RESOLUCIÓN 2086 DE 2010
(octubre 25)
Diario Oficial No. 47.876 de 28 de octubre de 2010
MINISTERIO DE AMBIENTE, VIVIENDA Y DESARROLLO TERRITORIAL
Por la cual se adopta la metodología para la tasación de multas consagradas en el numeral 1o del artículo 40 de la Ley 1333 del 21 de julio de 2009 y se toman otras determinaciones.
LA MINISTRA DE AMBIENTE, VIVIENDA Y DESARROLLO TERRITORIAL,
en uso de sus facultades legales y especialmente en las consagradas en el artículo 11 del Decreto 3678 del 4 de octubre de 2010, y
CONSIDERACIONES:
Que mediante la Ley 1333 de 21 de julio de 2009, el Congreso Nacional expidió el nuevo régimen sancionatorio ambiental, en el que señaló a través de su artículo 40, las sanciones a imponer al infractor de las normas ambientales por parte de las autoridades ambientales.
Que el numeral 1o del citado artículo, consagró que las autoridades ambientales impondrán multas diarias de hasta por cinco mil (5000) salarios mínimos mensuales legales vigentes.
Que a su vez, el parágrafo segundo del artículo 40 de la citada ley, determinó que el Gobierno Nacional fijaría los criterios para la imposición de las sanciones al infractor de las normas ambientales.
Que el Gobierno Nacional, mediante el Decreto 3678 del 4 de octubre de 2010, expidió los criterios para generales que deberán tener en cuenta las autoridades ambientales para la imposición de las sanciones consagradas en el artículo 40 de la Ley 1333 del 21 de julio de 2009.
Que el artículo décimo primero del citado decreto, consagró que Ministerio de Ambiente, Vivienda y Desarrollo Territorial deberá elaborar y adoptar una metodología a través de la cual se desarrollen los criterios para la tasación de las multas, los cuales servirán a las autoridades ambientales para la imposición de dichas sanciones.
Que la mencionada metodología se desarrolló contemplando los criterios de beneficio ilícito; factor de temporalidad; grado de afectación ambiental y/o evaluación del riesgo; circunstancias agravantes y atenuantes; costos asociados y capacidad socioeconómica del infractor, los cuales fueron tenidos en cuenta por el Gobierno Nacional a través del Decreto 3678 del 4 de octubre de 2010.
Que en mérito de lo expuesto,
RESUELVE:
ARTÍCULO 1o. OBJETO. La presente resolución tiene por objeto establecer la metodología para la tasación de las multas consagradas en el numeral 1o del artículo 40 de la Ley 1333 del 2009, la cual deberá ser aplicada por todas las autoridades ambientales.
ARTÍCULO 2o. DEFINICIONES. A efectos de la correcta interpretación de la presente resolución, se adoptan las siguientes definiciones:
Beneficio ilícito (B): Consiste en la ganancia que obtiene el infractor. Este beneficio puede estar constituido por ingresos directos, costos evitados o ahorros de retrasos. El beneficio ilícito se obtiene de relacionar la ganancia producto de la infracción con la capacidad de detección.
Capacidad socioeconómica del infractor (Cs): Es el conjunto de condiciones de una persona natural o jurídica que permiten establecer su capacidad de asumir una sanción pecuniaria.
Circunstancias atenuantes y agravantes (A): Las circunstancias atenuantes y agravantes son factores que están asociados al comportamiento del infractor, al grado de afectación del medio ambiente o del área, de acuerdo a su importancia ecológica o al valor de la especie afectada, las cuales se encuentran señaladas de manera taxativa en los artículos 6 y 7 de la Ley 1333 de 21 de julio de 2009.
Costo de retrasos: Es la utilidad obtenida por el infractor y expresada en ahorros, derivadas de los retrasos en la realización de las inversiones exigidas por la ley.
Costos asociados: Son aquellas erogaciones en las cuales incurre la autoridad ambiental durante el proceso sancionatorio y que son responsabilidad del infractor. Estos costos son diferentes a aquellos que le son atribuibles a la autoridad ambiental en ejercicio de la función policiva que le establece la Ley 1333 de 2009.
Costos evitados: Es el beneficio económico obtenido por el incumplimiento de la norma ambiental, estimado como el valor del ahorro económico al evitar las inversiones exigidas por la norma que sean necesarias para prevenir un grado de afectación ambiental o potencial.
Evaluación del riesgo (r): Es la estimación del riesgo potencial de afectación derivado de la infracción a la normativa ambiental o a los actos administrativos y que no se concreta en impactos ambientales.
Factor de temporalidad (á): Es el factor que considera la duración de la infracción ambiental, identificando si esta se presenta de manera instantánea o continua en el tiempo. En aquellos casos en donde la autoridad ambiental no pueda determinar la fecha de inicio y de finalización de la infracción, se considerará dicha infracción como un hecho instantáneo.
Grado de afectación ambiental: Es la medida cualitativa del impacto a partir del grado de incidencia de la alteración producida y de sus efectos. Se obtiene a partir de la valoración de ciertos atributos, los cuales determinan la importancia de la afectación.
Impactos relevantes: Son los impactos que, por sus características, tienen una incidencia desfavorable importante sobre el recurso.
Importancia de la afectación (I): Es la medida cualitativa del impacto a partir de la valoración de determinados atributos, por medio de una función establecida.
Ingresos directos por actividad ilícita: Son los ingresos del infractor generados directamente por la producción, explotación o aprovechamiento expresamente prohibido en la ley o que se ejecute sin el cumplimiento de las condiciones establecidas en esta.
Multa: Es la sanción de tipo administrativo que se impone a un infractor de una norma y que consiste en la obligación de pagar una suma de dinero.
Nivel Sisbén: Es la clasificación de los grupos poblacionales de acuerdo con las características socioeconómicas en el Sistema de Identificación y Clasificación de Potenciales Beneficiarios para Programas Sociales - Sisbén.
Capacidad de detección de la conducta (p): Es la posibilidad de que la autoridad ambiental detecte la ocurrencia de una infracción ambiental.
ARTÍCULO 3o. CRITERIOS. Los siguientes son los criterios a tener en cuenta en la metodología para la tasación de las sanciones pecuniarias:
B: Beneficio ilícito
á: Factor de temporalidad
i: Grado de afectación ambiental y/o evaluación del riesgo
A: Circunstancias agravantes y atenuantes
Ca: Costos asociados
Cs: Capacidad socioeconómica del infractor.
ARTÍCULO 4o. MULTAS. Para la tasación de las multas, las autoridades ambientales deberán tomar como referencia los criterios contenidos en el artículo 4o de la presente Resolución y la aplicación de la siguiente modelación matemática:
Multa = B+[(á*i)*(1+A)+Ca]* Cs
PARÁGRAFO. El riesgo potencial de afectación que se derive de aquellas infracciones que no se concretan en afectación ambiental, deberá ser valorado e incorporado dentro de la variable Grado de afectación ambiental, de conformidad con lo establecido en parágrafo segundo del artículo noveno de la presente resolución.
ARTÍCULO 5o. MOTIVACIÓN. Todo acto administrativo que imponga una multa deberá sustentar de manera clara y suficiente cada uno de los criterios tenidos en cuenta para su tasación.
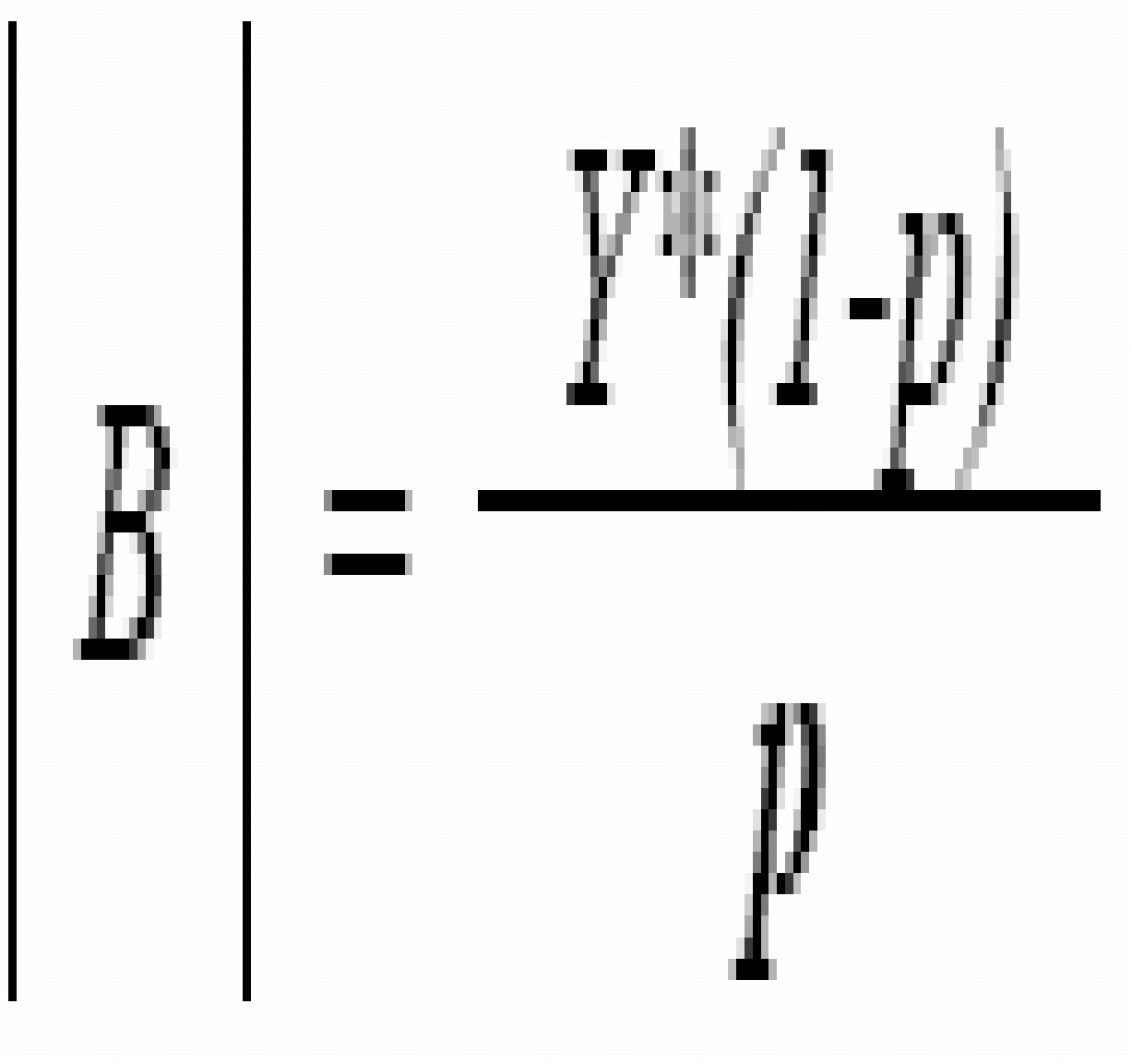
ARTÍCULO 6o. BENEFICIO ILÍCITO (B). El cálculo del beneficio ilícito podrá estimarse a partir de la estimación de las siguientes variables:
-- Ingresos directos (y1);
-- Costos evitados (y2);
-- Ahorros de retraso (y3);
-- Capacidad de detección de la conducta (p);
La relación entre ingresos, costos y ahorros (y1, y2, y3) y la capacidad de detección de la conducta (p), determina el beneficio ilícito obtenido por el infractor mediante la siguiente relación:

Donde:
| B: | Beneficio ilícito obtenido por el infractor |
| Y: | Sumatoria de ingresos y costos |
| p: | capacidad de detección de la conducta, la cual está en función de las condiciones de la autoridad ambiental y puede tomar los siguientes valores: |
- Capacidad de detección baja: p = 0.40
- Capacidad de detección media: p = 0.45
- Capacidad de detección alta: p = 0.50
PARÁGRAFO 1o. En aquellos casos en donde el beneficio ilícito sea calculado a partir de los ahorros de retraso, se deberá hacer el respectivo descuento tributario teniendo como base del porcentaje destinado al pago de impuestos y asociado con el ahorro obtenido al realizar las inversiones con posterioridad a lo exigido por la ley.
PARÁGRAFO 2o. En todo caso, el beneficio B no podrá superar los 5.000 salarios mínimos legales mensuales vigentes cuando se trate de hechos instantáneos (
= 1). De igual manera cuando se trate de hechos continuos, el beneficio B no podrá superar la siguiente relación:
B<2*[(
*i)*(1+A)+Ca]*Cs
ARTÍCULO 7o. GRADO DE AFECTACIÓN AMBIENTAL (I). Para la estimación de esta variable, se deberá estimar la importancia de la afectación mediante la calificación de cada uno de los atributos, atendiendo los criterios y valores presentados en la siguiente tabla:
| Atributos | Definición | Calificación | Ponderación |
| Intensidad (IN) | Define el grado de incidencia de la acción sobre el bien de protección | Afectación de bien de protección representada en una desviación del estándar fijado por la norma y comprendida en el rango entre 0 y 33%. | 1 |
| Afectación de bien de protección representada en una desviación del estándar fijado por la norma y comprendida en el rango entre 34% y 66%. | 4 | ||
| Afectación de bien de protección representada en una desviación del estándar fijado por la norma y comprendida en el rango entre 67% y 99%. | 8 | ||
| Afectación de bien de protección representada en una desviación del estándar fijado por la norma igual o superior o al 100%. | 12 | ||
| Extensión (EX) | Se refiere al área de influencia del impacto en relación con el entorno | Cuando la afectación puede determinarse en un área localizada e inferior a una (1) hectárea. | 1 |
| Cuando la afectación incide en un área determinada entre una (1) hectárea y cinco (5) hectáreas. | 4 | ||
| Cuando la afectación se manifiesta en un área superior a cinco (5) hectáreas. | 12 | ||
| Persistencia (PE) | Persistencia (PE): Se refiere al tiempo que permanecería el efecto desde su aparición y hasta que el bien de protección retorne a las condiciones previas a la acción | Si la duración del efecto es inferior a seis (6) meses. | 1 |
| Cuando la afectación no es permanente en el tiempo, se establece un plazo temporal de manifestación entre seis (6) meses y cinco (5) años. | 3 | ||
| Cuando el efecto supone una alteración, indefinida en el tiempo, de los bienes de protección o cuando la alteración es superior a 5 años. | 5 | ||
| Reversibilidad (RV) | Capacidad del bien de protección ambiental afectado de volver a sus condiciones anteriores a la afectación por medios naturales, una vez se haya dejado de actuar sobre el ambiente. | Cuando la alteración puede ser asimilada por el entorno de forma medible en un periodo menor de 1 año. | 1 |
| Aquel en el que la alteración puede ser asimilada por el entorno de forma medible en el mediano plazo, debido al funcionamiento de los procesos naturales de la sucesión ecológica y de los mecanismos de autodepuración del medio. Es decir, entre uno (1) y diez (10) años. | 3 | ||
| Cuando la afectación es permanente o se supone la imposibilidad o dificultad extrema de retornar, por medios naturales, a sus condiciones anteriores. Corresponde a un plazo superior a diez (10) años. | 5 | ||
| Recuperabilidad (MC) | Capacidad de recuperación del bien de protección por medio de la implementación de medidas de gestión ambiental | Si se logra en un plazo inferior a seis (6) meses. | 1 |
| Caso en que la afectación puede eliminarse por la acción humana, al establecerse las oportunas medidas correctivas, y así mismo, aquel en el que la alteración que sucede puede ser compensable en un periodo comprendido entre 6 meses y 5 años. | 3 | ||
| Caso en que la alteración del medio o pérdida que supone es imposible de reparar, tanto por la acción natural como por la acción humana. | 10 | ||
Una vez calificados cada uno de los atributos, se procede a determinar la importancia de la afectación de acuerdo con la siguiente relación:
I = (3*IN) + (2*EX) + PE + RV + MC
La importancia de la afectación, puede ser calificada como irrelevante, leve, moderada, severa o crítica, atendiendo los valores presentados en la siguiente tabla:
| Calificación | Descripción | Medida Cualitativa | Rango |
| Importancia (I) | Medida cualitativa del impacto a partir del grado de incidencia de la alteración producida y de sus efectos. | Irrelevante | 8 |
| Leve | 9 -20 | ||
| Moderado | 21-40 | ||
| Severo | 41-60 | ||
| Crítico | 61-80 | ||
Una vez determinada la importancia de la afectación, se procede a establecer el grado de afectación ambiental en unidades monetarias, mediante la siguiente relación, la cual ajusta el monto de la multa a lo establecido por ley:
i = (22.06*SMMLV)*I
Donde:
| i: | Valor monetario de la importancia de la afectación |
| SMMLV: | Salario mínimo mensual legal vigente |
| I: | Importancia de la afectación |
PARÁGRAFO 1o. En aquellos casos en los cuales confluyan dos o más infracciones, se procede mediante el cálculo del promedio de la importancia de aquellas afectaciones que se consideren relevantes.
PARÁGRAFO 2o. El grado de afectación ambiental (i) estará afectado por la variable alfa (á) como un factor de temporalidad que refleja el número de días de la afectación.
PARÁGRAFO 3o. La variable alfa (á) se calculará aplicando la siguiente relación:

Donde:
| d: | número de días continuos o discontinuos durante los cuales sucede el ilícito (entre 1 y 365). |
ARTÍCULO 8o. EVALUACIÓN DEL RIESGO (R). Para aquellas infracciones que no se concretan en afectación ambiental, se evalúa el riesgo, mediante la siguiente relación:
r = o x m
Donde:
| r | Riesgo |
| o | Probabilidad de ocurrencia de la afectación |
| m | Magnitud potencial de la afectación |
Probabilidad de ocurrencia de la afectación (o). La probabilidad de ocurrencia de la afectación se puede califcomo muy alta, alta, moderada, baja o muy baja y atendiendo los valores presentados en la siguiente tabla:
| Calificación | Probabilidad de ocurrencia (o) |
| Muy alta | 1 |
| Alta | 0.8 |
| Moderada | 0.6 |
| Baja | 0.4 |
| Muy baja | 0.2 |
Magnitud Potencial de la afectación (m). La magnitud o nivel potencial de la afectación se puede calificar como irrelevante, leve, moderado, severo o crítico, aplicando la metodología de valoración de la importancia de la afectación y suponiendo un “escenario con afectación”. Una vez obtenido el valor de (I) se determina la magnitud potencial de la afectación con base en la siguiente tabla:
| Criterio de valoración de afectación | Importancia de la afectación (I) | Magnitud potencial de la afectación (m) |
| Irrelevante | 8 | 20 |
| Leve | 9-20 | 35 |
| Moderado | 21-40 | 50 |
| Severo | 41-60 | 65 |
| Crítico | 61-80 | 80 |
Una vez realizada la evaluación del riesgo, se procede a monetizar, mediante la siguiente relación:
R = (11.03 x SMMLV) x r
Donde:
| R | Valor monetario de la importancia del riesgo |
| SMMLV | Salario mínimo mensual legal vigente |
| r | Riesgo |
PARÁGRAFO 1o. En aquellos casos en los cuales confluyan dos o más infracciones que generen riesgo potencial de afectación, se realiza un promedio de sus valores.
PARÁGRAFO 2o. En los casos en los cuales suceda más de una infracción que se concreten en afectación y riesgo, se procederá mediante el promedio simple de los resultados obtenidos al monetizar tales infracciones o riesgos.
ARTÍCULO 9o. CIRCUNSTANCIAS AGRAVANTES Y ATENUANTES. Cada una de las circunstancias agravantes y atenuantes podrá ser calificada conforme a los valores dados en las siguientes tablas:
| Agravantes | Valor |
| Reincidencia. En todos los casos la autoridad deberá consultar el RUIA y cualquier otro medio que provea información sobre el comportamiento pasado del infractor. | 0.2 |
| Que la infracción genere daño grave al medio ambiente, a los recursos naturales, al paisaje o a la salud humana. | Circunstancia valorada en la importancia de la afectación. |
| Cometer la infracción para ocultar otra. | 0.15 |
| Rehuir la responsabilidad o atribuirla a otros. | 0.15 |
| Infringir varias disposiciones legales con la misma conducta. | Circunstancia valorada en la importancia de la afectación. |
| Atentar contra recursos naturales ubicados en áreas protegidas, o declarados en alguna categoría de amenaza o en peligro de extinción, o sobre los cuales existe veda, restricción o prohibición. | 0.15 |
| Realizar la acción u omisión en áreas de especial importancia ecológica. | 0.15 |
| Obtener provecho económico para sí o para un tercero. | Circunstancia valorada en la variable Beneficio (B). |
| Obstaculizar la acción de las autoridades ambientales. | 0.2 |
| El incumplimiento total o parcial de las medidas preventivas. | 0.2 |
| Que la infracción sea grave en relación con el valor de la especie afectada, lo cual se determina por sus funciones en el ecosistema, por sus características particulares y por el grado de amenaza a que esté sometida. | Circunstancia valorada en la importancia de la afectación. |
| Las infracciones que involucren residuos peligrosos. | Circunstancia valorada en la importancia de la afectación. |
| Atenuantes | Valor |
| Confesar a la autoridad ambiental la infracción antes de haberse iniciado el procedimiento sancionatorio. Se exceptúan los casos de flagrancia. | - 0.4 |
| Resarcir o mitigar por iniciativa propia el daño, compensar o corregir el perjuicio causado antes de iniciarse el procedimiento sancionatorio ambiental, siempre que con dichas acciones no se genere un daño mayor. | - 0.4 |
| Que con la infracción no exista daño al medio ambiente, a los recursos naturales, al paisaje o la salud humana. | Circunstancia valorada en la importancia de la afectación potencial |
PARÁGRAFO. Cuando se presenten más de dos (2) agravantes para la imposición de la multa, tendrán en cuenta las siguientes restricciones:
| Escenarios | Máximo valor |
| Dos agravantes | 0.4 |
| Tres agravantes | 0.45 |
| Cuatro agravantes | 0.5 |
| Cinco agravantes | 0.55 |
| Seis agravantes | 0.6 |
| Siete agravantes | 0.65 |
| Ocho agravantes | 0.7 |
| Dos atenuantes | - 0.6 |
| Suma de agravantes con atenuantes | Valor suma aritmética |
| Si existe un atenuante donde no hay daño al medio ambiente | Valor suma aritmética |
ARTÍCULO 10. CAPACIDAD SOCIOECONÓMICA DEL INFRACTOR. Para el cálculo de la Capacidad Socioeconómica del Infractor, se tendrá en cuenta la diferenciación entre personas naturales, personas jurídicas y entes territoriales, de conformidad con las siguientes tablas:
1. Personas naturales. Para personas naturales se tendrá en cuenta la clasificación del Sisbén, conforme a la siguiente tabla:
| Nivel Sisbén | Capacidad de pago |
| 1 | 0.01 |
| 2 | 0.02 |
| 3 | 0.03 |
| 4 | 0.04 |
| 5 | 0.05 |
| 6 | 0.06 |
| Población especial: Desplazados, indígenas y desmovilizados. | 0.01 |
2. Personas jurídicas: Para personas jurídicas se aplicarán los ponderadores presentados en la siguiente tabla:
| Tamaño de la Empresa | Factor de ponderación |
| Microempresa | 0.25 |
| Pequeña | 0.5 |
| Mediana | 0.75 |
| Grande | 1.0 |
3. Entes territoriales: Para determinar la variable de capacidad de pago para los entes territoriales, se aplicarán los ponderadores presentados en las siguientes tablas:
Para Departamentos
| Categoría | Número de Habitantes | Ingresos anuales de libre destinación (smmlv) | Factor ponderador - capacidad de pago |
| Especial | Mayor o igual a 2.000.000 | Más de 600.000 | 1 |
| Primera | 700.001 – 2.000.000 | 170.001 – 600.000 | 0.9 |
| Segunda | 390.001 – 700.000 | 122.001 – 170.000 | 0.8 |
| Tercera | 100.001 – 390.000 | 60.001 – 122.000 | 0.7 |
| Cuarta | Igual o inferior a 100.000 | Igual o inferior a 60.000 | 0.6 |
Para Municipios
| Categoría | Número de habitantes | Ingresos anuales de libre destinación (smmlv) | Factor ponderador - capacidad de pago |
| Especial | Mayor o igual 500.001 | Más de 400.000 | 1 |
| Primera | 100.001 – 500.000 | 100.000 – 400.000 | 0.9 |
| Segunda | 50.001 – 100.000 | 50.000 – 100.000 | 0.8 |
| Tercera | 30.001 – 50.000 | 30.000 – 50.000 | 0.7 |
| Cuarta | 20.001 – 30.000 | 25.000 – 30.000 | 0.6 |
| Quinta | 10.001 – 20.000 | 15.000. – 25.000 | 0.5 |
| Sexta | Igual o inferior a 10.000 | No superior a 15.000 | 0.4 |
PARÁGRAFO 1o. Para las personas naturales que no se encuentre registrado en la base de datos del Sisbén, la autoridad ambiental podrá requerir al infractor documentación que certifique su nivel socioeconómico. Así mismo, se podrán consultar otras bases de datos del nivel nacional en donde se consigne información socioeconómica del infractor. Por ejemplo bases de datos del DANE, DIAN, Registraduría Nacional del Estado Civil, entre otros.
PARÁGRAFO SEGUNDO: Para los departamentos administrativos, ministerios, empresas de la Nación, entidades descentralizadas del nivel nacional se establece un factor ponderador de capacidad económica igual a 1. Esto en concordancia con la naturaleza, las responsabilidades asignadas y el status atribuible a estas entidades.
ARTÍCULO 11. COSTOS ASOCIADOS. De conformidad con el Decreto 3678 de 2010, corresponde a aquellas erogaciones en las cuales incurre la autoridad ambiental durante el proceso sancionatorio y que son responsabilidad del infractor en los casos en que establece la ley. Estos costos son diferentes a aquellos que le son atribuibles a la autoridad ambiental en ejercicio de la función policiva que le establece la Ley 1333 de 2009.
ARTÍCULO 12. MANUAL CONCEPTUAL Y PROCEDIMENTAL. Este Ministerio adoptará y difundirá un Manual Conceptual y Procedimental de la Metodología para el Cálculo de Multas por Infracción a la Normativa Ambiental, el cual se constituirá en una guía para la imposición de multas por parte de las autoridades ambientales en ejercicio de la función policiva contenida en la Ley 1333 de 2009.
El manual en comento podrá ser consultado en la página web del Ministerio.
ARTÍCULO 13. VIGENCIA. La presente resolución rige a partir de su publicación en el Diario Oficial y deroga todas las disposiciones que le sean contrarias.
Publíquese y cúmplase.
Dada en Bogotá, D. C., a 25 de octubre de 2010.
La Ministra de Ambiente, Vivienda y Desarrollo Territorial,
BEATRIZ ELENA URIBE BOTERO.
Centro Normativo Keralty
n.d.
Última actualización: 30 de diciembre de 2025
