CIRCULAR EXTERNA 10 DE 2021
(mayo 13)
Boletín Ministerio de Hacienda, Capítulo Superintendencia Financiera de Colombia, No. 581 de 14 de mayo de 2021
Señores
REPRESENTANTES LEGALES DE LAS ENTIDADES VIGILADAS POR LA SUPERINTENDENCIA FINANCIERA
Referencia: Instrucciones relacionadas con el cálculo de la rentabilidad mínima del fondo de cesantías y los índices de acciones negociadas en Colombia.
Apreciados señores:
En atención a la expedición del Decreto 270 de 2021, mediante el cual el Gobierno Nacional modificó la metodología de cálculo de la rentabilidad del portafolio de corto plazo de los fondos de cesantías, se considera necesario modificar la Circular Básica Jurídica para incorporar la nueva metodología de cálculo.
De igual manera, se requiere modificar las instrucciones relacionadas con el proveedor de los índices que hacen parte del Índice Agregado de Renta Variable Local para el cálculo de la rentabilidad mínima del portafolio de largo plazo de los fondos de cesantías y los fondos de pensiones obligatorias, atendiendo el cambio de proveedor del índice Colcap.
Asimismo, resulta necesario ajustar las instrucciones relacionadas con las volatilidades calculadas por esta Superintendencia para efectos de los factores de sensibilidad al riesgo de mercado y los factores de crédito utilizados para el cálculo de la exposición crediticia de los instrumentos financieros derivados y productos estructurados.
En consecuencia, este Despacho, en ejercicio de sus facultades legales y en particular las establecidas en el literal a) del numeral 3o del artículo 326 del EOSF, y los numerales 4o y 5o del artículo 11.2.1.4.2 del Decreto 2555 de 2010, imparte las siguientes instrucciones:
PRIMERA. Modificar los numerales 1.9 y 1.10 del Capítulo III del Título III de la Parte II de la Circular Básica Jurídica, relativos al cálculo de la rentabilidad mínima de los portafolios de los fondos de cesantías y los Índices Agregado de Renta Variable Local y Agregado de Renta Fija Local. <ANEXO>
SEGUNDA. Modificar los numerales 1.3 y 1.4 del Anexo 3 del Capítulo XVIII de la Circular Básica Contable y Financiera, relativos al cálculo de la exposición crediticia y a las volatilidades diarias estresadas utilizadas para el cálculo de la Exposición Potencial Futura de los instrumentos financieros derivados y productos estructurados. <ANEXO>
TERCERA. Modificar los numerales 1.4.1 y 1.6 del Anexo 2 del Capítulo XXI de la Circular Básica Contable y Financiera, relativos a los factores de riesgo de acciones. <ANEXO>
CUARTA. Modificar la instrucción quinta de la Circular Externa 031 de 2019, la cual quedara así:
El Factor de ajuste (FA) incluido en la fórmula de cálculo de la exposición crediticia establecida en los subnumerales 1.1 y 1.2. del Anexo 3 del Capítulo XVIII será implementado gradualmente, según la tabla siguiente.
| Periodo de cálculo de la EC | Factor de ajuste |
| Hasta diciembre 31 de 2021 | 1.2 |
| A partir de enero 1 de 2022 | 1.4 |
La presente Circular rige a partir de su expedición, con excepción de las instrucciones segunda, tercera y cuarta que entrarán en vigencia a partir del 1 de junio del presente año.
Se anexan las páginas objeto de modificación.
Cordialmente,
JORGE CASTAÑO GUTIÉRREZ
Superintendente Financiero
CAPITULO XVIII - INSTRUMENTOS FINANCIEROS DERIVADOS Y PRODUCTOS ESTRUCTURADOS PÁGINA 28.
| Participaciones en fondos de inversión colectiva abiertos sin pacto de permanencia que cumplan con los requisitos mínimos establecidos en el subnumeral 1.3.1. | 25% |
En los casos en los cuales los activos otorgados en garantía estén denominados en una moneda diferente a la de la obligación de pago del instrumento financiero derivado o de la moneda principal definida por las partes para el portafolio, se debe adicionar un 'haircut' correspondiente al 8%.
Las garantías admisibles, así como los factores de descuento aplicables podrán ser revisados por la SFC y podrán ser adicionados o modificados en cualquier momento.
1.3.1. Las participaciones en fondos de inversión colectiva abiertos sin pacto de permanencia se consideran como garantías admisibles siempre que el respectivo vehículo cumpla con las siguientes condiciones:
1.3.1.1. Que tenga perfil conservador o bajo riesgo, definido en el reglamento respectivo.
1.3.1.2. Que su política de inversión contemple una participación que represente una mayoría significativa del fondo en efectivo y/o valores de renta fija de corta duración de emisores nacionales, inscritos en el RNVE, y calificados como mínimo con grado de inversión, salvo los títulos de deuda pública emitidos o garantizados por la Nación, por el Banco de la República o por el Fondo de Garantías de Instituciones Financieras- FOGAFIN, los cuales no requerirán calificación.
1.3.1.3. Que no realice operaciones de naturaleza apalancada.
1.3.1.4. Que el reglamento contemple que la redención de participaciones se hará a más tardar al día hábil siguiente a la solicitud.
1.3.1.5. Que las participaciones entregadas en garantía a una misma parte no superen el 5% del valor neto del fondo.
1.4. Factor de Crédito
El Factor de Crédito (FC) es un porcentaje que refleja la variación máxima probable en el valor razonable de un instrumento financiero derivado, como consecuencia de variaciones en el valor del subyacente principal del contrato en un plazo (T) igual o inferior al vencimiento.
El FC para aplicar de acuerdo con el tipo de subyacente y el plazo remanente de cada instrumento financiero derivado debe ser calculado de acuerdo a la siguiente fórmula:
1.4.1. Volatilidad diaria estresada
1.4.1.1. La volatilidad diaria estresada corresponde a la volatilidad del tipo de subyacente suministrada por el proveedor de precios designado como oficial por la entidad. Estas volatilidades deben ser calculadas por los proveedores de precios según la metodología definida para cada subyacente, la cual debe incorporar un nivel de confianza de mínimo 99%, basarse en estándares de mercado de amplio reconocimiento a nivel internacional, considerando como mínimo un periodo de tiempo que incluya un periodo de crisis para el subyacente.
Los proveedores de precios pueden calcular volatilidades para tipos de subyacente distintos a los establecidos en el subnumeral 1.4.1.2. del presente Capítulo. Asimismo, pueden calcular volatilidades que incorporen el efecto del plazo remanente, para lo cual la metodología debe detallar el proceso para que las entidades calculen el FC según el plazo remanente de los instrumentos.
1.4.1.2. Cuando el proveedor de precios oficial no suministre la volatilidad diaria estresada del subyacente, la entidad podrá utilizar la suministrada por otro proveedor de precios.
En caso de no obtener la volatilidad de los proveedores de precios, esta corresponderá a aquella publicada mensualmente en la Matriz para el Reporte Oficial de Riesgos de Mercado (VeR informativo), disponible en la página web de la SFC, la cual se calcula según la metodología establecida en el documento técnico 'Metodología de cálculo de las volatilidades estresadas para el reporte oficial de riesgos de mercado', publicado en la página web de la SFC. En este evento, los tipos de subyacente que deben tener en cuenta las entidades son:
a) Acciones Colombia, para acciones cuyo emisor esté calificado por debajo del nivel de inversión;
b) Acciones Global, para acciones cuyo emisor esté calificado como grado de inversión;
c) COP/ EUR, para tipo de cambio Euro – Peso;
d) TRM, para tipo de cambio diferente a Euro – Peso; o
e) Tasa de interés, para instrumentos financieros derivados sobre tasa de interés y cualquier otro subyacente sujeto a variaciones en las tasas de interés. La volatilidad diaria estresada se debe calcular de acuerdo con la metodología establecida en el documento técnico 'Metodología de cálculo de las volatilidades estresadas para el reporte oficial de riesgos de mercado'.
Estos tipos de subyacente podrán ser revisados por la SFC y podrán ser adicionados o modificados.
Para efectos de la aplicación del FC, se debe entender como operaciones con instrumentos financieros derivados de tasa de interés aquéllos en los cuales el subyacente es una tasa de interés o un título de deuda, independientemente del emisor del título y de la especie del título que se trate. Esta categoría incluye "swaps" de tasa de interés en la misma moneda, 'forward' sobre tasas de interés, "forward" sobre títulos de deuda, 'forward' sobre bonos nocionales y opciones compradas sobre tasa de interés negociadas en el OTC o que no sean estandarizadas.
Para las operaciones con instrumentos financieros derivados sobre tipo de cambio, se debe aplicar el FC definido en la tabla anterior, independientemente de la divisa sobre la cual se haya estructurado cada operación. Este factor se aplica en
CAPITULO XXI REGLAS RELATIVAS A LA ADMINISTRACIÓN DE LOS RIESGOS DE MERCADO PÁGINA 2.
Donde:
| Valor en riesgo por variación en el factor de riesgo i, i = (dólar, euro). | |
| valor absoluto de la exposición neta de posiciones atadas al factor de riesgo i. | |
| Volatilidad asociada al factor de riesgo i. |
1.4. Evaluación del riesgo del precio de acciones o índices accionarios
La exposición al riesgo de mercado como consecuencia de la variación en el nivel de precios de las acciones, deberá calcularse de acuerdo a lo establecido en el presente numeral.
1.4.1 Factores de riesgo asociados a precios de acciones o índices accionarios
a. La exposición neta que una entidad tenga en acciones emitidas en Colombia, índices de acciones nacionales y acciones emitidas en el exterior y negociadas en Colombia, estarán asociadas al factor de riesgo Acciones Colombia, el cual es calculado a partir de un índice accionario de referencia para Colombia y publicado en la página web de esta Superintendencia.
b. La exposición neta que una entidad tenga en índices de acciones internacionales y acciones emitidas en países del exterior estarán asociadas al factor de riesgo Acciones Global, el cual es calculado a partir de un índice accionario de referencia para acciones del exterior y publicado en la página web de esta Superintendencia.
1.4.2 Cálculo de la exposición neta y sensibilidad al riesgo
La exposición neta en acciones o índices de acciones, deberán calcularse de la siguiente forma:
a. La posición neta de las operaciones spot de la entidad, calculada como la diferencia entre las posiciones largas y cortas en acciones o índices de acciones.
b. La posición neta de las operaciones forward de la entidad, calculada como la diferencia entre las posiciones largas en forwards, futuros y operaciones a plazo sobre el subyacente (acción o índice de acciones), y las posiciones cortas en dichos instrumentos.
c. La posición neta de las operaciones en derivados de la entidad, cuyo subyacente sean acciones o índices de acciones.
d. Adicionalmente, cuando corresponda según lo previsto en el numeral 1.7., las posiciones delta ponderadas de opciones en acciones
Entonces el valor en riesgo para estos factores de riesgo se calculará de la siguiente forma:
![]()
| DTF | 10. Corto Plazo | |
| 11.Largo Plazo | ||
| 12. IPC | ||
| Tasa de Cambio | 13. TRM | |
| 14. Euro / Pesos | ||
| Precio de Acciones | 15. Acciones Colombia | |
| 16. Acciones Global | ||
| Participación en Carteras colectivas | 17. Carteras colectivas | |
| Credit Default Swaps | 18. Credit Default Swaps | |
* Los componentes principales 1, 2 y 3 describen los choques de tasa paralelo, de pendiente y convexidad respectivamente y se comportan como factores de riesgo independientes.
1.6.1. Suma aritmética de los VeR de cada factor de riesgo (suma de los Valores en Riesgo de un mismo factor de riesgo).
a. Factores de riesgo con cálculo de exposición por banda de tiempo
En el caso del riesgo de tasa de interés en moneda legal y extranjera (Componentes Principales de las Curvas Cero Cupón, pesos, UVR y tesoros), existe un VeR por banda de tiempo para cada uno de los factores de riesgo (en este caso se aplicará solo para los factores 1 a 9 según la Tabla 5). Este valor en riesgo debe ser agregado aritméticamente de la siguiente forma.

Donde:
| n: | Factor de riesgo n, n = 1…..9. |
| i: | Banda de tiempo para cálculo de exposición al riesgo de mercado para tasa de interés |
| Valor en Riesgo de la banda de tiempo i para el factor de riesgo n. | |
| Valor en riesgo total del factor de riesgo n. |
b. Factores de riesgo con cálculo de exposición total (sin bandas de tiempo)
En el caso de los factores de riesgo 10 a 18, listados en la Tabla 5, no se hace necesaria una agregación aritmética de la exposición dado que estos no utilizan bandas de tiempo para el cálculo de la exposición. En este caso se tomará el valor de la exposición total calculada, según lo descrito en el presente instructivo.
PARTE II – TÍTULO III – CAPÍTULO III PÁGINA 10.
1.7. Información sobre los derechos y obligaciones de los afiliados y efectos de la selección o modificación de perfil de administración
El reglamento del fondo de cesantías administrado, en el cual se incluye la información completa de los derechos y obligaciones de los afiliados, debe estar a disposición de los mismos para consulta permanente a través de la página de Internet de la respectiva sociedad administradora. En todo caso, las sociedades administradoras deben suministrar de manera física o electrónica el referido reglamento a los afiliados que expresamente lo soliciten, dentro de los 3 días hábiles siguientes a tal requerimiento.
Así mismo, deben publicar por lo menos una vez al año, en el mes de enero, en un diario de amplia circulación nacional, información general sobre los derechos y obligaciones de los afiliados al fondo y los efectos que se derivan de la selección entre los diferentes portafolios de inversión de los aportes y/o recursos de los fondos de cesantía. Especialmente se debe informar a los afiliados que tanto en el portafolio de corto plazo como en el de largo plazo es posible que se produzcan pérdidas en el capital o en los rendimientos. Debe señalarse que el portafolio de corto plazo está orientado a los afiliados que tienen proyectado retirar sus cesantías en el corto plazo y por tanto, el objetivo en su administración es mitigar el riesgo de pérdida en los retiros a efectuar en el corto plazo mediante inversiones en las que se tiene un perfil de menor riesgo con una expectativa de menor rentabilidad que la de un portafolio de largo plazo; en tanto que el portafolio de largo plazo está orientado a los afiliados que no tienen proyectado retirar sus cesantías en el corto plazo y por tal razón, está constituido por inversiones de mayor plazo, con un perfil de mayor riesgo y expectativa de mayor rentabilidad.
La mencionada publicación tiene por finalidad ofrecer a los afiliados mayores elementos de juicio para que puedan adoptar decisiones informadas sobre la forma más adecuada de invertir sus aportes y/o recursos. La publicación puede realizarse individualmente por cada administradora o a través de la entidad que las agremie.
Además de la publicación de avisos en diarios de amplia circulación nacional y la remisión de extractos, se consideran válidas las informaciones que sobre los aspectos mencionados se entreguen a los afiliados por cualquier medio o que se incluyan en las páginas de Internet de las administradoras.
1.8. Definición o modificación del perfil de administración de aportes y/o recursos a los fondos de cesantías
Las administradoras de los fondos de cesantías deben poner a disposición de sus afiliados medios verificables a través de los cuales definan y modifiquen el perfil de administración de los aportes y/o recursos en los fondos de cesantías entre los portafolios de corto plazo y largo plazo, ya sea por medio de formatos impresos en los que conste la firma y aceptación del afiliado o a través del canal de distribución de servicios financieros de Internet. En cualquier caso, las administradoras deben atender lo dispuesto en el Anexo 2 del presente Capítulo en el que se presenta la proforma B.6000-16 “Proforma de Definición o Modificación del Perfil de Administración de aportes a los Fondos de Cesantías” con su respectivo instructivo.
Para efectos de la utilización del canal de servicios de Internet, es necesario que la respectiva administradora obtenga la no objeción previa de la SFC, para lo cual debe:
1.8.1. Establecer los criterios de segmentación de sus afiliados con el propósito de determinar a cuáles de ellos les permite el uso de dicho canal para la selección del perfil de administración de los recursos de cesantías.
1.8.2. Contar, a través del canal de servicios de Internet, con un sistema de información que explique de manera amplia y suficiente a los afiliados las características de los portafolios de corto y largo plazo elegibles, los efectos de la selección o modificación del perfil de administración y los tiempos para el traslado de recursos entre uno y otro portafolio. Así mismo, debe advertir a los afiliados acerca de la importancia de haber entendido la información suministrada y que en caso de dudas deben acceder a los medios que disponga la administradora para su aclaración.
Dicho sistema debe asegurar que la información se suministre de manera previa y obligatoria a la selección o modificación del perfil y dejar evidencia de su aceptación por parte del afiliado.
Acreditar que el canal de servicios de Internet cuenta con los mecanismos y las medidas de seguridad necesarios para establecer en todo momento que es el afiliado quien manifiesta de manera expresa y libre su selección de perfil de administración.
Establecer mecanismos que le permitan informar a los afiliados la selección efectuada, dentro de los 5 días hábiles siguientes a la decisión.
1.9. Rentabilidad mínima obligatoria para el portafolio de corto plazo de los fondos de cesantías
La rentabilidad mínima obligatoria para el portafolio de corto plazo de los fondos de cesantía se calcula de conformidad con el art. 2.6.9.1.1 del Decreto 2555 de 2010.
Para tal efecto, la SFC calcula la rentabilidad de un indicador de referencia construido con la rentabilidad diaria de la tasa IBR overnight, los aportes netos al final del día, y la comisión de administración autorizada.
1.10. Rentabilidad mínima obligatoria para el portafolio de largo plazo de los fondos de cesantías.
1.10.1. La rentabilidad acumulada por el portafolio de largo plazo del fondo de cesantía se calcula de acuerdo con el art. 2.6.9.1.3 del Decreto 2555 de 2010.
1.10.2. En atención a lo dispuesto en art. 2.6.9.1.2 del Decreto 2555 de 2010, la Superintendencia Financiera debe indicar los índices representativos del mercado de renta variable local, el mercado accionario del exterior, y el mercado de renta fija. Para el efecto, se tendrán en cuenta la variación porcentual efectiva anual durante el periodo de cálculo, una vez descontada la comisión de administración autorizada, que presenten los índices enunciados en los siguientes subnumerales.
El valor por descontar corresponde al porcentaje de comisión de administración autorizada de acuerdo con el subnumeral 1.3 del presente Capitulo que se haya causado durante el periodo de cálculo correspondiente.
1.10.2.1. Índice representativo del mercado accionario del exterior: Morgan Stanley Capital International MSCI All Country World Index (MSCI ACWI).
1.10.2.2. Metodología de agregación de índices de renta fija para el portafolio de largo plazo del fondo de cesantías.
La metodología de agregación de índices de renta fija busca establecer la forma de cálculo de un referente que se denominará índice agregado de renta fija local (IARFL).
1.10.2.2.1. Consideraciones generales del índice agregado de renta fija local (IARFL)
El IARFL es aplicable únicamente para efectos del cálculo de determinar la rentabilidad mínima el portafolio de largo plazo de los fondos de cesantías.
1.10.2.2.1.1. Nivel inicial
El nivel inicial del IARFL el 1 de abril de 2019 es de 100
1.10.2.2.1.2. Componentes
Hasta tanto no exista otro índice de renta fija, que de acuerdo con los criterios establecidos en el subnumeral 1.10.2.2.1.3., pueda considerarse en el IARFL, el mismo está compuesto por el Índice de Deuda Pública COLTES publicado por la Bolsa de Valores de Colombia - BVC.
1.10.2.2.1.3. Criterios de elegibilidad de índices de renta fija local para hacer parte del cálculo del IARFL.
Con base en lo establecido en el parágrafo 3 del artículo 2.6.9.1.2 del Decreto 2555 de 2010, los criterios que debe cumplir un índice para hacer parte del IARFL son los siguientes:
1.10.2.2.1.3.1. Experiencia del proveedor: el proveedor del índice debe hacer parte del listado de bolsas y entidades reconocidas por la SFC para elaboración de índices, relacionado con el régimen de inversión de los recursos del portafolio de cesantías de que trata el subnumeral 7.2 del Capítulo II, Título II, Parte I de la presente Circular.
1.10.2.2.1.3.2. Representatividad: el índice debe reflejar razonablemente el comportamiento del mercado de renta fija local de acuerdo con la duración del portafolio de largo plazo de los fondos de cesantías.
1.10.2.2.1.3.3. Replicabilidad: para índices de deuda pública los mismos deben estar compuestos por títulos admisibles para el régimen de inversión. Para índices de deuda privada, los mismos deben ser replicables mediante un Exchange Traded Fund – ETF listado en el mercado doméstico y negociable en moneda local.
1.10.2.2.1.3.4. Condiciones mínimas de divulgación: la metodología de construcción del índice debe ser de público conocimiento y disponible para consulta en línea, así como sus políticas de rebalanceo y recomposición.
1.10.2.2.1.3.5. Administración: deben estar establecidas las políticas de gobierno corporativo en relación con los procedimientos para administrar los conflictos de interés de los agentes involucrados en la construcción y divulgación del índice hacia el mercado. Esta información debe ser pública y estar disponible para su consulta en línea.
1.10.2.2.1.3.6. Disponibilidad de información histórica: el índice debe contar por lo menos con 12 meses de información histórica real. Adicionalmente debe estar disponible información histórica simulada (backtesting) de 5 años antes del inicio oficial del índice y de la canasta que lo compone. Esta información debe ser pública y estar disponible para su consulta en línea.
En los casos en que se modifique el proveedor o la metodología del cálculo de un índice que haga parte del IARFL, la información histórica real debe corresponder a la calculada con la metodología inicial. Asimismo, la nueva metodología debe prever la continuidad en la serie histórica del índice, por lo cual no se requiere la publicación de la información histórica simulada (backtesting).
El incumplimiento de alguno de los anteriores criterios por parte de un índice es causal de su retiro en el cálculo del IARFL.
1.10.2.2.1.4. Divulgación de cambios en los componentes del IARFL
La Superintendencia debe informar acerca de la inclusión o exclusión de un índice, así como el momento a partir del cual tiene efecto en el cálculo del IARFL. La inclusión o exclusión de un índice debe proceder mínimo transcurridos 3 meses después de haber sido informado este hecho. No obstante, en el caso de una exclusión, excepcionalmente puede proceder un tiempo menor.
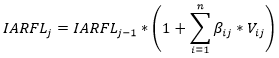
1.10.2.2.2. Metodología de cálculo del índice agregado de renta fija local (IARFL)
1.10.2.2.2.1. Determinación del IARFL
El IARFL se calcula mensualmente en función del valor de sus componentes al último día hábil de cada mes. El valor del IARFL se obtiene a partir de su nivel en el mes anterior afectado por la variación porcentual mensual de cada índice que lo conforma, ponderada por su porcentaje de participación, como se muestra a continuación:

Donde:
(...)
1.10.2.3. Metodología de agregación de índices de renta variable local
La metodología de agregación de índices de renta variable local busca establecer la forma de cálculo de un referente que se denominará índice agregado de renta variable local (IARVL).
1.10.2.3.1. Consideraciones generales del índice agregado de renta variable local (IARVL)
Para efectos de determinar la rentabilidad mínima, resulta necesario contar con un IARVL específico para el portafolio de largo plazo de cesantías y para cada uno de los tipos de fondos de pensiones obligatorias, considerando la diferencia en los tiempos de sus períodos de cálculo establecidos en los artículos 2.6.5.1.4 y 2.6.9.1.4 del Decreto 2555 de 2010 respectivamente.
1.10.2.3.1.1. Nivel inicial
El nivel inicial del IARVL el 31 de Agosto de 2011 es de 100
1.10.2.3.1.2. Componentes
Hasta tanto no exista otro índice de renta variable local, que de acuerdo con los criterios establecidos en el subnumeral 1.10.2.3.1.3., pueda considerarse en el IARVL, el mismo está compuesto por el índice Colcap.
1.10.2.3.1.3. Criterios de elegibilidad de índices de renta variable local para hacer parte del cálculo del IARVL
Con base en lo establecido en el parágrafo 4 del artículo 2.6.9.1.2 del Decreto 2555 de 2010, los criterios que debe cumplir un índice para hacer parte del IARVL son los siguientes:
1.10.2.3.1.3.1. Experiencia del proveedor: el proveedor del índice debe hacer parte del listado de bolsas y entidades reconocidas por la SFC para elaboración de índices, relacionado con los regímenes de inversión de los recursos de los fondos de cesantía y los de los fondos de pensiones obligatorias de que trata el subnumeral 7.2 del Capítulo II, Título II, Parte I de la presente Circular.
1.10.2.3.1.3.2. Representatividad: el índice debe reflejar razonablemente el comportamiento del mercado de renta variable local, buscando diversificación y evitando el sesgo hacia un sector o sectores específicos.
1.10.2.3.1.3.3. Replicabilidad: el índice debe ser replicable mediante un Exchange Traded Fund – ETF listado en el mercado doméstico y negociable en moneda local.
1.10.2.3.1.3.4. Condiciones mínimas de divulgación: la metodología de construcción del índice debe ser de público conocimiento y disponible para consulta en línea, así como sus políticas de rebalanceo y recomposición.
1.10.2.3.1.3.5. Administración: deben estar establecidas las políticas de gobierno corporativo en relación con los procedimientos para administrar los conflictos de interés de los agentes involucrados en la construcción y divulgación del índice hacia el mercado. Esta información debe ser pública y estar disponible para su consulta en línea.
1.10.2.3.1.3.6. Disponibilidad de información histórica: el índice debe contar por lo menos con 12 meses de información histórica real. Adicionalmente debe estar disponible información histórica simulada (backtesting) de 5 años antes del inicio oficial del índice y de la canasta que lo compone. Esta información debe ser pública y estar disponible para su consulta en línea.
En los casos en que se modifique el proveedor o la metodología del cálculo de un índice que haga parte del IARVL, la información histórica real debe corresponder a la calculada con la metodología inicial. Asimismo, la nueva metodología debe prever la continuidad en la serie histórica del índice, por lo cual no se requiere la publicación de la información histórica simulada (backtesting).
El incumplimiento de alguno de los anteriores criterios por parte de un índice es causal de su retiro en el cálculo del IARVL.
1.10.2.3.1.4. Divulgación de cambios en los componentes del IARVL
La Superintendencia debe informar acerca de la inclusión o exclusión de un índice así como el momento a partir del cual tiene efecto en el cálculo del IARVL. La inclusión o exclusión de un índice debe proceder mínimo transcurridos 3 meses después de haber sido informado este hecho. No obstante en el caso de una exclusión, solo excepcionalmente puede proceder un tiempo menor.