RESOLUCIÓN 857 DE 2023
(abril 17)
Diario Oficial No. 52.376 de 25 de abril de 2023
DEPARTAMENTO NACIONAL DE PLANEACIÓN
Por la cual se sustituye el Anexo de la Resolución número 3656 de 2012.
NOTAS DE VIGENCIA: - Modificada por la Resolución 602 de 2024, 'por la cual se corrige un yerro en el Anexo de la Resolución número 857 de 2023', publicada en el Diario Oficial No. 52.698 de 14 de marzo de 2024. Rige a partir de su publicación en el Diario Oficial. |
EL DIRECTOR GENERAL DEL DEPARTAMENTO NACIONAL DE PLANEACIÓN,
en uso de las facultades legales, en especial de las que le confieren la Ley 1508 de 2012, el Decreto número 1082 de 2015 y el artículo 6o del Decreto número 1893 de 2021, y
CONSIDERANDO:
Que mediante la Ley 1508 de 2012 y el Decreto número 1082 de 2012, se estableció el régimen jurídico de las Asociaciones Público Privadas.
Que las Asociaciones Público Privadas son un instrumento de vinculación de capital privado, que se materializan en un contrato entre una entidad estatal y una persona natural o jurídica de derecho privado, para la provisión de bienes públicos y de sus servicios relacionados, que involucra la retención y transferencia de riesgos entre las partes y mecanismos de pago, asociados a la disponibilidad y al cumplimiento de niveles de servicio de la respectiva infraestructura y/o servicio.
Que de acuerdo con lo establecido en la Ley 1508 de 2012 y el Decreto número 1082 de 2015, la utilización del mecanismo de asociación público privada como modalidad de ejecución del proyecto debe ser justificada por la entidad pública competente, de conformidad con los parámetros definidos por el Departamento Nacional de Planeación.
Que la justificación de utilizar el mecanismo de asociación público privada como una modalidad para la ejecución del proyecto deberá contar con concepto previo favorable del Departamento Nacional de Planeación o de la entidad de planeación de la respectiva entidad territorial.
Que mediante la Resolución número 3656 de 2012, el Departamento Nacional de Planeación estableció como parámetro para justificar la utilización del mecanismo de Asociación Público Privada previsto en la Ley 1508 de 2012, la metodología del comparador público privado contenida en el anexo de la citada resolución.
Que la metodología del comparador público privado contiene el procedimiento para determinar a partir de la generación de valor por dinero, la conveniencia de proveer la infraestructura y sus servicios asociados a través de un Contrato de Asociación Público Privada o a través de un esquema de obra pública tradicional.
Que después de diez años de la aplicación de la metodología establecida en la Resolución número 3656 de 2012, se ha evidenciado la necesidad de actualizar algunos de sus componentes con el propósito de reflejar las condiciones actuales bajo las cuales se ejecutan los proyectos de Asociación Público Privada, entre otros, precisiones en la documentación para la presentación de la solicitud de concepto previo favorable de utilizar el mecanismo de APP como modalidad para la ejecución del proyecto, lo que incluye el detalle de la información mínima requerida en el documento de análisis y el archivo de cálculo del Comparador Público Privado, la certificación de información del proyecto actualizada en el RUAPP, el ajuste en la aplicación del cálculo por espera pública, precisiones sobre los aportes públicos e introducción del concepto de la contraprestación, la fórmula para realizar el cálculo por espera pública y otras variables complementarias.
Que de conformidad con lo previsto en el artículo 8o de la Ley 1437 de 2011 y en el artículo 2.1.2.1.14 del Decreto número 1081 de 2015, modificado por el artículo 2o del Decreto número 1273 de 2020, la presente resolución fue publicada en la página web del Departamento Nacional de Planeación del 29 de diciembre de 2022 al 12 de enero de 2023, para comentarios de la ciudadanía y grupos de interés.
Que, en mérito de lo expuesto,
RESUELVE:
ARTÍCULO 1o. SUSTITUCIÓN DEL ANEXO DE LA RESOLUCIÓN NÚMERO 3656 DE 2012. Sustitúyase el Anexo de la Resolución número 3656 de 2012, por la actualización metodológica del “Comparador Público Privado” contenida en el anexo de la presente resolución, el cual hace parte integral de la misma.
ARTÍCULO 2o. VIGENCIA. La presente resolución rige a partir de la fecha de su publicación en el Diario Oficial y sustituye el anexo de la Resolución número 3656 de 2012.
Publíquese y cúmplase.
Dada a 17 de abril de 2023.
El Director General,
Jorge Iván González Borrero.
CONTENIDO
INTRODUCCIÓN
SIGLAS
DEFINICIONES
1. CONTEXTO DEL ANÁLISIS DE CONVENIENCIA DE LA MODALIDAD APP
1.1. ÁMBITO DE APLICACIÓN
1.2. DECISIÓN DE INVERSIÓN Y MECANISMO DE CONTRATACIÓN
2. SOLICITUD DE APROBACIÓN Y DOCUMENTACIÓN REQUERIDA PARA LA SOLICITUD DEL CONCEPTO
2.1. DOCUMENTACIÓN REQUERIDA
2.1.1. Aprobación de la Entidad competente de la valoración de las obligaciones contingentes
2.1.2. Documento de análisis del Comparador Público Privado
2.1.3. Archivo de Cálculo del Comparador Público Privado
2.1.4. Matriz de riesgos
2.1.5. Matriz de análisis del comparador público privado
2.1.6. El modelo financiero detallado y formulado que fundamente las fases, duración y el valor del proyecto
2.1.7. Proyecto de minuta de contrato
2.1.8. Certificación de información del Proyecto actualizada en el RUAPP
2.2. EMISIÓN DE CONCEPTO
3. METODOLOGÍA DE CÁLCULO DE CPP
3.1. PASO 1. CÁLCULO DE LAS PROYECCIONES DE COSTO DEL PPR
3.1.1. CBt: Estimación del costo base del proyecto de referencia en el período t
3.1.2. It: Ingresos de terceras fuentes en el período t
3.1.3. RRt: Costo del riesgo retenido en el período t
3.1.4. RTt: Costo del riesgo transferido en el período t
3.1.5. ARt: Ajuste por retraso en el período t
3.2. PASO 2. CÁLCULO DE LAS PROYECCIONES DE LA APP
3.2.1. DAPPCt: Aportes Públicos o Contraprestación en el período t
3.2.2. RRt: Costo del riesgo retenido en el período t
3.2.3. CAt: Costo de administración del contrato APP en el período t
3.3. PASO 3. CÁLCULO DEL VPN Y TASA DE DESCUENTO
3.3.1. r: Tasa de descuento del CPP
INTRODUCCIÓN
La Ley 1508 del 10 de enero de 2012 establece que las Asociaciones Público Privadas (APP) son un instrumento de vinculación de capital privado, que se materializa en un contrato entre una entidad estatal y una persona natural o jurídica de derecho privado, para la provisión de bienes públicos y de sus servicios relacionados, que involucra la retención y transferencia de riesgos entre las partes y mecanismos de pago, referentes con la disponibilidad y el nivel de servicio de la infraestructura y/o servicios relacionados.
Dicha asociación se traduce en retención y transferencia de riesgos, en derechos y obligaciones para las partes, que se retribuye al privado a través de pagos relacionados con la disponibilidad de la infraestructura y/o servicio, del cumplimiento de niveles de servicio, así como incentivos y deducciones asociados con estándares de calidad e indicadores claves de cumplimiento.
El desarrollo de proyectos bajo este instrumento de vinculación de capital privado requiere de una evaluación objetiva por parte de las entidades públicas contratantes, que permita determinar si el mecanismo de APP es la modalidad óptima para la ejecución de los proyectos, en lugar del esquema de ejecución de una obra pública tradicional, en la que el Estado, representado por una entidad ejecutora, invierte, opera y realiza el mantenimiento del proyecto.
Esta metodología regula el proceso de solicitud ante el Departamento Nacional de Planeación o a la entidad de Planeación respectiva(3), del concepto de justificación de utilizar el mecanismo de APP como una modalidad para la ejecución del proyecto y sus requisitos documentales, de conformidad con lo previsto en la Ley 1508 de 2012 y en el Decreto número 1082 de 2015.
La metodología utilizada para este análisis es el Comparador Público Privado (CPP), el cual contrasta cuantitativamente la modalidad de ejecución de un proyecto público con el esquema de APP, para establecer si la participación del sector privado en asociación con el sector público puede aportar un mayor valor en el desarrollo del proyecto.
Esto implica comparar los costos netos ajustados por riesgo en el caso de una modalidad de contratación de obra pública eficiente, con los costos netos asociados a la participación de un contratista privado en la construcción, financiamiento y gestión de la infraestructura y los servicios públicos relacionados.
La metodología del CPP entrega como resultado en su análisis, si existe generación de valor por dinero al utilizar el mecanismo de APP como la modalidad de ejecución del proyecto.
SIGLAS
| APP | Asociación Público Privada |
| BAUE | Beneficio Anual Uniforme Equivalente |
| CAt | Costo de administración del contrato APP en el período t |
| CAPEX(4) | Inversión de capital |
| CBA(5) | Análisis Costo Beneficio |
| CBt | Costo base del proyecto de referencia en el período t |
| CPP | Comparador Público Privado |
| CONPES | Consejo Nacional de Política Económica y Social |
| DAPPCt | Pago al contratista de acuerdo con su solicitud de aportes públicos o contraprestación en el período t |
| CSP | Comparador del Sector Público |
| DNP | Departamento Nacional de Planeación |
| It | Ingresos de terceras fuentes generados en el período t |
| MHCP | Ministerio de Hacienda y Crédito Público |
| OPEX(6) | Costos y gastos operacionales |
| PPR | Proyecto Público de Referencia |
| RRt | Costo del riesgo retenido en el período t |
| RTt | Costo del riesgo transferido en el período t |
| SMMLV | Salario Mínimo Mensual Legal Vigente |
| VAN | Valor Actual Neto |
| SPE | Sociedad de Propósito Específico |
| VpD | Valor por Dinero |
| WACC(7) | Costo promedio ponderado de capital |
DEFINICIONES
Para efectos de la aplicación de esta metodología, los términos que a continuación se relacionan con mayúscula inicial, y que no corresponden a nombres propios ni a normas legales, se les atribuirá el significado que se indica para ellos. Los términos que denoten singular también incluyen el plural y viceversa, salvo que el contexto dicte lo contrario.
| Adjudicatario | Persona natural o jurídica a la cual se le adjudica el contrato para desarrollar un proyecto bajo la modalidad APP. Una vez firmado el contrato, el Adjudicatario se transforma en Contratista. |
| Asignación de Riesgos | Es el proceso de distribución de los efectos favorables y/o desfavorables de los riesgos o partes de los riesgos entre la entidad pública y la parte privada en un proyecto de tipo APP, bajo el principio de asignarlo a la parte que esté en mejor capacidad de controlar y mitigar el riesgo. |
| Asociación Público Privada | Es un instrumento de vinculación de capital privado, que se materializa en un contrato entre una entidad estatal y una persona natural o jurídica de derecho privado, para la provisión de bienes públicos y de sus servicios relacionados, que involucra la retención y transferencia de riesgos entre las partes y mecanismos de pago, relacionados con la disponibilidad y el nivel de servicio de la infraestructura y/o servicio. Este instrumento es de largo plazo, en el cual el sector privado incorpora experiencia, conocimientos, equipos, tecnología, entre otros, con el objeto de crear, desarrollar, mejorar, operar y/o mantener una infraestructura pública y su gestión integral, que incluye a su vez el diseño, la construcción, la financiación, y posterior reversión. La fuente principal de repago de la inversión privada es a través de Vigencias Futuras. |
| Aportes Públicos | Corresponde al financiamiento estatal, que se expresa en pagos diferidos prorrateados en el tiempo y de conformidad con lo estipulado en el artículo 3o de la Ley 1508 de 2012 y el artículo 2.2.2.1.3.1. del Decreto número 1082 de 2015, o en la norma que lo modifique o sustituya. |
| Comparador Público Privado | Metodología cuyo objetivo es comparar los costos para el sector público, ajustados por nivel de riesgos, de ejecutar un proyecto entre dos modalidades de contratación: la modalidad de Proyecto Público (obra pública tradicional o proyecto público de referencia) y la modalidad APP. El proyecto seguirá la modalidad de ejecución que demuestre mayor valor por dinero (VpD), su desarrollo se presenta en el capítulo 3 del presente documento. |
| Contraprestación | Corresponde a la compensación económica que entrega el contratista a la Entidad Pública de acuerdo con lo establecido en el contrato de APP. |
| Contratista | Persona Natural o Jurídica responsable de ejecutar el contrato durante todo el período de duración del proyecto APP, en los términos establecidos en el contrato, cuyo objeto se encuentre exclusivamente encaminado al desarrollo del proyecto APP. |
| Costo base | Costos e inversiones en sus valores base requeridos para la construcción (CAPEX), operación y mantenimiento (OPEX) del activo. |
| Costo de estructuración | Costos necesarios para la preparación, estructuración, aprobación y realización del proceso de selección, incluyendo costos de personal interno y asesores, y la elaboración de cualquier estudio, reporte y documento necesario. |
| Costos de administración y supervisión del contrato de APP | Corresponden a los costos en los que incurre la entidad pública para la estructuración, administración, seguimiento, monitoreo y gestión del contrato o contratos que implementan el proyecto, incluyendo los costos de interventorías, siempre y cuando estos costos no estén incluidos dentro del modelo financiero del proyecto. |
| Entidad Ejecutora | Entidad pública contratante, encargada de la gestión del proyecto incluyendo el proceso de selección. Es la parte contractual pública del proyecto de APP que firmará el contrato con la parte privada. Son entidades del sector público nacional, regional o local, que promueven, desarrollan, contratan y monitorean el desempeño de proyectos APP. En términos generales, esas entidades corresponden a las entidades estatales definidas en el artículo 2o de la Ley 80 de 1993. |
| Obligación contingente | Hecho probable futuro e incierto de cuya materialización se deriva el pago de una suma de dinero determinada o determinable. A efectos de un proyecto de infraestructura se configuran como obligaciones contingentes(8) los riesgos retenidos o compartidos, en su parte retenida por la parte pública que se definan como tales por la autoridad competente(9). |
| Parte privada | El contratista o contraparte contractual de la entidad pública contratante, que queda a cargo de la ejecución del proyecto de infraestructura bajo el contrato respectivo. Nótese que suele estar configurado como una sociedad de propósito específico que es constituida por el inversionista privado, esto es, por el adjudicatario del proceso de selección correspondiente. |
| Pliegos de Condiciones | Documento donde se cumplirán y establecerán los procedimientos y etapas necesarios para asegurar la selección objetiva de la propuesta más favorable. |
| Proyecto | La solución técnica definida en respuesta a la necesidad social o económica identificada, incluyendo el conjunto de actividades que permitirán la producción de los bienes y servicios y el logro de un objetivo específico, dentro de los límites de un presupuesto y de un periodo de tiempo dados. |
| Proyecto APP | El Proyecto cuando se contrata bajo la modalidad APP. |
| Proyecto Público de Referencia | El Proyecto cuando se contrata por modalidad pública tradicional. Para efectos de esta Resolución, es el que, desde la óptica del presupuesto, genera egresos fiscales durante todo el periodo de vida del proyecto incluyendo todas las etapas y actividades que sean involucradas en el proyecto de APP y en el cual la construcción, operación y mantenimiento del proyecto, según corresponda, se encuentran a cargo del Estado. |
| Reversión | Entrega a la entidad contratante al término del contrato APP por cualquier causa, de la infraestructura desarrollada y/o gestionada por la parte privada. |
| Riesgo Compartido | Porción de riesgo o tipos de riesgo cuyas consecuencias se comparten entre la entidad contratante y la parte privada. |
| Riesgo Retenido | El riesgo (o valor del riesgo) cuyas consecuencias son asignadas a la entidad pública del contrato. O la parte del riesgo que le es asignada en un riesgo compartido. |
| Riesgo Transferido | El riesgo (o valor del riesgo) cuyas consecuencias son asignadas a la parte privada del contrato. O la parte del riesgo que le es asignada en un riesgo compartido. |
| Usuario | Persona, agente u organización que hace uso de un proyecto de infraestructura pública y sus servicios relacionados. |
| Valor por Dinero | Es el resultado de la aplicación de la metodología del CPP, que se genera cuando se adopta la mejor alternativa de contratación para la ejecución del proyecto. La diferencia en costos es entre las dos opciones de contratación, la contratación por obra pública tradicional y la contratación APP. |
1. CONTEXTO DEL ANÁLISIS DE CONVENIENCIA DE LA MODALIDAD APP
1.1. ÁMBITO DE APLICACIÓN
Esta metodología aplica a cualquier proyecto que se vaya a desarrollar a través de la modalidad de APP. Los aspectos técnicos definidos en la presente metodología, deberán ser aplicados por las entidades públicas contratantes para que las mismas realicen la justificación de utilizar el mecanismo de APP como una modalidad para la ejecución del proyecto de conformidad con lo establecido en la Ley 1508 de 2012 y en el Decreto número 1082 de 2015, de tal forma que su resultado y análisis es parte integrante de los documentos que el DNP o la entidad de Planeación de la respectiva entidad territorial evaluará, para emitir el concepto sobre la justificación de utilizar el mecanismo de APP como modalidad para el desarrollo de proyectos de APP.
1.2. DECISIÓN DE INVERSIÓN Y MECANISMO DE CONTRATACIÓN
El estudio del Comparador Público Privado (ejercicio de Valor por Dinero) es la parte central de la solicitud de concepto favorable ante el DNP o la entidad de Planeación de la respectiva entidad territorial. El concepto de Valor por Dinero se enmarca en el hecho de que los recursos públicos son limitados, en este sentido en cualquier compra o adquisición está presente la necesidad de que lo adquirido tenga un valor superior a su costo. Es decir, en el marco de contratación pública, en primera instancia lo que se va a adquirir debe generar un beneficio para la sociedad superior a sus costos.
Ahora bien, cuando se ha identificado un proyecto que tiene claro potencial de generar Valor por Dinero (el “qué”), debemos decidir (el “cómo”) su adquisición. El mecanismo de contratación puede añadir o destruir valor. Es por ello que esta segunda decisión implica la obtención o pérdida de eficiencia en la gestión de los recursos públicos.
La primera decisión se conoce como la “decisión de inversión”, es decir, la selección de la mejor opción de proyecto, o mejor solución a la necesidad identificada. Se trata de responder a la pregunta “¿Vale la pena invertir recursos públicos en este proyecto?”
La selección del proyecto, entre distintas opciones es idónea desde el punto de vista socioeconómico, siempre y cuando responda a la necesidad pública previamente detectada, lo cual es materia del análisis socioeconómico a realizar a través de metodologías de análisis costo beneficio(10).
La segunda decisión se conoce como la “decisión del mecanismo de contratación”, en la que se busca determinar bajo qué mecanismo el Estado logra un menor costo. Las metodologías de análisis generalmente se denominan precisamente “análisis de Valor por Dinero”, en este caso, la metodología del Comparador Público Privado, es un ejercicio que responde a las metodologías y técnicas de análisis de Valor por Dinero comúnmente aceptadas.
A través de esta metodología, en esencia cuantitativa, se comparan los costos de contratar o desarrollar la infraestructura seleccionada, bajo modalidad de APP (con financiación privada, con cesión de la gestión del ciclo de vida de la infraestructura, y un nivel significativo de transferencia de riesgos), con la opción de contratación convencional (con financiación pública), siempre considerando en ambos casos el mismo proyecto, es decir, con los mismos requerimientos técnicos y de servicio.
Es básicamente un análisis de eficiencias, o de costo efectividad, planteando el mismo objetivo y/o resultado, comparando los costos de ambas alternativas de contratación.
2. SOLICITUD DE APROBACIÓN Y DOCUMENTACIÓN REQUERIDA PARA LA SOLICITUD DEL CONCEPTO
La entidad pública contratante sometida a las disposiciones de la Ley 1508 de 2012 y el Decreto número 1082 de 2015, que pretenda abrir procesos de selección para la ejecución de proyectos de APP, una vez aprobada la valoración de obligaciones contingentes(11), presentará por parte de su representante legal al Departamento Nacional de Planeación o a quien haga sus veces en el orden territorial, la solicitud de concepto previo favorable de utilizar el mecanismo de APP como una modalidad para la ejecución del proyecto, la cual deberá incluir anexa la información que se describe en el siguiente numeral (2.1. Documentación Requerida).
2.1. DOCUMENTACIÓN REQUERIDA
2.1.1. Aprobación de la Entidad competente de la valoración de las obligaciones contingentes
De acuerdo con el procedimiento de que trata la Ley 1508 de 2012, Ley 448 de 1998 y los Decretos que las reglamentan o las modifican, la aprobación de la valoración de obligaciones contingentes la realiza el MHCP o la entidad que haga sus veces en el orden territorial.
2.1.2. Documento de análisis del Comparador Público Privado
Este documento deberá contener como mínimo la siguiente información:
- Objetivo y alcance del proyecto.
- Explicación detallada, clara y precisa del modelo de negocio APP.
- Presentación detallada del proyecto público de referencia.
- Descripción y cuantificación de los costos base del proyecto público de referencia.
- Presentación detallada y explicación de la cuantificación de los ingresos de terceras fuentes y su aplicabilidad en los esquemas analizados dentro del CPP.
- Presentación de la metodología de estimación del costo del riesgo transferido y su correspondiente valoración.
- Explicación detallada de los desembolsos de recursos públicos requeridos para el desarrollo de la APP.
- Explicación detallada de las retribuciones de la parte privada a la parte pública en caso de que apliquen.
- Presentación y explicación de la estructura financiera y de retribución del proyecto.
- Explicación detallada de los costos de administración del proyecto de APP.
- Presentación y explicación de la tasa de descuento aplicada.
2.1.3. Archivo de Cálculo del Comparador Público Privado
Se deberá entregar un archivo en versión electrónica (libro de cálculo) abierto sin restricciones y deberá incluir los cálculos de la aplicación de la metodología de Comparador Público Privado. Este libro de cálculo deberá contener una hoja denominada “CPP” en la cual se presente la información de entrada que procede del modelo financiero, esta hoja debe tener la misma estructura de aquella que forma parte el modelo financiero. Las celdas de la hoja denominada “CPP” dentro del archivo de cálculo del CPP, solo incluirán datos sin tener ningún tipo de vínculo con otros archivos ni con el modelo financiero.
2.1.4. Matriz de riesgos
La matriz de riesgos deberá realizarse siguiendo los lineamientos de la normatividad vigente para la gestión del riesgo en proyectos de infraestructura con inversión privada(12).
La matriz de riesgos del proyecto deberá incorporar la adecuada identificación, tipificación, asignación y estimación cualitativa y cuantitativa de los riesgos. Adicionalmente, la matriz de riesgos deberá incluir la referencia explícita y puntual a las cláusulas o a los numerales de las cláusulas del contrato correspondientes a la asignación de riesgos, según sea el caso.
2.1.5. Matriz de análisis del comparador público privado
La Matriz de análisis del CPP y sus modificaciones, firmada por el representante legal de la entidad pública competente, presenta la consolidación de los resultados de la validación de la metodología del CPP. Las modificaciones que se efectúen a las variables y componentes del CPP como producto del proceso de evaluación realizado; por parte del DNP, deberán reflejarse en las correspondientes modificaciones de la matriz firmada por el representante legal.
Además de la matriz deben presentarse los resultados discriminados y soportes requeridos para la determinación de cada uno de los componentes del CPP, los cuales deberán ser proporcionados en el documento de análisis del CPP, en la versión actualizada tras el proceso de evaluación según se ha descrito.
El siguiente cuadro representa la matriz del CPP, la cual debe adjuntarse debidamente diligenciada y firmada por el representante legal de la entidad competente. Las instrucciones para su diligenciamiento se encuentran detalladas en el capítulo tres denominado Metodología de Cálculo del CPP.

2.1.6. El modelo financiero detallado y formulado que fundamente las fases, duración y el valor del proyecto
El modelo financiero deberá presentar discriminadamente los costos base del proyecto, ingresos por terceras fuentes, costos de administración del contrato y la estimación de aportes públicos.
El modelo financiero se entregará en versión electrónica (libro de cálculo) abierta sin restricciones y deberá responder a buenas prácticas comúnmente aceptadas (p.ej. desagregación adecuada en distintas hojas como hoja de input, hoja de control, hoja de CAPEX, OPEX y necesidades de financiación, hojas de ingresos y costos O&M, hoja de Balance, programa de deuda etc., así como la diferenciación de formato/color de celdas que sirvan de input modificable o de parametrización de sensibilidades entre otras buenas prácticas). Adicionalmente, el modelo financiero deberá contener una hoja denominada “CPP”, la cual es una hoja adicional que incorpora la información con la que se estima el valor del CPP. Dicha hoja debe contener los vínculos respectivos a cada una de las hojas y celdas del modelo financiero y tener la misma estructura de la hoja que se incluya en el archivo de cálculo del CPP.
También deberá incluir un documento con las especificaciones y funcionalidades del modelo (el libro del modelo), la descripción y justificación de los supuestos utilizados para el proceso de valoración.
El modelo deberá ser el mismo modelo financiero presentado ante el MHCP o la entidad que haga sus veces en el orden territorial, en el marco del proceso de valoración de obligaciones contingentes.
2.1.7. Proyecto de minuta de contrato
Debe corresponder a la minuta base presentada para los estudios que sobre obligaciones contingentes haya realizado el MHCP o la entidad que haga sus veces en el orden territorial.
Los análisis de la información solicitada se limitarán a evaluar la aplicación de la metodología del comparador público privado, no obstante, la entidad pública contratante deberá dar respuesta a los interrogantes u observaciones que sobre el proyecto se presenten por parte del DNP o la entidad que haga sus veces en el orden territorial.
2.1.8. Certificación de información del Proyecto actualizada en el RUAPP
De acuerdo con lo establecido en el artículo 2.2.2.1.6.2. del Decreto número 1082 de 2015, la solicitud de concepto deberá estar acompañada de la certificación emitida por el representante legal de la entidad competente en la cual conste que la información del proyecto se encuentra actualizada en el Registro Único de Asociaciones Público Privadas (RUAPP).
2.2. EMISIÓN DE CONCEPTO
Si la documentación se encuentra completa y el proyecto cuenta con la justificación requerida de utilizar el mecanismo de Asociación Público Privada como una modalidad para la ejecución del proyecto, el DNP o la entidad que haga sus veces en el orden territorial emitirá el correspondiente concepto favorable.
Cuando la información presentada se encuentre incompleta o se determine alguna inconsistencia en la misma, la entidad deberá efectuar los ajustes que indique el DNP o la entidad que haga sus veces en el orden territorial, de acuerdo con lo establecido en el artículo 2.2.2.1.6.2. del Decreto número 1082 de 2015.
3. METODOLOGÍA DE CÁLCULO DE CPP
El Comparador Público Privado (CPP), es una metodología que contribuye al proceso de toma de decisiones de inversión pública y cuyo objetivo es comparar cuantitativamente la modalidad de ejecución mediante el mecanismo de obra pública tradicional con la modalidad de APP, con el fin de determinar la modalidad de ejecución de proyecto que genera un mayor valor por dinero. El objetivo del CPP es comparar los costos, ajustados por riesgo, de la provisión pública de infraestructura con el costo de la provisión privada, de tal forma que la justificación del mecanismo de APP como una modalidad para la ejecución de proyectos, es la que permite generar valor por dinero.
Para realizar el ejercicio de comparación, es necesario incorporar en los dos proyectos, público y privado, los costos e ingresos del proyecto y realizar los ajustes por riesgos según la modalidad de contratación, que permitan comparar adecuadamente el desarrollo del proyecto bajo cada opción desde el punto de vista de eficiencia. Las proyecciones de los costos de cada modalidad se deben traer a valor presente aplicando la tasa de descuento descrita en el numeral 3.3.1.
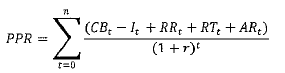
El valor por dinero está determinado por la diferencia entre el valor presente al desarrollar un Proyecto Público de Referencia (PPR) y el valor presente del mismo proyecto (definido con los mismos requerimientos técnicos y especificaciones de servicio), desarrollado bajo un esquema de APP, cuya formulación básica es la siguiente:
<Fórmula corregida por el artículo 1 de la Resolución 602 de 2024. El nuevo texto es el siguiente:>

- Fórmula corregida por el artículo 1 de la Resolución 602 de 2024, 'por la cual se corrige un yerro en el Anexo de la Resolución número 857 de 2023', publicada en el Diario Oficial No. 52.698 de 14 de marzo de 2024. Rige a partir de su publicación en el Diario Oficial. |
Texto original de la Resolución 857 de 2023:
|
La primera parte de la fórmula comprende los ítems que se tienen en cuenta en el cálculo a valor presente del Proyecto Público de Referencia:
<Fórmula corregida por el artículo 1 de la Resolución 602 de 2024. El nuevo texto es el siguiente:>

- Fórmula corregida por el artículo 1 de la Resolución 602 de 2024, 'por la cual se corrige un yerro en el Anexo de la Resolución número 857 de 2023', publicada en el Diario Oficial No. 52.698 de 14 de marzo de 2024. Rige a partir de su publicación en el Diario Oficial. |
Texto original de la Resolución 857 de 2023:
|
La segunda incorpora los elementos requeridos en el cálculo a valor presente del Proyecto APP:
<Fórmula corregida por el artículo 1 de la Resolución 602 de 2024. El nuevo texto es el siguiente:>

- Fórmula corregida por el artículo 1 de la Resolución 602 de 2024, 'por la cual se corrige un yerro en el Anexo de la Resolución número 857 de 2023', publicada en el Diario Oficial No. 52.698 de 14 de marzo de 2024. Rige a partir de su publicación en el Diario Oficial. |
Texto original de la Resolución 857 de 2023:
|
Donde:
CBt: Costo base
It: Ingresos del proyecto
RRt: Costo del riesgo retenido
RTt: Costo del riesgo transferido
ARt: Ajustes por retrasos
DAPPCt: Aportes públicos para cubrir: Costo base, costo financiero (intereses y comisiones de deuda), costo de contingencia por riesgo, ajuste por eficiencias e ingresos del proyecto. O Contribución por parte del Privado, en cuyo caso, este término se toma negativo para la fórmula.
CAt: Costo de administración del contrato APP y valor de reversión
Las unidades de tiempo “t” podrán medirse en términos de meses o años, según las características propias del proyecto.
El horizonte de tiempo “n” está determinado por el límite máximo de duración del proyecto, el cual no podrá ser superior a 30 años, según lo establecido en la Ley 1508 de 2012.
El horizonte del análisis del proyecto es el mismo en ambas modalidades, es decir el plazo del eventual contrato de APP. Del mismo modo, ambas proyecciones deben comenzar en la misma fecha y considerar la misma duración de período de construcción.
Las cifras presentadas deberán estar expresadas en pesos constantes a 31 de diciembre del año inmediatamente anterior a la fecha de radicación de la solicitud de concepto, nuevas radicaciones o alcances. Es importante mencionar, que cuando las cifras del modelo financiero no estén expresadas en pesos constantes a 31 de diciembre del año inmediatamente anterior, tal como se mencionó, se deberá incluir en el archivo del CPP una hoja denominada “Conversión Cifras”, en la cual serán incorporadas las cifras re expresadas para proceder con el cálculo del CPP y la estimación del VpD.
El proyecto deberá ejecutarse bajo la modalidad que dé como resultado mayor VpD, lo que significa que el costo del proyecto público neto de ingresos de terceras fuentes y ajustado por riesgos resulta mayor al costo neto del proyecto desarrollado por APP. Será más eficiente el desarrollo del proyecto con participación privada, con lo que se genera VpD positivo. En caso contrario, resultará más costosa la provisión privada quedando la opción APP con resultado de VpD negativo.
Un VpD mayor a cero determina que en términos cuantitativos, el uso del esquema APP como modalidad de ejecución del proyecto genera un menor costo relativo frente al proyecto público de referencia, lo que justifica la contratación del proyecto por medio de esta modalidad.
El cálculo de los costos para el PPR se puede ilustrar como se muestra en el Gráfico 1.
Gráfico 1 Costos del PPR

El cálculo de los costos para la APP se puede ilustrar como se muestra en el Gráfico 2.
Gráfico 2 Costos de la APP(13)

Finalmente, como se observa en el Gráfico 3, el VpD será la diferencia entre los costos obtenidos para las dos modalidades.
Gráfico 3 Cálculo del VpD

A manera de resumen los pasos del proceso se describen en la Figura 1.
Figura 1. Resumen del ejercicio de cálculo del CPP

3.1. PASO 1. CÁLCULO DE LAS PROYECCIONES DE COSTO DEL PPR
El primer paso consiste en construir el proyecto público de referencia (PPR), en el cual se simulan los costos de desarrollar el proyecto bajo el esquema de obra pública tradicional.
Este esquema de contrato retiene todos los riesgos, y la entidad pública asume la responsabilidad de la operación y el mantenimiento de los activos durante el ciclo de vida de la infraestructura. En este sentido, el contratista de obra realiza la construcción bajo los requerimientos establecidos en los diseños y termina sus obligaciones con la entrega de la obra sin hacerse responsable de su mantenimiento integral posterior.
En la estimación del PPR se deben incorporar todos los costos y riesgos en los que tendría que incurrir la entidad pública para realizar el proyecto bajo esta modalidad de contratación por obra pública tradicional. El PPR está compuesto por los siguientes conceptos:
- Costo base
- Ingresos de terceras fuentes
- Ajustes al costo base
- Riesgos
3.1.1. CBt: Estimación del costo base del proyecto de referencia en el período t
El costo base del proyecto es el esperado de implementar el proyecto por parte del sector público bajo los estándares de calidad exigibles dentro de las condiciones de gestión privada(14), cuyos elementos están relacionados con el costo de la inversión inicial, los costos de explotación (operación, mantenimiento y administración), así como los costos asociados con mantenimientos mayores y reposiciones, durante toda la vida del proyecto.
3.1.1.1. Costo de inversión inicial
Refleja los costos de diseño, implementación, construcción y equipamiento.
- Costo de diseño. Precisa los costos propios del estudio de ingeniería y/o arquitectura del proyecto, del estudio de demanda y del estudio económico-financiero.
- Costo de implementación. Incluyen posibles compras de terrenos o pago de derechos de expropiación, los posibles gastos por demoliciones y adaptaciones del terreno, los costos relacionados con trámites de permisos y de licencias para desarrollar el proyecto, los costos de transacción y el costo de la adquisición de predios principalmente en el caso de proyectos viales, costos asociados con la implementación del plan de manejo ambiental y/o estudios ambientales relacionados. También se incluyen los gastos en consultores o asesores del proceso, así como los costos asociados al monitoreo y seguimiento del proyecto (incluye costos de interventoría del proyecto).
- Costos de construcción. Aquí se detallan los costos de construcción de la infraestructura misma.
- Costos de equipamiento. Detalla los costos de equipos necesarios para el funcionamiento de la infraestructura.
3.1.1.2. Costos de explotación
Son los costos en los que se incurre durante la operación y el mantenimiento con el fin de habilitar el servicio durante el horizonte del proyecto.
Su naturaleza varía de acuerdo con cada proyecto. Las estimaciones de estos costos se basan en la experiencia del evaluador en el sector en que se desarrolla el proyecto específico, y pueden subdividirse en costos de mantenimiento, administración y operación.
- Costos de mantenimiento. Corresponden a los costos periódicos necesarios para mantener el PPR operando de acuerdo con su especificación original. Generalmente se dividen en un mantenimiento rutinario expresado como una cuota anual equivalente a un porcentaje fijo de la inversión, y un mantenimiento mayor o periódico que puede ser necesario tras cierto número de años.
- Costos de administración y operación. Los necesarios para operar la infraestructura y proveer el servicio público. Deben incluir el personal, los insumos necesarios, y todos aquellos egresos en que incurra la entidad pública mientras presta el servicio.
3.1.1.3. Mantenimientos mayores y costos de reposición
Se refieren a las inversiones en que se incurre para realizar mantenimientos mayores(15), o algún tipo de elemento fundamental para el desarrollo del proyecto.
3.1.2. It: Ingresos de terceras fuentes en el período t
Dentro del cálculo de ingresos de terceras fuentes del proyecto se encuentran los ingresos existentes por cobro directo a los usuarios y los ingresos potenciales, en caso de que apliquen.
3.1.2.1. Ingresos existentes por cobro directo a los usuarios
Corresponden a los ingresos que pueden ser percibidos por la entidad pública competente en el momento de realizar el análisis, o que se captarán vía operación del proyecto y que se espera serán entregados o cedidos al contratista una vez tomada la decisión de desarrollar el proyecto por la vía privada.
3.1.2.2. Ingresos potenciales
Corresponden a ingresos que el Estado potencialmente podría cobrar por la prestación del servicio público, pero que no se perciben en el momento de realizar el análisis, y que, sin embargo, se espera que el derecho potencial del cobro sea transferido o cedido al contratista en el caso de tomar la decisión de desarrollo privado del proyecto.
Si la tarifa que cobrará el contratista por la provisión del servicio público es fijada y regulada por la entidad pública, no es una variable de licitación cuyo valor final será producto del proceso competitivo de la licitación; entonces, para efectos del CPP se debe utilizar directamente el valor fijo que la autoridad pública está definiendo. Se entiende para este caso que las tarifas o peajes fueron fijadas por la autoridad, y la variable de licitación es la menor cantidad de vigencias futuras u otra variable distinta a la tarifa (por ejemplo: plazo).
Si la tarifa que cobrará el contratista es una variable de calificación en el proceso de selección, entonces para efectos del CPP, su valor debe determinarse con base en el modelo económico financiero que corresponde al proyecto estructurado.
En conclusión, en este ítem de ingresos por terceras fuentes se deben proyectar los ingresos que el sector público percibe actualmente y dejará de percibir debido a que este derecho de cobro se transfiere al contratista, en el caso de decidirse el desarrollo del proyecto por la vía privada; también las tarifas que el Contratista cobraría a los usuarios de la infraestructura o a terceros, y que el sector público actualmente no percibe.
Generalmente, tanto los ingresos existentes como potenciales, provienen de la aplicación de una tarifa por servicio, eso significa que el problema de proyección se divide en dos partes: proyectar la tarifa, y proyectar el número de servicios por unidad de tiempo, esto es, el volumen o la cantidad sobre la cual se aplicará la tarifa. Dado que el CPP se desarrolla en moneda constante, la tarifa será una constante siempre y cuando no se permitan incrementos reales en el nivel tarifario generados por incrementos en inversión u otras consideraciones.
3.1.3. RRt: Costo del riesgo retenido en el período t
Para el cálculo del riesgo retenido, en primer lugar, se deben identificar en la matriz de riesgos la totalidad de los riesgos asignados al sector público. En segundo lugar, es necesario identificar cuáles de los riesgos seleccionados son relevantes para el proyecto. El grado de relevancia(16) está configurado por criterios de probabilidad e impacto.
La asignación y cuantificación de riesgos retenidos debe realizarse siguiendo las etapas definidas en la Metodología de Valoración y Seguimiento de Riesgos en Contratos Estatales, elaborada por la Subdirección de APP del MHCP(17) o los lineamientos que el MHCP emita sobre la materia.
En el CPP solo se presentará como riesgos retenidos la valoración de las obligaciones contingentes aprobada por el MHCP, de acuerdo con el procedimiento definido en la Ley 1508 de 2012, Ley 448 de 1998 y decretos reglamentarios que regulan la materia.
3.1.4. RTt: Costo del riesgo transferido en el período t
El análisis de los riesgos a que está sujeto un proyecto obedece a su estructuración y redunda en una mejora permanente en el proceso de toma de decisiones y capacidad de gestión contractual. Un mejor uso de la información sobre riesgos, genera la posibilidad de evaluar sistemáticamente, mediante herramientas técnicamente establecidas, los riesgos involucrados en el proyecto a desarrollar, no solamente identificando y asignando los riesgos del proyecto, sino efectuando una valoración de los mismos.
La valoración de riesgos está sujeta a la aplicación de ciertas herramientas, ya sean estadísticas o metodológicas, que permiten cuantificarlos. Para el proceso de valoración del riesgo transferido, las entidades públicas contratantes deberán basarse en los documentos Conpes y guías metodológicas que sobre riesgos se hayan emitido a nivel nacional(18) o la aplicación de procedimientos de modelación y cuantificación de riesgos particulares en virtud de la tipología de los riesgos del proyecto en análisis.
La información y análisis efectuados por la entidad competente deberán estar justificados y soportados. En todo caso el DNP podrá solicitar un mayor detalle y profundidad en los mismos y aclaraciones al respecto.
3.1.5. ARt: Ajuste por retraso en el período t
El ejercicio de VpD es eminentemente financiero, en donde los valores no están ajustados bajo el concepto de costo de oportunidad, ni se encuentran corregidos por efectos indirectos de carácter socioeconómico. En general, no se reconocen o consideran valores por concepto de beneficios sociales o de costos económicos, sino se parte del supuesto que los impactos socioeconómicos serán los mismos en ambos modelos, PPR o APP. Lo anterior considera que la infraestructura estará disponible para operación y prestación del servicio(19) en el mismo momento en ambos esquemas de contratación.
Adicionalmente, cuando hay razones fundadas para suponer que la provisión pública de la infraestructura tomará un tiempo de inicio superior para la puesta en operación al plazo que normalmente tendría la provisión privada materializada bajo APP, se deberá proceder con el ajuste por retraso, el cual solo procede cuando se presenta la probabilidad de que no existan apropiaciones presupuestales para comprometer en el sector recursos públicos.
3.1.5.1. Ajuste por retraso esperado en inicio de ejecución del contrato o espera pública
Los procedimientos de contratación estatal para desarrollar un proyecto por obra pública pueden generar retrasos en el inicio de ejecución de los contratos cuando no existan apropiaciones presupuestales para tales efectos, lo anterior debido a los trámites relacionados con la aprobación de las respectivas apropiaciones presupuestales o autorización para la asunción de compromisos con cargo a vigencias futuras. De acuerdo con lo anterior, se deberá estimar el valor de espera pública y justificar debidamente sus cálculos, no pudiendo tomar en ningún caso un plazo superior a 12 meses.
El valor del ajuste por espera pública se calcula multiplicando el número de meses del retraso por el valor presente del beneficio económico esperado del proyecto. Para lo anterior, se requiere incluir dentro de la documentación presentada, el estudio socioeconómico junto con los datos utilizados y las modelaciones realizadas, documentación que deberá ser analizada por la Dirección Técnica del DNP que corresponda(20), la cual deberá conceptuar sobre la consistencia de la evaluación del estudio socioeconómico, dentro del plazo establecido en el artículo 2.2.2.1.6.2. del Decreto número 1082 de 2015.
3.1.5.2. Cálculo del ajuste por espera pública
El costo de la demora, dependerá del valor de beneficio neto que se deja de obtener durante el tiempo de espera pública, que habrá sido calculado en los trabajos de factibilidad económica (análisis costo beneficio) y está representado por el VANsocial. La existencia de VANsocial positivo implica que el beneficio esperado del proyecto supera sus costos (beneficios y costos según valores y variables de carácter económico debidamente ajustadas por metodología CBA).
Si los estudios han determinado que un proyecto arroja un VAN positivo, entonces se determina el Beneficio Anual Uniforme Equivalente (BAUE) o beneficio anual por ejecutar el proyecto, de acuerdo con la siguiente fórmula:
![]()
Donde:
rA: Es la tasa social de descuento definida en artículo 1o de la Resolución número 1092 de 2022 expedida por el DNP o la norma que la sustituya o modifique.
p: Es el plazo de la evaluación social en años.
Esta formulación expresa la fracción del beneficio total del proyecto que se realiza en cada año de su operación. Luego, se mensualiza la tasa de descuento de acuerdo con la siguiente fórmula:
![]()
Donde:
rm: Es la tasa de descuento en términos mensuales.
Dada la tasa mensual de descuento, se calcula el valor actual del costo de la espera mensual, en la implementación del proyecto de acuerdo con la siguiente fórmula:
![]()
Donde:
m: Es el número de meses de retraso esperable en la provisión pública de la infraestructura.
Finalmente, el ajuste en el costo por la espera determinada se calcula como: el VAN de espera mensual por el número de meses de retraso, de acuerdo con la siguiente fórmula:
![]()
Donde:
AR: Ajuste por retraso
m: Retraso en meses por espera pública.
VANespera: Valor actual neto mensualizado del proyecto.
3.2. PASO 2. CÁLCULO DE LAS PROYECCIONES DE LA APP
El segundo paso para realizar el cálculo del CPP es estimar el costo, desde la perspectiva pública, de desarrollar el proyecto bajo la modalidad de APP. En este caso, se realiza una estructuración teórica del proyecto, donde sus costos estarán compuestos por los aportes públicos que se realizan en el proyecto, los correspondientes riesgos que la entidad pública retiene y los costos relacionados con la administración del contrato de APP por parte de la entidad pública.
El horizonte de las proyecciones, el plazo de construcción y la periodicidad a considerar en los flujos es la misma que en las proyecciones de costos del PPR.
3.2.1. DAPPCt: Aportes Públicos o Contraprestación en el período t
1.1.1.1. Aportes Públicos- Pago al contratista de acuerdo con su solicitud de aportes públicos en el período t
Corresponde al financiamiento estatal, que se expresa en pagos diferidos prorrateados en el tiempo y de conformidad con lo estipulado en el artículo 2.2.2.1.3.1. del Decreto número 1082 de 2015, o en la norma que lo modifique o sustituya.
1.1.1.2. Contraprestación- Pago del contratista en el período t
Corresponde a la compensación económica que entrega el contratista a la Entidad Pública de acuerdo con lo establecido en el contrato de APP.
3.2.2. RRt: Costo del riesgo retenido en el período t
Como se revisó en el PPR, corresponde al riesgo retenido del proyecto, ver numeral 3.1.3.
3.2.3. CAt: Costo de administración del contrato APP en el período t
Los costos de administración y supervisión del contrato de APP corresponden a aquellos en los que incurre la entidad pública para la estructuración, administración, seguimiento, monitoreo y gestión del contrato o contratos a través de los cuales se implementa el proyecto, incluyendo los costos de interventorías, siempre y cuando estos costos no estén incluidos en el modelo financiero del proyecto.
3.3. PASO 3. CÁLCULO DEL VPN Y TASA DE DESCUENTO
Los flujos de proyecciones de ambos modelos de contrato deben descontarse a valor presente para ser comparables, ya que la proyección de costos en cada modalidad responde a un perfil temporal distinto por lo que nunca resultarán comparables en valores nominales.
Después de traer los valores a valor presente(21), se calculará la diferencia entre el VPN de los costos del PPR y el VPN de los costos de la APP, lo cual definirá la cuantía esperada de valor por dinero del proyecto en términos absolutos, positivo o negativo.
Se deberá calcular además el VpD en términos relativos como cociente entre el VpD estimado y el valor de los costos del PPR.
3.3.1. r: Tasa de descuento del CPP
La tasa a utilizar será el costo promedio ponderado de capital del proyecto - WACC(22), cuyo cálculo se realiza de conformidad con la Metodología definida por el Ministerio de Hacienda y Crédito Público, en el marco de lo establecido en la Resolución número 2080 del 31 de julio de 2008, o la norma que la modifique o sustituya.
NOTAS AL FINAL:
3. De acuerdo con lo establecido en el Artículo 11 de la Ley 1508 de 2012.
4. Por sus siglas en inglés: Capital Expenditures.
5. Por sus siglas en inglés: Cost-Benefit Analysis
6. Por sus siglas en inglés: Operational Expenditures.
7. Por sus siglas en inglés: Weighted Average Cost of Capital.
8. De acuerdo con lo establecido en la Ley 448 de 1998 y las normas que la modifiquen o complementen.
9. La dependencia competente es aquella establecida en el artículo 2.4.1.13 del Decreto número 1068 de 2015.
10. Las metodologías de análisis costo-beneficio, no tienen en cuenta los aspectos relativos a la financiación del proyecto.
11. Por parte del Ministerio de Hacienda y Crédito Público (MHCP) o quien haga sus veces en el orden territorial.
12. Política general de riesgo contractual del Estado para proyectos de infraestructura con participación privada consignada en los documentos Conpes 3133, 3107, y 3714.
13. En la APP se pueden dar dos situaciones: La primera es que el proyecto requiera Aportes Públicos, los cuales se incluyen como un costo para el Estado con el objeto de remunerar al privado; la segunda situación es en la que el proyecto no requiere de Aportes Públicos, por el contrario, el Estado recibe una Contraprestación, lo cual se constituye en un ingreso. En la imagen se ilustra como ejemplo el proyecto que requiere de Aportes Públicos.
14. El costo base debe contener los aspectos relacionados con los estudios de preparación del proyecto o costos de estructuración, así como costos asociados al seguimiento del proyecto como son los de interventoría. Es importante anotar que en el costo base no se deberían incluir los costos de administración y supervisión del contrato APP, los cuales están incluidos en el numeral 3.2.3. de este documento (CAt: Costo de administración del contrato APP).
15. Los mantenimientos mayores hacen referencia a las acciones periódicas necesarias para mantener la infraestructura en operación de acuerdo con su especificación original, las cuales son requeridas tras cierto número de años de operación.
16. El grado de relevancia está dado por las dos dimensiones básicas del riesgo, la probabilidad y el impacto. La probabilidad, se relaciona con qué tan posible resulta que el riesgo se active y/o se materialice. El impacto, tiene que ver con las consecuencias que se podrían generar, en caso en que el riesgo efectivamente se active o se materialice.
17. Metodología que puede ser consultada en el link: https://www.minhacienda.gov.co/webcenter/ShowPr operty?nodeId=%2FConexionContent%2FWCC_CLUSTER-135626%2F%2FidcPrimaryFile&revisi on=latestreleased
18. Conpes 3107 de 2001, 3133 de 2001, Metodología de Valoración y Seguimiento de Riesgos en Contratos Estatales, emitida por el Ministerio de Hacienda y Crédito Público.
19. El momento en que se empiezan a generar los beneficios sociales es cuando la infraestructura se está disponible para la operación y prestación del servicio.
20. La Dirección Técnica del DNP está determinada por el sector al que pertenece el proyecto
21. Las cifras presentadas deberán estar expresadas en pesos constantes del 31 de diciembre de año inmediatamente anterior a la fecha de radicación de la solicitud de concepto.
22. Por sus siglas en inglés: Weighted Average Cost of Capital.
Centro Normativo Keralty
n.d.
Última actualización: 30 de diciembre de 2025
