RESOLUCIÓN 3243 DE 2013
(agosto 26)
Diario Oficial No. 48.896 de 28 de agosto de 2013
MINISTERIO DE LA SALUD Y PROTECCIÓN SOCIAL
Por la cual se distribuyen los recursos de excedentes de aportes patronales correspondientes a activos remanentes del recaudo de aportes al Sistema General de Seguridad Social en Salud, provenientes del proceso de liquidación de Cajanal EPS y se dictan otras disposiciones.
EL MINISTRO DE SALUD Y PROTECCIÓN SOCIAL,
en ejercicio de sus atribuciones legales y reglamentarias, en especial, de las conferidas por el artículo 1o del Decreto número 1095 de 2013 y en desarrollo del numeral 2 del artículo 3o de la Ley 1608 de 2013, y
CONSIDERANDO:
Que el numeral 2 del artículo 3o de la Ley 1608 de 2013 previó, dentro de los usos a los que pueden destinarse los recursos de excedentes de aportes patronales correspondientes a activos remanentes del recaudo de aportes al Sistema General de Seguridad Social en Salud, provenientes del proceso de liquidación de Cajanal EPS, el pago de los servicios prestados a la población pobre no asegurada y de los servicios no incluidos en el Plan de Beneficios a cargo del departamento o distrito, asumidos por las Instituciones Prestadoras de Servicios de Salud públicas o privadas o pagados por las EPS, previendo además que dichos recursos, en todos los casos, se girarán directamente a las Instituciones Prestadoras de Servicios de Salud desde el mecanismo de recaudo y giro creado en desarrollo del artículo 31 de la Ley 1438 de 2011.
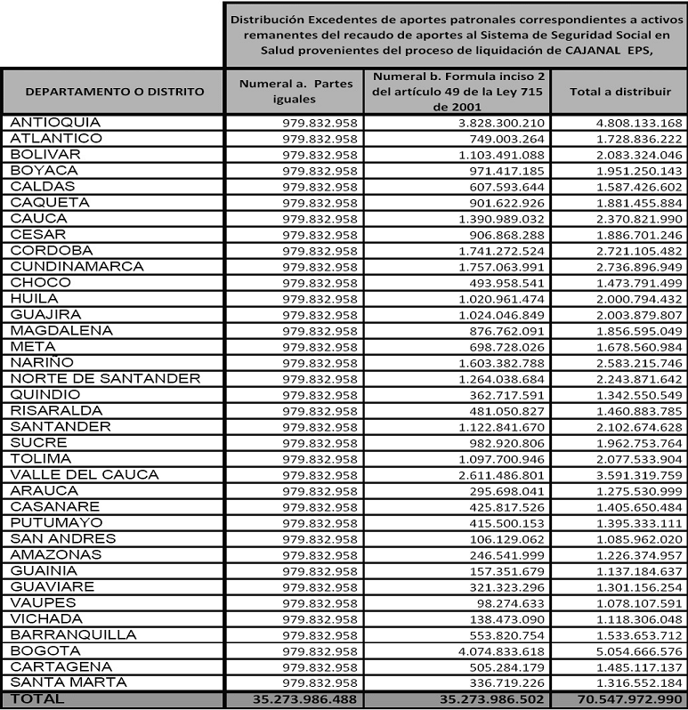
Que la precitada disposición también determinó que la distribución de estos recursos se haría entre los departamentos y distritos así: a) 50% del total de los recursos en partes iguales entre todos los departamentos y distritos del país; y, b) 50% entre departamentos y distritos con la fórmula dispuesta en el inciso 2o del artículo 49 de la Ley 715 de 2001 y demás disposiciones reglamentarias.
Que el artículo 1o del Decreto número 1095 de 2013 estableció que los mencionados recursos serán distribuidos por este ministerio, de conformidad con las reglas allí previstas.
Que mediante Decreto número 4962 de 2011 se reglamentó parcialmente el artículo 31 de la Ley 1438 de 2011 y se establecieron las condiciones y periodicidad para el recaudo de los recursos que financian y cofinancian el Régimen Subsidiado de Salud, señalando que dicho recaudo se hará a través del Fosyga.
Que a través de las Resoluciones número 162, 610, 1189 y 2339 de 2013, se incorporaron al presupuesto del mecanismo de recaudo y giro creado por el Decreto número 4962 de 2011, los recursos a que hace referencia el numeral 2 del artículo 3o de la Ley 1608 de 2013.
Que según el Certificado de Disponibilidad Presupuestal número 2176 de 15 de julio de 2013, expedido por el Coordinador del Grupo de Administración Financiera del Fondo de Solidaridad y Garantía (Fosyga), existe apropiación disponible y libre de afectación en el presupuesto del mecanismo único de recaudo y giro del Régimen Subsidiado, Concepto: Excedentes Aportes Patronales Cajanal – artículo 3o Ley 1608 de 2013, por valor de setenta mil quinientos cuarenta y siete millones novecientos setenta y dos mil novecientos noventa pesos. ($70.547.972.990) m/cte.
Que en mérito a lo expuesto,
RESUELVE:
ARTÍCULO 1o. OBJETO. La presente resolución tiene por objeto distribuir a los departamentos y distritos los recursos de excedentes de aportes patronales correspondientes a activos remanentes del recaudo de aportes al Sistema General de Seguridad Social en Salud, provenientes del proceso de liquidación de Cajanal EPS.
ARTÍCULO 2o. DISTRIBUCIÓN DE RECURSOS. Los recursos de que trata la presente resolución se distribuirán entre departamentos y distritos, de acuerdo con lo establecido en el numeral 2 del artículo 3o de la Ley 1608 de 2013, tal como se refleja en el anexo que forma parte integral del presente acto administrativo.
ARTÍCULO 3o. CONDICIONES PARA EL PAGO DE LAS DEUDAS POR PARTE DE LOS DEPARTAMENTOS Y DISTRITOS. A partir del monto distribuido mediante el referido anexo, los departamentos y distritos realizarán la asignación de recursos teniendo en cuenta los valores por los servicios asumidos por las Instituciones Prestadoras de Servicios de Salud públicas o privadas o pagados por las Entidades Promotoras de Salud del Régimen Subsidiado, siempre que se atiendan las siguientes condiciones:
3.1. Condiciones de las deudas. Se cancelarán con los recursos de que trata la presente resolución, las deudas por servicios prestados a la población pobre en lo no cubierto con subsidios a la demanda (población pobre no asegurada y eventos no incluidos en el Plan Obligatorio de Salud del Régimen Subsidiado), a cargo de los departamentos y distritos, que:
3.1.1. Hayan sido depuradas, conciliadas y auditadas por la dirección territorial de salud respectiva.
3.1.2. No hayan sido canceladas con ningún otro recurso de origen territorial o nacional, incluyendo los asignados mediante las Resoluciones número 4889 de 2008; 4260 y 5375 de 2009; 530, 2105, 3797, 5441, 5510 y 5512 de 2010; 2675, 02, 36, 296 y 471 de 2011; 1059, 1606, 4345 y 4499 de 2012.
3.1.3. No estén respaldadas por un contrato con el departamento o distrito, ni estos se encuentren en capacidad de cancelarlas.
3.2. Condiciones de los acreedores. Los acreedores de los departamentos o distritos serán:
3.2.1. Instituciones Prestadoras de Servicios de Salud públicas o privadas, habilitadas que hagan parte de la red de prestación de servicios del departamento o distrito, o que hayan prestado servicios de urgencias, incluyendo las que se encuentren por fuera de su jurisdicción.
3.2.2. Entidades Promotoras de Salud del Régimen Subsidiado, que hayan asumido servicios no incluidos en el Plan Obligatorio de Salud del Régimen Subsidiado a cargo del departamento o distrito.
3.3. Priorización de las deudas. Los departamentos y distritos priorizarán el pago de deudas con los siguientes criterios:
3.3.1. Las deudas más antiguas que se hallen debidamente depuradas, conciliadas y auditadas con Empresas Sociales del Estado (ESE), dando prelación a aquellas ESE, categorizadas en riesgo medio o alto, de acuerdo con lo establecido en la Resolución número 1877 de 2013, expedida por el Ministerio de Salud y Protección Social.
3.3.2. Si el departamento o distrito no tuviere deudas que cumplan con el anterior criterio, priorizará las que tenga con Entidades Promotoras de Salud del Régimen Subsidiado o con instituciones prestadoras de servicios de salud, privadas, privilegiando las deudas más antiguas, bajo las mismas condiciones aquí referidas.
3.3.3. El valor propuesto de asignación para cada acreedor no podrá ser inferior a veinte millones de pesos ($20.000.000) m/cte.
PARÁGRAFO. Con cargo a los recursos distribuidos mediante la presente resolución, no se podrán pagar intereses causados por la mora en el pago de las deudas, ni los gastos, costas y honorarios que se ocasionen por cobros judiciales o prejudiciales.
ARTÍCULO 4o. REQUISITOS PARA EL GIRO. El giro de los recursos de que trata la presente resolución se hará por parte del Ministerio de Salud y Protección Social, a las Instituciones Prestadoras de Servicios de Salud, previo el cumplimiento por parte de los departamentos y distritos de los siguientes requisitos:
4.1. Haber adelantado la auditoría con la consecuente depuración y conciliación a las cuentas o acreencias a cancelar con los recursos de que trata la presente resolución, de acuerdo con el instructivo que se defina para este fin por parte de la Dirección de Prestación de Servicios y Atención Primaria.
4.2. Remitir al Ministerio de Salud y Protección Social – Dirección de Prestación de Servicios y Atención Primaria, dentro de los dos (2) meses siguientes a la entrada en vigencia de la presente resolución, la siguiente documentación:
i) Propuesta de asignación de los recursos, teniendo en cuenta las condiciones definidas en el artículo 3o de la presente resolución, la cual se registrará en documento suscrito por el Gobernador o Alcalde, de acuerdo con el instructivo que defina la Dirección de Prestación de Servicios y Atención Primaria;
ii) Certificación expedida por el director territorial de salud, en la que conste que con los recursos asignados a cada entidad acreedora se cancelarán deudas por los servicios prestados a la población pobre en lo no cubierto con subsidios a la demanda (población pobre no asegurada o eventos no incluidos en el Plan Obligatorio de Salud del Régimen Subsidiado) y que tales servicios no han sido cancelados con ningún otro recurso de carácter territorial o nacional, incluyendo los asignados mediante las Resoluciones número 4889 de 2008; 4260 y 5375 de 2009; 530, 2105, 3797, 5441, 5510 y 5512 de 2010, 2675, 02, 36, 296 y 471 de 2011 y 1059, 1606, 4345 y 4499 de 2012;
iii) Certificación expedida por el representante legal de cada una de las entidades acreedoras, incluidas en la asignación definida por el departamento o distrito, en la que conste que la entidad se acoge voluntariamente a las condiciones previstas en la presente resolución, indicando el nombre de la entidad territorial deudora; monto inicial de la deuda; monto de la deuda auditada y conciliada, adjuntando la relación de las facturas con el número, fecha y valor de cada una de las que sean objeto de pago con los recursos de que trata la presente resolución, de acuerdo con el instructivo antes mencionado;
iv) Certificación del revisor fiscal o quien haga sus veces, de cada una de las entidades acreedoras, incluidas en la asignación definida por el departamento o distrito, en la que conste el registro de la deuda en los estados financieros de la entidad;
v) Relación de Instituciones Prestadoras de Servicios de Salud a las que se les deberán girar los recursos, la cual se registrará en un documento que indique el valor a girar a cada una de ellas, suscrito por el representante legal de la Entidad Promotora de Salud del Régimen Subsidiado, de acuerdo con el instructivo antes mencionado;
vi) Solicitud de giro de los recursos asignados, suscrita por el director territorial de salud, que incluya el valor a girar a cada una de las Instituciones Prestadoras de Servicios de Salud acreedoras del departamento o distrito y las incluidas en la relación de qué trata el numeral anterior, de acuerdo con el instructivo antes mencionado;
vii) Certificación del revisor fiscal o quien haga sus veces, de cada una de las entidades acreedoras, incluidas en la asignación definida por el departamento o distrito, a las que se le hayan cancelado deudas en ejecución de los recursos asignados mediante las Resoluciones 2675, 02, 36, 296 y 471 de 2011 y 1059 y 1606 de 2012, en la que conste el registro o saneamiento en los estados financieros de las deudas canceladas con dichos recursos. En el caso de las Resoluciones 1059 y 1606 de 2012, se deberán anexar adicionalmente los cuadros en medio impreso y magnético (Excel), con la relación del número, fecha y valor de cada una de las facturas canceladas.
PARÁGRAFO 1o. Cuando la dirección territorial de salud se encuentre en proceso de liquidación, la propuesta de asignación y la certificación aquí establecida sobre las deudas existentes antes de la liquidación, serán las que expida el agente liquidador. Adicionalmente, las deudas a pagar deberán haber sido excluidas de la masa de liquidación, mediante el acto administrativo correspondiente.
PARÁGRAFO 2o. Los departamentos o distritos deberán incorporar los recursos distribuidos mediante la presente resolución en su presupuesto de ingresos y gastos y registrar la ejecución, sin situación de fondos, de acuerdo con los giros efectuados.
ARTÍCULO 5o. PROCEDIMIENTO PARA EL GIRO DE LOS RECURSOS. Los recursos distribuidos mediante la presente resolución se girarán de manera directa a las cuentas bancarias registradas para el giro de los recursos del Régimen Subsidiado de las Instituciones Prestadoras de Servicios de Salud, previa presentación por parte de las direcciones territoriales de salud al Ministerio de Salud y Protección Social – Dirección de Prestación de Servicios y Atención Primaria de la documentación definida en el artículo 4o de la presente resolución.
Si la documentación presentada cumple con los requisitos establecidos en la presente resolución, el Ministerio de Salud y Protección Social procederá al giro de los recursos a través del mecanismo de recaudo y giro creado en desarrollo del artículo 31 de la Ley 1438 de 2011.
PARÁGRAFO 1o. Cuando la Institución Prestadora de Servicios de Salud no tenga la cuenta bancaria registrada para el giro de los recursos del Régimen Subsidiado, deberá proceder a registrarla ante la Dirección de Administración de Fondos de la Protección Social de este Ministerio, remitiendo copia legible del Registro Único Tributario (RUT) y el original de la certificación bancaria expedida con una antelación no mayor a tres (3) meses a la presentación de la documentación, en la que incluya: (i) nombre o razón social de la entidad acreedora beneficiaria del giro, tal y como aparece en el Registro Único Tributario (RUT), (ii) Número de Identificación Tributaria (NIT), (iii) tipo de cuenta (ahorro o corriente) y (iv) número de la cuenta y estado de la misma.
PARÁGRAFO 2o. En consideración a que el mecanismo de que trata el Decreto 4962 de 2011, es una cuenta de pago, los recursos a que refiere esta resolución, no girados a 31 de diciembre de 2013, serán girados a la Subcuenta de Solidaridad del Fosyga y su transferencia a dicho mecanismo se efectuará en la medida que las entidades territoriales cumplan con los requisitos para el giro.
ARTÍCULO 6o. TÉRMINOS Y CONDICIONES PARA LA CERTIFICACIÓN DE LOS TRÁMITES Y REGISTROS PRESUPUESTALES Y CONTABLES. Dentro de los treinta (30) días hábiles posteriores al giro de los recursos, los destinatarios de la presente resolución, procederán, así:
6.1. Los departamentos y distritos remitirán al Ministerio de Salud y Protección Social – Dirección de Prestación de Servicios y Atención Primaria:
i) Certificación del registro o saneamiento en los estados financieros de las deudas con las Entidades Promotoras de Salud del Régimen Subsidiado e Instituciones Prestadoras de Servicios de Salud públicas o privadas;
ii) Cuadro en medio impreso y magnético (Excel) con la relación del número, fecha y valor de cada una de las facturas canceladas, de acuerdo con lo indicado en la certificación definida en el numeral anterior.
6.2. Las Entidades Promotoras de Salud del Régimen Subsidiado remitirán tanto a los departamentos o distritos, como al Ministerio de Salud y Protección Social - Dirección de Prestación de Servicios y Atención Primaria:
i) Acto administrativo de incorporación en el presupuesto de ingresos y gastos por el valor asignado por el departamento o distrito, cuando aplique;
ii) Certificación del registro o saneamiento en sus estados financieros de los valores que les adeudaban las entidades territoriales, así como de aquellos que a su vez tenían con las Instituciones Prestadoras de Servicios de Salud;
iii) Cuadro en medio impreso y magnético (Excel) con la relación del número, fecha y valor de cada una de las facturas canceladas, de acuerdo con lo indicado en la certificación expedida por el respectivo departamento o distrito.
6.3. Las Instituciones Prestadoras de Servicios de Salud remitirán a los departamentos o distritos, a las Entidades Promotoras de Salud del Régimen Subsidiado y al Ministerio de Salud y Protección Social - Dirección de Prestación de Servicios y Atención Primaria:
i) Acto administrativo de incorporación en el presupuesto de ingresos y gastos por el valor asignado por el departamento o distrito, cuando aplique;
ii) Certificación del registro o saneamiento en sus estados financieros de los valores que les adeudaban las entidades territoriales o las Entidades Promotoras de Salud del Régimen Subsidiado.
ARTÍCULO 7o. DEPURACIÓN DE ESTADOS FINANCIEROS. Los departamentos o distritos, las Instituciones Prestadoras de Servicios de Salud y las Entidades Promotoras de Salud del Régimen Subsidiado, cuando corresponda, deberán depurar sus registros contables, de acuerdo con los procedimientos contables definidos por la Contaduría General de la Nación en el Régimen de Contabilidad Pública y la Superintendencia Nacional de Salud, en el marco de la normativa vigente.
ARTÍCULO 8o. DIRECCIONES DEPARTAMENTALES Y DISTRITALES INTERVENIDAS POR LA SUPERINTENDENCIA NACIONAL DE SALUD. Las actividades relacionadas con la asignación y trámite para el giro de los recursos aquí distribuidos, en los departamentos y distritos cuyas direcciones de salud a la fecha de entrada en vigencia de la presente resolución, se encuentren intervenidas por la Superintendencia Nacional de Salud o sean intervenidas con posterioridad, estarán a cargo del agente interventor.
ARTÍCULO 9o. AUDITORÍA. El Ministerio de Salud y Protección Social, podrá efectuar las auditorías que estime pertinentes y cruzar la información reportada por los departamentos y distritos con la información que posea la Dirección de Apoyo Fiscal del Ministerio de Hacienda y Crédito Público. De ser necesario, informará a las entidades de vigilancia y control, para lo de su competencia.
ARTÍCULO 10. REPORTE DE CUENTAS POR COBRAR DE ENTIDADES PROMOTORAS DE SALUD DEL RÉGIMEN SUBSIDIADO. Las Entidades Promotoras de Salud del Régimen Subsidiado, deberán reportar al Ministerio de Salud y Protección Social dentro de los veinte (20) días hábiles siguientes a la entrada en vigencia de la presente resolución, los valores presuntamente adeudados por parte de las entidades territoriales por atenciones de eventos no incluidos en el Plan Obligatorio de Salud del Régimen Subsidiado, de acuerdo con la estructura de datos que defina el Ministerio de Salud y Protección Social.
Así mismo, los departamentos y distritos deberán reportar dentro del mismo término, las presuntas cuentas por pagar a las Entidades Promotoras de Salud del Régimen Subsidiado por servicios prestados a la población pobre en lo no cubierto con subsidios a la demanda (No POS), de acuerdo con la estructura que defina el Ministerio de Salud y Protección Social.
ARTÍCULO 11. VIGENCIA. La presente resolución rige a partir de la fecha de su publicación y deroga las disposiciones que le sean contrarias.
Publíquese y cúmplase.
Dada en Bogotá, D. C., a 26 de agosto de 2013.
El Ministro de Salud y Protección Social,
ALEJANDRO GAVIRIA URIBE.
DISTRIBUCIÓN EXCEDENTES DE APORTES PATRONALES CORRESPONDIENTES A ACTIVOS REMANENTES DEL RECAUDO DE APORTES AL SISTEMA DE SEGURIDAD SOCIAL EN SALUD PROVENIENTES DEL PROCESO DE LIQUIDACIÓN DE CAJANAL EPS.
