CIRCULAR EXTERNA 13 DE 2025
(septiembre 5)
Boletín Ministerio de Hacienda, Capítulo Superintendencia Financiera de Colombia, No. 781 de 5 de septiembre de 2025
SUPERINTENDENCIA FINANCIERA
Señores
REPRESENTANTES LEGALES Y REVISORES FISCALES DE LAS ENTIDADES VIGILADAS QUE DEBEN APLICAR LA NIIF 17 EN LOS TÉRMINOS PREVISTOS EN EL DECRETO 2420 DE 2015, MODIFICADO POR EL DECRETO 1271 DE 2024, Y EN EL DECRETO 2555 DE 2010, MODIFICADO POR EL DECRETO 1272 DE 2024, EN MATERIA DE RESERVAS TÉCNICAS
Referencia: instrucciones relacionadas con el régimen de reservas técnicas de las entidades aseguradoras, y con la adopción de los marcos técnicos normativos de información financiera aplicables a los contratos de seguro
Apreciados señores:
Como parte del proceso de convergencia de las Normas Internacionales de Información Financiera (en adelante «NIIF»), el Gobierno Nacional expidió el Decreto 1271 de 2024, con el fin de incorporar la NIIF 17 «Contratos de seguro» al Decreto Único Reglamentario 2420 de 2015. En esta línea, la Contaduría General de la Nación (en adelante «CGN») expidió la Resolución 441 de 2024, por medio de la cual se modificó la Resolución 037 de 2017, para incorporar a sus marcos técnicos normativos las modificaciones del anexo técnico del Decreto 2420 de 2015. De esta manera, la normatividad contable propende por un adecuado reconocimiento, medición, presentación y revelación de los activos por contratos de reaseguro mantenidos y de los pasivos de las entidades aseguradoras, para que estos elementos de la información financiera reflejen de forma adecuada una mejor estimación bajo parámetros técnicos y actuariales.
A partir de este nuevo enfoque de medición, surge la necesidad de actualizar el régimen prudencial de las reservas técnicas de las entidades aseguradoras, de manera que estas cuenten con reservas suficientes para el nivel y la naturaleza de los riesgos asumidos, y se garanticen así los derechos e intereses de los tomadores y asegurados. En este sentido, y en concordancia con la actualización de las normas de información financiera, el Gobierno Nacional expidió el Decreto 1272 de 2024, mediante el cual se modificó el Decreto 2555 de 2010 en lo relacionado con el régimen prudencial de las reservas técnicas, en el marco de lo previsto en el artículo 186 del Estatuto Orgánico del Sistema Financiero (en adelante «EOSF»).
En este contexto, y de acuerdo con lo previsto en el artículo 10 de la Ley 1314 de 2009, la Superintendencia Financiera de Colombia (en adelante «SFC») considera pertinente expedir lineamientos técnicos especiales que permitan una aplicación adecuada de la NIIF 17 «Contratos de seguro» por parte de las entidades vigiladas, teniendo en cuenta las disposiciones prudenciales del EOSF, las simplificaciones de adopción que reguló el Decreto 1271 de 2024 y la Resolución 441 de 2024 de la CGN, así como los estándares internacionales relevantes.
En este sentido, la SFC estima necesario impartir instrucciones para la adopción de la NIIF 17 por parte de las entidades vigiladas obligadas a su aplicación, así como instrucciones sobre el régimen prudencial de las reservas técnicas de las entidades aseguradoras para que puedan dar aplicación a las disposiciones del Decreto 2555 de 2010, modificado por el Decreto 1272 de 2024, de manera compatible con el artículo 186 del EOSF. Así pues, la SFC considera conveniente crear un nuevo capítulo en la Circular Básica Contable y Financiera (en adelante «CBCF») que regule de forma integral el régimen prudencial de reservas técnicas y que sea consistente con los estándares de información financiera, la técnica actuarial aplicable a los diferentes ramos de seguros y las disposiciones del EOSF.
Finalmente, en relación con el reporte de información sobre el monto, constitución y liberación de las reservas técnicas, es necesario aclarar que mediante las instrucciones que se imparten a través de la presente circular externa no se modifican las proformas de reporte vigentes. Lo anterior, en atención a que lo relacionado con el reporte de información se trabajará como parte del proyecto estratégico que tiene por objeto actualizar los mecanismos de remisión y captura de información, con el fin de generar eficiencias operativas para las entidades vigiladas y los procesos de supervisión de la SFC.
En virtud de lo expuesto, en ejercicio de las facultades previstas en el numeral 5 del artículo 97, en el literal (a) del numeral 3 del artículo 326 del EOSF, en los numerales 4 y 5 del artículo 11.2.1.4.2 del Decreto 2555 de 2010, y en atención a las facultades especiales señaladas en los Decretos 1271 de 2024 y 1272 de 2024, esta Superintendencia imparte las siguientes instrucciones:
PRIMERA: <Rige a partir del 1 de enero de 2027> crear el Capítulo XXXIV «Régimen prudencial de las reservas técnicas de las entidades aseguradoras» de la CBCF, con el fin de establecer instrucciones sobre las reservas técnicas de acuerdo con el artículo 186 del EOSF y el Decreto 2555 de 2010, modificado por el Decreto 1272 de 2024.
SEGUNDA: <Rige a partir del 1 de enero de 2027> crear el Capítulo XXXV «Información financiera de los contratos de seguro» de la CBCF, con el fin de expedir lineamientos técnicos especiales que permitan una aplicación adecuada de la NIIF 17 por parte de las entidades vigiladas.
TERCERA: <Rige a partir del 1 de enero de 2027> crear los siguientes anexos del Capítulo XXXIV «Régimen prudencial de las reservas técnicas de las entidades aseguradoras» de la CBCF:
3.1. Anexo 1 «Metodología de cálculo de la reserva por insuficiencia de activos (RIA)».
3.2. Anexo 2 «Metodología de cálculo de la reserva de recobros de enfermedad laboral».
3.3. Anexo 3 «Información estadística sobre el comportamiento de la siniestralidad de la enfermedad laboral».
3.4. Anexo 4 «Metodología de cálculo de la reserva de desviación de siniestralidad».
3.5. Anexo 5 «Información para la reserva matemática para el ramo de seguros de vida individual».
3.6. Anexo 6 «Metodología de cálculo de la prima de iliquidez».
3.7. Anexo 7 «Metodología de cálculo de las reservas técnicas de siniestros avisados del ramo de seguros previsionales de invalidez y sobrevivencia».
3.8. Anexo 8 «Metodología de cálculo de las reservas que componen la reserva técnica de siniestros avisados del ramo de riesgos laborales».
CUARTA: <Rige a partir del 1 de enero de 2027> modificar los siguientes numerales del Capítulo II del Título IV de la Parte II de la Circular Básica Jurídica (en adelante «CBJ»):
4.1. Numeral 1.1., el cual quedará así:
«No resulta necesaria la aprobación de un nuevo ramo para el ofrecimiento de productos respecto de los cuales se cumplan los requisitos establecidos en este capítulo, que comprendan diversidad de amparos susceptibles de ser explotados bajo los ramos ya autorizados a la entidad. Cuando la expedición de amparos de un ramo no autorizado sea significativa, la entidad debe solicitar la correspondiente autorización, sin la cual no puede continuar expidiendo tales amparos. Lo anterior, sin perjuicio de lo establecido en el subnumeral 3.3.1 del presente Capítulo. La entidad aseguradora debe dar cumplimiento al marco legal aplicable al amparo cuya producción no se considere significativa.
Para los efectos del inciso anterior, se considera que la expedición de amparos es "significativa" cuando quiera que el monto de la producción de una cobertura adicional supere el 15% de la obtenida por las demás coberturas de la póliza».
4.2. Numeral 1.3.1., el cual quedará así:
«Los asuntos relacionados con la información financiera del coaseguro se rigen por lo dispuesto en el capítulo XXXV de la CBCF.
El pago de comisiones, impuesto a las ventas y retención en la fuente, cuando a ello hubiere lugar, constituyen obligaciones a cargo de la entidad aseguradora líder. Lo anterior se entiende sin perjuicio del derecho que le asiste a la aseguradora líder de cobrarle a las coaseguradoras aceptantes la parte que les corresponda asumir de las comisiones pagadas».
4.3. Numeral 1.5.1.4., el cual quedará así:
«Los recursos con los cuales se financie el pago de primas deben provenir de los recursos propios de la entidad, y por lo tanto no pueden afectar el valor de las reservas técnicas».
4.4. Numeral 1.6.1., el cual quedará así:
«El programa de reaseguro es la estrategia integral con base en la cual las entidades aseguradoras transfieren a reaseguradoras una porción de los riesgos asumidos en virtud de contratos de seguro. Para efectos de las instrucciones establecidas respecto del programa de reaseguro, se entiende como reaseguradora cualquier entidad nacional o extranjera que desarrolle operaciones de reaseguro.
Las entidades aseguradoras deben contar con un esquema de contratación de reaseguros que fije criterios y procedimientos para la selección de sus contrapartes, teniendo en cuenta la capacidad de éstas para asumir las obligaciones derivadas de dichos contratos. El esquema de contratación de reaseguros de la entidad y sus respectivas políticas deben estar a disposición de la SFC, la cual podrá solicitar ajustes a los mismos».
4.5. Numeral 3.1.3.3., el cual quedará así:
«Instrucciones contables. Las entidades aseguradoras deben aplicar las instrucciones del capítulo XXXV de la CBCF en relación con la información financiera del SOAT».
QUINTA: <Rige a partir del 1 de enero de 2027> derogar los siguientes numerales del Capítulo II del Título IV de la Parte II de la CBJ:
5.1. Numeral 1.5.2.
5.2. Numeral 2.2.2. y todos sus subnumerales
5.3. Numeral 2.2.3. y todos sus subnumerales
5.4. Numeral 2.2.4. y todos sus subnumerales
5.5. Numeral 2.2.5. y todos sus subnumerales
5.6. Numeral 2.2.7. y todos sus subnumerales
5.7. Numeral 2.3. y todos sus subnumerales
5.8. Numeral 3.4.3. y todos sus subnumerales
5.9. Numeral 3.4.6. y todos sus subnumerales
5.10. Numeral 3.6.1. y todos sus subnumerales
5.11. Numeral 3.6.2.
5.12. Numeral 3.10.5.2.
5.13. Numeral 6.3. y todos sus subnumerales
SEXTA: <Rige a partir del 1 de enero de 2027> derogar los siguientes anexos del Título IV de la Parte II de la CBJ:
6.1. Anexo 10 «Cálculo de la reserva matemática para los productos de seguros del ramo de vida individual».
6.2. Anexo 11 «Metodología de cálculo de las reservas que componen la reserva técnica de siniestros avisados del ramo de riesgos laborales».
6.3. Anexo 12 «Metodología de cálculo de las reservas que componen la reserva técnica de siniestros avisados del ramo de seguros previsionales de invalidez y sobrevivencia».
6.4. Anexo 13 «Metodología de cálculo de la reserva por insuficiencia de activos».
6.5. Anexo 16 «Información estadística sobre el comportamiento de la siniestralidad de la enfermedad laboral».
SÉPTIMA: PLAN DE IMPLEMENTACIÓN Y AJUSTE. Dentro de los 6 meses siguientes a la fecha de expedición de la presente circular, las entidades aseguradoras deben remitir a la SFC un plan de implementación y ajuste en los términos previstos en el numeral 3 del artículo 4 del Decreto 1271 de 2024, el cual debe incluir, como mínimo:
7.1. Un análisis cuantitativo y cualitativo de los potenciales impactos estimados al 1 de enero de 2027, por la implementación de la nueva normatividad. Este análisis debe mencionar expresamente los potenciales impactos sobre: (i) los pasivos por contratos de seguros, (ii) los activos por contratos de reaseguro mantenidos; (iii) el patrimonio contable, (iv) los requerimientos de patrimonio adecuado, (v) el calce de los activos que respaldan las reservas técnicas y (vi) el capital mínimo requerido para operar. Esta información debe ser remitida a la SFC en los términos previstos en el Anexo No. 1 «Impactos en la aplicación por primera vez de la NIIF 17» de la presente circular.
7.2. El periodo establecido por la entidad para el reconocimiento gradual de las diferencias netas positivas o negativas de conformidad con lo señalado el numeral 3 del artículo 4 del Decreto 1271 de 2024, teniendo en cuenta las disposiciones de la instrucción DÉCIMA de la presente circular.
7.3. La justificación cualitativa que fundamenta la solicitud del reconocimiento gradual de los impactos positivos o negativos de la aplicación por primera vez de la NIIF 17, de acuerdo con lo señalado en la instrucción DÉCIMAPRIMERA.
7.4. El cronograma de trabajo mensual para implementar los nuevos estándares contables incorporados al Decreto 2420 de 2015 y a la Resolución 037 de 2017 de la CGN (en adelante los «nuevos estándares contables»), así como para adoptar el régimen de las reservas técnicas del Decreto 2555 de 2010, modificado por el Decreto 1272 de 2024. Este cronograma debe contemplar las tareas a ejecutar, los principales hitos, los entregables y sus fechas de entrega, así como los responsables de cada actividad y del seguimiento al nivel de avance.
De forma posterior a la presentación del plan, tanto el representante legal como el auditor interno de cada entidad deben remitir, de forma independiente, un reporte trimestral sobre el nivel de cumplimiento del plan de implementación y ajuste hasta la finalización de las actividades definidas por la entidad en dicho plan. Cuando las actividades previstas por la entidad presenten atrasos, el referido reporte debe incluir las medidas adoptadas para garantizar la implementación de los nuevos estándares en las fechas definidas.
OCTAVA: NOTAS TÉCNICAS. Dentro de los 8 meses siguientes a la fecha de expedición de la presente circular, las entidades aseguradoras deben remitir a esta Superintendencia un cronograma para el depósito de las notas técnicas, de conformidad con lo previsto en el numeral 1.1.3 del Capítulo II del Título IV de la Parte II de la Circular Básica Jurídica. Este cronograma deberá estar en línea con el plan de negocio de la entidad, de manera que contemple la priorización y el envío progresivo de las notas técnicas más relevantes para la operación de la compañía, y las que se impactan en el marco del proceso de implementación de la NIIF 17. La radicación del depósito de las notas técnicas definidas en el cronograma se deberá efectuar a más tardar el 31 de diciembre de 2027.
NOVENA: PLAN DE AJUSTE COMPLEMENTARIO. De forma consistente con el numeral 5 del artículo 4 del Decreto 1271 de 2024, las entidades aseguradoras que, al 1 de enero de 2027, fecha de entrada en vigencia de la NIIF 17, tengan otros planes en ejecución podrán solicitar a la SFC la aprobación de un plan de ajuste complementario, en lo relacionado con el reconocimiento gradual de que trata el literal (c) del numeral 3 del artículo 4 del Decreto 1271 de 2024. La solicitud de aprobación para el plan de ajuste complementario debe ser remitida a la SFC dentro de los 8 meses siguientes a la fecha de expedición de la presente circular.
DÉCIMA: APLICACIÓN POR PRIMERA VEZ. De acuerdo con los criterios técnicos de la NIIF 17, incorporada al Decreto 2420 de 2015, y de la Resolución 037 de 2017 proferida por la CGN, para la aplicación de los nuevos estándares contables se deben considerar las siguientes fechas:
10.1. Fecha de transición: 1 de enero de 2026, momento a partir del cual inicia el periodo de transición que se extiende hasta el 31 de diciembre de 2026. En consecuencia, durante el año 2026 las entidades aseguradoras deben adoptar los preparativos necesarios para realizar la medición, reconocimiento y baja en cuentas de cara a la aplicación plena del nuevo estándar contable, teniendo en cuenta las reglas de transición señaladas en la presente instrucción.
10.2. Fecha de aplicación inicial: 1 de enero de 2027. A partir de esta fecha las entidades aseguradoras deben dar aplicación plena a los marcos técnicos normativos de información financiera adoptados en los nuevos estándares contables, incluyendo las simplificaciones correspondientes.
Sin perjuicio de lo previsto en la instrucción DÉCIMAPRIMERA, a partir del 1 de enero de 2026, las entidades aseguradoras deben iniciar la transición para la aplicación por primera vez, teniendo en cuenta los enfoques regulados en el apéndice c de la NIIF 17, contenida en los nuevos estándares contables. En consecuencia, la aplicación por primera vez debe ejecutarse bajo uno de los siguientes enfoques:
a. Enfoque retrospectivo total.
b. Enfoque retrospectivo modificado.
c. Enfoque de valor razonable.
Las entidades aseguradoras deben aplicar de forma obligatoria el enfoque retrospectivo total, salvo que cumplan los requisitos señalados en los marcos técnicos normativos de información financiera para aplicar los enfoques retrospectivos modificado o de valor razonable, lo cual debe quedar documentado y a disposición de la SFC.
De conformidad con el numeral 6 del artículo 4 del Decreto 1271 de 2024, las entidades que apliquen el enfoque de valor razonable deben utilizar todos los parámetros de mejor estimación establecidos en el numeral 3 del Capítulo XXXIV de la CBCF.
Las entidades deben remitir a la SFC el estado de situación financiera de apertura que permita evidenciar los potenciales impactos derivados de la implementación de los nuevos estándares contables y del Decreto 1272 de 2024, a más tardar el 10 de mayo de 2026, con la información generada a partir del 1 de enero de 2026. Esta información debe ser remitida a la SFC con los criterios que se relacionan en el Anexo No. 2 «Estado de situación financiera de apertura - ESFA».
Posteriormente, las entidades deben preparar un análisis comparativo trimestral y remitirlo a la SFC en los siguientes términos: el análisis correspondiente al primer trimestre de 2026 debe ser remitido a la SFC a más tardar el 30 de junio de 2026. El análisis comparativo del segundo trimestre de 2026 debe ser remitido a la SFC a más tardar el 30 de septiembre de 2026. La información correspondiente al tercer trimestre de 2026 debe ser remitida a la SFC a más tardar el 30 de noviembre de 2026. La información correspondiente al cuarto trimestre de 2026 debe ser remitida a la SFC a más tardar el 30 de enero de 2027.
Este documento de análisis se debe presentar de forma comparativa entre la información financiera preparada durante 2026 para los trimestres objeto de reporte y la información estimada para igual periodo bajo el estándar que entrará a regir el 1 de enero de 2027, incluyendo las variaciones que pueden registrar los diferentes elementos del estado de la situación financiera y del estado de resultados. Este documento debe acompañarse de la información actualizada del Anexo No. 1 «Información de impactos por ramo proyectados a 1 de enero de 2027 en la aplicación por primera vez de la NIIF 17» y del Anexo No. 2 «Estado de situación financiera de apertura ESFA» de la presente circular.
Para la generación de la información del Anexo No. 1 antes citado, las entidades deben presentar la proyección de los impactos futuros al corte del 1 de enero de 2027 aplicando NIIF 17. Para el efecto, deben considerar los requisitos técnicos de los enfoques de transición aplicados incluyendo, cuando corresponda, la información de los nuevos negocios y demás variables relacionadas, así como el impacto de la aplicación de los nuevos requisitos regulatorios.
DÉCIMAPRIMERA: RÉGIMEN DE TRANSICIÓN. Para efectos de la aplicación de los nuevos estándares contables y del Decreto 1272 de 2024, las entidades aseguradoras deben medir la totalidad de los activos por contratos de reaseguro mantenidos y de los pasivos asociados a los contratos de seguro vigentes al 1 de enero de 2027 y obligaciones pendientes de contratos de seguro expedidos antes de esa fecha, teniendo en cuenta: (i) los estándares contables vigentes antes de la expedición del Decreto 1271 de 2024; y (ii) los estándares contables vigentes a partir del 1 de enero de 2027. A partir de estas mediciones, las entidades deben establecer las posibles variaciones que pueda presentar su información financiera y aplicar las siguientes instrucciones, con fundamento en lo previsto en el numeral 9 del artículo 4 del Decreto 1271 de 2024:
11.1. Reconocimiento de las variaciones netas positivas o negativas para los ramos distintos a los señalados en el literal (c) del numeral 3 del artículo 4 del Decreto 1271 de 2024.
En los ramos distintos a los señalados en el literal (c) del numeral 3 del artículo 4 del Decreto 1271 de 2024, cuando la medición de los activos por contratos de reaseguro mantenidos y de los pasivos de las entidades aseguradoras, correspondientes a contratos de seguro vigentes al 1 de enero de 2027 y a obligaciones pendientes de contratos de seguro expedidos antes de esa fecha, genere una diferencia neta positiva o negativa en sus estados financieros, las entidades deberán: (i) reconocer la variación correspondiente en el activo y en el pasivo y (ii) reflejar en el patrimonio el efecto asociado por el valor de la diferencia neta calculada al 1 de enero de 2027.
En este sentido, las entidades deben reconocer la diferencia neta positiva o negativa que se genere en las siguientes cuentas del patrimonio: (i) en el «Otro Resultado Integral» - ORI la diferencia neta positiva, en el código: 3815570000 «Diferencia neta positiva en la aplicación por primera vez de la NIIF 17», y (ii) en la cuenta de «Resultados acumulados proceso de convergencia NIIF», código «393015 - Pérdida del Proceso de Convergencia a NIIF 17» para el caso de la diferencia neta negativa. Los resultados de la diferencia neta positiva solo se podrán devengar cuando: (i) las obligaciones derivadas del contrato de seguro se hayan extinguido, o (ii) cuando las entidades acrediten ante la SFC el cumplimiento de los requisitos previstos en el literal b del ordinal iv. del numeral 11.2. de la presente Circular. En uno u otro caso, previo al reconocimiento de las ganancias netas positivas, las entidades deberán informarlo a la SFC.
11.2. Reconocimiento de las variaciones netas positivas o negativas para los ramos señalados en el literal (c) del numeral 3 del artículo 4 del Decreto 1271 de 2024.
Cuando la medición de los activos por contratos de reaseguro mantenidos y de los pasivos de los contratos de seguros vigentes al 1 de enero del 2027 y contratos con obligaciones pendientes expedidos con anterioridad a esa fecha, implique un aumento o una disminución de los activos por contratos de reaseguro mantenidos o de los pasivos para los ramos del literal (c) del numeral 3 del artículo 4 del Decreto 1271 de 2024, como consecuencia de la aplicación de los nuevos estándares, las entidades deben aplicar una de las siguientes alternativas, según lo determine cada entidad aseguradora:
a. Reconocer las diferencias netas positivas o negativas en el patrimonio, de acuerdo con lo señalado en el numeral 11.1. de la presente circular externa.
b. Reconocer la diferencia neta negativa de forma gradual y proporcional para los ramos de seguros previstos en el literal (c) del numeral 3 del artículo 4 del Decreto 1271 de 2024, en un plazo de hasta 10 años con efectos en el estado de resultados, esto es, sin afectación directa al patrimonio, de acuerdo con lo señalado en el numeral 3 del artículo 4 del Decreto 1271 de 2024, teniendo en cuenta los siguientes lineamientos:
i. El 1 de enero de 2027, se debe establecer el valor total de la diferencia neta positiva o negativa objeto de reconocimiento gradual y calcular la cuota de reconocimiento anual, esto es, 1/10 del valor total de la diferencia, según lo señalado en el numeral 3 del artículo 4 del Decreto 1271 de 2024. En los años posteriores, al corte del 1 de enero de cada año las entidades deben recalcular el monto pendiente de la diferencia objeto de reconocimiento gradual, y establecer el valor de la cuota de reconocimiento gradual de acuerdo con la siguiente expresión:

Donde:
corresponde al
año del periodo de reconocimiento gradual definido por la entidad sin superar el plazo de 10 años establecidos en el Decreto 1271 de 2024.
es la cuota de reconocimiento gradual aplicable al año i. El valor de esta cuota sólo podrá ser igual o superior a 0, sin perjuicio de lo cual las entidades con exceso de reserva podrán adelantar los procedimientos de liberación que corresponda de acuerdo con las normas aplicables.
corresponde a la mejor estimación del valor total del pasivo objeto de reconocimiento gradual, actualizado el 1 de enero del año
con información a corte del 31 de diciembre del año
.
es el valor de reconocimiento del pasivo acumulado hasta el año
.
corresponde al
año del periodo de reconocimiento trascurrido hasta el momento de cálculo de la
.
es el plazo máximo de amortización definido por la entidad para el reconocimiento gradual de la variación total en el pasivo. De acuerdo con el numeral 3 del artículo 4 del Decreto 1271 de 2024, el plazo definido por la entidad debe ser de máximo 10 años.
ii. Durante el período de amortización se debe reconocer en el pasivo y en el estado de resultados el valor correspondiente a la cuota anual mencionada anteriormente, de conformidad con el literal (e) del numeral 3 del artículo 4 del Decreto 1271 de 2024. El reconocimiento de la cuota anual se debe amortizar mensualmente en forma lineal, tomando como base la cuota anual recalculada en los términos del numeral i del literal (b) de la presente instrucción.
iii. Sin perjuicio del reconocimiento gradual del monto del pasivo, a partir del 1 de enero de 2027 y durante todo el periodo de amortización, las entidades deben reconocer el valor total de la diferencia objeto de reconocimiento gradual en el código «8203000000 Diferencia neta negativa generada en la aplicación por primera vez de la NIIF 17 - saldo pendiente de amortizar», así como revelar el valor total actualizado de este pasivo por ramo en las notas a los estados financieros. Igualmente, las entidades aseguradoras deben remitir a esta Superintendencia la presente información a nivel de ramo en el Anexo No. 1 «Información de impactos por ramo proyectados a 1 de enero de 2027 en la aplicación por primera vez de la NIIF 17».
iv. En desarrollo de lo previsto en los numerales 2 y 3 del artículo 4 del Decreto 1271 de 2024, cuando el valor de la diferencia neta de los ramos de seguros señalados en el literal (c) del numeral 3 del artículo 4 del Decreto 1271 de 2024, resulte en una ganancia neta de primera aplicación por primera vez, como consecuencia de un aumento o una disminución de los activos o de los pasivos por efectos de la aplicación de los nuevos estándares, el valor de esta diferencia sólo se podrá devengar en el estado de resultados cuando: (a) las obligaciones derivadas de los contratos de seguro se hayan extinguido o (b) la entidad acredite ante la SFC el cumplimiento de los siguientes requisitos:
(b.i.) la entidad puede acreditar que el valor del pasivo no registrará un aumento que pueda resultar en la disminución o pérdida de la ganancia no realizada, cumpliendo con los requisitos de la mejor estimación de los activos por contratos de reaseguro mantenidos y de los pasivos de contratos de seguros vigentes al 1 de enero del 2027 y con obligaciones pendientes de contratos de seguro expedidos con anterioridad a esa fecha. Esta estimación debe efectuarse para la vigencia de los contratos de seguro en los ramos señalados en el literal (c) del numeral 3 del artículo 4 del Decreto 1271 de 2024 o, como mínimo, por los 3 años siguientes a la fecha de aplicación por primera vez, cuando se trate de contratos de seguro diferentes a los señalados en literal (c) del numeral 3 del artículo 4 del Decreto 1271 de 2024.
(b.ii.) se cuenta con aprobación de la junta directiva.
(b.iii.) se informe a la asamblea general de forma clara sobre el valor de la ganancia neta de aplicación por primera vez, y su participación respecto del resultado técnico del negocio asegurador.
En caso contrario, esto es, de no cumplirse los requisitos señalados en los literales (b.i.), (b.ii.) y (b.iii.) anteriores, el valor de la diferencia debe reconocerse en la cuenta de Ganancias o Pérdidas no realizadas «ORI» y solo podrá ser objeto de devengo posteriormente, previa no objeción de la SFC.
En los casos previstos en los numerales 11.1. y 11.2., cuando se genere una ganancia neta positiva, la entidad aseguradora, previo al reconocimiento de esta ganancia, debe remitir una comunicación suscrita por el representante legal. En esta comunicación se debe informar: (i) el cumplimiento de los requisitos señalados en los numerales mencionados, y (ii) el acta de aprobación de la Junta Directiva. Ésta comunicación debe acompañarse de un informe suscrito por el actuario responsable, en el que este se pronuncie sobre el ejercicio realizado por la entidad aseguradora y sobre la suficiencia de los pasivos por contratos de seguro y del activo por contingencias a cargo del reasegurador.
Sin perjuicio del periodo de transición regulado en esta instrucción, a partir del 1 de enero de 2027 las entidades aseguradoras deberán dar aplicación plena a: (i) las disposiciones de la NIIF 17 (incorporada al anexo 1 del Decreto 2420 de 2015), (ii) las reglas contenidas en el Decreto 2555 de 2010 y (iii) las instrucciones de los Capítulos XXXIV y XXXV de la CBCF, para todos los contratos celebrados o expedidos.
Para el caso de la reserva de insuficiencia de activos (RIA) de que trata el numeral 5.3. del Capítulo XXXIV de la CBCF, los pasivos empleados para el cálculo de esta reserva serán los reconocidos gradualmente en cada período, de conformidad con el período de transición previsto en la instrucción DÉCIMAPRIMERA de la presente Circular. Una vez finalizada la transición, el cálculo de la RIA deberá tener en cuenta el monto total del pasivo reconocido, de acuerdo con el anexo aplicable.
DÉCIMASEGUNDA. INSTRUCCIONES PARA LA RECLASIFICACIÓN DE INVERSIONES EN EL PROCESO DE CONVERGENCIA A NIIF 17. Las entidades aseguradoras que en el marco del proceso de convergencia a la NIIF 17 requieran modificar su modelo de negocio para la adecuada gestión de los activos y pasivos relacionados con los contratos de seguros, con ocasión de la implementación de los nuevos marcos técnicos normativos de información financiera, podrán reclasificar las inversiones contabilizadas como «Inversiones para mantener hasta el vencimiento» para que se clasifiquen como: (i) «Inversiones negociables» y (ii) «Inversiones disponibles para la venta», de acuerdo con las siguientes instrucciones.
A más tardar el 30 de septiembre de 2026 las entidades aseguradoras deben remitir a la SFC una comunicación en la cual se incluya: (i) la información de las inversiones que serán objeto de reclasificación a «Disponibles para la venta» o «Inversiones negociables»; (ii) las razones para la reclasificación de las inversiones como «Disponibles para la venta» o «Inversiones negociables» y, (iii) los impactos estimados por la reclasificación en el «Otro Resultado Integral» - ORI por la reclasificación a inversiones disponibles para la venta, o en el «Estado de resultados» por la reclasificación a inversiones negociables.
Una vez radicada esta comunicación ante la Superintendencia, la entidad podrá efectuar la reclasificación, excepcionalmente, de forma simultánea con la fecha de aplicación inicial de NIIF 17, es decir, el 1 de enero de 2027, sin que para ello se requiera el pronunciamiento previo de la SFC.
Al momento de la baja en cuentas, la pérdida o ganancia acumulada en el «Otro Resultado Integral» - ORI de las inversiones «Disponibles para la venta» antes reclasificadas, se debe reconocer en el estado de resultados.
Las reclasificaciones que se realicen antes o después de la ventana de reclasificación regulada en la presente instrucción deben observar las instrucciones generales vigentes sobre clasificación, valoración y contabilización de inversiones.
DÉCIMATERCERA: VIGENCIA. Para efectos de la aplicación de las instrucciones de la presente circular externa las entidades vigiladas deben dar aplicación a los siguientes lineamientos:
13.1. Las instrucciones del nuevo capítulo XXXIV de la CBCF y sus anexos creados por medio de la instrucción TERCERA, entran a regir a partir del 1 de enero de 2027.
13.2. Las instrucciones del nuevo capítulo XXXV de la CBCF entran a regir a partir del 1 de enero de 2027.
13.3. Las disposiciones de las instrucciones CUARTA, QUINTA y SEXTA de la presente circular externa entran a regir a partir del 1 de enero de 2027.
13.4. Las disposiciones de las instrucciones SÉPTIMA, OCTAVA, NOVENA, DÉCIMA, DÉCIMAPRIMERA, DÉCIMASEGUNDA y DÉCIMOTERCERA de la presente circular externa entran a regir a partir de la fecha de expedición de la presente circular.
13.5. De acuerdo con el numeral 1 del artículo 2.31.4.1.4. del Decreto 2555 de 2010, para los ramos, productos, flujos o prestaciones definidos en el numeral 1 del Anexo No. 6 del Capítulo XXXIV de la CBCF «Metodología de cálculo de la prima de iliquidez», la tasa de descuento para los flujos futuros de efectivo debe contemplar una prima de iliquidez, la cual debe ser calculada internamente por cada entidad de conformidad con las instrucciones del Anexo No. 6 del Capítulo XXXIV de la CBCF, o de acuerdo con la metodología definida por cada entidad, previa no objeción de la SFC.
Los preparadores de información financiera que no puedan aplicar la metodología de cálculo de la prima de iliquidez contenida en el Anexo No. 6 del Capítulo XXXIV de la CBCF, y que no cuenten con una metodología propia no objetada por la SFC, podrán utilizar una prima de iliquidez del 0,39% hasta el 30 de junio de 2027, siempre y cuando aporten a la SFC la respectiva justificación.
En cualquier caso, a partir del 1 de julio de 2027 las entidades aseguradoras deberán dar aplicación obligatoria a la metodología de cálculo de la prima de iliquidez publicada por la SFC o a la metodología propia no objetada por la SFC, en los términos previstos en el Capítulo XXXIV de la CBCF.
La presente circular externa entra en vigencia a partir de su publicación, sin perjuicio de lo señalado en la instrucción DÉCIMOTERCERA y en las demás instrucciones.
Se adjuntan las páginas y anexos correspondientes.
Cordialmente,
CÉSAR FERRARI Ph.d
Superintendente Financiero de Colombia
50000
RÉGIMEN PRUDENCIAL DE LAS RESERVAS TÉCNICAS DE LAS ENTIDADES ASEGURADORAS.
1. Introducción
El presente capítulo establece las instrucciones para el cálculo de las reservas técnicas que deben constituir las entidades aseguradoras, de conformidad con el artículo 186 del Estatuto Orgánico del Sistema Financiero (EOSF), las disposiciones del Decreto 2555 de 2010, modificado por el Decreto 1272 de 2024, y las demás normas que lo modifiquen o sustituyan.
2. Ámbito de aplicación
Las instrucciones del presente capítulo aplican para todas las entidades aseguradoras vigiladas por la Superintendencia Financiera de Colombia (SFC), de acuerdo con los ramos autorizados por la SFC a cada entidad.
3. Mejor estimación de las reservas técnicas
Por regla general, las reservas técnicas de las entidades aseguradoras se deben calcular a partir de la mejor estimación de las obligaciones futuras, de acuerdo con el artículo 2.31.4.1.4. del Decreto 2555 de 2010 y las instrucciones del presente capítulo.
Para establecer la mejor estimación de sus obligaciones futuras, las entidades aseguradoras deben tener en cuenta los siguientes lineamientos:
a. Establecer los flujos futuros de efectivo: se deben mapear todos los flujos de ingresos, egresos y demás flujos de efectivo que se relacionen directamente con el cumplimiento de los contratos de seguro, siempre que hagan parte de los límites de cada contrato de acuerdo con los marcos técnicos normativos de información financiera adoptados en el Decreto 2420 de 2015.
i. De acuerdo con el numeral 3 del artículo 2.31.4.1.4. del Decreto 2555 de 2010, los flujos de ingresos y egresos se deben estimar póliza a póliza, cuando corresponda. De forma excepcional, la estimación de flujos se podrá realizar de forma agregada a partir de los ramos definidos en el numeral 1.1. del capítulo II del título IV de la parte II de la Circular Básica Jurídica (CBJ), siempre que la entidad demuestre que los riesgos subyacentes a todas las pólizas del ramo son similares y se gestionan de forma conjunta. Para estos efectos, la entidad deberá preparar un análisis que demuestre que son similares los riesgos de las pólizas que se agrupan en un mismo ramo, considerando, como mínimo: vigencia, valor asegurado, frecuencia y severidad de siniestros, nivel de siniestralidad, características del riesgo asegurado, entre otros. El análisis se debe actualizar por lo menos una vez al año, y se debe mantener a disposición de la SFC.
ii. Para la estimación de los flujos de efectivo futuros, las entidades deben tener en cuenta hipótesis realistas, considerando expectativas prudentes en la estimación de variables de mercado y macroeconómicas, así como supuestos razonables y sustentados en la experiencia propia de la entidad o del mercado, en relación con el comportamiento de los riesgos, de forma consistente con las hipótesis de tarifación o los ajustes por experiencia. De conformidad con el numeral 2 del artículo 2.31.4.1.4. del Decreto 2555 de 2010, las hipótesis utilizadas por la entidad deben estar soportadas en métodos validados tanto teóricos como prácticos, y deben ser objeto de pruebas de calibración y desempeño con una periodicidad por lo menos anual.
iii. Según lo señalado en los numerales 4 y 5 del artículo 2.31.4.1.4. del Decreto 2555 de 2010, los flujos sensibles a la inflación y a las variaciones en el salario mínimo deben ser actualizados de conformidad con los numerales 3.1. y 3.2. del presente capítulo.
iv. En el caso de los flujos de egreso, las entidades deben considerar los costos y gastos que hacen parte del flujo, es decir, que se encuentran relacionados directamente con el cumplimiento de cada contrato de seguro o con el ramo respectivo, cuando el mapeo de los flujos se realice a nivel de ramo según lo señalado en el ordinal (i) del literal (a) del numeral 3 del presente capítulo. Corresponde a las entidades aseguradoras efectuar un análisis que permita evidenciar que tales costos y gastos son directamente atribuibles al cumplimiento del contrato de seguro. Este análisis deberá estar documentado y a disposición de la SFC.
b. Establecer el valor presente de los flujos de efectivo: una vez estimados los flujos de acuerdo con lo señalado en el literal (a) del numeral 3 del presente capítulo, la entidad debe calcular el valor presente de dichos flujos a partir de la tasa de descuento prevista en el numeral 3.3. del presente capítulo.
c. Agregar el ajuste por riesgo no financiero: de conformidad con lo previsto en el artículo 2.31.4.1.5. del Decreto 2555 de 2010, además de los flujos futuros de efectivo, el cálculo de la mejor estimación de las obligaciones debe agregar un ajuste por riesgo no financiero, el cual captura la incertidumbre sobre el monto y calendario de los flujos de efectivo y se debe calcular de forma mensual, según lo señalado en el numeral 3.4. del presente capítulo.
3.1. Vector de inflación
Para efectos de la actualización del valor de los flujos de efectivo según lo señalado en el ordinal (iii) del literal (a) del numeral 3 del presente capítulo, las entidades deben aplicar el vector de inflación publicado de forma mensual por la SFC.
De forma alternativa, las entidades podrán utilizar un vector de inflación calculado internamente, de acuerdo con una metodología con validación teórica y práctica, previa no objeción de la SFC y siempre que este hecho sea debidamente revelado. Para este propósito, con anterioridad a la implementación del vector propio, las entidades deben remitir a la SFC una solicitud de no objeción, que incluya como mínimo: (i) motivación de la solicitud y explicación detallada de la metodología utilizada para calcular el vector de inflación; (ii) proyecciones de la inflación a partir de la metodología definida por la entidad para un periodo igual al período de tiempo requerido para la estimación del pasivo o como mínimo para un período igual al establecido en la metodología del vector de inflación definido por la SFC; (iii) comparación de las proyecciones de inflación de la entidad frente al vector publicado por la SFC y los pronósticos publicados por el Banco de la República; y (iv) impactos estimados por la implementación de la metodología interna y diferencias frente a los impactos por la aplicación del vector publicado por la SFC.
3.2. Vector de salario mínimo
En consideración de lo señalado en el ordinal (iii) del literal (a) del numeral 3 del presente capítulo, las entidades deben establecer una metodología con amplio sustento técnico para calcular un vector de salario mínimo que permita estimar las variaciones de este indicador de referencia. La metodología definida por la entidad debe considerar suficiente información histórica para realizar estimaciones estadísticamente robustas y representativas, así como proyecciones técnicas y razonables, como mínimo, para las siguientes variables: (i) inflación; (ii) índice de productividad; (iii) contribución de los salarios al ingreso; y (iv) producto interno bruto (PIB); entre otros. La documentación de la metodología y sus resultados se debe mantener a disposición de la SFC.
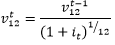
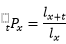
3.3. Tasa de descuento
De acuerdo con el numeral 1 del artículo 2.31.4.1.4. del Decreto 2555 de 2010 la tasa de descuento aplicable a los flujos de efectivo se define como:
![]()
Donde:
corresponde al valor de la tasa de descuento aplicable a cada momento
.
corresponde al valor para cada momento
de la curva de rendimiento libre de riesgo de que trata el numeral 3.3.1. del presente capítulo.
corresponde al ajuste que captura las diferencias entre la liquidez de los instrumentos financieros que cotizan en el mercado y la liquidez de los contratos de seguro, de acuerdo con lo señalado en el numeral 3.3.2. del presente capítulo.
3.3.1. Curva libre de riesgo
Como parte de la tasa de descuento para los flujos futuros de efectivo, las entidades deben aplicar las curvas de rendimiento libre de riesgo que calcula la SFC de acuerdo con el numeral 1.1. del artículo 2.31.4.1.4. del Decreto 2555 de 2010, y que se publican de forma mensual en moneda local (COP) y en unidades de valor real (UVR), de acuerdo con el documento técnico publicado en la página web de la SFC.
De forma alternativa, las entidades podrán utilizar las curvas libres de riesgo que suministre el proveedor de precios designado como oficial por cada entidad. En este caso, las curvas suministradas por el proveedor, para cada moneda, utilizadas por las entidades vigiladas deben cumplir con los requisitos previstos en el numeral 1.1. del artículo 2.31.4.1.4. del Decreto 2555 de 2010. Adicionalmente, de forma previa a la implementación de las curvas, las entidades deben remitir a la SFC una solicitud de no objeción, incluyendo como mínimo: (i) información del proveedor de precios designado como oficial; (ii) motivación de la solicitud en la cual se presenten los argumentos técnicos y financieros que explican que es adecuado emplear una curva distinta de la publicada por la SFC, (iii) comparación de las curvas suministradas por el proveedor y las publicadas por la SFC; y (iv) impactos estimados por la implementación de las curvas del proveedor y diferencias frente a los impactos por la aplicación de las curvas publicadas por la SFC.
Las entidades vigiladas que cuenten con no objeción para la utilización de las curvas de rendimiento libre de riesgo, diferentes a las publicadas por la SFC, deben revelar en las notas a sus estados financieros la utilización de la correspondiente curva de rendimiento libre riesgo, así como la finalidad de su uso.
3.3.2. Prima de iliquidez
De acuerdo con el numeral 1 del artículo 2.31.4.1.4. del Decreto 2555 de 2010, para los ramos, productos, o flujos definidos en el numeral 1 del anexo 6 «Metodología de cálculo de la prima de iliquidez», además del componente libre riesgo, la tasa de descuento para los flujos futuros de efectivo debe contemplar una prima de iliquidez, la cual debe ser calculada internamente por cada entidad de conformidad con las instrucciones previstas en el anexo 6 del presente capítulo.
Las entidades podrán utilizar una metodología propia para el cálculo de la prima de iliquidez, siempre que cuenten con suficientes fundamentos técnicos y estadísticos, y con amplio desarrollo tanto teórico como práctico. Esta metodología interna se debe evaluar y actualizar periódicamente. Para estos efectos, de forma previa a la implementación de la metodología, las entidades deben remitir a la SFC una solicitud de no objeción, que incluya como mínimo lo siguiente: (i) explicación detallada de la metodología y de las variables utilizadas en el cálculo; (ii) motivación en la cual se presenten los argumentos técnicos y financieros de la solicitud y, (iii) ejercicio comparativo de las proyecciones calculadas por la entidad y de la prima de iliquidez calculada bajo la metodología definida por la SFC.
3.4. Ajuste por riesgo no financiero
Además de establecer el valor presente de los flujos futuros de efectivo, el cálculo de la mejor estimación de las obligaciones debe incorporar un ajuste por riesgo no financiero para todas las carteras de contratos de seguro y/o reaseguro, y su estimación debe realizarse a nivel de cartera, de conformidad con las reglas establecidas en el artículo 2.31.4.1.5. del Decreto 2555 de 2010. En todo caso, la entidad podrá calcular el ajuste por riesgo no financiero a nivel de siniestro, en eventos de alta incertidumbre respecto del monto de siniestro.
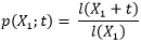
El ajuste por riesgo no financiero debe calcularse bruto de reaseguro y de forma independiente a los flujos de efectivo y sus diferentes componentes, pero admite ajustes por experiencia, los cuales deben ser debidamente revelados en la información financiera periódica. De acuerdo con el artículo 2.31.4.1.5. del Decreto 2555 de 2010, el ajuste por riesgo no financiero se calcula a partir de la siguiente formula:
![]()
Donde:
corresponde al ajuste por riesgo no financiero para cada cartera de contratos de seguro y/o reaseguro
.
corresponde a la tasa real anual de costo de capital, calculada de acuerdo con el numeral 3.4.1. del presente capítulo.
corresponde al requerimiento de capital por concepto de riesgo de suscripción para cada cartera de contratos de seguro y/o reaseguro
, de acuerdo con lo señalado en el numeral 3.4.2. del presente capítulo.
corresponde a la tasa de descuento de que trata el numeral 3.3. del presente capítulo, aplicable al vencimiento
en términos anuales.
3.4.1. Tasa de costo de capital (CoC)
De acuerdo con el artículo 2.31.4.1.5. del Decreto 2555 de 2010 el ajuste por riesgo no financiero debe incluir una tasa real de costo de capital en términos anuales, tal como se indica a continuación:
a. Entidades de seguros de vida: 6%.
b. Entidades de seguros generales: 5,5%.
De forma alternativa, las entidades podrán implementar una metodología interna para calcular la tasa de costo de capital, la cual debe considerar los siguientes requisitos mínimos: (i) contar con sustento técnico y con suficiente desarrollo tanto teórico como práctico; (ii) la metodología debe permitir obtener la rentabilidad del capital propio en función del riesgo asumido, calculada por encima de la tasa libre de riesgo, de forma consistente con la metodología «Capital Asset Pricing Model»; y (iii) estar debidamente documentada, incluyendo aspectos tales como la descripción metodológica y los supuestos utilizados. Esta metodología debe ser evaluada como mínimo con una periodicidad anual.
De forma previa a su implementación, las entidades deben remitir a la SFC una solicitud de no objeción, que incluya: (i) motivación de la solicitud y explicación detallada de la metodología utilizada para calcular la tasa de costo de capital, que cumpla, como mínimo, con lo previsto en el literal (ii) del párrafo anterior; (ii) análisis comparativo que sustente las diferencias entre la tasa de costo de capital calculada de conformidad con los requisitos de la presente instrucción y la calculada por la entidad; y (iii) impactos estimados en el cálculo del ajuste por riesgo no financiero por la implementación de la metodología interna del cálculo de la tasa del costo de capital (CoC).
3.4.2. Requerimiento de capital por riesgo de suscripción
De acuerdo con el artículo 2.31.4.1.5. del Decreto 2555 de 2010, para efectos de la estimación del ajuste por riesgo no financiero, las entidades deben diseñar e implementar una metodología interna para establecer los requerimientos de capital por riesgo de suscripción para cada cartera de seguros y/o reaseguros en cada periodo de cálculo.
La metodología interna debe contar con sustento técnico y con suficiente desarrollo tanto teórico como práctico, así como cumplir los requisitos señalados en los marcos técnicos de información financiera incorporados al anexo del Decreto 2420 de 2015 para efectos de la compensación por soportar el riesgo no financiero.
Así mismo, la entidad debe revisar periódicamente la metodología interna y llevar a cabo un ejercicio de evaluación de la consistencia de los resultados y la efectividad de dicha metodología.
Toda la documentación relacionada con la metodología interna de cálculo de los requerimientos de capital por riesgo de suscripción se debe mantener a disposición de la SFC, para su revisión en cualquier momento.
4. Reconocimiento de las reservas técnicas en la información financiera
De conformidad con lo previsto en el artículo 2.31.4.1.3. del Decreto 2555 de 2010, la constitución de las reservas técnicas señaladas en este capítulo se deben reconocer en la información financiera como un pasivo por su valor bruto, de acuerdo con las instrucciones y lineamientos técnicos del capítulo XXXV de la Circular Básica Contable y Financiera (CBCF) de la SFC. En el caso particular de la reserva de riesgos catastrófico y la reserva de riesgos en curso del ramo de terremoto, el cálculo de la reserva toma como base la prima pura de riesgo de la cartera retenida calculada de acuerdo con los parámetros del parágrafo 1 del artículo 2.31.5.1.1. del Decreto 2555 de 2010, que se calcula una vez descontados los contratos de reaseguros proporcionales y no proporcionales, la proporción de coaseguro a cargo de otras entidades aseguradoras y el efecto de los deducibles, de conformidad con lo dispuesto en el artículo 2.31.5.1.1. del Decreto 2555 de 2010.
5. Régimen de las reservas técnicas
En desarrollo de lo previsto en el artículo 186 del EOSF, y teniendo en cuenta el régimen de reservas establecido en el Decreto 2555 de 2010, modificado por el Decreto 1272 de 2024, las entidades aseguradoras y reaseguradoras deben calcular sus reservas técnicas de acuerdo con las siguientes instrucciones:
5.1. Reserva de riesgos en curso
De conformidad con el artículo 2.31.4.2.2. del Decreto 2555 de 2010, la metodología de cálculo de la reserva de riesgos en curso depende del enfoque aplicado para su valoración contable en los términos del numeral 5 del capítulo XXXV de la CBCF.
En todo caso, bajo cualquiera de los enfoques de medición, la reserva de riesgos en curso se debe estimar de forma desagregada a nivel de póliza, amparo y riesgo asegurado, y debe contemplar todas las pólizas o amparos que sean de vigencia indeterminada al momento de su celebración. En este último caso, la entidad debe contar con una metodología que permita estimar la fecha de fin de vigencia, la cual se debe mantener a disposición de la SFC.
5.1.1. Pólizas o carteras valoradas bajo el enfoque general
En este caso, la reserva de riesgos en curso se calcula a partir de los siguientes componentes:
a. La mejor estimación de las obligaciones futuras en los términos del numeral 3 del presente capítulo, incluyendo el ajuste por riesgo no financiero de que trata el numeral 3.4.
b. El margen de servicio contractual de que trata el numeral 6.1.2. del capítulo XXXV de la CBCF.
5.1.2. Pólizas o carteras valoradas bajo el enfoque de asignación de prima
Para estas pólizas y carteras, la reserva de riesgos en curso se calcula teniendo en cuenta la estimación de los flujos futuros de efectivo a partir de la prima emitida, es decir, el valor total de la prima cobrada, sin importar su forma de pago, en línea con lo previsto en el numeral 5.2. del capítulo XXXV de la CBCF. Para el caso del SOAT, se debe tener en cuenta lo previsto en el parágrafo del artículo 2.31.4.2.2. del Decreto 2555 de 2010.
5.1.3. Reglas especiales para el ramo de seguro de terremoto
Para el ramo de seguro de terremoto la reserva de riesgos en curso y su liberación se rigen por lo previsto en el artículo 2.31.5.1.2. del Decreto 2555 de 2010.
5.2. Reserva matemática
La reserva matemática es aplicable a los ramos señalados en el artículo 2.31.4.3.1. del Decreto 2555 de 2010, y de acuerdo con el artículo 2.31.4.3.2. del Decreto 2555 de 2010 se debe calcular a partir de los siguientes componentes:
a. La mejor estimación de las obligaciones futuras en los términos del numeral 3 del presente capítulo, incluyendo el ajuste por riesgo no financiero de que trata el numeral 3.4.
Según el caso, los flujos de efectivo se deben ajustar a partir del vector de inflación de que trata el numeral 3.1. del presente capítulo, o de las tasas de crecimiento de los beneficios pensionales y la participación de utilidades, en los ramos en los que aplique.
Para la estimación de los flujos futuros de efectivo de los ramos de pensiones Ley 100, riesgos laborales y conmutación pensional las entidades deben tener en cuenta las tablas de mortalidad de rentistas y de inválidos expedidas por la SFC y pueden aplicar factores de ajuste a dichas tablas de mortalidad. Para los demás ramos, las entidades deben emplear las tablas de mortalidad e invalidez de la SFC o podrán implementar tablas de mortalidad propias que reflejen su experiencia en el país.
Para estos efectos, de forma previa a la implementación de los factores de ajuste a las tablas de mortalidad de rentistas y de inválidos o de la adopción de las tablas propias, según corresponda a cada ramo, las entidades deben remitir a la SFC una solicitud de no objeción, incluyendo como mínimo: (i) la motivación de la solicitud y explicación detallada de la metodología utilizada para realizar los ajustes o para calcular las tablas propias, así como los argumentos técnicos y actuariales que sustentan la aplicación de tablas de mortalidad distintas a las establecidas por la SFC; (ii) análisis que sustente las diferencias entre las tablas publicadas por la SFC y las tablas propias de la entidad o ajustadas; (iii) análisis comparativo de los impactos estimados por la implementación de los ajustes o de las tablas propias frente a los impactos por la aplicación de las tablas publicadas por la SFC; y (iv) análisis realizado por el actuario responsable respecto de la metodología empleada para la definición de los factores de ajuste o de la tabla de mortalidad propia.
b. El margen de servicio contractual de que trata el capítulo XXXV de la CBCF.
De conformidad con lo previsto en el parágrafo 2 del artículo 2.31.4.3.2. del Decreto 2555 de 2010, «para el caso de los flujos derivados de pensiones de invalidez y sobrevivencia, y prestaciones que conlleven a indemnizaciones vitalicias en ramo de riesgos laborales se entenderá que la reserva matemática corresponde a un pasivo por siniestros incurridos» y por tanto no contempla el margen de servicio contractual.
c. Para los seguros de vida con componente de ahorro, se debe incluir el valor del fondo conformado por el ahorro y los rendimientos generados por éste, teniendo en cuenta la separación de componentes de que trata el numeral 3.1. del capítulo XXXV de la CBCF. Las entidades deben realizar el análisis de separación de componentes atendiendo a las características de cada uno de los productos, así como de los términos de los contratos de seguro. De igual forma, deben documentar el ejercicio de separación de componentes realizado y mantenerlo a disposición de la SFC.
5.2.1. Reglas especiales para los seguros educativos
Además de las reglas previstas en el numeral 5.2. del presente capítulo, para el cálculo de la reserva matemática de los seguros educativos las entidades deben dar aplicación a los lineamientos del artículo 2.31.5.2.4. del Decreto 2555 de 2010.
5.2.2. Reglas especiales para los seguros de vida individual
Para efectos de la mejor estimación de la reserva matemática del ramo de seguros de vida individual, las entidades deben contemplar, como mínimo, todos los flujos, rubros y conceptos relevantes, así como los demás asuntos que resulten necesarios de acuerdo con el numeral 3 del presente capítulo. Las entidades deben mantener a disposición de la SFC toda la información relacionada con la mejor estimación de esta reserva, así como la del anexo 5 del presente capítulo.
Cuando la SFC requiera la presentación de dicha información, los flujos, rubros y conceptos señalados en el anexo 5 del presente capítulo deben remitirse en el esquema señalado en dicho anexo.
5.2.3. Reglas especiales para los seguros de vida con ahorro
Para el caso de los seguros de vida individual con ahorro, en los cuales el asegurado paga una prima de ahorro puro, y que no corresponden a los seguros con participación a los que se refiere el artículo 201 del EOSF, la reserva matemática se debe constituir a partir de la mejor estimación de las obligaciones futuras de acuerdo con el numeral 3 del presente capítulo, más el valor acumulado del fondo conformado por las cuotas de ahorro y sus rendimientos. En todo caso, respecto de los seguros con participación a los que se refiere el artículo 201 del EOSF, las entidades deberán considerar la separación de componentes según lo previsto en el numeral 3.1. del Capítulo XXXV de la CBCF.
El valor conformado por el componente de ahorro y sus rendimientos son de naturaleza reembolsable a favor del asegurado y, como tal, a estos recursos sólo se les pueden deducir los gastos de administración. En todo caso, el máximo valor porcentual de los gastos que se pueden deducir del componente de ahorro y sus rendimientos debe quedar consignado en la nota técnica del contrato de seguro.
5.2.4. Reglas especiales para los seguros de rentas voluntarias
Para la mejor estimación de la reserva matemática del ramo de seguros de rentas voluntarias, las entidades deben utilizar las tablas de mortalidad que se encuentran contenidas en los anexos 5 «Tabla de mortalidad de rentistas» y 7 «Tabla de mortalidad de inválidos» del título IV de la parte II de la Circular Básica Jurídica (CBJ).
En todo caso, las entidades aseguradoras podrán implementar tablas de mortalidad propias que deben reflejar la experiencia de su cartera de seguros en el país, estar debidamente justificadas y ser presentadas a la SFC para su no objeción. Para estos efectos, de forma previa a la implementación de las referidas tablas, la entidad debe remitir a la SFC una solicitud de no objeción que incluya como mínimo los requisitos definidos para la adopción de tablas propias, en el inciso 4 del literal (a) del numeral 5.2. del presente capítulo.
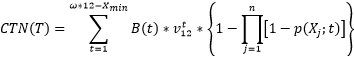
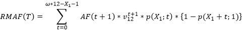
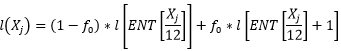
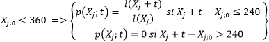
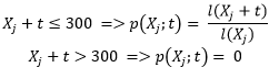
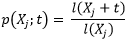
5.3. Reserva por insuficiencia de activos (RIA)
La RIA es la reserva que se constituye a nivel de ramo para compensar la insuficiencia que puede surgir al cubrir los flujos de pasivos esperados que conforman la reserva matemática, con los flujos de activos de la entidad aseguradora. En consideración de lo dispuesto en el numeral 4 del artículo 4 del Decreto 1271 de 2024, las entidades aseguradoras deben realizar trimestralmente un análisis de insuficiencia de activos respecto de los pasivos en los ramos señalados en el artículo 2.31.4.3.4. del Decreto 2555 de 2010.
5.3.1. Constitución y liberación de la RIA
Las entidades aseguradoras deben constituir la RIA cuando identifiquen una insuficiencia de activos con base en el análisis de insuficiencia que realicen trimestralmente. El monto de la RIA se debe calcular de acuerdo con las instrucciones del anexo 1 del presente capítulo.
El plazo máximo para la constitución de esta reserva será el último día hábil del corte trimestral siguiente al corte de identificación de la insuficiencia, que corresponde al corte de la información de los activos.
La reserva se podrá liberar total o parcialmente por la cuantía en exceso en el evento en que se reduzcan las insuficiencias con respecto al cálculo del periodo anterior.
5.4. Reserva de siniestros pendientes
De conformidad con el literal (d) del artículo 2.31.4.1.2. del Decreto 2555 de 2010 la reserva de siniestros pendientes se compone de: (i) la reserva de siniestros avisados; y (ii) la reserva de siniestros ocurridos no avisados.
El cálculo de estas dos reservas se debe estimar atendiendo a los requisitos previstos en el capítulo IV del título 4 del libro 31 del Decreto 2555 de 2010. Para la mejor estimación de estas dos reservas las entidades aseguradoras podrán efectuar un solo cálculo del ajuste por riesgo no financiero correspondiente a la reserva de siniestros pendientes. En el caso de las reservas que cuenten con una metodología de cálculo especial definida por la SFC no será requerido el ajuste por riesgo no financiero, siempre que la respectiva metodología de cálculo incorpore un factor equivalente.
Cuando las entidades realicen un solo cálculo del ajuste por riesgo no financiero para la reserva de riesgos pendientes, deben implementar una metodología que les permita asignar el ajuste por riesgo no financiero tanto a la reserva de siniestros avisados como a la reserva de siniestros ocurridos no avisados. Dicha metodología debe: (i) contar con suficiente desarrollo tanto teórico como práctico, que refleje la incertidumbre para la estimación de cada una de las reservas, y (ii) mantenerse a disposición de la SFC.
5.4.1. Reserva de siniestros avisados
Esta reserva se debe calcular de conformidad con lo previsto en el artículo 2.31.4.4.1. del Decreto 2555 de 2010, es de aplicación obligatoria para todos los ramos y debe constituirse por siniestro y por cada cobertura.
Esta reserva se debe calcular en la fecha en que la entidad tenga conocimiento, por cualquier medio, de la ocurrencia del siniestro a partir de la mejor estimación en los términos del numeral 3 del presente capítulo, incluyendo el ajuste por riesgo no financiero de que trata el numeral 3.4, bruto de recobros y salvamentos.
Para el cálculo de la mejor estimación se deben incluir los costos asociados a la gestión del siniestro, incluyendo aquellos gastos o costos en que la entidad aseguradora debe incurrir para procesar, evaluar y resolver las reclamaciones, tales como: honorarios de asesoramiento legal y de peritos, costos internos de procesamiento de pagos de siniestros, gastos en sistemas de información de siniestros destinados a definir el valor de liquidación de los mismos y otros egresos de seguros relacionados con la administración de los siniestros. En todo caso, la estimación de los flujos debe considerar todos los lineamientos particulares del artículo 2.31.4.4.1. del Decreto 2555 de 2010.
5.4.1.1. Siniestros atípicos
En desarrollo del parágrafo 1 del artículo 2.31.4.4.1. del Decreto 2555 de 2010, como parte de la mejor estimación de las obligaciones por siniestros avisados, las entidades aseguradoras deben identificar los siniestros atípicos, es decir, aquellos que se encuentran fuera de los rangos generalmente considerados de frecuencia y severidad, o que no se ajustan a la experiencia siniestral.
Para la calificación de los siniestros atípicos, las entidades deben implementar una metodología interna con suficiente sustento tanto teórico como práctico, la cual debe mantenerse a disposición de la SFC.
Las entidades aseguradoras deben considerar las siguientes instrucciones especiales para el cálculo de la reserva de siniestros avisados para los seguros previsionales de invalidez y sobrevivencia y del seguro de riesgos laborales, atendiendo las condiciones particulares de las diferentes carteras de contratos:
5.4.1.2. Reglas especiales para la reserva de los seguros previsionales de invalidez y sobrevivencia
De acuerdo con los lineamientos especiales y las facultades señaladas en el artículo 2.31.4.4.2. del Decreto 2555 de 2010, las entidades aseguradoras deben constituir la reserva de siniestros avisados del ramo de seguros previsionales de invalidez y sobrevivencia a partir de la metodología establecida en el anexo 7 del presente capítulo.
En este caso, para el cálculo de la reserva se deben agregar las reservas técnicas constituidas para las siguientes coberturas y gastos: (i) suma adicional requerida para la pensión de invalidez y sobrevivencia; (ii) auxilio funerario; (iii) subsidio económico por concepto favorable de rehabilitación y gastos asociados al siniestro tales como traslado de pacientes; (iv) valoración por especialistas; (v) exámenes complementarios y (vi) honorarios de juntas de calificación.
5.4.1.3. Reglas especiales para la reserva del seguro de riesgos laborales
De acuerdo con los lineamientos especiales y las facultades señaladas en el artículo 2.31.4.4.4. del Decreto 2555 de 2010, en el caso de la reserva de siniestros avisados del ramo de seguro de riesgos laborales, las entidades deben constituir la reserva de siniestros avisados a partir de la metodología establecida en el anexo 8 del presente capítulo.
En todo caso, en línea con lo señalado en el anexo 8 del presente capítulo, por cada siniestro se deben agregar las reservas técnicas constituidas para las siguientes prestaciones y gastos: (i) prestaciones asistenciales (incluyendo, cuando sea del caso, siniestros avisados asistenciales crónicos y siniestros avisados asistenciales vitalicios); (ii) incapacidad temporal; (iii) incapacidad permanente parcial; (iv) pensión de invalidez; (v) pensión de sobrevivencia; (vi) auxilio funerario; y (vii) honorarios de abogados y gastos asociados al siniestro, directos e indirectos.
Para efectos de este ramo, los gastos directos asociados al siniestro son aquéllos que se encuentran relacionados de manera específica con un siniestro. Los gastos indirectos asociados al siniestro son aquellos en que la entidad incurre para la atención de los siniestros, pero que no pueden ser asociados a uno solo de los siniestros.
5.4.1.4. Clasificación de siniestros
Para efectos del seguimiento a la reserva de siniestros avisados, las entidades aseguradoras deben clasificar internamente cada siniestro en una de las siguientes categorías:
a. Siniestros liquidados pendientes de pago: corresponde a aquellos siniestros que han sido liquidados de manera definitiva y que en la fecha de reporte de la información financiera no han sido pagados al beneficiario.
En el caso de los seguros de vida corresponde al importe de los siniestros de montos conocidos o pagos vencidos correspondientes a rentas que no han sido pagados al asegurado o beneficiario.
b. Siniestros avisados pendientes de liquidación: son aquellos siniestros avisados cuya liquidación no se encuentra en firme porque están en trámite al interior de la entidad y no han sido liquidados, o porque se está definiendo su liquidación a través de mecanismos distintos al proceso judicial.
c. Siniestros avisados pendientes de liquidación en proceso judicial: son aquellos siniestros que se encuentran en proceso judicial de cualquier índole. La reserva de estos siniestros debe comprender tanto el valor reservado para atender una eventual indemnización afectada por la probabilidad del riesgo técnico-jurídico, como los honorarios de abogados asociados a cada proceso judicial. La reserva constituida para el pago de honorarios de abogados no debe ser afectada por la probabilidad del riesgo técnico-jurídico del proceso judicial.
Las entidades aseguradoras deben conformar un comité interdisciplinario de evaluación de siniestros en proceso judicial o conciliación, el cual debe ser integrado, al menos, por un experto en asuntos legales y un responsable administrativo del área técnica de siniestros. Dicho comité deberá reunirse mínimo trimestralmente y tendrá las siguientes responsabilidades:
i. Determinar la categoría y probabilidad del riesgo técnico-jurídico del proceso judicial, teniendo en cuenta los conocimientos y experiencia de los miembros del comité y la información disponible de los siniestros pagados. La metodología empleada para fijar las probabilidades de que trata este numeral debe estar debidamente documentada y a disposición de la SFC.
ii. Revisar los procesos judiciales, los cambios en la instancia jurídica para los procesos en curso y la terminación del proceso por conciliación o fallo.
iii. Hacer un seguimiento de los procesos judiciales en curso.
5.4.2. Reserva de siniestros ocurridos no avisados
De acuerdo con el artículo 2.31.4.4.7. del Decreto 2555 de 2010, esta reserva se calcula a partir de la mejor estimación de las obligaciones futuras en los términos del numeral 3 del presente capítulo, incluyendo el ajuste por riesgo no financiero de que trata el numeral 3.4.
Para efectos de esta reserva, el cálculo de los flujos futuros de efectivo de que trata el literal (a) del numeral 3 del presente capítulo se debe realizar a partir de metodologías actuariales que tengan en cuenta tanto la información histórica sobre el comportamiento de los siniestros, como estimaciones a partir de métodos validados técnicamente con suficiente desarrollo teórico y práctico. Igualmente, la mejor estimación debe incluir los costos asociados a la gestión del siniestro, en los términos del artículo 2.31.4.4.7. del Decreto 2555 de 2010.
Según lo establecido en el primer inciso del artículo 2.31.4.4.7. del Decreto 2555 de 2010, esta reserva se debe calcular para cada ramo de forma mensual, y comprende tanto los siniestros ocurridos no avisados como los siniestros ocurridos no suficientemente avisados.
Sin embargo, de acuerdo con el parágrafo 2 del artículo 2.31.4.4.7. del Decreto 2555 de 2010, las entidades aseguradoras podrán: (a) calcular la reserva de forma separada para diferentes amparos o coberturas dentro de un mismo ramo; o (b) calcular la reserva de forma agrupada para más de un ramo con características siniestrales similares. En cualquiera de estos casos, la entidad deberá remitir a la SFC una solicitud de no objeción previo a la estimación de la reserva de forma segregada por coberturas o agrupando ramos. En la solicitud de no objeción la entidad debe remitir la siguiente información: (i) la motivación de la solicitud, incluyendo las razones técnicas y actuariales que sustentan la petición y explicación detallada de la metodología utilizada para efectuar la separación o agrupación de ramos, (ii) la propuesta de agrupación o desagregación, junto con el estudio técnico en el cual la entidad demuestre que, a partir del comportamiento de la siniestralidad y las características del riesgo, es actuarialmente razonable efectuar las segregaciones o agrupaciones propuestas, (iii) los impactos estimados sobre la reserva por la segregación de coberturas o agrupación de ramos, y (iv) el concepto del actuario responsable respecto de la agrupación y desagregación propuesta por la entidad, así como sobre la suficiencia de la reserva técnica de siniestros ocurridos no avisados con los ajustes propuestos.
Las metodologías para la estimación de los flujos futuros de efectivo de la reserva de siniestros ocurridos no avisados se deben soportar con la información histórica siniestral propia requerida en el artículo 2.31.4.4.7. del Decreto 2555 de 2010 y en las demás normas que sean aplicables, según el caso.
Para la entrada en operación de nuevos ramos de seguros las entidades deben tener en cuenta las disposiciones del parágrafo 1 del artículo 2.31.4.4.7. del Decreto 2555 de 2010.
5.4.2.1. Reglas especiales para los seguros previsionales de invalidez y sobrevivencia
Las entidades aseguradoras deben constituir la reserva de siniestros ocurridos no avisados del ramo de seguros previsionales de invalidez y sobrevivencia a partir de la mejor estimación de sus obligaciones, incluyendo el ajuste por riesgo no financiero, a nivel de póliza y coberturas, en línea con las instrucciones del numeral 3 del presente capítulo, y teniendo en cuenta lo establecido en el artículo 2.31.4.4.8. del Decreto 2555 de 2010.
5.4.2.2. Reglas especiales para los seguros de riesgos laborales
En el caso de la reserva de siniestros ocurridos no avisados del ramo de riesgos laborales, las entidades deben realizar la mejor estimación de sus obligaciones a nivel de prestaciones asistenciales, en línea con las instrucciones del numeral 3 del presente capítulo, y de acuerdo con lo señalado en el artículo 2.31.4.4.8. del Decreto 2555 de 2010.
5.5. Reserva de recobros de enfermedad laboral
De acuerdo con lo previsto en el parágrafo único del artículo 2.31.4.4.8. del Decreto 2555 de 2010, las entidades aseguradoras autorizadas para la operación del ramo de riesgos laborales deben destinar mensualmente el 2% de las primas devengadas del ramo durante cada mes para la constitución de la reserva de enfermedad laboral.
Una vez realizado el cálculo del monto máximo de acumulación en los plazos que se definen en el anexo 2 del presente capítulo, las entidades aseguradoras podrán proceder con la liberación parcial de la reserva en los términos del anexo 2 del presente capítulo, sin perjuicio de la obligación de continuar constituyendo esta reserva con el 2% de las primas devengadas mensualmente hasta el momento en el cual se realice el cálculo del monto mínimo y máximo del siguiente año calendario.
Las instrucciones relacionadas con el cálculo del monto mínimo y máximo de la reserva técnica de enfermedad laboral no implican una modificación en la dinámica contable prevista en los marcos técnicos normativos que les resulten aplicables, de acuerdo con la normatividad vigente y el capítulo XXXV de la CBCF.
5.6. Reserva de desviación de siniestralidad
En desarrollo de lo previsto en el artículo 2.31.4.5.1. del Decreto 2555 de 2010, para el ramo de riesgos laborales las entidades aseguradoras deben calcular la reserva de desviación de siniestralidad de acuerdo con las instrucciones del anexo 4 del presente capítulo, dentro del mes siguiente a la suscripción o renovación del programa de reaseguro. En todo caso, el monto de esta reserva se debe recalcular con una periodicidad semestral, o con una periodicidad inferior cuando la entidad aseguradora lo estime necesario o cuando la SFC lo requiera.
Cuando se presente un cambio súbito y sustancial en la composición de la cartera y/o su siniestralidad, las entidades aseguradoras deben calcular nuevamente la reserva en un plazo prudente que no exceda los 15 días siguientes a la fecha en la cual se conoció el cambio.
En caso de que deban ajustarse las condiciones del programa de reaseguro por cambios en la composición de la cartera durante la vigencia de los contratos de reaseguro, la entidad aseguradora debe calcular nuevamente la reserva de desviación de siniestralidad dentro del mes siguiente al ajuste del programa de reaseguro.
Para la determinación del monto de la reserva de desviación de siniestralidad, las entidades deben dar aplicación a la metodología prevista en el anexo 4 del presente capítulo, así como definir parámetros para su aplicación, lo cual debe constar en la nota técnica y contar con un análisis por parte del actuario responsable conforme a lo establecido en el numeral 6 del presente capítulo.
5.7. Reserva de riesgos catastróficos
De acuerdo con el artículo 2.31.5.1.3. del Decreto 2555 de 2010, la reserva de riesgos catastróficos del seguro de terremoto se debe constituir con los recursos liberados de la reserva de riesgos en curso de que trata el numeral 5.1.3. del presente capítulo. Esta reserva se debe constituir de forma acumulativa y hasta el límite previsto en el artículo 2.31.5.1.3. del Decreto 2555 de 2010.
La liberación de la reserva de riesgos catastróficos sólo es procedente cuando se cumplan los requisitos señalados en el artículo 2.31.5.1.3. del Decreto 2555 de 2010. Para estos efectos, las entidades aseguradoras deben remitir a la SFC una solicitud de autorización de liberación, con el contenido y dentro de los plazos mencionados en el artículo 2.31.5.1.3. del Decreto 2555 de 2010.
5.8. Reservas aplicables a los Beneficios Económicos Periódicos (BEPS)
Las reservas técnicas aplicables a los BEPS se rigen por lo dispuesto en el Decreto 604 de 2013, incorporado al Decreto 1833 de 2016, y por el anexo 9 «Nota técnica del ramo de seguros del servicio social complementario de Beneficios Económicos Periódicos – BEPS», del capítulo II del título IV de la parte II de la Circular Básica Jurídica.
5.9. Reservas aplicables a los amparos por riesgos políticos o extraordinarios del seguro de crédito a la exportación garantizado por la Nación
Las reservas técnicas aplicables a los amparos por riesgos políticos o extraordinarios del seguro de crédito a la exportación garantizado por la Nación se rigen por lo dispuesto en el Decreto 1068 de 2015.
6. Certificación de suficiencia de las reservas técnicas
En desarrollo de lo previsto en el parágrafo único del artículo 2.31.4.1.2 del Decreto 2555 de 2010, el actuario responsable de las entidades aseguradoras debe emitir una certificación de suficiencia de las reservas técnicas de acuerdo con las instrucciones del presente capítulo.
6.1. Contenido de la certificación de la suficiencia de las reservas técnicas
La certificación de suficiencia de las reservas técnicas, emitida mediante documento físico o electrónico, debe contener el concepto del actuario responsable sobre la suficiencia de las reservas técnicas para cada ramo de seguros que opere la entidad aseguradora. Dicha certificación debe permanecer a disposición de la SFC y remitirse a esta entidad en cualquiera de los siguientes casos: (i) anualmente con los estados financieros con corte a 31 de diciembre; (ii) cuando en la evaluación de la suficiencia de reservas técnicas se incluyan hallazgos, observaciones, recomendaciones, o se presenten inconsistencias con las metodologías o cuantificaciones realizadas; y (iii) cuando la entidad aseguradora modifique alguna de las metodologías de cálculo de las reservas técnicas. En estos casos la certificación debe remitirse en el mismo término de envío de los estados financieros del mes objeto de revisión y debe contener como mínimo los siguientes elementos:
6.1.1. Datos básicos
a. Nombre o razón social de la entidad aseguradora para la cual se emite la certificación.
b. Tipo y código de la entidad aseguradora asignado por la SFC.
c. Nombre y firma del actuario responsable.
d. Tipo y número de identificación del actuario responsable.
e. Número y fecha del acta de nombramiento del actuario responsable por parte de la junta directiva.
f. Fecha de corte objeto de certificación.
g. Número de afiliación o membresía y nombre de la asociación de actuarios a la que pertenece el actuario responsable, cuando sea aplicable.
6.2. Declaración de suficiencia de las reservas técnicas
El actuario responsable debe expresar, de manera clara y concisa, un juicio sobre si las reservas técnicas constituidas por la entidad aseguradora son suficientes para respaldar las obligaciones contraídas en los contratos de seguro y si cumplen las exigencias regulatorias vigentes. Para el efecto, la certificación del actuario responsable debe incluir el análisis de variables tales como horizontes de tiempo, niveles o intervalos de confianza, supuestos e hipótesis acordes con la naturaleza de los ramos sobre los cuales se emite la certificación, entre otras. La declaración de suficiencia no debe contener afirmaciones ambiguas o que no den certeza sobre el juicio de suficiencia.
Para la emisión del concepto de suficiencia, el actuario responsable debe verificar que exista coherencia entre sus estimaciones del monto de las reservas técnicas y la información reportada por la entidad aseguradora en los estados financieros. De igual forma, el actuario responsable debe establecer, cuando aplique, la cuantía de las desviaciones que se hayan detectado en cada reserva técnica por ramo o por tipo de reserva frente a las estimaciones del actuario responsable.
El actuario responsable debe firmar la declaración de suficiencia de reservas técnicas y con ello certifica que el documento fue elaborado y emitido de manera libre e independiente, de conformidad con las instrucciones del numeral 6.2.4 del capítulo II del título IV de la parte II de la CBJ.
6.3. Soportes de las declaraciones de suficiencia
Junto con la certificación de suficiencia de las reservas que corresponda a la información con corte a 31 de diciembre de cada año, el actuario responsable debe incorporar los análisis adicionales descritos en este numeral, respecto de las declaraciones de suficiencia del año calendario inmediatamente anterior. El actuario responsable debe remitir un documento que contenga la descripción de los procedimientos adelantados, las metodologías utilizadas y las conclusiones de su análisis.
Cuando la entidad aseguradora modifique alguna de las metodologías descritas, el actuario responsable debe presentar en la certificación correspondiente a dicho mes el análisis de la nueva metodología, detallando sus procedimientos, supuestos e impactos de estos cambios, salvo que dicha modificación sea producto de una obligación regulatoria.
6.3.1. Análisis de la metodología de cálculo de las reservas técnicas
Para sustentar la declaración de suficiencia de las reservas técnicas, anualmente el actuario responsable debe llevar a cabo un análisis que permita determinar que las metodologías utilizadas para el cálculo de las reservas técnicas son técnicamente adecuadas y cumplen con la normatividad vigente. Según corresponda a cada una de las reservas técnicas, el análisis debe tener en cuenta la calidad de los datos utilizados, la pertinencia de los supuestos, pruebas de estrés, análisis de backtesting y los procedimientos que componen la metodología de cálculo aplicable.
6.3.2. Evaluación de la valoración de las contingencias a cargo de las reaseguradoras
Para sustentar la declaración de consistencia de las contingencias a cargo de las reaseguradoras, anualmente el actuario responsable debe llevar a cabo un análisis que permita determinar que la metodología de cuantificación del valor del activo por contingencias a cargo de la reaseguradora, para cada reserva técnica constituida, es técnicamente adecuada y cumple con la normatividad vigente.
Adicionalmente, anualmente deben efectuarse los análisis de las metodologías de determinación de transferencia de riesgo en los contratos de reaseguro no proporcional suscritos por ramo, según corresponda a la normatividad vigente. A partir de dichos análisis, el actuario responsable debe manifestar de manera clara su juicio respecto de la pertinencia de dichas metodologías para cumplir con los requerimientos regulatorios.
6.3.3. Calidad de la información
El actuario responsable debe verificar la consistencia e integridad de la información empleada, particularmente que los datos utilizados son suficientes, confiables y precisos para el cálculo de las reservas técnicas por los contratos de seguro y la valoración del activo por contingencias a cargo de las reaseguradoras.
Cuando el actuario responsable no cuente con toda la información para realizar la valoración de una reserva técnica y requiera para ello emplear supuestos o hacer estimaciones, debe conservar soporte de los métodos y supuestos utilizados, incluyendo la información que los sustenta. Adicionalmente, debe indicar las razones por las cuales no cuenta con la información suficiente y que justifican la utilización de dichos supuestos y estimaciones.
6.3.4. Acciones correctivas frente a certificaciones anteriores
El actuario responsable debe hacer una descripción de las acciones correctivas tomadas frente a anomalías detectadas y reportadas en los dictámenes sobre la situación y suficiencia de las reservas técnicas correspondientes a certificaciones anteriores. En este reporte de las acciones correctivas, el actuario responsable debe incluir su concepto respecto de la efectividad de las acciones tomadas para subsanar las anomalías identificadas. Cuando las acciones correctivas requieran un plan de acción, este debe ser incorporado en el reporte.
6.3.5. Hallazgos relevantes
El actuario responsable debe hacer una breve descripción de los hallazgos relevantes que complementen las declaraciones emitidas, incluyendo los eventos que pueden dar lugar a cambios o anomalías en la implementación de las metodologías y los eventos que hayan obstaculizado el ejercicio de las funciones del actuario responsable.
6.4. Información adicional a cargo del actuario responsable
En adición a lo establecido para la certificación mensual de suficiencia de las reservas técnicas de que trata el parágrafo único del artículo 2.31.4.1.2. del Decreto 2555 de 2010, las entidades aseguradoras, por conducto del actuario responsable, deben tener a disposición de la SFC soportes detallados sobre la siguiente información:
a. Actividades de revisión y soportes técnicos de los análisis requeridos para la certificación de suficiencia: Las actividades que desarrolla el actuario responsable y su equipo de trabajo para cumplir las funciones relacionadas con la evaluación de la suficiencia de las reservas técnicas y de la consistencia del activo por contingencias a cargo de reaseguradoras, incluyendo la revisión de las metodologías internas que puedan implementar las entidades para estimar parámetros o variables que hacen parte del cálculo de la reserva.
En dichas constancias debe ser posible comprobar los objetivos, las actividades planeadas, el cronograma de ejecución y la documentación sobre los procedimientos y supuestos empleados para llevar a cabo tales actividades.
b. Actividades de verificación de la consistencia e integridad de la información: los procedimientos utilizados para validar y verificar que la información proporcionada por la entidad aseguradora sea confiable, completa y consistente.
La información relativa al cumplimiento de las funciones del actuario responsable debe conservarse por un plazo mínimo de 5 años mediante cualquier medio que asegure su integridad.
INFORMACIÓN FINANCIERA DE LOS CONTRATOS DE SEGUROS.
1. Introducción
El presente capítulo establece las instrucciones y lineamientos técnicos para el tratamiento de la información financiera de los contratos de seguro, de acuerdo con las disposiciones generales de los marcos técnicos normativos de información financiera adoptados en el Decreto 2420 de 2015, y teniendo en cuenta las simplificaciones establecidas en el Decreto 1271 de 2024 y la Resolución 037 de 2017 de la Contaduría General de la Nación (CGN), modificada por la Resolución 441 de 2024 (en adelante los «nuevos estándares contables»).
2. Ámbito de aplicación
Las instrucciones del presente capítulo aplican a todas las entidades vigiladas por la Superintendencia Financiera de Colombia (SFC) que deben cumplir con los marcos técnicos normativos de información financiera adoptados en los estándares de información financiera del Decreto 2420 de 2015.
En este sentido, de conformidad con lo previsto en el artículo 1.1.4.1.2. del Decreto 2420 de 2015, modificado por el Decreto 1271 de 2024, para la preparación de los estados financieros consolidados, las entidades vigiladas deben aplicar de manera plena los marcos técnicos normativos vigentes para el Grupo 1, además de dar cumplimiento al régimen prudencial del cálculo de las reservas técnicas previsto en el capítulo XXXIV de la Circular Básica Contable y Financiera, de conformidad con lo señalado en el Decreto 2555 de 2010.
Así mismo, de acuerdo con el numeral 2 del artículo 1.1.4.1.2. del Decreto 2420 de 2015 y el numeral 4 del artículo 4 del Decreto 1271 de 2024, para la preparación de los estados financieros individuales y separados, las entidades vigiladas deben aplicar las disposiciones del Decreto 2420 de 2015, de conformidad con las simplificaciones allí previstas, así como de acuerdo con las instrucciones contenidas en el presente capítulo, relacionadas con: (i) las reservas técnicas especiales de riesgos en curso y riesgos catastróficos del ramo de terremoto, de desviación de siniestralidad para riesgos laborales, de recobros de enfermedad laboral, de amparos de riesgos políticos o extraordinarios del seguro de crédito a la exportación garantizado por la Nación, y beneficios económicos periódicos (BEPS), (ii) las simplificaciones a las que hace referencia el artículo 1.1.4.1.2. del Decreto 2420 de 2015, (iii) la reserva de insuficiencia de activos de que trata el numeral 4 del artículo 4 del Decreto 1271 de 2024, y (iv) los demás asuntos que requieren de instrucciones especiales de la SFC.
3. Separación de componentes y nivel de agregación
Para el adecuado reconocimiento de la información financiera de los contratos de seguro, las entidades deben tener en cuenta las siguientes instrucciones en el marco de la separación de componentes y de la posterior agregación de las carteras de los contratos de seguro.
3.1. Separación de componentes
Las entidades deben identificar los componentes distintos de los servicios de los contratos de seguro, tales como: derivados implícitos que se desprenden de un contrato de seguro, componentes de bienes o servicios distintos del servicio de la cobertura del contrato de seguro, componentes de inversión o ahorro, a menos que se trate de un contrato de inversión con características de participación discrecional, entre otros. Cada componente se debe identificar y recibir el tratamiento contable correspondiente de acuerdo con su naturaleza y de conformidad con la norma contable que le resulte aplicable.
3.2. Agregación por carteras de contratos de seguros
De acuerdo con el artículo 1.1.4.1.4. del Decreto 2420 de 2015, para los fines del presente capítulo, las entidades deben agrupar los contratos de seguro para efectos de su tratamiento en la información financiera, a partir de los siguientes niveles consecutivos de agregación:
Las entidades deberán agregar los contratos de seguro que tengan riesgos similares, siempre y cuando sean gestionados conjuntamente y hagan parte del mismo ramo técnico.
Sin embargo, cuando los contratos de seguro que hacen parte de un mismo ramo evidencien riesgos disímiles o tengan vigencias de cobertura con diferencias significativas, de acuerdo con la experiencia de la entidad, no será posible agregar estos contratos por ramos para efectos de su tratamiento en la información financiera. Por lo tanto, el tratamiento de estos contratos debe realizarse a nivel de carteras adicionales, de acuerdo con las políticas internas que defina la entidad, las cuales deben considerar los siguientes requisitos mínimos:
a. Las carteras adicionales deben hacer parte del mismo ramo técnico.
b. Los contratos agrupados deben contemplar períodos de cobertura equivalentes, y el nivel de riesgo asumido debe ser similar.
Las políticas internas para la agregación por carteras adicionales deben ser aprobadas por la junta directiva de la entidad y ser revisadas al menos una vez al año. Adicionalmente, la documentación relacionada con estas políticas debe estar permanentemente a disposición de la SFC.
3.3. Agregación por onerosidad
Una vez se cuenta con la agregación de contratos a nivel de carteras de acuerdo con el numeral 3.2. del presente capítulo, las entidades deben agrupar los contratos de seguro en las siguientes categorías, según los efectos financieros proyectados por su ejecución:
3.3.1. Contratos onerosos para efectos contables al momento de su reconocimiento inicial
Para efectos contables, se consideran onerosos el grupo de contratos que, al momento de su reconocimiento inicial o medición posterior, evidencian que la entidad aseguradora incurrirá en una pérdida a partir de la mejor estimación de los flujos de efectivo. Para calificar como oneroso un contrato, las entidades deben realizar la prueba de onerosidad de que trata el numeral 6.1. del presente capítulo, en el momento en que el contrato se convierta en oneroso de acuerdo con lo previsto en la norma contable, y, como mínimo, anualmente. Los contratos onerosos de una cartera de seguros se deben agregar para efectos de su tratamiento en la información financiera.
En cualquier caso, la calificación de los contratos como onerosos para efectos contables no tiene ningún tipo de impacto o relación con la calificación o clasificación de los contratos prevista en las normas del Código Civil y del Código de Comercio, las cuales tienen prelación en todos los casos.
3.3.2. Contratos que no se consideran onerosos para efectos contables al momento de su reconocimiento inicial
Todos los contratos que no se califiquen como onerosos para efectos contables, según las instrucciones del numeral 3.3.1. del presente capítulo, hacen parte de la misma agrupación de contratos de cara a su tratamiento en la información financiera.
En cualquier caso, la calificación de los contratos como onerosos en el marco contable no tiene ningún tipo de impacto o relación con la calificación o clasificación de los contratos para efectos legales, de acuerdo con las normas del Código Civil y del Código de Comercio, las cuales tienen prelación en todos los casos.
3.4. Agregación por cohortes
A partir de la agregación de contratos por carteras y por onerosidad, las entidades deben establecer la agrupación final a partir de las cohortes de emisión. Para estos efectos, cada cohorte corresponde a los contratos emitidos o renovados entre el 1 de enero y el 31 de diciembre de cada año.
4. Reconocimiento
Las entidades aseguradoras deben reconocer las obligaciones y derechos asociados a los contratos de seguro de acuerdo con los marcos técnicos normativos de información financiera adoptados en el Decreto 2420 de 2015 y la Resolución 037 de 2017 de la CGN.
En los casos en los cuales el reconocimiento contable del pasivo por contrato de seguro o de reaseguro mantenido se realice a partir de la fecha de inicio del periodo de cobertura, las entidades deben tener en cuenta la fecha de inicio de la cobertura de acuerdo con las disposiciones legales o contractuales aplicables, con independencia de la fecha estipulada para el pago de las primas, de acuerdo con lo definido en el Decreto 2420 de 2015 y en el artículo 1069 del Código de Comercio.
4.1. Reconocimiento de las reservas técnicas
De conformidad con el artículo 2.31.4.1.3 del Decreto 2555 de 2010, las reservas técnicas de las entidades aseguradoras se deben reconocer como un pasivo por su valor bruto. En el caso particular de la reserva de riesgos catastróficos y la reserva de riesgos en curso del ramo de terremoto, el cálculo de la reserva toma como base la prima pura de riesgo de la cartera retenida calculada de acuerdo con los parámetros del parágrafo 1 del artículo 2.31.5.1.1. del Decreto 2555 de 2010, que se calcula una vez descontados los contratos de reaseguros proporcionales y no proporcionales, la proporción de coaseguro a cargo de otras entidades aseguradoras y el efecto de los deducibles, de conformidad con el artículo 2.31.5.1.1. del Decreto 2555 de 2010.
Para el reconocimiento del pasivo por concepto de reservas técnicas, las entidades aseguradoras deben clasificar sus obligaciones de acuerdo con las siguientes instrucciones:
4.1.1. Pasivo por cobertura restante
El Pasivo por Cobertura Restante (PCR) comprende las siguientes reservas técnicas, calculadas de acuerdo con las instrucciones del capítulo XXXIV de la CBCF:
a. Reserva de riesgos en curso.
b. Reserva matemática, salvo cuando se deba reconocer como un pasivo por siniestros incurridos, según lo establecido en el literal (c) del numeral 4.1.2. del presente capítulo.
c. Reserva de insuficiencia de activos.
d. Reserva de desviación siniestralidad.
e. Reserva de riesgos catastróficos.
4.1.2. Pasivo por siniestros incurridos
El Pasivo por Siniestros Incurridos (PSI) se deberá reconocer de conformidad con las disposiciones contenidas en el Capítulo IV del Título IV del Decreto 2555 de 2010, e incluye las siguientes reservas técnicas, calculadas de acuerdo con las instrucciones del capítulo XXXIV de la CBCF:
a. Reserva de siniestros avisados.
b. Reserva de siniestros ocurridos no avisados.
c. Reserva matemática, «para el caso de los flujos derivados de pensiones de invalidez y sobrevivencia, y prestaciones que conlleven a indemnizaciones vitalicias en ramo de riesgos laborales», de conformidad con lo previsto en el parágrafo 2 del artículo 2.31.4.3.2. del Decreto 2555 de 2010.
d. Reserva por insuficiencia de activos.
e. Reserva de recobros de enfermedad laboral.
4.1.3. Reglas especiales de reconocimiento de los activos por recobros de enfermedad laboral
Para efectos del reconocimiento de los activos por recobros que se produzcan con las demás entidades aseguradoras por concepto de enfermedad laboral, estas deben aplicar los marcos técnicos normativos de información financiera, en lo relacionado con los criterios técnicos de la definición y reconocimiento del activo. De forma especial, las entidades aseguradoras deben evaluar el requisito de existencia de un derecho sin que se presente incertidumbre sobre el mismo, o disputa entre la entidad aseguradora que reconocería el activo y otra entidad.
5. Medición
Para efectos de la medición de los contratos de seguro, las entidades aseguradoras deben aplicar uno de los siguientes enfoques, de acuerdo con las instrucciones del presente capítulo y los marcos técnicos normativos de información financiera y de aseguramiento:
a. Enfoque general.
b. Enfoque de asignación de prima.
c. Enfoque de comisión variable.
Los contratos de seguro deben medirse bajo el enfoque general, salvo aquellos grupos de contratos que cumplan los requisitos para aplicar excepcionalmente el enfoque de asignación de prima o el enfoque de comisión variable.
5.1. Enfoque general
En desarrollo de los marcos técnicos normativos de información financiera del Decreto 2420 de 2015, modificado por el Decreto 1271 de 2024, el enfoque de medición general comprende (i) la estimación de los flujos futuros de efectivo procedentes de cumplimiento y (ii) la estimación del margen de servicio contractual (MSC), de acuerdo con las siguientes instrucciones:
5.1.1. Estimación de los flujos futuros de efectivo procedentes de cumplimiento
Las entidades aseguradoras deben establecer la mejor estimación de los flujos futuros de efectivo procedentes de cumplimiento a partir de las instrucciones previstas en el numeral 3 del capítulo XXXIV de la CBCF.
De conformidad con la regulación vigente, la mejor estimación de los flujos futuros de efectivo procedentes de cumplimiento incluye el mapeo de todos los flujos de efectivo, considerando la indexación a inflación y al salario mínimo, el cálculo del valor presente de los flujos a partir de una tasa de descuento, y el ajuste por riesgo no financiero, cuando corresponda.
5.1.2. Estimación del margen de servicio contractual
Las entidades aseguradoras deben establecer el valor de la ganancia no devengada, que se debe reconocer a medida que se ejecuten los servicios del contrato de seguro en el futuro, de acuerdo con los marcos técnicos normativos de información financiera.
El margen de servicio contractual (MSC) se reconoce de forma progresiva y proporcional en el estado de resultados, teniendo en cuenta las unidades de cobertura ejecutadas durante el periodo contable, de acuerdo con lo establecido en el numeral 3.2. del artículo 1.1.4.1.4. del Decreto 2420 de 2015. En todo caso, el devengo periódico del MSC se debe efectuar de forma consistente con las disposiciones del artículo 1070 del Código de Comercio.
En desarrollo de lo anterior, las entidades aseguradoras deben diseñar una metodología para establecer las unidades de cobertura que corresponden a cada grupo de contratos de seguro, teniendo en cuenta las prestaciones y amparos que tiene cada contrato, la distribución del riesgo, el periodo de cobertura y el tiempo corrido de riesgo, en línea con lo previsto en el artículo 1070 del Código de Comercio; e incluir un cálculo específico para las vigencias indeterminadas. Esta metodología debe mantenerse a disposición de la SFC, que podrá requerir los ajustes que considere necesarios.
El MSC calculado al momento de reconocimiento inicial de cada grupo de contratos se debe actualizar como mínimo de manera mensual en la fecha de reporte, y en cualquier otro momento en el que se conozcan situaciones que puedan afectar su valor. Para actualizar el valor del MSC se debe considerar, como mínimo: (i) la emisión de nuevas pólizas y la finalización de pólizas vigentes; (ii) la acumulación de intereses; (iii) los cambios en los flujos de efectivo procedentes del cumplimiento relacionados con el servicio futuro, (iv) el efecto de las diferencias de cambio sobre el MSC; y (v) la liberación o devengo del MSC durante el periodo, de acuerdo con las instrucciones del presente capítulo.
Las entidades deben tener en cuenta que, si al momento del reconocimiento inicial o en las mediciones posteriores se determina la existencia de un MSC negativo, este valor se debe contabilizar de forma inmediata en el estado de resultados como un componente de pérdida, llevando el MSC a cero.
5.1.3. Medición de reservas técnicas bajo el enfoque general
En desarrollo de lo establecido en el numeral 8 del artículo 4 del Decreto 1271 de 2024, las reservas técnicas aplicables a los siguientes ramos y productos deben medirse, sin excepción, bajo el enfoque general en todos los casos:
| Ramo técnico | Productos |
| Seguros de pensiones y rentas | Pensiones Ley 100 |
| Pensiones con conmutación pensional | |
| Pensiones voluntarias | |
| Rentas voluntarias | |
| Seguros de vida tradicionales de largo plazo | Vida individual (permanente y temporal mayor a un año) |
| Seguros de vida con componente de ahorro o inversión | Vida individual (seguros de vida con ahorro, dotal o mixto) |
| Seguros educativos | Educativo |
| Salud | Salud largo plazo |
5.2. Enfoque de asignación de prima
En desarrollo de los marcos técnicos normativos de información financiera del Decreto 2420 de 2015, modificado por el Decreto 1271 de 2024, bajo el enfoque de asignación de prima las entidades deben medir el pasivo por contratos de seguro de acuerdo con la siguiente expresión:
![]()
Donde:
es el monto total del pasivo por contratos de seguro, medido bajo el enfoque de asignación de prima. Sin perjuicio de la forma de pago del seguro, la reserva se calculará en función de su vigencia. Para pólizas cuya cobertura esté supeditada al pago de una prima calculada para un periodo inferior a la vigencia de la póliza, en las que el tomador no está obligado a pagar las primas pendientes hasta el vencimiento del contrato, en el cálculo del pasivo de cobertura restante se tomará como fecha de fin de la vigencia la de la cobertura otorgada por el pago de la prima y no la de la vigencia de la póliza.
corresponde al valor total de la prima emitida asociada al contrato de seguro, incluido el derecho de cobro para el caso de la financiación de primas, para el grupo de contratos objeto de medición bajo el enfoque de asignación de prima, de acuerdo con el numeral 4 del artículo 1.1.4.1.4. del Decreto 2420 de 2015, el numeral 5.1.2. del Capítulo XXXIV de la CBCF y teniendo en cuenta el artículo 1057 del Código de Comercio. Para los contratos con coberturas superiores a un año y con un componente de financiación significativo, las entidades deben aplicar una tasa de descuento al valor de las primas, utilizando la curva de rendimiento libre de riesgo de que trata el numeral 3.3.1. del capítulo XXXIV de la CBCF. Para el caso del SOAT, en la determinación de la prima emitida usada se debe tener en cuenta lo previsto en el parágrafo del artículo 2.31.4.2.2. del Decreto 2555 de 2010.
son todos los pagos asociados con la adquisición del grupo de contratos de seguro, de conformidad con lo previsto en la norma contable. En caso contrario, los flujos de adquisición podrán reconocerse como gastos del periodo, caso en el cual no se deben contemplar dentro de la medición del pasivo bajo el enfoque de asignación de prima.
corresponde a la baja en cuentas de activos o pasivos reconocidos previamente por causas directamente relacionadas con el grupo de contratos objeto de medición, de acuerdo con los marcos técnicos normativos de información financiera. En este caso, la baja en cuentas de activos dará lugar a un aumento del pasivo por contratos de seguro, y la baja en cuentas de los pasivos dará lugar a una disminución del pasivo.
El monto del pasivo medido bajo el enfoque de asignación de prima para el periodo
se debe actualizar teniendo en cuenta: (i) las primas emitidas en periodos posteriores; (ii) los flujos por adquisición asociados a las nuevas primas emitidas, a menos que de acuerdo con los requisitos técnicos de la norma contable, la entidad opte por darles el tratamiento de gasto; (iii) la amortización de la porción que corresponda de los flujos por adquisición reconocidos como gasto en periodos anteriores; (iv) cualquier ajuste a los componentes de financiación para reflejar el valor temporal del dinero y el efecto del riesgo financiero, en caso de que aplique; (v) el importe reconocido como ingreso durante el periodo; y (vi) cualquier componente de inversión pagado o transferido al pasivo por reclamaciones incurridas.
5.2.1. Reconocimiento del ingreso bajo el enfoque de asignación de prima
Bajo el enfoque de asignación de prima procede el reconocimiento de un ingreso equivalente a la ejecución de las unidades de cobertura que se hayan asignado al periodo, teniendo en cuenta las disposiciones de devengo previstas en el artículo 1070 del Código de Comercio, así como las reglas de asignación de los marcos técnicos normativos de información financiera.
5.2.2. Requisitos para la aplicación del enfoque de asignación de prima
Para efectos de aplicar el enfoque de medición de asignación de prima, las entidades aseguradoras deben cumplir los siguientes requisitos:
a. La medición del grupo de contratos de seguro bajo el método de asignación prima no debe diferir significativamente de la medición bajo el enfoque general, o
b. El periodo de cobertura de las pólizas que hacen parte del grupo de contratos deber ser de máximo un año.
En el caso de contratos con coberturas superiores a un año, las entidades aseguradoras podrán aplicar el enfoque de asignación de prima, siempre y cuando elaboren un documento técnico en el cual demuestren: (i) el cumplimiento del requisito del literal (a) anterior; (ii) el ajuste al valor en libros del pasivo para reflejar el valor temporal del dinero y el efecto del riesgo financiero, y la inclusión de estos parámetros en la metodología de medición, para lo cual deberán utilizar la curva de rendimiento libre de riesgo de que trata el numeral 3.3.1. del capítulo XXXIV de la CBCF; y (iii) que no se trate de ninguno de los ramos definidos en el numeral 8.1. del artículo 4 del Decreto 1271 de 2024. Este documento técnico debe mantenerse a disposición de la SFC.
Para el grupo de contratos de seguros con vigencia de más de un año que se midan por el enfoque de asignación de prima, las entidades deben revelar en las notas a los estados financieros de cierre de ejercicio anual si la simplificación aplicada no conlleva una valoración que difiera de la que se hubiera obtenido al aplicar el enfoque general.
5.2.3. Medición de reservas técnicas bajo el enfoque de asignación de prima
En desarrollo del numeral 5 del presente capítulo, las entidades aseguradoras podrán aplicar el enfoque de asignación de prima a los siguientes ramos, siempre y cuando se demuestre a la SFC el cumplimiento de los requisitos del numeral 5.2.2. del presente capítulo:
| Ramo técnico | Productos |
| Seguros de vida corto plazo | Vida grupo |
| Exequias | |
| Colectivo vida | |
| Desempleo | |
| Vida individual (temporal a un año) | |
| Rentas accidentales y de enfermedad | Previsional de invalidez y sobrevivencia |
| Riesgos laborales | |
| Seguros catastróficos | Agropecuario |
| Seguros marítimos, de aviación y transporte | Transporte |
| Aviación | |
| Navegación y casco | |
| Seguros de crédito y caución | Crédito comercial |
| Cumplimiento largo plazo | |
| Cumplimiento corto plazo | |
| Seguros salud – vida de corto plazo | Salud corto plazo (seguros temporales con vigencias menores a un año). |
| SOAT | SOAT |
| Responsabilidad civil | Responsabilidad civil |
| Automóviles | Automóviles |
| Manejo | Manejo |
| Seguros de daños a la propiedad | Corriente débil |
| Sustracción | |
| Incendio | |
| Vidrios | |
| Hogar | |
| Lucro cesante | |
| Ingeniería | Todo riesgo contratista |
| Decenal | |
| Montaje y rotura de maquinaria | |
| Minas y petróleos | |
| Salud no vida | Enfermedad de alto costo |
| Accidentes personales | |
5.3. Enfoque de comisión variable
De conformidad con los marcos técnicos normativos de información financiera, el enfoque de medición de comisión variable se debe aplicar a los contratos que tengan un componente de participación y se deben medir bajo el enfoque general ajustado de conformidad con los siguientes criterios:
a. Para la estimación de los flujos futuros de efectivo de cumplimiento de que trata el numeral 5.1. del presente capítulo, las entidades aseguradoras deben considerar los rendimientos generados por los elementos subyacentes en los cuales se estipula la participación directa, menos la comisión a la cual tiene derecho la entidad aseguradora, de acuerdo con las condiciones de cada contrato.
b. Respecto al cálculo del MSC en los términos del numeral 5.1.2. del presente capítulo, la entidad aseguradora debe considerar el valor de la comisión a la cual tiene derecho, incluyendo cualquier componente variable a partir del valor razonable de los elementos subyacentes, así como los componentes fijos por prestación de servicios de seguro.
En todo caso, para efectos de aplicar el enfoque de comisión variable, las entidades aseguradoras deben diseñar e implementar una metodología que cumpla con las instrucciones del presente capítulo y con los marcos técnicos normativos de información financiera. Esta metodología debe contar con suficiente sustento tanto teórico como práctico, y debe mantenerse a disposición de la SFC.
5.3.1. Requisitos para la aplicación del enfoque de comisión variable
Para efectos de aplicar el enfoque de comisión variable, las entidades aseguradoras deben cumplir plenamente los siguientes requisitos:
a. La medición bajo el enfoque de comisión variable debe realizarse a nivel individual y sin tener en cuenta los niveles de agregación de que trata el numeral 3 del presente capítulo.
b. El enfoque de comisión variable sólo puede aplicarse para la medición de contratos de seguro con componentes de participación directa, que cumplan con las características definidas en los marcos técnicos normativos de información financiera, y que se ajusten a las disposiciones del Código de Comercio y demás normas aplicables.
c. Debe contar con un documento técnico que informe las características de los contratos que serán objeto de medición bajo el enfoque de comisión variable.
d. Debe contar con un ejemplo teórico que evidencie la dinámica de medición y reconocimiento contable de estos contratos, incluyendo sus potenciales impactos en el estado de la situación financiera y en el estado de resultados.
6. Reglas especiales para los contratos onerosos: para efectos contables
Los contratos que resulten onerosos pueden medirse a partir del enfoque de medición general o bajo el enfoque de asignación de prima, de acuerdo con las instrucciones del presente capítulo.
En todo caso, para estos contratos las entidades aseguradoras deben reconocer una pérdida en el estado de resultados del periodo objeto de medición, por un valor equivalente a la pérdida esperada proyectada. Por su parte, la medición del pasivo debe considerar los enfoques señalados, sin contemplar ningún tipo de MSC.
En el reconocimiento inicial y en las mediciones posteriores, las entidades aseguradoras deben evaluar la posible onerosidad de los contratos de seguro. En este sentido, los contratos que no se calificaron como onerosos en su reconocimiento inicial pueden volverse onerosos en la medición posterior, de acuerdo con los criterios técnicos de los marcos normativos de información financiera.
6.1. Prueba de onerosidad
Para evaluar la onerosidad inicial o posterior de un grupo de contratos de seguro, las entidades aseguradoras deben comparar el valor presente de los flujos de ingresos y los flujos de egresos proyectados, incluido el ajuste de riesgo no financiero, con el fin de determinar si existe una pérdida por onerosidad que será reconocida como un componente de pérdida en el estado de resultados. Para establecer el valor de la pérdida por onerosidad, las entidades aseguradoras deben aplicar la siguiente fórmula:
![]()
Donde:
corresponde al grupo de contratos para el cual se realiza la prueba de onerosidad.
es la pérdida por onerosidad que calculan las entidades aseguradoras con la prueba de onerosidad para el grupo de contratos
, y que debe reconocerse en el estado de resultados de acuerdo con el numeral 6 del presente capítulo.
: corresponde al valor presente de los ingresos que hacen parte de la prueba de onerosidad para el grupo de contratos
, de acuerdo con el numeral 6.1.1. del presente capítulo. Cuando corresponda, el valor presente de los flujos debe calcularse con la tasa de descuento de que trata el numeral 3.3. del capítulo XXXIV de la CBCF.
corresponde al valor presente de los egresos que hacen parte de la prueba de onerosidad para el grupo de contratos
, de acuerdo con el numeral 6.1.2. del presente capítulo. Cuando corresponda, el valor presente de los flujos debe calcularse con la tasa de descuento de que trata el numeral 3.3. del capítulo XXXIV de la CBCF.
es el ajuste por riesgo no financiero, calculado de conformidad con el numeral 3.4. del capítulo XXXIV de la CBCF.
6.1.1. Ingresos
En la prueba de onerosidad se deben considerar los siguientes flujos de ingreso:
a. Primas brutas de reaseguro.
b. Otros ingresos directamente relacionados con el grupo de contratos de seguro.
6.1.2. Egresos
En la prueba de onerosidad se deben considerar los siguientes flujos de egreso, los cuales deben ser incluidos en las notas técnicas correspondientes:
a. Siniestralidad observada y esperada: se computa sumando el valor de las reservas de siniestros avisados, la reserva de siniestros ocurridos no avisados, los siniestros liquidados, así como el valor esperado de la siniestralidad para el grupo de contratos, de acuerdo con las hipótesis de tarifación y los ajustes por experiencia de las hipótesis a partir del comportamiento observado, según lo señalado en el literal (c) del numeral 6 del artículo 1.1.4.1.4. del Decreto 2420 de 2015. En todo caso, el cálculo de la siniestralidad debe hacerse bruto de reaseguro.
b. Costos y gastos de adquisición relacionados con el grupo de contratos, incluyendo costos directos e indirectos para la expedición y administración de los contratos de seguro correspondientes.
c. Otros egresos directamente relacionados con el grupo de contratos de seguro.
7. Reglas especiales para la reserva de desviación de siniestralidad
Para el cálculo y contabilización de la reserva técnica de desviación de siniestralidad las entidades aseguradoras deben tener en cuenta la metodología de cálculo prevista en el anexo 4 del capítulo XXXIV de la CBCF y acreditar como mínimo el saldo de la reserva de desviación de siniestralidad calculado en los términos del referido anexo.
8. Reglas especiales para el coaseguro
El reconocimiento de las operaciones de coaseguro se debe respaldar en las copias de las pólizas, anexos y certificados expedidos por la aseguradora líder, los cuales constituyen la prueba de dicho asiento contable. Para el caso de los negocios de coaseguros en los cuales la entidad líder asume la obligación de pago para, posteriormente, repetir contra los demás coaseguradores, las cuentas por cobrar por contratos de coaseguro deben ser objeto de deterioro, dando aplicación a las instrucciones previstas en el numeral 10.1. del presente capítulo para el deterioro del activo.
9. Reglas especiales aplicables para la financiación de primas
Cuando las entidades aseguradoras realicen préstamos para la financiación de las primas a cargo de los tomadores, se debe reconocer un activo sujeto a riesgo de crédito y deterioro, el cual debe gestionarse de acuerdo con las instrucciones para el riesgo de crédito del capítulo XXXI de la CBCF.
El deterioro aplicable al activo por financiación de primas o por primas no recaudadas se debe reconocer con efectos en el estado de resultados, de acuerdo con los requisitos de los marcos técnicos normativos de información financiera y de aseguramiento.
10. Reglas especiales para los contratos de reaseguro mantenido
En línea con los marcos técnicos normativos de información financiera, el tratamiento contable de los contratos de reaseguro mantenidos debe realizarse de forma independiente a los contratos de seguro subyacentes. De conformidad con el artículo 2.31.4.1.3. del Decreto 2555 de 2010, las reservas técnicas, con excepción de la reserva de riesgos catastrófico y la reserva de riesgos en curso del ramo de terremoto, se deben reconocer en la información financiera como un pasivo por su valor bruto. Las entidades aseguradoras cedentes deben reconocer en el activo las contingencias a cargo del reasegurador y, en todo caso, el valor de este activo debe afectarse a partir del ajuste por riesgo no financiero de que trata el numeral 3.4. del capítulo XXXIV de la CBCF.
Para efectos de la medición del activo por contingencias a cargo de reaseguradoras y demás aspectos de los contratos de reaseguro mantenidos, las entidades deben tener en cuenta:
a. Enfoques de valoración: enfoque de valoración general o el enfoque de asignación de prima, utilizando supuestos similares a los empleados en las estimaciones de los contratos de seguro subyacentes y las modificaciones de los marcos normativos de información financiera aplicables para los contratos de reaseguro mantenido, de conformidad con las instrucciones del presente capítulo.
El enfoque de medición aplicado a cada grupo de contratos debe considerar: (i) la naturaleza proporcional o no proporcional del reaseguro y (ii) la duración de la cobertura del reaseguro.
b. Para el cálculo del margen del servicio contractual (MSC) las entidades deben tener en cuenta los principios aplicados a los contratos de seguros subyacentes, incluido el tratamiento del componente de recuperación por onerosidad. En los contratos de reaseguro la entidad debe hacer referencia a contratos que producen un “costo neto” o una “ganancia neta”, respectivamente, para el cálculo del costo neto o ganancia neta la entidad debe contar con una metodología con suficiente desarrollo técnico, la cual se debe mantener a disposición de la SFC.
c. El valor de las contingencias a cargo de las reaseguradoras debe reflejar la transferencia real de los riesgos a cada reaseguradora y, como tal, se debe descartar cualquier acuerdo que no implique una asunción de riesgo por parte de cada reaseguradora.
d. En el caso de contratos celebrados a través de intermediarios de reaseguros, sólo pueden contabilizarse aquellos que cumplan con lo establecido en el numeral 1.6.3. del capítulo II del título IV de la parte II de la Circular Básica Jurídica, respecto de la aceptación de notas de cobertura suscritas por corredoras de reaseguros.
e. El valor de las contingencias de las reaseguradoras debe ser consistente con el programa de reaseguro de la entidad y las estipulaciones de los contratos de reaseguro, tales como prioridades y capas.
f. Para los contratos de reaseguro en los que se establezcan límites de responsabilidad de la reaseguradora o variaciones en su participación en función de los niveles de siniestralidad de la entidad aseguradora u ocurrencia de un evento específico, estas condiciones deben reflejarse en el valor de los activos por contingencias a cargo de las reaseguradoras.
g. De conformidad con lo dispuesto en el artículo 2.31.1.7.1. del Decreto 2555 de 2010, cuando en el contrato de reaseguro se hayan establecido depósitos de reserva retenidos a reaseguradoras, el valor del depósito vigente debe ser considerado en el cálculo de los flujos futuros de efectivo, según la metodología de medición aplicada.
10.1. Deterioro del activo por contingencias a cargo del reasegurador y de las cuentas por cobrar de coaseguro
El activo por contingencias a cargo del reasegurador y las cuentas por cobrar de coaseguro, cuando corresponda, deben ser objeto del reconocimiento de deterioro prospectivo, a partir de la evaluación de riesgo que surge por la calidad crediticia de la contraparte reaseguradora y por las demás circunstancias que puedan afectar el cumplimiento futuro del reaseguro y de la cuenta por cobrar de coaseguro. Para medir el valor del deterioro, las entidades deben aplicar la siguiente fórmula:
![]()
Donde:
corresponde al periodo para el cual se calcula el deterioro del activo por contingencias a cargo del reasegurador. El cálculo del deterioro debe realizarse con una periodicidad al menos trimestral, o en cualquier momento en el que existan indicios de deterioro de la calidad crediticia del reasegurador.
es el deterior calculado para el activo por contingencias a cargo del reasegurador en el periodo de cálculo
.
corresponde al valor del activo por las contingencias a cargo del reasegurador por los contratos de reaseguro mantenidos o la cuenta por cobrar de coaseguro, calculado en los términos de las normas de información financiera. Cuando corresponda, el valor presente de los flujos se debe calcular con la tasa de descuento de que trata el numeral 3.3. del capítulo XXXIV de la CBCF.
corresponde a la probabilidad de incumplimiento de la contraparte en términos porcentuales para el periodo de cálculo
Las entidades aseguradoras deben diseñar e implementar una metodología interna para establecer la probabilidad de incumplimiento de sus contrapartes, la cual debe cumplir con los siguientes requisitos:
a. La metodología debe considerar la calificación crediticia asignada por una sociedad calificadora con reconocimiento internacional.
b. La metodología debe considerar la fortaleza financiera de la contraparte, evaluada a partir de su información financiera y de indicadores de solidez con amplia aceptación técnica. Las variaciones negativas en las mediciones de fortaleza financiera deben reflejarse como aumentos en la probabilidad de incumplimiento.
c. La metodología debe considerar los antecedentes en la ejecución de los contratos y demás circunstancias que consideren que puedan afectar la capacidad de pago de cada contraparte.
Las entidades aseguradoras deben documentar la metodología utilizada para la determinación de las probabilidades de incumplimiento, así como los cálculos y actualizaciones periódicas que se realicen para cada contraparte. Esta documentación debe mantenerse a disposición de la SFC para su revisión en cualquier momento.
11. Reglas especiales para el seguro obligatorio de daños corporales causado a personas en accidentes de tránsito (SOAT)
Las transferencias bimestrales a la ADRES y las transferencias adicionales, si las hubiere, se deben registrar en los códigos asignados para cada concepto en el CUIF para el sector asegurador.
En todo caso, independientemente del corte bimestral las entidades deben causar el valor de esta transferencia, determinada como la diferencia entre los recursos del 20% establecida en el numeral 2 del artículo 199 del EOSF y el valor de los porcentajes correspondientes a la aplicación de la cobertura del mencionado seguro de la producción emitida en dicho mes, en desarrollo de lo dispuesto en el Decreto 780 de 2016 y la Resolución 2709 de 2022 del Ministerio de Salud y Protección Social o las normas que las modifiquen, adicionen o sustituyan.
METODOLOGÍA DE CÁLCULO DE LA RESERVA POR INSUFICIENCIA DE ACTIVOS.
1. Consideraciones generales
De acuerdo con el subnumeral 5.3. del Capítulo XXXIV de la CBCF, el presente anexo establece el procedimiento de cálculo de la Reserva por Insuficiencia de Activos (RIA).
2. Identificación de los pasivos
Las entidades aseguradoras deben identificar los flujos futuros de pasivos, netos de las contingencias a cargo de reaseguradoras, del ramo correspondiente para el cálculo de la RIA que se debe calcular para cada ramo de seguros. Estos corresponden a los flujos futuros esperados de las pólizas emitidas de acuerdo con las notas técnicas depositadas en la Superintendencia Financiera de Colombia (SFC) para el cálculo de la reserva matemática de cada uno de los ramos.
Para el ramo de vida individual los flujos de pasivos corresponden a los flujos futuros esperados de las pólizas emitidas, para lo cual las entidades aseguradoras podrán ajustar sus flujos de acuerdo con las estimaciones de renovaciones y terminación de los contratos de seguros. Las metodologías para estimar dichas renovaciones y terminación se deben mantener a disposición de la SFC.
Para el ramo de rentas voluntarias, las entidades aseguradoras podrán ajustar sus flujos de acuerdo con las estimaciones de retracto en los contratos de seguros de renta vitalicia inmobiliaria. Las metodologías para estimar dichos retractos se deben mantener a disposición de la SFC.
2.1. Tratamiento de los pasivos
Para cada ramo, los flujos futuros esperados de los pasivos se tomarán en pesos y en términos reales, para lo cual se deben proyectar los flujos sin inflación. Cuando se requiera deflactar los flujos se debe utilizar la tasa spot dada por el vector de inflación implícita publicada por la SFC. Los flujos que no estén indexados a la inflación se deben convertir a términos reales con base en dicho vector de inflación implícita. No obstante, cada entidad podrá emplear un vector de inflación propio con previa no objeción de la SFC en los términos previstos en el numeral 3.1. del Capítulo XXXIV de la CBCF.
Los flujos que estén expresados en UVR se deben convertir a pesos, proyectando la UVR con base en la inflación implícita, y los flujos en moneda extranjera se deben convertir a pesos tomando la tasa de cambio del último día calendario del trimestre de cálculo.
Los flujos de títulos indexados a una tasa variable se deben proyectar con base en el valor de dicha tasa, aplicable al último día calendario del trimestre de cálculo.
3. Identificación de los activos
Las entidades aseguradoras deben identificar los flujos futuros de los activos que respaldan la reserva matemática y aquellos que respaldan la RIA del ramo correspondiente. Para cada ramo, los flujos de activos serán los flujos de las inversiones admisibles de las reservas técnicas establecidas en el artículo 2.31.3.1.2 del Decreto 2555 de 2010 que respaldan las reservas mencionadas.
3.1. Tratamiento de los activos
Para cada ramo, los flujos futuros de los activos se tomarán en pesos y en términos reales, para lo cual se deben proyectar los flujos sin inflación. Cuando se requiera deflactar los flujos se debe utilizar la tasa spot dada por el vector de inflación implícita publicada por la SFC o el vector de inflación propio con previa no objeción de la SFC que presente la entidad, en los términos previstos en el numeral 3.1. del Capítulo XXXIV de la CBCF. Los flujos que no estén indexados a la inflación se deben convertir en términos reales con base en el vector de inflación implícita.
Siguiendo lo anterior, los flujos que estén en términos de UVR se deben convertir a pesos en términos reales, con base en la UVR de la fecha de corte de la información de los activos. Los flujos en moneda extranjera se deben convertir a pesos tomando la tasa de cambio de la fecha de corte de la información de los activos.
Los flujos de títulos indexados a una tasa variable se deben proyectar con base en el valor de dicha tasa, aplicable a la fecha de corte de la información de los activos.
La fecha de corte de la información de los activos corresponde al mes siguiente al corte trimestral de los pasivos. Por ejemplo, en el corte de los pasivos de marzo, se debe tomar la información del mes de abril como fecha de corte de información de los activos.
Los activos se clasificarán según se conozcan o no los flujos futuros derivados de los mismos. Se considera que los flujos futuros son conocidos cuando son determinados o determinables contractualmente desde el momento en que se calcula la RIA. Los flujos de los activos se deben proyectar netos de coberturas realizadas mediante instrumentos derivados (incluyendo swaps).
A continuación, se presenta la lista de activos a tener en cuenta para efectos del cálculo de la RIA y su respectivo tratamiento:
3.1.1. Activos con flujos futuros conocidos
Cada uno de los flujos de los activos relacionados a continuación se clasificará dentro del tramo que corresponda según su plazo al vencimiento:
a. Títulos de renta fija.
b. Contratos de futuros y forwards.
c. Productos estructurados de capital protegido: los flujos correspondientes a la garantía de capital garantizado protegido tendrán un tratamiento similar a un bono cero-cupón.
d. Los préstamos con garantía en las pólizas de seguro de vida o títulos de capitalización siempre que no exista mora en el pago de las cuotas.
e. Bienes raíces productivos localizados en territorio colombiano con contrato de arrendamiento vigente. Los flujos correspondientes a los arriendos serán tenidos en cuenta hasta el momento del vencimiento del contrato y a partir del vencimiento del contrato se incorporará el valor razonable del inmueble como un flujo en el respectivo tramo.
f. Operaciones repo activas, operaciones simultáneas activas y operaciones de transferencia temporal de valores.
g. Inversiones en fondos de capital privado cuya estimación de flujos futuros a favor de la entidad aseguradora como inversionista sea acreditada por su gerente o gestor profesional.
h. Participaciones en fondos de inversión colectiva inmobiliarios y esquemas de inversión colectiva que en su prospecto o reglamento tengan por objeto principal invertir en activos de naturaleza inmobiliaria, cuya estimación de flujos futuros a favor de la entidad aseguradora como inversionista sea acreditada por la sociedad administradora.
i. Títulos de contenido crediticio, participativos o mixtos derivados de procesos de titularización cuyos activos subyacentes sean de naturaleza inmobiliaria, cuya estimación de flujos futuros a favor de la entidad aseguradora como inversionista sea acreditada por la sociedad administradora.
3.1.2. Activos sin flujos futuros conocidos
Salvo lo previsto en el literal (i) del presente subnumeral, los siguientes activos que no tienen flujos futuros conocidos deberán ser considerados por su valor razonable como un único flujo en el primer tramo de tiempo (en valor presente):
a. Depósitos a la vista.
b. Títulos y/o valores participativos: acciones, participaciones en fondos de inversión colectiva, títulos participativos o mixtos derivados de procesos de titularización cuyos activos subyacentes sean distintos a aquellos de naturaleza inmobiliaria.
c. Inversiones en fondos de capital privado cuya estimación de flujos futuros a favor de la entidad aseguradora como inversionista no esté acreditada por su gerente o gestor profesional.
d. Participaciones en hedge funds o en fondos representativos de índices de renta fija, commodities, divisas y de acciones, incluidos los fondos bursátiles o ETF cuyo índice se haya construido a partir de los mencionados tipos de activos.
e. Participaciones en fondos de inversión colectiva inmobiliarios y esquemas de inversión colectiva que en su prospecto o reglamento tengan por objeto principal invertir en activos de naturaleza inmobiliaria, cuya estimación de flujos futuros a favor de la entidad aseguradora como inversionista no esté acreditada por la sociedad administradora.
f. Títulos de contenido crediticio, participativos o mixtos derivados de procesos de titularización cuyos activos subyacentes sean de naturaleza inmobiliaria, cuya estimación de flujos futuros a favor de la entidad aseguradora como inversionista no esté acreditada por la sociedad administradora.
g. Bienes raíces productivos localizados en territorio colombiano sin contrato de arrendamiento vigente, mencionados en el subnumeral 2.2.6 del capítulo II del título IV de la parte II de la CBJ.
h. Contratos de opciones.
i. Para el caso de los bienes raíces no productivos que respaldan la reserva matemática de las pólizas de renta vitalicia inmobiliaria, estos deberán ser considerados como un único flujo en el tramo de tiempo que corresponda (en valor presente) de acuerdo con la expectativa de vida del grupo del último sobreviviente conformado por los beneficiarios. Para esto, se deben aplicar las reglas y procedimientos de valoración señalados en el subnumeral 2.2.6.3.7 del Capítulo II del Título IV de la Parte II de la CBJ.
3.1.3. Deterioro por riesgo de crédito
Las entidades aseguradoras deben estimar y reconocer el deterioro del valor de los activos y sus flujos correspondientes, considerando la calificación de los emisores o contrapartes y demás circunstancias que consideren que puedan afectar la capacidad de pago futura de los mismos. Los títulos de deuda pública local no deben ser deteriorados por riesgo de crédito, al igual que los títulos con calificación local AAA o títulos con calificación internacional igual o superior al grado de inversión.
Los porcentajes de deterioro que apliquen las entidades aseguradoras no deberán ser inferiores a las probabilidades de incumplimiento más recientes, según la calificación de riesgo específica del activo y su plazo al vencimiento. Siempre que exista una calificación de riesgo específica del activo local efectuada por una sociedad calificadora de riesgos vigilada por la SFC, se debe efectuar el reconocimiento del deterioro con base en la calificación local. En caso de que no exista una calificación local de riesgo específica del activo efectuada por una sociedad calificadora de riesgos autorizada por la SFC, se debe utilizar la calificación internacional efectuada por una sociedad calificadora de riesgos internacionalmente reconocida. Cuando no exista una calificación de riesgo específica del activo local, deberá tomarse la calificación del emisor para determinar los porcentajes de deterioro.
Cuando un activo tenga dos calificaciones vigentes otorgadas por diferentes calificadoras de riesgo, se tomará la calificación más baja. Si existen tres o más calificaciones, se deben considerar las dos calificaciones por riesgo más altas y, si éstas arrojaran la misma calificación, se debe tomar dicha calificación; si la calificación es diferentese debe hacer uso de la más baja.
Para el caso de las participaciones en títulos participativos, fondos de inversión, fondos bursátiles o ETF o fondos de capital privado, para determinar los porcentajes de deterioro, las entidades pueden remitirse a la calificación crediticia de los activos subyacentes según su plazo al vencimiento. En caso de no conocer los activos subyacentes, se debe tomar el deterioro correspondiente a títulos de grado especulativo, al menor plazo disponible.
En todo caso, la entidad aseguradora debe mantener a disposición de la SFC los porcentajes de deterioro aplicados al valor del activo y sus flujos correspondientes, así como la metodología utilizada para su determinación.
4. Suficiencia o insuficiencia por tramos:
Una vez definido el tratamiento de los activos y pasivos, se deben agrupar los flujos según su plazo al vencimiento por tramos.
Los tramos anuales deben agrupar los flujos según los días al vencimiento (en base 365) contados a partir del último día calendario del trimestre correspondiente, de conformidad con el siguiente ejemplo:
| Tramo | Plazo al vencimiento |
| 1 | Desde 0 hasta 365 días |
| 2 | Desde 366 hasta 730 días |
| … | |
| 120 | Desde 43.436 hasta 43.800 días |
5. Cálculo de la RIA
Una vez realizados los pasos señalados en los numerales anteriores se debe calcular la RIA de acuerdo con el siguiente procedimiento:
a. Calcular el valor presente de los flujos, utilizando el vector de la
en términos reales
de conformidad con lo establecido en el subnumeral 3.3.1 del Capítulo XXXIV de la CBCF para el mes del trimestre correspondiente al cálculo.
Para cada flujo de activo se debe realizar el siguiente procedimiento:
![]()
Para cada flujo de pasivo se debe realizar el siguiente procedimiento:
![]()
Donde:
Valor presente del flujo
del activo.
Valor presente del flujo
del pasivo.
Flujo
del activo.
Flujo
del pasivo.
Vencimiento del flujo
en años.
puede ser no entero.
Corresponde al entero positivo más próximo a
. Para los flujos anteriores al primer nodo,
. Para el punto medio entre enteros se tomará el entero positivo mayor (por ejemplo, si
, entonces
.
Curva de rendimiento libre de riesgo en términos reales correspondiente al año
conforme a lo establecido en el subnumeral 3.3.1 del Capítulo XXXIV de la CBCF.
![]()
b. Calcular la insuficiencia o suficiencia en valor presente para cada tramo como la diferencia entre los flujos de pasivos y de activos (ajustados por riesgo de crédito) que vencen dentro del respectivo tramo, así:
![]()
![]()
![]()
Donde:
Índice del tramo.![]()
: Sumatoria de todos los flujos de pasivos, en valor presente, que vencen dentro del tramo
.
Sumatoria de todos los flujos de activos, en valor presente, que vencen dentro del tramo
.
Insuficiencia de activos en valor presente.
c. Determinar la RIA como el mayor valor entre 0 y el valor presente neto de las insuficiencias de activos:
![]()
6. Constitución y liberación de la RIA
En caso de que exista insuficiencia de activos en algún ramo, las entidades aseguradoras deben constituir la RIA dentro del trimestre siguiente al corte de la información de los activos. En el evento en que se reduzcan las insuficiencias con respecto al trimestre anterior, las entidades aseguradoras pueden liberar el exceso en la reserva.
CIRCULAR EXTERNA - IMPACTOS EN LA APLICACIÓN POR PRIMERA VEZ NIIF 17.
<Consultar Anexo 1.0 directamente en el siguiente enlace: https://normograma.com/documentospdf/PDF/C_SF_0013_2025_ANEXO_1.0.xlsx
METODOLOGÍA DE CÁLCULO DE LA RESERVA DE RECOBROS DE ENFERMEDAD LABORAL.
1. Consideraciones generales
De acuerdo con el numeral 5.5. del Capítulo XXXIV de la CBCF, el presente anexo establece el procedimiento de cálculo de la reserva de recobros de enfermedad laboral que deben constituir las entidades aseguradoras autorizadas para la operación del ramo de riesgos laborales de acuerdo con el parágrafo del artículo 2.31.4.4.8 del Decreto 2555 de 2010.
Una vez realizado el cálculo del monto máximo de acumulación en los plazos que define el presente anexo, las entidades aseguradoras podrán proceder con la liberación parcial de la reserva en los términos del numeral 4 del presente anexo, sin perjuicio de la obligación de continuar constituyendo esta reserva con el 2% de las primas devengadas mensualmente hasta el momento en el cual se realice el cálculo del monto mínimo y máximo del siguiente año calendario.
2. Información para el cálculo del monto máximo y mínimo de acumulación de la reserva de enfermedad laboral
Para efectos del cálculo de los montos mínimos y máximos de la reserva de enfermedad laboral, las entidades aseguradoras que operen el ramo de riesgos laborales o que adelanten el proceso de salida del mercado deben establecer, a más tardar el 31 de marzo de cada año, la totalidad de prestaciones por enfermedades laborales que hayan pagado o reservado como siniestro avisado hasta el 31 de diciembre del año inmediatamente anterior.
2.1. Identificación de las prestaciones por enfermedad laboral
Respecto de las prestaciones por enfermedad laboral que hayan pagado o reservado como siniestro avisado hasta el 31 de diciembre del año inmediatamente anterior, las entidades aseguradoras deben identificar:
a. La totalidad de prestaciones a su cargo frente a las cuales no tiene expectativa de recobro a otras entidades aseguradoras, en razón a la exposición exclusiva del afiliado en la entidad aseguradora para el cumplimiento del término de prescripción señalado en la ley aplicable para el recobro, u otras consideraciones. Para estos efectos, la exposición será medida en función del tiempo de afiliación.
b. La totalidad de prestaciones a su cargo frente a las cuales tiene expectativa de recobro a otras entidades aseguradoras, en razón a la exposición del afiliado y el valor esperado de recobro por cada prestación. En esta categoría deberán incluirse aquellas prestaciones susceptibles de recobro respecto de las cuales se haya iniciado cualquier tipo de acción de cobro extrajudicial o judicial contra las demás entidades aseguradoras que se encuentren pendientes de una decisión final. Para estos efectos, la exposición será medida en función del tiempo de afiliación.
c. La totalidad de prestaciones frente a las cuales ya se realizó el respectivo recobro a otras entidades aseguradoras. En este cálculo deberán incluirse aquellas prestaciones cuyo valor de recobro fue definido a través de acuerdos judiciales o extrajudiciales con las demás aseguradoras, por decisión judicial en firme o cualquier otro mecanismo de solución de controversias.
Las entidades aseguradoras deben identificar con la información que dispongan, así como con aquella que intercambien con las demás entidades aseguradoras, las prestaciones que puedan ser objeto de recobro en su contra, en razón a la exposición del afiliado medida para estos efectos en función del tiempo de afiliación y el valor esperado de recobro por cada prestación. Todo valor que se identifique como susceptible de recobrar a otra entidad aseguradora debe estar soportado en facturas y registros contables certificados por el revisor fiscal, entre otros.
2.2. Determinación de las prestaciones con posibilidad de recobro
En el proceso de determinación de las prestaciones con posibilidad de recobro a favor o en contra, las entidades aseguradoras podrán acudir a expertos actuariales, de la salud y legales, entre otros. Para el caso de prestaciones asistenciales, incluidas las asociadas a siniestros crónicos y vitalicios, incapacidad temporal, incapacidad permanente parcial y auxilio funerario, se tomarán los pagos que efectivamente haya realizado cada entidad aseguradora. Para el caso de pensiones de invalidez y de sobrevivencia se tomará:
a. La reserva matemática inicial de los casos que hayan sido objeto de constitución de esta reserva por primera vez en el último año más el retroactivo pagado.
b. La reserva matemática a la fecha del recobro más el retroactivo pagado y el valor de las mesadas pagadas hasta la fecha de recobro. Lo anterior, en el caso de: (i) rentas que no han sido recobradas y cuya constitución inicial no se haya realizado en último año, y (ii) rentas cuya constitución inicial y reajuste por cambios en los parámetros de mortalidad, número de beneficiarios, pérdida de capacidad laboral y deslizamiento del salario mínimo, se realiza en el último año.
c. El valor actual esperado de las pensiones de invalidez y de sobrevivencia, incluido el retroactivo en caso de que aplique, para aquellos casos que no han sido objeto de la constitución inicial de la reserva matemática en el último año, pero se encontraban avisados a la fecha del recobro y no han sido recobrados anteriormente.
d. El diferencial entre: (i) el saldo a la fecha de recálculo de la reserva matemática bajo los parámetros del último recálculo, y (ii) el saldo a la fecha de recálculo de la reserva matemática calculada bajo los parámetros ajustados, cuando se realicen ajustes a dicha reserva por cambios en los parámetros de mortalidad, número de beneficiarios, pérdida de capacidad laboral y deslizamiento del salario mínimo, con posterioridad al último recobro. Lo anterior, en el caso de rentas que han sido recobradas.
En la medida en que, para la adecuada gestión de la reserva de enfermedad laboral, y para determinar los eventuales recobros que pueden afectar esta reserva, las entidades aseguradoras requieren de información de mercado, éstas deben habilitar el acceso o suministrar la información que almacenen en sus repositorios a las demás administradoras de riesgos laborales y/o a un tercero responsable de la gestión de la información y las estimaciones de los recobros del mercado. La información susceptible de intercambio debe evidenciar los períodos de afiliación y exposiciones a su cargo y, así mismo, deben intercambiarse los parámetros relacionados con las pensiones de invalidez y de sobrevivencia o soportes de los valores a recobrar. La participación de terceros no exime a las entidades aseguradoras de la responsabilidad por la adecuada estimación de la reserva de enfermedad laboral y la adopción de medidas que les permitan validar las gestiones y procesos de estos terceros, así como los resultados entregados por ellos.
En el marco del intercambio de la información, se debe dar cumplimiento a la normatividad relacionada con la protección de datos personales.
En desarrollo de lo dispuesto en el parágrafo del artículo 2.31.4.4.8 del Decreto 2555 de 2010 y demás normas que lo modifiquen, sustituyan o adicionen, las entidades aseguradoras que operen el ramo de riesgos laborales deben recopilar, actualizar y mantener a disposición de la SFC la información que señala el anexo 3 del capítulo XXXIV de la CBCF sobre siniestros de enfermedades laborales a partir de 2009.
La documentación e información que conozcan, recopilen, utilicen y generen las entidades aseguradoras en relación con el cálculo de la reserva de enfermedad laboral y los recobros del ramo, debe ser conservada durante el plazo dispuesto en el artículo 96 del EOSF y demás normas que lo modifiquen, sustituyan o adicionen, mediante cualquier medio que asegure su integridad y se debe mantener a disposición de la SFC. Este deber aplica sin perjuicio de las demás disposiciones relacionadas con la documentación y conservación de la información.
3. Cálculo de los montos mínimos y máximos de la reserva
La reserva de enfermedad laboral es equivalente a:
![]()
Donde:
es el saldo de la reserva de enfermedad laboral al cierre del mes
.
es la constitución de la reserva de enfermedad laboral en el mes
de acuerdo con las instrucciones del numeral 5.5. del capítulo XXXIV de la CBCF.
corresponde al saldo de la reserva de enfermedad laboral al cierre del mes
.
es la liberación de la reserva realizada durante el mes
de acuerdo con las instrucciones del numeral 4 del presente anexo.
En todo caso, las entidades aseguradoras deben acreditar en todo momento un saldo mayor o igual al monto mínimo de acumulación que señala el siguiente subnumeral.
3.1. Cálculo del monto mínimo de acumulación de la reserva
Las entidades aseguradoras deben acreditar de manera permanente un saldo mínimo de la reserva de enfermedad laboral igual al resultado de la siguiente formula. El cálculo del monto mínimo de acumulación debe realizarse a más tardar el 31 de marzo de cada año calendario, tomando la información con corte al 31 de diciembre del año inmediatamente anterior.
![]()
Donde:
es el monto mínimo de acumulación de la reserva de enfermedad laboral (EL) al final del año
.
: es el año calendario inmediatamente anterior a la fecha de cálculo.
es la posición total deudora para el año
. Es el monto total de los siniestros que la entidad aseguradora debe girar a las demás entidades correspondientes a las prestaciones asistenciales pagadas por éstas y los casos a, b y d del numeral 2.2. del presente anexo, para las enfermedades laborales durante el año
y que son susceptibles de recobro. Son susceptibles de recobro aquellas prestaciones de siniestros por enfermedad laboral para los cuales a partir de información de mercado sobre el tiempo de afiliación se establece que la entidad tendría una obligación a su cargo. De manera exclusiva para la determinación de esta posición se debe asumir que la responsabilidad de cada administradora se calcula a prorrata del tiempo de afiliación medido en meses en cada entidad hasta la fecha del primer pago del siniestro sobre el total de meses de afiliación al sistema.
Dicha posición se debe expresar en términos constantes tomando como base el año
usando el Índice de Precios al Consumidor (IPC) que publica el DANE.
es la posición total acreedora para el año
. Corresponde al monto total de los siniestros que las demás entidades deben girar a la entidad aseguradora, correspondiente a las prestaciones asistenciales pagadas por ésta y los casos a, b y d del numeral 2.2. del presente anexo, para enfermedades laborales durante el año
y que son susceptibles de recobro. Son susceptibles de recobro aquellos siniestros por enfermedad laboral para los cuales a partir de información de mercado sobre el tiempo de afiliación se establece que la entidad tendría un derecho. De manera exclusiva para la determinación de esta posición se debe asumir que la responsabilidad de cada administradora se calcula a prorrata del tiempo de afiliación medido en meses en cada entidad hasta la fecha del primer pago del siniestro sobre el total de meses de afiliación al sistema.
Dicha posición debe expresarse en términos constantes tomando como base el año
usando el Índice de Precios al Consumidor (IPC) que publica el DANE.
es la duración promedio de los siniestros correspondientes a recobros que debió pagar a otra entidad aseguradora en los últimos 5 años (siendo
el primer año), ponderada por el monto de cada uno de los pagos. Esta variable se calcula de acuerdo con la siguiente fórmula:
![]()
Donde:
es el total de los pagos del i-ésimo siniestro realizados en el año
. Se excluyen los pagos correspondientes a pensiones de invalidez y de sobrevivencia.
es el tiempo medido en años transcurrido entre: (i) la fecha del aviso del i-ésimo siniestro y (ii) la fecha del último pago del i-ésimo siniestro en el año
.
es el conjunto de siniestros que debió pagar a otra entidad aseguradora por concepto de recobros incluyendo los siniestros para los cuales, a partir de información de mercado sobre el tiempo de afiliación, se establece que la entidad tendría una obligación a su cargo. Se excluyen de este conjunto los siniestros para los cuales los pagos corresponden únicamente a pensiones de invalidez y de sobrevivencia.
es la duración promedio de los siniestros correspondientes a recobros que debió recibir de otra entidad aseguradora en los últimos 5 años (siendo
el primer año) ponderada por el monto de cada uno de los pagos. Esta variable se calcula de acuerdo con la siguiente fórmula:
![]()
Donde:
corresponde a los pagos del i-ésimo siniestro realizados en el año
. Se excluyen los pagos correspondientes a pensiones de invalidez y de sobrevivencia.
es el tiempo medido en años transcurrido entre: (i) la fecha del aviso del i-ésimo siniestro y (ii) la fecha del último pago del i-ésimo siniestro en el año
.
es el conjunto de siniestros correspondientes a recobros que debió recibir de otra entidad aseguradora, excluyendo los siniestros respecto de los cuales existen controversias con otras entidades frente a la posibilidad de recobro y los siniestros para los cuales los pagos corresponden únicamente a pensiones de invalidez y de sobrevivencia.
es el factor de recobros efectivos medido como:
![]()
Donde:
corresponde al monto al cierre del año
de los recobros pagados por otras administradoras correspondientes a las prestaciones asistenciales asumidas por la entidad en los casos a, b y d del numeral 2.2. del presente anexo durante el año
y que componen la
. Dicho monto debe expresarse en términos constantes tomando como base el año
usando el Índice de Precios al Consumidor (IPC) que publica el DANE.
es la reserva mínima calculada para el código de enfermedad
de acuerdo con la clasificación internacional de enfermedades seleccionadas, determinada a partir de los criterios contenidos en el numeral 3.3. del presente anexo.
es la tasa de incidencia calculada para el código de enfermedad
de acuerdo con la clasificación internacional de enfermedades seleccionadas, determinada a partir de los criterios contenidos en el numeral 3.3. del presente anexo.
son los afiliados expuestos que hayan estado afiliados a la administradora de riesgos laborales en algún momento y luego hayan estado afiliados en otra, medidos por su tiempo de exposición en la administradora respecto al total del tiempo de afiliación al sistema, neto de aquellos expuestos que estuvieron afiliados con otras administradoras de riesgos laborales y hayan terminado su afiliación con la administradora, considerando también el tiempo de exposición que corresponda a la entidad. Para efectos del cálculo de este término, la exposición en la administradora será equivalente al tiempo de afiliación.
se calcula de acuerdo con la siguiente fórmula:
![]()
Donde:
son los afiliados expuestos traspasados que hayan estado afiliados a la administradora de riesgos laborales en algún momento y luego hayan estado afiliados en otra, medidos por su tiempo de exposición en la administradora respecto al total del tiempo de afiliación al sistema de riesgos laborales. Para efectos del cálculo de este término, la exposición en la administradora será equivalente al tiempo de afiliación.
son los afiliados expuestos recibidos que hayan estado con otras administradoras de riesgos laborales y que el último asegurador haya sido o sea la administradora de riesgos que realiza el cálculo, medidos por su tiempo de exposición en la administradora respecto al total del tiempo de afiliación al sistema de riesgos laborales. Para efectos del cálculo de este término, la exposición en la administradora será equivalente al tiempo de afiliación.
son los afiliados expuestos que ya han tenido recobros en años anteriores por las enfermedades seleccionadas a partir de los criterios contenidos en el numeral 3.3. del presente anexo.
es el factor de mortalidad de mercado. Para el cálculo de este parámetro las entidades pueden acudir a repositorios centralizados de información elaborados por terceros expertos que consoliden información agregada y/o a la información suministrada por las demás administradoras. Esta variable se calcula de acuerdo con la siguiente fórmula:
![]()
Donde:
es el número de afiliados al sistema de riesgos laborales calculado con base en la información disponible a partir de 2009 y hasta
.
son los afiliados al sistema de riesgos laborales con decremento por mortalidad para el año
, calculados de forma recursiva de la siguiente manera:

Donde:
son los afiliados al sistema de riesgos laborales con decremento por mortalidad para 2009.
es el número de afiliados al sistema de riesgos laborales en 2009.
son los afiliados al sistema de riesgos laborales con decremento por mortalidad para el año
.
son los afiliados al sistema de riesgos laborales con decremento por mortalidad para el año
.
es el número de nuevos afiliados al sistema de riesgos laborales para el año
.
: es el año para el que se tiene información disponible, donde
, hasta llegar de manera sucesiva a
.
es el índice del año para el que se tiene información disponible. Este varía entre 2 y
.
es la probabilidad de sobrevivencia promedio ponderada de la cohorte
, determinada empleando las tablas de mortalidad de rentistas y de rentistas inválidos, expedidas por la SFC vigentes a la fecha de cálculo. La probabilidad será calculada como un promedio ponderado entre las tablas de mortalidad de mujeres y las tablas de mortalidad de hombres como se muestra a continuación:
![]()
Donde:
es el conjunto de estados en los que se pueden clasificar los afiliados al sistema de riesgos laborales. Los estados posibles son: (i) hombre no inválido, (ii) mujer no inválida, (iii) hombre en estado de invalidez, y (iv) mujer en estado de invalidez.
es el número de afiliados al sistema de riesgos laborales para edad
en el estado
en el año
.
es la probabilidad de sobrevivencia de los afiliados para la edad
en la edad
en el estado
en el año
, determinada empleando las tablas de mortalidad de rentistas y de rentistas inválidos, expedidas por la SFC vigentes a la fecha de cálculo.
es el número de afiliados al sistema de riesgos laborales en el año
calculado con base en la información disponible a partir de 2009 y hasta
.
3.2. Cálculo del monto máximo de acumulación de la reserva
Las entidades aseguradoras deben acumular la reserva técnica de enfermedad laboral hasta alcanzar un saldo equivalente al resultado de la siguiente formula. El cálculo del monto máximo de acumulación debe realizarse a más tardar el 31 de marzo de cada año calendario, tomando la información con corte al 31 de diciembre del año inmediatamente anterior.
![]()
Donde:
es el monto máximo de acumulación de la reserva de enfermedad laboral al final del año
.
: es el año calendario inmediatamente anterior a la fecha de cálculo.
es la posición total deudora para el año
. Es el monto total de los siniestros que la entidad aseguradora debe girar a las demás entidades correspondientes a las prestaciones asistenciales pagadas por éstas y los casos a, b y d del numeral 2.2. del presente anexo, para las enfermedades laborales durante el año
y que son susceptibles de recobro. Son susceptibles de recobro aquellas prestaciones de siniestros por enfermedad laboral para los cuales, a partir de información de mercado sobre el tiempo de afiliación, se establece que la entidad tendría una obligación a su cargo. De manera exclusiva para la determinación de esta posición se debe asumir que la responsabilidad de cada administradora se calcula a prorrata del tiempo de afiliación medido en meses en cada entidad hasta la fecha del primer pago del siniestro sobre el total de meses de afiliación al sistema.
Dicha posición debe expresarse en términos constantes tomando como base el año
usando el Índice de Precios al Consumidor (IPC) que publica el DANE.
es la posición total acreedora para el año
. Corresponde al monto total de los siniestros que las demás entidades deben girar a la entidad aseguradora correspondiente a las prestaciones asistenciales pagadas por ésta y los casos a, b y d del numeral 2.2. del presente anexo, para enfermedades laborales durante el año
y que son susceptibles de recobro. Son susceptibles de recobro aquellos siniestros por enfermedad laboral para los cuales, a partir de información de mercado sobre el tiempo de afiliación, se establece que la entidad tendría un derecho. De manera exclusiva para la determinación de esta posición se debe asumir que la responsabilidad de cada administradora se calcula a prorrata del tiempo de afiliación medido en meses en cada entidad hasta la fecha del primer pago del siniestro sobre el total de meses de afiliación al sistema.
Dicha posición debe expresarse en términos constantes tomando como base el año
usando el Índice de Precios al Consumidor (IPC) que publica el DANE.
es la duración máxima de los siniestros correspondientes a recobros que debió pagar a otra entidad aseguradora en los últimos 5 años (siendo
el primer año) ponderada por el monto de cada uno de los pagos de estos, calculada con la siguiente fórmula:
![]()
Donde:
es la duración promedio de los siniestros correspondientes a recobros que debió pagar a otra entidad aseguradora en los últimos 5 años (siendo
el primer año) ponderada por el monto de cada uno de los pagos de estos, calculada con la siguiente fórmula:
![]()
Donde:
es el total de los pagos del i-ésimo siniestro realizados en el año
. Se excluyen los pagos correspondientes a pensiones de invalidez y de sobrevivencia.
es el tiempo medido en años transcurrido entre: (i) la fecha del aviso del i-ésimo siniestro y (ii) la fecha del último pago del i-ésimo siniestro en el año
.
es el conjunto de siniestros que debió pagar a otra entidad aseguradora por concepto de recobros incluyendo los siniestros para los cuales, a partir de información de mercado sobre el tiempo de afiliación, se establece que la entidad tendría una obligación a su cargo. Se excluyen de este conjunto los siniestros para los cuales los pagos corresponden únicamente a pensiones de invalidez y de sobrevivencia.
es la desviación estándar de la duración de los siniestros correspondientes a recobros que debió pagar a otra entidad aseguradora en los últimos 5 años, siendo
el primer año, calculada con la siguiente fórmula:

: es la duración máxima de los siniestros correspondientes a recobros que debió recibir de otra entidad aseguradora en los últimos 5 años (siendo
el primer año) ponderada por el monto de cada uno de los pagos de estos, calculada con la siguiente fórmula:
![]()
Donde:
: es la duración promedio de los siniestros correspondientes a recobros que debió recibir de otra entidad aseguradora en los últimos 5 años (siendo
el primer año) ponderada por el monto de cada uno de los pagos. Esta variable se calcula de acuerdo con la siguiente fórmula:
![]()
Donde:
corresponde a los pagos del i-ésimo siniestro realizados en el año
. Se excluyen los pagos correspondientes a pensiones de invalidez y de sobrevivencia.
es el tiempo medido en años transcurrido entre: (i) la fecha del aviso del i-ésimo siniestro y (ii) la fecha del último pago del i-ésimo siniestro en el año
.
es el conjunto de siniestros correspondientes a recobros que debió recibir de otra entidad aseguradora, excluyendo los siniestros respecto de los cuales existen controversias con otras entidades frente a la posibilidad de recobro y los siniestros para los cuales los pagos corresponden únicamente a pensiones de invalidez y de sobrevivencia.
es la desviación estándar de la duración de los siniestros correspondientes a recobros que debieron recibir de otra entidad aseguradora en los últimos 5 años, siendo
el primer año, calculada con la siguiente fórmula:

es el factor de recobros efectivos medido como:
![]()
Donde:
corresponde al monto al cierre del año
de los recobros pagados por otras administradoras correspondientes a las prestaciones asistenciales asumidas por la entidad en los casos a, b y d del numeral 2.2. del presente anexo durante el año
y que componen la
. Dicho monto debe expresarse en términos constantes tomando como base el año
usando el Índice de Precios al Consumidor (IPC) que publica el DANE.
es la reserva máxima calculada para el código de enfermedad
de acuerdo con la clasificación internacional de enfermedades seleccionadas determinada a partir de los criterios contenidos en el numeral 3.3. del presente anexo.
es la tasa de incidencia calculada para el código de enfermedad
de acuerdo con la clasificación internacional de enfermedades seleccionadas, determinada a partir de los criterios contenidos en el numeral 3.3. del presente anexo.
son los afiliados expuestos que hayan estado afiliados a la administradora de riesgos laborales en algún momento y luego hayan estado afiliados en otra, medidos por su tiempo de exposición en la administradora respecto al total del tiempo de afiliación al sistema, neto de aquellos expuestos que estuvieron afiliados con otras administradoras de riesgos laborales y hayan terminado su afiliación con la administradora, considerando también el tiempo de exposición que corresponda a la entidad. Para efectos del cálculo de este término, la exposición en la administradora será equivalente al tiempo de afiliación.
se calcula de acuerdo con la siguiente fórmula:
![]()
Donde:
son los afiliados expuestos traspasados que hayan estado afiliados a la administradora de riesgos laborales en algún momento y luego hayan estado afiliados en otra, medidos por su tiempo de exposición en la administradora respecto al total del tiempo de afiliación al sistema de riesgos laborales. Para efectos del cálculo de este término, la exposición en la administradora será equivalente al tiempo de afiliación.
son los afiliados expuestos recibidos que hayan estado con otras administradoras de riesgos laborales y que el último asegurador haya sido o sea la administradora de riesgos que realiza el cálculo, medidos por su tiempo de exposición en la administradora respecto al total del tiempo de afiliación al sistema de riesgos laborales. Para efectos del cálculo de este término, la exposición en la administradora será equivalente al tiempo de afiliación.
son los afiliados expuestos que ya han tenido recobros en años anteriores por las enfermedades seleccionadas a partir de los criterios contenidos en el numeral 3.3. del presente anexo.
es el factor de mortalidad de mercado. Para el cálculo de este parámetro las entidades pueden acudir a repositorios centralizados de información elaborados por terceros expertos que consoliden información agregada y/o a la información suministrada por las demás administradoras. Esta variable se calcula de acuerdo con la siguiente fórmula:
![]()
Donde:
es el número de afiliados al sistema de riesgos laborales calculado con base en la información disponible a partir de 2009 y hasta
.
son los afiliados al sistema de riesgos laborales con decremento por mortalidad para el año
, calculados de forma recursiva de la siguiente manera:

Donde:
son los afiliados al sistema de riesgos laborales con decremento por mortalidad para 2009.
es el número de afiliados al sistema de riesgos laborales en 2009.
son los afiliados al sistema de riesgos laborales con decremento por mortalidad para el año
.
son los afiliados al sistema de riesgos laborales con decremento por mortalidad para el año
.
es el número de nuevos afiliados al sistema de riesgos laborales para el año
.
: es el año para el que se tiene información disponible, donde
, hasta llegar de manera sucesiva a
.
es el índice del año para el que se tiene información disponible. Este varía entre 2 y (
).
es la probabilidad de sobrevivencia promedio ponderada de la cohorte
, determinada empleando las tablas de mortalidad de rentistas y de rentistas inválidos, expedidas por la SFC vigentes a la fecha de cálculo. La probabilidad será calculada como un promedio ponderado entre las tablas de mortalidad de mujeres y las tablas de mortalidad de hombres como se muestra a continuación:
![]()
Donde:
es el conjunto de estados en los que se pueden clasificar los afiliados al sistema de riesgos laborales. Los estados posibles son: (i) hombre no inválido, (ii) mujer no inválida, (iii) hombre en estado de invalidez, y (iv) mujer en estado de invalidez.
es el número de afiliados al sistema de riesgos laborales para edad
en el estado
en el año
.
es la probabilidad de sobrevivencia de los afiliados para la edad
en la edad
en el estado
en el año
, determinada empleando las tablas de mortalidad de rentistas y de rentistas inválidos, expedidas por la SFC vigentes a la fecha de cálculo.
es el número de afiliados al sistema de riesgos laborales en el año
calculado con base en la información disponible a partir de 2009 y hasta
.
3.3. Criterios de selección de los códigos de enfermedades relevantes para la determinación del componente prospectivo del monto mínimo y máximo de la reserva de enfermedad laboral y valoración de la reserva correspondiente a cada uno de ellos
Para el cálculo de los montos mínimos y máximos de la reserva de enfermedad laboral, las entidades aseguradoras deben contemplar un componente prospectivo que recoja el comportamiento esperado de los recobros por enfermedades laborales que por su naturaleza no se encuentran caracterizados en la historia siniestral, de acuerdo con las fórmulas de cálculo del monto mínimo y máximo de la reserva establecidas en los numerales 3.1. y 3.2. del presente anexo.
Las entidades aseguradoras deben seleccionar el conjunto de enfermedades caracterizadas por su alto periodo de latencia o que requieren tratamientos prolongados y respecto de las cuales las bases de datos de indemnizaciones no ofrecen información estadísticamente representativa. Para la selección de tales enfermedades, las entidades aseguradoras deben contar con el criterio de los auditores médicos y/o pueden acudir a repositorios centralizados de información elaborados por terceros expertos que consoliden información agregada del mercado colombiano o de otros mercados con características comparables.
Para cada una de las enfermedades seleccionadas para el cálculo del componente prospectivo, las entidades aseguradoras deben emplear el criterio de auditores o médicos especializados en la enfermedad y la información de siniestros disponible y/o pueden acudir a repositorios centralizados de información elaborados por terceros expertos que consoliden información agregada del mercado colombiano o de otros mercados con características comparables que permitan determinar: (i) la tasa de incidencia, (ii) el periodo de latencia, (iii) la duración del tratamiento, (iv) la tasa de laboralidad, entendida como la probabilidad de que un determinado padecimiento sea considerado como de origen laboral, (v) la consecuencia esperada de la enfermedad que puede ser el pago de prestaciones asistenciales y/o económicas, y (vi) el costo mínimo y máximo de las prestaciones asistenciales y económicas correspondientes.
Las administradoras de riesgos laborales deben revisar y actualizar como mínimo cada 3 años los parámetros mencionados en el presente subnumeral.
4. Liberación de la reserva de enfermedad laboral
La reserva de recobros de enfermedad laboral solo podrá ser utilizada para el pago de recobros de otra administradora que repita contra la aseguradora por prestaciones económicas y asistenciales derivadas de enfermedades laborales.
En los términos del parágrafo del artículo 2.31.4.4.8 del Decreto 2555 de 2010 y demás normas que lo modifiquen, sustituyan o adicionen, el 31 de marzo de cada año, las entidades aseguradoras podrán liberar parcialmente: (i) hasta el valor que exceda el monto máximo de acumulación, o (ii) hasta el valor que exceda el monto mínimo de acumulación cuando de manera consecutiva en los últimos 5 años se acredite una posición neta acreedora.
Lo anterior, sin perjuicio de su obligación de seguir constituyendo esta reserva con el 2% de las primas devengadas mensualmente.
CIRCULAR EXTERNA - ESTADO DE SITUACIÓN FINANCIERA DE APERTURA -ESFA.
<Consultar Anexo 2.0 directamente en el siguiente enlace: https://normograma.com/documentospdf/PDF/C_SF_0013_2025_ANEXO_2.0.xlsx
INFORMACIÓN ESTADÍSTICA SOBRE EL COMPORTAMIENTO DE LA SINIESTRALIDAD DE LA ENFERMEDAD LABORAL.
1. Ámbito de aplicación
De acuerdo con las instrucciones del numeral 2 del anexo 2 del capítulo XXXIV de la CBCF, las entidades aseguradoras autorizadas para operar el ramo de riesgos laborales deben recopilar, actualizar y mantener a disposición de la SFC la información sobre el comportamiento de la siniestralidad y los recobros por enfermedades laborales, de acuerdo con las instrucciones del presente anexo.
2. Información de expuestos
Las entidades aseguradoras autorizadas para operar el ramo de riesgos laborales deben recopilar para cada uno de sus afiliados la siguiente información:
| Variable | Descripción |
| Tipo de identificación del afiliado | Corresponde al tipo de identificación del afiliado. Registre el código de tipo de identificación de acuerdo con la Tabla tipo de identificación, la cual puede ser consultada en la página web www.superfinanciera.gov.co, en la ruta Inicio > Interés del Vigilado > Reportes > Índice de reportes de información a la Superintendencia Financiera > Tablas anexas para el reporte de información. |
| Número de identificación del afiliado | Corresponde al número de identificación del afiliado |
| Tipo de vinculador | Corresponde al tipo de vinculador del afiliado, el cual puede ser: 1= Empleador 2= Contratante 3= Cooperativa 4= Persona natural 5= Independiente |
| Tipo de identificación del vinculador (Empresa) | Corresponde al tipo de identificación del vinculador. Registre el código de tipo de identificación de acuerdo con la Tabla tipo de identificación, la cual puede ser consultada en la página web www.superfinanciera.gov.co, en la ruta Inicio > Interés del Vigilado > Reportes > Índice de reportes de información a la Superintendencia Financiera > Tablas anexas para el reporte de información. |
| Número de identificación del vinculador (Empresa) | Corresponde al número de identificación del vinculador del afiliado. Si es NIT incluir el dígito de verificación sin utilizar separaciones, guiones, puntos, etc. |
| Tipo de persona | Corresponde al tipo de persona del vinculador, el cual puede ser: 1= Jurídica 2= Natural |
| Código de actividad económica de la empresa | Corresponde al código de actividad económica de la empresa a la cual está vinculado el afiliado, de acuerdo con el Decreto 1607 de 2002 o la norma que lo modifique o sustituya. |
| Clase de riesgo asignada a la Empresa | Corresponde a la clase de riesgo asignada a la empresa a la cual se encuentra vinculado el afiliado, de acuerdo con la clasificación del Decreto Ley 1295 de 1994 o la norma que lo modifique o sustituya. |
| Código centro de trabajo | Corresponde al Código asignado por la empresa a los centros de trabajo. Este código debe ser idéntico al reportado al Registro Único de Afiliados -RUAF y la Planilla Integrada de Liquidación de Aportes -PILA. |
| Código de actividad del centro de trabajo | Corresponde al código de actividad económica de del centro de trabajo en el cual se desempeña el afiliado, de acuerdo con el Decreto 1607 de 2002 o la norma que lo modifique o sustituya. |
| Clase de riesgo asignada al centro de trabajo | Corresponde a la clase de riesgo asignada al centro de trabajo, de acuerdo con la clasificación del Decreto Ley 1295 de 1994 o la norma que lo modifique o sustituya. |
| Fecha de nacimiento del afiliado | Corresponde a la fecha de nacimiento del afiliado, en formato AAAAMMDD. |
| Sexo del afiliado | Corresponde al sexo del afiliado registrado en el documento de identidad, el cual puede ser: F= Femenino M= Masculino |
| Tipo de vinculación | Corresponde al tipo de vinculación del afiliado, el cual puede ser: 1= Dependiente 2= Planta 3= Misión 4= Cooperado 5= Independiente 6= Estudiante o aprendiz |
| Código DIVIPOLA del municipio del centro de trabajo | Corresponde al Código de División político-administrativa de Colombia del municipio en el cual se localiza el centro de trabajo en el cual se desempeña el afiliado. |
| Fecha de inicio de vinculación del afiliado | Corresponde a la(s) fecha(s) en la(s) cual(es) el afiliado inició vínculo con la administradora de riesgos laborales, en formato AAAAMMDD. |
| Fecha de fin de vinculación | Corresponde a la(s) fecha(s) en la(s) cual(es) el afiliado se retiró de la administradora de riesgos laborales, en formato AAAAMMDD. |
| Número de días de cotización del afiliado | Corresponde a la sumatoria de días laborados cotizados durante el periodo de afiliación del afiliado. En caso de no presentar pago se reportan 30 días de cotización. |
3. Información de siniestros
Para cada una de las prestaciones pagadas y recobradas por la entidad por enfermedad laboral, se debe recopilar la siguiente información, separando (a) aquellos siniestros pagados total o parcialmente por la entidad que no corresponden a recobros de otra administradora de riesgos laborales y (b) los siniestros pagados correspondientes a recobros de otra administradora de riesgos laborales.
a. Siniestros pagados por la administradora excluyendo los correspondientes a recobros de otra administradora de riesgos laborales
Para cada una de las prestaciones por enfermedad laboral pagadas por la administradora deben recopilarse los siguientes campos. Se excluyen los pagos correspondientes a recobros de otra administradora de riesgos laborales.
| Descripción variable | Descripción |
| Código de siniestro | Corresponde al número de identificación del siniestro de acuerdo con la numeración propia de la entidad aseguradora. |
| Código de diagnóstico principal confirmado para la enfermedad laboral | Corresponde al código principal del diagnóstico según la Clasificación Internacional de Enfermedades y Problemas relacionados con la Salud. Décima Revisión (CIE-10) |
| Tipo de prestación afectado | Corresponde a la(s) prestación(es) afectada(s) en el siniestro, la cual puede ser: 1= Prestación asistencial 2= Incapacidad Temporal 3= Incapacidad Permanente Parcial 4= Pensión de Invalidez 5= Pensión de sobrevivencia 6= Auxilio funerario 7= Honorarios por Juntas Calificación 8= Gastos directos de Honorarios y Judiciales 9= Otros gastos directos asociados al siniestro |
| Estado del afiliado siniestrado | Corresponde al código del último estado del afiliado siniestrado: 1= Válido 2= Inválido 3= Muerto |
| Fecha de aviso del siniestro | Corresponde a la fecha de aviso del siniestro a la entidad aseguradora en el formato AAAAMMDD |
| Fecha de diagnóstico | Corresponde a la fecha de diagnóstico de la enfermedad laboral en el formato AAAAMMDD |
| Fecha de estructuración de la invalidez | Corresponde a la fecha de estructuración de la invalidez en el formato AAAAMMDD |
| Fecha de muerte del afiliado | Corresponde a la fecha de muerte del afiliado siniestrado en el formato AAAAMMDD |
| Tipo de identificación del afiliado | Corresponde al tipo de identificación del afiliado. Registre el código de tipo de identificación de acuerdo con la Tabla tipo de identificación, la cual puede ser consultada en la página web www.superfinanciera.gov.co, en la ruta Inicio > Interés del Vigilado > Reportes > Índice de reportes de información a la Superintendencia Financiera > Tablas anexas para el reporte de información. |
| Número de identificación del afiliado | Corresponde al número de identificación del afiliado siniestrado. |
| Tipo de identificación del vinculador | Corresponde al tipo de identificación del vinculador. Registre el código de tipo de identificación de acuerdo con la Tabla tipo de identificación, la cual puede ser consultada en la página web www.superfinanciera.gov.co, en la ruta Inicio > Interés del Vigilado > Reportes > Índice de reportes de información a la Superintendencia Financiera > Tablas anexas para el reporte de información. |
| Número de identificación del vinculador (Empresa) | Corresponde al número de identificación del vinculador. Si es NIT incluir el dígito de verificación sin utilizar separaciones, guiones, puntos, etc. |
| Código de actividad del centro de trabajo | Corresponde al código de actividad económica de del centro de trabajo en el cual se desempeña el afiliado, de acuerdo con el Decreto 1607 de 2002 o la norma que lo modifique o sustituya. |
| Clase de riesgo asignado al centro de trabajo | Corresponde a la clase de riesgo asignada al centro de trabajo, de acuerdo con la clasificación del Decreto Ley 1295 de 1994 o la norma que lo modifique o sustituya. |
| Código DIVIPOLA del municipio del centro de trabajo | Corresponde al Código de División político-administrativa de Colombia del municipio en el cual se localiza el centro de trabajo en el cual se desempeña el afiliado. |
| Valor pagado durante el año | Reporte el monto en pesos pagado durante el año por la prestación indicada. Número entero positivo o negativo sin decimales y sin separadores de miles. No incluir pagos por concepto de mesada pensional |
| Reserva matemática inicial. | Corresponde al monto de la reserva matemática inicial de la renta de invalidez o sobrevivencia. Número entero positivo o negativo sin decimales y sin separadores de miles. |
| Fecha de constitución de la reserva matemática inicial | Corresponde a la fecha de constitución de la reserva matemática inicial |
| Reserva matemática a la fecha del recálculo con parámetros anteriores | Corresponde al monto de la reserva matemática a la fecha del recalculo calculada bajo los parámetros del último recálculo. |
| Reserva matemática a la fecha del recálculo con nuevos parámetros | Corresponde al monto de la reserva matemática a la fecha del recalculo calculada bajo los nuevos parámetros que dan lugar al recálculo. |
| Fecha de recálculo de la reserva matemática | Corresponde a la fecha del último recálculo realizado. |
| IBL promedio de 6 o 12 meses (según corresponda a la prestación) utilizado para cálculo de la prestación económica asociada al siniestro. | Corresponde al monto del Ingreso Base de Liquidación promedio de 6 o 12 meses a la fecha de ocurrencia del siniestro, según corresponda a la prestación. Número entero sin decimales y sin separadores de miles. |
| Número de días pagados por incapacidad temporal | Corresponde al número de días pagados para la prestación de incapacidad temporal. Número entero. |
| Mesada pensional inicial | Corresponde al monto de la mesada pensional inicial. Número entero sin decimales y sin separadores de miles. |
| Número de mesadas al año | Corresponde al número de mesadas que se pagan al año. |
| Suma de mesadas retroactivas | Corresponde a al monto de las mesadas retroactivas pagadas. Valor entero sin decimales. |
| Pérdida de capacidad laboral vigente | Corresponde al porcentaje de pérdida de capacidad laboral del último dictamen en firme de pérdida de capacidad laboral. Número real positivo, máximo dos decimales. |
| Número de identificación del dictamen de PCL en firme. | Corresponde al número que identifica el último dictamen de la pérdida de capacidad laboral en firme. |
b. Siniestros pagados correspondientes a recobros de otra administradora de riesgos laborales
Para cada uno de los siniestros pagados por enfermedad laboral correspondientes a recobros de otras administradoras de riesgos laborales, las entidades aseguradoras deben recopilar los siguientes campos:
| Variable | Descripción |
| Código de siniestro | Corresponde al número de identificación del siniestro de acuerdo con la numeración propia de la entidad aseguradora. |
| Código de siniestro recobrante | Corresponde al número de identificación del siniestro de acuerdo con la numeración de la entidad aseguradora recobrante. |
| Tipo de identificación del afiliado | Corresponde al tipo de identificación del afiliado. Registre el código de tipo de identificación de acuerdo con la Tabla tipo de identificación, la cual puede ser consultada en la página web www.superfinanciera.gov.co, en la ruta Inicio > Interés del Vigilado > Reportes > Índice de reportes de información a la Superintendencia Financiera > Tablas anexas para el reporte de información. |
| Número de identificación del afiliado | Corresponde al número de identificación del afiliado siniestrado. |
| Monto recobrado | Corresponde al monto en pesos recobrado por otra entidad durante el año. |
| Monto pagado por el recobro | Corresponde al monto en pesos pagado por el recobro de otra entidad. |
| Código de ARL que recobra | Corresponde al código de la entidad que presenta el recobro. El código debe corresponder al asignado por la SFC, el cual podrá consultar en la página de web www.superfinanciera.gov.co, en la ruta Industrias supervisadas > Entidades vigiladas por la Superintendencia Financiera de Colombia > Lista general de entidades vigiladas por la Superintendencia Financiera de Colombia. |
| Fecha de recobro | Corresponde a la fecha en la cual la administradora tiene conocimiento de la sentencia en firme de una autoridad judicial, respecto de la procedencia del recobro por parte de otra administradora o, la fecha en que mediante información de mercado tiene conocimiento de un siniestro objeto de recobro por parte de otra administradora. |
| Fecha en la que paga el recobro | Corresponde a la fecha en la cual la administradora realiza el pago del recobro a la administradora recobrante. |
4. Información de recobros
Para cada uno de los siniestros recobrados a otra administradora de riesgos laborales, las entidades deben recopilar la siguiente información:
| Variable | Descripción |
| Código de siniestro | Corresponde al número de identificación del siniestro de acuerdo con la numeración propia de la entidad aseguradora. |
| Tipo de identificación del afiliado | Corresponde al tipo de identificación del afiliado. Registre el código de tipo de identificación de acuerdo con la Tabla tipo de identificación, la cual puede ser consultada en la página web www.superfinanciera.gov.co, en la ruta Inicio > Interés del Vigilado > Reportes > Índice de reportes de información a la Superintendencia Financiera > Tablas anexas para el reporte de información. |
| Número de identificación del afiliado | Corresponde al número de identificación del afiliado siniestrado. |
| Monto recobrado a la ARL | Corresponde al monto en pesos recobrado a otra administradora de riesgos laborales. |
| Monto recibido | Corresponde al monto en pesos recibido por concepto de recobro a otra administradora. |
| ARL a la cual recobra | Corresponde al código de la entidad a la cual se presenta el recobro. El código debe corresponder al asignado por la SFC, el cual podrá consultar en la página de web www.superfinanciera.gov.co, en la ruta Industrias supervisadas > Entidades vigiladas por la Superintendencia Financiera de Colombia > Lista general de entidades vigiladas por la Superintendencia Financiera de Colombia. |
| Fecha de recobro | Corresponde a la fecha en la cual la administradora tiene conocimiento de la sentencia en firme de una autoridad judicial, respecto de la procedencia del recobro de la administradora o, la fecha en que mediante información de mercado otra administradora tiene conocimiento de un siniestro objeto de recobro. |
| Fecha en la que recibe el recobro | Corresponde a la fecha en la cual la administradora recibe el pago del recobro por parte otra administradora. |
5. Información de la reserva de recobros de enfermedad laboral
Las administradoras de riesgos laborales deben mantener a disposición de la SFC la información base del cálculo del componente prospectivo de la reserva de enfermedad laboral de que trata el subnumeral 3.3 del Anexo 2 del Capítulo XXXIV de la CBCF. Para cada código del diagnóstico de la enfermedad seleccionada bajo los criterios que señala el mencionado subnumeral se debe recopilar la siguiente información:
| Variable | Descripción |
| CIE | Corresponde al código de la enfermedad seleccionada según la Clasificación Internacional de Enfermedades y Problemas relacionados con la Salud. Décima Revisión (CIE-10). |
| Costo mínimo prestaciones asistenciales | Corresponde al costo mínimo anual en pesos de las prestaciones asistenciales calculado para la enfermedad seleccionada. |
| Costo máximo prestaciones asistenciales | Corresponde al costo máximo anual en pesos de las prestaciones asistenciales calculado para la enfermedad seleccionada. |
| Costo mínimo prestaciones económicas | Corresponde al costo mínimo anual en pesos de las prestaciones económicas calculado para la enfermedad seleccionada. |
| Costo máximo prestaciones económicas | Corresponde al costo máximo anual en pesos de las prestaciones económicas calculado para la enfermedad seleccionada. |
| Tasa de incidencia | Corresponde a la tasa de incidencia calculada para la enfermedad seleccionada. |
| Tasa de laboralidad | Corresponde a la tasa de laboralidad calculada para la enfermedad seleccionada. |
METODOLOGÍA DE CÁLCULO DE LA RESERVA DE DESVIACIÓN DE SINIESTRALIDAD.
Las entidades aseguradoras deben calcular la reserva de desviación de siniestralidad de acuerdo con las instrucciones del numeral 5.6. del Capítulo XXXIV de la CBCF, y teniendo en cuenta la metodología regulada en el presente anexo, que parte de la siguiente expresión:
![]()
Donde:
corresponde a la reserva técnica de desviación de siniestralidad para el ramo de riesgos laborales.
corresponde a la máxima responsabilidad probable a cargo de la entidad aseguradora.
corresponde a la máxima prioridad pactada en el contrato de reaseguro catastrófico.
corresponde a la máxima pérdida probable por los eventos catastróficos excluidos en el contrato de reaseguro catastrófico.
corresponde a la pérdida esperada durante la vigencia del contrato de reaseguro a cargo de la entidad aseguradora por siniestros atípicos.
Las diferentes variables que componen el cálculo de la reserva de desviación de siniestralidad se determinan de acuerdo con las siguientes fórmulas:
1. Máxima responsabilidad probable a cargo de la entidad aseguradora
La máxima responsabilidad probable a cargo de la entidad aseguradora se calcula como:
![]()
Donde:
: corresponde a la responsabilidad de la entidad aseguradora por el evento
, calculada de acuerdo con siguiente fórmula:
![]()
Donde:
corresponde al
evento del conjunto de eventos I determinados de acuerdo con el subnumeral 1.6.4.2.1 del capítulo II del título IV de la parte II de la Circular Básica Jurídica, que están cubiertos por el contrato de reaseguro catastrófico.
corresponde a la máxima pérdida probable por el evento
.
corresponde a la capacidad de los contratos de reaseguro para el evento
, entendida como la responsabilidad del reasegurador en exceso de la prioridad. En caso de que la entidad aseguradora cuente con un contrato de reaseguro por riesgo y evento, esta variable se determinará como la capacidad total del contrato descontando el monto total de los siniestros esperados que afectarán el contrato de reaseguro por riesgo incluyendo los siniestros atípicos. La estimación de estos siniestros esperados debe realizarse a partir de modelos técnicamente sustentados y basarse en la experiencia de siniestros propia de la entidad aseguradora. En todo caso, podrán realizarse supuestos propios razonables construidos a partir de información del mercado colombiano y/o de otros mercados con características comparables. En estos supuestos deben asumirse cargos adicionales por incertidumbre.
2. Máxima prioridad pactada en el contrato de reaseguro catastrófico
La máxima prioridad pactada en el contrato de reaseguro catastrófico se calcula como:
![]()
Donde:
corresponde a la prioridad del contrato de reaseguro para el evento
, adicionando el monto correspondiente a cualquier otra cláusula o condición del contrato de reaseguro catastrófico por la cual se pongan a cargo de la entidad aseguradora porciones adicionales de indemnización, como en el caso de los deducibles agregados, entre otros.
: corresponde al
-ésimo evento del conjunto de eventos determinados de acuerdo con el subnumeral 1.6.4.2.1 del capítulo II del título IV de la parte II de la Circular Básica Jurídica, que están cubiertos por el contrato de reaseguro catastrófico.
3. Máxima pérdida probable por los eventos catastróficos excluidos en el contrato de reaseguro catastrófico
La máxima pérdida probable por los eventos catastróficos excluidos en el contrato de reaseguro catastrófico se calcula como:
![]()
Donde:
corresponde a la máxima pérdida probable por el evento
excluido en el contrato de reaseguro catastrófico.
: corresponde al
-ésimo evento del conjunto de eventos determinados de acuerdo con el subnumeral 1.6.4.2.1 del capítulo II del título IV de la parte II de la Circular Básica Jurídica, que están excluidos de la cobertura del contrato de reaseguro catastrófico.
4. Pérdida esperada durante la vigencia del contrato de reaseguro a cargo de la entidad aseguradora por siniestros atípicos
La pérdida esperada durante la vigencia del contrato de reaseguro a cargo de la entidad aseguradora por siniestros atípicos, se calcula como:

En caso de que la entidad aseguradora cuente con un contrato de reaseguro por riesgo y evento esta variable
tomará el valor de cero.
Donde:
es el coeficiente de correlación entre el evento
y el evento
. Se define
, para todo
y
, sin perjuicio de que las entidades aseguradoras puedan utilizar modelos de medición propios o de industria para el cálculo de las correlaciones entre los diferentes eventos, siempre y cuando se presenten a consideración previa de la SFC.
corresponde a la máxima pérdida neta esperada modelada para un evento
que da lugar a un siniestro atípico, y se calcula como:
![]()
Donde:
corresponde a la máxima pérdida esperada modelada para un evento
que da lugar a un siniestro atípico.
: corresponde al
-ésimo evento que da lugar a un siniestro atípico esperado durante la vigencia del contrato de reaseguro del conjunto de eventos
determinados en el subnumeral 1.6.4.2.1 del capítulo II del título IV de la parte II de la Circular Básica Jurídica, y modelados de acuerdo con el literal (c) del numeral 5 del presente capítulo.
corresponde a la capacidad de los contratos de reaseguro para el evento
cubierto en el contrato de reaseguro.
: corresponde a la máxima pérdida neta esperada modelada para un evento
que da lugar a un siniestro atípico, y se calcula como:
![]()
Donde:
corresponde a la máxima pérdida esperada modelada para un evento
que da lugar a un siniestro atípico.
: corresponde al
-ésimo evento que da lugar a un siniestro atípico esperado durante la vigencia del contrato de reaseguro, del conjunto de eventos
determinados en el subnumeral 1.6.4.2.1 del capítulo II del título IV de la parte II de la Circular Básica Jurídica, y modelados de acuerdo con el literal (c) del numeral 5 del presente capítulo.
corresponde a la capacidad de los contratos de reaseguro para el evento
cubierto en el contrato de reaseguro.
5. Cuantificación de las pérdidas esperadas y/o probables
Para la cuantificación de las pérdidas esperadas y/o probables señaladas en las fórmulas anteriores, las entidades aseguradoras deben aplicar los siguientes criterios técnicos:
a. Para el cálculo de la máxima responsabilidad probable a cargo de la entidad aseguradora
, las entidades aseguradoras deben cuantificar la máxima pérdida probable para cada uno de los eventos
, conforme al subnumeral 1.6.4.2.1. del capítulo II del título IV de la parte II de la Circular Básica Jurídica.
La entidad aseguradora debe tomar la
y descontar la capacidad del contrato de reaseguro para dicho evento
. La capacidad de los contratos de reaseguro catastrófico debe ser ajustada por el riesgo de contraparte de los reaseguradores participantes. Para el cálculo del ajuste por riesgo de contraparte, la entidad aseguradora debe emplear una metodología que cumpla con las instrucciones del capítulo XXXV de la CBCF.
Cuando la entidad aseguradora haya amparado múltiples ramos de seguro bajo un mismo contrato de reaseguro, no debe deducir el 100% de la capacidad de los contratos. Para determinar la proporción de la capacidad de los contratos de reaseguro que podrá descontarse, la entidad debe estimar la pérdida probable y probabilidad de afectación de los contratos de reaseguro por eventos correspondientes a los ramos distintos de riesgos laborales, conforme al subnumeral 1.6.4.2.1.4. del capítulo II del título IV de la parte II de la Circular Básica Jurídica.
Por último, la entidad aseguradora debe seleccionar la máxima responsabilidad a su cargo.
b. La entidad aseguradora debe identificar y cuantificar la máxima pérdida probable por cada uno de los eventos catastróficos no amparados en el contrato de reaseguro
, de acuerdo con lo establecido en el subnumeral 1.6.4.2.1.2. del capítulo II del título IV de la parte II de la Circular Básica Jurídica. Por último, la entidad aseguradora debe seleccionar la máxima pérdida probable por estos eventos
.
c. Para el cálculo de la
las entidades aseguradoras deben identificar y cuantificar la pérdida esperada de aquellos eventos no catastróficos de baja frecuencia y alta severidad que pueden causar desviaciones en la siniestralidad esperada del ramo, de acuerdo con los siguientes criterios:
i. La entidad aseguradora debe modelar el número de siniestros atípicos que pueden afectar la cartera durante la vigencia del contrato de reaseguro y el costo esperado bruto de cada uno de estos eventos. No será admisible tomar como referencia el costo promedio de los siniestros, considerando que se pretende identificar aquellos que por sus características pueden superar las condiciones o límites pactados en los contratos de reaseguro operativo por riesgo.
ii. Debe basarse en la experiencia de siniestros propia de la entidad aseguradora. La entidad debe emplear una base de datos con un historial de siniestros de al menos 10 años. Cuando la entidad disponga de más información debe emplearla. En todo caso, las entidades podrán incorporar supuestos propios razonables los cuales deben ser construidos a partir de información del mercado colombiano y/o de otros mercados con características comparables. Las entidades aseguradoras que inicien la operación del ramo o que estén en el periodo requerido para acumular la experiencia de siniestros solicitada, deben basarse en la información histórica que han acumulado a la fecha de cálculo y supuestos propios razonables. Los supuestos propios razonables deben ser construidos a partir de información del mercado colombiano y/o de otros mercados con características comparables. En todo caso, en estos supuestos deben asumirse cargos adicionales por incertidumbre.
iii. En caso de que la entidad aseguradora haya variado la composición o perfil de la cartera a la fecha de cálculo frente a la experiencia histórica, en la metodología de cálculo debe incorporar un parámetro o variable que reconozca la incertidumbre asociada a cambios en la composición de la cartera.
iv. Para cada uno de los siniestros modelados, la entidad aseguradora debe descontar la capacidad de los contratos de reaseguro.
La capacidad de los contratos de reaseguro debe ser ajustada por el riesgo de contraparte de los reaseguradores participantes. Para el cálculo del ajuste por riesgo de contraparte, la entidad aseguradora debe emplear una metodología que cumpla con las instrucciones del capítulo XXXV de la CBCF.
Las entidades aseguradoras podrán descontar de la pérdida esperada de eventos no catastróficos, la capacidad de los contratos de reaseguro que se asocien al ramo de riesgos laborales. Cuando la entidad aseguradora haya amparado múltiples ramos de seguro, no podrá deducir el 100% de la capacidad de los contratos de reaseguro suscritos. Para determinar la proporción de la capacidad de los contratos de reaseguro que podrá descontar, la entidad debe estimar la pérdida esperada y probabilidad de afectación de los contratos de reaseguro por eventos correspondientes a los ramos distintos de riesgos laborales, conforme al subnumeral 1.6.4.2.1.4 del capítulo II del título IV de la parte II de la Circular Básica Jurídica.
Para poder descontar la capacidad de los contratos de reaseguro
la entidad aseguradora debe llevar a cabo modelaciones que permitan determinar la suficiencia del contrato de reaseguro, para lo cual debe adoptar una metodología actuarial que proyecte los siniestros que afectarán la cartera de la entidad aseguradora y los contratos de reaseguro de exceso de pérdida operativo por riesgo. La metodología empleada en la modelación debe evaluar distintos escenarios de afectación del contrato de reaseguro, de manera tal que se verifiquen las condiciones de dicho contrato. Por ejemplo, para el caso de los contratos operativos por riesgo se debe verificar la suficiencia del límite agregado anual.
v. La
debe corresponder a la raíz cuadrada de la sumatoria de los montos a cargo de la entidad aseguradora correlacionados, determinados de acuerdo con el ordinal (iv) del literal (c) del numeral 5 del presente capítulo.
6. Constitución de la reserva
Trimestralmente las entidades aseguradoras deben destinar el 4% de las primas retenidas durante dicho periodo para la constitución de la reserva de desviación de siniestralidad, de manera progresiva hasta alcanzar el techo o límite de acumulación. En todo caso, las entidades aseguradoras deben acreditar como mínimo un saldo de la reserva de desviación de siniestralidad, calculado de la siguiente manera:
![]()
Donde:
corresponde a la máxima responsabilidad probable a cargo de la entidad aseguradora, calculada de acuerdo con las instrucciones del numeral 1 del presente anexo.
corresponde a la máxima prioridad pactada en el contrato de reaseguro catastrófico, calculada de acuerdo con las instrucciones del numeral 2 del presente anexo.
corresponde a la máxima pérdida probable por los eventos catastróficos excluidos en el contrato de reaseguro catastrófico, calculada de acuerdo con las instrucciones del numeral 3 del presente anexo.
7. Techo o límite de acumulación
El techo o límite superior de acumulación corresponderá al máximo entre: (i) el monto calculado de acuerdo con las instrucciones del presente anexo y (ii) la mitad de las primas emitidas durante los últimos 12 meses, descontando la capacidad de los contratos de reaseguro catastrófico.
Cuando la entidad aseguradora haya amparado múltiples ramos de seguro bajo un mismo contrato de reaseguro, no podrá deducir el 100% de la capacidad de los contratos de reaseguro catastrófico. Para determinar la proporción de la capacidad de los contratos de reaseguro que podrá descontar, la entidad aseguradora debe estimar la pérdida probable y probabilidad de afectación de los contratos de reaseguro por eventos correspondientes a los ramos distintos de riesgos laborales, conforme al subnumeral 1.6.4.2.1.4 del capítulo II del título IV de la parte II de la Circular Básica Jurídica. La capacidad de los contratos de reaseguro debe ser ajustada por el riesgo de contraparte de los reaseguradores participantes. Para el cálculo del ajuste por riesgo de contraparte, la entidad aseguradora debe emplear una metodología que cumpla con las instrucciones del capítulo XXXV de la CBCF.
8. Liberación de la reserva
Las entidades aseguradoras podrán liberar la reserva de desviación de siniestralidad para el pago de siniestros que por su monto o naturaleza puedan justificadamente ser considerados de baja frecuencia y alta severidad, de acuerdo con lo señalado en el artículo 2.31.4.5.1 del Decreto 2555 de 2010. Adicionalmente, las entidades aseguradoras que acrediten excesos podrán liberarlos, siempre y cuando presenten a consideración previa de la SFC las metodologías de cálculo del monto a liberar.
En caso de que la entidad aseguradora libere total o parcialmente esta reserva para el pago de siniestros, dichos recursos deben ser restituidos dentro de un plazo razonable, siempre que presente a consideración previa de la SFC un plan de restitución.
En caso de que la entidad aseguradora modifique la composición de la cartera por encontrarse adelantando un proceso de salida del mercado, debe presentar a consideración previa de la SFC un plan de liberación gradual de la reserva de desviación de siniestralidad, acorde con el comportamiento histórico de los siniestros.
9. Documentación y conservación de información
La documentación e información que conozcan, recopilen, utilicen y generen las entidades aseguradoras en el proceso de cálculo de la reserva de desviación de siniestralidad, junto con sus modificaciones, debe ser conservada por un plazo mínimo de 5 años mediante cualquier medio que asegure su integridad, y debe mantenerse a disposición de la SFC. Este deber aplica sin perjuicio de las demás disposiciones relacionadas con la documentación y conservación de la información.
INFORMACIÓN PARA LA RESERVA MATEMÁTICA PARA EL RAMO DE SEGUROS DE VIDA INDIVIDUAL.
De acuerdo con el subnumeral 5.2.2. del capítulo XXXIV de la CBCF, para efectos de la mejor estimación de la reserva matemática del ramo de seguros de vida individual, las entidades deben contemplar, como mínimo, todos los flujos, rubros y conceptos relevantes, así como los demás asuntos que resulten necesarios de acuerdo con el numeral 3 del presente capítulo. Las entidades deben mantener a disposición de la SFC toda la información relacionada con la mejor estimación de esta reserva, así como la del presente anexo.
1. Lineamientos generales
Para efectos de la preparación de la información en el esquema de que trata el numeral 2 del presente anexo, se deben considerar los siguientes lineamientos:
a. Producto: hace referencia a un contrato de seguro que cuenta con un clausulado depositado en la SFC.
b. Plan: corresponde a una subclasificación de los productos debido a la variación de alguno de los parámetros técnicos de éstos. En el evento de que no exista subclasificación, en los campos correspondientes al código y nombre del plan se deben reportar los mismos del producto.
c. Los campos que se refieran a fechas deben ser diligenciados bajo el formato dd/mm/aaaa.
d. Cuando se trate de campos cuyo valor sea porcentaje, se deben expresar con dos decimales, ejemplo: si es 15.33%, se debe registrar 15.33, sin el signo de porcentaje.
e. Los montos de valores asegurados, primas y reservas deben expresarse en formato numérico, con tres (3) decimales, y en la misma moneda que se defina en el campo “12 – Moneda”.
f. En caso de que deban hacerse aclaraciones o adiciones a la información registrada en cada uno de los campos, la entidad aseguradora debe exponer en la Columna “135-Observaciones” dichas aclaraciones incluyendo, el número de radicación de la nota técnica que las sustenta cuando corresponda.
g. La información debe ser remitida a la SFC cuando ésta así la requiera, con la firma digital del representante legal y del actuario responsable de la entidad.
2. Esquema de información
| Columna | Nombre del Campo | Descripción |
| 1 | Código Producto | Corresponde al código bajo el cual se comercializa o comercializó el producto. Campo obligatorio (Alfanumérico). |
| 2 | Nombre Producto | Corresponde al nombre bajo el cual se comercializa o comercializó el producto. Campo obligatorio (Alfanumérico). |
| 3 | Código Plan | Corresponde al código bajo el cual se comercializa o comercializó el plan en caso de que un mismo producto permita varios planes; de no ser así, debe registrase el mismo código del producto. Campo obligatorio (Alfanumérico). |
| 4 | Nombre Plan | Corresponde al nombre bajo el cual se comercializa o comercializó el plan en caso de que un mismo producto permita varios planes; de no ser así, debe registrase el mismo nombre del producto. Campo obligatorio (Alfanumérico). |
| 5 | Estado Plan | Se debe informar si el plan y/o producto se comercializa actualmente. Deben utilizarse únicamente los siguientes códigos: 1. Se comercializa actualmente. 2. No se comercializa actualmente. Campo obligatorio (Numérico). |
| 6 | Clase de Seguro | Registre el tipo de seguro al que corresponde el plan y/o producto. Deben utilizarse únicamente los siguientes códigos: 1. Vida Entera 2. Temporal a edad “n” 3. Temporal “m” años 4. Dotal a edad “n” 5. Dotal “m” años 6. Temporal a edad “n” con dotal a edad “m” 7. Temporal “m” años con dotal a “n” años 8. Temporal “r” meses 9. Mixto (Combinación de varias clases de seguros en un mismo producto) 10. Otro En caso de ser "10.Otro", informar en la columna 135-Observaciones, la clase de seguro correspondiente. Campo obligatorio (Numérico). |
| 7 | Tabla de Mortalidad prima | Se debe informar la tabla utilizada para el cálculo de la prima del amparo básico. Utilizar únicamente los códigos definidos: 1. TM 55-69 2. TM 84-88 3. TM 98-2003 4. Otra En caso de ser "4. Otra", informar la tabla de mortalidad usada, en la columna 135-Observaciones. Campo obligatorio (Numérico). |
| 8 | Tabla de Mortalidad reserva | Se debe informar la tabla utilizada para el cálculo de la reserva del amparo básico. Utilizar únicamente los códigos definidos: 1. TM 55-69 2. TM 84-88 3. TM 98-2003 4. Otra En caso de ser "4. Otra", informar la tabla de mortalidad usada en la columna 135-Observaciones. Campo obligatorio (Numérico). |
| 9 | Identificación Única de la Póliza | Registre el identificador único que utiliza la compañía para poder acceder a una póliza en su respectivo sistema de información. Campo obligatorio (Alfanumérico). |
| 10 | Sucursal | En caso de que aplique, registrar el código de la sucursal en la cual se expidió la póliza (Numérico). |
| 11 | Póliza Número | Se debe registrar el número asignado a la póliza. Campo obligatorio (Alfanumérico). |
| 12 | Moneda | Se debe informar la moneda a la cual está atada la póliza. Deben utilizarse únicamente los siguientes códigos: 1. 1. Pesos 2. 2. Dólar estadounidense 3. 3. Euro 4. 4. Otra En caso de ser "4. Otra", informar en la columna 135-Observaciones, la moneda utilizada. Campo obligatorio (Numérico). |
| 13 | Equivalencia | Registre la equivalencia en moneda legal de la columna 12-Moneda usando la tasa de cambio de fin del periodo correspondiente a la fecha de corte del reporte. Campo obligatorio (Numérico). |
| 14 | Estado | Se debe seleccionar el código que determina el estado de la póliza: 1. Vigente 2. Prorrogada 3. Saldada Campo obligatorio (Numérico). |
| 15 | Fecha Expedición Inicial | Se debe registrar la fecha inicial de expedición de la póliza. Campo obligatorio (dd/mm/aaaa). |
| 16 | Fecha Inicio Vigencia Última Renovación | Se debe registrar la fecha de inicio de vigencia de la última renovación (vigente). Si no aplica, enviar campo vacío (dd/mm/aaaa). |
| 17 | Cobertura Hasta | Corresponde a la fecha máxima de cobertura, de acuerdo con lo definido en la columna 6. En caso de ser una póliza temporal renovable, debe diligenciarse la fecha máxima de cobertura de la última renovación (vigente) emitida. Para los planes vida entera, no deberá diligenciarse. Si no aplica, enviar campo vacío (dd/mm/aaaa). |
| 18 | Altura/ Año | Año altura de la póliza. Campo obligatorio (Numérico). |
| 19 | Altura/ Mes | Mes del “Año altura de la póliza”. Campo obligatorio (Numérico). |
| 20 | Interés Técnico Prima Amparo Básico | Registre el valor de la tasa de interés técnico utilizado en el cálculo de la prima del amparo básico. Campo obligatorio (Numérico). |
| 21 | Interés Técnico Reserva Amparo Básico | Registre el valor de la tasa de interés técnico utilizado en el cálculo de la reserva del amparo básico. Campo obligatorio (Numérico). |
| 22 | Factor de Reducción | Registre el factor de reducción aplicado para el amparo básico expresado en miles. Si no aplica, enviar campo vacío (Numérico). |
| 23 | Tiempo de Reducción | Registre el tiempo de reducción aplicado para el amparo básico expresado en meses. Si no aplica, enviar campo vacío (Numérico). |
| 24 | Tipo de Prima | Corresponde al código del tipo de prima que definió para el pago de primas del amparo básico. Deben utilizarse únicamente los siguientes códigos: 1. Fraccionada 2. Fraccionaria 3. Financiada 4. Pago único de prima Si no aplica, enviar campo vacío (Numérico). |
| 25 | Periodicidad de Pago de Prima | Debe seleccionar el código de la modalidad que se definió para la periodicidad del pago de primas: 1. Anual 2. Semestral 3. Trimestral 4. Mensual 5. Única 6. Otra En caso de ser "6. Otra", informar en la columna 135-Observaciones cuál es la periodicidad. Campo obligatorio (Numérico). |
| 26 | Pago de Prima Hasta | Corresponde a la fecha máxima de pago de primas. En caso de ser una póliza temporal renovable, debe diligenciarse la fecha máxima de pago de prima de la última renovación (vigente) emitida. Campo obligatorio. |
| 27 | Tipo de identificación Asegurado Principal | Registre el tipo de identificación del asegurado principal, deben utilizarse únicamente los siguientes códigos: 1. Cédula de ciudadanía 2. Cédula de extranjería 3. NIT 4. Tarjeta de identidad 5. Pasaporte 6. Tarjeta del seguro social extranjero 7. Fideicomiso 8. NUIP o registro civil de nacimiento Campo obligatorio (Numérico). |
| 28 | Número de Identificación Asegurado Principal | Registre el número de identificación del asegurado principal. Campo obligatorio. |
| 29 | Sexo Asegurado Principal | Registre el código para identificar el sexo del asegurado principal, deben utilizarse únicamente los siguientes códigos: 1. Masculino 2. Femenino Campo obligatorio (Numérico). |
| 30 | Fecha de nacimiento del Asegurado Principal | Registre la fecha de nacimiento del asegurado principal. Campo obligatorio (dd/mm/aaaa). |
| 31 | Edad Ingreso Asegurado Principal | Registre la edad de ingreso del asegurado principal que se utilizó para la suscripción de la póliza. Campo obligatorio (Numérico). |
| 32 | Tipo de Crecimiento del Valor Asegurado del Amparo Básico (Muerte) | Corresponde al tipo de crecimiento del valor asegurado del amparo básico. Únicamente deben utilizarse los siguientes códigos: 1. Aritmético 2. Semiaritmético 3. Geométrico 4. Semigeométrico 5. UVR 6. IPC 7. Índice variable 8. Participación de utilidades 9. Sin crecimiento. 10. Otro En caso de ser “10. Otro”, informar en la columna 135– Observaciones, a qué tipo de crecimiento corresponde. Campo obligatorio (Numérico). |
| 33 | Crecimiento del Valor Asegurado del Amparo Básico (Muerte) | Corresponde a la tasa de crecimiento en porcentaje (positiva o negativa) del valor asegurado del amparo básico. Reportar 0 (cero), en caso de haber registrado “9. Sin crecimiento” en la columna 32. Si no aplica, enviar campo vacío (Numérico). |
| 34 | Periodicidad de Crecimiento del Valor Asegurado del Amparo Básico (Muerte) | Corresponde a la frecuencia de crecimiento del valor asegurado del amparo básico definida para la póliza. Deben utilizarse únicamente los siguientes códigos: 1. Anual 2. Semestral 3. Trimestral 4. Mensual 5. Diario 6. Otra En caso de ser "6. Otra", informar en la columna 135– Observaciones, la periodicidad correspondiente. Campo obligatorio (Numérico). |
| 35 | Crecimiento Hasta (Básico – Muerte) | Corresponde a la fecha máxima de crecimiento del valor asegurado del amparo básico. En caso de ser una póliza temporal renovable, debe diligenciarse la fecha máxima de crecimiento del valor asegurado de la última renovación (vigente) emitida. Campo obligatorio (dd/mm/aaaa). |
| 36 | Gastos sobre el Valor Asegurado Primer Año | Registre el factor de gastos sobre el valor asegurado aplicado para el primer año, en el cálculo de la prima comercial del amparo básico. Si no aplica, enviar campo vacío (Numérico). |
| 37 | Gastos sobre el Valor Asegurado Segundo Año | Registre el factor de gastos sobre el valor asegurado aplicado para el segundo año, en el cálculo de la prima comercial del amparo básico. Si no aplica, enviar campo vacío (Numérico). |
| 38 | Gastos sobre el Valor Asegurado Tercer Año y Siguientes | Registre el factor de gastos sobre el valor asegurado aplicado para el tercer año y siguientes años, en el cálculo de la prima comercial del amparo básico. Si no aplica, enviar campo vacío (Numérico). |
| 39 | Gastos Sobre la Prima Primer Año | Registre el factor de gastos sobre la prima comercial del amparo básico, aplicado para el primer año, que se tomó como base para calcularla. Si no aplica, enviar campo vacío (Numérico). |
| 40 | Gastos Sobre la Prima Segundo Año | Registre el factor de gastos sobre la prima comercial del amparo básico, aplicado para el segundo año, que se tomó como base para calcularla. Si no aplica, enviar campo vacío (Numérico). |
| 41 | Gastos Sobre la Prima Tercer Año y Siguientes | Registre el factor de gastos sobre la prima comercial del amparo básico, aplicado para el tercer año y siguientes, que se tomó como base para calcularla. Si no aplica, enviar campo vacío (Numérico). |
| 42 | Valor Asegurado Inicial (Básico- Muerte) | Monto de valor asegurado inicial para el amparo básico. En caso de ser una póliza temporal renovable, debe diligenciarse el valor asegurado de la emisión inicial de la póliza. Campo obligatorio (Numérico). |
| 43 | Valor Asegurado Alcanzado (Básico - Muerte) | Monto de valor asegurado alcanzado para el amparo básico. Campo obligatorio (Numérico). |
| 44 | Prima de Riesgo (Básico-Muerte) | Valor de la prima de riesgo del amparo básico. En caso de ser una póliza temporal renovable, debe reportarse la prima de riesgo de la última renovación (vigente) emitida. Campo obligatorio (Numérico). |
| 45 | Valor Reserva Del amparo Básico-Muerte | Valor de la reserva del amparo básico a la fecha de corte. Campo obligatorio (Numérico). |
| 46 | Tipo de Crecimiento (Sobrevivencia) | Corresponde al tipo de crecimiento del valor asegurado del amparo por sobrevivencia. Únicamente deben utilizarse los siguientes códigos: 1. Aritmético 2. Semiaritmético 3. Geométrico 4. Semigeométrico 5. UVR 6. IPC 7. Índice variable 8. Participación de utilidades 9. Sin crecimiento. 10. Otro En caso de ser “10. Otro”, informar en la columna 135– Observaciones, el tipo correspondiente. Si no aplica, enviar campo vacío (Numérico). |
| 47 | Crecimiento (Sobrevivencia) | Corresponde a la tasa de crecimiento en porcentaje (positiva o negativa) del valor asegurado del amparo por sobrevivencia. Si no aplica, enviar campo vacío (Numérico). |
| 48 | Periodicidad de Crecimiento (Sobrevivencia) | Corresponde a la frecuencia de crecimiento del valor asegurado del amparo por sobrevivencia definida para la póliza. Deben utilizarse únicamente los siguientes códigos: 1. Anual 2. Semestral 3. Trimestral 4. Mensual 5. Diaria 6. Otra En caso de ser "6. Otra", informar en la columna 135– Observaciones, la periodicidad correspondiente. Si no aplica, enviar campo vacío (Numérico). |
| 49 | Crecimiento Hasta (Sobrevivencia) | Corresponde a la fecha máxima de crecimiento del valor asegurado del amparo por sobrevivencia. Si no aplica, enviar campo vacío. |
| 50 | Interés Técnico Prima (Sobrevivencia) | Registre el valor de la tasa de interés técnico utilizada en el cálculo de la prima del amparo por sobrevivencia. Si no aplica, enviar campo vacío (Numérico). |
| 51 | Interés Técnico Reserva (Sobrevivencia) | Registre el valor de la tasa de interés técnico utilizada en el cálculo de la reserva del amparo por sobrevivencia. Si no aplica, enviar campo vacío (Numérico). |
| 52 | Fecha Inicio Vigencia (Sobrevivencia) | Se debe registrar la fecha de vigencia inicial del amparo por sobrevivencia. Si no aplica, enviar campo vacío (dd/mm/aaaa). |
| 53 | Cobertura Hasta (Sobrevivencia) | Corresponde a la fecha máxima de cobertura del amparo por sobrevivencia. En caso de ser una póliza temporal renovable, debe diligenciarse la fecha máxima de cobertura del amparo, por sobrevivencia, de la última renovación (vigente) emitida. Si no aplica, enviar campo vacío (dd/mm/aaaa). |
| 54 | Edad Dote | Corresponde a la edad en la cual se definió entregar el valor asegurado en caso de sobrevivencia. En caso de ser una póliza temporal renovable, debe diligenciarse la edad en la cual se definió entregar el valor asegurado, en caso de sobrevivencia, de la última renovación (vigente) emitida. Si no aplica, enviar campo vacío (Numérico). |
| 55 | Gastos sobre el Valor Asegurado Primer Año (Sobrevivencia) | Registre el factor de gastos sobre el valor asegurado aplicado para el primer año, en el cálculo de la prima comercial del amparo por sobrevivencia. Si no aplica, enviar campo vacío (Numérico). |
| 56 | Gastos sobre el Valor Asegurado Segundo Año (Sobrevivencia) | Registre el factor de gastos sobre el valor asegurado aplicado para el segundo año, en el cálculo de la prima comercial del amparo por sobrevivencia. Si no aplica, enviar campo vacío (Numérico). |
| 57 | Gastos sobre el Valor Asegurado Tercer Año y Siguientes (Sobrevivencia) | Registre el factor de gastos sobre el valor asegurado aplicado para el tercer año y siguientes años, en el cálculo de la prima comercial del amparo por sobrevivencia Si no aplica, enviar campo vacío (Numérico). |
| 58 | Gastos Sobre la Prima Primer Año (Sobrevivencia) | Registre el factor de gastos sobre la prima comercial del amparo por sobrevivencia, aplicado para el primer año, que se tomó como base para calcularla. Si no aplica, enviar campo vacío (Numérico). |
| 59 | Gastos Sobre la Prima Segundo Año (Sobrevivencia) | Registre el factor de gastos sobre la prima comercial del amparo por sobrevivencia, aplicado para el segundo año, que se tomó como base para calcularla. Si no aplica, enviar campo vacío (Numérico). |
| 60 | Gastos Sobre la Prima Tercer Año y Siguientes (Sobrevivencia) | Registre el factor de gastos sobre la prima comercial del amparo por sobrevivencia, aplicado para el tercer año y siguientes, que se tomó como base para calcularla. Si no aplica, enviar campo vacío (Numérico). |
| 61 | Valor Asegurado Inicial (Sobrevivencia) | Corresponde al monto de valor asegurado inicial para el amparo por sobrevivencia. En caso de ser una póliza temporal renovable, debe diligenciarse el valor asegurado del amparo por sobrevivencia de la emisión inicial de la póliza. Si no aplica, enviar campo vacío (Numérico). |
| 62 | Valor Asegurado Alcanzado (Sobrevivencia) | Monto de valor asegurado alcanzado para el amparo por sobrevivencia. Si no aplica, enviar campo vacío (Numérico). |
| 63 | Prima de Riesgo (Sobrevivencia) | Valor de la prima de riesgo del amparo por sobrevivencia. En caso de ser una póliza temporal renovable, debe reportarse la prima de riesgo del amparo por sobrevivencia de la última renovación (vigente) emitida. Si no aplica, enviar campo vacío (Numérico). |
| 64 | Valor Reserva (Sobrevivencia) | Valor de la reserva del amparo por sobrevivencia a la fecha de corte. Si no aplica, enviar campo vacío (Numérico). |
| 65 | Código Cobertura (Prorrogado - Saldado) | Registre la cobertura correspondiente, de acuerdo con los siguientes códigos: 1. Seguro Prorrogado 2. Seguro Saldado Si no aplica, enviar campo vacío (Numérico). |
| 66 | Tipo de Crecimiento (Prorrogado - Saldado) | Corresponde al tipo de crecimiento del valor asegurado del seguro prorrogado o seguro saldado. Únicamente deben utilizarse los siguientes códigos: 1. Aritmético 2. Semiaritmético 3. Geométrico 4. Semigeométrico 5. UVR 6. IPC 7. Índice variable 8. Participación de utilidades 9. Sin crecimiento. 10. Otro En caso de ser “10. Otro”, informar en la columna 135– Observaciones, el tipo de crecimiento correspondiente. Si no aplica, enviar campo vacío (Numérico). |
| 67 | Crecimiento (Prorrogado - Saldado) | Corresponde a la tasa de crecimiento en porcentaje (positiva o negativa) del valor asegurado del seguro prorrogado o seguro saldado. Si no aplica, enviar campo vacío (Numérico). |
| 68 | Periodicidad de Crecimiento (Prorrogado - Saldado) | Corresponde a la frecuencia de crecimiento del valor asegurado del seguro prorrogado o seguro saldado. Deben utilizarse únicamente los siguientes códigos: 1. Anual 2. Semestral 3. Trimestral 4. Mensual 5. Diaria 6. Otra En caso de ser "6. Otra", informar en la columna 135– Observaciones, la periodicidad correspondiente. Si no aplica, enviar campo vacío (Numérico). |
| 69 | Crecimiento Hasta (Prorrogado - Saldado) | Corresponde a la fecha máxima de crecimiento del valor asegurado del seguro prorrogado o seguro saldado. Si no aplica, enviar campo vacío (dd/mm/aaaa). |
| 70 | Interés Técnico Prima (Prorrogado - Saldado) | Registre el valor de la tasa de interés técnico utilizada en el cálculo de la prima del seguro prorrogado o seguro saldado. Si no aplica, enviar campo vacío (Numérico). |
| 71 | Interés Técnico Reserva (Prorrogado - Saldado) | Registre el valor de la tasa de interés técnico utilizada en el cálculo de la reserva del seguro prorrogado o seguro saldado. Si no aplica, enviar campo vacío (Numérico). |
| 72 | Fecha Inicio Vigencia (Prorrogado - Saldado) | Se debe registrar la fecha de vigencia inicial del seguro prorrogado o seguro saldado. Si no aplica, enviar campo vacío (dd/mm/aaaa). |
| 73 | Cobertura Hasta (Prorrogado - Saldado) | Corresponde a la fecha máxima de cobertura del seguro prorrogado o seguro saldado. Si no aplica, enviar campo vacío (dd/mm/aaaa). |
| 74 | Edad Inicial (Prorrogado - Saldado) | Registre la edad del asegurado principal utilizada para la emisión del seguro prorrogado o seguro saldado. Si no aplica, enviar campo vacío (Numérico). |
| 75 | Gastos sobre el Valor Asegurado Primer Año (Prorrogado - Saldado) | Registre el factor de gastos sobre el valor asegurado aplicado para el primer año, en el cálculo de la prima comercial del seguro prorrogado o seguro saldado. Si no aplica, enviar campo vacío (Numérico). |
| 76 | Gastos sobre el Valor Asegurado Segundo Año (Prorrogado - Saldado) | Registre el factor de gastos sobre el valor asegurado aplicado para el segundo año, en el cálculo de la prima comercial del seguro prorrogado o seguro saldado. Si no aplica, enviar campo vacío (Numérico). |
| 77 | Gastos sobre el Valor Asegurado Tercer Año y Siguientes (Prorrogado - Saldado) | Registre el factor de gastos sobre el valor asegurado aplicado para el tercer año y siguientes años, en el cálculo de la prima comercial del seguro prorrogado o seguro saldado. Si no aplica, enviar campo vacío (Numérico). |
| 78 | Gastos Sobre la Prima Primer Año (Prorrogado - Saldado) | Registre el factor de gastos sobre la prima comercial del seguro prorrogado o seguro saldado, aplicado para el primer año, que se tomó como base para calcularla. Si no aplica, enviar campo vacío (Numérico). |
| 79 | Gastos Sobre la Prima Segundo Año (Prorrogado - Saldado) | Registre el factor de gastos sobre la prima comercial del seguro prorrogado o seguro saldado, aplicado para el segundo año, que se tomó como base para calcularla. Si no aplica, enviar campo vacío (Numérico). |
| 80 | Gastos Sobre la Prima Tercer Año y Siguientes (Prorrogado - Saldado) | Registre el factor de gastos sobre la prima comercial del seguro prorrogado o seguro saldado, aplicado para el tercer año y siguientes, que se tomó como base para calcularla. Si no aplica, enviar campo vacío (Numérico). |
| 81 | Valor Asegurado Inicial (Prorrogado - Saldado) | Corresponde al monto de valor asegurado inicial para el seguro prorrogado o seguro saldado. Si no aplica, enviar campo vacío (Numérico). |
| 82 | Valor Asegurado Alcanzado (Prorrogado – Saldado) | Monto de valor asegurado alcanzado para el seguro prorrogado o seguro saldado. Si no aplica, enviar campo vacío (Numérico). |
| 83 | Prima Única (Prorrogado - Saldado) | Valor de la prima única del seguro prorrogado o seguro saldado. Si no aplica, enviar campo vacío (Numérico). |
| 84 | Valor Reserva (Prorrogado - Saldado) | Valor de la reserva del seguro prorrogado o seguro saldado a la fecha de corte. Si no aplica, enviar campo vacío (Numérico). |
| 85 | Código Cobertura | Registre 3 en caso de otorgar cobertura por muerte a un segundo asegurado. Si no aplica, enviar campo vacío (Numérico). |
| 86 | Tipo de identificación (Segundo Asegurado) | Registre el tipo de identificación del segundo asegurado, deben utilizarse únicamente los siguientes códigos: 1. Cédula de ciudadanía 2. Cédula de extranjería 3. NIT 4. Tarjeta de identidad 5. Pasaporte 6. Tarjeta del seguro social extranjero 7. Fideicomiso 8. NUIP o registro civil de nacimiento Si no aplica, enviar campo vacío (Numérico). |
| 87 | Número de Identificación (Segundo Asegurado) | Registre el número de identificación del segundo asegurado. Si no aplica, enviar campo vacío (Numérico). |
| 88 | Sexo (Segundo Asegurado) | Registre el código para identificar el sexo del segundo asegurado, deben utilizarse únicamente los siguientes códigos 1. Masculino. 2. Femenino. Si no aplica, enviar campo vacío (Numérico). |
| 89 | Fecha de Nacimiento (Segundo Asegurado) | Registre la fecha de nacimiento del segundo asegurado. Si no aplica, enviar campo vacío (dd/mm/aaaa). |
| 90 | Tipo de Crecimiento (Segundo Asegurado) | Corresponde al tipo de crecimiento del valor asegurado de la cobertura para el segundo asegurado. Únicamente deben utilizarse los siguientes códigos: 1. Aritmético 2. Semiaritmético 3. Geométrico 4. Semigeométrico 5. UVR 6. IPC 7. Índice variable 8. Participación de utilidades 9. Sin crecimiento. 10. Otro En caso de ser “10. Otro”, informar en la columna 135– Observaciones, el tipo de crecimiento correspondiente. Si no aplica, enviar campo vacío (Numérico). |
| 91 | Crecimiento (Segundo Asegurado) | Corresponde a la tasa de crecimiento en porcentaje (positiva o negativa) del valor asegurado de la cobertura para el segundo asegurado. Si no aplica, enviar campo vacío (Numérico). |
| 92 | Periodicidad de Crecimiento (Segundo Asegurado) | Corresponde a la frecuencia de crecimiento del valor asegurado de la cobertura para el segundo asegurado. Deben utilizarse únicamente los siguientes códigos: 1. Anual 2. Semestral 3. Trimestral 4. Mensual 5. Diaria 6. Otra En caso de ser "6. Otra", informar en la columna 135– Observaciones, la periodicidad correspondiente. Si no aplica, enviar campo vacío (Numérico). |
| 93 | Crecimiento Hasta (Segundo Asegurado) | Corresponde a la fecha máxima de crecimiento del valor asegurado de la cobertura para el segundo asegurado. Si no aplica, enviar campo vacío (dd/mm/aaaa). |
| 94 | Interés Técnico Prima (Segundo Asegurado) | Registre el valor de la tasa de interés técnico utilizada en el cálculo de la prima de la cobertura para el segundo asegurado. Si no aplica, enviar campo vacío (Numérico). |
| 95 | Interés Técnico Reserva (Segundo Asegurado) | Registre el valor de la tasa de interés técnico utilizada en el cálculo de la reserva de la cobertura para el segundo asegurado. Si no aplica, enviar campo vacío (Numérico). |
| 96 | Fecha Inicio Vigencia (Segundo Asegurado) | Se debe registrar la fecha de vigencia inicial de la cobertura para el segundo asegurado. Si no aplica, enviar campo vacío (dd/mm/aaaa). |
| 97 | Cobertura Hasta (Segundo Asegurado) | Corresponde a la fecha máxima de cobertura para el segundo asegurado. Si no aplica, enviar campo vacío (dd/mm/aaaa). |
| 98 | Edad Inicial (Segundo Asegurado) | Registre la edad del segundo asegurado que se utilizó para la emisión de la cobertura para éste. Si no aplica, enviar campo vacío (Numérico). |
| 99 | Gastos sobre el Valor Asegurado Primer Año (Segundo Asegurado) | Registre el factor de gastos sobre el valor asegurado aplicado para el primer año, en el cálculo de la prima comercial de la cobertura del segundo asegurado. Si no aplica, enviar campo vacío (Numérico). |
| 100 | Gastos sobre el Valor Asegurado Segundo Año (Segundo Asegurado) | Registre el factor de gastos sobre el valor asegurado aplicado para el segundo año, en el cálculo de la prima comercial de la cobertura del segundo asegurado. Si no aplica, enviar campo vacío (Numérico). |
| 101 | Gastos sobre el Valor Asegurado Tercer Año y Siguientes (Segundo Asegurado) | Registre el factor de gastos sobre el valor asegurado aplicado para el tercer año y siguientes años, en el cálculo de la prima comercial de la cobertura del segundo asegurado. Si no aplica, enviar campo vacío (Numérico). |
| 102 | Gastos Sobre la Prima Primer Año (Segundo Asegurado) | Registre el factor de gastos sobre la prima comercial de la cobertura del segundo asegurado, aplicado para el primer año, que se tomó como base para calcularla. Si no aplica, enviar campo vacío (Numérico). |
| 103 | Gastos Sobre la Prima Segundo Año (Segundo Asegurado) | Registre el factor de gastos sobre la prima comercial de la cobertura del segundo asegurado, aplicado para el segundo año, que se tomó como base para calcularla. Si no aplica, enviar campo vacío (Numérico). |
| 104 | Gastos Sobre la Prima Tercer Año y Siguientes (Segundo Asegurado) | Registre el factor de gastos sobre la prima comercial de la cobertura del segundo asegurado, aplicado para el tercer año y siguientes, que se tomó como base para calcularla. Si no aplica, enviar campo vacío (Numérico). |
| 105 | Valor Asegurado Inicial (Segundo Asegurado) | Corresponde al monto de valor asegurado inicial para la cobertura del segundo asegurado. Si no aplica, enviar campo vacío (Numérico). |
| 106 | Valor Asegurado Alcanzado (Segundo Asegurado) | Monto de valor asegurado alcanzado para la cobertura del segundo asegurado. Si no aplica, enviar campo vacío (Numérico). |
| 107 | Prima de Riesgo (Segundo Asegurado) | Valor de la prima de riesgo para la cobertura del segundo asegurado. Si no aplica, enviar campo vacío (Numérico). |
| 108 | Valor Reserva Matemática (Segundo Asegurado) | Valor de la reserva de la cobertura del segundo asegurado a la fecha de corte. Si no aplica, enviar campo vacío (Numérico). |
| 109 | Código Cobertura (Cobertura Adicional) | Registre la cobertura adicional que tiene mayor participación dentro de la reserva matemática total de la póliza a la fecha de corte. Deben utilizarse únicamente los siguientes códigos: 5. Muerte Accidental 6. Incapacidad Total y Permanente – Invalidez 7. Auxilio Funerario 8. Gastos Médicos 9. Enfermedades Graves 10. Renta Diaria por hospitalización. 11. Exoneración de Pago de Primas 12. Otro En caso de ser "11. Otro", informar en la columna 135– Observaciones, la cobertura correspondiente. Si no aplica, enviar campo vacío (Numérico). |
| 110 | Tipo de Crecimiento (Cobertura Adicional) | Corresponde al tipo de crecimiento del valor asegurado de la cobertura adicional. Únicamente deben utilizarse los siguientes códigos: 1. Aritmético 2. Semiaritmético 3. Geométrico 4. Semigeométrico 5. UVR 6. IPC 7. Índice variable 8. Participación de utilidades 9. Sin crecimiento. 10. Otro. En caso de ser “10. Otro”, informar en la columna 135– Observaciones, el tipo de crecimiento correspondiente. Si no aplica, enviar campo vacío (Numérico). |
| 111 | Tabla de mortalidad/morbilidad (Cobertura adicional) | Se debe informar la tabla de mortalidad/morbilidad utilizada para el cálculo de las primas y reservas de la cobertura adicional incluyendo el número de radicación de la nota técnica del producto. Si no aplica, enviar campo vacío (Alfanumérico). |
| 112 | Crecimiento (Cobertura Adicional) | Corresponde a la tasa de crecimiento en porcentaje (positiva o negativa) del valor asegurado de la cobertura adicional. Si no aplica, enviar campo vacío (Numérico). |
| 113 | Periodicidad de Crecimiento (Cobertura Adicional) | Corresponde a la frecuencia de crecimiento del valor asegurado de la cobertura adicional. Deben utilizarse únicamente los siguientes códigos: 1. Anual 2. Semestral 3. Trimestral 4. Mensual 5. Diaria 6. Otra En caso de ser "6. Otra", informar en la columna 135– Observaciones, la periodicidad correspondiente. Si no aplica, enviar campo vacío (Numérico). |
| 114 | Crecimiento Hasta (Cobertura Adicional) | Corresponde a la fecha máxima de crecimiento de la cobertura adicional. En caso de ser una póliza temporal renovable, debe diligenciarse la fecha máxima de crecimiento del valor asegurado de la cobertura adicional, correspondiente a la última renovación (vigente) emitida. Si no aplica, enviar campo vacío (dd/mm/aaaa). |
| 115 | Interés Técnico Prima (Cobertura Adicional) | Registre el valor de la tasa de interés técnico utilizada en el cálculo de la prima de la cobertura adicional. Si no aplica, enviar campo vacío (Numérico). |
| 116 | Interés Técnico Reserva (Cobertura Adicional) | Registre el valor de la tasa de interés técnico utilizada en el cálculo de la reserva de la cobertura adicional. Si no aplica, enviar campo vacío (Numérico). |
| 117 | Fecha Inicio Vigencia (Cobertura Adicional) | Se debe registrar la fecha de vigencia inicial de la cobertura adicional. Si no aplica, enviar campo vacío (dd/mm/aaaa). |
| 118 | Cobertura Hasta (Cobertura Adicional) | Corresponde a la fecha máxima de cobertura de la cobertura adicional. Si no aplica, enviar campo vacío (dd/mm/aaaa). |
| 119 | Edad Inicial (Cobertura Adicional) | Registre la edad del asegurado principal que se utilizó para la emisión de la cobertura adicional. Si no aplica, enviar campo vacío (Numérico). |
| 120 | Gastos sobre el Valor Asegurado Primer Año (Cobertura Adicional) | Registre el factor de gastos sobre el valor asegurado aplicado para el primer año, en el cálculo de la prima comercial de la cobertura adicional. Si no aplica, enviar campo vacío (Numérico). |
| 121 | Gastos sobre el Valor Asegurado Segundo Año (Cobertura Adicional) | Registre el factor de gastos sobre el valor asegurado aplicado para el segundo año, en el cálculo de la prima comercial de la cobertura adicional. Si no aplica, enviar campo vacío (Numérico). |
| 122 | Gastos sobre el Valor Asegurado Tercer Año y Siguientes (Cobertura Adicional) | Registre el factor de gastos sobre el valor asegurado aplicado para el tercer año y siguientes años, en el cálculo de la prima comercial de la cobertura adicional. Si no aplica, enviar campo vacío (Numérico). |
| 123 | Gastos Sobre la Prima Primer Año (Cobertura Adicional) | Registre el factor de gastos sobre la prima comercial de la cobertura adicional, aplicado para el primer año, que se tomó como base para calcularla. Si no aplica, enviar campo vacío (Numérico). |
| 124 | Gastos Sobre la Prima Segundo Año (Cobertura Adicional) | Registre el factor de gastos sobre la prima comercial de la cobertura adicional, aplicado para el segundo año, que se tomó como base para calcularla. Si no aplica, enviar campo vacío (Numérico). |
| 125 | Gastos Sobre la Prima Tercer Año y Siguientes (Cobertura Adicional) | Registre el factor de gastos sobre la prima comercial de la cobertura adicional, aplicado para el tercer año y siguientes, que se tomó como base para calcularla. Si no aplica, enviar campo vacío (Numérico). |
| 126 | Valor Asegurado Inicial (Cobertura Adicional) | Corresponde al monto de valor asegurado inicial para la cobertura adicional, en formato numérico con tres decimales. Si no aplica, enviar campo vacío (Numérico). |
| 127 | Valor Asegurado Alcanzado (Cobertura Adicional) | Monto de valor asegurado alcanzado para la cobertura adicional. Si no aplica, enviar campo vacío (Numérico). |
| 128 | Prima de Riesgo (Cobertura Adicional) | Valor de la prima de riesgo de la cobertura adicional. Si no aplica, enviar campo vacío (Numérico). |
| 129 | Valor Reserva (Cobertura Adicional) | Valor de la reserva de la cobertura adicional a la fecha de corte. Si no aplica, enviar campo vacío (Numérico). |
| 130 | Valor Reserva (Demás Coberturas Adicionales) | Valor de la reserva a la fecha de corte de las coberturas adicionales que tiene la póliza y que no fueron reportadas en forma particular. Si no aplica, enviar campo vacío (Numérico). |
| 131 | Valor Reserva Participación de Utilidades | Registre el valor a la fecha de corte, de la reserva por concepto de participación de utilidades. Si no aplica, enviar campo vacío (Numérico). |
| 132 | Reserva Ahorro | Registre el valor, a la fecha de corte, de la reserva de ahorro por concepto del pago de primas de ahorro. Si no aplica, enviar campo vacío (Numérico). |
| 133 | Reserva Total | Corresponde al valor de la suma total de las reservas a la fecha de corte de todos los amparos de la póliza, no incluye reserva de ahorro ni reserva de participación de utilidades. Campo obligatorio (Numérico). |
| 134 | Reserva Total Pesos | Corresponde al valor de la suma total de las reservas, en moneda legal, a la fecha de corte de todos los amparos de la póliza, no incluye reserva de ahorro ni reserva de participación de utilidades. Campo obligatorio (Numérico). |
| 135 | Observaciones | En esta columna se deben registrar todas las aclaraciones que se consideren pertinentes, indicando la columna a la cual aplica cada observación. |
METODOLOGÍA DE CÁLCULO DE LA PRIMA DE ILIQUIDEZ.
De acuerdo con el subnumeral 3.3.2. del capítulo XXXIV de la CBCF, las entidades aseguradoras deben calcular la prima de iliquidez que hace parte de la tasa de descuento para la mejor estimación de sus obligaciones futuras, aplicando la siguiente metodología:
Metodología para el cálculo de la prima de iliquidez
De acuerdo con lo establecido en el artículo 2.31.4.1.4 del Decreto 2555 de 2010 “La prima de iliquidez corresponde a un ajuste a la curva rendimiento libre de riesgo con el objetivo de incorporar las diferencias entre las características de liquidez de los instrumentos financieros que subyacen en las tasas observadas en el mercado y las características de liquidez de los contratos de seguro de las entidades aseguradoras”. Por lo tanto, la prima de iliquidez depende de varios factores como lo son: tipo, plazo y calificación del activo, las condiciones de mercado y las preferencias de inversión, entre otros. Para la determinación de esta prima, las entidades aseguradoras deberán emplear la metodología descrita a continuación:
1. Generalidades
Esta metodología es un mecanismo regulatorio que le permite a las entidades aseguradoras ajustar la curva de descuento utilizada en la valoración de sus reservas técnicas, incorporando una parte del diferencial de rendimiento de los activos que no está relacionada con el riesgo de impago o incumplimiento. Este ajuste busca mitigar la volatilidad en los estados financieros de las entidades aseguradoras, especialmente en productos de largo plazo, al reflejar de manera más adecuada y precisa la rentabilidad de los activos.
El cálculo de la prima de iliquidez se debe realizar mensualmente, utilizando la información de las reservas técnicas correspondiente al mes anterior a la fecha de corte, y la de los activos a la fecha de corte. Por ejemplo, si la fecha de corte es el 31 de julio, los pasivos se tomarán con corte al 30 de junio, los activos con corte al 31 de julio, y el reporte correspondiente deberá realizarse durante el mes de agosto.
La metodología para el cálculo de la prima de iliquidez aplica a los flujos derivados de pensiones de invalidez y sobrevivencia, y que conlleven a indemnizaciones vitalicias, como para los ramos de pensiones Ley 100, pensiones voluntarias y/o conmutación pensional y seguro educativo, así como para las prestaciones asistenciales de siniestros crónicos y vitalicios en el ramo de riesgos laborales y de igual forma para las atenciones de largo plazo del ramo de salud.
Para los ramos de rentas voluntarias y de los productos de vida individual de largo plazo, las entidades aseguradoras pueden ajustar la tasa de descuento con la prima de iliquidez, siempre y cuando realicen un análisis de las condiciones de liquidez de los contratos para determinar si son susceptibles de su aplicación. Este análisis debe incluir como mínimo las condiciones para el rescate del seguro, entre otros.
El resultado del cálculo de la prima de iliquidez de acuerdo con la metodología del presente anexo debe ser aplicado a la tasa de descuento en la fecha de corte y permanecer a disposición de la SFC. Este ejercicio debe ser revisado por el Actuario Responsable como parte del ejercicio de certificación de la suficiencia.
2. Identificación de activos y pasivos elegibles
Las entidades aseguradoras deben seleccionar los activos y los pasivos como se describe a continuación:
2.1 Selección de activos
Las entidades aseguradoras deben identificar los flujos futuros de los activos que respaldan las reservas técnicas de los productos a los cuales se les aplicará la prima de iliquidez. Los flujos de activos serán los que correspondan a las inversiones admisibles de las reservas técnicas establecidas en el artículo 2.31.3.1.2 del Decreto 2555 de 2010. Estos flujos no deben incluir el activo de las contingencias a cargo del reasegurador. Estos activos deben cumplir las siguientes condiciones:
2.1.1 El portafolio de activos asignado debe ser aquel que cubre la mejor estimación de las obligaciones futuras, incluyendo bonos, títulos de deuda pública y otros activos admisibles con características similares en términos de flujo de efectivo durante la vida de las obligaciones.
2.1.2 El portafolio de activos asignado debe identificarse, organizarse y gestionarse de manera separada de los demás activos de la entidad aseguradora. Además, este portafolio no puede utilizarse para cubrir pérdidas derivadas de otras actividades de la entidad.
2.1.3 Los flujos de efectivo del portafolio de activos asignado deben ser estables, previsibles y no pueden ser modificados por la entidad, salvo que se reciba una compensación suficiente que le permita garantizar los mismos flujos de efectivo reinvirtiendo en activos de calidad crediticia equivalente o mejor. Los activos correspondientes a estos flujos deben tener la vocación de mantenerlos hasta el vencimiento.
No obstante, la aplicación de esta disposición no deberá entenderse como una restricción a la gestión activa del portafolio. La entidad podrá realizar ajustes en la composición de los activos, incluidos aquellos que impliquen la rotación entre instrumentos de deuda pública y deuda privada, siempre que dichas modificaciones respondan a criterios técnicos fundamentados en la gestión integral del portafolio.
2.1.4 Los activos se clasificarán en función de si se conocen o no sus flujos futuros de efectivo.
2.1.4.1 Se considera que los flujos futuros son conocidos cuando son determinados o determinables contractualmente al momento en que se calcula la prima de iliquidez. Los flujos de los activos deben proyectarse netos de coberturas realizadas mediante instrumentos financieros derivados (incluyendo swaps). Adicionalmente, se debe evaluar de forma separada el perfil de riesgo y liquidez tanto del instrumento subyacente como del derivado utilizado para la cobertura.
2.1.4.2 Los activos que no tienen flujos futuros conocidos deberán ser incluidos en el primer flujo considerando su valor razonable con efecto en resultados. Cuando la entidad aseguradora pueda estimar flujos de efectivo más allá del mes uno, debe emplear métodos técnicos con desarrollo tanto teórico como práctico. Estas estimaciones deben estar documentadas y permanecer a disposición de la SFC, incluyendo los supuestos y parámetros, los cuales deben ser evaluados por la entidad, como mínimo anualmente, para comprobar su validez y consistencia.
2.1.5 Los flujos de efectivo esperados del portafolio de activos asignado deben replicar los flujos de efectivo esperados de la cartera de obligaciones en la misma moneda.
2.1.6 Los flujos futuros de los activos se deben tomar en pesos colombianos y se deben proyectar sin inflación. Cuando se requiera deflactar los flujos se debe utilizar la tasa spot dada por el vector de inflación implícita que la SFC publica mensualmente. Los flujos que no estén indexados a la inflación deberán ser convertidos a términos reales con base en el vector de inflación implícita. No obstante, las entidades aseguradoras podrán emplear un vector de inflación propio con previa no objeción de la SFC.
Por su parte, los flujos que estén indexados a UVR se convertirán a pesos colombianos en términos reales, con base en la UVR publicada por el Banco de la República en la fecha de corte de la información de los activos. Los flujos en moneda extranjera se convertirán a pesos colombianos de la siguiente manera: i) si los flujos se encuentran en dólares de los Estados Unidos de Norteamérica se tomará la Tasa Representativa del Mercado (TRM) certificada por la SFC, ii) si los flujos se encuentran en una moneda distinta del dólar de los Estados Unidos de Norteamérica, su valor se convertirá a pesos con base en las tasas de conversión de divisas para el día de la fecha de corte de la información de los activos publicadas en la página web del Banco Central Europeo (BCE), tomando 6 decimales, aproximando el último digito por el sistema de redondeo y iii) cuando la tasa de conversión de la divisa no se encuentre en la página web del BCE, se deberá tomar la tasa de conversión frente al dólar de los Estados Unidos de Norteamérica publicada por el Banco Central del respectivo país.
2.1.7 Los flujos de títulos indexados a una tasa variable deben proyectarse con base en el valor de dicha tasa, aplicable a la fecha de corte de la información de los activos.
2.2 Selección de pasivos
Las entidades aseguradoras deben identificar los flujos futuros de sus pasivos, netos de las contingencias a cargo de reaseguradoras y que sean susceptibles de prima de iliquidez. Estos deben corresponder a los flujos futuros esperados de las pólizas emitidas de acuerdo con las notas técnicas depositadas en la SFC para el cálculo de las reservas técnicas. Los pasivos deben cumplir las siguientes condiciones:
2.2.1 La cartera de obligaciones futuras debe identificarse, organizarse y gestionarse por separado de las demás obligaciones de la entidad.
2.2.2 Los riesgos de suscripción vinculados a la cartera de obligaciones son el riesgo de mortalidad, el riesgo de extralongevidad y el riesgo de revisión que está relacionado a un posible cambio de beneficiarios o de la condición de validez o invalidez del asegurado y los demás asociados a la naturaleza de cada cartera.
3. Metodología para determinar la Prima de Iliquidez
La prima de iliquidez se debe calcular como la diferencia entre la rentabilidad ajustada por riesgo de crédito de los activos y la tasa libre de riesgo utilizada para descontar los pasivos. En esta metodología se analizan las rentabilidades de los activos que respaldan los pasivos de la entidad aseguradora, calculado como:
![]()
Donde:
d
Corresponde a la tasa efectiva anual, calculada como la tasa de descuento única que, cuando se aplica a los flujos de efectivo de la cartera de obligaciones de la entidad aseguradora, se obtiene como resultado un valor equivalente al de la mejor estimación de la cartera de obligaciones, descontadas con el vector de la tasa de interés libre de riesgo, a la fecha de corte.
![]()
Corresponde a la tasa efectiva anual, calculada como el tipo de descuento único que, aplicado a los flujos de efectivo del portafolio de activos de la entidad aseguradora, da como resultado el valor de mercado de los activos admisibles, a la fecha de corte.
Los flujos de efectivo de cada activo de la cartera deben incorporar: (i) la probabilidad de incumplimiento y (ii) la tasa de recuperación, calculados de la siguiente manera:
![]()
Donde:
![]()
Corresponde a los flujos ajustados por riesgo de crédito de cada activo en el periodo j.
![]()
Corresponde a los flujos esperados de cada activo en el periodo j.
![]()
Corresponde a la tasa de recuperación la cual toma un valor de 30%.
![]()
Corresponde a la probabilidad de incumplimiento para cada activo utilizando las más recientes publicadas a la fecha de corte, para la maduración
y la calificación
. Estas probabilidades son publicadas por la Autoridad Europea de Seguros y Pensiones de Jubilación (EIOPA, por sus siglas en inglés).
La maduración
corresponde a la diferencia en años entre la fecha de pago del flujo y la fecha de corte de los activos.
La calificación
es establecida teniendo en cuenta las siguientes tablas de equivalencias:
i) Para activos cuyo emisor sea del exterior y cuenten con calificación crediticia de largo plazo en moneda extranjera:

ii) Para activos cuyo emisor sea nacional y cuenten con calificación crediticia de largo plazo en moneda local:

iii) Para activos cuyo emisor sea nacional y cuenten con calificación crediticia de corto plazo en moneda local:

En el caso que la calificación no se encuentre en la tabla, la calificación será 6 en la escala de EIOPA. Adicionalmente, cuando el activo tenga un plazo superior al publicado por EIOPA se debe emplear la probabilidad que corresponda a la del mayor plazo. Si el activo cuenta con más de una calificación se tomará la de mayor riesgo.
METODOLOGÍA DE CÁLCULO DE LAS RESERVAS TÉCNICAS DE SINIESTROS AVISADOS DEL RAMO DE SEGUROS PREVISIONALES DE INVALIDEZ Y SOBREVIVENCIA.
1. CONSIDERACIONES GENERALES
De acuerdo con las instrucciones previstas en el numeral 5.4.1.2. del Capítulo XXXIV de la CBCF, en el presente anexo se establece la metodología de cálculo para determinar la reserva de siniestros avisados del ramo de seguros previsionales de invalidez y sobrevivencia, según lo dispuesto en el artículo 2.31.4.4.2. del Decreto 2555 de 2010.
Para efectos de aplicar la metodología establecida en el presente anexo, las entidades deberán considerar los lineamientos especiales del artículo 2.31.4.4.2. del Decreto 2555 de 2010, y podrán realizar los cálculos considerando una tasa de descuento equivalente a la curva de rendimiento libre de riesgo de que trata el numeral 3.3.1. del Capítulo XXXIV de la CBCF, con el fin de capturar el valor del dinero en el tiempo.
2. METODOLOGÍA DE CÁLCULO DE LA RESERVA POR SINIESTROS DE INVALIDEZ
En la fecha en que la entidad aseguradora tenga conocimiento de la ocurrencia del siniestro, debe constituir una reserva por concepto de la suma adicional requerida para la pensión de invalidez para cada siniestro avisado. Esta reserva se debe constituir de acuerdo con la siguiente fórmula:
![]()
Donde:
Reserva de siniestros avisados por concepto de la suma adicional por pensión de invalidez en la fecha de cálculo t de la categoría j.
Suma adicional a cargo de la entidad aseguradora que cubre el riesgo de invalidez, según lo previsto en el artículo 70 de la Ley 100 de 1993, evaluado al momento t. El monto de la suma adicional se determinará de acuerdo con los siguientes criterios:
![]()
Donde:
Prima única que cobraría la aseguradora por una póliza de renta vitalicia igual a la pensión correspondiente de invalidez, según el artículo 40 de la Ley 100 de 1993, con pagos a partir de la fecha en que se configure el derecho de la pensión. Esta prima única debe tener en cuenta el valor presente actuarial de las mesadas pendientes, los gastos por auxilio funerario y los gastos de expedición y administración de la renta vitalicia. Los gastos por auxilio funerario deben incluir los gastos de administración asociados a esta prestación.
Valor del bono pensional actualizado y capitalizado a la fecha de valuación de la reserva.
Saldo en la cuenta de ahorro individual en la fecha de cálculo de la reserva.
Probabilidad de pago de la suma adicional por pensión de invalidez al mes t de la categoría j, según se define en las instrucciones técnicas que se señalan en el numeral 9 de este anexo. Esta probabilidad será calculada por cada entidad aseguradora sobre la base de su experiencia siniestral.
Pagos realizados por incapacidades temporales, entre la fecha de aviso del siniestro y la fecha de valuación de la reserva.
Gastos de diagnóstico a cargo de la entidad aseguradora. Corresponde a los gastos de traslado, valoraciones por especialistas y exámenes complementarios que requiera el afiliado siniestrado.
Gastos por honorarios de juntas a cargo de la entidad aseguradora. Costo de los honorarios que se deben cancelar a las juntas de calificación de invalidez.
En todo caso, la suma adicional aportada por la entidad aseguradora deberá ser suficiente para completar el capital necesario para comprar una póliza de renta vitalicia, por el valor de la pensión correspondiente de invalidez, la cual, en todo caso no podrá ser inferior a un salario mínimo.
3. METODOLOGÍA DE CÁLCULO DE LA RESERVA POR SINIESTROS DE SOBREVIVENCIA
En la fecha en que la entidad aseguradora tenga conocimiento de la ocurrencia del siniestro que genere la prestación de pensión de sobrevivencia, debe constituir una reserva por concepto de la suma adicional necesaria para financiar la pensión de sobrevivientes de acuerdo con la siguiente fórmula:
![]()
Donde:
Reserva de siniestros avisados para siniestros que generen una pensión de sobrevivencia en la fecha de cálculo t de la categoría j.
Suma adicional a cargo de la entidad aseguradora que cubre el riesgo de sobrevivencia, según lo previsto en el artículo 77 de la Ley 100 de 1993, evaluada al momento t. El monto de la suma adicional se determinará de acuerdo con lo siguiente:
![]()
Donde:
Prima única que cobraría la entidad aseguradora por una póliza de renta vitalicia igual a la pensión correspondiente de sobrevivencia, según lo previsto en el artículo 48 de la Ley 100 de 1993, con pagos a partir de la fecha de causación de la pensión.
Esta prima única debe tener en cuenta el valor presente actuarial de las mesadas pendientes y los gastos de expedición y administración de la renta vitalicia.
Valor del bono pensional actualizado y capitalizado en la fecha de valuación de la reserva.
Saldo en la cuenta de ahorro individual en la fecha de cálculo de la reserva.
Probabilidad de pago de la solicitud de pensión de sobrevivencia al mes “t” de la categoría “j”, según se define en las instrucciones técnicas que se señalan en el numeral 10 de este anexo. Esta probabilidad será calculada por cada entidad aseguradora sobre la base de su experiencia siniestral.
En todo caso, la suma adicional aportada por la entidad aseguradora deberá ser suficiente para completar el capital necesario para comprar una póliza de renta vitalicia, por el valor de la pensión correspondiente de sobrevivencia, la cual, en todo caso no podrá ser inferior a un salario mínimo. Cuando la persona fallezca antes de contar con un dictamen en firme, se debe reservar como una suma adicional por pensión de sobrevivencia, calculada de acuerdo con el grupo de beneficiarios de ley.
4. METODOLOGÍA DE CÁLCULO DE LA RESERVA POR AUXILIO FUNERARIO
En la fecha en que la entidad aseguradora tenga conocimiento, por cualquier medio, de la ocurrencia de un siniestro que da lugar al reconocimiento de la prestación de auxilio funerario, la entidad aseguradora debe constituir una reserva por este concepto. Esta reserva se debe constituir de acuerdo con la siguiente fórmula:
![]()
Donde:
Reserva de siniestros avisados por concepto de gastos funerarios para el siniestro avisado a.
Último ingreso base de cotización del afiliado con base 30 días, asociado al siniestro “a” y actualizado en la fecha de cálculo de esta reserva. Cuando no se disponga del IBC, se debe calcular el IBC promedio simple de todas las solicitudes de auxilio funerario reclamadas en el año calendario anterior a la fecha de valuación de esta reserva.
Salario mínimo legal mensual vigente en la fecha de cálculo.
Esta reserva se debe liberar por negación del derecho, por pago del auxilio funerario o cuando transcurran 2 años desde la ocurrencia del siniestro. La reserva por auxilio funerario debe ajustarse mensualmente.
5. METODOLOGÍA DE CÁLCULO DE LA RESERVA POR SUBSIDIO ECONÓMICO POR CONCEPTO FAVORABLE DE REHABILITACIÓN
Esta reserva se debe constituir en la fecha en que la AFP le avise a la entidad aseguradora de la reclamación de un subsidio económico por concepto favorable de rehabilitación, o le solicite el reembolso de uno ya pagado. La reserva se debe constituir conforme a la siguiente fórmula:
![]()
Donde:
Reserva de siniestros avisados por concepto de subsidio económico por concepto favorable de rehabilitación para el siniestro a.
Último ingreso base de cotización del afiliado con base 30 días, asociado al siniestro a. Cuando no se disponga del IBC, se debe utilizar el salario registrado en el formato de afiliación o la información disponible en la planilla de autoliquidación de aportes con la que se cuente, indexado a la fecha de cálculo.
Salario mínimo legal mensual vigente a la fecha de cálculo.
Mediana de la distribución de días pagados por subsidio económico por concepto favorable de rehabilitación por la entidad aseguradora durante los últimos 3 años.
Para los siniestros que cuenten con un informe de la EPS que defina y certifique los días de subsidio económico por concepto favorable de rehabilitación, la reserva se constituirá empleando los días determinados en dicho informe.
Esta reserva se debe ajustar de acuerdo con los pagos que efectúe la entidad aseguradora para cada siniestro y recalcular anualmente. En caso de agotarse la reserva de la cobertura del subsidio económico por concepto favorable de rehabilitación correspondiente a un siniestro avisado por pagos realizados, la entidad debe reconstituirla con el 100% del monto del cálculo que corresponda en el momento del agotamiento de la misma. En cualquier caso, la reserva por subsidio económico por concepto favorable de rehabilitación debe contemplar un subsidio equivalente a la incapacidad que venía disfrutando el trabajador con cargo a la EPS, según lo definido en el artículo 142 del Decreto 019 de 2012.
La reserva por subsidio económico por concepto favorable de rehabilitación se liberará una vez efectuado el pago total del subsidio, cuando se cuente con un dictamen en firme, por muerte del afiliado, por cambio de AFP, por negación del derecho o cuando prescriba cada mesada exigible. Cuando se presente una solicitud de pago asociada a una reserva liberada, la entidad debe constituir nuevamente la reserva descontando los pagos realizados. En ningún caso esta reserva puede ser negativa.
6. METODOLOGÍA DE CÁLCULO DE LA RESERVA POR HONORARIOS DE ABOGADOS
Las entidades aseguradoras que hayan pactado asumir el costo de los honorarios de abogados, deben constituir una reserva por concepto de honorarios de abogados para cada uno de los siniestros avisados que se encuentren en proceso judicial o en etapa de conciliación prejudicial (incluyendo aquellos en los cuales la pretensión está por fuera del alcance de la cobertura del seguro previsional o la probabilidad de ser fallados en contra de la entidad aseguradora es baja) desde el momento de notificación de admisión de la demanda o solicitud de conciliación.
Esta reserva debe corresponder a la mejor estimación que la entidad pueda realizar a la fecha de cálculo de la reserva, con base en la metodología que defina la entidad aseguradora y en el acuerdo que se tenga con el abogado que representa judicial o prejudicialmente a la entidad.
La metodología que adopte la entidad debe estar debidamente documentada, corresponder al tipo de acuerdo que la entidad tenga con el abogado y permanecer a disposición de la SFC.
7. AFECTACIÓN DE LA RESERVA TÉCNICA DE SINIESTROS AVISADOS POR PROCESOS JUDICIALES
Para los siniestros avisados que se encuentren en proceso judicial o en etapa de conciliación prejudicial (incluyendo aquellos en los cuales la pretensión está por fuera del alcance de la cobertura del seguro previsional o la probabilidad de ser fallados en contra de la entidad aseguradora es baja) y en los cuales la pretensión del demandante sea el pago de una pensión de invalidez o una pensión de sobrevivencia, se debe constituir una reserva de siniestros avisados de acuerdo con las instrucciones técnicas de los numerales 2. a 4 de este anexo según corresponda y desde el momento de notificación de admisión de la demanda o solicitud de conciliación.
Para los siniestros avisados que estén en proceso judicial, las entidades aseguradoras deben afectar la reserva de siniestros avisados del ramo de seguros previsionales de invalidez y sobrevivencia de acuerdo con la probabilidad del riesgo técnico-jurídico del proceso judicial, correspondiente a la categoría de riesgo técnico-jurídico.
La reserva por honorarios de abogados de que trata el numeral 6. no debe ser afectada por la probabilidad del riesgo técnico-jurídico del proceso judicial de la que trata este subnumeral.
7.1. Comité interdisciplinario de evaluación de siniestros en proceso judicial.
Las entidades aseguradoras deben conformar un comité interdisciplinario de evaluación de siniestros en proceso judicial o conciliación, el cual debe ser integrado, al menos, por un experto en medicina, un experto en asuntos legales, un responsable administrativo del área técnica de siniestros y un actuario. Este comité tiene las siguientes responsabilidades:
7.1.1. Determinar la categoría y probabilidad del riesgo técnico-jurídico del proceso judicial, teniendo en cuenta los conocimientos y experiencia de los miembros del comité, así como la información disponible de los siniestros pagados.
La metodología empleada para fijar las probabilidades de que trata este subnumeral debe estar debidamente documentada y mantenerse a disposición de la SFC.
7.1.2. Revisar los nuevos procesos judiciales, los cambios en la instancia jurídica para los procesos en curso y la terminación del proceso por conciliación o fallo.
7.1.3. Hacer un seguimiento de los procesos judiciales en curso.
7.2. Liberación de la reserva de siniestros avisados por procesos judiciales
Esta reserva se puede liberar total o parcialmente, según el caso, en los siguientes eventos:
7.2.1. Por la expedición de providencia judicial absolutoria en firme para la entidad aseguradora.
7.2.2. Por el pago de las obligaciones definidas por un fallo de última instancia en contra de la entidad aseguradora.
7.2.3. Por reclasificación del siniestro en proceso judicial a una categoría de menor riesgo técnico-jurídico, debidamente justificado.
7.2.4. Por prescripción de los derechos económicos.
8. INSTRUCCIONES TÉCNICAS PARA EL CÁLCULO DE LA RESERVA DE SINIESTROS AVISADOS
8.1. Información necesaria para el cálculo de la reserva de siniestros avisados del ramo de seguro previsional
Para efectuar el cálculo de la reserva de siniestros avisados del ramo de seguro previsional de pensión de invalidez y sobrevivencia, las entidades aseguradoras deben utilizar la información suministrada por las administradoras de fondos de pensiones.
8.2. Supuestos para efectuar el cálculo de la reserva para el pago de siniestros de invalidez o de sobrevivencia
De acuerdo con lo previsto en el parágrafo único del artículo 2.31.4.4.2 del Decreto 2555 de 2010 cuando la entidad aseguradora no cuente con alguno de los datos necesarios para efectuar el cálculo de la suma adicional, debe adoptar una metodología propia para la construcción de los supuestos que completen la información faltante. La referida metodología debe emplear los siguientes supuestos:
8.2.1. Ingreso Base de Liquidación: Último salario base de cotización del afiliado o mejor estimación.
8.2.2. Estado Civil: Casado.
8.2.3. Edad Cónyuge: si el afiliado es del sexo masculino, se supone un cónyuge femenino 4 años menor. Si el afiliado es del sexo femenino, se supone un cónyuge masculino 4 años mayor.
8.2.4. Estado de salud del beneficiario activo.
8.2.5. Cónyuge vitalicio de mínimo 30 años de edad.
8.2.6. Hijos: No tiene.
8.2.7. Número de semanas: Cada aseguradora debe calcular anualmente, en función de su propia información, el número de semanas promedio, por rango del Ingreso Base de Cotización (IBC), rango de edad y tipo de pensión de los siniestros ocurridos pagados durante los últimos 8 años.
La metodología propia debe estar debidamente documentada y mantenerse a disposición de la SFC. Dicha metodología debe ser avalada por el actuario responsable de la entidad aseguradora.
En caso de que la entidad aseguradora modifique la metodología, debe remitirla a la SFC dentro de los 10 días hábiles siguientes, mediante una comunicación que informe dicho cambio y las motivaciones de esta decisión. Los cambios serán aplicables únicamente a partir del siguiente año fiscal.
9. INSTRUCCIONES TÉCNICAS PARA EL REGISTRO DE CASOS Y CÁLCULO DE LAS PROBABILIDADES POR PENSIÓN DE INVALIDEZ
9.1. Registro y clasificación de las solicitudes de una pensión de invalidez
Las entidades aseguradoras deben mantener de forma mensual un registro actualizado de las solicitudes finalizadas (pagadas o rechazadas) de pensión de invalidez, de los últimos 8 años, indicando la fecha en que dichas solicitudes llegan a las diferentes etapas del proceso de reclamación de la pensión, hasta su posterior estancia definitiva (liquidación o rechazo de la solicitud), de acuerdo con las siguientes instrucciones:
Columna (C1): Se deberá indicar la fecha de corte “MM/AAAA” (mes y año) al que se refiere la información consignada en la fila respectiva.
Columna (2) (C2): Todas las solicitudes de pensión por invalidez informadas por la AFP a la entidad aseguradora.
Columna (3) (C3): Son las solicitudes de pensión por invalidez informadas por la AFP a la entidad aseguradora, para las cuales la calificación en primera oportunidad (P.O) de Pérdida de Capacidad Laboral (PCL) fue superior o igual al 50%.
Columna (4) (C4): Son las solicitudes de pensión por invalidez informadas por la AFP a la entidad aseguradora para las cuales no procede la calificación de PCL, pues con la información disponible es posible determinar que no procede pago alguno a cargo de la entidad aseguradora (p. ej. Calificado como origen laboral en dictamen de la EPS).
Columna (5) (C5): Son las solicitudes de pensión por invalidez con calificación en primera oportunidad de PCL superior o igual al 50% que son aprobadas por la entidad aseguradora.
Columna (6) (C6): Son las solicitudes de pensión por invalidez con calificación en primera oportunidad de PCL superior o igual al 50% que son rechazadas por la entidad aseguradora.
Columna (7) (C7): Son las solicitudes de pensión por invalidez con calificación en primera oportunidad de PCL superior o igual al 50% que son rechazadas por la entidad aseguradora y son apeladas por el afiliado ante la Junta Regional (J.R).
Columna (8) (C8): Son las solicitudes de pensión por invalidez con calificación en primera oportunidad de PCL superior o igual al 50% que fueron rechazadas por la entidad aseguradora y para las cuales el plazo de apelación se venció.
Columna (9) (C9): Son las solicitudes de pensión por invalidez con calificación en primera oportunidad de PCL superior o igual al 50% que son rechazadas por la entidad aseguradora, son apeladas por el afiliado ante la Junta Regional y el resultado es un dictamen de PCL mayor o igual al 50%.
Columna (10) (C10): Son las solicitudes de pensión por invalidez con calificación en primera oportunidad de PCL superior o igual al 50%, con calificación de PCL superior o igual al 50% de la Junta Regional, que son aprobadas por la entidad aseguradora.
Columna (11) (C11): Son las solicitudes de pensión por invalidez con calificación en primera oportunidad de PCL superior o igual al 50%, con calificación de PCL superior o igual al 50% de la Junta Regional que son rechazadas por la entidad aseguradora.
Columna (12) (C12): Son las solicitudes de pensión por invalidez con calificación en primera oportunidad de PCL superior o igual al 50%, con calificación de PCL superior o igual al 50% de la Junta Regional, que son rechazadas por la entidad aseguradora y son apeladas por el afiliado ante la Junta Nacional (J.N).
Columna (13) (C13): Son las solicitudes de pensión por invalidez con calificación en primera oportunidad de PCL superior o igual al 50%, con calificación de PCL superior o igual al 50% de la Junta Regional, que fueron rechazadas por la entidad aseguradora y para las cuales el plazo de apelación se venció.
Columna (14) (C14): Son las solicitudes de pensión por invalidez con calificación en primera oportunidad de PCL superior o igual al 50%, con calificación de PCL superior o igual al 50% de la Junta Regional, con calificación de PCL igual o superior al 50% de la Junta Nacional.
Columna (15) (C15): Son las solicitudes de pensión por invalidez con calificación en primera oportunidad de PCL superior o igual al 50%, con calificación de PCL superior o igual al 50% de la Juntas Regional y Nacional, que son aprobadas por la entidad aseguradora.
Columna (16) (C16): Son las solicitudes de pensión por invalidez con calificación en primera oportunidad de PCL igual o superior al 50%, con calificación de PCL igual o superior de las Juntas Regional y Nacional que son rechazadas por la entidad aseguradora.
Columna (17) (C17): Son las solicitudes de pensión por invalidez con calificación en primera oportunidad de PCL superior o igual al 50%, con calificación de PCL superior o igual al 50% de la Junta Regional y calificación de PCL inferior al 50% de la Junta Nacional.
Columna (18) (C18): Son las solicitudes de pensión por invalidez con calificación en primera oportunidad de PCL superior o igual al 50%, y con calificación de PCL inferior al 50% de la Junta Regional.
Columna (19) (C19): Son las solicitudes de pensión por invalidez con calificación en primera oportunidad de PCL superior o igual al 50%, con calificación de PCL inferior al 50% de la Junta Regional que son apeladas por el afiliado ante la Junta Nacional.
Columna (20) (C20): Son las solicitudes de pensión por invalidez con calificación en primera oportunidad de PCL superior o igual al 50%, con calificación de PCL inferior al 50% de la Junta Regional y para las cuales el plazo de apelación se venció.
Columna (21) (C21): Son las solicitudes de pensión por invalidez con calificación en primera oportunidad de PCL superior o igual al 50%, con calificación de PCL inferior al 50% de la Junta Regional, apeladas por el afiliado ante la Junta Nacional y el resultado es un dictamen de PCL mayor o igual al 50%.
Columna (22) (C22): Son las solicitudes de pensión por invalidez con calificación en primera oportunidad de PCL superior o igual al 50%, con calificación de PCL inferior al 50% de la Junta Regional y de calificación de PCL superior o igual al 50% de la Junta Nacional, que son aprobadas por la entidad aseguradora.
Columna (23) (C23): Son las solicitudes de pensión por invalidez con calificación en primera oportunidad de PCL superior o igual al 50%, con calificación de PCL inferior al 50% de la Junta Regional y de calificación de PCL superior o igual al 50% de la Junta Nacional, que son rechazadas por la entidad aseguradora.
Columna (24) (C24) Son las solicitudes de pensión por invalidez con calificación en primera oportunidad de PCL superior o igual al 50%, con calificación de PCL inferior al 50% de la Junta Regional y calificación de PCL inferior al 50% de la Junta Nacional.
Columna (25) (C25): Son las solicitudes de pensión por invalidez informadas por la AFP a la entidad aseguradora, para las cuales la calificación en primera oportunidad de PCL fue inferior al 50%.
Columna (26) (C26): Son las solicitudes de pensión por invalidez con calificación en primera oportunidad de PCL inferior al 50% que son rechazadas por la entidad aseguradora y son apeladas por el afiliado ante la Junta Regional.
Columna (27) (C27): Son las solicitudes de pensión por invalidez con calificación en primera oportunidad de PCL inferior al 50% que fueron rechazadas por la entidad aseguradora y para las cuales el plazo de apelación se venció.
Columna (28) (C28): Son las solicitudes de pensión por invalidez con calificación en primera oportunidad de PCL inferior al 50% que son apeladas por el afiliado ante la Junta Regional y el resultado es un dictamen de PCL mayor o igual al 50%.
Columna (29) (C29): Son las solicitudes de pensión por invalidez con calificación en primera oportunidad de PCL inferior al 50%, con calificación de PCL superior o igual al 50% de la Junta Regional, que son aprobadas por la entidad aseguradora.
Columna (30) (C30): Son las solicitudes de pensión por invalidez con calificación en primera oportunidad de PCL inferior al 50%, con calificación de PCL superior o igual al 50% de la Junta Regional que son rechazadas por la entidad aseguradora.
Columna (31) (C31): Son las solicitudes de pensión por invalidez con calificación en primera oportunidad de PCL inferior al 50%, con calificación de PCL superior o igual al 50% de la Junta Regional, que son rechazadas por la entidad aseguradora y son apeladas por el afiliado ante la Junta Nacional.
Columna (32) (C32): Son las solicitudes de pensión por invalidez con calificación en primera oportunidad de PCL inferior al 50%, con calificación de PCL superior o igual al 50% de la Junta Regional, que fueron rechazadas por la entidad aseguradora y para las cuales el plazo de apelación se venció.
Columna (33) (C33): Son las solicitudes de pensión por invalidez con calificación en primera oportunidad de PCL inferior al 50%, con calificación de PCL superior o igual al 50% de la Junta Regional, con calificación de PCL igual o superior al 50% de la Junta Nacional.
Columna (34) (C34): Son las solicitudes de pensión por invalidez con calificación en primera oportunidad de PCL inferior al 50%, con calificación de PCL superior o igual al 50% de la Juntas Regional y Nacional, que son aprobadas por la entidad aseguradora.
Columna (35) (C35): Son las solicitudes de pensión por invalidez con calificación en primera oportunidad de PCL inferior al 50%, con calificación de PCL igual o superior al 50% de las Juntas Regional y Nacional, que son rechazadas por la entidad aseguradora.
Columna (36) (C36) Son las solicitudes de pensión por invalidez con calificación en primera oportunidad de PCL inferior al 50%, con calificación de PCL superior o igual al 50% de la Junta Regional y calificación de PCL inferior al 50% de la Junta Nacional.
Columna (37) (C37): Son las solicitudes de pensión por invalidez con calificación en primera oportunidad de PCL inferior al 50%, y con calificación de PCL inferior al 50% de la Junta Regional.
Columna (38) (C38): Son las solicitudes de pensión por invalidez con calificación en primera oportunidad de PCL inferior al 50%, con calificación de PCL inferior al 50% de la Junta Regional que son apeladas por el afiliado ante la Junta Nacional.
Columna (39) (C39): Son las solicitudes de pensión por invalidez con calificación en primera oportunidad de PCL inferior al 50%, con calificación de PCL inferior al 50% de la Junta Regional y para las cuales el plazo de apelación se venció.
Columna (40) (C40): Son las solicitudes de pensión por invalidez con calificación en primera oportunidad de PCL inferior al 50%, con calificación de PCL inferior al 50% de la Junta Regional, apeladas por el afiliado ante la Junta Nacional y el resultado es un dictamen de PCL mayor o igual al 50%.
Columna (41) (C41): Son las solicitudes de pensión por invalidez con calificación en primera oportunidad de PCL inferior al 50%, con calificación de PCL inferior al 50% de la Junta Regional y de calificación de PCL superior o igual al 50% de la Junta Nacional, que son aprobadas por la entidad aseguradora.
Columna (42) (C42): Son las solicitudes de pensión por invalidez con calificación en primera oportunidad de PCL inferior al 50%, con calificación de PCL inferior al 50% de la Junta Regional y de calificación de PCL superior o igual al 50% de la Junta Nacional, que son rechazadas por la entidad aseguradora.
Columna (43) (C43) Son las solicitudes de pensión por invalidez con calificación en primera oportunidad de PCL inferior al 50%, con calificación de PCL inferior al 50% de la Junta Regional y calificación de PCL inferior al 50% de la Junta Nacional.
Cuando las entidades aseguradoras cuenten con menos de 30 casos de solicitudes de pensión de invalidez en alguna de las clasificaciones previstas en este subnumeral, deben adoptar una metodología propia para la estimación de las probabilidades que trata el subnumeral 9.2. de este anexo. Dicha metodología debe remitirse inicialmente a la SFC, estar debidamente documentada, ser avalada por el actuario responsable de la entidad aseguradora y mantenerse a disposición de la SFC.
En caso de que la entidad aseguradora modifique la metodología, debe remitirla a la SFC dentro de los 10 días hábiles siguientes, mediante una comunicación que informe dicho cambio y las motivaciones de esta decisión. Los cambios serán aplicables únicamente a partir del siguiente año fiscal.
9.2. Probabilidades de pago de una pensión de invalidez
El cálculo de las probabilidades de pago de solicitudes de pensión de invalidez que trata el numeral 2 de este anexo, se debe actualizar anualmente y calcular de acuerdo con la instancia donde se encuentre la solicitud, de la siguiente forma:
Probabilidad de pago de una solicitud de pensión de invalidez (j=2):
![]()
Probabilidad de pago de una solicitud de pensión de invalidez con P.O: PCL >=50% (j=3):
![]()
Probabilidad de pago de una solicitud de pensión de invalidez no procede calificación de PCL (j=4):
![]()
Probabilidad de pago de una solicitud con P.O: PCL >=50% pagada (j=5):
![]()
Probabilidad de pago de una solicitud con P.O: PCL >=50% No pagada (j=6):
![]()
Probabilidad de pago de una solicitud con P.O: PCL >=50%. No pagada apelada ante Junta Regional (j=7):
![]()
Probabilidad de pago de una solicitud con P.O: PCL >=50% No pagada, no apelada (j=8):
![]()
Probabilidad de pago de una solicitud con P.O: PCL >=50%, J.R: PCL >=50% (j=9):
![]()
Probabilidad de pago de una solicitud con P.O: PCL >=50%, J.R: PCL >=50%, pagada (j=10):
![]()
Probabilidad de pago de una solicitud con P.O: PCL >=50%, J.R: PCL >=50%, No pagada (j=11):
![]()
Probabilidad de pago de una solicitud con P.O: PCL >=50%, J.R: PCL >=50%, apelada ante Junta Nacional (j=12):
![]()
Probabilidad de pago de una solicitud con P.O: PCL >=50%, J.R: PCL >=50%, No pagada, no apelada (j=13):
![]()
Probabilidad de pago de una solicitud con P.O: PCL >=50%, J.R: PCL >=50%, J.N: PCL >=50% (j=14):
![]()
Probabilidad de pago de una solicitud con P.O: PCL >=50%, J.R: PCL >=50%, J.N: PCL >=50%, pagada (j=15):
![]()
Probabilidad de pago de una solicitud con P.O: PCL >=50%, J.R: PCL >=50%, J.N: PCL >=50%, negada (j=16):
![]()
de pago de una solicitud con P.O: PCL >=50%, J.R: PCL >=50%, J.N: PCL <=50% (j=17):
![]()
Probabilidad de pago de una solicitud con P.O: PCL >=50%, J.R: PCL <=50% (j=18):
![]()
Probabilidad de pago de una solicitud con P.O: PCL >=50%, J.R: PCL <=50%, apelada ante la Junta Nacional (j=19):
![]()
Probabilidad de pago de una solicitud con P.O: PCL >=50%, J.R: PCL <=50%, no apelada (j=20):
![]()
Probabilidad de pago de una solicitud con P.O: PCL >=50%, J.R: PCL <=50%, J.N: PCL >=50% (j=21):
![]()
Probabilidad de pago de una solicitud con P.O: PCL >=50%, J.R: PCL <=50%, J.N: PCL >=50%, pagada (j=22):
![]()
Probabilidad de pago de una solicitud con P.O: PCL >=50%, J.R: PCL <=50%, J.N: PCL >=50%, negada (j=23):
![]()
Probabilidad de pago de una solicitud con P.O: PCL >=50%, J.R: PCL <=50%, J.N: PCL <=50% (j=24):
![]()
Probabilidad de pago de una solicitud de pensión de invalidez con P.O: PCL <=50% (j=25):
![]()
Probabilidad de pago de una solicitud con P.O: PCL <=50% apelada ante Junta Regional (j=26):
![]()
Probabilidad de pago de una solicitud con P.O: PCL <=50% no apelada (j=27):
![]()
Probabilidad de pago de una solicitud con P.O: PCL <=50%, J.R: PCL >=50% (j=28):
![]()
Probabilidad de pago de una solicitud con P.O: PCL <=50%, J.R: PCL >=50%, pagada (j=29):
![]()
Probabilidad de pago de una solicitud con P.O: PCL <=50%, J.R: PCL >=50%, No pagada (j=30):
![]()
Probabilidad de pago de una solicitud con P.O: PCL <=50%, J.R: PCL >=50%, apelada ante Junta Nacional (j=31):
![]()
Probabilidad de pago de una solicitud con P.O: PCL <=50%, J.R: PCL >=50%, No pagada, apelada (j=32):
![]()
Probabilidad de pago de una solicitud con P.O: PCL <=50%, J.R: PCL >=50%, J.N: PCL >=50% (j=33):
![]()
Probabilidad de pago de una solicitud con P.O: PCL <=50%, J.R: PCL >=50%, J.N: PCL >=50%, pagada (j=34):
![]()
Probabilidad de pago de una solicitud con P.O: PCL <=50%, J.R: PCL >=50%, J.N: PCL >=50%, negada (j=35):
![]()
Probabilidad de pago de una solicitud con P.O: PCL<=50%, J.R: PCL >=50%, J.N: PCL <=50% (j=36):
![]()
Probabilidad de pago de una solicitud con P.O: PCL <=50%, J.R: PCL <=50% (j=37):
![]()
Probabilidad de pago de una solicitud con P.O: PCL <=50%, J.R: PCL <=50%, apelada ante la Junta Nacional (j=38):
![]()
Probabilidad de pago de una solicitud con P.O: PCL <=50%, J.R: PCL <=50%, no apelada (j=39):
![]()
Probabilidad de pago de una solicitud con P.O: PCL <=50%, J.R: PCL <=50%, J.N: PCL >=50% (j=40):
![]()
Probabilidad de pago de una solicitud con P.O: PCL <=50%, J.R: PCL <=50%, J.N: PCL >=50%, pagada (j=41):
![]()
Probabilidad de pago de una solicitud con P.O: PCL <=50%, J.R: PCL <=50%, J.N: PCL >=50%, negada (j=42):
![]()
Probabilidad de pago de una solicitud con P.O: PCL <=50%, J.R: PCL <=50%, J.N: PCL <=50% (j=43):
![]()
10. INSTRUCCIONES TÉCNICAS PARA EL REGISTRO DE CASOS Y CÁLCULO DE LAS PROBABILIDADES POR PENSIÓN DE SOBREVIVENCIA
10.1. Registro y clasificación de las solicitudes de pensión de sobrevivencia
Las entidades aseguradoras deben llevar un registro actualizado de las solicitudes finalizadas (pagadas o rechazadas) de pensión de sobrevivencia como mínimo mensualmente, de los últimos 8 años, de acuerdo con las siguientes instrucciones:
Columna 1 (C1): Se debe indicar la fecha “MM/AAAA” (mes y año) al que se refiere la información consignada en la fila respectiva.
Columna 2 (C2): Corresponde al número de solicitudes de pensión de sobrevivencia aprobadas por la entidad aseguradora en el mes “t”, más aquellas rechazadas en el mismo mes.
Columna 3 (C3): Número de solicitudes de pensión de sobrevivencia aprobadas por la entidad aseguradora.
Columna 4 (C4): Número de solicitudes de pensión de sobrevivencia rechazadas por la entidad aseguradora.
Cuando las entidades aseguradoras cuenten con menos de 30 casos de solicitudes de pensión de sobrevivencia en alguna de las clasificaciones previstas en este subnumeral, deben adoptar una metodología propia para la estimación de las probabilidades que trata el subnumeral 10.2 de este anexo. Dicha metodología debe estar debidamente documentada, ser avalada por el actuario responsable de la entidad aseguradora y mantenerse a disposición de la SFC. En caso de que la entidad aseguradora modifique la metodología, debe remitirla a la SFC dentro de los 10 días hábiles siguientes, mediante una comunicación que informe dicho cambio y las motivaciones de esta decisión. Los cambios serán aplicables únicamente a partir del siguiente año fiscal.
10.2. Probabilidades de pago de una pensión de sobrevivencia
El cálculo de las probabilidades de pago de solicitudes de pensión de sobrevivencia que trata el numeral 3. de este anexo, debe actualizarse anualmente y calcularse de la siguiente forma:
Probabilidad de pago dada una solicitud de pensión de sobrevivencia (j=2):
![]()
Probabilidad de pago dada una solicitud de pensión de sobrevivencia aceptada (j=3):
![]()
Probabilidad de pago dada una solicitud de pensión de sobrevivencia rechazada (j=4):
![]()
METODOLOGÍA DE CÁLCULO DE LAS RESERVAS QUE COMPONEN LA RESERVA TÉCNICA DE SINIESTROS AVISADOS DEL RAMO DE RIESGOS LABORALES.
1. CONSIDERACIONES GENERALES
De acuerdo con las instrucciones previstas en el numeral 5.4.1.1. del Capítulo XXXIV de la CBCF, en el presente anexo se establece la metodología de cálculo de la reserva de siniestros avisados del ramo de seguro de riesgos laborales, según lo dispuesto en el artículo 2.31.4.4.4. del Decreto 2555 de 2010.
Para efectos de aplicar la metodología establecida en el presente anexo, las entidades deberán considerar los lineamientos especiales del artículo 2.31.4.4.4. del Decreto 2555 de 2010, y podrán realizar los cálculos considerando una tasa de descuento equivalente a la curva de rendimiento libre de riesgo de que trata el numeral 3.3.1. del Capítulo XXXIV de la CBCF, con el fin de capturar el valor del dinero en el tiempo.
2. METODOLOGÍA DE CÁLCULO DE LA RESERVA DE PRESTACIONES ASISTENCIALES
En el cálculo de la presente reserva las entidades aseguradoras deberán atender los siguientes casos:
2.1. Siniestros no crónicos y no vitalicios
En la fecha en que la entidad aseguradora tenga conocimiento, por cualquier medio, de la ocurrencia del siniestro, debe constituir una reserva por concepto de prestaciones asistenciales. Esta reserva se debe constituir dependiendo del estado en que se encuentre el siniestro:
2.1.1. Para siniestros nuevos
La reserva para siniestros nuevos se constituye de la siguiente forma:
2.1.1.1. Siniestros en los que la entidad aseguradora no cuenta con una revisión médica del siniestro por parte de la auditoría médica de la entidad, pero ha sido categorizado en los términos del numeral 11 de este anexo
En los siniestros en los que la entidad aseguradora no cuenta con una revisión médica del siniestro por parte de su auditoría médica o dicha revisión no permita estimar el costo de las prestaciones asistenciales del siniestro, el monto de la mejor estimación para la reserva de cada siniestro se determina como el costo estimado de las prestaciones asistenciales (CEPA) de la categoría de gravedad asignada en los términos del numeral 11 de este anexo.
Metodología de estimación del CEPA
El CEPA se calcula por cada categoría de la tabla de categorías de gravedad según se refiere el numeral 4 de este anexo.
El CEPA de cada categoría corresponde al promedio simple de los montos pagados por concepto de prestaciones asistenciales para los siniestros pagados de cada categoría (i) en los últimos 3 años, ajustado por un margen de seguridad. El margen de seguridad está definido en función de la desviación estándar de los mismos montos y el número de siniestros considerados. Lo anterior, corresponde a la siguiente fórmula:

Donde:
Costo estimado de las prestaciones asistenciales correspondiente en la categoría de gravedad i.
Monto pagado por concepto de prestaciones asistenciales para el k-ésimo siniestro de la categoría i., indexado a la fecha de cálculo de la reserva, de acuerdo con la siguiente fórmula:
![]()
Donde:
Monto pagado por concepto de prestaciones asistenciales para el k--ésimo siniestro en el momento j.
Valor del índice de precios al consumidor para el mes j publicado por el DANE.
Valor del índice de precios al consumidor para el mes t publicado por el DANE, siendo t el último mes para el cual el índice está disponible.
Número total de siniestro s que generaron pagos por concepto de prestaciones asistenciales de la categoría “i” durante los últimos 3 años.
Desviación estándar de los montos pagados por concepto de prestaciones asistenciales
para los
siniestros pagados considerados en el cálculo del ![]()
Para calcular el
la entidad aseguradora debe tener en cuenta todos los siniestros pagados que le hayan generado desembolsos por concepto de prestaciones asistenciales para cada categoría de gravedad de lesiones o enfermedad laboral, según se establece en el numeral 11 del presente anexo, en los últimos 3 años. Deben excluirse del cálculo del
los siniestros para los cuales se calcule la reserva de prestaciones asistenciales de siniestros crónicos y vitalicios.
El cálculo del
se debe actualizar por lo menos una vez al año.
En caso de agotarse la reserva correspondiente a un siniestro avisado por pagos realizados, la entidad debe constituir el 100 % del monto inicial del
para la categoría de gravedad de la lesión o enfermedad laboral en la que está clasificado dicho siniestro.
Esta reserva no se podrá liberar a menos que haya transcurrido 1 año sin que la reclamación haya presentado movimientos.
2.1.1.2. Siniestros en los que la entidad aseguradora cuenta con una revisión médica del siniestro por parte de la auditoría médica de la entidad
Si desde el aviso del siniestro o durante la evolución de este la entidad aseguradora cuenta con una revisión médica del siniestro por parte de la auditoría médica de la entidad que le permite realizar el estimado del costo de las prestaciones asistenciales del siniestro, la reserva debe corresponder al monto que se deriva de dicho informe. La entidad aseguradora debe solicitar una actualización de la revisión médica del siniestro para realizar ajustes a esta reserva cuando se generen movimientos por pagos o autorizaciones de tratamientos, cuando se tenga conocimiento de la evolución médica del paciente o, como mínimo, cada 6 meses.
2.1.1.3. Siniestros en los que se desconoce la categorización del siniestro
Cuando la entidad aseguradora no cuente con información del siniestro, bien sea al momento del aviso o del traslado de una entidad aseguradora a otra, la reserva se debe constituir por el monto correspondiente a la categoría de gravedad más alta de acuerdo con lo previsto en el numeral 11 de este anexo y la información de los siniestros pagados durante los últimos 3 años.
2.1.2. Para siniestros en que se requieran prestaciones asistenciales, aunque hayan sido cerrados
La reserva para este tipo de siniestros se constituye de la siguiente forma:
2.1.2.1. Siniestros en los que la entidad aseguradora no cuenta con una revisión médica del siniestro por parte de la auditoría médica de la entidad y han sido categorizados en los términos del numeral 11 de este anexo
En este caso la entidad debe atender la instrucción del subnumeral 2.1.1. de este anexo, descontando el valor de las prestaciones asistenciales pagadas al siniestro. El
utilizado en estos casos corresponde al de la categoría de gravedad de la lesión o enfermedad laboral inmediatamente superior a la categoría con la cual se había cerrado el siniestro, de conformidad con la tabla del numeral 11 de este anexo.
2.1.2.2. Siniestros en los que la entidad aseguradora cuenta con una revisión médica del siniestro por parte de la auditoría médica de la entidad.
La entidad debe atender la instrucción del subnumeral 2.1.1.2. de este anexo.
2.1.3. Para siniestros recategorizados
Cuando haya lugar a recategorizar un siniestro la reserva se debe constituir de acuerdo con las siguientes instrucciones. En todo caso, la reserva no puede corresponder a un valor negativo o compensarse con los demás siniestros.
2.1.3.1. Siniestros en los que la entidad aseguradora no cuenta con una revisión médica del siniestro por parte de la auditoría médica de la entidad
Se debe atender la instrucción del subnumeral 2.1.1.1. de este anexo, descontando el valor de las prestaciones asistenciales pagadas al siniestro.
El CEPA utilizado en estos casos corresponde al calculado para la nueva categoría de gravedad de la lesión o enfermedad laboral, de conformidad con la tabla del numeral 11 de este anexo.
2.1.3.2. Siniestros en los que la entidad aseguradora cuenta con una revisión médica del siniestro por parte de la auditoría médica de la entidad
Se debe atender la instrucción del subnumeral 2.1.1.2. de este anexo.
2.2. Para siniestros crónicos
Las entidades aseguradoras deben constituir una reserva de prestaciones asistenciales para cada uno de los siniestros avisados para los cuales la auditoría médica de la entidad aseguradora ha emitido un informe que cataloga como crónico.
En caso de que la entidad aseguradora no cuente con el informe médico respectivo de su auditoria médica, la entidad debe proceder de acuerdo con el siguiente árbol de decisión, para cada uno de los siniestros avisados a la fecha de cálculo:

*Los años y SMMLV toman como referencia la fecha de cálculo de la reserva.
2.2.1. Cálculo de la reserva de prestaciones asistenciales para siniestros crónicos
Esta reserva se debe calcular para cada siniestro como una renta en función de la edad, sexo y expectativa de vida del trabajador afiliado. La renta se debe constituir por el tiempo señalado en el informe médico de la auditoría médica o por un período de 5 años para los siniestros en los cuales no se cuente con el informe de la auditoría médica de la entidad aseguradora.
En el caso de los siniestros crónicos para los que se tiene un informe médico de la auditoría médica y la recurrencia del pago es mayor a 1 año, la reserva de prestaciones asistenciales para siniestros crónicos se debe constituir como una renta por el tiempo y costo periódico estimado por la auditoría médica de la entidad aseguradora.
El cálculo de la reserva de prestaciones asistenciales para siniestros crónicos que debe realizar la entidad aseguradora se debe sujetar a las instrucciones técnicas del numeral 10.7. de este anexo.
2.2.1.1. Cálculo de la reserva de prestaciones asistenciales para siniestros crónicos con recurrencia de pago no mayor a 1 año
Para cada uno de los siniestros en los cuales el tiempo de constitución (b) de la renta es definido por la auditoría médica de la entidad aseguradora en su informe, la reserva de prestaciones asistenciales para siniestros crónicos se calcula de acuerdo con la siguiente fórmula:
![]()
Donde:
Corresponde a la reserva de prestaciones asistenciales para el i-ésimo siniestro crónico.
Corresponde al costo anual de las prestaciones asistenciales definido de acuerdo con el subnumeral 2.2.2. de este anexo.
Corresponde a una renta temporal a «b» años, vencida contingente de una sola cabeza, anual, la cual paga una unidad monetaria definida en el subnumeral 10.7. de este anexo. Para aquellos casos en los cuales el tiempo de constitución no ha sido determinado por el informe de la auditoría médica de la entidad aseguradora «b» tomará el valor de 5.
Esta reserva se debe liberar de acuerdo con los pagos que efectúe la entidad aseguradora para cada siniestro. La reserva se debe recalcular anualmente o al agotarse como consecuencia de los pagos de las prestaciones por un periodo de 5 años, contados a partir del último pago observado.
2.2.1.2. Cálculo de la reserva de prestaciones asistenciales para siniestros crónicos con recurrencia de pago mayor a 1 año.
Para cada uno de los siniestros crónicos para los cuales la entidad aseguradora cuente con el concepto de su auditoría médica que le permita estimar el costo medio anual de las prestaciones asistenciales y el tiempo de constitución de la renta y la recurrencia de pago sea superior a 1 año, la reserva de prestaciones asistenciales para siniestros crónicos se debe calcular de acuerdo con la siguiente fórmula:

Donde:
Corresponde a la reserva de prestaciones asistenciales para el i-ésimo siniestro crónico con recurrencia de pago mayor a 1 año.
Corresponde al costo medio anual de las prestaciones asistenciales para el i-ésimo siniestro, estimado a partir de la revisión de la auditoría médica de la entidad aseguradora.
Corresponde a la duración en años dictaminada por la auditoría médica de la entidad aseguradora.
Corresponde a la recurrencia en años de la prestación asistencial.
Corresponde a la probabilidad de que un individuo de edad «x» sobreviva hasta la edad ![]()
Corresponde a la inflación anual proyectada por la entidad aseguradora.
El factor de descuento es determinado de acuerdo con la siguiente fórmula:
![]()
Donde:
![]()
j: Variación anual del índice de precios al consumidor publicado por el DANE para cada período.
Esta reserva se debe liberar de acuerdo con los pagos que efectúe la entidad aseguradora para cada siniestro. La reserva se debe recalcular a partir del último pago observado.
2.2.2. Cálculo del costo anual de las prestaciones asistenciales
El costo anual de las prestaciones asistenciales
corresponde a la estimación del gasto por prestaciones asistenciales de mantenimiento del siniestro crónico. Este parámetro se debe calcular por siniestro crónico, de acuerdo con el siguiente árbol de decisión:

2.2.2.1. El costo anual de las prestaciones asistenciales
corresponde al valor determinado a partir del informe presentado por la auditoría médica de la entidad aseguradora.
2.2.2.2. El costo anual de las prestaciones asistenciales
se debe estimar teniendo en cuenta los siguientes criterios:
a. El costo anual de las prestaciones asistenciales
debe corresponder al costo anual promedio de los pagos de prestaciones asistenciales asociadas al siniestro a partir del primer día del mes 25 contado desde la fecha de aviso del siniestro. El valor de los pagos de las prestaciones asistenciales para realizar dicho cálculo se debe ajustar al último año calendario utilizando el índice de precios al consumidor publicado por el DANE para cada periodo.
b. Para aquellos siniestros para los que han transcurrido entre 25 y 36 meses contados desde la fecha de aviso y para los cuales la entidad no tiene información de pagos, el costo asistencia anual
debe corresponder a la mejor estimación de la entidad aseguradora con base en la información disponible a la fecha de cálculo. El valor de los pagos de las prestaciones asistenciales para realizar dicho cálculo se debe ajustar al último año calendario utilizando el índice de precios al consumidor publicado por el DANE para cada periodo.
El promedio del costo anual de las prestaciones asistenciales de la cartera se debe calcular usando la información de los siniestros crónicos pagados por la entidad. El valor de los pagos anuales por prestaciones asistenciales para realizar dicho cálculo se debe ajustar al último año calendario utilizando el índice de precios al consumidor publicado por el DANE para cada periodo.
2.3. Para siniestros vitalicios
La entidad aseguradora debe calcular la reserva de prestaciones asistenciales para siniestros vitalicios para cada uno de los siniestros de prestación económica de pensión de invalidez, que cumplen alguna de las condiciones del numeral 2.3.1., de acuerdo con las siguientes instrucciones:
2.3.1. Condiciones para la clasificación de siniestros vitalicios
Los siniestros de prestación económica de pensión de invalidez que cumplen alguna de las siguientes condiciones, deben ser clasificados como asistenciales vitalicios:
2.3.1.1 Siniestros que de acuerdo con el criterio de la auditoría médica de la entidad aseguradora generarán pagos vitalicios por concepto de prestaciones asistenciales en los periodos subsiguientes.
2.3.1.2 Siniestros que han generado pagos por prestaciones asistenciales por un periodo de 3 años o más, no necesariamente consecutivos, contados desde la fecha de aviso y que en los últimos 5 años el valor promedio anual de los pagos generados por prestaciones asistenciales es superior a 1.5 SMMLV.
2.3.2. Cálculo de la reserva de prestaciones asistenciales para siniestros vitalicios
El cálculo de la reserva de prestaciones asistenciales para siniestros vitalicios que debe realizar la entidad aseguradora se debe sujetar a las instrucciones técnicas del subnumeral 10.8 de este anexo. Esta reserva debe ser calculada por cada siniestro vitalicio como una renta en función de la edad, sexo y expectativa de vida del pensionado por invalidez. Para cada uno de los siniestros que se clasifiquen como asistenciales vitalicios, la reserva de prestaciones asistenciales para siniestros vitalicios se debe calcular de acuerdo con la siguiente fórmula:
![]()
Donde:
Corresponde a la reserva de prestaciones asistenciales para el i-ésimo siniestro vitalicio.
: Corresponde al costo anual de las prestaciones asistenciales para el i-ésimo siniestro, definido de acuerdo con el subnumeral 2.4. de este anexo.
Corresponde a la renta vitalicia vencida contingente de una sola cabeza, de edad «x» en el momento del cálculo de la reserva, pagadera anual, la cual paga una unidad monetaria definida en el subnumeral 10.8. de este anexo.
Esta reserva se recalcula el primero de enero de cada año y se debe liberar de acuerdo con los pagos que efectúe la entidad aseguradora para cada siniestro vitalicio.
2.4. Cálculo del costo anual de las prestaciones asistenciales
El costo anual de las prestaciones asistenciales
corresponde a la estimación del gasto por prestaciones asistenciales de mantenimiento del siniestro vitalicio. Este parámetro se debe calcular por siniestro, de acuerdo con el siguiente árbol de decisión:

2.4.1. El costo anual de las prestaciones asistenciales
corresponde al valor determinado a partir del informe de la auditoría médica de la entidad aseguradora.
2.4.2. El costo anual de las prestaciones asistenciales
es estimado usando la información de pagos anuales por prestaciones asistenciales asociados al siniestro «i» transcurridos «t» años de acuerdo con la siguiente fórmula:
![]()
Donde:
Corresponde al pago anual por concepto de prestaciones asistenciales del siniestro «i», ajustado a la fecha de cálculo empleando el índice de precios al consumidor publicado por el DANE, transcurridos «n» años desde la fecha de aviso. Es posible que
, para algún
.
Corresponde a un parámetro elegido de acuerdo con la información histórica de los siniestros asistenciales vitalicios pagados por la entidad aseguradora, el cual denota la probabilidad de que el siniestro no genere pagos adicionales por concepto de prestaciones asistenciales dado que en los últimos 3 años no se han efectuado pagos por ese concepto.
Corresponde al número de años transcurridos desde la fecha de aviso.
| 0 si el siniestro no ha generado pagos por prestaciones asistenciales en los últimos 3 años. 1 si el siniestro ha generado pagos por prestaciones asistenciales en los últimos 3 años. |
2.4.3. En ausencia de información del costo de las prestaciones asistenciales asociadas al siniestro, el
estimado debe corresponder al costo anual promedio por prestaciones asistenciales de la cartera de siniestros asistenciales vitalicios de la entidad aseguradora.
El promedio del costo anual por prestaciones asistenciales de la cartera debe calcularse usando la información de los siniestros asistenciales vitalicios pagados por la entidad aseguradora. El valor de los pagos de las prestaciones asistenciales para realizar dicho cálculo se debe ajustar al último año calendario utilizando el índice de precios al consumidor publicado por el DANE para cada periodo.
3. METODOLOGÍA DE CÁLCULO DE LA RESERVA POR INCAPACIDAD TEMPORAL
Para la mejor estimación de esta reserva las entidades deben tener en cuenta las siguientes instrucciones:
3.1. Constitución de la reserva inicial
En la fecha en que la entidad aseguradora tenga conocimiento, por cualquier medio, de la ocurrencia del siniestro, debe constituir una reserva inicial por concepto de incapacidad temporal.
Para los siniestros en los que la entidad aseguradora no cuente con un informe de la auditoría médica o cuando cuente con el informe, pero éste no defina los días de incapacidad, la reserva técnica para cada siniestro avisado se debe constituir de acuerdo con la siguiente fórmula:
![]()
Donde:
Reserva de siniestros avisados por concepto de incapacidades temporales para el siniestro «a» perteneciente a la categoría «i» de gravedad de la lesión o enfermedad laboral de que trata el numeral 11. de este anexo.
Último ingreso base de cotización del afiliado con base 30 días. Cuando no se disponga del
, se debe utilizar el salario registrado en el formato de afiliación o la información disponible en la última planilla de autoliquidación de aportes con las que se cuente, indexado a la fecha de cálculo.
Días de incapacidad estimados para la categoría «i» de gravedad de la lesión o enfermedad laboral a la que pertenece el siniestro avisado.
Factor prestacional correspondiente a la cotización para los sistemas generales de pensiones y de seguridad social en salud establecida en la Ley 100 de 1993, correspondiente a los empleadores, durante el periodo de incapacidad.
3.1.1 Metodología para el cálculo de los días de incapacidad estimados (
)
Los
para cada categoría son iguales al promedio simple de los días de incapacidad para los siniestros pagados para la categoría «i» a la que se refiere el numeral 11. de este anexo, en los últimos 3 años, ajustados por un margen de seguridad. El margen de seguridad está definido en función de la desviación estándar de los días de incapacidad temporal de los siniestros que hayan generado pagos de los últimos 3 años para la categoría de referencia y el número de siniestros considerados. Lo anterior se expresa en la siguiente fórmula:

Donde:
Días de incapacidad estimados para la categoría «i» de gravedad de la lesión o enfermedad laboral a la que pertenece el siniestro avisado.
Número de días de incapacidad temporal para el k-ésimo siniestro de la categoría «i» considerado.
Desviación estándar de los días perdidos para los «n» siniestros pagados considerados en el cálculo de los
.
Número total de siniestros pagados que causaron pagos por concepto de incapacidad temporal de la categoría «i» durante los últimos 3 años.
Para los siniestros que cuenten con un informe de la auditoría médica de la entidad aseguradora que defina los días de incapacidad, la reserva se constituirá empleando los días determinados en dicho informe.
Para calcular los
se debe tener en cuenta la información de los siniestros que hayan generado pago por concepto de incapacidad temporal en los últimos 3 años para cada categoría de gravedad de lesiones o enfermedad laboral de que trata el numeral 11. de este anexo. Según el caso, se debe considerar la fecha de rehabilitación, readaptación o recuperación o de la declaración de incapacidad permanente parcial, pensión de invalidez o de sobrevivencia.
Para cada siniestro se deben calcular los días transcurridos entre el día siguiente a la ocurrencia del accidente de trabajo o de iniciada la incapacidad derivada de enfermedad laboral y el momento de su rehabilitación, readaptación o recuperación o de la declaración de incapacidad permanente parcial, invalidez o muerte, según corresponda.
Cuando la entidad aseguradora no cuente con información de la enfermedad laboral que genera los pagos por prestaciones asistenciales, bien sea al momento del aviso o del traslado de una entidad aseguradora a otra, la reserva por incapacidad temporal se constituirá por el monto correspondiente a la categoría de gravedad moderada, de acuerdo con la información de los siniestros pagados de los últimos 3 años.
3.2. Ajuste de la reserva
Esta reserva técnica se debe ajustar en los siguientes casos:
3.2.1. Cuando se cuente con el informe de la auditoría médica de la entidad aseguradora que defina los días de incapacidad del siniestro y estos sean inferiores o superen los días de incapacidad estimados de la categoría
, la reserva se debe ajustar considerando los días que ha estado incapacitado el afiliado con ocasión del siniestro.
3.2.2. Cuando el siniestro sea reclasificado y le sea asignada otra categoría de gravedad, de acuerdo con lo establecido en el numeral 11. de este anexo, la reserva se debe ajustar en concordancia con los parámetros de la nueva categoría.
3.2.3. En los casos en que se tenga conocimiento de que los días de incapacidad reales superan los días estimados en el
o en el informe de la auditoría médica de la entidad aseguradora, la reserva se debe ajustar con base en los días de incapacidad reales.
4. METODOLOGÍA DE CÁLCULO DE LA RESERVA POR INCAPACIDAD PERMANENTE PARCIAL
En la fecha en que la entidad aseguradora tenga conocimiento por cualquier medio de la ocurrencia del siniestro, la auditoría médica de la entidad aseguradora debe determinar el nivel de pérdida de la capacidad laboral de acuerdo con las características e información disponible del tipo de lesión o enfermedad. Si el grado o porcentaje de pérdida de capacidad laboral es igual o superior al 5 % e inferior al 50 %, la entidad aseguradora debe constituir una reserva por concepto de incapacidad permanente parcial para cada siniestro avisado. Esta reserva se debe constituir de acuerdo con la siguiente fórmula:
![]()
Donde:
Reserva de siniestros avisados correspondiente a solicitudes de incapacidad permanente parcial para el siniestro avisado «a» a la fecha de cálculo «t”».
Monto de la indemnización en meses correspondiente al siniestro avisado «a» de acuerdo con el porcentaje o grado de pérdida de capacidad laboral que define el Decreto 2644 de 1994 y demás normas que lo complementen, modifiquen o sustituyan.
Ingreso base de liquidación del afiliado del siniestro avisado «a», calculado de acuerdo con la normativa vigente, con base 30 días e indexado a la fecha de cálculo.
Esta reserva se debe ajustar durante el período de rehabilitación del trabajador afectado, dependiendo de su evolución y el informe de la auditoría médica de la entidad aseguradora, así como en el transcurso del proceso de determinación de la pérdida de la capacidad laboral, ante una variación del grado o porcentaje de la pérdida declarada por la comisión interdisciplinaria de la entidad aseguradora o las Juntas de Calificación de Invalidez.
5. METODOLOGÍA DE CÁLCULO DE LA RESERVA POR PENSIÓN DE INVALIDEZ
En la fecha en que la entidad aseguradora tenga conocimiento, por cualquier medio, de la ocurrencia del siniestro, debe constituir una reserva por concepto de pensión de invalidez para cada siniestro avisado en el que a criterio de la auditoría médica de la entidad aseguradora se pueda determinar un porcentaje o grado de pérdida de capacidad laboral igual o superior al 50 %. Esta reserva se debe constituir de acuerdo con la siguiente fórmula:

Donde:
Reserva por concepto de pensión de invalidez para el siniestro avisado «a» en la fecha de cálculo
.
Tiempo transcurrido, en meses, desde la fecha de estructuración de la invalidez o la fecha de finalización de la última incapacidad temporal pagada, la que sea más reciente, hasta la fecha de cálculo de la reserva, descontando los días de incapacidad conocidos o reconocidos.
Reserva matemática por concepto de pago de pensiones calculada al momento de evaluación
para el siniestro avisado «a».
Capital técnico necesario para el pago de pensiones en la fecha de cálculo
, determinado de acuerdo con las instrucciones técnicas que se señalan en el subnumeral 10. de este anexo.
Monto de la pensión por invalidez en el mes «h » según el artículo 10 de la Ley 776 de 2002 o demás normas que lo modifiquen o sustituyan, para el grado de pérdida de capacidad laboral C, considerando el ajuste periódico en el mes «h » que corresponda, la aplicación de los máximos de ley o del contrato, las mesadas adicionales, las actualizaciones correspondientes, etc. Cabe resaltar que cada mesada se debe actualizar hasta la fecha de cálculo de la reserva.
El monto de la pensión inicial se debe determinar de acuerdo con el grado o porcentaje de pérdida de capacidad laboral como se indica continuación:
i. Si el porcentaje o grado de pérdida de capacidad laboral es mayor o igual al 50 % y menor al ![]()
ii. Si el porcentaje o grado de pérdida de capacidad laboral es mayor o igual al ![]()
Donde:
: beneficio correspondiente al auxilio de terceras personas en los términos de la Ley 776 de 2002 y demás normas que la modifiquen o sustituyan.
: Ingreso base de liquidación del trabajador calculado de acuerdo con la normativa vigente con base 30 días e indexado a la fecha de cálculo.
Gasto de administración mensual de la renta expresado como porcentaje de la mesada pensional, de acuerdo con lo definido en la nota técnica de cada entidad aseguradora, incluyendo los gastos asociados al siniestro, directos e indirectos, relacionados con la prestación de la pensión de invalidez.
Reserva matemática por concepto de gastos funerarios correspondiente al siniestro «a» en la fecha de cálculo T, determinado de acuerdo con las instrucciones técnicas que se señalan en el subnumeral 10. de este anexo.
Gasto de administración expresado como porcentaje del auxilio funerario, de acuerdo con lo definido en la nota técnica de cada entidad aseguradora.
6. METODOLOGÍA DE CÁLCULO DE LA RESERVA POR PENSIÓN DE SOBREVIVENCIA
En la fecha en que la entidad aseguradora tenga conocimiento, por cualquier medio, de la ocurrencia del siniestro que genere la prestación de pensión de sobrevivencia, debe constituir una reserva por este concepto de acuerdo con la siguiente fórmula:

Donde:
Reserva de siniestros avisados por concepto de pensión de sobrevivencia en la fecha de cálculo
para el siniestro avisado «a».
Tiempo transcurrido, en meses, desde la fecha en que se dio origen al beneficio o del fallecimiento hasta la fecha de cálculo
.
Reserva matemática por concepto de pago de pensión, calculada al momento de evaluación
para el siniestro avisado «a».
Capital técnico requerido para el pago de pensión en la fecha de cálculo T., determinado de acuerdo con las instrucciones técnicas que se señalan en el subnumeral 10. de este anexo.
Monto mensual de la pensión de sobrevivencia en el mes «h» según el artículo 12 de la Ley 776 de 2002 o las demás normas que lo modifiquen o sustituyan, considerando el ajuste periódico en el mes «h» que corresponda, la aplicación de los máximos de ley o del contrato, las mesadas adicionales, las actualizaciones que correspondan, etc. Cabe resaltar que cada mesada se debe actualizar hasta la fecha de cálculo de la reserva. El monto de la pensión inicial se determina considerando:
i. Si el siniestro avisado corresponde a la muerte del afiliado: ![]()
ii. Si el siniestro avisado corresponde a la muerte del pensionado por invalidez: ![]()
Donde:
: Ingreso base de liquidación del afiliado, calculado de acuerdo con las normas vigentes con base 30 días e indexado a la fecha de cálculo.
Monto de la pensión que percibía el pensionado por invalidez. En caso de que el pensionado hubiera necesitado la ayuda de otra persona, se deberá descontar el 15 % adicional reconocido al causante.
Gasto de administración mensual expresado como porcentaje de la mesada de acuerdo con lo definido en la nota técnica de la entidad aseguradora.
En los casos en que la persona muera antes de ser notificada de su pensión de invalidez, se deberá reconocer como una pensión de sobrevivencia, calculada de acuerdo con el grupo de beneficiarios de ley.
En caso de que se reconozca la pensión de sobrevivencia a algunos de los beneficiarios del grupo familiar, pero exista controversia respecto de los demás integrantes, la entidad aseguradora debe liberar la reserva técnica de siniestros avisados y constituir la reserva matemática al 100 % de la mesada, con base en el grupo familiar con mayor esperanza de vida.
7. METODOLOGÍA DE CÁLCULO DE LA RESERVA POR AUXILIO FUNERARIO
En la fecha en que la entidad aseguradora tenga conocimiento, por cualquier medio, de la ocurrencia de un siniestro que da lugar al reconocimiento de la prestación de auxilio funerario, la entidad aseguradora debe constituir una reserva por este concepto. Esta reserva se debe constituir de acuerdo con la siguiente fórmula:
![]()
Donde:
Reserva de siniestros avisados por concepto de gastos funerarios para el siniestro avisado «a».
Último ingreso base de cotización del afiliado con base 30 días. Cuando no se disponga del
, se debe utilizar el salario registrado en el formato de afiliación o la información disponible en la última planilla de autoliquidación de aportes con las que se cuente, indexado a la fecha de cálculo.
Salario mínimo mensual legal vigente a la fecha de cálculo.
8. METODOLOGÍA DE CÁLCULO DE LA RESERVA POR HONORARIOS DE ABOGADOS
Las entidades aseguradoras deben constituir una reserva por concepto de honorarios de abogados para cada uno de los siniestros avisados que se encuentren en proceso judicial o conciliación (incluyendo aquellos en los cuales la pretensión está por fuera del alcance de la cobertura del seguro de riesgos laborales o la probabilidad de ser fallados en contra de la entidad aseguradora es baja) desde el momento de notificación de admisión de la demanda o solicitud de conciliación. Esta reserva debe corresponder a la mejor estimación que pueda realizarse en la fecha de cálculo de la reserva, con base en la metodología que defina la entidad aseguradora y en el acuerdo que se tenga con el abogado que representa judicial o prejudicialmente a la entidad.
La metodología que adopte la entidad debe estar debidamente documentada, permanecer a disposición de la SFC y corresponder al tipo de acuerdo que se tenga con el abogado.
9. METODOLOGÍA DE CÁLCULO DE LA RESERVA TÉCNICA DE SINIESTROS AVISADOS POR PROCESOS JUDICIALES
Para los siniestros avisados que se encuentren en proceso judicial o conciliación (incluyendo aquellos en los cuales la pretensión está por fuera del alcance de la cobertura del seguro de riesgos laborales o la probabilidad de ser fallados en contra de la entidad aseguradora es baja) y en los cuales la pretensión del demandante sea el pago de una incapacidad permanente parcial, una pensión de invalidez o una pensión de sobrevivencia, se debe constituir una reserva de siniestros avisados de acuerdo con las instrucciones técnicas de los numerales 4 a 7 de este anexo, según corresponda y desde el momento de notificación de admisión de la demanda o solicitud de conciliación, siempre y cuando no exista a la fecha de cálculo, una reserva matemática de pensión de invalidez y de pensión de sobrevivencia.
Para los siniestros avisados que estén en proceso judicial, las entidades aseguradoras deben afectar la reserva de siniestros avisados del ramo de riesgos laborales de acuerdo con la probabilidad del riesgo técnico-jurídico del proceso judicial, correspondiente a la categoría de riesgo técnico-jurídico.
La reserva por honorarios de abogados de que trata el numeral 8 de este anexo no debe ser afectada por la probabilidad del riesgo técnico-jurídico del proceso judicial de la que trata este subnumeral.
9.1. Creación del comité interdisciplinario de evaluación de siniestros en proceso judicial
Las entidades aseguradoras deben conformar un comité interdisciplinario de evaluación de siniestros en proceso judicial o conciliación, el cual debe ser integrado, al menos, por un experto en medicina laboral, un experto en asuntos legales, un responsable administrativo del área técnica de siniestros y un actuario.
Este comité tiene las siguientes responsabilidades:
9.1.1. Determinar la categoría y probabilidad del riesgo técnico-jurídico del proceso judicial, teniendo en cuenta los conocimientos y experiencia de los miembros del comité y la información disponible de los siniestros pagados.
La metodología empleada para fijar las probabilidades de que trata este subnumeral debe estar debidamente documentada y mantenerse a disposición de la SFC.
9.1.2. Revisar los nuevos procesos judiciales, los cambios en la instancia jurídica para los procesos en curso y la terminación del proceso por conciliación o fallo.
9.1.3. Hacer seguimiento de los procesos judiciales en curso.
10. INSTRUCCIONES TÉCNICAS
Para el cálculo del capital técnico necesario de la reserva matemática y de la reserva por auxilio funerario se deben atender las siguientes instrucciones:
10.1. Información necesaria para el cálculo de la reserva de siniestros avisados del ramo de seguro de riesgos laborales.
10.1.1. Para efectuar el cálculo de la reserva para el pago de una pensión de invalidez o de sobrevivencia, la entidad aseguradora debe contar, como mínimo y según corresponda, con la siguiente información:
a. Nombre / identificación del afiliado.
b. Sexo del afiliado.
c. Fecha de nacimiento.
d. Fecha de estructuración de la invalidez o de fallecimiento.
e. Fecha de aviso.
f. Composición del grupo familiar: fecha de nacimiento, sexo, parentesco (cónyuge, compañero/a, hijo, padre, madre, etc.), estado de salud (activo / inválido).
g. Fecha de cálculo de la pensión.
h. Ingreso Base de Liquidación (IBL).
i. Fecha de finalización de la última incapacidad temporal pagada.
j. Número de días de incapacidad reconocidos desde la fecha de estructuración de la invalidez hasta la fecha de finalización de la última incapacidad temporal pagada.
k. Porcentaje de pérdida de capacidad laboral.
10.1.2. Supuestos para efectuar el cálculo de la reserva para el pago de una pensión de invalidez o de sobrevivencia:
Las entidades aseguradoras deben adoptar una metodología propia para la construcción de los supuestos sobre la información faltante para el cálculo de la reserva para el pago de una pensión de invalidez o de sobrevivencia de que trata el subnumeral 10.1.1. de este anexo. La metodología propia debe estar debidamente documentada y mantenerse a disposición de la SFC. Dicha metodología debe ser avalada por el Actuario Responsable de la entidad aseguradora. Sin perjuicio de lo anterior, la entidad aseguradora deberá emplear las siguientes variables:
a. Ingreso Base de Base de Liquidación: último salario base de cotización del afiliado o mejor estimación.
b. Estado Civil: Casado.
c. Edad Cónyuge: si el afiliado es del sexo masculino, se supone un cónyuge femenino 4 años menor. Si el afiliado es del sexo femenino, se supone un cónyuge masculino 4 años mayor.
d. Estado de salud del beneficiario activo.
e. Cónyuge vitalicio de mínimo 30 años de edad.
f. Hijos: No posee.
En caso de que la entidad aseguradora modifique la metodología debe remitirla a la SFC dentro de los 10 días hábiles siguientes, mediante una comunicación que informe dicho cambio y las motivaciones de esta decisión. Los cambios serán aplicables únicamente a partir del siguiente año fiscal.
Para aquellos casos en los cuales la entidad aseguradora no cuente con alguno de los datos enunciados en el subnumeral 10.1.1. de este anexo, la entidad aseguradora debe utilizar el supuesto obtenido a partir de la metodología propia adoptada por la entidad.
10.2. Definiciones
10.2.1. Tabla de mortalidad: Se refiere a las tablas de mortalidad de rentistas válidos e inválidos determinadas por la SFC vigentes a la fecha de cálculo de la reserva.
10.2.2. Tasa de Interés técnico: Se refiere a la tasa de interés técnico determinada por la SFC vigente a la fecha de cálculo de la reserva.
10.2.3. Grupo asegurable: se entiende por grupo asegurable, según corresponda, uno de los siguientes:
a. Conformado por las personas enumeradas en los literales a, b y c del artículo 13 de la Ley 797 de 2003 que modificó los artículos 47 y 74 de la Ley 100 de 1993.
b. Grupo 2: Conformado por los padres del causante del beneficio, de acuerdo con el literal d) del artículo 13 de la Ley 797 de 2003 que modificó los artículos 47 y 74 de la Ley 100 de 1993.
c. Grupo 3: Conformado por los hermanos inválidos del causante del beneficio, según el literal e) del artículo 13 de la Ley 797 de 2003 que modificó los artículos 47 y 74 de la Ley 100 de 1993.
d. Beneficiarios: A partir de la definición de grupo asegurable a la que se refiere el subnumeral 10.2.3. de este anexo, para el cálculo del Capital Técnico Necesario del numeral 10.4. del presente anexo, se consideran beneficiarios las personas que al momento del fallecimiento o estructuración de la invalidez tuviesen derecho y este siga vigente a la fecha de cálculo.
10.3. Nomenclaturas
Tiempo transcurrido, en meses, desde la fecha de inicio del derecho a pensión hasta la fecha de cálculo de la reserva.
Subíndice de tiempo expresado en meses.
Auxilio funerario estimado correspondiente al mes t contado a partir del momento
. Se debe considerar el ajuste periódico en el mes t que corresponda.
Beneficio estimado pagadero en el mes t contado a partir del momento
. Debe considerar el ajuste periódico en el mes t que corresponda, la aplicación de los máximos de ley o contrato y las mesadas adicionales.
Capital técnico necesario correspondiente al beneficio B(t), calculado a la fecha de cálculo
.
Cantidad de hijos con derecho a beneficio en el momento
.
Cantidad de hermanos con derecho a beneficio en el momento
.
Tasa de interés anual aplicable en el mes t contado a partir del momento
.
Cantidad de personas con derecho al beneficio.
Cantidad de cónyuges y/o compañeras(os) permanentes con derecho a beneficio en caso del Grupo 1 o de padres. para el caso del Grupo 2, en el momento
.
Individualización de la persona, donde toma valores 1 a n. De acuerdo con las siguientes consideraciones se definen los valores que tomará j dependiendo del grupo de personas a quienes corresponde asignación de pensión por invalidez y de sobrevivientes de acuerdo con la ley, según sea el caso:
Asignación Pensión por Invalidez
| Grupo 1 | 1 De 2 a m+1 De (m+2) a (m+h+1)=n | Para el causante de la pensión Para cónyuge/compañero permanente supérstite Para los hijos |
| Grupo 2 | De 2 a m+1=n | Para los padres |
| Grupo 3 | De 2 a he+1=n | Para los hermanos inválidos |
Asignación Pensión de sobrevivientes
| Grupo 1 | De 1 a m de (m +1) a (m +h)=n | Para cónyuge/compañero permanente supérstite Para los hijos |
| Grupo 2 | De 1 a m=n | Para los padres |
| Grupo 3 | De 1 a he=n | Para los hermanos inválidos |
l(Xj): Cantidad de personas vivas en la edad Xj, según la tabla de mortalidad que correspondiera aplicar en función del estado del asegurado y/o beneficiario a la fecha de cálculo.
p(Xj;t): Probabilidad de que una persona de edad Xj sobreviva hasta la edad Xj+t, considerando ambos argumentos en meses, dependiendo del beneficiario al que se refiere la tabla de Asignación Pensión por invalidez y la de Asignación Pensión de sobrevivencia de este anexo. También se puede considerar como la probabilidad condicionada.
Factor de actualización financiero por t periodos.
![]()
Donde:
Última edad de la tabla de mortalidad a ser utilizada, expresada en años enteros.
Edad en meses enteros cumplidos del causante de la pensión alcanzada al momento “T”.
Edad en meses enteros cumplidos del j-ésimo integrante del grupo de beneficiarios de ley, alcanzada al momento “T”.
Edad en meses enteros cumplidos del j-ésimo integrante del grupo de beneficiarios de ley, alcanzada a la fecha de ocurrencia del fallecimiento del causante.
Edad en meses enteros cumplidos del integrante de menos edad calculada al momento “T”.
10.4. Metodología de cálculo del capital técnico necesario
El cálculo del capital técnico necesario se debe realizar de acuerdo con la siguiente fórmula:

10.5. Metodología de cálculo de la reserva matemática por gastos funerarios
La reserva matemática por gastos funerarios se debe calcular de acuerdo con la siguiente fórmula:

10.6. Cálculo de edades en meses y probabilidades
En la presente instrucciones se presentan las bases técnicas para el cálculo de los elementos de edad en meses y de probabilidades incorporados en los subnumerales 10.4. y 10.5 del presente anexo.
10.6.1. Cálculo de la edad en meses
Las edades a que se refiere el presente anexo deben ser expresadas en meses enteros cumplidos, de acuerdo con las siguientes instrucciones:
10.6.1.1. Si día de cálculo es menor que día de nacimiento:
![]()
10.6.1.2. Si día de cálculo es mayor o igual que día de nacimiento:
![]()
10.6.2. Cálculo de probabilidades
Las probabilidades a las que se refiere el presente anexo deben ser calculadas de acuerdo con las siguientes instrucciones:
| Beneficiario | |
| Asegurado inválido | |
| Cónyuge y/o compañero(a) permanente con hijos (h>0) | |
| Cónyuge y/o compañero(a) permanente sin hijos (h=0) | Pensiones de sobrevivientes:![]() Pensiones por invalidez: |
| Hijos activos | ![]() |
| Hijos inválidos, hermanos inválidos y padre |
Donde:
se obtienen por la interpolación lineal a partir de los valores de tabla de mortalidad rentistas activos o inválidos según correspondiera al estado revestido por el asegurado y tal que:
![]()

Donde:
es la parte entera del número “a”.
Fracción que excede el año entero, tal que:

10.7. SINIESTROS ASISTENCIALES CRÓNICOS
10.7.1. Hipótesis demográficas
Para definir los parámetros correspondientes al término durante el cual el siniestro se califica como crónico y a la longevidad del afiliado que da lugar al siniestro crónico, debe emplearse la tabla de mortalidad de rentistas emitida por la SFC vigente a la fecha de cálculo de la reserva.
10.7.2. Hipótesis financieras
El factor de actualización de los gastos asistenciales, la tasa de interés técnico, el crecimiento esperado de los gastos asistenciales y la tasa de descuento, deben sujetarse a lo siguiente:
10.7.2.1. Los gastos asistenciales se deben actualizar anualmente empleando el índice de precios al consumidor publicado por el DANE.
10.7.2.2. Tasa de Interés técnico: Se refiere a la tasa de interés técnico “r” determinada por la SFC vigente a la fecha de cálculo de la reserva.
10.7.2.3. Crecimiento de los gastos asistenciales: El crecimiento esperado de los gastos asistenciales “g” corresponderá al estimado por la entidad aseguradora a partir de la información histórica de los pagos de los siniestros avisados crónicos reservados.
10.7.2.4. Tasa de interés: La tasa de interés “it” se calcula de acuerdo con la siguiente fórmula:
![]()
10.7.3. Hipótesis actuariales
10.7.3.1. Probabilidad de sobrevivencia: La probabilidad de que un individuo de edad “x” sobreviva hasta la edad “x + t” se determina de acuerdo la siguiente fórmula:
![]()
Donde:
Corresponde al número de individuos vivos a la edad “x + t”.
Corresponde al número de individuos a la edad “x”.
10.7.3.2. Renta temporal en “b” años: La fórmula para el cálculo de esta renta vencida contingente de una sola cabeza, anual, la cual paga una unidad monetaria, es la siguiente:

Donde:
Corresponde a una renta temporal a “b” años, vencida contingente de una sola cabeza, anual, la cual paga una unidad monetaria.
Corresponde a la probabilidad de sobrevivencia del trabajador.
g: Corresponde al crecimiento esperado de los gastos asistenciales, calculada por la ARL con base en su metodología propia o en su defecto, la variación anual del Índice de Precios al consumidor publicado por el DANE.
El factor de descuento se determina de acuerdo con la siguiente fórmula:
![]()
10.8. SINIESTROS ASISTENCIALES VITALICIOS
10.8.1. Hipótesis demográficas
Para definir los parámetros correspondientes debe emplearse la tabla de mortalidad de inválidos emitida por la SFC vigente a la fecha de cálculo de la reserva.
10.8.2. Hipótesis financieras
El factor de actualización de los gastos asistenciales, la tasa de interés técnico, el crecimiento esperado de los gastos asistenciales y la tasa de descuento, deben sujetarse a lo siguiente:
10.8.2.1. La actualización de los gastos asistenciales se debe realizar anualmente empleando el índice de precios al consumidor publicado por el DANE.
10.8.2.2. Tasa de Interés técnico: Se refiere a la tasa de interés técnico “r” determinada por la SFC vigente a la fecha de cálculo de la reserva.
10.8.2.3. Crecimiento de los gastos asistenciales: El crecimiento esperado de los gastos asistenciales “g” corresponde al estimado por la entidad aseguradora a partir de la información histórica de los pagos de los siniestros avisados asistenciales vitalicios reservados.
10.8.2.4. Tasa de interés: La tasa de interés “it” se calcula de acuerdo con la siguiente fórmula:
![]()
10.8.3. Hipótesis actuariales:
10.8.3.1. Probabilidad de sobrevivencia: La probabilidad de que un individuo de edad “x” sobreviva hasta la edad “x + t” se determina de acuerdo la siguiente fórmula:
![]()
Donde:
Corresponde al número de individuos vivos a la edad “x+t”.
Corresponde al número de individuos a la edad “x”.
10.8.3.2. Renta vitalicia vencida contingente de una sola cabeza, pagadera anual de una unidad monetaria. La fórmula para el cálculo de esta renta es la siguiente:

Donde:
Corresponde a la renta vitalicia vencida contingente de una sola cabeza, pagadera anual, la cual paga una unidad monetaria.
durax: Definida como “ú-x”, con “ú” el límite de la tabla de mortalidad.
Corresponde a la probabilidad de sobrevivencia del pensionado por invalidez.
g: Corresponde al crecimiento esperado de los gastos asistenciales.
El factor de descuento se determina de acuerdo con la siguiente fórmula:
![]()
11. CLASIFICACIÓN DE LESIONES O ENFERMEDAD LABORAL
Los siniestros avisados derivados de accidentes de trabajo, lesiones o enfermedad laboral del ramo de seguro de riesgos laborales se deben clasificar, como mínimo, trimestralmente teniendo en cuenta las siguientes tablas de categorías de gravedad. Las entidades aseguradoras que hayan adoptado tablas de enfermedades o lesiones para la constitución de la reserva de siniestros avisados del ramo de seguro de riesgos laborales, deben ajustarlas con el fin de incorporar las categorías de gravedad definidas a continuación:
11.1. Lesiones o accidentes de trabajo
| Categoría | Definición |
| Alta inmediata | Accidente o incidente reportado como de origen laboral que solo genera prestaciones asistenciales de urgencias o medicamento ambulatorio, con incapacidad temporal menor o igual a un día, o sin incapacidad temporal o prestación asistencial hospitalaria. |
| Muy leve | Accidente reportado como de origen laboral que solo genera prestaciones asistenciales de urgencias o medicamento ambulatorio, con incapacidad temporal mayor a un día. |
| Leve | Accidente reportado como de origen laboral que genera prestaciones asistenciales por conceptos de urgencias, cirugía o medicamento ambulatorio, entre otros, pero sin días de estancia hospitalaria. |
| Moderado | Accidente reportado como de origen laboral que genera prestaciones asistenciales por conceptos de urgencias, medicamentos intrahospitalarios o ambulatorios, entre otros, pero con días de estancia hospitalaria. |
| Severo | Accidente reportado como de origen laboral que genera prestaciones asistenciales por conceptos de urgencias, cirugía, medicamentos intrahospitalarios o ambulatorios, entre otros, pero con días de estancia hospitalaria. |
| Grave | Accidente reportado como de origen laboral que genera prestaciones asistenciales por diferentes conceptos siempre que haya permanecido en Unidad de Cuidados Intensivos. |
11.2. Enfermedades laborales
| Categoría | Definición |
| Muy leve | - Cuadro de inicio agudo. - Ceden con tratamiento médico. - Incapacidad laboral de 1 a 15 días. - No deja secuelas indemnizables. |
| Leve | - Cuadro de inicio lento o agudo. - Ceden a tratamiento médico y fisioterapia. - Puede requerir órtesis. - Incapacidad laboral de 1 a 30 días. - Puede generar incapacidades permanentes parciales (IPP) de hasta el 10 %, algunas no generan pérdida. |
| Moderado | - Cuadro de inicio generalmente lento. - Ceden en general a tratamiento médico de hasta 6 semanas. - Algunos requieren cirugía. - Incapacidad laboral de hasta 60 ó 70 días. - Pueden generar una IPP de hasta el 20 %, algunas no generan pérdida. |
| Severo | - Cuadro de inicio generalmente lento. - Ceden a tratamiento médico de más de 6 semanas, pero en general están resueltas antes de 6 meses. - Puede presentar períodos de recaídas, pero terminan estabilizando una secuela tolerable y adaptable, no son de requerimientos vitalicios. - Puede requerir órtesis. - Pueden requerir tratamiento quirúrgico. - Incapacidad laboral de hasta 180 días. - Genera IPP de hasta el 30 %. |
| Grave | - Cuadro de inicio generalmente lento. - Tratamiento médico de más de 12 semanas (medicamento de alto costo) con tendencia a manejo vitalicio. - Puede requerir prótesis u órtesis. - Requiere tratamiento quirúrgico curativo y/o reconstructivo. - Requiere manejo paliativo de dolor. - Incapacidad laboral promedio mayor a 180 días. - Genera IPP inferiores al 50 %. - Puede generar invalidez o incluso a la muerte. |

