RESOLUCIÓN 3099 DE 2015
(agosto 19)
Diario Oficial No. 49.639 de 18 de septiembre de 2015
MINISTERIO DE HACIENDA Y CRÉDITO PÚBLICO
Por la cual se determinan las fórmulas para establecer el saldo de una pensión de un salario mínimo legal mensual vigente, la suma adicional a cargo de las aseguradoras previsionales y los parámetros técnicos para calcular una mesada pensional en la modalidad de retiro programado.
NOTAS DE VIGENCIA: - Modificada por la Resolución 3023 de 2017, 'por la cual se modifica el artículo 1o de la Resolución número 3099 de 2015', publicada en el Diario Oficial No. 50.362 de 20 de septiembre de 2017. |
EL MINISTRO DE HACIENDA Y CRÉDITO PÚBLICO,
CONSIDERANDO:
Que de acuerdo con lo dispuesto en el artículo 2o del Decreto 142 de 2006 que modificó el artículo 9o del Decreto 832 de 1996, corresponde a este Ministerio establecer las fórmulas para el cálculo del saldo de una cuenta individual suficiente para cubrir vitaliciamente una pensión mínima, consultando los precios de las pólizas de Renta Vitalicia vigentes en el mercado, bajo la denominación de Saldo de Pensión Mínima (SPM).
Que de conformidad con el artículo 11 del Decreto 832 de 1996, compete al Ministerio de Hacienda y Crédito Público establecer las fórmulas que deben emplear las aseguradoras previsionales para calcular la suma adicional de que trata el artículo 8o del Decreto 832 de 1996, la cual corresponderá al valor de la prima única que la aseguradora cobraría por una póliza de Renta Vitalicia de un salario mínimo, disminuida en el saldo de la cuenta individual y el valor del bono y/o título pensional.
Que de conformidad con el artículo 12 del Decreto 832 de 1996, compete al Ministerio de Hacienda y Crédito Público establecer las fórmulas que deben emplear las Administradoras de Fondo de Pensiones (AFP) para establecer si un afiliado puede contratar un Retiro Programado.
Que este Ministerio agotó el procedimiento de consulta frente a la Superintendencia Financiera de Colombia, en la forma dispuesta en los artículos 9o del Decreto 142 de 2006 y 11 del Decreto 832 de 1996.
Que de conformidad con el artículo 14 de la Ley 100 de 1993, las pensiones cuyo monto mensual sea igual al salario mínimo legal mensual vigente, serán reajustadas de oficio cada vez y con el mismo porcentaje en que se incremente dicho salario por el Gobierno, razón por las cual se hace necesario establecer un parámetro de crecimiento del salario mínimo en el saldo de pensión mínima de que trata el artículo 9o del Decreto 832 de 1996.
Que por lo anterior se hace necesario establecer las fórmulas para calcular el capital necesario que debe acreditarse en una cuenta de ahorro individual suficiente para cubrir vitaliciamente una pensión mínima, en las modalidades de renta vitalicia y retiro programado y el valor de la suma adicional a cargo de la aseguradora previsional, que se requiere para financiar una pensión mínima de invalidez y sobrevivientes,
RESUELVE:
ARTÍCULO 1o. SALDO DE PENSIÓN MÍNIMA (SPM). <Artículo modificado por el artículo 1 de la Resolución 3023 de 2017. El nuevo texto es el siguiente:> El Saldo de Pensión Mínima, que se define en el presente artículo, deberá ser usado como un referente para determinar si el afiliado al Régimen de Ahorro Individual con Solidaridad (RAIS) cuenta con el capital suficiente para cubrir vitaliciamente la pensión mínima de que trata el artículo 35 de la Ley 100 de 1993, sin perjuicio de lo establecido en el artículo 2.2.5.5.1 del Decreto número 1833 de 2016, en relación con los precios de mercado.
El Saldo de Pensión Mínima para efectos de la presente resolución se abreviará como SPM y se calculará de acuerdo con las siguientes fórmulas:


PARÁGRAFO 1. Para determinar los recursos con los que cuenta el afiliado, deberá tenerse en cuenta el saldo de la cuenta de ahorro individual, el valor del bono y/o título pensional a que hubiese lugar, el cual se calculará capitalizado y actualizado hasta la fecha del cálculo conforme con la reglamentación vigente, y las cotizaciones voluntarias de conformidad con la normatividad vigente.
PARÁGRAFO 2. Aplicación del saldo de pensión mínima. La Administradora de Fondos de Pensiones (AFP) del Régimen de Ahorro Individual con Solidaridad (RAIS), al recibir una solicitud de pensión de vejez, en la que el capital acumulado en la cuenta de ahorro individual sea inferior al monto que resulte de la aplicación de la fórmula establecida en este artículo, iniciará el trámite de Garantía de Pensión Mínima si a ella hay lugar o procederá con la devolución de saldos si se cumplen los requisitos establecidos en la ley.
Por otro lado, si el capital acumulado en la cuenta de ahorro individual es mayor o igual al monto que resulte de la aplicación de la fórmula establecida en este artículo, la Administradora deberá verificar que el saldo sea suficiente para obtener una pensión en la modalidad de retiro programado, empleando para ello la fórmula de cálculo según su propia nota técnica, depositada en la Superintendencia Financiera de Colombia a fin de obtener un pronunciamiento de no objeción, la cual deberá contemplar como mínimo los parámetros a los que hace referencia el artículo 4o de la presente resolución y que en todo caso será determinada por la Administradora de Fondos de Pensiones (AFP) con las bases técnicas que considere respaldan adecuadamente la estructura financiera de esta modalidad de pensión.
En caso de que el capital resulte suficiente para financiar una pensión en la modalidad de retiro programado, la Administradora en virtud de lo establecido en el artículo 79 de la Ley 100 de 1993, deberá indicar al afiliado del reconocimiento de la pensión y deberá en virtud del deber de asesoría, informar sobre todas las modalidades de pensión bajo las cuales puede ser reconocida la prestación, incluyendo la modalidad de renta vitalicia y retiro las cuales puede ser reconocida la prestación, incluyendo la modalidad de renta vitalicia y retiro programado; explicando los riesgos y beneficios asociados a cada uno de ellos, siguiendo el procedimiento establecido en los artículos 2.2.6.2.2 y siguientes del Decreto número 1833 de 2016 y del Título 10 del Libro 6 de la Parte 2 del Decreto 2555 de 2010.
En caso de que el capital resulte ser insuficiente para acceder a la modalidad de retiro programado, la Administradora de Fondos de Pensiones (AFP) deberá iniciar el procedimiento de cotización de las otras modalidades de pensión aprobadas por la Superintendencia Financiera de Colombia, incluyendo la modalidad de renta vitalicia. En aquellos casos en los cuales no se reciba ninguna oferta por parte de las Compañías Aseguradoras de Vida, la Administradora de Fondos de Pensiones deberá guardar soporte del proceso de cotización realizado, el cual debe respetar los lineamientos de los artículos 2.2.6.2.2 y siguientes del Decreto número 1833 de 2016, y deberá indicar al afiliado que el capital acreditado en su cuenta resulta insuficiente, razón por la cual se procederá a dar inicio al estudio de acceso a la garantía de pensión mínima.
En el evento, anteriormente señalado, la Administradora de Fondos de Pensiones (AFP) deberá verificar que el afiliado cumpla con los requisitos de semanas y edad establecidos en el artículo 65 de la Ley 100 de 1993, y de ser así deberá proceder a solicitar ante la Oficina de Bonos Pensionales del Ministerio de Hacienda y Crédito Público el reconocimiento de la garantía de pensión mínima, de conformidad con el artículo 2.2.5.4.4 del Decreto número 1833 de 2016. Para ello la Administradora deberá adjuntar a la solicitud los soportes correspondientes que acrediten, la insuficiencia de capital para la modalidad de Retiro Programado y la falta de ofertas para las otras modalidades de pensión, soportes que deberán ser definidos por la Oficina de Bonos Pensionales mediante instructivo dirigido a todas las Administradoras.
Si el afiliado cumple con el requisito de edad, pero no con el requisito de semanas contemplados en el artículo 65 de la Ley 100 de 1993, de conformidad con lo establecido en el artículo 66 de la Ley 100 de 1993, se procederá con la devolución de saldos, previa asesoría al afiliado sobre la posibilidad de continuar cotizando y acerca de la posibilidad de trasladar su devolución al mecanismo de beneficios económicos periódicos (BEPS). En caso de que el afiliado no cumpla con el requisito de edad, deberá indicársele que aún no procede la devolución de saldos y la posibilidad que tiene de continuar cotizando.
- Artículo modificado por el artículo 1 de la Resolución 3023 de 2017, 'por la cual se modifica el artículo 1o de la Resolución número 3099 de 2015', publicada en el Diario Oficial No. 50.362 de 20 de septiembre de 2017. Rige a partir de los treinta (30) días hábiles siguientes a la fecha de su publicación (Art. 3). |
Resolución MINHACIENDA 3023 de 2017; Art. 2 |
Texto original de la Resolución 3099 de 2015: ARTÍCULO 1. El Saldo de Pensión Mínima, que se define en el presente artículo, deberá ser usado para determinar si el afiliado al Régimen de Ahorro Individual con Solidaridad cuenta con el capital suficiente para cubrir vitaliciamente la pensión mínima de que trata el artículo 35 de la Ley 100 de 1993, de conformidad con el artículo 9o del Decreto 832 de 1996. El Saldo de Pensión Mínima para efectos de la presente resolución se abreviará como SPM y se calculará de acuerdo con las siguientes fórmulas: Sea:
Donde: s: Mes de cálculo, s = 0, 1, 2, ..., 11. Asignando los números de la siguiente forma: 0 en 1 enero (31 de diciembre año anterior) 1 en 1 febrero (31 de enero) … 11 en 1 diciembre (30 de noviembre) VA: Valor presente actuarial, en pesos, de una renta vitalicia para el causante o sus beneficiarios. AF: Valor presente actuarial, en pesos, del pago por concepto de auxilio funerario. SMM: Valor en pesos de un salario mínimo mensual vigente, al momento del cálculo Para s=0
PARÁGRAFO. Para determinar si el afiliado cuenta con el capital suficiente para pensionarse de acuerdo con la formulación del SPM, deberá tenerse en cuenta el saldo de la cuenta de ahorro individual, el valor del bono y/o título pensional a que hubiese lugar, el cual se calculará capitalizado y actualizado hasta la fecha del cálculo conforme la reglamentación vigente y las cotizaciones voluntarias si así lo dispone el afiliado. |
ARTÍCULO 2o. CONTROL DEL SALDO PARA EL ACCESO A LA GARANTÍA DE PENSIÓN MÍNIMA. El saldo de la cuenta de ahorro individual de que trata el literal a) del artículo 9o del Decreto 832 de 1996, modificado por el artículo 2o del Decreto 142 de 2006, se calculará de acuerdo con lo siguiente:
Sea R la tasa efectiva anual unitaria de rentabilidad mínima calculada por la Superintendencia Financiera de Colombia para el portafolio asociado a Retiro Programado en los Fondos de Pensiones, vigente a la fecha del cálculo.
Cada vez que se pague una mesada a los afiliados a quienes se les reconoció derecho a Garantía de Pensión Mínima de Vejez, la AFP calculará el valor presente, a la tasa R, de todos los pagos a realizarse en el año calendario siguiente, incluyendo la mesada adicional, proyectando el valor del salario mínimo legal a partir del próximo mes de enero. Si el saldo de la cuenta individual, incluido el valor del bono y/o título pensional, es inferior a este valor presente, la AFP lo informará a la Oficina de Bonos Pensionales que establece el procedimiento para la revisión de la información y acceso a la garantía.
ARTÍCULO 3o. VALOR DEL SINIESTRO POR MUERTE O INVALIDEZ. La suma de que habla el artículo 8o del Decreto 832 de 1996 a pagar por la compañía aseguradora de vida para financiar una pensión de invalidez o sobrevivientes, será equivalente a la diferencia entre la prima única de una póliza de renta vitalicia de una pensión de invalidez o sobrevivencia, no inferior al salario mínimo legal mensual vigente, pagadera a partir de la fecha de causación de la pensión y el valor del bono o título pensional más el saldo en la cuenta de ahorro individual a la fecha de causación de la pensión, es decir:
SA = PU - BP - SCI
Donde:
SA: Suma adicional.
PU: Prima única que cobraría la aseguradora por una póliza de renta vitalicia igual a la pensión correspondiente de invalidez o sobrevivencia, con pagos a partir de la fecha de causación de la pensión.
BP: Valor del bono pensional actualizado y capitalizado hasta la fecha de causación de la pensión.
SCI: Saldo en la cuenta de ahorro individual, a la fecha de causación de la pensión.
Si la fórmula anterior conduce a un valor negativo, no habrá pago alguno por la aseguradora.
La actualización y capitalización del bono pensional se efectuará conforme a la reglamentación vigente.
PARÁGRAFO. En todo caso, la Suma Adicional (SA) aportada por la aseguradora, deberá ser suficiente para completar el capital necesario para comprar una póliza de renta vitalicia, por el valor de la pensión correspondiente de invalidez o sobrevivencia, la cual, en todo caso no podrá ser inferior a un salario mínimo.
ARTÍCULO 4o. PARÁMETROS TÉCNICOS PARA EL CÁLCULO DEL RETIRO PROGRAMADO. Para el cálculo de mesada de Retiro Programado descrito en el segundo inciso del artículo 81 de la Ley 100 de 1993, las Administradoras de Fondo de Pensiones deberán utilizar como mínimo los siguientes parámetros técnicos:
a) Tablas de mortalidad de que trata el artículo 1o de la presente resolución;
b) Tasa de interés técnico de que trata el artículo 1o de la presente resolución;
c) Inflación de acuerdo al parámetro f del artículo 1o de la presente resolución;
d) Crecimiento de los beneficios pensionales, considerando el promedio de los últimos diez años de la diferencia entre el incremento del salario mínimo mensual vigente y el IPC 12 meses a 31 de diciembre del año inmediatamente anterior, certificado por el DANE;
e) Supuesto de afectación del saldo en la cuenta de ahorro por el ajuste de los beneficiarios;
f) Supuesto de afectación del saldo en la cuenta de ahorro por el pago de la comisión de administración del fondo de retiro programado.
Concepto SUPERFINANCIERA 177235 de 2020 |
ARTÍCULO 5o. APLICACIÓN. Las disposiciones aquí contenidas tendrán efecto para las solicitudes pensionales que se presenten a partir de la entrada en vigencia de esta resolución.
ARTÍCULO 6o. VIGENCIA. La presente resolución rige a partir de la fecha de su publicación y deroga en su totalidad la Resolución 1875 de 1997.
Publíquese y cúmplase.
Dada en Bogotá, D. C., a 19 de agosto de 2015.
El Ministro de Hacienda y Crédito Público,
MAURICIO CÁRDENAS SANTAMARÍA.
ANEXO RESOLUCIÓN 3099 DE 2015
(agosto 19)
Diario Oficial No. 49.643 de 22 de septiembre de 2015
MINISTERIO DE HACIENDA Y CRÉDITO PÚBLICO
Dando alcance a la Resolución número 3099 del 19 de agosto de 2015, por la cual se determinan las fórmulas para establecer el saldo de una pensión de un salario mínimo legal mensual vigente, la suma adicional a cargo de las aseguradoras previsionales y los parámetros técnicos para calcular una mesada pensional en la modalidad de retiro programado, publicada en el Diario Oficial número 49.639 del 18 de septiembre de 2015, a continuación se publica el Anexo que hace parte integral de la misma, conforme a lo dispuesto en el artículo 1o, literal r) del acto administrativo en mención:
METODOLOGÍA PARA EL CÁLCULO DE LA TASA DE INTERÉS REAL APLICABLE AL SALDO DE PENSIÓN MÍNIMA.
Para el cálculo de la tasa de interés real aplicable r de que trata el artículo 1o de esta resolución deberá utilizarse la siguiente metodología:
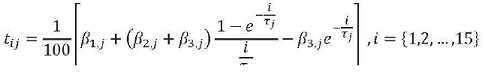
1. Siendo
1, j,
2, j,
3, j y
j los parámetros diarios del Proveedor de Precios de la Curva Cero Cupón para Títulos TES en UVR (CEC en UVR) para las Administradoras de Fondos de Pensiones, de los días de mercado j de los últimos tres meses, se calcula t para el horizonte i de la siguiente forma:

2. A partir del cálculo de ti j, se calcula el promedio aritmético de los últimos tres meses como:

3. Con esto se construye el vector ET:
![]()
4. Se calculan los excesos de retorno reales promedio ponderado por volumen de negociación de los bonos corporativos con indicador IPC transados en el mercado secundario con calificación AAA en los últimos 3 meses.
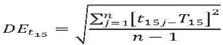
5. Se calcula la desviación estándar para las tasas t15j halladas en (1) así:

donde T15 es la tasa promedio para horizontes de 15 años calculada en (2)
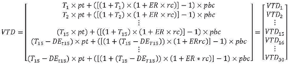
6. Ahora se calcula el vector de tasas de interés de 1 a 30 años, aumentado por los excesos de retorno hallados en (3) y la desviación hallada en (4) de la siguiente forma:

donde la ponderación pt de las tasas T1, la ponderación pbc del exceso de retorno ER y el parámetro del riesgo de crédito rc son los siguientes:
![]()
7. Se calcula una tasa equivalente o Tasa interna de Retorno al vector de tasas VTD resolviendo para TITSPM en la siguiente ecuación:

8. Finalmente, para los cálculos posteriores al 31 de diciembre de 2015 el valor publicado corresponderá al siguiente promedio móvil exponencial:
![]()
que inicia con rh-1 = 0.0381 y la constante = 0,92.
Centro Normativo Keralty
n.d.
Última actualización: 30 de diciembre de 2025




