RESOLUCIÓN 72896 DE 2010
(diciembre 24)
Diario Oficial No. 47.935 de 27 de diciembre de 2010
SUPERINTENDENCIA DE INDUSTRIA Y COMERCIO
Por la cual se imparten instrucciones sobre la liquidación de la tarifa correspondiente a la contribución de seguimiento de garantías y condicionamientos prevista en el artículo 22 de la Ley 1340 de 2009 y se modifica la Resolución 69916 de 2009.
NOTAS DE VIGENCIA: - Modificada por la Resolución 43165 de 2011, publicada en el Diario Oficial No. 48.170 de 23 de agosto de 2011, 'Por la cual se corrige un error en la Resolución número 72896 del 24 de diciembre de 2010' |
EL SUPERINTENDENTE DE INDUSTRIA Y COMERCIO,
En ejercicio de las facultades legales, en especial las que se le confieren en el artículo 22 de la Ley 1340 de 2009,
CONSIDERANDO:
Primero. Que teniendo en cuenta lo establecido en el artículo 22 de la Ley 1340 de 2009 es necesario modificar la fórmula de asignación prevista en la Resolución número 69916 de 2009, con el fin de precisar el mecanismo de liquidación de las contribuciones, introduciendo explícitamente en la fórmula el gasto de funcionamiento en el que incurrió la Entidad por concepto de las actividades seguimiento de garantías para el cierre de investigaciones por presuntas prácticas restrictivas de la competencia y condicionamientos para la autorización de una operación de integración empresarial.
Segundo. Que se hace necesario introducir modificaciones que faciliten la aplicación de los criterios establecidos en la Resolución número 69916 de 2009 para calificar el grado de esfuerzo del seguimiento realizado por esta Superintendencia, modificación que sería aplicable para el cálculo de las contribuciones correspondientes al año 2010 y siguientes.
Tercero. Que revisada la información de gastos de la Superintendencia de Industria y Comercio y el valor por concepto de gastos incurridos en las actividades de seguimiento de garantías para el cierre de investigaciones por presuntas prácticas restrictivas de la competencia y condicionamientos para la autorización de operaciones de integración empresarial, durante el año 2009, se hace necesario su ajuste, toda vez que en el valor señalado en la Resolución número 69916 de 2009 no se tuvo en cuenta la totalidad de los gastos de tales actividades de seguimiento.
RESUELVE:
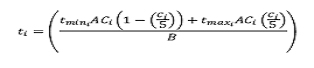
ARTÍCULO 1o. <Este artículo modifica el artículo 1 de la Resolución 69916 de 2009. Consultar modificaciones directamente en el artículo 1 de la Resolución 69916 de 2009> Para liquidar el valor a pagar por concepto de contribución de seguimiento de garantías para el cierre de la investigación por presuntas prácticas restrictivas de la competencia o condicionamientos para la autorización de una operación de integración empresarial, se aplicarán las siguientes fórmulas:

Donde:
| ti: | Contribución potencial a pagar por parte de una empresa (empresa i). |
| tmini: | 0,1 x 1.000 |
| tmaxi: | 1 x 1.000 |
| ACi: | Activos corrientes de la empresa i en el año fiscal objeto de contribución. |
| ci: | Calificación de la empresa i en función de la complejidad de la contribución, la cual está definida entre 0 y 5. |
| G: | Valor de los gastos de funcionamiento de la Superintendencia de Industria y Comercio durante el año fiscal[1] al que se refiere el cobro por concepto seguimiento de garantías para el cierre de la investigación por presuntas prácticas restrictivas de la competencia y condicionamientos para la autorización de una operación de integración empresarial. |
| B: | Parámetro normalizador correspondiente al valor total de las contribuciones de las empresas antes de asociarlo a G. Este parámetro se establece aplicando la siguiente fórmula: |

donde:
| K: | Número total de empresas sometidas a seguimiento de garantías para el cierre de la investigación por presuntas prácticas restrictivas de la competencia y condicionamientos para la autorización de una operación de integración empresarial. |
Para efectos de la liquidación, se define la contribución mínima a pagar por parte de las empresas (
) de la siguiente forma:

Si existen s empresas tal que tj <
para j=1,...,s, la contribución de cada una de estas empresas será igual a
. En ese caso la contribución efectiva (t1) para cada una de las K-s empresas restantes corresponderá a

donde:
: Contribución definitiva a pagar por parte de una empresa (empresa i).
- Modifica el artículo 1 de la Resolución número 69916 de 2009. |
ARTÍCULO 2o. <Este artículo modifica el artículo 2 de la Resolución 69916 de 2009. Consultar modificaciones directamente en el artículo 2 de la Resolución 69916 de 2009>Los criterios de calificación de las empresas, en función del grado de esfuerzo, que se utilizarán para la determinación de la contribución del año 2010 y siguientes, serán los contenidos en la siguiente tabla:
| Informes requeridos/año | 0 | De 1 a 3 | De 4 a 6 | 7 o más | |
| Visitas al Año | |||||
| 0 | 0,0 | 1,3 | 2,5 | 5,0 | |
| De 1 a 3 | 1,3 | 2,2 | 3,1 | 5,0 | |
| De 4 a 6 | 2,5 | 3,1 | 3,8 | 5,0 | |
| 7 o más | 5,0 | 5,0 | 5,0 | 5,0 | |
- Modifica el artículo 2 de la Resolución número 69916 de 2009. |
ARTÍCULO 3o. Que de acuerdo con la información de la ejecución presupuestal del año 2009, se estableció que la Superintendencia de Industria y Comercio, por las actividades de seguimiento de garantías para el cierre de investigaciones por presuntas prácticas restrictivas de la competencia y condicionamientos para la autorización de operaciones de integración empresarial, en el período comprendido entre la vigencia de la Ley 1340 de 2009 y el 31 de diciembre de ese mismo año incurrió en gastos que ascendieron a quinientos treinta y ocho millones cuarenta y un mil setenta y cuatro pesos ($538.041.074)[2].
ARTÍCULO 4o. La presente resolución rige a partir de su publicación y modifica la Resolución número 69916 de 2009.
Publíquese y cúmplase.
Dada en Bogotá, D. C., a 24 de diciembre de 2010.
El Superintendente de Industria y Comercio,
JOSÉ MIGUEL DE LA CALLE RESTREPO.
* * *
1. Para el cálculo de la contribución correspondiente al año 2009 se tendrá en cuenta la proporción del gasto de ese año correspondiente al periodo comprendido entre el 24 de julio de 2009 (fecha de entrada en vigencia de la Ley 1340 de 2009) y el 31 de diciembre de ese mismo año.
2. Este valor incluye los gastos directos y los de las áreas de apoyo.
Centro Normativo Keralty
n.d.
Última actualización: 30 de diciembre de 2025
