RESOLUCIÓN 69916 DE 2009
(diciembre 31)
Diario Oficial No. 47.579 de 31 de diciembre de 2009
SUPERINTENDENCIA DE INDUSTRIA Y COMERCIO
Por la cual se determinan las tarifas correspondientes a la contribución por garantías y condicionamientos a que se refiere el artículo 22 de la Ley 1340 de 2009.
NOTAS DE VIGENCIA: - Modificada por la Resolución 43165 de 2011, publicada en el Diario Oficial No. 48.170 de 23 de agosto de 2011, 'Por la cual se corrige un error en la Resolución número 72896 del 24 de diciembre de 2010' - Modificada por la Resolución 72896 de 2011, publicada en el Diario Oficial No. 47.935 de 27 de diciembre de 2010, 'Por la cual se imparten instrucciones sobre la liquidación de la tarifa correspondiente a la contribución de seguimiento de garantías y condicionamientos prevista en el artículo 22 de la Ley 1340 de 2009 y se modifica la Resolución 69916 de 2009' - Modificada por la Resolución 72896 de 2010, publicada en el Diario Oficial No. 47.935 de 27 de diciembre de 2010, 'Por la cual se imparten instrucciones sobre la liquidación de la tarifa correspondiente a la contribución de seguimiento de garantías y condicionamientos prevista en el artículo 22 de la Ley 1340 de 2009 y se modifica la Resolución 69916 de 2009' |
EL SUPERINTENDENTE DE INDUSTRIA Y COMERCIO,
en ejercicio de las facultades legales, en especial las que se le confieren en el artículo 22 de la Ley 1340 de 2009,
CONSIDERANDO:
Primero. Que de acuerdo con lo establecido en el artículo 22 de la Ley 1340 de 2009, es deber de la Superintendencia de Industria y Comercio determinar anualmente mediante resolución las tarifas de las contribuciones derivadas de la terminación de investigaciones por ofrecimientos de garantías y del seguimiento por las obligaciones contraídas por integraciones condicionadas.
Segundo. Que según el artículo 22 de la Ley 1340 de 2009, las tarifas se determinarán mediante la sumatoria de los activos corrientes del año fiscal 2009 de las empresas sometidas a seguimiento, frente a los gastos de funcionamiento de la Entidad destinados al desarrollo de dicha labor durante el mismo período, sin que en ningún caso la tarifa pueda superar el uno por mil de los activos corrientes de cada empresa sometida a seguimiento.
Tercero. Que de conformidad con el artículo 22 de la Ley 1340 de 2009 las contribuciones se liquidarán anualmente, o proporcionalmente de ser el caso, para cada empresa sometida a seguimiento.
Cuarto. Que los gastos de funcionamiento de la entidad destinados al desarrollo de la labor de seguimiento durante el año 2009 ascienden a $467.868.618 conforme el estudio adelantado por la Delegatura de Promoción de la Competencia y el Despacho del Superintendente con el apoyo de la oficina de Recursos Humanos.
Quinto. Que a efectos de cumplir con lo previsto en el artículo 22 de la Ley 1340 de 2009 la Superintendencia ha establecido una metodología que permita con claridad liquidar el valor a pagar por parte de cada empresa, en relación con la calificación que la Entidad le asigne a la tarea de seguimiento.
RESUELVE:
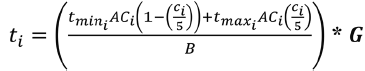
ARTÍCULO 1o. <Artículo modificado por el artículo 1 de la Resolución 43165 de 2011. El nuevo texto es el siguiente:> Para liquidar el valor a pagar por concepto de contribución de seguimiento de garantías para el cierre de la investigación por presuntas prácticas restrictivas de la competencia o condicionamientos para la autorización de una operación de integración empresarial, se aplicarán las siguientes fórmulas:

Donde :
| ti: | Contribución potencial a pagar por parte de una empresa (empresa i). |
| tmini: | 0,1 x 1.000. |
| tmaxi: | 1 x 1.000 |
| ACi: | Activos corrientes de la empresa i en el año fiscal objeto de contribución. |
| ci: | Calificación de la empresa i en función de la complejidad de la contribución, la cual está definida entre 0 y 5. |
| G: | Valor de los gastos de funcionamiento de la Superintendencia de Industria y Comercio durante el año fiscal[1] al que se refiere el cobro por concepto seguimiento de garantías para el cierre de la investigación por presuntas prácticas restrictivas de la competencia y condicionamientos para la autorización de una operación de integración empresarial. |
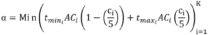
| B: | Parámetro normalizador correspondiente al valor total de las contribuciones de las empresas antes de asociarlo a G. Este parámetro se establece aplicando la siguiente fórmula. |

Donde:
| K: | Número total de empresas sometidas a seguimiento de garantías para el cierre de la investigación por presuntas prácticas restrictivas de la competencia y condicionamientos para la autorización de una operación de integración empresarial. |
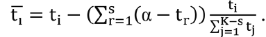
Para efectos de la liquidación, se define la contribución mínima a pagar por parte de las empresas ( ) de la siguiente forma:

Si existen s empresas tal que tj < á para j=1,...,s, la contribución de cada una de estas empresas será igual a . En ese caso la contribución efectiva (
) para cada una de las K-s empresas restantes corresponderá a:

Donde:
| Contribución definitiva a pagar por parte de una empresa (empresa i). |
- Artículo modificado por el artículo 1 de la Resolución 43165 de 2011, publicada en el Diario Oficial No. 48.170 de 23 de agosto de 2011. - Artículo modificado por el artículo 1 de la Resolución 72896 de 2010, publicada en el Diario Oficial No. 47.935 de 27 de diciembre de 2010. |
Texto modificado por la Resolución 72896 de 2010: ARTÍCULO 1. <Consultar el artículo 1 de la Resolución 72896 de 2010> Texto original de la Resolución 69916 de 2009: ARTÍCULO 1. Establecer la regla de asignación mediante la cual la Superintendencia de Industria y Comercio determinará las tarifas de las contribuciones de seguimiento de garantías para el cierre de la investigación por presuntas prácticas restrictivas de la competencia y condicionamientos para la autorización de una operación de integración empresarial, así:
Donde c corresponde a la calificación asignada de acuerdo a los criterios de seguimiento asociados a que se refiere el numeral 2 de la presente resolución, tmin a la tarifa correspondiente al 0.01 por mil de los activos corrientes del año fiscal 2009 de la empresa contribuyente y tmax al 1 por mil de los activos corrientes del referido año. PARÁGRAFO. La selección de los valores tmin y tmax responden a aquellas tasas que permiten a la entidad financiar la actividad de seguimiento del ofrecimiento de garantías y condicionamientos, a partir de la cifra correspondiente a los gastos de funcionamiento asociados a dicha actividad incurridos en el año fiscal 2009. |
ARTÍCULO 2o. <Artículo modificado por el artículo 2 de la Resolución 72896 de 2010. El nuevo texto es el siguiente:> Los criterios de calificación de las empresas, en función del grado de esfuerzo, que se utilizarán para la determinación de la contribución del año 2010 y siguientes, serán los contenidos en la siguiente tabla:
| Informes requeridos/año | 0 | De 1 a 3 | De 4 a 6 | 7 o más | |
| Visitas al Año | |||||
| 0 | 0,0 | 1,3 | 2,5 | 5,0 | |
| De 1 a 3 | 1,3 | 2,2 | 3,1 | 5,0 | |
| De 4 a 6 | 2,5 | 3,1 | 3,8 | 5,0 | |
| 7 o más | 5,0 | 5,0 | 5,0 | 5,0 | |
- Artículo modificado por el artículo 2 de la Resolución 72896 de 2010, publicada en el Diario Oficial No. 47.935 de 27 de diciembre de 2010. |
Texto original de la Resolución 69916 de 2009: ARTÍCULO 2. Los criterios de calificación en función de la complejidad del seguimiento ofrecido que utilizará la Superintendencia de Industria y Comercio serán los contenidos en la siguiente tabla: Calificación Tipo de Ofrecimiento 0 El seguimiento requiere envío de información con periodicidad semestral 1 o anual o no lo tiene previsto. No es necesario realizar visitas de verificación. 2 El seguimiento requiere envío de información con periodicidad trimestral. 3 No es necesario realizar visitas de verificación. 4 El seguimiento requiere envío de información con periodicidad semestral 5 o trimestral. Se justifica realizar una visita de verificación semestral. |
ARTÍCULO 3o. La liquidación se realizará con base en la información de los balances del 2009 aprobados a abril de 2010. Dentro del primer trimestre del año para los condicionamientos u ofrecimientos de garantías vigentes la Superintendencia determinará la calificación a que se refiere el artículo 2o.
Resolución SIC 72896 de 2010; Art. 3 |
ARTÍCULO 4o. En cualquier caso la Superintendencia no cobrará contribuciones que en suma generen ingresos que superen los gastos de funcionamiento de la entidad destinados a la labor de seguimiento durante el año inmediatamente anterior.
ARTÍCULO 5o. La presente resolución rige a partir del primero (1o) de enero de 2010.
Publíquese y cúmplase.
Dada en Bogotá, D. C., a 31 de diciembre de 2009.
El Superintendente de Industria y Comercio,
GUSTAVO VALBUENA QUIÑONES.
Centro Normativo Keralty
n.d.
Última actualización: 30 de diciembre de 2025

