RESOLUCIÓN 1566 DE 2025
(julio 2)
Diario Oficial No. 53.170 de 3 de julio de 2025
Diario Oficial disponible en la web de la Imprenta Nacional de Colombia el 4 de julio de 2025
MINISTERIO DE HACIENDA Y CRÉDITO PÚBLICO
Por la cual se reconoce como deuda pública de la Nación en virtud del artículo 237 de la Ley 1955 de 2019 y el artículo 153 de la Ley 2294 de 2023, y se ordena el pago, de los valores a favor de las entidades recobrantes que fueron reconocidos mediante Acto Administrativo de la Administradora de los Recursos del Sistema General de Seguridad Social en Salud (ADRES).
EL DIRECTOR GENERAL DE CRÉDITO PÚBLICO Y TESORO NACIONAL,
en uso de sus facultades legales, en especial las conferidas por el artículo 110 del Decreto número 111 de 1996, la Resolución número 1123 del 25 de mayo de 2005, el artículo 237 de la Ley 1955 de 2019, el artículo 22 del Decreto número 521 de 2020, y el artículo 153 de la Ley 2294 de 2023.
CONSIDERANDO:
Que el artículo 237 de la Ley 1955 de 2019 dispone que: "Con el fin de contribuir a la sostenibilidad financiera del Sistema General de Seguridad Social en Salud (SGSSS), el Gobierno nacional definirá los criterios y los plazos para la estructuración, operación y seguimiento del saneamiento definitivo de las cuentas de recobro relacionadas con los servicios y tecnologías de salud no financiados con cargo a la UPC del régimen contributivo. (…)"; así mismo, estableció los requisitos que deben cumplir los servicios y tecnologías en salud no financiadas con cargo a la UPC del régimen contributivo, en el marco del saneamiento definitivo, y contempló como una condición para este, que la Entidad Recobrante y la Administradora de los Recursos de Sistema de Seguridad Social en Salud (ADRES) suscriban un contrato de transacción que acepten los resultados de la auditoría.
Que, en desarrollo de lo establecido en el artículo antes referido, el Gobierno nacional expidió el Decreto número 521 de 2020, por el cual se establecen los criterios y los plazos para la estructuración, operación y seguimiento del saneamiento definitivo de las cuentas por concepto de servicios y tecnologías de salud no financiados con cargo a la UPC del régimen contributivo.
Que los artículos 14 y 17 del Decreto número 521 de 2020 establecen los lineamientos para determinar los montos a reconocer y pagar, así como los criterios para el giro de los recursos por concepto de los servicios y tecnologías de salud no financiadas con cargo a la UPC del régimen contributivo que resulten aprobados en el proceso de auditoría.
Que el artículo 19 del Decreto número 521 de 2020 dispone que los montos reconocidos como deuda pública que se expidan para los fines de que trata el artículo 237 de la Ley 1955 de 2019 no podrán exceder el valor máximo que para la vigencia determine el Consejo Superior de Política Fiscal (Confis) en consonancia con el plan financiero de la vigencia correspondiente.
Que, a su vez, el artículo 20 del Decreto número 521 de 2020 establece en cuanto al registro contable, que la ADRES emitirá un acto administrativo en el que indicará el valor a favor de las entidades recobrantes producto del proceso auditoría y lo registrará en sus estados financieros.
Que de conformidad con lo previsto en el artículo 21 del Decreto número 521 de 2020, la ADRES certificará, con destino al Ministerio de Hacienda y Crédito Público, el monto total reconocido a favor de las entidades recobrantes, previos los descuentos de que trata el artículo 17 del referido decreto, así como el cumplimiento de las condiciones establecidas para el saneamiento definitivo.
Que el artículo 110 del Decreto número 111 de 1996 establece que los órganos que son una sección en el Presupuesto General de la Nación tendrán la capacidad de contratar y comprometer a nombre de la persona jurídica de la cual hagan parte y ordenar el gasto en desarrollo de las apropiaciones incorporadas en la respectiva sección, lo que constituye la autonomía presupuestal a que se refiere la Constitución Política y la ley.
Que el artículo antes citado dispone que estas facultades se encuentran radicadas en cabeza del Jefe de cada órgano ejecutor, quién podrá delegarlas en funcionarios del nivel directivo o quienes hagan sus veces, los que las ejercerán teniendo en cuenta las disposiciones legales vigentes.
Que mediante la Resolución número 1123 del 25 de mayo de 2005, el Ministro de Hacienda y Crédito Público delegó la ordenación del gasto del Servicio de la Deuda de la Nación en el Director General de Crédito Público y Tesoro Nacional.
Que el artículo 153 de la Ley 2294 de 2023, establece que: "Para efectos de lograr el saneamiento definitivo de las cuentas de servicios y tecnologías en salud no financiados con cargo a la UPC, así como los pasivos en salud de la atención de la emergencia sanitaria ocasionada por el COVID-19, deberán cumplirse las siguientes reglas: El reconocimiento y pago de los servicios y tecnologías no financiados con cargo a la UPC prestados con anterioridad al 31 de diciembre de 2019 deberá ceñirse a las disposiciones contenidas en los artículos 237 y 245 de la Ley 1955 de 2019. Solo podrán reconocerse como deuda pública las cuentas que para el 31 de diciembre de 2023 presenten resultado definitivo de auditoría. (…). En ningún caso, el valor pagado por estas atenciones podrá superar el valor máximo para reconocimiento establecido por el Ministerio de Salud y Protección Social. (…) Las cuentas que cumplan con las condiciones señaladas serán reconocidas como deuda pública y podrán ser pagadas con cargo al servicio de deuda pública del Presupuesto General de la Nación. Los montos que serán reconocidos como deuda pública y pagados en virtud de lo establecido en este artículo no podrán exceder el valor máximo que para cada vigencia se determine en el plan financiero de la vigencia correspondiente".
Que mediante oficio con número de Radicado 2-2025-005845 del 28 de enero de 2025, la Secretaria Ejecutiva del Consejo Superior de Política Fiscal (Confis) informó que "(…) El Consejo Superior de Política Fiscal (CONFIS), mediante la cual, se indica que, en la sesión presencial del 24 de enero de 2025, en virtud de los dispuesto en los numerales 1, 2 y 3 del artículo 153 de la Ley 2294 de 2023 aprobó espacio en el Plan Financiero para:
- Atender el pago de los servicios y tecnologías en salud no financiados con la UPC que al 31 de diciembre de 2023 presenten resultado de auditoría definitivo, en el marco del saneamiento de que tratan los artículos 237 y 245 de la Ley 1955 de 2019, por valor de $71.695.560.769. (…) con cargo al servicio de deuda del Presupuesto General de la Nación de la vigencia 2025".
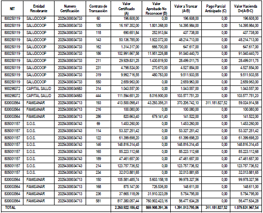
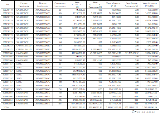
Que mediante la comunicación radicada en el Ministerio de Hacienda y Crédito Público con el número 1-2025-054291 del 28 de mayo de 2025, el Director General de la ADRES remitió las certificaciones suscritas por el Director de Otras Prestaciones de la ADRES, en las cuales certifican lo siguiente: "Que una vez suscritos los contratos de transacción conforme a lo estipulado en el artículo 16 del Decreto 521 de 2020 modificado por el artículo 4o del Decreto 507 de 2022, CAPITAL SALUD E.P.S., SaludCoop E.P.S., S.O.S. E.P.S. y FAMISANAR E.P.S. reingresó cuentas por servicios y tecnologías no financiados con recursos de la UPC al saneamiento definitivo de que trata el artículo 237 de la Ley 1955 de 2019 y una vez adelantado el proceso de auditoría en los términos del Decreto número 521 de 2020, modificado por el Decreto número 507 de 2022 y la Resolución número 618 de 2020 le fueron aprobados recursos; por lo que, le corresponde su reconocimiento y pago, conforme se relaciona a continuación:

Cifra en pesos
Así mismo, en virtud del numeral 1 del artículo 153 de la Ley 2294 de 2023, que establece "El reconocimiento y pago de los servicios y tecnologías no financiados con cargo a la UPC prestados con anterioridad al 31 de diciembre de 2019 deberá ceñirse a las disposiciones contenidas en los artículos 237 y 245 de la Ley 1955 de 2019. Solo podrán reconocerse como deuda pública las cuentas que para el 31 de diciembre de 2023 presenten resultado definitivo de auditoría» se certifica y solicita lo correspondiente a los contratos de transacción que se han suscrito. Ahora, los valores aprobados coinciden con lo estipulado en los contratos de transacción suscritos con la mencionadas EPS, conforme a lo establecido en el Decreto número 521 de 2020, modificado por el Decreto número 507 de 2022.
Cabe informar que fueron descontados de los contratos de transacción el valor aprobado de los ítems que no cumplieron con las condiciones establecidas para este mecanismo, de la siguiente manera:
- CAPITAL SALUD E.P.S., por un valor de $8.016.900,00.
- SaludCoop E.P.S., por un valor de $18.776.553,22.
- S.O.S. E.P.S., por un valor de $0,00.
- FAMISANAR E.P.S., por un valor de $843.114.938,14.
En consecuencia, el monto que se debe disponer a la ADRES para dar cumplimiento al Título III del Decreto número 521 de 2020, modificado por el Decreto número 507 de 2022, asciende a:
- CAPITAL SALUD E.P.S., $104.621.308,20.
- SaludCoop E.P.S., $200.131.863,00.
- S.O.S. E.P.S., $553.452.911,92.
- FAMISANAR E.P.S., $221.625.884,42.
(…)".
Que mediante la comunicación de que trata el considerando anterior, el Director General de la ADRES remitió a su vez la Resolución número 0040681 del 20 de mayo de 2025, "Por medio de la cual se indican los valores a favor de las entidades recobrantes que fueron reconocidos en el marco del saneamiento definitivo de que trata el artículo 153 de la Ley 2294 de 2023, el artículo 237 de la Ley 1955 de 2019 y el Decreto número 521 de 2020, modificado por el Decreto número 1810 de 2020 y el Decreto número 507 de 2022, por concepto de cuentas de servicios y tecnologías en salud no financiados con cargo a la UPC".
Que mediante el acto administrativo indicado en la consideración anterior, según se indica en su artículo primero, la ADRES estableció que "(…) se reconoció a la entidad recobrante la suma de mil setenta y nueve millones ochocientos treinta y un mil novecientos sesenta y siete pesos con cincuenta y cuatro centavos ($1.079.831.967,54) moneda corriente, producto del proceso de auditoría que se realizó a las cuentas por servicios y tecnologías en salud no financiadas con la UPC, los cuales fueron prestados con anterioridad al 31 de diciembre de 2019 y contaron con resultado definitivo de auditoría con anterioridad al 31 de diciembre de 2023; y sobre las cuales se adelantó la suscripción de los contratos de transacción, conforme la siguiente distribución:


Los valores aprobados coinciden con lo estipulado en los contratos de transacción suscritos con la mencionada EPS, conforme a lo establecido en el Decreto número 521 de 2020, modificado por el Decreto número 1810 de 2020 y el Decreto número 507 de 2022.
En consecuencia, el monto total que se debe disponer a la ADRES para dar cumplimiento al Título III del Decreto número 521 de 2020 asciende a $1.079.831.967,54. (…)".
RESUELVE:
ARTÍCULO 1o. RECONOCIMIENTO COMO DEUDA PÚBLICA Y ORDEN DE PAGO. Reconózcase como deuda pública la suma de mil setenta y nueve millones ochocientos treinta y un mil novecientos sesenta y siete pesos con cincuenta y cuatro centavos ($1.079.831.967,54) moneda corriente, a favor de la Administradora de los Recursos del Sistema General de Seguridad Social en Salud (ADRES), y en consecuencia procédase al pago con cargo al rubro de servicio de la deuda del Presupuesto General de la Nación de la vigencia 2024, de conformidad con el siguiente detalle:

ARTÍCULO 2o. GIRO DE RECURSOS. El giro a que se refiere el artículo 1o de la presente Resolución se efectuará por parte de la Subdirección de Operaciones de la Dirección General de Crédito Público y Tesoro Nacional a la ADRES, para que esta última proceda a la distribución de los fondos y pago a los beneficiarios finales, atendiendo las instrucciones bancarias que establezcan las partes involucradas en este proceso.
ARTÍCULO 3o. PLAZOS. De conformidad con lo dispuesto en el artículo 24 del Decreto número 521 de 2020, la ADRES girará a los beneficiarios que las Entidades Recobrantes hayan señalado en los términos del artículo 18 del citado decreto. El giro a los beneficiarios lo realizará la ADRES una vez aprobadas las modificaciones presupuestales y dentro de los cinco (5) días hábiles siguientes al recibo de los recursos.
ARTÍCULO 4o. REINTEGRO. En caso de presentarse reintegros de recursos por parte de las entidades beneficiarias a la ADRES, conforme lo previsto en el artículo 3o del Decreto número 1281 de 2002, la ADRES deberá consignar los recursos reintegrados en las cuentas bancarias que indique la Subdirección de Operaciones de la Dirección General de Crédito Público y Tesoro Nacional, en los términos previstos en el artículo 36 del Decreto número 521 de 2020.
ARTÍCULO 5o. RESPONSABILIDAD POR LA VERACIDAD DE LA INFORMACIÓN. En concordancia con lo dispuesto en el artículo 25 del Decreto número 521 de 2020, la veracidad y la oportunidad de la información radica exclusivamente en el representante legal de las entidades recobrantes, sin que implique responsabilidad alguna para la Dirección General de Crédito Público y Tesoro Nacional, en los términos del parágrafo sexto del artículo 237 de la Ley 1955 de 2019. Lo anterior sin perjuicio de las sanciones penales, disciplinarias y fiscales a que haya lugar por incumplimiento en lo previsto en la presente resolución.
ARTÍCULO 6o. VIGENCIA. La presente resolución rige a partir de la fecha de su publicación.
Publíquese, comuníquese y cúmplase.
Dada en Bogotá, D. C., a 2 de julio de 2025.
El Director General de Crédito Público y Tesoro Nacional,
Javier Andrés Cuéllar Sánchez.