ACUERDO 540 DE 2019
(noviembre 28)
Diario Oficial No. 51.163 de 10 de diciembre 2019
CONSEJO NACIONAL DE JUEGOS DE SUERTE Y AZAR
Por el cual se expide el cronograma de sorteos ordinarios y extraordinarios del juego de lotería tradicional o de billetes para el año 2020.
NOTAS DE VIGENCIA: - Modificada por la Acuerdo 566 de 2020, 'por el cual se modifica el Acuerdo 540 de 2019 que establece el cronograma de sorteos ordinarios y extraordinarios del juego de lotería tradicional o de billetes para el año 2020 y se dictan otras disposiciones', publicada en el Diario Oficial No. 51.542 de 29 de diciembre de 2020. - Modificado por el Acuerdo 564 de 2020, 'por el cual se modifica el Acuerdo 540 de 2019 que establece el cronograma de sorteos ordinarios y extraordinarios del juego de lotería tradicional o de billetes para el año 2020', publicado en el Diario Oficial No. 51.489 de 5 de noviembre de 2020. - Modificado por el Acuerdo 546 de 2020, 'por el cual se modifica el Acuerdo número 540 de 2019 mediante el cual se establece cronograma de sorteos ordinarios y extraordinarios del juego de lotería tradicional o de billetes para el año 2020', publicado en el Diario Oficial No. 51.397 de 05 de agosto de 2020. - Consultar el Acuerdo 542 de 2020, 'por el cual se prorroga la suspensión para la realización de sorteos ordinarios y extraordinarios del juego de lotería tradicional o de billetes ordenada a través del Acuerdo 541 de 2020, se fija fecha para su reactivación y se dictan otras disposiciones', publicado en el Diario Oficial No. 51.305 de 5 de mayo de 2020. - Consultar el Acuerdo 541 de 23 de marzo de 2020, 'por el cual se suspende temporalmente la realización de sorteos ordinarios y extraordinarios del juego de lotería tradicional o de billetes por el período de cuarentena obligatoria, decretada por el Gobierno Nacional, dada la Emergencia Económica, Social y Ecológica por el COVID-19'. |
EL CONSEJO NACIONAL DE JUEGOS DE SUERTE Y AZAR (CNJSA),
en ejercicio de sus atribuciones legales, especialmente las conferidas por los artículos 13 y 19 de la Ley 643 de 2001 y conforme a lo establecido en el artículo 2.7.1.3.5 del Decreto 1068 de 2015, y
CONSIDERANDO:
Que de conformidad con los artículos 13 y 19 de la Ley 643 de 2001, los sorteos ordinarios y extraordinarios de las loterías tradicionales se deben efectuar de acuerdo con el cronograma anual que fije el Gobierno nacional.
Que el artículo 20 de la Ley 643 de 2001, indica que los sorteos son de interés público nacional y se transmitirán en vivo y en directo por los canales públicos nacionales y/o regionales.
Que los artículos 2.7.1.3.1 y 2.7.1.3.5 del Decreto 1068 de 2015, establecen que el CNJSA definirá el cronograma anual de los sorteos ordinarios y extraordinarios, de acuerdo con las propuestas allegadas por las entidades operadoras del juego de lotería tradicional, con las reglas establecidas en el mismo decreto.
Que en cumplimiento de lo establecido en el artículo 2.7.1.3.5 del Decreto 1068 de 2015, las empresas operadoras del juego de lotería tradicional o de billetes enviaron a la Secretaría Técnica del CNJSA, las propuestas con las fechas y horas de los sorteos ordinarios y extraordinarios que pretenden efectuar durante el año 2020, mediante los escritos que se radicaron según el siguiente detalle:


Que la lotería de la Beneficencia del Valle del Cauca, a través del radicado 20194300423342 del 29 de octubre de 2019, solicitó a la Secretaría Técnica del CNJSA verificar la viabilidad de reservar la fecha del 18 de julio de 2020, para la realización de un sorteo extraordinario en asociación con la Lotería de la Cruz Roja.
Que mediante radicado 20192400802041 del 6 de noviembre de 2019, la Secretaría Técnica del CNJSA respondió a dicha solicitud indicando que:
“En cumplimiento del artículo 2.7.1.3.5 del Decreto 1068 de 2015, se solicita a la Beneficencia del Valle del Cauca allegar a esta Secretaría Técnica el acto administrativo por medio del cual la Junta Directiva aprueba la fecha para la realización del Sorteo Extraordinario para el año 2020, de la misma forma como fue remitido el cronograma de sorteos ordinarios de la lotería de la Beneficencia del Valle del Cauca mediante radicado 20194300405862 del 17 de octubre de 2019”.
Que en el mismo oficio, adicionalmente se indicó que la Secretaría Técnica no se encuentra facultada para reservar fechas para la realización de sorteos.
Que la lotería de la Beneficencia del Valle del Cauca no allegó a la Secretaría Técnica la documentación solicitada y en consecuencia no se tuvo en cuenta la fecha del 18 de julio de 2020 para la realización del sorteo extraordinario en mención.
Que el literal c) del artículo 2.7.1.3.4 del Decreto 1068 de 2015 establece como criterios para la elaboración del cronograma de sorteos extraordinarios que “no se podrá programar más de un sorteo durante la misma semana”.
Que dentro de las propuestas remitidas por los operadores del juego de lotería tradicional o de billetes se presentaron algunas coincidencias de fecha para la realización de los sorteos extraordinarios del mes de diciembre de 2020, como se describe a continuación:

Que por las coincidencias presentadas, el día 19 de noviembre del presente año, la Secretaría Técnica del CNJSA llevó a cabo una mesa de trabajo con los gerentes de las loterías que pretendían realizar sorteos extraordinarios en el mes de diciembre del 2020, con el fin de que concertaran las fechas para la realización de dichos sorteos extraordinarios.
Que en la mesa de trabajo, los gerentes de las loterías solicitaron que el cronograma de sorteos extraordinarios del mes de diciembre del 2020, se analice una vez se posesionen los nuevos gobiernos departamentales. La Secretaría Técnica del CNJSA consideró viable la solicitud, en consecuencia procedió con el trámite para la expedición del cronograma de sorteos ordinarios de la vigencia 2020 y el cronograma de sorteos extraordinarios, exceptuando el cronograma de sorteos extraordinarios del mes de diciembre de 2020, el cual será tramitado en el primer trimestre del año 2020.
Que el presente acuerdo fue discutido y aprobado por el CNJSA, en sesión ordinaria número 114 del CNJSA.
Que en mérito de lo expuesto,
ACUERDA:
ARTÍCULO 1o. OBJETO. El presente acuerdo tiene por objeto fijar el cronograma de sorteos ordinarios y extraordinarios del juego de lotería tradicional que regirá para todos los operadores en el territorio nacional, durante el año 2020.
ARTÍCULO 2o. CRONOGRAMA DE SORTEOS ORDINARIOS Y EXTRAORDINARIOS DEL JUEGO DE LOTERÍA TRADICIONAL. <Ver Notas e Vigencia> De acuerdo con la evaluación de las propuestas allegadas por los operadores del juego de lotería tradicional, el cronograma de sorteos ordinarios y extraordinarios para el año 2020, es el que se señala a continuación:
- Consultar el Acuerdo 542 de 2020, 'por el cual se prorroga la suspensión para la realización de sorteos ordinarios y extraordinarios del juego de lotería tradicional o de billetes ordenada a través del Acuerdo 541 de 2020, se fija fecha para su reactivación y se dictan otras disposiciones', publicado en el Diario Oficial No. 51.305 de 5 de mayo de 2020. - Consultar el Acuerdo 541 de 23 de marzo de 2020, 'por el cual se suspende temporalmente la realización de sorteos ordinarios y extraordinarios del juego de lotería tradicional o de billetes por el período de cuarentena obligatoria, decretada por el Gobierno Nacional, dada la Emergencia Económica, Social y Ecológica por el COVID-19'. |
A. Sorteos ordinarios
1. Lotería de Bogotá <Consultar en Notas de Vigencia normas que modifican algunos sorteos>
- Sorteos 2567, 2568, 2569 modificados por el artículo 1 del Acuerdo 566 de 2020, 'por el cual se modifica el Acuerdo 540 de 2019 que establece el cronograma de sorteos ordinarios y extraordinarios del juego de lotería tradicional o de billetes para el año 2020 y se dictan otras disposiciones', publicada en el Diario Oficial No. 51.542 de 29 de diciembre de 2020. |


2. Lotería de Boyacá


3. Lotería del Cauca <Ver normas que lo modifican en Notas de Vigencia>
- Consultar modificación a este numeral diretamente en el artículo 1 del Acuerdo 546 de 2020, 'por el cual se modifica el Acuerdo número 540 de 2019 mediante el cual se establece cronograma de sorteos ordinarios y extraordinarios del juego de lotería tradicional o de billetes para el año 2020', publicado en el Diario Oficial No. 51.397 de 05 de agosto de 2020. |


4. Lotería de la Cruz Roja

5. Lotería de Cundinamarca


6. Lotería del Huila


7. Lotería de Manizales


8. Lotería de Medellín <Consultar en Notas de Vigencia normas que modifican algunos sorteos>
- Sorteos 4553 y 4554 modificados por el artículo 1 del Acuerdo 566 de 2020, 'por el cual se modifica el Acuerdo 540 de 2019 que establece el cronograma de sorteos ordinarios y extraordinarios del juego de lotería tradicional o de billetes para el año 2020 y se dictan otras disposiciones', publicada en el Diario Oficial No. 51.542 de 29 de diciembre de 2020. |

9. Lotería del Meta


10. Lotería del Quindío


11. Lotería del Risaralda

12. Lotería de Santander <Consultar en Notas de Vigencia normas que modifican algunos sorteos>
- Sorteos 24788, 4789 y 4790 modificados por el artículo 1 del Acuerdo 566 de 2020, 'por el cual se modifica el Acuerdo 540 de 2019 que establece el cronograma de sorteos ordinarios y extraordinarios del juego de lotería tradicional o de billetes para el año 2020 y se dictan otras disposiciones', publicada en el Diario Oficial No. 51.542 de 29 de diciembre de 2020. |


13. Lotería del Tolima <Consultar en Notas de Vigencia normas que modifican algunos sorteos>
- Sorteos 3888 y 3889 modificados por el artículo 1 del Acuerdo 566 de 2020, 'por el cual se modifica el Acuerdo 540 de 2019 que establece el cronograma de sorteos ordinarios y extraordinarios del juego de lotería tradicional o de billetes para el año 2020 y se dictan otras disposiciones', publicada en el Diario Oficial No. 51.542 de 29 de diciembre de 2020. |


14. Lotería del Valle


B. Sorteos extraordinarios <Ver normas que lo modifican en Notas de Vigencia>
- Consultar modificación a este literal diretamente en el artículo 1 del Acuerdo 566 de 2020, 'por el cual se modifica el Acuerdo 540 de 2019 que establece el cronograma de sorteos ordinarios y extraordinarios del juego de lotería tradicional o de billetes para el año 2020 y se dictan otras disposiciones', publicada en el Diario Oficial No. 51.542 de 29 de diciembre de 2020. - Consultar modificación a este literal diretamente en el artículo 1 del Acuerdo 564 de 2020, 'por el cual se modifica el Acuerdo 540 de 2019 que establece el cronograma de sorteos ordinarios y extraordinarios del juego de lotería tradicional o de billetes para el año 2020', publicado en el Diario Oficial No. 51.489 de 5 de noviembre de 2020. |
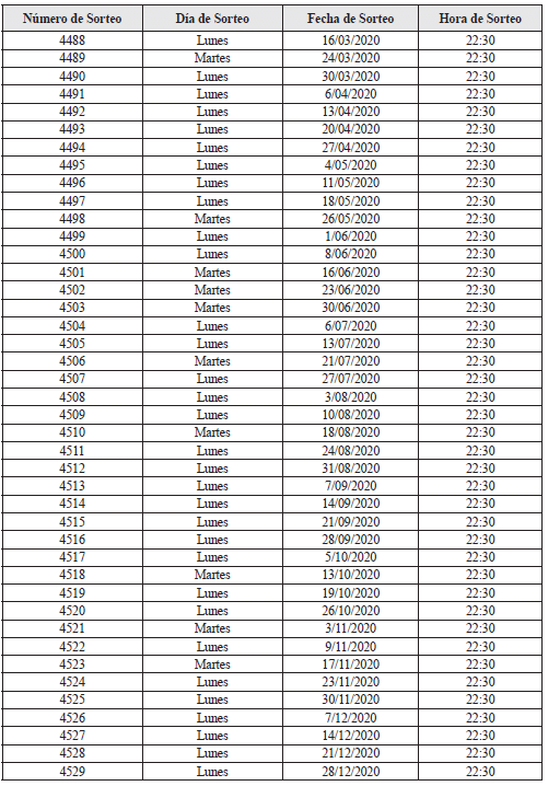
1. Lotería de Santander
![]()
- Consultar modificación a este numeral diretamente en el artículo 1 del Acuerdo 564 de 2020, 'por el cual se modifica el Acuerdo 540 de 2019 que establece el cronograma de sorteos ordinarios y extraordinarios del juego de lotería tradicional o de billetes para el año 2020', publicado en el Diario Oficial No. 51.489 de 5 de noviembre de 2020. |
2. Sorteo Extraordinario de Colombia Ltda. <Ver normas que lo modifican en Notas de Vigencia>
- Consultar modificación a este numeral diretamente en el artículo 1 del Acuerdo 564 de 2020, 'por el cual se modifica el Acuerdo 540 de 2019 que establece el cronograma de sorteos ordinarios y extraordinarios del juego de lotería tradicional o de billetes para el año 2020', publicado en el Diario Oficial No. 51.489 de 5 de noviembre de 2020. - Consultar modificación a este numeral diretamente en el artículo 2 del Acuerdo 546 de 2020, 'por el cual se modifica el Acuerdo número 540 de 2019 mediante el cual se establece cronograma de sorteos ordinarios y extraordinarios del juego de lotería tradicional o de billetes para el año 2020', publicado en el Diario Oficial No. 51.397 de 05 de agosto de 2020. |

ARTÍCULO 3o. VIGENCIA. El presente acuerdo rige a partir de la fecha de su publicación.
Publíquese y cúmplase.
Dado en Bogotá, D. C., a 28 de noviembre de 2019.
La Presidenta,
María Virginia Jordán Quintero.
La Secretaria Técnica,
Gigioly Katerine Grimaldos Robayo.
Centro Normativo Keralty
n.d.
Última actualización: 30 de diciembre de 2025
