Buscar search
Índice developer_guide

RESOLUCIÓN 4717 DE 2009

(noviembre 27)

Diario Oficial No. 47.551 de 2 de diciembre de 2009

MINISTERIO DE LA PROTECCIÓN SOCIAL

<NOTA DE VIGENCIA: Resolución derogada por el artículo 14 del Acuerdo CNJSA 108 de 2014>

Por la cual se establecen los indicadores de gestión, eficiencia y rentabilidad para calificar la gestión de los operadores del juego de lotería tradicional o de billetes y se dictan otras disposiciones.

EL MINISTRO DE LA PROTECCIÓN SOCIAL,

en ejercicio de sus atribuciones legales, especialmente las conferidas en os artículos 51 y 52 de la Ley 643 de 2001 y 25 del Decreto 2975 de 2004, y

CONSIDERANDO:

Que el Ministerio de la Protección Social, por medio de Resolución 4738 de 2004 estableció los indicadores para calificar la gestión, eficiencia y rentabilidad de las Empresas Industriales y Comerciales del Estado, de las Sociedades de Capital Público Departamental (SCPD), administradoras u operadoras de juegos de suerte y azar, de la Cruz Roja y de los particulares, que operen el juego de lotería tradicional o de billetes.

Que según consta en el Acuerdo 39 de 2009 del Consejo Nacional de Juegos de Suerte y Azar, recomendó ajustar los indicadores para calificar a gestión de eficiencia y rentabilidad prevista en la Resolución 4738 de 2004.

Que la Superintendencia Nacional de Salud formuló observaciones, tal como se indica en el oficio 0400-2-000478294 del 12 de junio de 2009, que señala “En concepto de esta Superintendencia se deben conservar los indicadores que están dirigidos a prevenir el riesgo de defraudación al público y el giro de las transferencias,

Es importante incorporar indicadores que avalúen la situación de riesgo en que las entidades puedan estar incursas en causal de intervención y/o liquidación previstas en la Ley 643 de 2001; la constitución de la reserva técnica para pago de premios y el cumplimiento con la apertura y fondeo de la cuenta especial para premios no reclamados”.

Que en consecuencia se hace necesario establecer nuevamente los indicadores para calificar la gestión, eficiencia y rentabilidad de las empresas industriales y comerciales del Estado, de las Sociedades de Capital Público Departamental (SCPD), administradoras u operadoras de juegos de suerte y azar, de la Cruz Roja y de los particulares, que operen el del juego de lotería tradicional o de billetes y derogar as actualmente vigentes, contenidas en la Resolución 4738 de 2004.

En mérito de lo expuesto, este Despacho,

RESUELVE:

CAPITULO I.

DISPOSICIONES GENERALES.

ARTÍCULO 1o. OBJETO. <Resolución derogada por el artículo 14 del Acuerdo CNJSA 108 de 2014> La presente resolución tiene por objeto establecer indicadores que el Consejo Nacional de Juegos de Suerte y Azar deberá aplicar para calificar la gestión, eficiencia y rentabilidad de las empresas industriales comerciales del Estado, de las Sociedades de Capital Público Departamental (SCPD), administradoras u operadoras de juegos de suerte y azar, de la Cruz Roja y de los particulares, que operen el juego de lotería tradicional o de billetes y establece los eventos o situaciones en que las mencionadas empresas deben someterse a los planes de desempeño para recobrar su viabilidad financiera e institucional.

ARTÍCULO 2o. CRITERIOS PARA ESTABLECER LOS INDICADORES DE GESTIÓN, EFICIENCIA Y RENTABILIDAD. <Resolución derogada por el artículo 14 del Acuerdo CNJSA 108 de 2014> De conformidad con los artículos 6o, 17 y 50 de la Ley 643 de 2001, los indicadores de gestión, eficiencia y rentabilidad; que se establecen a través de la presente resolución se formulan teniendo en cuenta siguientes criterios:

a) Excedentes mínimos de operación y rentabilidad.

b) Relación entre emisión y ventas de billetería.

c) Ingresos.

d) Gastos de administración y operación.

e) Transferencias efectivas a los servicios de salud.

CAPITULO II.

INDICADORES DE GESTIÓN, EFICIENCIA Y RENTABILIDAD.

ARTÍCULO 3o. INDICADORES DE GESTIÓN, EFICIENCIA Y RENTABILIDAD. <Resolución derogada por el artículo 14 del Acuerdo CNJSA 108 de 2014> Los indicadores que han de tenerse como fundamento para calificar la gestión, eficiencia y rentabilidad de las empresas industriales y comerciales del Estado, de las Sociedades de Capital Público Departamental (SCPD), administradoras u operadoras de juegos de suerte y azar (SCPD), de la Cruz Roja y de los particulares, que operen el juego de lotería tradicional o de billetes, son los que se establecen a continuación:

1. Indice de los excedentes mínimos de operación y rentabilidad

Este indicador se determinará si la empresa administradora u operadora del juego de lotería tradicional alcanzó la rentabilidad mínima que hace parte de la renta del monopolio cuando se adopta la modalidad de operación directa. Este indicador se calculará mediante la siguiente fórmula:

Donde,

IEMO: Indicador de los excedentes mínimos de operación de los operadores directos del juego de lotería.

EMGP: Excedentes generados en el período calificado. Corresponde a las utilidades netas del operador directo obtenidas en el período de análisis.

EMEP: Excedentes mínimos esperados en el período analizado. Se calcula aplicando el porcentaje de excedentes mínimos de operación a los ingresos brutos del juego de lotería tradicional en el período calificado.

Los excedentes mínimos de operación y rentabilidad serán estimados de conformidad con lo previsto en el artículo 21 del Decreto 2975 de 2004 o la norma que lo modifique, adicione o sustituya.

Si el valor del Indice de los Excedentes Mínimos de Operación, IEMO, es menor a 1.00, se entiende que la empresa operadora no obtuvo los excedentes mínimos establecidos en el Decreto 2975 de 2004 y, por tanto, el Consejo Nacional de Juegos de Suerte y Azar otorgará al operador calificación insatisfactoria.

2. Indice de la relación entre la venta y la emisión de billetes

El propósito de este indicador es determinar si el operador del juego de lotería tradicional guarda relación entre la venta y la emisión de billetes de que trata el artículo 17 de la Ley 643 de 2001. Este indicador se calculará aplicando la siguiente fórmula:

Donde,

IRVE: Indicador de la relación entre las ventas y la emisión de billetes de lotería para el período analizado.

RVEO: Relación entre el valor total de las ventas brutas y la emisión de billetes de lotería del operador en el periodo calificado, expresadas en pesos y calculada por la Superintendencia Nacional de Salud.

RVEI: Relación entre el valor total de las ventas brutas y la emisión de billetes de lotería del operador en el período anterior, expresadas en pesos y calculada por la Superintendencia Nacional de Salud.

Si el valor del indicador de la relación entre las ventas y la emisión de billetes de lotería es menor que cero punto noventa y seis (0.96), el Consejo Nacional de Juegos de Suerte y Azar otorgará calificación insatisfactoria.

3. Indicador de la variación de los ingresos

Este indicador revelará la variación de las ventas brutas de billetes de lotería del operador en relación con la variación de las ventas brutas de todos los operadores, en el período de análisis. Se calculará utilizando la siguiente fórmula:

Donde,

IVI: Indice de variación de los ingresos.

VBn: Ventas brutas en el periodo de análisis.

VB0: Ventas en el período base, que para el caso es el anterior al calificado.

Si el valor del índice de la variación de los ingresos es menor que cien (100.00) el Consejo Nacional de Juegos de Suerte y Azar otorgará calificación insatisfactoria.

4. Indice de los gastos de administración y operación

Este indicador determina si los administradores u operadores del juego de lotería tradicional efectuaron sus gastos de administración y operación dentro de los límites establecidos en el artículo 9o de la Ley 643 de 2001. Este indicador se calculará mediante la siguiente fórmula:

Donde:

IGMAO: Indicador de los gastos máximos de administración y operación observados en el período analizado.

GAOG: Gastos de administración y operación generados en el período analizado, los cuales deben ser tomados de los estados financieros correspondientes, incluyendo la totalidad de grupos que integran las clases 5 y 6 del catálogo de cuentas de1 Plan General de Contabilidad Pública, a saber: 51 administración; 52 de operación; 53 provisiones, agotamiento, depreciaciones y amortizaciones; 54 transferencias; 55 gasto público social; 56 gasto de inversión social; 57 operaciones interinstitucionales; 58 otros gastos; 62 costo de ventas de bienes; 63 costo de ventas de servicios y 64 costos de operación de servicios.

GAOP: Gastos de administración y operación permitidos para el periodo analizado. Corresponde al valor de los gastos máximos de administración y operación autorizados a los operadores del juego de lotería tradicional en el periodo, los cuales se estimarán con la metodología establecida en el artículo 4o del Decreto 2975 de 2004 o las normas que lo modifiquen, adicionen o sustituyan.

Si el valor del índice de los gastos de administración y operación es mayor que uno (1.00), el Consejo Nacional de Juegos de Suerte y Azar otorgará calificación insatisfactoria.

5. Indice de transferencia de la renta del monopolio

Mide el cumplimiento de la obligación de girar oportunamente el doce por ciento (12%) o el diecisiete por ciento (17) según sea del caso, de los ingresos brutos del juego de lotería, valor que hace parte de la renta del monopolio establecida en el artículo 6o de la Ley 643 de 2001. Este indicador se calculará mediante la siguiente fórmula:

Donde,

ITRM: Indicador de transferencia de la renta del monopolio.

RT: Renta, como porcentaje de los ingresos, transferida en el período.

RG: Renta, como porcentaje de los ingresos, generada en el período

Si el valor del índice de la transferencia de la renta es menor que uno (1.00), el Consejo Nacional de Juegos de Suerte y Azar otorgará calificación insatisfactoria.

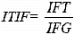
6. Indice de la transferencia del impuesto a foráneas

El propósito de este indicador es establecer el cumplimiento de la obligación de liquidar y girar oportunamente el impuesto a las ventas de loterías foráneas establecido en el artículo 48 de la Ley 643 de 2001. Se calculará mediante la siguiente fórmula:

Donde,

ITIF: Indicador de transferencia del impuesto a foráneas.

IFT: Impuesto a foráneas transferido en el período.

IFG: Impuesto a foráneas generado en el período, equivalente al diez por ciento (10%) sobre el valor nominal de cada billete o fracción que se venda fuera de la respectiva jurisdicción.

Si el valor del índice de la transferencia del impuesto a foráneas la renta de monopolio es menor que uno (1.00), el Consejo Nacional de Juegos de Suerte y Azar otorgará calificación insatisfactoria.

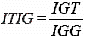
7. Indice de Transferencia del impuesto a ganadores

Este indicador permite establecer si el operador del juego de lotería tradicional cumplió con la obligación de liquidar, retener y girar oportunamente el impuesto a ganadores de premios de loterías. Este indicador se calculará mediante la siguiente fórmula:

Donde,

ITIG = Indicador de transferencia del impuesto a ganadores.

IGT = Impuesto a ganadores transferido en el período.

IGG = Impuesto a ganadores generado en el período, equivalente al diecisiete por ciento (17%) del valor nominal de los premios pagados en el período.

Si el valor del indicador de la transferencia del impuesto a ganadores es menor que uno (1.00), el Consejo Nacional de Juegos de Suerte y Azar otorgará calificación insatisfactoria.

PARÁGRAFO. El valor de los indicadores definidos en el presente artículo se expresan teniendo en cuenta dos (2) cifras decimales.

CAPITULO III.

EVENTOS Y SITUACIONES QUE CONLLEVAN EL SOMETIMIENTO A PLANES DE DESEMPEÑO.

ARTÍCULO 4o. EVENTOS Y SITUACIONES QUE CONLLEVAN EL SOMETIMIENTO A PLANES DE DESEMPEÑO. <Resolución derogada por el artículo 14 del Acuerdo CNJSA 108 de 2014> Los eventos o situaciones en las empresas industriales y comerciales del Estado, de las sociedades de capital público departamental (SCPD), administradoras u operadoras de juegos de suerte y azar (SCPD), de la Cruz Roja y de los particulares, que operen el del juego de lotería tradicional o de billetes deben someterse a planes de desempeño para recobrar su viabilidad financiera e institucional, son los que se señalan a continuación.

1. El incumplimiento con el pago de premios. Cuando la Superintendencia Nacional de Salud, en desarrollo de sus funciones de inspección, vigilancia y control, tenga conocimiento que las empresas operadoras del juego de lotería no han pagado los premios reclamados por los tenedores de billetes premiados, dentro de los términos establecidos para ello, solicitará la presentación de un plan de desempeño en un término no mayor de treinta (30) días calendario, en el que se evidenciar en estrategias y compromisos que asumen dichas entidades para recuperar la capacidad de responder por los premios que ofrece.

2. Insolvencia: Cuando los estados financieros de los operadores del juego de loterías revelen que su patrimonio técnico tiene un valor menor al del premio mayor ofrecido, la Superintendencia Nacional de Salud ordenará que en un término no mayor de treinta (30) días calendario, presenten un plan para recuperar la solvencia en el que se evidencien las estrategias y compromisos que asume la empresa.

Se entenderá que el patrimonio técnico se calcula deduciendo del patrimonio total el valor de las utilidades del período.

3. Incumplimiento con el Fondo de Reservas. Cuando la Superintendencia Nacional de Salud, en desarrollo de sus funciones de inspección, vigilancia y control evidencie que los operadores del juego de loterías no observan el régimen de reservas técnicas para el pago de premios establecido por el Consejo Nacional de Juegos de Suerte y Azar, en lo relacionado con la causación o amortización de la provisión y con su depósito en el fondo correspondiente, les ordenará presentar en un término no mayor de treinta (30) días calendario, un plan de ajuste en el que se evidencien las estrategias y compromisos que asume la empresa para cumplir con el régimen de reservas técnicas.

4. Iliquidez. Cuando los estados financieros de los operadores del juego de loterías revelen que su indicador de liquidez es menor a uno (1.00), la Superintendencia Nacional de Salud les ordenará presentar un plan para recuperar la liquidez.

Este índice se calculará mediante el siguiente procedimiento:

Donde,

IL: Indicador de liquidez

Activo Corriente: Para calcular este indicador se determinará el activo corriente del operador, sin incluir el fondo de las reservas técnicas ni los inventarios.

Pasivo Corriente: Para calcular este indicador se establecerá el pasivo corriente del operador, sin incluir el pasivo estimado que reconoce las reservas técnicas.

PARÁGRAFO 1o. Una vez aprobado el plan de desempeño la Superintendencia Nacional de Salud lo remitirá al Consejo Nacional de Juegos de Suerte y Azar y a la Contraloría General de la República.

PARÁGRAFO 2o. El trámite de los planes de desempeño de que trata el presente artículo se surtirá sin perjuicio de las facultades de intervención forzosa administrativa que la Superintendencia Nacional de Salud pueda ejercer en cualquier momento.

CAPITULO IV.

CALIFICACIÓN DE LA GESTIÓN, EFICIENCIA Y RENTABILIDAD.

ARTÍCULO 5o. CALIFICACIÓN DE LA GESTIÓN, EFICIENCIA Y RENTABILIDAD. <Resolución derogada por el artículo 14 del Acuerdo CNJSA 108 de 2014> El Consejo Nacional de Juegos de Suerte y Azar calificará la gestión y eficiencia de las empresas que hace referencia el artículo 1o de la presente resolución del periodo comprendido entre el 1o de enero y el 31 de diciembre de cada año, a más tardar el 30 de abril del año siguiente.

Para el efecto, la Superintendencia Nacional de Salud pondrá a disposición del Consejo Nacional de Juegos de Suerte y Azar la información debidamente clasificada, mediante la aplicación de los indicadores previstos en la presente resolución, antes del 31 de marzo de cada año.

CAPITULO V.

PLANES DE DESEMPEÑO.

ARTÍCULO 6o. PLANES DE DESEMPEÑO. <Resolución derogada por el artículo 14 del Acuerdo CNJSA 108 de 2014> De conformidad con lo señalado en los artículos 51 y 52 de la Ley 643 de 2001, las empresas industriales y comerciales del Estado, las sociedades de capital público (SCPD), administradoras u operadoras de juegos de suerte y azar, la Cruz Roja y los particulares que operen el juego de lotería tradicional o de billetes, que obtuvieron calificación insatisfactoria con base en los indicadores de gestión, eficiencia y rentabilidad o que incurran en los eventos o situaciones de que trata el artículo 4o de la presente resolución, deberán someterse a un plan de desempeño por cada indicador insatisfactorio o para recuperar su viabilidad financiera e institucional, según sea el caso.

El Plan de Desempeño es un compromiso unilateral e irrevocable, suscrito por el representante legal de la Empresa Industrial y Comercial Departamental operadora del juego de lotería, con el fin de corregir las causales de la calificación insatisfactoria de cada indicador, el cual debe ser aprobado por la Superintendencia Nacional de Salud.

Los planes de desempeño son programas de ajuste fiscal, financiero y administrativo tendientes a restablecer la solidez económica y financiera de la entidad y deberá garantizar el mantenimiento de la capacidad de pago de las obligaciones derivadas en la operación del juego de loterías y el mejoramiento de los indicadores.

ARTÍCULO 7o. FORMULACIÓN DE LOS PLANES DE DESEMPEÑO. <Resolución derogada por el artículo 14 del Acuerdo CNJSA 108 de 2014> Los planes de desempeño deberán contener como mínimo los siguientes elementos:

1. Un diagnóstico institucional y financiero de la empresa operadora del juego de lotería.

2. Un cronograma detallando las actividades, las metas y los indicadores, con base en las capacidades, instrumentos y restricciones con que cuenten las empresas operadoras.

3. Por cada indicador cuya calificación fue insatisfactoria, se deben identificar las acciones que emprenderá la empresa operadora del juego de lotería para superar dicha calificación.

PARÁGRAFO 1o. Para el saneamiento de los indicadores de excedentes mínimos de operación y rentabilidad, ingresos, gastos de administración y operación, transferencia de la renta del monopolio y del impuesto a foráneas, transferencia del impuesto a ganadores se requiere la elaboración de proyecciones financieras por la metodología de estados financieros pro forma y su alcance mínimo será: Balance general, estado de resultados y flujo de tesorería.

PARÁGRAFO 2o. Si el plan de desempeño tiene por objeto la superación de las situaciones o eventos definidos en el artículo 4o de la presente resolución, contemplará por separado cada evento o situación y será presentado en las mismas condiciones que se establecen en esta resolución para los planes de desempeño que tengan por objeto la superación de la calificación insatisfactoria.

ARTÍCULO 8o. TÉRMINOS PARA FORMULAR LOS PLANES DE DESEMPEÑO. <Resolución derogada por el artículo 14 del Acuerdo CNJSA 108 de 2014> Los planes de desempeño para superar la calificación insatisfactoria deberán ser presentados para su aprobación a la Superintendencia Nacional de Salud dentro de los treinta (30) días calendarios siguientes a la ejecutoria de la calificación de que trata la presente resolución.

Una vez aprobado el plan de desempeño deberá ser remitido a la Contraloría General de la República. La Superintendencia Nacional de Salud verificará se cumplimiento.

ARTÍCULO 9o. EFECTOS DE LOS PLANES DE DESEMPEÑO. <Resolución derogada por el artículo 14 del Acuerdo CNJSA 108 de 2014> Las actividades contempladas en los planes de desempeño se reflejarán en el presupuesto y en el plan operativo anual de la vigencia, los cuales de ser necesario, deberán modificarse para tal fin

ARTÍCULO 10. CAPITALIZACIÓN DE UTILIDADES. <Resolución derogada por el artículo 14 del Acuerdo CNJSA 108 de 2014> Las empresas operadoras juego de loterías podrán incluir en los planes de desempeño actividades relacionadas con la capitalización de utilidades en los términos y condiciones que establezca el Consejo Nacional de Juegos de Suerte y Azar, para tal efecto deberá solicitar autorización al mencionado Consejo.

ARTÍCULO 11. VIGENCIA DE LOS PLANES DE DESEMPEÑO. <Resolución derogada por el artículo 14 del Acuerdo CNJSA 108 de 2014> Los planes de desempeño formulados en una vigencia, se deberán ejecutar en un término que no supere el 31 de marzo de la vigencia siguiente. Si el cronograma de actividades del plan de desempeño se extiende más allá de esta fecha por razones fiscales o legales, la entidad deberá acreditar el cumplimiento cabal de las metas intermedias que figuren en el en el cronograma.

CAPITULO VI.

OTRAS DISPOSICIONES.

ARTÍCULO 12. LIQUIDACIÓN O TERMINACIÓN UNILATERAL DEL CONTRATO DE CONCESIÓN. <Resolución derogada por el artículo 14 del Acuerdo CNJSA 108 de 2014> Una vez ejecutado el plan de desempeño la empresa operadora del juego de lotería tradicional no ha superado la calificación insatisfactoria en sus indicadores o persisten los eventos y situaciones que conllevaron a su sometimiento a un plan de desempeño, el Consejo Nacional de Juegos de Suerte y Azar recomendará su liquidación.

En el caso de las empresas que no superen la calificación insatisfactoria en indicadores de relación entre emisión y ventas y variación de los ingresos, no procederá la liquidación siempre y cuando se den las siguientes condiciones:

1. Que se haya superado la calificación satisfactoria en los demás indicadores.

2. Que el valor de los gastos de administración y operación, no superen el 15% de los ingresos brutos.

ARTÍCULO 13. VIGENCIA Y DEROGATORIAS. <Resolución derogada por el artículo 14 del Acuerdo CNJSA 108 de 2014> La presente resolución rige a partir de la fecha de su publicación y deroga las disposiciones que le sean contrarias en especial, la Resolución 4738 de 2004.

Publíquese y cúmplase.

Dada en Bogotá, D. C., a 27 de noviembre de 2009.

El Ministro de la Protección Social,

DIEGO PALACIO BETANCOURT.

×
Volver arriba