnico utilizado para la fabricación del producto, si fuere el caso. En el evento de utilizar un referente técnico, deberá incluirse su descripción en el catálogo;
b) Descripción del producto:
1. Tipo del material y de los revestimientos de los tubos, especificando en el caso de las tuberías y accesorios de acueducto, las sustancias que se están controlando por ser nocivas para la salud, de acuerdo con el artículo 8o literal a) del Decreto 475 de 1998 o el que lo modifique o sustituya. En el caso de alcantarillado, las sustancias agresivas al material o materiales con los que están fabricadas las tuberías, y para las cuales se garantiza su resistencia a las mismas.
2. Diámetro nominal, diámetro interno y diámetro externo. Así mismo, deben especificarse las longitudes en las cuales se ofrece el producto normalmente.
3. Presiones de trabajo en el caso de tuberías que trabajarán a presión.
4. Comportamiento frente a condiciones extremas para el material y cuidados que deben tenerse en cuenta en caso de ser utilizada, las cuales deben ser consultadas con el fabricante.
5. Vida útil estimada bajo condiciones normales de operación y transporte.
6. Uso recomendado;
c) Descripción de cada uno de los tipos de juntas y accesorios compatible con la tubería;
d) Recomendaciones del fabricante para el manejo en el cargue y descargue, el transporte, el almacenamiento, la instalación de las tuberías y sus accesorios y la puesta en servicio;
e) Recomendaciones sobre el lubricante, cementos solventes, limpiador, acondicionador y adhesivos que deben emplearse, si procede;
f) Descripción del tipo de ensayos que se tuvieron en cuenta para evaluar comportamiento hidráulico;
g) Instrucciones para realizar los procedimientos del mantenimiento preventivo y correctivo con el empleo de los accesorios y herramientas específicas para realizarlo en cada caso;
h) Contenido mínimo del rotulado.
CONTROL, VIGILANCIA Y OTRAS DISPOSICIONES.
ARTÍCULO 12. COMPETENCIA DEL CONTROL, INSPECCIÓN Y LA VIGILANCIA. <Resolución derogada a partir del 1o. de enero de 2019, por la Resolución 501 de 2017> Compete de manera gen eral a la Superintendencia de Servicios Públicos Domiciliarios, en los términos del artículo 79 de la Ley 142 de 1994, numeral 79.12, verificar que las obras, equipos y procedimientos de las empresas cumplan con los requisitos técnicos previstos en el presente Reglamento, sin perjuicio de la función de control, inspección y vigilancia que corresponde a las entidades competentes en relación con los reglamentos técnicos vigentes.
ARTÍCULO 13. RESPONSABILIDAD Y SANCIONES. <Resolución derogada a partir del 1o. de enero de 2019, por la Resolución 501 de 2017> La responsabilidad civil, penal y/o fiscal originada en la inobservancia de las disposiciones contenidas en el presente Reglamento, será la que determine la ley y las sanciones a imponer serán las previstas en la ley.
CONDICIONES GENERALES.
ARTÍCULO 14. REVISIÓN Y ACTUALIZACIÓN. <Resolución derogada a partir del 1o. de enero de 2019, por la Resolución 501 de 2017> El Ministerio de Ambiente, Vivienda y Desarrollo Territorial a través de la Dirección de Agua Potable, Saneamiento Básico y Ambiental y su Junta Asesora del Reglamento Técnico, RAS, en coordinación con la Superintendencia de Servicios Públicos Domiciliarios, elaborará un informe anual a partir de la fecha de su entrada en vigencia de seguimiento del presente reglamento y revisarán la pertinencia de su actualización.
ARTÍCULO 15. NOTIFICACIONES. <Resolución derogada a partir del 1o. de enero de 2019, por la Resolución 501 de 2017> Notifíquese el presente Reglamento Técnico a los países miembros de la Comunidad Andina, de la Organización Mundial del Comercio y del Tratado de Libre Comercio entre las Repúblicas de Colombia, México y Venezuela, a través del Sistema Nacional de Información sobre Medidas de Normalización y Evaluación, en concordancia con lo establecido en el artículo 4o del Decreto 1112 de 1996, o el que lo sustituya o modifique.
ARTÍCULO 16. ANEXO. <Resolución derogada a partir del 1o. de enero de 2019, por la Resolución 501 de 2017> Forma parte integral de la presente resolución, el Anexo que incorpora los numerales correspondientes a Normas Técnicas Colombianas, que tratan sobre ensayos para evaluar la conformidad, mencionados en los artículos 6o y 8o.
ARTÍCULO 17. VIGENCIA. <Ver Notas de Vigencia> Según lo dispuesto en la Decisión Andina 562 de la Comunidad Andina, la presente resolución entra en vigencia doce (12) meses después de la fecha de su publicación en el diario oficial y deroga las disposiciones que le sean contrarias.
Notifíquese, publíquese, y cúmplase.
Dada en Bogotá, D. C., a 20 de junio de 2006.
La Ministra de Ambiente, Vivienda y Desarrollo Territorial,
SANDRA SUÁREZ PÉREZ.
ENSAYOS EXIGIDOS EN EL REGLAMENTO.
Norma | Método - Norma |
Norma ANSI/NSF 61:02 | Evaluar la capacidad de lixiviación de metales al agua, procedentes de tuberías o accesorios de cualquier material o de los revestimientos internos de tubos, cuando se usan en contacto con agua destinada al consumo humano. |
Sección 4.4.4 –Aditivos, Norma NTC 747:97 segunda actualización (Documento de referencia ANSI/AWWA C303/95) siguiendo los procedimientos indicados en la normas ASTM C 494/99. | Ensayo de atoxicidad cuando usen aditivos controladores de fraguado en la mezcla de concreto o en el mortero de revestimiento |
Alcantarillado
Tubos de Arcilla Vitrificada (Gres) | Método de ensayo de resistencia a los ácidos de que trata el numeral 8 de la NTC 3796, primera actualización (Documento de referencia ASTM C 301:93) o el indicado en el numeral 5.6.3 de la NTC 4089 (1997-02-26) (Documento de referencia ASTM C 700:95). |
Tubos de Asbesto Cemento | Requisitos de resistencia química y método de ensayo indicado en el numeral 3.5.4 de la NTC 384, segunda actualización, siguiendo el procedimiento indicado en el numeral 3.6.4 en la misma. |
El concreto para los tubos de concreto reforzado y sin refuerzo y sus accesorios | Requisitos de durabilidad exigidos en el capítulo C.4 de la NSR-98, o el que la modifique o sustituya. |
Tubos de fibra de vidrio (GRP) | Requisitos químicos en el numeral 8.2 de la NTC 3870 (Documento de referencia ASTM B 3262:93), de acuerdo a los ensayos químicos de que trata la norma ASTM D3681. |
Los tubos de poli(cloruro de vinilo) (PVC) rígido | Método de ensayo para determinación de la resistencia química indicados en el numeral 5.7 de la NTC 1087, tercera actualización (Documento de referencia ASTM D 2665:96). Los accesorios para esta tubería deberán ser sometidos al requisito específico de resistencia química indicado en el numeral 5.2 de la NTC 1341, sexta actualización (Documento de referencia ASTM D 2665:96). |
Tubos de Hierro Dúctil | Requisitos de revestimiento establecidos en los numerales 4.3 y 4.4 de la Norma ISO 7186, segunda edición y de la NTC 4952 (2001-11-28) (Documento de referencia ISO 4179:95) |
Tubos y accesorios de Polietileno (PE) | No requieren de ensayos de resistencia química. |
Norma NTC 747:97 segunda actualización (Documento de referencia ANSI/AWWA C303/95) siguiendo los procedimientos indicados en la normas ASTM C 494/99.
Tubos de concreto para presión, tipo cilindro de acero con refuerzo de varilla
1.1 Alcance
Esta norma describe la fabricación de tubos de concreto para presión, tipo cilindro de acero con varilla de refuerzo de acero dúctil enrollada helicoidalmente sobre el cilindro de acero, en diámetros desde 250 mm hasta 1 830 mm (10 pulgadas a 72 pulgadas) inclusive, y para presiones de trabajo hasta de 2 760 kPa (400 psi). Con base en los conceptos de esta norma, se han fabricado tubos de diámetros mayores que resisten presiones superiores. Previo acuerdo entre el comprador y el fabricante, el tubo se puede fabricar en diámetros mayores y para presiones superiores a las indicadas aquí. Esta norma no incluye requisitos para diseño, manipulación, entrega, colocación, ensayos de campo ni desinfección de los tubos y los accesorios. Véase el manual AWWA M9, Concrete Pressure Pipe, para información sobre estos temas.
4.4.4 Aditivos
El concreto, el mortero de cemento o la lechada pueden contener un aditivo para reducir el agua y controlar el fraguado que cumpla lo establecido en la norma ASTM C494. Ningún aditivo debe contener cantidades nocivas de cloruros. Antes de fabricar el tubo, el comprador debe ser notificado del tipo y la cantidad de aditivos (si existen), cuando así lo requieren las especificaciones del comprador.
Norma NTC 384 - Segunda actualización. Requisitos de resistencia química y método de ensayo indicado en el numeral 3.5.4, siguiendo el procedimiento indicado en el numeral 3.6.4 en la misma.
Tubos de Asbesto – Cemento.
1. Objeto y campo de aplicación
Esta norma da especificaciones sobre los tubos, juntas y accesorios de asbesto-cemento aptos para el uso de flujos por gravedad a presión atmosférica (1), destinados a ser aplicados en alcantarillado y drenaje; define ciertas condiciones de fabricación, clasificación, características y ensayos de aceptación aplicables a estos productos.
Nota. La norma ISO 160 cubre los tubos y juntas de asbesto-cemento sometidos a presión. La norma ISO 391 cubre los tubos de asbesto-cemento para construcción y aplicaciones sanitarias. La norma ISO 392 cubre los accesorios para tubos de asbesto-cemento destinados a aplicaciones sanitarias y propósitos de construcción.
3.5.4 Características químicas
Al ensayarlos como se especifica en el numeral 3.6.4 (ensayo opcional), los tubos no deben presentar neutralización de ácido acético superior a 0,100 g por cm2.
3.6.4 Ensayo de resistencia química
Se debe realizar en una pieza de ensayo no recubierta, cortada de la parte central de cada artículo seleccionado. La pieza de ensayo debe tener 65 mm de longitud y 65 mm de ancho (siguiendo la curva), y el área total de su superficie (inclusive bordes) debe ser aproximadamente 100 cm2.
3.6.4.1 Reactivos
3.4.6.1.1 Acido acético. Solución al 5%
Se prepara esta solución de la siguiente forma:
Se toman 10 ml de la solución, se añaden 10 gotas de la solución de thimol azul (véase el numeral 3.6.4.1.3) y se diluye hasta 100 ml, mientras se agita. Se titula con la solución de hidróxido de sodio (véase el numeral 3.6.4.1.2) hasta que el color cambie de amarillo a azul, correspondiente a una modificación del pH de 8,0 a 9,5. Se registra el volumen V1 en mililitros, de la solución de hidróxido de sodio que se utilizó para la titulación.
3.6.4.1.2 Hidróxido de sodio. Solución volumétrica normalizada 0,5 N
1 ml de esta solución corresponde a 0,030 g de ácido acético.
3.6.4.1.3 Solución de thimol azul. Se disuelven 0,040 g de thimol azul en 100 ml de etanol al 95% (V/V).
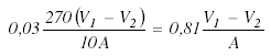
3.6.4.2 Procedimiento. Se sumerge la pieza de ensayo en 270 ml de solución de ácido acético (véase el numeral 3.6.4.1.1) a una temperatura entre 14oC y 18oC, en un contenedor que permita sumergir verticalmente la pieza de ensayo. Se utiliza un contenedor diferente para cada una.
Después de 24 h se retira la pieza de ensayo y se mezcla bien la solución. Se toman 10 ml de la solución, se añaden 10 gotas de la solución de thimol azul (véase el numeral 3.6.4.1.3) y se diluye hasta 100 ml, mientras se agita. Se titula como especifica el numeral 3.6.4.1.1. Se registra el V2 en mililitros, de la solución de hidróxido de sodio (véase el numeral 3.6.4.1.2) que se utilizó para la titulación. La pequeña cantidad de precipitado gelatinoso que se puede formar durante la titulación se puede ignorar.
3.6.4.3 Expresión de los resultados. El número de gramos de ácido acético neutralizado por centímetro cuadrado de área de la pieza de ensayo se obtiene de la fórmula:
Donde:
V1 = es el volumen, en ml, de la solución de hidróxido de sodio que se utilizó en la normalización de la solución de ácido acético.
V2 = es el volumen, en ml, de la solución de hidróxido de sodio que se utilizó en la titulación del ácido acético después de la inmersión de la pieza de ensayo;
A = es el área total de la superficie de la pieza de ensayo, en centímetros cuadrados.
Norma NTC 3870 Primera actualización. Requisitos químicos en el numeral 8.2 (Documento de referencia ASTM B 3262:93), de acuerdo a los ensayos químicos de que trata la norma ASTM D3681.
Tubos de fibra de vidrio (GRP).
6.3 Requisitos Químicos
6.3.1 Largo plazo
Los especímenes de tubos, al ser ensayados de acuerdo con el numeral 8.2.1, deben ser capaces de ser deflectados sin sufrir fallas al nivel de deformación de 50 años presentado en la Tabla 4, al aplicarle 1,0 N de ácido sulfúrico.
NOTA 7. Véase el Apéndice XI sobre derivación de los requisitos químicos mínimos para el alcantarillado sanitario presentada en la Tabla 4.
Tabla 4
Requisitos químicos mínimos de tubería para alcantarillado sanitario
Rigidez de la tubería, kPa (Psi) | Deformación máxima | |||||
6 min | 10 h | 100 h | 1 000 h | 10 000 h | 50 años | |
62(9) 124(18) 248(36) 496(72) | 0,97 (t/d) 0,85 (t/d) 0,71 (t/d) 0,56 (t/d) | 0,84 (t/d) 0,72 (t/d) 0,60 (t/d) 0,48 (t/d) | 0,78 (t/d) 0,66 (t/d) 0,55 (t/d) 0,44 (t/d) | 0,73 (t/d) 0,61 (t/d) 0,51 (t/d) 0,41 (t/d) | 0,68 (t7D) 0,56 (t/d) 0,47 (t/d) 0,38 (t/d) | 0,60 (t/d) 0,49 (t/d) 0,41 (t/d) 0,34 (t/d) |
En donde: t y d son el espesor nominal total de la pared y el diámetro promedio (diámetro interno más t) según lo determinado de acuerdo con el numeral 8.1.
8.2 Ensayos Químicos
La tubería se ensaya de acuerdo con la norma ASTM D 3681.
8.2.1 Largo plazo
Para saber si la tubería cumple con los requisitos del numeral 6.3.1, se determinan por lo menos 18 puntos de falla de acuerdo con la norma ATSM D 3681.
8.2.1.1 Procedimiento de calificación alternativo. Se ensayan cuatro especímenes, cada uno a los esfuerzos mínimos de 10 h y 10 000 h presentados en la Tabla 4. Se considera que el producto está calificado si todos los 18 especímenes se ensayan sin falla al menos durante los tiempos prescritos en la Tabla 4 (es decir 10 h, 100 h, 1 000 h ó 10 000 h, respectivamente).
8.2.2 Requisitos de control
Se ensayan por lo menos seis especímenes, de acuerdo con uno de los siguientes procedimientos y se registran los resultados:
8.2.2.1 Se ensayan mínimo 3 especímenes en cada uno de los niveles de esfuerzo correspondientes a tiempos de fallas de 100 h y 1 000 h desde la línea de regresión del producto establecida en el numeral 8.2.1.
8.2.2.2 Cuando se usa el método alternativo descrito en el numeral 8.2.1.1 para calificar el producto, se ensayan mínimo tres muestras, cada una a esfuerzos mínimos a 100 h y 1 000 h dadas en la Tabla 4 por lo menos 100 h y 1 000 h respectivamente.
8.2.2.3 Los procedimientos de ensayo de control del numeral 8.2.2.2 pueden ser usados como una alternativa del procedimiento de reconfirmación descrito en la norma ASTM D 3681 para aquellos productos evaluados por el procedimiento alternativo descrito en el numeral 8.2.1.1.
<Norma NTC1087 sustituida por el anexo de la Resolución 1127 de 2007, según lo dispuesto por el artículo 2 . El nuevo texto es el siguiente:>
Norma NTC 1087, cuarta actualización. Método de ensayo para determinación de la resistencia química indicado en el numeral 6.7.
Tubos de poli(cloruro de vinilo) (PVC) rígido para uso sanitario – aguas lluvias y ventilación.
6.7 Resistencia química.
Los tubos para uso “sanitario-aguas lluvias”, cuando sean sometidos al ensayo indicado en el numeral 8.8, no deben presentar un incremento o pérdida de masa de 0,5 % y finalizado el ensayo, deben cumplir con el requisito de resistencia al aplastamiento transversal (véase el numeral 6.3).
8.8 Determinación de la resistencia química.
8.8.1 Reactivos. Se efectúa empleando cada una de las sustancias indicadas en la Tabla 5.
8.8.2 Especímenes de ensayo. Se cortan especímenes de 50 mm de longitud. Deben ensayarse tres especímenes por cada sustancia, seleccionados de la totalidad de la muestra tomada.
8.8.3 Procedimiento
Se determina la masa de los especímenes con aproximación de 0,1 g y se sumergen completamente (usando una pesa si es necesario) en la sustancia durante un periodo de 72 h.
En ningún caso, una proporción significativa de las superficies de las probetas, puede tener contacto con la superficie de otra probeta, con las paredes del recipiente, o con cualquier pesa que sea utilizada.
Finalizado el período de ensayo se retiran los especímenes del líquido, se lavan con agua corriente, se secan con un trapo seco, limpio, suave y absorbente, se acondicionan durante 120 min a 130 min y se determina la masa de nuevo con aproximación a 0.1 g.
8.8.4 Expresión de los resultados
Para cada espécimen se calcula el porcentaje de incremento o pérdida en masa con aproximación al 0,01 %, por medio de la siguiente expresión:
![]()
En donde:
m1 = masa del espécimen antes de la inmersión, en g
m2 = masa del espécimen después de la inmersión, en g
Tabla5
Sustancias utilizadas para determinar resistencia química
| Sustancias químicas | Concentración en solución acuosa |
Carbonato de sodio (Na2CO3 ) Sulfato de sodio (Na2SO4 ) Cloruro de sodio (NaCl) Acido sulfúrico (H2SO4 ) Acido clorhídrico (HCl) Acido acético (CH3COOH) Hidróxido de sodio (NaOH) Jabón de tocador Detergentes caseros | 0,1 N 0,1 N 5 % 0,1 N 0,2 N 5 % 0,2 N 5 % 5 % |
<Norma NTC1341 sustituida por el anexo de la Resolución 1127 de 2007, según lo dispuesto por el artículo 2 . El nuevo texto es el siguiente:>
Norma NTC1341, séptima actualización.
Accesorios de poli(cloruro de vinilo) (PVC) rígido para tubería sanitaria-aguas lluvias y ventilación
6.2 Resistencia química
Los accesorios sometidos al ensayo indicado en el numeral 8.4 no deben presentar un incremento o pérdida de masa mayor al 0,5 %.
8.4 Determinación de la resistencia química
8.4.1 Reactivos. Se efectúa empleando cada una de las sustancias indicadas en la Tabla 2.
8.4.2 Especímenes de ensayo. Se debe ensayar un accesorio o una fracción de cada accesorio por sustancia, seleccionados de la totalidad de la muestra tomada.
8.4.3 Procedimiento
Se determina la masa de los especímenes con aproximación de 0,1 g y se sumergen completamente (usando una pesa si es necesario) en la sustancia durante un periodo de 72 h.
En ningún caso, una proporción significativa de las superficies de las probetas, puede tener contacto con la superficie de otra probeta, con las paredes del recipiente, o con cualquier pesa que sea utilizada.
Finalizado el período de ensayo se retiran los especímenes del líquido, se lavan con agua corriente, se secan con un trapo seco, limpio, suave y absorbente, se acondicionan durante 120 min a 130 min y se determina la masa de nuevo con aproximación a 0.1 g.
8.4.4 Expresión de los resultados
Para cada espécimen se calcula el porcentaje de incremento o pérdida en masa con aproximación al 0,01 %, por medio de la siguiente expresión:
![]()
En donde:
m1 = masa del espécimen antes de la inmersión, en g
m2 = masa del espécimen después de la inmersión, en g
Tabla2
Sustancias utilizadas para determinar la resistencia química
| Agentes químicos | Concentración de solución en agua |
| Carbonato de sodio (Na2CO3) Sulfato de sodio (Na2SO4) Cloruro de sodio (NaCl) Acido sulfúrico (H2SO4) Acido clorhídrico (HCl) Acido acético (CH3COOH) Hidróxido de sodio(NaOH) Jabón de tocador Detergentes caseros | 0,1 N 0,1 N 5 % 0,1 N 0,2 N 5 % 0,2 N 5 % 5 % |
Norma NTC 4952 (2001-11-28) (Documento de referencia ISO 4179:95). Requisitos de revestimiento.
Tubos de hierro dúctil para tuberías con o sin presión. Revestimiento interno con mortero de cemento centrifugado. Requisitos generales
0. Introducción
Esta norma es equivalente a su documento de referencia excepto:
En el numeral 2 se mencionan las NTC que son equivalentes a las normas ISO, ASTM, adicionalmente se agregaron las NTC que se aplican en Colombia para el cemento y arena que va a ser utilizado en el mortero de cemento.
En el numeral 3.1 se mencionan las NTC que se utilizan en Colombia para el cemento.
En el numeral 3.2 se mencionan las NTC que se utilizan en Colombia para la arena, específicamente el muestreo.
1. Objeto
Esta norma tiene por objeto especificar la naturaleza, el método de aplicación, la condición de la superficie y el espesor mínimo del revestimiento interno con mortero de cemento centrifugado de los tubos de hierro dúctil para tuberías con o sin presión, como se define en la NTC 2587 y la norma ISO 7186.
Nota. Cuando se utiliza este revestimiento para el transporte de fluidos agresivos, se puede admitir, ya sea por separado o en combinación:
– Un aumento en el espesor del revestimiento.
– La modificación del tipo de cemento.
– La aplicación de un recubrimiento sobre el revestimiento.
2. Normas que deben consultarse
Las siguientes normas contienen disposiciones que, mediante la referencia dentro de este texto, constituyen la integridad del mismo. En el momento de la publicación eran válidas las ediciones indicadas. Todas las normas están sujetas a actualización; los participantes, mediante acuerdos basados en esta norma, deben investigar la posibilidad de aplicar la última versión de las normas mencionadas a continuación:
NTC 30: 1966, Cemento Pórtland. Clasificación y nomenclatura.
NTC 77: 1994, Ingeniería civil y arquitectura. Método para el análisis por tamizado de los agregados finos y gruesos. (ASTM C136)
NTC 121: 1982, Ingeniería civil y arquitectura. Cemento Pórtland. Especificaciones físicas y mecánicas. (ASTM C150)
NTC 174: 2000, Concretos. Especificaciones de los agregados para concreto. (ASTM C33)
NTC 321: 1982, Ingeniería civil y arquitectura. Cemento Pórtland. Especificaciones químicas. (ASTM C150)
NTC 2587: 1999, Tubos, acoples y accesorios de hierro dúctil y sus juntas, para aplicaciones en gas o agua (ISO 2531).
NTC 2629: 1989, Tubería metálica. Tubería de hierro dúctil. Revestimiento de mortero-cemento centrifugado. Controles de composición del mortero recientemente aplicado (ISO 6600).
ISO 6708, Pipe components. Definitions of nominal size.
ISO 7186, Ductile iron pipes and accessories for sewers and drains without pressure.
3. Materiales
3.1 Cemento
El cemento utilizado como revestimiento debe guardar conformidad con las NTC 30, NTC 121 y NTC 321, aplicables a este tipo de producto.
El fabricante podrá utilizar el tipo de cemento que mejor le convenga, según su parecer, sin embargo, debe informarle al comprador.
3.2 Arena
La arena utilizada debe tener una distribución granulométrica controlada, desde los elementos más finos hasta los más gruesos. Debe encontrarse limpia y estar compuesta por partículas granulares inertes, duras, resistentes y estables.
El muestreo se debe efectuar de acuerdo con la NTC 77 aplicable a los materiales de construcción.
La curva granulométrica de la arena se debe establecer por medio de tamices normalizados y debe cumplir los siguientes requisitos:
– NTC 174.
– La fracción fina (partículas que pasan por un tamiz de una abertura de malla de 0,125 mm) no debe ser superior a un 10% de la masa.
– La fracción compuesta por granos hasta un diámetro máximo equivalente a la tercera parte del espesor normal del revestimiento de mortero, no debe ser inferior a un 50%, de la masa.
– La fracción de los granos más gruesos del mortero (partículas que no pasan a través del tamiz cuya abertura de malla es la más cercana de la mitad del espesor normal del revestimiento de mortero), no debe ser superior de un 5%, de la masa.
La limpieza de la arena se considera, desde el punto de vista del contenido de impurezas orgánicas y materias arcillosas, teniendo en cuenta los métodos que se mencionan a continuación.
El ensayo de las impurezas orgánicas se debe hacer aplicando el método colorimétrico, según las Normas Técnicas Colombianas vigentes (usando este método, la arena no debe producir una coloración más oscura que la de la solución de referencia).
La determinación del contenido de materias arcillosas y otras partículas finas en la arena (de dimensión inferior a 80 µm), para la fabricación del revestimiento de mortero de cemento, se debe hacer aplicando las Normas Técnicas Colombianas. El porcentaje no debe exceder el 2% de la masa.
3.3 Agua
El agua utilizada para la preparación del mortero no debe contener ningún elemento o sustancia capaz de perjudicar la calidad del mortero o la del agua que eventualmente el tubo está finalmente destinado a transportar. La presencia de partículas minerales sólidas se puede a dmitir, sin embargo, dentro de los límites que respeten debidamente estos requisitos.
3.4 Mortero
El mortero del revestimiento debe estar compuesto por cemento, arena y agua. Se pueden usar aditivos, que deben ser especificados, con la seguridad de no perjudicar la calidad del revestimiento ni la calidad del agua transportada, y, del mismo modo, que el revestimiento guarde siempre conformidad con todos los requisitos de esta norma.
El mortero se debe mezclar lo más perfectamente posible y su consistencia debe dar lugar a la obtención de un revestimiento denso y homogéneo. El mortero debe contener, en masa, una proporción de cemento de por lo menos, la que corresponde a 3,5 partes de arena (o sea A/C 3,5 el peso en el mortero)(1).
4. Requisitos de la superficie interior del tubo antes de la aplicación del revestimiento
La superficie sobre la cual se va a aplicar el revestimiento no debe contener ningún cuerpo extraño, calamina no adherida o cualquier otro material capaz de oponerse al correcto contacto entre el metal y el revestimiento.
Adicionalmente, la superficie interior del tubo debe estar libre de proyecciones de metal que formen protuberancias que sobrepasen un 50% del espesor del revestimiento.
5. Aplicación del revestimiento
El mortero de cemento del revestimiento se debe aplicar por centrifugación en el interior de los tubos(2).
A excepción de la superficie interna de la unión, las partes del tubo que están destinadas a permanecer en contacto con el agua transportada deben quedar totalmente revestidas de mortero.
El mortero no debe presentar cavidades o burbujas de aire visibles, y debe ser preciso darle una densidad máxima en todos sus puntos. La consistencia del mortero, así como la duración y velocidad de centrifugación del tubo se deben siempre ajustar de tal modo que la segregación de la arena en el revestimiento sea reducida a lo mínimo posible.
Una vez finalizada la centrifugación, el curado del revestimiento debe hacerse a temperaturas superiores a 0oC. La posible pérdida de agua del mortero, por evaporación, debe ser lo suficientemente lenta para no impedir su endurecimiento.
Se permiten las reparaciones de las áreas dañadas o defectuosas. Eliminando entonces, en primer lugar, el mortero dañado de las áreas correspondientes. A continuación, se repararan las áreas defectuosas utilizando, por ejemplo, una paleta para aplicar mortero fresco, de tal modo que se obtenga un revestimiento continuo de espesor constante.
Para tal fin, se utilizará un mortero de consistencia adecuada, al que se le agregarán así se requiere, aditivos para obtener una buena adherencia contra el mortero no dañado.
6. Espesor del revestimiento
El espesor normal del revestimiento y los valores mínimos admisibles en promedio y locales son los establecidos en la Tabla 1.
En los extremos del tubo, el revestimiento puede reducir a valores inferiores del espesor mínimo. La longitud de la parte achaflanada debe ser lo más reducida posible, pero en ningún caso debe ser inferior a 50 mm.
7. Determinación del espesor del revestimiento
El control del espesor del revestimiento se efectúa en el mortero recién centrifugado, por penetración de un alfiler de acero o, en el mortero una vez endurecido, por aplicación de un método de medición no destructivo.
El espesor del revestimiento se debe medir en ambos extremos del tubo, y al menos una sección perpendicular al eje del tubo.
En cada sección que debe estar como mínimo a una distancia de 200 mm a partir del extremo del tubo, la medición se debe efectuar en cuatro puntos espaciados a intervalos de 90o.
Los valores del espesor del revestimiento se deben aproximar a la 0,1 mm más cercana.
El espesor del revestimiento medido en cualquier punto del tubo no debe ser inferior al valor mínimo indicado en la Tabla 1.
La media aritmética de las cuatro medidas en cada sección, no debe ser inferior al valor promedio mínimo que se indica en la Tabla 1.
8. Condición de la superficie del revestimiento endurecido
La superficie del revestimiento de mortero de cemento debe ser uniformemente lisa. Los granos de arena únicamente podrán sobresalir superficialmente y de forma aislada en la superficie del revestimiento.
El revestimiento no debe ser desmoronable, ni presentar rugosidades o surcos que puedan dar lugar a espesores locales inferiores a los valores nominales en un cualquier punto, tal como se especifica en la Tabla 1.
Como consecuencia de la contracción del revestimiento, resulta imposible evitar la formación de grietas. Tanto las grietas de contracción como las grietas aisladas que puedan derivarse de la fabricación o del transporte de los tubos, se pueden aceptar hasta un ancho de 0,8 mm.
La estructura del r evestimiento guarda relación con el proceso de centrifugación.
En la pared interna del revestimiento se forma una capa delgada de arena fina y cemento que puede alcanzar, aproximadamente, la cuarta parte del espesor total del mortero.
9. Condiciones de ensayo
Los diversos controles especificados en esta norma se deben realizar bajo las siguientes condiciones.
9.1 Arena
Generalmente, se considera suficiente la determinación de la curva granulométrica de la arena por medio de una muestra promedio que corresponda para cada procedencia de aprovisionamiento a la cantidad necesaria para una semana de producción.
El control de las impurezas orgánicas y del contenido en cuanto a materias arcillosas podrá ser efectuado únicamente mediante una muestra promedio representativa de las cantidades necesarias para un mes de fabricación.
Se podrán modificar las frecuencias de estos controles acorde a la regularidad de los suministros, y aumentadas por lo menos provisionalmente, en caso de cambio de la procedencia del suministro o bien, de irregularidades comprobadas en los aprovisionamientos de la misma procedencia.
9.2 Espesor del revestimiento
El espesor del revestimiento se debe verificar, por lo menos, en un tubo por turno y por instalación de centrifugación, y para cada diámetro fabricado.
9.3 Aspecto del revestimiento
Se debe someter cada tubo a un control para observar el aspecto del revestimiento, con una referencia especial al estado de superficie y el acabado de los extremos.
De ser necesaria alguna reparación después de este examen, se debe realizar de acuerdo con el método descrito en el numeral 5.

Tabla 1
Espesor de capa del revestimiento con mortero de cemento
Dimensiones en milímetros

1) De conformidad con la norma ISO 6708
2) Masa calculada con base en el espesor normal y un diámetro interior equivalente al valor del diámetro nominal, tomando como densidad 2.200 kg/m3.
3. El valor mínimo 1,5 mm se puede considerar suficiente, según la literatura técnica, para garantizar la protección de las tuberías contra la corrosión.
Documento de Referencia
INTERNATIONAL ORGANIZATION FOR STANDARDIZATION. Ductile Iron Pipes for Pressure and Non-Pressure Pipelines. Centrifugal Cement Mortar Lining. General Requirements. Geneva: ISO, 1985, 4 p. il (ISO 4179).
NORMA NTC 3796 primera actualización. Ingeniería civil y arquitectura. Métodos de ensayo para tubos de gres. Método de ensayo de resistencia a los ácidos de que trata el numeral 8, (Documento de referencia ASTM C 301:93.
Tubos de Arcilla Vitrificada (Gres).
1. Objeto
1.1 Esta norma abarca los equipos y las técnicas para el ensayo de tubos de gres
antes de ser instalados.
El ensayo hace uso de tubos completos para determinar la resistencia de soporte y a las fuerzas hidrostáticas. Así mismo el ensayo hace uso de fragmentos de tubos para cuantificar la absorción de agua en el cuerpo del tubo y la cantidad de material soluble en ácido que puede ser extraído de los mismos.
1.2 Los valores se regirán de acuerdo al sistema internacional de unidades. Véase la NTC 1000. Metrología.
1.3 Esta norma no pretende señalar todos los problemas de seguridad asociados con su uso. Es responsabilidad del usuario de esta norma establecer las prácticas de seguridad y salud y determinar la aplicabilidad de las limitaciones reglamentarias antes de su uso.
Nota 1. Las siguientes normas también están relacionadas con tubos de arcilla y pueden utilizarse para mayor información: la NTC 1259 y norma ASTM C828; norma ASTM C425 y norma ASTM C700.
8. Resistencia a los ácidos
8.1 Se determina la resistencia a los ácidos de los tubos de gres por extracción del material soluble en ácido.
8.2 Reactivos
Cuando se ensaye con ácido sulfúrico (H2SO4), clorhídrico (HCl), nítrico (HNO3) o acético (CH3COOH), según lo especifique el comprador, se debe usar una solución ácida 1 N.
Nota 2. Estas soluciones 1N deben contener, respectivamente, 49 g, 36,5 g, 63 g y 60 g del ácido por litro de solución. Para propósitos de este ensayo, las soluciones pueden prepararse tomando los siguientes volúmenes de ácido diluyéndolos en 1 L; (H2SO4) (G.E. 1,84), 28,5 mL; HCl (G.E. 1,19), 88,9 ml; (HNO3) (G.E. 1,42), 65 mL; y ácido acético (G.E. 1,05), 57,7 mL.
8.3 Especímenes de ensayo
8.3.1 Los especímenes para el ensayo de resistencia a los ácidos deben ser cuadrados de 50 mm de lado aproximadamente, con una masa máxima de 200 g. Deben ser piezas sin defectos con todos sus bordes recién quebrados, libre de grietas o bordes fracturados, y deben estar bien limpias.
8.3.2 Se ensaya como mínimo 1 espécimen de cada tamaño de tubo.
8.4 Aparato de pesado
La balanza usada para medir la masa de los especímenes debe ser sensible a los
0,01 g cuando se carga con 200 g.
8.5 Procedimiento
8.5.1 Se secan los especímenes hasta alcanzar una masa constante a una temperatura no menor que 110oC.
8.5.2 Se suspenden los especímenes secos en el ácido a una temperatura entre los 21oC y 32oC por un período de 48 h, luego se retiran de la solución y se lavan fuertemente con agua caliente, permitiendo que lo lavado regrese de nuevo a la solución en la cual el espécimen estuvo inmerso. Se filtra la solución y se lava el filtro con agua caliente, adicionando el lavado de lo filtrado.
Se agregan 5 mL de (H2SO4) a lo filtrado, luego se evapora la solución (evitando las pérdidas por salpicaduras), hasta cerca de 5 mL; se transfiere a un crisol de porcelana (previamente calentando a una masa constante), y se calienta lentamente hasta lograr el secado. Luego se calienta el residuo a una masa constante.
8.6 Cálculo e informe
Se calcula el porcentaje de material soluble en ácido de la siguiente manera:
material soluble en ácido,% = (R/W) x 100
Donde:
R = masa del residuo
W = masa inicial del espécimen
NORMA NTC 4089. Ingeniería civil y arquitectura. Tubos y accesorios de gres para alcantarillado y perforados para drenaje. Resistencia normal
Tubos de Arcilla Vitrificada (Gres).
1. Objeto
1.1 En esta norma se establecen los criterios para aceptación, antes de la instalación, de tubos y accesorios de gres de resistencia normal destinados al uso en conducción de desechos domésticos e industriales, y de agua lluvia; y de tubos de gres perforados para drenaje de resistencia normal destinados al uso en drenaje subterráneo, campos de filtro, campos de lixiviación e instalaciones similares de drenaje subterráneo.
1.2 Los valores se deben regir de acuerdo al Sistema Internacional de Unidades. Véase la NTC 1000 (ISO 1000)
1.3 La siguiente advertencia de precaución corresponde únicamente a la parte del método de ensayo, numeral 5.6 de esta norma. Esta norma no pretende considerar todos los problemas de seguridad, si existen, relacionados con el uso de la misma. El usuario de esta norma es responsable de establecer procedimientos adecuados de seguridad, salud y determinar la aplicación de limitaciones regulatorias antes de usarla.
5.6.3 Ensayo de resistencia a los ácidos
5.6.3.1 Este requisito se utiliza para determinar la resistencia del tubo a la acción de los ácidos hallados en los alcantarillados sanitarios. El ensayo únicamente se efectúa cuando se requiera en las especificaciones, según el procedimiento de la NTC 3796 (ASTM C 301).
5.6.3.2 Los tubos de cada tamaño y de cada despacho son aceptables si el material soluble en ácido, de los especímenes que representen a esos tubos, no pasa del 0,25%.
5.6.3.3 Si cualquiera de los especímenes de ensayo no cumple los requisitos de resistencia al ácido, se permite una repetición del ensayo, que sea representativo del lote del material original, en ese ácido en particular y el tubo se acepta o se rechaza según lo previsto en el numeral 5.6.1.4.
5.6.1.4 Si alguno de los especímenes de ensayo no cumple los requisitos, se le permitirá al fabricante repetir los ensayos en dos especímenes adicionales por cada uno que haya fallado. Los tubos serán aceptables si todos los especímenes de los ensayos repetidos cumplen el requisito de ensayo.
NORMAS COLOMBIANAS DE DISEÑO Y CONSTRUCCION SISMORRESISTENTE NSR-98
Concreto para los tubos de concreto reforzado y sin refuerzo y sus accesorios. Requisitos de durabilidad exigidos en el Capítulo C.4 de la NSR-98, o el que la modifique o sustituya.
CAPITULO C.4 - REQUISITOS DE DURABILIDAD
C.4.0 – NOMENCLATURA
F'c = Resistencia nominal del concreto a la compresión, expresada en MPa.
C.4.1 – RELACION AGUA – MATERIAL CEMENTANTE
C.4.1.1 – Las relaciones agua – material cementante especificadas en las Tablas
C.4-2 y C.4-3 deben calcularse utilizando el peso de cemento que cumpla las normas NTC 121, NTC 321, ASTM C150, o ASTM C595, más el peso de las cenizas volantes y otras puzolanas que cumplan la norma NTC3493 (ASTM C618), la escoria siderúrgica que cumpla la norma NTC4018 (ASTM C989) y el humo de sílice (microsílica) que cumpla la norma ASTM C1240, si se utiliza cualquiera de estas adiciones.
C.4.2 – EXPOSICION A AMBIENTE HUMEDO O MARINO
C.4.2.1 – El concreto que esté expuesto a ciclos de congelamiento o descongelamiento, o a químicos que impidan el congelamiento, debe tener aire incorporado, en las cantidades indicadas en la Tabla C.4-1. La tolerancia en el contenido de aire debe ser ± 1.5 por ciento. Para resistencias nominales a la compresión, F'c, mayores de 35 MPa, los contenidos de aire dados en la Tabla C.4-1 pueden reducirse hasta 1.0 por ciento.
TABLA C.4-1
CONTENIDO TOTAL DE AIRE PARA CONCRETO CON AIRE INCORPORADO
| Tamaño nominal máximo del agregado, mm (nota-1) | Exposición severa | Exposición moderada |
| 9.5 (3/8”) | 7.5% | 6.5% |
| 12.7 (1/2”) | 7.0% | 5.5% |
| 19.1 (3/4”) | 6.0% | 5.0% |
| 25.4 (1”) | 6.0% | 4.5% |
| 38.1 (1-1/2”) | 5.5% | 4.5% |
| 50.8 (2”) (nota-2) | 5.0% | 4.0% |
| 76.2 (3”) (nota-2) | 4.5% | 3.5% |
Nota-1. Véase la norma NTC 174 (ASTM C33) para las tolerancias en el tamaño nominal máximo de los agregados.
Nota-2. Estos contenidos de aire corresponden a la mezcla total, al igual que los anteriores. En estos casos, cuando se esté realizando el ensayo de contenido de aire, los agregados mayores de 38.1 mm (1-1/2”) se retiran, ya sea manualmente o por medio de tamizado y el contenido de aire se determina sobre los agregados restantes (la tolerancia en el contenido de aire se aplica sobre este valor). El contenido de aire de la mezcla total se calcula sobre los agregados restantes después de que se retiran los mayores de 38.1 mm (1-1/2”).
TABLA C.4-2
REQUISITOS PARA CONDICIONES ESPECIALES DE EXPOSICION
| Condiciones de exposición | Máxima relación agua-material cementante, por peso para concretos de peso normal | Resistencia mínima a la compresión, F'c, en MPa |
| Concreto de baja permeabilidad para ser expuesto al agua | 0.5 | 24 |
| Concreto expuesto a ciclos de congelamiento y descongelamiento en una condición húmeda, o a químicos que impidan el congelamiento | 0.45 | 31 |
| Para la protección contra la corrosión del refuerzo de concreto expuesto a cloruros, sal, agua salina o que puede ser salpicado por agua salina | 0.40 | 35 |
C.4.2.2 – El concreto que esté expuesto a las condiciones de exposición indicadas en la Tabla C.4-2 debe cumplir las relaciones agua – material cementante máximas y las resistencias mínimas a la compresión indicadas allí.
Además los concretos que pueden estar expuestos a químicos que impidan el congelamiento deben cumplir las limitaciones dadas en C.4.2.3
C.4.2.3 – Para concretos que puedan estar expuestos a químicos que impidan el congelamiento, el máximo contenido, por peso, de cenizas volantes, otras puzolanas, humo de sílice o escoria, que se adicionen al concreto, no deben exceder los porcentajes de peso total del material cementante dados en la Tabla C.4-3.
TABLA C.4-3
REQUISITOS PARA CONCRETOS EXPUESTOS A QUIMICOS QUE IMPIDAN
EL CONGELAMIENTO
| Material cementante | Máximo porcentaje del total de materiales cementantes, por peso (Nota-1) |
| Cenizas volantes u otras puzolanas que cumplen con la norma NTC3493 (ASTM C618) | 25% |
| Escoria que cumple la norma NTC4018 (ASTM C989) | 50% |
| Humo de sílice que cumple la norma ASTM C1240 | 10% |
| Total de cenizas volantes u otras puzolanas, escoria y humo de sílice | 50% (Nota-2) |
| Total de cenizas volantes u otras puzolanas y humo de sílice | 35% (Nota-2) |
Nota-1. El contenido total de materiales cementantes también incluye cementos fabricados bajo las normas NTC121 y NTC321, ASTM C150, ASTM C595, y ASTM C845. El porcentaje máximo dado en la tabla incluye las cenizas volantes, u otras puzolanas, la escoria, y el humo de sílice presente dentro de los cementos.
Nota-2. Las c enizas volantes, u otras puzolanas, no deben constituir más del 25 por ciento del peso total de material cementante, ni el humo de sílice más del 10 por ciento del peso total del material cementante.
C.4.3 – EXPOSICION A SULFATOS
C.4.3.1 – El concreto que pueda verse expuesto a soluciones o suelos que contengan sulfatos debe cumplir los requisitos de la Tabla C.4-4 o fabricarse con cemento resistente a los sulfatos y con una relación agua–material cementante que no exceda el valor máximo dado en la misma tabla, y debe tener la resistencia mínima a la compresión indicada allí.
C.4.3.2 – El cloruro de calcio no debe utilizarse como aditivo en concretos que puedan verse expuestos a soluciones que contengan sulfatos de una manera severa o muy severa como las define la Tabla C.4-4.
TABLA C.4-4
REQUISITOS PARA CONCRETO EXPUESTO A SOLUCIONES QUE CONTIENEN SULFATOS
| Exposición al sulfato | Sulfatos solubles en agua (SO4), en el suelo, porcentaje en Peso | Sulfatos (SO4), en el agua, en partes por millón | Tipo de cemento | Relación agua-material cementante máxima por peso (1) | Resistencia mínima a la compresión, F'c, en MPa |
| Despreciable | 0.00 a 0.10 | 0 a 150 | - | - | |
| Moderada (2) | 0.10 a 0.20 | 150 a 1500 | II (3) | 0.50 | 28 |
| Severa | 0.20 a 2.00 | 1500 a 10000 | V | 0.45 | 32 |
| Muy Severa | Más de 2.00 | Más de 10000 | V con puzolanas (4) | 0.45 | 32 |
Nota-1. Puede requerirse una relación agua-material cementante menor pro requisitos de baja permeabilidad o para protección contra la corrosión.
Nota-2. Agua marina.
Nota-3. Además de los cementos Tipo II se incluyen los MS.
Nota-4. Puzolanas que cuando se utilizan con cementos Tipo V, hayan demostrado que mejoran la resistencia del concreto a los sulfatos bien sea por ensayos o por buen comportamiento en condiciones de servicio.
C.4.4 – CORROSION DEL REFUERZO
C.4.4.1 – Con el fin de proteger el acero de refuerzo contra la corrosión, las concentraciones máximas de ión cloruro soluble en agua, medidas en el concreto endurecido con edades entre 28 y 42 días, aportado por los ingredientes del concreto incluyendo el agua, los agregados, el material cementante y los aditivos, no debe exceder los límites de la Tabla C.4-5. El procedimiento de ensayo para determinar el contenido de ión cloruro soluble en agua debe ser el dado por la norma NTC 4049 (ASTM C1218 o AASHTO T260).
C.4.4.2 – Cuando el concreto reforzado que pueda verse expuesto a agua salina o marina, o a salpicaduras de esta agua, deben cumplir los requisitos de relación agua-material cementante dados en la Tabla C.4-2 y los requisitos de recubrimiento del refuerzo dados en C.7.7. Véase C.18.14 respecto a tendones de preesfuerzo no adheridos.
TABLA C.4.5
MAXIMO CONTENIDO DEL ION CLORURO PARA LA PROTECCION
CONTRA LA CORROSION
| Tipo de elemento | Máximo contenido del ión cloruro (Cl) en el concreto expresado como porcentaje del peso del cemento |
| Concreto preesforzado | 0.06 |
| Concreto reforzado expuesto al cloruro en servicio | 0.15 |
| Concreto reforzado que estará seco o protegido de la humedad en servicio | 1.00 |
| Otros tipos de construcción en concreto reforzado | 0.3 |