ACUERDO 108 DE 2014
(noviembre 11)
Diario Oficial No. 49.369 de 18 de diciembre de 2014
CONSEJO NACIONAL DE JUEGOS DE SUERTE Y AZAR
Por el cual se establecen los indicadores para calificar la gestión, eficiencia y rentabilidad de los operadores del juego de lotería tradicional o de billetes y se dictan otras disposiciones.
NOTAS DE VIGENCIA: - Modificado por el Acuerdo 543 de 2020, 'por el cual se modifica el Acuerdo 108 de 2014 que establece los indicadores para calificar la gestión, eficiencia y rentabilidad de los operadores del juego de lotería tradicional o de billetes', publicado en el Diario Oficial No. 51.305 de 5 de mayo de 2020. |
EL CONSEJO NACIONAL DE JUEGOS DE SUERTE Y AZAR,
en ejercicio de sus facultades, en especial de las que le confieren los numerales 2 y 3 del artículo 47 de la Ley 643 de 2001 y los artículos 7o, 9o, 58, 59 y 60 del Decreto 3034 de 2013, y
CONSIDERANDO:
Que el numeral 2 del artículo 47 de la Ley 643 de 2001, autorizó al Consejo Nacional de Juegos de Suerte y Azar para “Definir los indicadores que han de tenerse como fundamento para calificar la gestión, eficiencia y rentabilidad de las empresas industriales y comerciales del Estado, las sociedades de capital público departamental (SCPD) y demás agentes que sean administradores u operadores de juegos de suerte y azar, cuya explotación corresponda a las entidades territoriales”.
Que el numeral 3 del artículo 47 de la Ley 643 de 2001 autorizó al Consejo Nacional de Juegos de Suerte y Azar para establecer los eventos o situaciones en que las empresas operadoras de juegos de suerte y azar, cuya explotación corresponda a las entidades territoriales, deben someterse a planes de desempeño para recobrar su viabilidad financiera e institucional, so pena de ser definitivamente liquidadas y la operación de los juegos respectivos puesta en cabeza de terceros.
Que de conformidad con lo dispuesto en el artículo 12 de la Ley 643 de 2001, a los Departamentos y al Distrito Capital les corresponde la explotación, como arbitrio rentístico, del juego de lotería tradicional o de billetes.
Que el Ministerio de la Protección Social, por medio de Resolución 4717 del 27 de noviembre de 2009, estableció los indicadores de gestión, eficiencia y rentabilidad para calificar la gestión de los operadores del juego de lotería tradicional o de billetes.
Que el Gobierno Nacional expidió el Decreto 3034 del 27 de diciembre de 2013, “Por el cual se reglamenta la Ley 643 de 2001, modificada por la Ley 1393 de 2010, en lo relativo a la modalidad del juego de lotería tradicional o de billetes”, modificando los parámetros técnicos y financieros para operar el juego de lotería tradicional o de billetes.
Que el artículo 60 del Decreto 3034 de 2013, determina que los operadores públicos o privados del juego de lotería tradicional o de billetes, que obtengan calificación insatisfactoria o que incurran en eventos y situaciones que comprometan su viabilidad financiera e institucional, se deben someter a un plan de desempeño en las condiciones que establezca el Consejo Nacional de Juegos de Suerte y Azar.
Que en consecuencia, se hace necesario ajustar el sistema de indicadores a las nuevas disposiciones contenidas en el Decreto 3034 de 2013, para calificar la gestión, eficiencia y rentabilidad de las empresas operadoras del juego de lotería tradicional.
El presente acto administrativo fue aprobado en la sesión ordinaria número 68 del 11 de noviembre de 2014.
Que en mérito de lo expuesto,
ACUERDA:
DISPOSICIONES GENERALES.
ARTÍCULO 1o. OBJETO. El presente acuerdo tiene por objeto definir los indicadores que el Consejo Nacional de Juegos de Suerte y Azar deberá aplicar para calificar la gestión, eficiencia y rentabilidad de las Empresas Industriales Comerciales del Estado, de las Sociedades de Capital Público Departamental (SCPD) y de la Cruz Roja, cuando operen directamente el juego de lotería tradicional o de billetes, así como establecer los eventos o situaciones en que las mencionadas entidades deben someterse a los planes de desempeño para recobrar su viabilidad financiera e institucional.
ARTÍCULO 2o. CRITERIOS PARA ESTABLECER LOS INDICADORES DE GESTIÓN, EFICIENCIA Y RENTABILIDAD. De conformidad con los artículos 6, 17 y 50 de la Ley 643 de 2001, los indicadores de gestión, eficiencia y rentabilidad que se definen a través del presente acuerdo se formulan teniendo en cuenta los siguientes criterios:
a) Excedentes mínimos de operación y rentabilidad;
b) Relación entre emisión y ventas de billetería;
c) Ingresos;
d) Gastos de administración y operación;
e) Transferencias efectivas a los servicios de salud.
INDICADORES DE GESTIÓN, EFICIENCIA Y RENTABILIDAD.
ARTÍCULO 3o. INDICADORES DE GESTIÓN, EFICIENCIA Y RENTABILIDAD. Los indicadores que han de tenerse como fundamento para calificar la gestión, eficiencia y rentabilidad de las empresas industriales y comerciales del Estado, de las Sociedades de Capital Público Departamental (SCPD) y de la Cruz Roja, que sean operadoras directas del juego de lotería tradicional o de billetes, son los que se establecen a continuación:
1. Índice de los gastos de administración y operación
Este indicador determina si los operadores directos del juego de lotería tradicional efectuaron sus gastos de administración y operación dentro de los límites establecidos en el artículo 4o del Decreto 3034 de 2013, reglamentario del artículo 9o de la Ley 643 de 2001. Este indicador se calculará mediante la siguiente fórmula:
![]()
Dónde,
IGMAO: Indicador de los gastos máximos de administración y operación observados en el período analizado. El artículo 4o del Decreto 3034 de 2013 establece que los gastos de administración y operación máximos permitidos a los operadores directos del juego de lotería tradicional no podrán superar el 15% de los ingresos brutos del juego.
GMAO: Valor de los gastos de administración y operación generados en el período analizado. Para su cálculo, deben ser tomados de los estados financieros correspondientes, la totalidad de grupos que integran las clases 5 y 6 del catálogo de cuentas del Plan General de Contabilidad Pública, sin incluir los descuentos en la red de distribución, el impuesto a foráneas, la renta del monopolio, los premios en poder del público y el costo para la provisión destinada a constituir reservas técnicas para pago de premios.
En la determinación de los gastos máximos de administración y operación, para efectos de la calificación de gestión y eficiencia, no se tendrá en cuenta el valor de los gastos correspondientes a pago de mesadas y cuotas partes, ni los ingresos percibidos por la empresa por concepto de cuotas partes pensionales.
GMA: Valor de los gastos de administración y operación permitidos para el periodo analizado. Corresponde al valor de los gastos máximos de administración y operación autorizados a los operadores del juego de lotería tradicional en el periodo, cuyo valor no podrán superar el 15% de las ventas brutas del juego, en los términos del artículo 4o del Decreto 3034 de 2013.
Si el valor del índice de los gastos de administración y operación es mayor que uno (1.00), el Consejo Nacional de Juegos de Suerte y Azar otorgará calificación insatisfactoria.
PARÁGRAFO. En caso que la entidad se encuentre en ejecución de un plan de desempeño validado por el Consejo Nacional de Juegos de Suerte y Azar, para ajustar sus gastos al límite establecido en el artículo 4o del Decreto 3034, reglamentario del artículo 9o de la Ley 643 de 2001, la calificación del presente indicador se hará teniendo en cuenta la meta parcial establecida para cada vigencia en el respectivo plan de ajuste.
El plan de desempeño para adecuar los gastos al límite establecido en el artículo 4o del Decreto 3034 de 2013, debe establecer una gradualidad de ajuste para cada vigencia, esta transitoriedad en ningún caso podrá superar el término máximo establecido en el artículo 11 del presente Acuerdo, es decir, tres años, siempre y cuando obedezca a razones presupuestales, fiscales o legales.
En todo caso a partir del año 2018, la empresa operadora del juego de lotería deberá cumplir con el límite de gastos de administración y operación permitidos a los operadores directos del juego de lotería tradicional o de billetes, a que se refiere el artículo 4o del Decreto 3034 de 2013, vigencia a partir de la cual que se calificará conforme a lo establecido en el numeral 1 del presente artículo.
2. Índice de los excedentes mínimos de operación y rentabilidad
Este indicador determina si las empresas operadoras directas del juego de lotería tradicional o de billetes generaron los excedentes mínimos de operación, los cuales hacen parte de la renta del monopolio, en los términos del literal b) del artículo 6o de la Ley 643 de 2001. Este indicador se calculará mediante la siguiente fórmula:
![]()
Donde,
IEM= Indicador de los excedentes mínimos de operación. Según lo dispone el artículo 5o del Decreto 3034 de 2013, los excedentes de las empresas operadoras directas del juego de lotería tradicional o de billetes deben ser cuando menos el 0.5% de los ingresos brutos obtenidos en el periodo de análisis.
EXMO= Excedentes de operación obtenidos en el período calificado. Corresponde a las utilidades operacionales de la empresa o del negocio de lotería, según el caso, en la vigencia, generadas en el período de análisis.
EXME= Excedentes mínimos de operación exigidos para el período analizado. De conformidad con las disposiciones contenidas en el artículo 5o del Decreto 3034 de 2013, los excedentes mínimos que deben generar las empresas operadoras del juego de lotería tradicional, cuando la operación sea directa, se calcularán de acuerdo con la siguiente fórmula:
![]()
IB= Valor de los ingresos brutos del juego de lotería obtenidos en el período de análisis.
DES = Valor del descuento en ventas reconocida a la red de distribución en el período de análisis, teniendo en cuenta que el numeral a) del artículo 4o del Decreto 3034 de 2013 determina que el descuento en ventas que se realice a cualquier título a la red de distribución, en ningún caso podrá superar el 25% de los ingresos brutos.
PPP = Premios en poder del público, incluyendo la provisión para reservas técnicas para el pago de premios en el período de análisis, de conformidad con lo dispuesto por el régimen de reservas técnicas para pago de premios que expida el Consejo Nacional de juegos de Suerte y azar.
RM= Renta del monopolio, equivalente al 12% de los ingresos brutos generada en el período de análisis, de conformidad con lo dispuesto por los literales a) y c) del artículo 6o de la Ley 643 de 2001.
IF= Impuesto a loterías foráneas generado en el período de análisis. El artículo 48 de la Ley 643 de 2001 determina que la venta de loterías foráneas en jurisdicción de los departamentos y del Distrito Capital, genera a su favor de estos y a cargo de las empresas de lotería u operadores autorizados, un impuesto del diez por ciento (10%) sobre el valor nominal de cada billete o fracción que se venda en cada una de las respectivas jurisdicciones.
Según el artículo 3o del Decreto 3034 de 2013, para efectos de lo previsto en el inciso primero del artículo 48 de la Ley 643 de 2001, se entiende por valor nominal del billete o fracción, el valor sobre el cual se liquida el impuesto de loterías foráneas y su valor no podrá ser inferior al 75% del precio de venta al público.
GMA= Los gastos de administración y operación máximos permitidos a la entidad operadora en un periodo. El valor de este rubro no podrá ser superior al 15% de los ingresos brutos del juego, de conformidad con lo dispuesto por el artículo 5o del Decreto 3034 de 2013.
Si el valor del Índice de los Excedentes Mínimos de Operación, IEM, es menor a 1.00, se entiende que la empresa operadora no obtuvo los excedentes mínimos establecidos en el Decreto 3034 de 2013 y por tanto el Consejo Nacional de Juegos de Suerte y Azar otorgará al operador calificación insatisfactoria.
Las entidades operadoras que desarrollaron sorteos extraordinarios en el periodo, deberán sumar sus ingresos brutos a los obtenidos por la operación de los sorteos ordinarios. Igual procedimiento se aplicará para los costos y los gastos.
Los ingresos, costos y gastos que se generen por la operación de juegos de suerte y azar, mediante la asociación de entidades públicas en los términos del artículo 95 de la Ley 489 de 1998 y que por ello no requieran la creación de personas jurídicas, se incorporarán en la contabilidad de cada una de las asociadas, de acuerdo con las normas generales de contabilidad que resulten aplicables, atendiendo al porcentaje de participación pactado en la asociación. Este procedimiento será aplicado por la Lotería de la Cruz Roja cuando participe en asociaciones que de conformidad con su régimen legal, no requieran la creación de personas jurídicas.
3. Índice de la variación de la relación entre la venta y la emisión de billetes
El propósito de este indicador es determinar la variación de la relación entre la venta y la emisión de billetes del periodo analizado con respecto al anterior. Este indicador se calculará aplicando la siguiente fórmula:
![]()
Donde,
IRVE: Indicador de la relación entre las ventas y la emisión de billetes de lotería para el período analizado.
RVEO: Relación entre el valor total de las ventas brutas y el valor de la emisión de billetes de lotería del operador en el periodo calificado, ambos valores expresados en pesos.
RVEI: Relación entre el valor total de las ventas brutas y el valor de la emisión de billetes de lotería del operador en el período anterior, ambos valores expresados en pesos.
Para los casos en que se operen sorteos extraordinarios de forma asociada se debe sumar al ingreso operacional el valor de los ingresos brutos obtenidos por la realización del sorteo extraordinario, de conformidad con el porcentaje de participación pactado en la asociación.
Si en el año siguiente las entidades no operan sorteos extraordinarios de forma asociada o individual, en el momento de comparar un año con el otro debe excluirse dicha partida para efectos de la calificación
Si el valor del indicador de la relación entre las ventas y la emisión de billetes de lotería es menor que uno punto cero (1.00), el Consejo Nacional de Juegos de Suerte y Azar otorgará calificación insatisfactoria.
No obstante si el operador obtiene calificación satisfactoria en el indicador 4, no habrá lugar a sometimiento a plan de desempeño.
4. Indicador de ingresos
Este indicador revela si los ingresos brutos por venta de billetes de lotería le permiten a la lotería operar en punto de equilibrio. Se calculará utilizando la siguiente fórmula:
![]()
Donde,
IIB: Índice de los ingresos brutos.
IBO: Ingresos brutos obtenidos en el periodo de análisis (sorteos ordinarios y extraordinarios).
IBPE: Ingresos brutos requeridos para operar en punto de equilibrio en el período analizado (sorteos ordinarios y extraordinarios).
Si el valor del índice de los ingresos es menor que uno (1.00) el Consejo Nacional de Juegos de Suerte y Azar otorgará calificación insatisfactoria.
Para los casos en que se operen sorteos extraordinarios de forma asociada se debe sumar al ingreso operacional el valor de los ingresos brutos obtenidos por la realización del sorteo extraordinario, de conformidad con el porcentaje de participación pactado en la asociación.
5. Índice de transferencia de la renta del monopolio
Mide el cumplimiento de la obligación de girar el doce por ciento (12%) de los ingresos brutos del juego de lotería, valor que hace parte de la renta del monopolio establecida en el artículo 6o de la Ley 643 de 2001. Este indicador se calculará mediante la siguiente fórmula:
![]()
Donde,
ITRM: Indicador de transferencia de la renta del monopolio.
RT: Renta, como porcentaje de los ingresos, transferida en el período.
RG: Renta, como porcentaje de los ingresos, generada en el período
Si el valor del índice de la transferencia de la renta es menor que uno (1.00), el Consejo Nacional de Juegos de Suerte y Azar otorgará calificación insatisfactoria.
6. Índice de la transferencia del impuesto a foráneas
El propósito de este indicador es establecer el cumplimiento de la obligación de liquidar y girar oportunamente el impuesto a las ventas de loterías foráneas establecido en el artículo 48 de la Ley 643 de 2001. Se calculará mediante la siguiente fórmula:
![]()
Donde,
ITIF: Indicador de transferencia del impuesto a foráneas.
IFT: Valor del impuesto a foráneas transferido en el período.
IFG: Valor del impuesto a foráneas generado en el período, equivalente al diez por ciento (10%) sobre el valor nominal de cada billete o fracción que se venda fuera de la respectiva jurisdicción.
Si el valor del índice de la transferencia del impuesto a foráneas es menor que uno (1.00), el Consejo Nacional de Juegos de Suerte y Azar otorgará calificación insatisfactoria.
Para los casos en que se operen sorteos extraordinarios de forma asociada se tendrá en cuenta el impuesto a la venta foránea, de conformidad con el porcentaje de participación pactado en la asociación.
7. Índice de Transferencia del impuesto a ganadores
Este indicador permite establecer si el operador del juego de lotería tradicional cumplió con la obligación de liquidar, retener y girar oportunamente el impuesto a ganadores de premios de loterías. Este indicador se calculará mediante la siguiente fórmula:
![]()
Donde,
ITIG= Indicador de transferencia del impuesto a ganadores.
IGT= Valor del impuesto a ganadores transferido en el período.
IGG= Valor del impuesto a ganadores generado en el período, equivalente al diecisiete por ciento (17%) del valor nominal de los premios pagados en el período.
Si el valor del indicador de la transferencia del impuesto a ganadores es menor que uno (1.00), el Consejo Nacional de Juegos de Suerte y Azar otorgará calificación insatisfactoria.
Para los casos en que se operen sorteos extraordinarios de forma asociada se tendrán en cuenta el impuesto a ganadores generado, de conformidad con el porcentaje de participación pactado en la asociación.
8. Índice de Transferencia de las utilidades
Este indicador permite establecer si el operador del juego de lotería tradicional cumplió con la obligación de transferir las utilidades en la vigencia evaluada. Este indicador se calculará mediante la siguiente fórmula:
![]()
Donde,
ITU= Indicador de transferencia de las utilidades en el periodo evaluado.
UTP = Valor de las utilidades transferidas en el periodo evaluado (generadas en el periodo anterior al evaluado), las cuales hacen parte de la renta del monopolio de que trata el artículo 6o de la Ley 643 de 2001.
UGP= Valor de las utilidades netas que debió transferir en el periodo.
Si el valor del indicador de la transferencia de las utilidades es menor que uno (1.00), el Consejo Nacional de Juegos de Suerte y Azar otorgará calificación insatisfactoria.
Para los casos en que se operen sorteos extraordinarios de forma asociada, se tendrán en cuenta las utilidades de conformidad con el porcentaje de participación pactado en la asociación.
No harán parte de la base para el cálculo de este indicador las utilidades capitalizadas por la entidad.
9. Índice de Transferencia de los premios caducos
Este indicador permite establecer si el operador del juego de lotería tradicional cumplió con la obligación de transferir el 75% del valor de los premios sobre los que operó la prescripción extintiva del derecho, ocurrida en la vigencia evaluada. Este indicador se calculará mediante la siguiente fórmula:
![]()
Donde,
ITPC= Indicador de transferencia de los premios caducos.
PCTP= Valor de los premios caducos efectivamente transferidos en el periodo.
PCP = 75% del valor de los premios con prescripción extintiva del derecho en el periodo, en los términos de las normas del régimen propio.
Si el valor del indicador de la transferencia de los premios caducos es menor que uno (1.00), el Consejo Nacional de Juegos de Suerte y Azar otorgará calificación insatisfactoria.
Para los casos en que se operen sorteos extraordinarios de forma asociada se tendrá en cuenta el valor de los premios caducos transferidos, de conformidad con el porcentaje de participación pactado en la asociación.
PARÁGRAFO. El valor de los indicadores definidos en el presente artículo se expresa teniendo en cuenta dos (2) cifras decimales.
PARÁGRAFO TRANSITORIO 1o. <Parágrafo adicionado por el artículo 1 del Acuerdo 543 de 2020. El nuevo texto es el siguiente:> En la evaluación indicativa de la vigencia 2020, el Consejo Nacional de Juegos de Suerte y Azar se abstendrá de aplicar los indicadores definidos en los numerales 1 a 4 del presente artículo.
No obstante, se mantendrá la observación de los eventos y situaciones que conllevan el sometimiento a planes de desempeño, definidos en el Capítulo III del citado Acuerdo 108 de 2014.
- Parágrafo adicionado por el artículo 1 del Acuerdo 543 de 2020, 'por el cual se modifica el Acuerdo 108 de 2014 que establece los indicadores para calificar la gestión, eficiencia y rentabilidad de los operadores del juego de lotería tradicional o de billetes', publicado en el Diario Oficial No. 51.305 de 5 de mayo de 2020. |
PARÁGRAFO TRANSITORIO 2o. <Parágrafo adicionado por el artículo 1 del Acuerdo 543 de 2020. El nuevo texto es el siguiente:> Para los casos en que las entidades operadoras de loterías presenten eventos o situaciones de operaciones por debajo del punto de equilibrio o de pérdidas, por esta única vez no estarán incursas en plan de desempeño.
- Parágrafo adicionado por el artículo 1 del Acuerdo 543 de 2020, 'por el cual se modifica el Acuerdo 108 de 2014 que establece los indicadores para calificar la gestión, eficiencia y rentabilidad de los operadores del juego de lotería tradicional o de billetes', publicado en el Diario Oficial No. 51.305 de 5 de mayo de 2020. |
ARTÍCULO 4o. CALIFICACIÓN DEL CONSEJO. El Consejo Nacional de Juegos de Suerte y Azar calificará la gestión, eficiencia y rentabilidad de las empresas a que hace referencia el artículo 1o del presente Acuerdo, del periodo comprendido entre el 1o de enero y el 31 de diciembre de cada año, a más tardar dentro del año siguiente a la vigencia calificada.
ARTÍCULO 5o. SOMETIMIENTO A PLANES DE DESEMPEÑO. De conformidad con lo señalado en los artículos 51 y 52 de la Ley 643 de 2001, la Cruz Roja Colombiana y las Empresas Industriales y Comerciales del Estado, las Sociedades de Capital Público (SCPD), administradoras u operadoras directas del juego de lotería tradicional o de billetes, que obtengan calificación insatisfactoria con base en los indicadores de gestión, eficiencia y rentabilidad o que incurran en los eventos o situaciones de que trata el artículo 6o del presente Acuerdo, deberán someterse a un plan de desempeño por cada indicador insatisfactorio o para recuperar su viabilidad financiera e institucional, según sea el caso.
Los Planes de Desempeño son compromisos unilaterales e irrevocables, suscritos por los representantes legales de las empresas operadoras directas del juego de lotería tradicional, aprobado por su Junta Directiva, en el que se indiquen las actividades que se desarrollarán para corregir las causales de la calificación insatisfactoria o para superar los eventos y situaciones señalados en el artículo 6o del presente Acuerdo.
Los planes de desempeño son programas de ajuste presupuestal, fiscal, financiero y administrativo, formulados para mejorar aquellos indicadores con calificación insatisfactoria o para recuperar la viabilidad financiera e institucional, siempre y cuando el Consejo Nacional de Juegos de Suerte y Azar no haya recomendado la intervención o la liquidación de las respectivas empresas operadoras directas del juego de lotería tradicional. Dichos planes deben ser remitidos al Consejo Nacional de Juegos de Suerte y Azar para su validación.
EVENTOS Y SITUACIONES QUE CONLLEVAN EL SOMETIMIENTO A PLANES DE DESEMPEÑO.
ARTÍCULO 6o. EVENTOS Y SITUACIONES QUE CONLLEVAN EL SOMETIMIENTO A PLANES DE DESEMPEÑO. Cuando el Consejo Nacional de Juegos de Suerte y Azar o la Superintendencia Nacional de Salud, en cumplimiento de sus funciones de inspección, vigilancia o control, obtenga evidencia de que las empresas operadoras directas del juego de lotería tradicional se encuentran incursas en los eventos o situaciones descritos en el presente artículo, solicitarán la presentación de un plan de desempeño ante el Consejo Nacional de Juegos de Suerte y Azar, en el que se detallen las actividades que se comprometen a ejecutar dichas entidades para recuperar plenamente su viabilidad financiera o institucional.
Circular CNJSA 3 de 2022 |
Tales eventos o situaciones son los siguientes:
1. El incumplimiento con el pago de premios. Corresponde al incumplimiento de los términos establecidos en el artículo 12 de la Ley 1393 de 2010 para pagar los premios obtenidos por los apostadores.
2. Insolvencia: Se configura cuando los estados financieros anuales o intermedios o reportes contables especiales, revelan que el patrimonio técnico de una empresa operadora directa del juego de lotería presenta un valor menor al del premio mayor ofrecido. El valor del patrimonio técnico se establece deduciendo del patrimonio total el valor de las utilidades del período.
3. Incumplimiento con el Fondo de Reservas. Ocurre cuando las empresas operadoras directas del juego de loterías no observan el régimen de reservas técnicas para el pago de premios establecido por el Consejo Nacional de Juegos de Suerte y Azar, en lo relacionado con su cálculo, causación o depósito en el fondo correspondiente y con la amortización de la provisión.
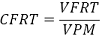
Adicionalmente a la consecuencia establecida en el Parágrafo 1o Artículo 8o del Decreto 3034 de 2013, la entidad se someterá a un plan de desempeño cuando la cobertura del premio mayor sea inferior a uno (1,00) de conformidad con la siguiente fórmula:
![]()
Dónde:
CFRT= Cobertura del fondo de reservas técnicas
VFRT= Valor fondo de reservas técnicas
VPM= Valor premio mayor
4. Iliquidez. Ocurre cuando el índice de liquidez de las empresas operadoras directas del juego de lotería, calculado con base en estados financieros anuales o intermedios o reportes contables especiales, es menor a uno (1.00).
![]()
Dónde:
IL= Índice de liquidez
AC= Activo corriente: Sumatoria del componente corriente de los grupos 11 efectivo, 12 inversiones e instrumentos derivados, 13 rentas por cobrar, 14 deudores y 15 inventarios, tomado de los estados financieros.
FRT= Es el valor del Fondo de Reservas Técnicas, reconocido contablemente de conformidad con las normas de contabilidad que le sean aplicables a la entidad y depositado aparte en cuentas creadas exclusivamente para el efecto, sin hacer unidad de caja con los demás recursos de la entidad. En ningún caso el saldo en Fondo de Reservas Técnicas podrá ser inferior al saldo de la Provisión para Reservas Técnicas.
Inventarios= Es el valor de los Inventarios tomados del balance general.
PC= Pasivo corriente: Valor del componente corriente de los grupos 21 operaciones de banca central e instituciones financieras, 22 operaciones de crédito público y financiamiento con banca central, 23 operaciones de financiamiento e instrumentos derivados, 24 cuentas por pagar, 25 obligaciones laborales y de seguridad social integral, 26 otros bonos y títulos emitidos, 27 pasivos estimados y 29 otros pasivos.
PRT= Corresponde al valor de la Provisión para Reservas Técnicas, tomado del grupo 27, pasivos estimados, subcuenta 271016, Reserva técnica para el pago de premios.
5. Incumplimiento de los plazos para efectuar las transferencias. Sin perjuicio de la calificación anual de gestión, eficiencia y rentabilidad, cuando una empresa operadora directa del juego de lotería tradicional presente mora en la transferencia al sector salud de la renta del monopolio, el impuesto a foráneas, el impuesto a ganadores y las utilidades, se configurará una causal de sometimiento a plan de desempeño.
6. Operaciones por debajo del punto de equilibrio. En los términos del artículo 7o del Decreto 3034 de 2013, cuando la relación ventas emisión de una entidad operadora del juego de lotería tradicional o de billetes, no le permita operar en punto de equilibrio, se considerará que la entidad deberá someterse a un plan de desempeño, en el cual debe acreditar su viabilidad financiera e institucional.
7. Pérdidas. Se configura cuando los estados financieros anuales o intermedios o reportes contables especiales, revelan que una empresa operadora directa del juego de lotería presenta pérdidas.
PARÁGRAFO 1o. Una vez se haya verificado el plan de desempeño por el Consejo Nacional de Juegos de Suerte y Azar a través de su Secretaría Técnica, se remitirá a la Superintendencia Nacional de Salud para lo de sus competencias.
PARÁGRAFO 2o. El trámite de los planes de desempeño de que trata el presente artículo se surtirá sin perjuicio de las facultades de intervención forzosa administrativa que la Superintendencia Nacional de Salud pueda ejercer en cualquier momento.
PLANES DE DESEMPEÑO.
ARTÍCULO 7o. CONTENIDO DEL PLAN DE DESEMPEÑO. Los planes de desempeño deberán contener como mínimo los siguientes elementos:
1. Determinación de los objetivos asociados a la superación de la calificación insatisfactoria del indicador o del evento.
2. Determinación de las metas intermedias y finales del plan de desempeño teniendo en cuenta proyecciones financieras, actividades de gestión y estrategias comerciales.
3. Cronograma detallado de actividades.
4. Relación de los recursos necesarios para lograr el cumplimiento del objetivo y las metas del plan de desempeño.
5. Establecimiento de indicadores que permitan evaluar el avance y cumplimiento de los objetivos propuestos.
PARÁGRAFO: Las proyecciones financieras deberán realizarse por la metodología de estados financieros proforma y su alcance mínimo será: Balance general, estado de resultados y flujo de tesorería.
ARTÍCULO 8o. TÉRMINOS PARA FORMULAR LOS PLANES DE DESEMPEÑO. Los planes de desempeño para superar la calificación insatisfactoria deberán ser presentados al Consejo Nacional de Juegos de Suerte y Azar dentro de los treinta (30) días calendario siguientes a la ejecutoria de la calificación de que trata el presente Acuerdo, o a la solicitud del Consejo Nacional de Juegos de Suerte y Azar o de la Superintendencia Nacional de Salud en el caso de los eventos y situaciones señalados en el presente Acuerdo.
Este plazo se puede prorrogar una vez, hasta por sesenta (60) días, con expresa autorización de la Secretaría Técnica del Consejo Nacional de Juegos de Suerte y Azar.
ARTÍCULO 9o. EFECTOS DE LOS PLANES DE DESEMPEÑO. Las actividades contempladas en los planes de desempeño se reflejarán en el presupuesto y en el plan operativo de la vigencia.
ARTÍCULO 10. CAPITALIZACIÓN DE UTILIDADES. Las empresas operadoras del juego de lotería podrán incluir en los planes de desempeño, actividades relacionadas con la capitalización de utilidades en los términos y condiciones que establezca el Consejo Nacional de Juegos de Suerte y Azar.
ARTÍCULO 11. VIGENCIA DE LOS PLANES DE DESEMPEÑO. Los planes de desempeño formulados en una vigencia, se deberán ejecutar en un término que no supere el 31 de marzo de la vigencia siguiente. Si el cronograma de actividades del plan de desempeño se extiende más allá de esta fecha por razones fiscales, presupuestales o legales, la entidad deberá acreditar el cumplimiento cabal de las metas intermedias que figuren en el cronograma, en un término máximo de tres años.
OTRAS DISPOSICIONES.
ARTÍCULO 12. INTERVENCIÓN O LIQUIDACIÓN. Si una vez ejecutado el plan de desempeño la empresa operadora del juego de lotería tradicional no ha superado la calificación insatisfactoria en sus indicadores o persisten los eventos y situaciones que conllevaron a su sometimiento a un plan de desempeño, el Consejo Nacional de Juegos de Suerte y Azar recomendará la intervención por parte de la Superintendencia Nacional de Salud o su liquidación.
PARÁGRAFO. En el caso de las empresas que no superen la calificación insatisfactoria en el indicador “Índice de la relación entre la venta y la emisión de billetes” no procederá la liquidación siempre y cuando se haya superado la calificación satisfactoria en los demás indicadores.
ARTÍCULO 13. VIGENCIA Y DEROGATORIAS. El presente acuerdo rige a partir de la fecha de su publicación y deroga las disposiciones que le sean contrarias, en especial la Resolución 4717 de 2009.
Publíquese y cúmplase.
Dado en Bogotá, D. C., a 11 de noviembre de 2014.
El Presidente,
JAIME EDUARDO CARDONA RIVADENEIRA.
El Secretario Técnico,
LUIS ÓMAR TORRADO MANTILLA.
Centro Normativo Keralty
n.d.
Última actualización: 30 de diciembre de 2025
