RESOLUCIÓN 43165 DE 2011
(agosto 22)
Diario Oficial No. 48.170 de 23 de agosto de 2011
SUPERINTENDENCIA DE INDUSTRIA Y COMERCIO
Por la cual se corrige un error en la Resolución número 72896 del 24 de diciembre de 2010.
EL SUPERINTENDENTE DE INDUSTRIA Y COMERCIO,
en ejercicio de sus facultades legales, en especial las que se le confieren en el inciso 3o del artículo 73 del Código Contencioso Administrativo,
CONSIDERANDO:
Primero. Que el 24 de diciembre de 2010, la Entidad expidió la Resolución número 72896, “por la cual se imparten instrucciones sobre la liquidación de la tarifa correspondiente a la contribución de seguimiento de garantías y condicionamientos prevista en el artículo 22 de la Ley 1340 de 2009 y se modifica la Resolución 69916 de 2009”.
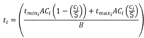
Segundo. Que en el artículo 1o de la Resolución número 72896 se estableció la fórmula que se debía aplicar con el fin de liquidar el valor a pagar por concepto de contribución de seguimiento de garantías para el cierre de la investigación por presuntas prácticas comerciales restrictivas de la competencia o condicionamientos para la autorización de una operación de integración empresarial.
Tercero. Que revisada la fórmula para liquidar el valor a pagar por concepto de contribución mencionada, se observa que el factor “G” de la fórmula no se incluyó la representación matemática, a pesar de que sí fue definido dentro del artículo primero de la parte resolutiva de la resolución.
En efecto, la fórmula contenida en el artículo 1o de la Resolución número 72896 del 24 de diciembre de 2010 es la siguiente:

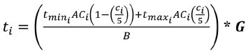
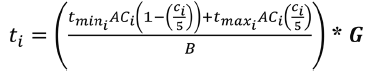
Tal expresión debe ser corregida así:

Cuarto: Que de conformidad con lo dispuesto en el inciso tercero del artículo 73 del Código Contencioso Administrativo: “… siempre podrán revocarse parcialmente los actos administrativos en cuanto sea necesario para corregir simples errores aritméticos o de hecho que no incidan en el sentido de la decisión”.
Quinto. Que si bien el error sólo corresponde a la omisión del factor “G” en la representación matemática de la fórmula, para facilitar su aplicación, se transcribirá todo el artículo 1o de la Resolución número 72896 del 24 de diciembre de 2010.
Por lo anterior,
RESUELVE:
ARTÍCULO 1o. Revocar parcialmente, para corregir el error por omisión, el artículo 1o de la Resolución número 72896 del 24 de diciembre de 2010, el cual quedará así:
“Artículo 1o. Para liquidar el valor a pagar por concepto de contribución de seguimiento de garantías para el cierre de la investigación por presuntas prácticas restrictivas de la competencia o condicionamientos para la autorización de una operación de integración empresarial, se aplicarán las siguientes fórmulas:

Donde :
| ti: | Contribución potencial a pagar por parte de una empresa (empresa i). |
| tmini: | 0,1 x 1.000. |
| tmaxi: | 1 x 1.000 |
| ACi: | Activos corrientes de la empresa i en el año fiscal objeto de contribución. |
| ci: | Calificación de la empresa i en función de la complejidad de la contribución, la cual está definida entre 0 y 5. |
| G: | Valor de los gastos de funcionamiento de la Superintendencia de Industria y Comercio durante el año fiscal[1] al que se refiere el cobro por concepto seguimiento de garantías para el cierre de la investigación por presuntas prácticas restrictivas de la competencia y condicionamientos para la autorización de una operación de integración empresarial. |
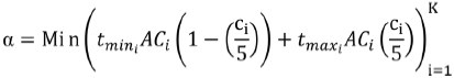
| B: | Parámetro normalizador correspondiente al valor total de las contribuciones de las empresas antes de asociarlo a G. Este parámetro se establece aplicando la siguiente fórmula. |

Donde:
| K: | Número total de empresas sometidas a seguimiento de garantías para el cierre de la investigación por presuntas prácticas restrictivas de la competencia y condicionamientos para la autorización de una operación de integración empresarial. |
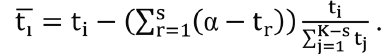
Para efectos de la liquidación, se define la contribución mínima a pagar por parte de las empresas ( ) de la siguiente forma:

Si existen s empresas tal que tj < á para j=1,...,s, la contribución de cada una de estas empresas será igual a . En ese caso la contribución efectiva (
) para cada una de las K-s empresas restantes corresponderá a:

Donde:
| Contribución definitiva a pagar por parte de una empresa (empresa i). |
ARTÍCULO 2o. Las demás disposiciones de la Resolución número 72896 del 24 de diciembre de 2010 no serán modificadas.
ARTÍCULO 3o. La presente decisión rige a partir de su publicación y contra la misma no procede recurso alguno.
Publíquese y cúmplase.
Dada en Bogotá, D. C., a 22 de agosto de 2011.
El Superintendente de Industria y Comercio,
JOSÉ MIGUEL DE LA CALLE RESTREPO.
* * *
1. Para el cálculo de la contribución correspondiente al año 2009 se tendrá en cuenta la proporción del gasto de ese año correspondiente al periodo comprendido entre el 24 de julio de 2009 (fecha de entrada en vigencia de la Ley 1340 de 2009) y el 31 de diciembre de ese mismo año.
Centro Normativo Keralty
n.d.
Última actualización: 30 de diciembre de 2025
