RESOLUCIÓN 689 DE 2016
(mayo 3)
Diario Oficial No. 49.864 de 5 de mayo de 2016
<Rige a partir del 5 de noviembre de 2016>
MINISTERIO DE SALUD Y PROTECCIÓN SOCIAL
MINISTERIO DE AMBIENTE Y DESARROLLO SOSTENIBLE
Por la cual se adopta el reglamento técnico que establece los límites máximos de fósforo y la biodegradabilidad de los tensoactivos presentes en detergentes y jabones, y se dictan otras disposiciones.
EL MINISTRO DE SALUD Y PROTECCIÓN SOCIAL Y EL MINISTRO DE AMBIENTE Y DESARROLLO SOSTENIBLE
En ejercicio de sus facultades constitucionales y legales, en especial las conferidas por la Ley 170 de 1994, los numerales 2 y 11 del artículo 5o de la Ley 99 de 1993, y el numeral 30 del artículo 2o del Decreto 4107 de 2011, y
CONSIDERANDO:
Que el artículo 78 de la Constitución Política determina que serán responsables de acuerdo con la ley, quienes en la producción y en la comercialización de bienes y servicios atenten contra la salud, la seguridad y el adecuado aprovisionamiento a consumidores y usuarios.
Que el artículo 79 de la Constitución Política consagra que todas las personas tienen derecho a gozar de un ambiente sano y que es deber del Estado proteger la diversidad e integridad del ambiente y conservar las áreas de especial importancia ecológica.
Que mediante la Ley 170 de 1994 Colombia aprobó el “Acuerdo por el que se establece la Organización Mundial del Comercio”, el cual incorpora como uno de sus acuerdos multilaterales anexos, el “Acuerdo sobre Obstáculos Técnicos al Comercio” que reconoce la importancia de que los países miembros adopten medidas necesarias para la protección de la salud y vida de las personas, la preservación del medio ambiente y la protección de los intereses esenciales en materia de seguridad de los productos, comprendidos los industriales y agropecuarios, dentro de los cuales se encuentran los reglamentos técnicos.
Que el mismo Acuerdo sobre Obstáculos Técnicos al Comercio define reglamento técnico como el “Documento en el que se establecen las características de un producto o los procesos y métodos de producción con ella relacionados, con inclusión de las disposiciones administrativas aplicables y cuya observancia es obligatoria. También puede incluir prescripciones en materia de terminología, símbolos, embalaje, marcado o etiquetado, aplicables a un producto, proceso o método de producción o tratar exclusivamente de ellas”.
Que de acuerdo al principio de territorialidad de la ley, y en consonancia con la definición de reglamento técnico anteriormente enunciada, los productos objeto del presente reglamento técnico con destino a la exportación deberán cumplir, de ser necesario, los requisitos de biodegradabilidad del país de destino.
Que el artículo 17 de la Ley 1480 de 2011, impone a todo productor previamente a la puesta en circulación o a la importación de los productos sujetos a reglamentos técnicos, informar ante la autoridad de control: el nombre del productor o importador y el de su representante legal o agente residenciado en el país y la dirección para efecto de notificaciones, así como la información adicional que determinen los reguladores de producto. Así mismo, establece que las entidades encargadas del control del reglamento técnico deberán organizar y mantener el registro de la información a la que se refiere el mismo artículo.
Que la Sección Primera del Consejo de Estado, mediante sentencia proferida dentro del expediente AP 25000-23-27-000-2001-9479-01 del 28 de marzo de 2014 y ejecutoriada el 14 de agosto de 2014, en el numeral 4.61, dispone:
“ORDÉNASE al Ministerio de Ambiente y Desarrollo Sostenible y al Ministerio de Salud y Protección Social, que en el término perentorio e improrrogable de doce (12) meses contados a partir de la ejecutoria de esta sentencia, expida el reglamento técnico definitivo que prohíba la fabricación, importación, distribución y comercialización de detergentes que contengan fósforo por encima de los límites máximos establecidos en la normatividad. Dichos Ministerios deberán determinar un período de transición para la adopción de la medida acorde con las condiciones técnicas y económicas de la industria nacional, este hecho lo deberá acreditar y comunicar al juez de instancia so pena de incurrir en desacato a orden judicial”.
Que por su parte, se considera importante tener en cuenta, para los efectos de este reglamento técnico, las observaciones y recomendaciones formuladas por la Organización para la Cooperación y el Desarrollo Económicos (OCDE) en materia de sustancias químicas, con respecto a los métodos de ensayo para la determinación de la biodegradabilidad de los agentes activos de los surfactantes sintéticos aniónicos presentes en los detergentes y jabones.
Que de conformidad con lo establecido en el artículo 2o del Decreto 1844 de 2013, se obtuvo el concepto favorable de la Dirección de Regulación del Ministerio de Comercio, Industria y Turismo, mediante comunicado 2 – 2015 – 014477 del 8 de septiembre de 2015.
Que de conformidad con lo establecido en la Ley 1340 de 2009 y el Decreto 2897 de 2010, se obtuvo el concepto favorable de Abogacía de la Competencia emitido por la Superintendencia de Industria y Comercio, mediante comunicado 15 -197081--1-0 del 07 de septiembre de 2015, señalando que el proyecto de regulación no despierta preocupaciones desde la óptica de la libre competencia, a pesar de que exige el cumplimiento de valores límites máximos para el contenido de fósforo y condiciones de biodegradabilidad de sus componentes.
Que el reglamento técnico que se establece con la presente resolución, fue notificado a la Organización Mundial del Comercio mediante los documentos identificados con las signaturas G/TBT/N/COL/259 y G/SPS/N/COL/214 del 17 y 18 del mes de septiembre de 2015.
En mérito de lo expuesto;
RESUELVE:
ARTÍCULO 1o. OBJETO. Adoptar el reglamento técnico que establece los límites máximos de fósforo y la biodegradabilidad de los tensoactivos presentes en detergentes y jabones, con la finalidad de proteger la salud y el ambiente de los efectos ocasionados por dichas sustancias. Por tanto, está prohibida la fabricación, importación, distribución y comercialización de productos que superen los límites aquí establecidos.
ARTÍCULO 2o. ÁMBITO DE APLICACIÓN. Las disposiciones contenidas en el presente reglamento serán aplicables en todo el territorio nacional a los detergentes y jabones de uso doméstico, cosmético, medicinal e industrial, que se fabriquen y comercialicen o distribuyan en el país o aquellos que se importen bajo las siguientes partidas y subpartidas arancelarias o aquellas que las modifiquen o sustituyan:
| Código | Descripción de mercancías |
| 3401 | Jabón; productos y preparaciones orgánicos tensoactivos usados como jabón, en barras, panes, trozos o piezas troqueladas o moldeadas, aunque contengan jabón; productos y preparaciones orgánicos tensoactivos para el lavado de la piel, líquidos o en crema, acondicionados para la venta al por menor, aunque contengan jabón; papel, guata, fieltro y tela sin tejer, impregnados, recubiertos o revestidos de jabón o de detergentes. |
| 3402 | Agentes de superficie orgánicos (excepto el jabón); preparaciones tensoactivas, preparaciones para lavar (incluidas las preparaciones auxiliares de lavado) y preparaciones de limpieza, aunque contengan jabón, excepto las de la partida 34.01. |
| 3405400000 | Pastas, polvos y demás preparaciones para fregar. |
ARTÍCULO 3o. DEFINICIONES. Para efectos de la aplicación del presente reglamento técnico se adoptan las siguientes definiciones:
3.1. Agente tensoactivo (tensioactivo). Toda sustancia orgánica o preparado utilizado en los detergentes y jabones que tiene propiedades tensoactivas y que consta de uno o varios grupos hidrófilos y de uno o varios hidrófobos cuyas características y tamaño permiten la disminución de la tensión superficial del agua, la formación de monocapas de esparcimiento o de adsorción en la interfase agua-aire, la formación de emulsiones y/o microemulsiones o micelas y la adsorción en la interfase agua-sólido.
3.2. Biodegradabilidad. Susceptibilidad que tiene un compuesto o una sustancia química de ser descompuesta por microorganismos. Un factor importante de la biodegradabilidad es la velocidad con que las bacterias, los factores naturales del medio ambiente o ambos, pueden descomponer químicamente dichos compuestos o sustancias químicas.
3.3. Biodegradabilidad aerobia final. Nivel de biodegradación alcanzado cuando el tensoactivo es totalmente descompuesto en presencia de oxígeno por microorganismos para dar dióxido de carbono, agua y sales minerales de cualquier otro elemento presente (mineralización), de acuerdo con las mediciones a través de los métodos de ensayo reconocidos internacionalmente, y nuevos constituyentes celulares microbianos (biomasa).
3.4. Detergente. Toda sustancia o preparado que contenga jabón u otros tensoactivos y que se utilicen en procesos de lavado con agua. Los detergentes podrán adoptar cualquier forma (líquido, polvos, pasta, barra, pastilla, formas moldeadas, entre otros) y estar destinados a su uso doméstico e institucional o industrial.
3.5. Jabón. Producto formado por la saponificación o neutralización de grasas, aceites, ceras, colofonias, o sus ácidos con bases orgánicas o inorgánicas.
3.6. Jabón o detergente de uso doméstico. Aquel cuya función principal es remover la suciedad, desinfectar, aromatizar el ambiente y propender por el cuidado de utensilios, objetos, ropas o áreas, entre otros, cuyo uso implica entrar en contacto con el ser humano independiente de su presentación comercial. Esta definición no incluye aquellos productos cuya formulación tiene por función principal el remover la suciedad, desinfectar y propender por el cuidado de la maquinaria e instalaciones industriales y comerciales, centros educativos, hospitalarios, salud pública y otros de uso en procesos industriales.
3.7 Jabón de uso cosmético. Aquel que se utiliza como producto cosmético, entendiéndose por tal toda sustancia o formulación de aplicación local a ser usada en las diversas partes superficiales del cuerpo humano: epidermis, piloso y capilar; uñas, labios y órganos genitales externos o en los dientes y las mucosas bucales, con el fin de limpiarlos, perfumarlos, modificar su aspecto y protegerlos o mantenerlos en buen estado y prevenir o corregir los olores corporales.
3.8 Jabón de uso medicinal. Aquel que se utiliza como producto medicinal, entendiéndose por tal todo aquel preparado farmacéutico obtenido a partir de principios activos, con o sin sustancias auxiliares, presentado bajo forma farmacéutica, para la prevención, alivio, diagnóstico, tratamiento, curación o rehabilitación de la enfermedad.
3.9. Jabón o detergente de uso industrial. Aquel cuya función principal es remover la suciedad y/o propender por el cuidado de la maquinaria industrial e instalaciones, centros educativos, hospitalarios e instituciones similares, y que cumple los siguientes requisitos:
a) El mercado no está dirigido a productos de aseo y limpieza de uso doméstico.
b) El sistema de distribución y comercialización está dirigido al sector industrial e institucional.
c) La composición del producto en cantidad de ingrediente activo es diferente en cuanto a concentración.
d) Se utiliza a través de máquinas y equipos especializados.
ARTÍCULO 4o. DE LAS OBLIGACIONES DE LOS FABRICANTES O IMPORTADORES DE DETERGENTES Y JABONES. Los fabricantes o importadores de los productos sujetos al presente reglamento técnico tendrán las siguientes obligaciones:
4.1. Garantizar que los productos fabricados o importados cumplan con los requisitos establecidos en la presente resolución.
4.2. Suministrar a las autoridades de inspección, vigilancia y control competente, la información requerida que permita verificar el cumplimiento de la presente resolución.
ARTÍCULO 5. LÍMITES MÁXIMOS PERMISIBLES DE CONTENIDO DE FÓSFORO. Los límites máximos permisibles de los contenidos de fósforo de los productos objeto de la presente resolución, serán los siguientes de conformidad con los plazos que se establecen a continuación:
5.1. A partir de la entrada en vigencia del presente reglamento técnico, será máximo del 3,0% (equivalente a 6,9% de pentóxido de fósforo).
5.2. A partir del 1o de enero de 2018, será igual o menor al 0,65% (equivalente a 1,5% de pentóxido de fósforo).
ARTÍCULO 6o. REQUISITO DE BIODEGRADABILIDAD. <Artículo modificado por el artículo 1 de la Resolución 1770 de 2018. El nuevo texto es el siguiente:> Los productos objeto del presente reglamento técnico deberán contener agentes tensoactivos que cumplan con el porcentaje mínimo de biodegradabilidad aerobia final, conforme a los métodos 301 y 310 de la Organización para la Cooperación y el Desarrollo Económicos (OCDE) o sus equivalentes en la Unión Europea (UE) o en las normas ISO o en las normas de la Agencia de Protección Ambiental de los Estados Unidos (US-EPA).
PARÁGRAFO 1. En consideración a su biodegradabilidad intrínseca, se exceptúan del cumplimiento de este requisito los jabones que únicamente contengan tensoactivos provenientes de fuentes naturales mediante procesos de saponificación o neutralización de grasas, aceites, ceras, colofonias, o sus ácidos con bases orgánicas o inorgánicas.
ARTÍCULO 7o. PROCEDIMIENTO DE EVALUACIÓN DE LA CONFORMIDAD. <Artículo modificado por el artículo 2 de la Resolución 1770 de 2018. El nuevo texto es el siguiente:> Para la evaluación de la conformidad de los productos objeto del presente reglamento técnico, los fabricantes o importadores seguirán el siguiente procedimiento:
Como documentos de soporte de la declaración a la que se refiere el artículo 8o de la presente resolución, deberán aportarse resultados de ensayos de laboratorio conforme a los siguientes métodos:
a) Para determinar y cuantificar el contenido de fósforo en detergentes o jabones, se aplicarán los siguientes métodos de ensayo:
i. ASTM D820 – 1993 (Reapproved 2016).
ii. EPA 365.1, 365.2 y 365.3
iii. ISO 6878:2004
iv. APHA 4500-P;
b) Para determinar la biodegradabilidad de los tensoactivos en detergentes y jabones, se aplicarán los siguientes métodos de ensayo de biodegradabilidad final (mineralización):

(1) Reglamento (CE) número 440/2008 de la Comisión del 30 de mayo de 2008, sección C4. Nota: Para la realización de cada ensayo se deben revisar las condiciones y aplicabilidad del mismo según el tensoactivo de que se trate. Así mismo, para los ensayos que se realicen sobre el producto es necesario efectuar la extracción de los tensoactivos presentes en el mismo (detergente y jabón), para lo cual se recomienda el proceso establecido en la Especificación Normativa Disponible (EDN) 0065 del 2011 “Biodegradabilidad de ingredientes tensoactivos de detergentes y de otros productos de limpieza. Especificaciones”, relacionado con la extracción etanólica.
Los ensayos que se realicen sobre los detergentes y jabones conforme a los métodos señalados en los literales anteriores, que deben presentarse como soporte de la declaración de conformidad de primera parte, podrán ser realizados en laboratorios propios o laboratorios nacionales acreditados por el Organismo Nacional de Acreditación o laboratorios previamente evaluados por los fabricantes e importadores.
Serán válidos, igualmente, como documentos soporte de la declaración de conformidad de primera parte, en relación con el cumplimiento del requisito de biodegradabilidad, los resultados de ensayo de laboratorio realizados directamente sobre los tensoactivos que serán utilizados en el proceso de formulación de los detergentes y jabones objeto de la presente resolución, siempre y cuando los mismos se realicen en laboratorios acreditados por el Organismo Nacional de Acreditación (ONAC) o que hagan parte de los acuerdos de reconocimiento multilateral suscritos por el Organismo Nacional de Acreditación y conforme a los métodos señalados en la tabla anterior.
PARÁGRAFO. Los resultados de ensayos que se utilicen como documentos soporte de la declaración de conformidad de primera parte, deberán indicar el resultado analítico obtenido con su respectiva incertidumbre y especificar el límite de cuantificación establecido para el proceso analítico.
ARTÍCULO 8o. DECLARACIÓN PARA DEMOSTRAR LA CONFORMIDAD. Previamente a la puesta en circulación o importación de los productos objeto de la presente resolución, los fabricantes o importadores deberán presentar ante las autoridades competentes de que trata el artículo 10, la declaración de conformidad de primera parte, en los términos y condiciones de la Norma Técnica Colombiana NTC/ISO/IEC 17050 partes 1 y 2 (en su versión actual), en la que se demuestre la conformidad de tales productos con el presente reglamento técnico.
Como documentos de soporte de la declaración a la que se refiere el párrafo anterior, deberán aportarse los resultados de ensayos de laboratorio conforme a lo establecido en el artículo 7o de la presente resolución.
PARÁGRAFO. El comercializador o distribuidor de los detergentes y jabones, al momento de adquirir la mercancía para su comercialización o distribución, deberá solicitar al fabricante o importador copia de la declaración de conformidad de primera parte de los productos.
ARTÍCULO 9o. OBLIGACIÓN DE INFORMAR POR PARTE DE FABRICANTES E IMPORTADORES DE DETERGENTES Y JABONES DE USO INDUSTRIAL. Con el objeto de dar cumplimiento al artículo 17 de la Ley 1480 de 2011, todo fabricante o importador de detergentes y jabones de uso industrial en el territorio colombiano deberá informar ante la Autoridad Nacional de Licencias Ambientales (ANLA), a través del aplicativo denominado “Ventanilla Integral de Trámites Ambientales en Línea (VITAL)”, previo a la distribución, comercialización o a la importación de los productos sujetos a la presente resolución, como mínimo lo siguiente:
a) Nombre del productor o importador y el de su representante legal, o agente residenciado en el país, acompañado de los documentos de soporte correspondientes.
b) Nombre del producto o grupo de productos.
c) Nombre o razón social y dirección para efecto de notificación del productor o agente residenciado en el país, según corresponda.
d) Zonas de comercialización del producto(s).
e) Forma de presentación del producto(s). Número de lote o sistema de codificación de producción.
La ANLA deberá organizar el registro de la información al que se refiere el presente artículo, en un plazo de cuatro (4) meses, contados a partir de la fecha de publicación del presente reglamento técnico.
La información de que trata este artículo se entenderá presentada bajo la gravedad de juramento. Cualquier fraude o falsedad en la información suministrada a las autoridades, declarada como tal por juez competente dará lugar a la imposición de las sanciones previstas en la ley.
ARTÍCULO 10. INSPECCIÓN, VIGILANCIA Y CONTROL. <Artículo modificado por el artículo 1 de la Resolución 837 de 2017. El nuevo texto es el siguiente:> La inspección, vigilancia y control de la conformidad de los detergentes y jabones objeto del presente reglamento técnico, se realizará de acuerdo con lo siguiente:
10.1. Las acciones de inspección, vigilancia y control al cumplimiento de los requisitos establecidos en el presente reglamento técnico respecto de los jabones y detergentes de competencia del Instituto Nacional de Vigilancia de Medicamentos y Alimentos (Invima), de conformidad con el artículo 245 de la Ley 100 de 1993 y el Decreto número 2078 de 2012, se realizarán de acuerdo con el enfoque de riesgo contemplado en la Resolución número 1229 de 2013, expedida por el Ministerio de Salud y Protección Social, o la norma que la modifique, adicione o sustituya y de conformidad con los procedimientos de vigilancia, que según su competencia contemplen las Entidades Territoriales de Salud e Instituto Nacional de Vigilancia de Medicamentos y Alimentos.
Las Entidades Territoriales de Salud (Departamental, Distrital y Municipales categorías 1, 2 y 3) ejercerán, dentro de su jurisdicción, las acciones de inspección, vigilancia y control sobre el cumplimiento de las normas contenidas en la presente resolución y las demás normas higiénico-sanitarias, en los términos previstos en la Ley 715 de 2001.
Para el caso de las Entidades municipales de salud categorías 4, 5 y 6 dicha competencia será ejercida por el Departamento, en coordinación con dichos municipios de conformidad con el artículo 43.3.8 de la Ley 715 de 2001.
El Instituto Nacional de Vigilancia de Medicamentos y Alimentos (Invima), o las Entidades Territoriales de Salud, en lo de su competencia adoptarán las medidas sanitarias de seguridad y sanciones de acuerdo con lo señalado en los artículos 576 y 577 de la Ley 9ª de 1979 por el incumplimiento de lo aquí previsto y adelantarán el procedimiento sancionatorio contemplado en la Ley 1437 de 2011, o las normas que lo modifiquen, adicionen o sustituyan.
10.2. La Autoridad Nacional de Licencias Ambientales (ANLA), ejercerá las funciones de control y seguimiento al cumplimiento de los requisitos establecidos en el presente reglamento técnico, respecto de los detergentes y jabones de uso industrial en el marco de sus competencias.
Las funciones de seguimiento y control se realizarán de conformidad con los lineamientos que para tal efecto establezca la Autoridad Nacional de Licencias Ambientales (ANLA), que serán publicados en su página web y serán de obligatorio cumplimiento.
10.3. El Instituto Nacional de Vigilancia de Medicamentos y Alimentos (Invima) y la ANLA podrán ordenar al fabricante o importador la toma de muestras de los detergentes y jabones, para ser sometidas a los ensayos establecidos en el artículo 7o de la presente resolución a cargo del fabricante o importador.
La toma de muestras deberá realizarse por un tercero acreditado por el Organismo Nacional de Acreditación para tal fin. Los ensayos requeridos por el Invima o el ANLA, se deben efectuar en laboratorios que cumplan con los requisitos señalados en el artículo 2.2.1.7.9.5 del Decreto número 1074 de 2015, o en la disposición que lo modifique o sustituya.
ARTÍCULO 11. SANCIONES. La violación de los requisitos y obligaciones establecidos en la presente resolución dará lugar a las sanciones sanitarias y ambientales correspondientes de conformidad con lo establecido en la ley.
ARTÍCULO 12. REVISIÓN Y ACTUALIZACIÓN. <Artículo modificado por el artículo 3 de la Resolución 1770 de 2018. El nuevo texto es el siguiente:> Con el fin de determinar la permanencia, modificación o derogatoria del reglamento técnico que se establece con la presente resolución, los Ministerios de Salud y Protección Social y Ambiente y Desarrollo Sostenible, procederán a revisarlo en un término no mayor a cinco (5) años contados a partir de la fecha de su entrada en vigencia, o antes, si cambian las causas que le dieron origen.
PARÁGRAFO. Estas entidades, dentro de los dieciocho (18) meses siguientes a la publicación de esta resolución, revisarán la permanencia, modificación o derogatoria del requisito establecido en el artículo 5o del presente reglamento técnico para los productos de uso cosmético, a partir de los resultados de los ensayos entregados por los fabricantes e importadores. Para tal efecto, deben realizarlos en laboratorios acreditados, atendiendo lo señalado en numeral 10.3 del artículo 1o de la Resolución número 837 de 2017 que modificó el artículo 10 de la Resolución número 0689 de 2016.
ARTÍCULO 13. RÉGIMEN DE TRANSICIÓN. Las disposiciones contenidas en el presente reglamento técnico, se sujetarán al siguiente régimen de transición:
La comercialización o distribución de los detergentes y jabones que se indican en los literales (a) y (b), se permitirá sin la exigencia de los requisitos establecidos en la presente resolución hasta por un plazo máximo de un (1) año contado a partir de la entrada en vigencia de la misma:
a) Los detergentes y jabones fabricados en el país o importados antes de la entrada en vigencia que constituyan inventarios.
b) Los detergentes y jabones que antes de la entrada en vigencia de la presente resolución cuenten con factura de compraventa y que hagan parte de una operación aduanera con destino al territorio aduanero nacional.
ARTÍCULO 14. VIGENCIA Y DEROGATORIAS. La presente resolución entrará en vigencia a los seis (6) meses contados a partir de la fecha de su publicación en el Diario Oficial.
<Inciso modificado por el artículo 2 de la Resolución 837 de 2017. El nuevo texto es el siguiente:> El requisito de biodegradabilidad establecido en el artículo 6o de la presente resolución se hará exigible a partir del 5 de mayo de 2018, fecha a partir de la cual quedarán derogadas las Resoluciones números 1974 y 1975 de 2007, expedidas por el Ministerio de Salud y Protección Social
Publíquese y cúmplase.
Dada en Bogotá, D. C., a 3 de mayo de 2016.
El Ministro de Salud y Protección Social,
ALEJANDRO GAVIRIA URIBE.
El Ministro de Ambiente y Desarrollo Sostenible,
GABRIEL VALLEJO LÓPEZ.
<Anexo derogado por el artículo 5 de la Resolución 1770 de 2018>
Norma Técnica Colombiana - NTC 5604 de 2008 “Métodos de ensayo para la toma de muestras y el análisis fisicoquímico de jabones, productos de jabón y detergentes”
De la norma citada se extrajeron los apartes que se requieren para el presente reglamento técnico:
9.24 DETERMINACIÓN DE FOSFATOS EN DETERGENTES
9.24.1 Método volumétrico
9.24.1.1 Principio
Consiste en destruir la materia orgánica de la muestra y luego convertir el fosfato a la forma orto por hidrólisis con ácido clorhídrico. El ortofosfato formado se titula con solución de hidróxido de sodio a un pH comprendido entre 4,3 y 8,8, que corresponde a la conversión de fosfato monosódico a fosfato disódico. El resultado se expresa como pentóxido de fósforo.
9.24.1.2 Aplicación
Este método de ensayo es aplicable a cualquier especie de fosfatos de metal alcalino, libre de iones que causen interferencia. Este método de ensayo se puede usar para el análisis de reforzadores de jabón y de detergente sintético si la muestra se prepara apropiadamente (véase el numeral 9.24.1.6). Este método de ensayo no se aplica cuando el nivel de fosfato presente es equivalente al 2% de P2O5 al 2% o inferior.
9.24.1.3 Interferencias
Este método no es aplicable cuando el contenido de fosfatos es igual o inferior al 2% de P2O5. Causarán interferencia los metales pesados, tales como hierro, aluminio, calcio, magnesio, etc., que se precipitan, ya sea como fosfatos o hidróxidos insolubles, antes de alcanzar el punto final superior. También ocurre interferencia si hay presentes boratos, sulfitos, carbonatos u otros materiales reguladores. Los dos últimos compuestos y parte del borato serán expulsados durante la ebullición en la hidrólisis ácida. El borato se elimina mediante conversión a borato de metilo, que se volatiliza posteriormente. La interferencia más común es la del ácido silícico. Los experimentos y la experiencia en análisis de sintéticos secos por atomización han demostrado que, a menos que la relación del porcentaje de SiO2 con el porcentaje de P2O5 se aproxime o exceda 0,2, la interferencia por los silicatos será tan insignificante que se puede ignorar. Los silicatos no interfieren si la relación de los porcentajes de sílice (SiO2) a pentóxido de fósforo (P2O5) no es mayor de 0,3%. Las cantidades mayores se deben deshidratar como se indique, pero no necesitan eliminarse mediante filtración durante la preparación de la muestra. Los boratos se remueven como boratos de metilo. Todos los carbonatos se convierten a sus sales solubles correspondientes al reaccionar con el ácido clorhídrico.
9.24.1.4 Materiales y equipos
- Cápsula de porcelana o de sílice.
- Potenciómetro o aparato de titulación electrométrica, con electrodos de vidrio y de calomel que permita lecturas con aproximación a ± 0,1 unidades de pH, y ajustado a pH entre 4,0 y a 8,0 según sea adecuado.
- Horno mufla provisto con pirómetro y controles que mantengan la temperatura hasta de 550 °C.
- Balanza que pese con aproximación a 0,001 g.
- Mecheros de gas, preferiblemente del tipo de chimenea o Argand.
- Agitador con motor, de aire o eléctrico
- Material usual de laboratorio.
9.24.1.5 Reactivos
Los que se enuncian a continuación deben corresponder a un grado analítico.
- Metanol
- Ácido clorhídrico concentrado (gravedad específica 1,19)
- Agua destilada
- Solución 1 N de hidróxido de sodio, libre de carbonatos y previamente normalizada. Para llevar la muestra a un pH de 4,3 puede emplearse una solución más concentrada.
9.24.1.6 Preparación de la muestra
a) Preparación de fosfatos de sodio o de potasio, comerciales. Estos no necesitan preparación especial, excepto su disolución en agua. Pese una porción de la muestra bien mezclada con precisión de 0,001g, transfiérala directamente a un vaso de precipitados de 400 ml, y disuélvala en aproximadamente 100 ml de agua. Neutralice con HCl (gravedad específica 1,19), verifique con papel tornasol y agregue 10 ml en exceso. La cantidad óptima de la muestra está dada por la fórmula:
Gramos de la muestra = (N x 280) / P
en donde
N = normalidad de la solución de NaOH que se va a usar en la titulación, y
P = porcentaje de P2O5 esperado en la muestra.
b) Los productos a base de jabón se pueden analizar usando el filtrado proveniente de la determinación del dióxido de silicio (SiO2). Cuide no exceder el peso de la muestra prescrito en el literal a). Otra forma de preparar la muestra es como se indica en el literal c).
c) Los productos reforzadores coadyuvantes sintéticos se deben analizar usando la porción insoluble en alcohol, pero el siguiente procedimiento es más rápido y exacto. Pese una muestra del tamaño seleccionado en el literal a), (pero que no exceda de 10 g), con una aproximación a 0,001 g. Coloque la muestra en una cápsula de evaporación de sílice o porcelana o en un crisol grande e incinere lentamente sobre un mechero de gas hasta que la mayoría de la materia combustible volátil se haya quemado. Pase la cápsula y su contenido al horno de mufla y calcine a una temperatura no mayor de 550 °C, durante 10 min a 15 min. No es necesario que el residuo calcinado esté libre del carbono, y usualmente es de color grisáceo. Deje enfriar y adicione cuidadosamente 10 ml de HCl. Deje evaporar hasta que se seque, recoja con 50 ml de agua y 10 ml de HCl y páselo a un vaso de precipitados de 400 ml.
9.24.1.7 Procedimiento para la determinación de fosfatos en ausencia de boratos y perboratos
9.24.1.7.1 Ponga sobre un mechero a calentar lentamente la muestra tapada con un vidrio de reloj, hasta que se destruya la materia orgánica; luego ponga la cápsula y su contenido en un horno mufla a 500 °C y deje calcinar durante 10 min a 15 min. Luego, deje enfriar y agregue de 10 ml a 15 ml de ácido clorhídrico y 50 ml de agua caliente.
Esta calcinación final puede efectuarse sobre un mechero si la temperatura no es superior a 500 °C y el material no se funde.
9.24.1.7.2 Si la relación de sílice a pentóxido de fósforo es mayor de 0,3 % debe efectuarse el paso siguiente: evapore la mezcla anterior hasta sequedad, en un baño de María y repita la evaporación 2 veces más, agregando cada vez 25 ml de agua caliente y 10 ml de ácido clorhídrico. Después de la tercera evaporación, caliente el residuo seco a 130 °C durante aproximadamente 30 min con el objeto de asegurar que la deshidratación de la sílice fue completa. Disuelva el residuo en 10 ml de ácido clorhídrico y 50 ml de agua caliente, agite y caliente en un baño de María.
9.24.1.7.3 Transfiera la solución a un vaso de precipitados de 400 ml; lave la cápsula con agua caliente hasta recoger un volumen de 100 ml y sométalo a ebullición durante aproximadamente 30 min para transformar los fosfatos a la forma orto por hidrólisis.
9.24.1.7.4 Deje enfriar el vaso de precipitados y su contenido. Diluya hasta 200 ml con agua y neutralice con solución 1 N de hidróxido de sodio, o más concentrada según sea el caso, hasta obtener un pH de 4,3 exactamente; ajuste la temperatura de la solución a 30 °C ± 2 °C y continúe la titulación hasta un pH de 8,8 exactamente, con la solución 1 N de hidróxido de sodio. Si es necesario, para mantener la temperatura dentro de los límites especificados, puede agregar hielo en trozos pequeños.
9.24.1.8 Procedimiento para la determinación de fosfatos en presencia de boratos y perboratos
Proceda como se indica en el numeral 9.24.1.5.1, luego transfiera la solución a un vaso de precipitados y deje evaporar casi hasta sequedad en un baño de María; agregue cuidadosamente para evitar salpicaduras, aproximadamente 100 ml de metanol y luego 10 ml de ácido clorhídrico; cubra parcialmente el vaso de precipitados con un vidrio de reloj; reduzca el volumen mediante ebullición, hasta obtener aproximadamente 20 ml, en mínimo 30 min, y luego reduzca el volumen hasta 10 ml, en un baño de María, bajo una corriente de nitrógeno o aire seco y limpio. Deje enfriar y diluya hasta 200 ml con agua. Continúe el procedimiento como se indica en el numeral 9.24.1.5.4.
9.24.1.9 Cálculos
El contenido total de fosfatos, expresado en porcentaje de pentóxido de fósforo (P205), se calcula mediante la siguiente ecuación:
![]()
en donde
F = contenido total de fosfatos, expresado como fracción de masa de pentóxido de fósforo, en porcentaje
V = volumen de la solución de hidróxido de sodio empleada en la titulación a un pH comprendido entre 4,3 y 8,8.
N = normalidad de la solución de hidróxido de sodio.
M = masa de la muestra, en gramos
7,098 = factor de conversión de fosfato a pentóxido de fósforo.
9.24.1.10 Informe del ensayo
(Véase el numeral 11).
9.24.2 Método gravimétrico (para detergentes con alto contenido de fosfato)
9.24.2.1 Determinación de fosfato en presencia de silicatos y en ausencia de boratos y metales pesados
Consiste en calcinar la muestra para destruir la materia orgánica, disolver las cenizas en ácido diluido y luego someter a ebullición suavemente para convertir los fosfatos complejos a la forma orto. Posteriormente, el fosfato se precipita como fosfato de amonio y magnesio, se calcina y se pesa el residuo como pirofosfato de magnesio.
9.24.2.1.1 Materiales y equipos
a) Crisol de sílice
b) Cápsula de porcelana
c) Vaso de precipitados con capacidad de 400 ml.
d) Crisol de Gooch, con una capa de asbesto previamente lavada con ácido clorhídrico. Seque el crisol junto con la capa de asbesto y péselos.
9.24.2.1.2 Reactivos
Los que a continuación se enuncian deben corresponder al grado analítico.
a) Carbonato de sodio
b) Nitrato de sodio
c) Ácido clorhídrico concentrado (gravedad específica = 1,18)
d) Ácido acético glacial
e) Hidróxido de amonio concentrado (gravedad específica = 0,88)
f) Solución acuosa de amoníaco al 2%.
g) Mixtura magnesiana. Se prepara disolviendo en agua, 55 g de cloruro de magnesio y 105 g de cloruro de amonio, agregando 1 ml de ácido clorhídrico concentrado, y diluyendo hasta 1 L.
h) Agua destilada.
9.24.2.1.3 Procedimiento
a) Pese con aproximación a 0,1 mg, en el crisol de sílice, una cantidad de muestra que contenga aproximadamente 1 g de pirofosfato de magnesio. Agregue alrededor de dos veces su peso, de una mezcla de partes iguales de carbonato de sodio y nitrato de sodio, y mezcle completamente. Caliente suavemente sobre un mechero o en una mufla (temperatura entre 500 °C y 600 °C) hasta alcanzar una coloración roja oscura para destruir la materia orgánica. Disuelva el residuo obtenido en agua. Transfiera la solución a una cápsula de porcelana, acidifique con ácido clorhídrico concentrado y evapore hasta sequedad, para convertir el ácido silícico en sílice. Luego humedezca el residuo con ácido clorhídrico y evapore de nuevo hasta sequedad.
b) Humedezca el residuo obtenido con ácido clorhídrico. Disuelva en agua, filtre a través de un papel de filtro Tipo Whatman número 541 o su equivalente, recogiendo el filtrado en un vaso de precipitados de 400 ml. Lave la cápsula con agua pasando cada lavado a través del papel de filtro y finalmente lava el papel con agua. Luego, agregue 10 ml de ácido clorhídrico concentrado, hierva suavemente durante 15 min, con el objeto de asegurar que todo el fosfato presente se convierta a la forma orto. Coloque en un baño frío, agregue 5 ml de ácido acético glacial, 40 ml de mixtura magnesiana e hidróxido de amonio concentrado hasta que la solución sea alcalina, usando fenolftaleína como indicador.
c) Posteriormente, agregue 50 ml de amoníaco en solución al 2% y deje el precipitado en reposo durante 12 h, en frío. Transcurrido este tiempo, pase el líquido sobrenadante a través del crisol de Gooch con asbesto, previamente tarado, lave el precipitado con 100 ml de solución acuosa al 2% de amoníaco. Transfiera al crisol y lave completamente con la solución al 2% de amoníaco hasta que los lavados estén libres de cloruros. Seque el crisol y calcine suavemente al principio, y luego aumente la temperatura hasta que el precipitado tenga un color rojo brillante, lo cual indica que todo el fosfato se ha convertido en pirofosfato de magnesio. Deje enfriar el crisol en un desecador y pese.
9.24.2.1.4 Cálculos
El contenido de fosfatos, expresado como fracción de masa, de pentóxido de fósforo, en porcentaje, se calcula mediante la siguiente ecuación:
![]()
En donde
F = contenido total de fosfato, expresado en porcentaje de pentóxido de fósforo
M1 = masa de pirofosfato de magnesio, en gramos
M = masa de la muestra, en gramos
0,638 = factor de conversión de fosfato a pentóxido de fósforo.
9.24.3 Determinación de fosfatos en presencia de silicatos, boratos y metales pesados
9.24.3.1 Resumen del método
Consiste en calcinar la muestra para destruir la materia orgánica, disolver las cenizas en ácido clorhídrico diluido y luego remover el ácido bórico formado por evaporación con metanol. Los fosfatos complejos se transforman por hidrólisis en la forma orto y estos se precipitan como fosfomolibdato de amonio, el cual se separa por filtración y posteriormente se disuelve con la solución al 2 % de amoníaco. Finalmente, el fosfato de amonio se precipita como fosfato de amonio y magnesio, se calcina y se pesa como pirofosfato de magnesio.
9.24.3.2 Materiales y equipos
Como los indicados en el numeral 9.24.2.1.1.
9.24.3.3 Reactivos
Además de los establecidos en el numeral 9.24.2.1.2 se requieren los siguientes:
a) Metanol absoluto
b) Ácido nítrico concentrado (gravedad específica: 1,42)
c) Solución de ácido nítrico de fracción de volumen del 1%.
d) Reactivo de Noyes. Se prepara disolviendo 90 g de molibdato de amonio en agua caliente y agregando 240 g de nitrato de amonio. Una vez esté todo disuelto, deje enfriar la solución y adicione 100 ml de solución 6 N de amoníaco. Luego diluya con agua hasta 1 L.
9.24.3.4 Procedimiento
a) En un crisol de sílice pese exactamente una cantidad de muestra que produzca alrededor de 1 g de pirofosfato de magnesio. Agregue aproximadamente dos veces su peso, de una mezcla de partes iguales de carbonato de sodio y nitrato de sodio y se mezclan completamente. Caliente suavemente el crisol y su contenido, sobre un mechero o en una mufla a una temperatura comprendida entre 500 °C y 600 °C, hasta que la mezcla sea de una coloración roja oscura, para destruir la materia orgánica; disuelva el residuo en agua, transfiera la solución a una cápsula de porcelana, acidifique con ácido clorhídrico concentrado y evapore hasta sequedad para convertir el ácido silícico a sílice; humedezca el residuo con un poco de agua. Agregue 5 ml de ácido clorhídrico concentrado y evapore de nuevo hasta sequedad.
b) Luego, humedezca el residuo con ácido clorhídrico concentrado. Agregue 50 ml de metanol absoluto. Cubra la cápsula con un vidrio de reloj y evapore de nuevo hasta sequedad. Debe repetirse este último paso por lo menos 6 veces o hasta remover completamente el ácido bórico.
c) Enjuague el vidrio de reloj con agua recogiendo los lavados en la cápsula; agregue 20 ml de ácido nítrico concentrado y evapore hasta sequedad; repita este tratamiento con otros 10 ml de ácido nítrico para asegurar que se han destruido todos los cloruros. Humedezca el residuo con un poco de ácido nítrico concentrado. Disuélvalo en agua y filtre a través de un papel de filtro tipo Whatman número 541 o su equivalente, recogiendo el filtrado en un vaso de precipitados de 400 ml. Lave con agua el contenido del papel de filtro y la cápsula.
d) Agregue al filtrado 10 ml de ácido nítrico concentrado y hierva suavemente durante 30 min; luego deje enfriar hasta alcanzar una temperatura de 70 °C. Agregue 100 ml de reactivo de Noyes el cual debe estar a 70 °C y mantenga en estas condiciones durante 15 min. Transcurrido este tiempo, filtre a través de un papel de filtro tipo Whatman número 541 o su equivalente y lave perfectamente el precipitado con solución al 1% de ácido nítrico, asegurando en esta forma la remoción completa de los metales pesados.
e) Disuelva el precipitado lavándolo con solución al 2% de amoníaco. Coloque en un baño frío y agregue 5 ml de ácido acético glacial. Complete hasta un volumen de 125 ml, con agua. Adicione 40 ml de mixtura magnesiana y amoníaco hasta que la solución sea alcalina, usando fenolftaleína como indicador. Posteriormente agregue 20 ml de amoníaco y deje el precipitado en reposo durante 12 h en frío.
a) Transcurrido este tiempo, transfiera el líquido sobrenadante a través de un crisol de Gooch con asbesto lavado con ácido y pesado previamente, lave el precipitado con 100 ml de solución al 2% de amoníaco, transfiera al crisol y lave completamente con la solución al 2% de amoníaco hasta que los lavados estén libres de cloruros; calcine suavemente al principio y luego aumente la temperatura hasta que el precipitado tenga un color rojo brillante, lo cual indica que todo el fosfato se ha convertido en pirofosfato de magnesio, deje enfriar el crisol en un desecador y péselo.
9.24.3.5 Cálculos
El contenido total de fosfatos, expresado en porcentaje de pentóxido de fósforo, se calcula mediante la siguiente ecuación:
![]()
En donde
F = contenido total de fosfatos, expresado como porcentaje de pentóxido de fósforo
M1 = masa de pirofosfato de magnesio, en gramos
M = masa de la muestra, en gramos
0,638 = factor de conversión de fosfatos a pentóxido de fósforo.
9.24.3.6 Informe del ensayo
(Véase el numeral 11).
9.24.4 Método instrumental (alterno)
9.24.4.1 Principio del método
El método utiliza un autoanalizador que funciona de manera similar al que se muestra en la Figura 3. Se basa en la hidrólisis ácida del fosfato para convertirlo en ortofosfato el cual posteriormente reacciona con molibdato de amonio y sulfato de hidrazina formando un complejo azul propio del molibdeno. Este complejo coloreado pasa a través de un colorímetro para obtener una respuesta directamente proporcional a la concentración del pentóxido de fósforo (P205).
9.24.4.2 Equipos
Autoanalizador compuesto fundamentalmente por:
- Automuestreador con un regulador de velocidad
- Bomba peristáltica con manguera para aire
- Módulo para fosfatos con las siguientes partes: dos baños de calentamiento separados, controlados a 90 °C, serpentín mezclador con aproximadamente diez vueltas, dializador para fosfatos de más de 30,48 cm (12 pulgadas)
- Colorímetro con celda de flujo de 2,5 mm de longitud y 2 filtros de 660 nm
- Registrador que pueda avanzar a 1 cm/min o similar.
9.24.4.3 Reactivos
- Ácido sulfúrico 6 N. Prepare en un recipiente con 1,5 L de agua, al que se adicionan 333 ml de ácido sulfúrico concentrado. Deje enfriar y complete el volumen hasta 2 L.
- Molibdato de amonio. Prepare en un recipiente con 1,5 L de agua al que se adicionan 30 g de molibdato de amonio [(NH4)6Mo7024.4H20] y 200 ml de ácido sulfúrico (H2S04) concentrado, deje enfriar y complete el volumen hasta 2 L.
- Sulfato de hidracina. En un recipiente de 2 L de capacidad disuelva en agua, 2 g de sulfato de hidrazina [NH2NH2H2S04]. Complete el volumen hasta 2 L.
- Solución patrón de P205 (1 mg/ml). Seque a 105 °C durante 2 h el fosfato ácido de potasio, pese 1,9180 g de este con aproximación a 1 mg, disuélvalo en agua y complete hasta 1 L.
- Solución de 75,0 mg P205/500 ml. Tome con una pipeta 75,0 ml de la solución patrón de P205 en un balón de 500 ml y diluya hasta un volumen de 500 ml con agua.
9.24.4.4 Procedimiento
9.24.4.4.1 Conecte el equipo (con las mangueras) como se indica en la Figura 3. Espere a que las temperaturas de los baños se estabilicen y que la línea base con los reactivos esté fluyendo a través del sistema.
9.24.4.4.2 Pese 5,00 g de detergente en un balón de 500 ml, disuelva con agua y complete hasta volumen.
9.24.4.4.3 Tome una alícuota de 10 ml, transfiera a un balón de 100 ml y lleve hasta volumen.
9.24.4.4.4 Ponga las muestras y patrones en el muestreador guardando la siguiente secuencia: el patrón de 75,0 mg/500 ml, cinco muestras del producto y así sucesivamente.
9.24.4.4.5 Inicie el muestreador y verifique el correcto funcionamiento del registrador.
9.24.4.5 Cálculos
El porcentaje de fosfato expresado como P205 se calcula de la siguiente manera:
![]()
En donde

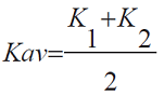
K1 y K2 son las alturas de los estándares al inicio y final de la secuencia de muestras que se calculan como:

A = altura de las muestras
S = peso de la muestra en mg
NOTA 28 Debido a la acidez del fluido a través del autoanalizador, se recomienda neutralizar los residuos antes de verterlos al sistema de drenaje local.
NOTA 29 Para mejorar la precisión del método se debe moler la muestra inicialmente.

Figura 3. Autoanalizador usado en la determinación de fosfatos”