RESOLUCIÓN 3413 DE 2009
(septiembre 16)
Diario Oficial No. 47.475 de 17 de septiembre de 2009
MINISTERIO DE LA PROTECCIÓN SOCIAL
MINISTERIO DE HACIENDA Y CRÉDITO PÚBLICO
<NOTA DE VIGENCIA: Resolución derogada por el artículo 9 de la Resolución 248 de 2014>
Por la cual se fijan los mecanismos de cálculo que definen los montos de giro y distribución de los recursos de la cuenta de alto costo para las Empresas Promotoras de Salud del Régimen Contributivo y del Régimen Subsidiado, y Entidades Obligadas a Compensar, en el caso de la Terapia de Reemplazo Renal por Enfermedad Renal Crónica, ERC.
EL MINISTRO DE LA PROTECCIÓN SOCIAL Y EL MINISTRO DE HACIENDA Y CRÉDITO PÚBLICO,
en ejercicio de sus atribuciones legales, especialmente las conferidas en el literal b) del artículo 25 de la Ley 1122 de 2007 y el artículo 4 del Decreto 2699 de 2007, y
CONSIDERANDO:
Que el artículo 4o del Decreto 2699 de 2007 establece que el monto de recursos que corresponda girar a cada Entidad Promotora de Salud y demás entidades obligadas a compensar y el monto mensual que le corresponderá en la distribución, será el que resulte de aplicar el mecanismo que se establezca mediante resolución conjunta del Ministerio de la Protección Social y del Ministerio de Hacienda y Crédito Público, para cada tipo de enfermedad de alto costo y de actividades de protección específica, detección temprana y atención de enfermedades de interés en salud pública directamente relacionadas con las enfermedades de alto costo que se seleccionen;
Que para tales efectos, los Ministerios de la Protección Social y Hacienda y Crédito Público expidieron la Resolución 3215 de 2007, “por la cual se fijan los mecanismos de cálculo para definir los montos de aporte por parte de las Empresas Promotoras de Salud del Régimen Contributivo y del Régimen Subsidiado, y Entidades Obligadas a Compensar, y de distribución de recursos de la cuenta de alto costo, en el caso de la terapia de reemplazo renal por Enfermedad Renal Crónica, ERC”;
Que posteriormente se expidió la Resolución número 4700 de 2008, “por la cual se definen la periodicidad, la forma y el contenido de la información que deben reportar las Entidades Promotoras de Salud y las demás Entidades Obligadas a Compensar para la operación de la Cuenta de Alto Costo”;
Que la información recibida en virtud de las herramientas establecidas por la Resolución número 4700 de 2008, permitió modelar mecanismos de distribución de recursos que reflejaran adecuadamente las diferencias en concentración del riesgo de las distintas Entidades Promotoras de Salud y de las Entidades Obligadas a Compensar;
Que dicha información implica modificar los mecanismos de cálculo de la Resolución 3215 de 2007, de modo que se incluyan las diferencias observadas respecto a la distribución del riesgo a que hace referencia en el considerando anterior,
RESUELVEN:
ARTÍCULO 1o. OBJETO. <Resolución derogada por el artículo 9 de la Resolución 248 de 2014> Mediante la presente resolución se establecen los mecanismos de cálculo que deberán aplicar las Entidades Promotoras de Salud del Régimen Contributivo (EPS) y del Régimen Subsidiado (EPS-S), así como las Entidades Obligadas a Compensar (EOC), para definir los montos mensuales de giro y distribución de los recursos de la subcuenta de enfermedades ruinosas y catastróficas, que la cuenta de alto costo administrará financieramente de conformidad con lo establecido en la Resolución número 2565 de 2007 del Ministerio de la Protección Social.
ARTÍCULO 2o. FUENTES DE INFORMACIÓN Y PERIODICIDAD DE LOS CÁLCULOS. <Resolución derogada por el artículo 9 de la Resolución 248 de 2014> El mecanismo de cálculo definido en la presente resolución se aplicará utilizando la información que, recogida en virtud de la Resolución número 4700 de 2008, haya sido validada, auditada y certificada por el organismo de administración de la Cuenta de Alto Costo, para cada una de las variables de que trata el artículo 5o de la presente resolución y se aplicará con la misma periodicidad definida en el artículo 2o de la Resolución número 4700 de 2008 y las normas que la modifiquen, adicionen o sustituyan.
ARTÍCULO 3o. DE LAS FUENTES DE INFORMACIÓN PARA LA POBLACIÓN. <Resolución derogada por el artículo 9 de la Resolución 248 de 2014> La fuente de información para el número de afiliados por cada EPS, EPS-S y EOC en cada grupo de edad, será la Base de Datos única de Afiliados, utilizando la misma fecha de corte definida en el artículo 2o de la Resolución número 4700 de 2008, del reporte de información que se esté utilizando para el cálculo del número de pacientes con diagnóstico confirmado de ERC estadio 5.
ARTÍCULO 4o. DE LOS GRUPOS ETARIOS. <Resolución derogada por el artículo 9 de la Resolución 248 de 2014> Los grupos etarios en años cumplidos a usar en las categorías serán:
| -- Entre 0 y 4 años | -- Entre 45 y 49 años |
| -- Entre 5 y 9 años | -- Entre 50 y 54 años |
| -- Entre 10 y 14 años | -- Entre 55 y 59 años |
| -- Entre 15 y 19 años | -- Entre 60 y 64 años |
| -- Entre 20 y 24 años | -- Entre 65 y 69 años |
| -- Entre 25 y 29 años | -- Entre 70 y 74 años |
| -- Entre 30 y 34 años | -- Entre 75 y 79 años |
| -- Entre 35 y 39 años | -- Entre 80 y más años |
-- Entre 40 y 44 años
ARTÍCULO 5o. VARIABLES QUE SE DEBEN TENER EN CUENTA. <Resolución derogada por el artículo 9 de la Resolución 248 de 2014> <Artículo modificado por el artículo 1 de la Resolución 4917 de 2009. El nuevo texto es el siguiente:> Para efectos de la presente resolución, se establecen las siguientes definiciones que se determinarán para el periodo de reporte, con la información de que trata el artículo 2o de la presente resolución:
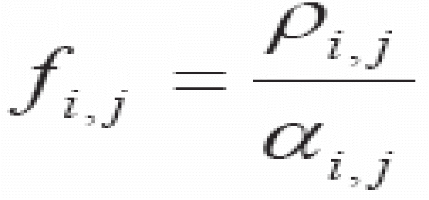
ri, j : Número de pacientes con ERC estadio 5 en el grupo de edad j, afiliados a la EPSi, EPS-Si y EOCi.
ai, j: Número de afiliados a la EPSi, EPS-Si y EOCi, que pertenecen al grupo de edad j.
aj: Número de afiliados para el grupo de edad j para todas las EPS, EPS-S y EOC.
f i j ,: Frecuencia de casos observados de pacientes con ERC estadio 5 en el grupo de edad j de la EPSi, EPS-Si y EOCi.
f j : Frecuencia de casos observados de pacientes con ERC estadio 5 en el grupo de edad j, para todas las EPS, EPS-S y EOC.
sj: Desviación estándar de las frecuencias de ERC estadio 5 en el grupo de edad j, para todas las EPS, EPS-S y EOC.
LIC j inferior: Límite inferior del intervalo de confianza para la frecuencia de ERC estadio 5, en el grupo de edad j.
LIC j superior: Límite superior del intervalo de confianza para la frecuencia de ERC estadio 5, en el grupo de edad j.
di, j : Desviación en frecuencia de ERC estadio 5 en el grupo de edad j, de la EPSi, EPS-Si y EOCi.
r d i, j: Número de casos de ERC estadio 5 que representa la desviación en frecuencia en el grupo de edad j, de la EPSi, EPS-Si y EOCi.
CED , i j: Costo Estándar mensual de las desviaciones en frecuencia para cada EPSi, EPS-Si y EOCi en cada grupo de edad j.
CED i: Costo Estándar mensual para cada EPSi, EPS-Si y EOCi.
VNADFi: Valor neto mensual de giro o distribución de la Cuenta de Alto Costo, de la EPSi, EPS-Si y EOCi.
: Costo estándar mensual por paciente de la atención de la ERC estadio 5, certificado por el organismo de administración de la Cuenta de Alto Costo.
N: Número total de EPS, EPS-S y EOC, en los regímenes Contributivo y Subsidiado.
ARTÍCULO 6o. MECANISMO DE CÁLCULO PARA DEFINIR LOS MONTOS DE LOS GIROS A LA CUENTA DE ALTO COSTO POR CADA UNA DE LAS EPS, EPS-S Y EOC, Y LOS MONTOS MENSUALES DE DISTRIBUCIÓN DESDE LA CUENTA DE ALTO COSTO HACIA CADA UNA DE LAS EPS, EPS-S Y EOC. <Resolución derogada por el artículo 9 de la Resolución 248 de 2014> Para definir el monto de giros y distribución mensual de la cuenta de alto costo, se utilizarán las siguientes ecuaciones y el procedimiento descrito a continuación:
1. Frecuencias de ERC estadio 5 para cada EPS, EPS-S y EOC, en cada grupo de edad:

2. Frecuencias de ERC estadio 5 en cada grupo de edad, para la totalidad de EPS, EPS-S y EOC.

3. Intervalo de confianza para las frecuencias de ERC estadio 5 de cada EPS, EPS-S y EOC. <Numeral modificado por el artículo 2 de la Resolución 4917 de 2009. El nuevo texto es el siguiente:> A partir de las frecuencias y las desviaciones estándar para cada grupo de edad j, se calculan los límites inferior y superior del intervalo utilizando las siguientes fórmulas:

Este intervalo es definido para un nivel de confianza de una curva normal del 90%.
4. Desviación (diferencia di, j ) entre la frecuencia de cada EPS, EPS-S y EOC en cada grupo de edad y la frecuencia para la totalidad de las EPS, EPS-S y EOC en cada grupo de edad. <Numeral modificado por el artículo 2 de la Resolución 4917 de 2009. El nuevo texto es el siguiente:> Con el fin de reconocer la naturaleza estocástica de las frecuencias de ERC estadio 5 y la naturaleza poblacional de dicho fenómeno, la mencionada desviación se calculará solamente para aquellas EPS, EPS-S y EOC que estén por fuera del intervalo de confianza calculado anteriormente. La desviación en frecuencia para aquellas EPS, EPS-S y EOC que estén por dentro del intervalo de confianza se define como cero.

5. Desviación en frecuencia de cada EPS, EPS-S y EOC en cada grupo de edad, en términos del número de casos que representa dicha desviación. Para ello se multiplica la desviación en frecuencia, estimada en el punto anterior por la población de la EPS, EPSS y EOC en el grupo de edad respectivo.

6. Costo Estándar mensual de las desviaciones en frecuencia para cada EPS, EPS-S y EOC en cada grupo de edad. Se cuantifica cada uno de los casos de ERC que representan la desviación en frecuencia, a su costo estándar mensual calculado y certificado por el organismo de administración de la Cuenta de Alto Costo.
![]()
7. Costo Estándar mensual para cada EPS, EPS-S y EOC. Los valores cuantificados en el punto 6 se suman para cada EPS y EOC.
![]()
8. Valor mensual neto de giro y distribución de la Cuenta de Alto Costo para cada EPS, EPS-S y EOC. Con el fin de mantener el equilibrio en la Cuenta de Alto Costo, de tal forma que los giros sean equivalentes a los recursos a distribuir, es necesario aplicar un ajuste proporcional a la suma del punto 7. De esta manera, el valor mensual final del giro 0 distribución de la Cuenta de Alto Costo, para cada EPS, EPS-S y EOC está dado por:

ARTÍCULO 7o. VIGENCIA. <Resolución derogada por el artículo 9 de la Resolución 248 de 2014> La presente resolución rige a partir de la fecha de publicación, deroga la Resolución 3215 de 2007 y las demás disposiciones que le sean contrarias.
Publíquese y cúmplase.
Dada en Bogotá, D. C., a 16 de septiembre de 2009.
El Ministro de Hacienda y Crédito Público,
OSCAR IVÁN ZULUAGA ESCOBAR.
El Ministro de la Protección Social,
DIEGO PALACIO BETANCOURT.