RESOLUCIÓN 88919 DE 2017
(diciembre 28)
Diario Oficial No. 50.461 de 29 de diciembre de 2017
SUPERINTENDENCIA DE INDUSTRIA Y COMERCIO
<NOTA DE VIGENCIA: Derogada a partir del 1 de enero de 2024 por la Resolución 35152 de 2023>
Por la cual se adiciona el Capítulo Noveno en el Título VI de la Circular Única y se reglamenta el control metrológico aplicable a alcoholímetros, etilómetros o alcohosensores evidenciales.
EL SUPERINTENDENTE DE INDUSTRIA Y COMERCIO,
en ejercicio de facultades legales, en especial, las que confieren la Ley 1480 de 2011 y los Decretos 4886 de 2011 y 1074 de 2015, y
CONSIDERANDO:
Que el artículo 78 de la Constitución Política establece que: "[l]a ley regulará el control de calidad de bienes y servicios ofrecidos y prestados a la comunidad, así como la información que debe suministrarse al público en su comercialización. Serán responsables, de acuerdo con la ley, quienes en la producción y en la comercialización de bienes y servicios, atenten contra la salud, la seguridad y el adecuado aprovisionamiento a consumidores y usuarios".
Que el artículo 334 de la Constitución Política, faculta al Estado para intervenir por mandato de la ley en la producción, distribución, utilización y consumo de los bienes para racionalizar la economía con el fin de obtener el mejoramiento de la calidad de vida de los habitantes, los beneficios del desarrollo y la prevención de un ambiente sano;
Que el artículo 3 de la Ley 155 de 1959 dispone que: "[e]l Gobierno intervendrá en la fijación de normas sobre pesas y medidas, calidad, empaque y clasificación de los productos, materias primas y artículos o mercancías con miras a defender el interés de los consumidores y de los productores de materias primas";
Que el artículo 2.2.1.7.14.2 del Decreto Único 1074 de 2015 modificado por el Decreto 1595 de 2015 señala que: "Todos los equipos, aparatos, medios o sistemas que sirvan como instrumentos de medida o tengan como finalidad la actividad de medir, pesar o contar y que sean utilizados en el comercio, en la salud, en la seguridad o en la protección del medio ambiente o por razones de interés público, protección al consumidor o lealtad en las prácticas comerciales, deberán cumplir las disposiciones y los requisitos establecidos en el presente decreto y con los reglamentos técnicos metrológicos que para tal efecto expida la Superintendencia de Industria y Comercio y, en su defecto, con las recomendaciones de la Organización Internacional de la Metrología Legal (OIML) para cada tipo de instrumento";
Que el artículo 2.2.1.7.14.3 del Decreto Único 1074 de 2015, modificado por el Decreto 1595 de 2015 establece que: "En especial, están sujetos al cumplimiento de lo establecido en el presente capítulo los instrumentos de medida que sirvan para medir, pesar o contar y que tengan como finalidad, entre otras: (.)
5. Ejecutar actos de naturaleza pericial, judicial o administrativa. (.)";
Que en el artículo 2.2.1.7.14.1 del Decreto Único 1074 de 2015 ibídem, se precisa que: "La Superintendencia de Industria y Comercio es la Entidad competente para instruir y expedir reglamentos técnicos metrológicos para instrumentos de medición sujetos a control metrológico. "(.).
"La Superintendencia de Industria y Comercio podrá además implementar las herramientas tecnológicas o informáticas que considere necesarias para asegurar el adecuado control metrológico e instruirá la forma en que los productores, importadores, reparadores y responsables de los instrumentos de medición, reportarán información al sistema. (.).
La Superintendencia de Industria y Comercio reglamentará las condiciones y los requisitos de operación de los Organismos Autorizados de Verificación Metrológica y Organismos Evaluadores de la Conformidad que actúen frente a los instrumentos de medición";
Que el numeral 1 del artículo 2.2.1.7.14.4. del Decreto 1074 de 2015, modificado por el artículo 3 del Decreto 1595 de 2015, dispone que: "(.) Previo a la importación o puesta en circulación, si es elaborado en el país, el importador o productor de un instrumento de medición deberá demostrar su conformidad con el reglamento técnico metrológico que para el efecto expida la Superintendencia de Industria y Comercio, en concordancia con lo establecido en la Sección 9 del presente capítulo o, en su defecto, demostrar el cumplimiento de los requisitos establecidos en la Recomendación de la Organización Internacional de la Metrología Legal (OIML) que corresponda. (.)";
Que en Sentencia C-621 de 2012, la Corte Constitucional declaró la exequibilidad de la Ley 1512 de 2012 "por medio de la cual se aprueba la Convención para Construir una Organización Internacional de Metrología Legal", conceptuó que "(.) la adhesión de Colombia a la Convención que se analiza, permite que tales disposiciones recogidas en recomendaciones de la OIML, sean parte de nuestro sistema de calidad, otorgando al país un reconocimiento internacional de sus instrumentos de medición y de los resultados producidos, lo que ubica a Colombia en un nivel de competencia técnica que resulta acorde con los artículos 6-3 y 9 de la Ley 170 de 1994, en virtud de los cuales, como un claro lineamiento de la Organización Mundial del Comercio, se adquirió el compromiso que institucionalizar los sistemas internacionales de evaluación de la conformidad y de calidad confiable, para superar los obstáculos técnicos al comercio. Adicionalmente, ceñirse a los estándares internacionales en materia de metrología legal reporta como importancia que (i) los productos sean examinados para garantizar que cumplan los reglamentos de seguridad de protección contra características peligrosas; (ii) a los productos se les haga una medición cuantitativa para brindarle seguridad y confianza al consumidor; y, (iii) se fomenta la normalización de los productos y de sus características en el plano internacional a través de las recomendaciones de la OIML, lo cual garantizar la adopción de los más estrictos y actuales estándares de calidad en beneficio de los productores y consumidores"(1).
Que a través de la Recomendación OIML R126, "Evidential Breath Analyzers", de la Organización Internacional de la Metrología Legal (OIML), se estandarizaron los requisitos técnicos y metrológicos que deben cumplir los instrumentos de medición denominados analizadores de aliento evidenciales, con el fin de garantizar la calidad de las mediciones que proveen. Esta norma internacional constituye el fundamento técnico del presente reglamento técnico metrológico;
Que de conformidad con lo ordenado en los numerales 47, 48, 50, 51, 54 y 55 del artículo 1 del Decreto 4886 de 2011, entre otras funciones, le corresponde a la Superintendencia de Industria y Comercio, respectivamente: "47. Organizar e instruir la forma en que funcionará la metrología legal en Colombia. 48. Ejercer funciones de control metrológico de carácter obligatorio en el orden nacional. 50. Establecer el procedimiento e instruir la forma en que se hará la aprobación de modelo para los instrumentos de medida que cuenten con la respectiva aprobación de modelo. 51. Ejercer el control sobre pesas directamente o en coordinación con las autoridades del orden territorial. 54. Fijar las tolerancias permisibles para efectos del control metrológico". Y, "55. Expedir la reglamentación para la operación de la metrología legal";
Que teniendo en cuenta lo establecido en los numerales 4 y 9 del artículo 14 del Decreto 4886 de 2011, es función del Superintendente Delegado para el Control y Verificación de Reglamentos Técnicos y Metrología Legal, en especial: "4. Fijar las tolerancias permisibles para efectos del control metrológico". Y, "9. Estandarizar métodos y procedimientos de medición y calibración, así como un banco de información para su difusión";
Que el numeral 2 del artículo 2.2.1.7.14.4. del Decreto 1074 de 2015, modificado por el artículo 3 del Decreto 1595 de 2015, prevé que: "(.) Toda persona que use o mantenga un instrumento de medición que sea usado en cualquiera de las actividades relacionadas con el presente capítulo será responsable del buen funcionamiento y de la conservación del instrumento de medición, en cuanto a sus características metrológicas obligatorias y a la confiabilidad de sus mediciones, así como del cumplimiento del reglamento técnico metrológico correspondiente. Igualmente deberá permitir la realización de las verificaciones periódicas establecidas en el reglamento técnico o las que se hagan después de una reparación o modificación del instrumento, a su costa, permitiendo el acceso al instrumento de medición y a los documentos pertinentes";
Que según lo previsto en el literal F del artículo 131 de la Ley 769 de 2002, creado por el artículo 3° de la Ley 1696 de 2013, "Los infractores de las normas de tránsito serán sancionados con la imposición de multas, de acuerdo con el tipo de infracción así: (.).
"Conducir bajo el influjo del alcohol o bajo los efectos de sustancias psicoactivas. Esta conducta será sancionada con las multas establecidas en el artículo 152 de este Código. Si se trata de conductores de vehículos de servicio público, de transporte escolar o de instructor de conducción, la multa o el período de suspensión de la licencia se duplicarán. En todos los casos de embriaguez o alcoholemia el vehículo será inmovilizado.
El estado de embriaguez o alcoholemia se establecerá mediante una prueba que no cause lesión, la cual será determinada por el Instituto de Medicina Legal y Ciencias Forenses";
Que el artículo 26 de la Ley 769 de 2002, modificado por el artículo 7 de la Ley 1383 de 2010, fijó como causal de suspensión y de cancelación de la licencia de conducción las siguientes:
Suspensión. "(.) 3. Por encontrarse en flagrante estado de embriaguez o bajo efecto de drogas alucinógenas determinado por la autoridad competente".
Cancelación. "(.) 4. Reincidencia al encontrarse manejando en estado de embriaguez o bajo el efecto de drogas alucinógenas determinado por la autoridad competente";
Que el artículo 3 de la Ley 1696 de 2013, que modificó el parágrafo del artículo 26 de la Ley 769 de 2002, dispuso que la resolución mediante la cual se impone la suspensión o cancelación de la licencia de conducción, debe contener la prohibición expresa al conductor de conducir vehículos automotores durante el tiempo que se le suspenda o cancele la licencia. Igualmente estableció que aquella persona cuya licencia de conducción haya sido cancelada, podrá solicitar que se expida una nueva licencia una vez transcurran veinticinco (25) años;
Que el numeral 2 del artículo 60 del Código Sustantivo del Trabajo, prohíbe a los trabajadores: "2. (.) al trabajo en estado de embriaguez o bajo la influencia de narcóticos o drogas enervantes";
Que el artículo 5 de la Ley 1696 de 2013, que modificó el artículo 152 de la Ley 769 de 2002, estableció los grados de alcoholemia que configuran las infracciones de tránsito que ameritan la imposición de una sanción, así:"(.) 1. Grado cero de alcoholemia, entre 20 y 39 mg de etanol/100 ml de sangre total, (.); 2. Primer grado de embriaguez, entre 40 y 99 mg de etanol/100 ml de sangre total, (.) 3. Segundo grado de embriaguez, entre 100 y 149 mg de etanol/100 ml de sangre total, (.) 4. Tercer grado de embriaguez, desde 150 mg de etanol/100 ml de sangre total en adelante (.)";
Del mismo modo, el parágrafo 4 del artículo 5 de la Ley 1696 de 2013 señaló que "[E]n el evento en que la alcoholemia sea igual o superior a 20 mg de etanol/100 ml de sangre, se aplicará las sanciones establecidas sin que sea necesario realizar pruebas adicionales para la determinación de la presencia de otras sustancias psicoactivas";
Que en el artículo 2.2.1.7.11.1 del Decreto Único 1074 de 2015, se establece que "[E] l Instituto Nacional de Metrología (INM) es la autoridad competente para coordinar la ejecución de la metrología científica e industrial a nivel nacional, de acuerdo con lo dispuesto en el Decreto 4175 de 2011 o la norma que lo modifique o sustituya"; y, conforme a lo previsto en el artículo 1.2.1.5 del Decreto 1074 de 2015, en ejercicio de su función como coordinador de la metrología científica e industrial, el INM debe realizar "(.) la prestación de servicios metrológicos, el apoyo a las actividades de control metrológico y la diseminación de mediciones trazables al Sistema Internacional de Unidades (SI)";
Que de conformidad con el artículo 2.2.1.7.11.6 ibídem, el INM "será la entidad encargada de la diseminación de la trazabilidad metrológica al Sistema Internacional de Unidades (SI) y su divulgación, entendido como las unidades básicas y derivadas definidas por la Conferencia General de Pesas y Medidas";
Que de acuerdo con los numerales 6 y 7 del artículo 36 de la Ley 938 de 2004, el Instituto Nacional de Medicina Legal y Ciencias Forenses, en desarrollo de su misión, debe servir de organismo de verificación y control de las pruebas periciales y exámenes forenses practicados por los cuerpos de policía judicial del Estado y otros organismos, a solicitud de autoridad competente y servir como centro científico de referencia nacional en asuntos relacionados con medicina legal y ciencias forenses, respectivamente;
Que mediante la Resolución 1844 del 2015 del Instituto Nacional de Medicina Legal y Ciencias Forenses, se adoptó la segunda versión de la "Guía para la Medición Indirecta de Alcoholemia a través de aire espirado", y con ella se determinó que para comprobar el estado de embriaguez se debe realizar un ensayo de medición de etanol en aire espirado, utilizando un analizador de alcohol en el aire espirado denominado alcohosensor, que mide la cantidad de etanol presente en un determinado volumen de aire espirado, para luego estimar la cantidad de etanol en sangre a partir de esta medida;
Que por medio de comunicación radicada en esta Entidad con el número 17-060813 del 10 de marzo de 2017, la Directora de Seguridad Vial y Comportamiento de Tránsito de la Secretaría de Movilidad de Bogotá, D. C. -SDMB, solicitó avanzar en la adecuación de un marco regulatorio para los alcohosensores evidenciales "teniendo en cuenta que es un tema altamente sensible como se desprende de lo señalado en el Plan Nacional de Seguridad Vial 2011-2021 (PNSV 2011-2021), que contempla dentro de sus objetivos generales y específicos "Reducir el número de víctimas fatales por accidentes de tránsito imputables a la conducción bajo el influjo del alcohol y el uso de sustancias psicoactivas a 0% para el año 2021";
Que la SDMB señaló también con su comunicación, que dentro de los pilares estratégicos y los programas en el eje Comportamiento Humano del PNSV se destaca la realización de: "medidas y acciones de control efectivas en donde se insta desde el nivel nacional al control periódico de comportamientos como conducción bajo el efecto de sustancias psicoactivas y bebidas alcohólicas. Estos controles están en cabeza de las autoridades de tránsito y la Dirección de Tránsito y Transporte de la Policía Nacional, quienes como herramienta práctica hacen controles periódicos en las vías urbanas y en carretera, con alcohosensores evidenciales. No obstante desde el lanzamiento del PNSV en el año 2011 a la fecha, la Dirección de Tránsito y Transporte de la Policía Nacional reporta que a nivel nacional se han presentado nueve mil quinientas veintisiete (9.527) colisiones viales asociadas a beber y conducir, las cuales han dejado un total de dos mil ciento setenta y seis (2.176) personas fallecidas y doce mil cuatrocientos noventa y ocho (12.498) lesionadas (Fuente: SIEVI/SEDCO PLUS)";
Que en virtud de lo previsto en los numerales 8 y 9 del artículo 59 de la Ley 1480 de 2011, se faculta a la Superintendencia de Industria y Comercio para ordenar la suspensión inmediata y de manera preventiva de la producción o comercialización de productos cuando se tenga indicios graves de que dicho producto no cumple, entre otros, con el reglamento técnico correspondiente, o para evitar que se cause daño o perjuicio a los consumidores por violación a las normas sobre protección al consumidor;
Que a efectos de desarrollar lo dispuesto en los artículos 2.2.1.7.14.1 y siguientes del Decreto 1074 de 2015, como también lo previsto en la Resolución SIC 64190 de 2015, y con el objetivo de fortalecer el ejercicio de las funciones a cargo de las Direcciones Territoriales de Tránsito, de la Policía Nacional y del Instituto Nacional de Medicina Legal y Ciencias Forenses relacionadas con la verificación y control de las pruebas periciales y exámenes forenses practicados para determinar el estado de embriaguez de una persona al momento de conducir vehículos automotores, como también las que se practican en el ámbito laboral y contractual, se hace necesario determinar los requisitos metrológicos, técnicos y administrativos que deben cumplir los alcoholímetros, etilómetros o alcohosensores evidenciales producidos en Colombia o importados al país, para efectos de ser declarada su conformidad, y también para ser utilizados con fines periciales, judiciales o administrativos y con ellos contribuir a la reducción de la accidentalidad vial, por lo cual es necesario adoptar las disposiciones establecidas en la presente resolución;
Que el presente proyecto fue publicado en la página web de la Superintendencia de Industria y Comercio entre el 1 de julio y 29 de agosto de 2016, siendo objeto de observaciones;
Que de conformidad con lo establecido en el artículo 2.2.1.7.5.6 ibídem, esta Superintendencia solicitó a la Dirección de Regulación del Ministerio de Comercio, Industria y Turismo, Oficio número 16-442675-0, concepto previo a la notificación internacional ante la Organización Mundial del Comercio (OMC), acerca del cumplimiento de la presente reglamentación con los lineamientos del Subsistema Nacional de la Calidad;
Que mediante comunicación Radicada número 17-442675-3, la Dirección de Regulación del citado Ministerio analizó la presente norma y conceptuó de manera favorable en el sentido de señalar que el proyecto ".no restringirá el comercio más de lo necesario para alcanzar los objetivos legítimos.";
Que mediante signatura G/TBT/N/COL/226 del 25 de 2017, el Ministerio de Comercio, Industria y Turismo trasladó la notificación internacional de esta resolución ante los países miembros de la OMC, de la CAN, y a nuestros socios comerciales, y, transcurridos noventa (90) días calendario del periodo de notificación internacional, informó a esta Superintendencia que tales países no presentaron observaciones ni comentarios al presente reglamento técnico;
Que mediante memorando con Radicación número 16-442675-5-0 del 7 de diciembre de 2017, el Superintendente Delegado para la Protección de la Competencia de la Superintendencia de Industria y Comercio rindió concepto previo de abogacía de la competencia, concluyendo que esa Delegatura "no tiene comentarios frente al Proyecto desde la perspectiva de la libre competencia",
RESUELVE
ARTÍCULO 1o. Adicionar el Capítulo Noveno en el Título VI METROLOGÍA LEGAL de la Circular Única de la Superintendencia de Industria y Comercio, el cual quedará así:
CAPÍTULO NOVENO. REGLAMENTO TÉCNICO METROLÓGICO APLICABLE A ALCOHOLÍMETROS, ETILÓMETROS O ALCOHOSENSORES EVIDENCIALES
9.1. Objeto El presente reglamento técnico metrológico es aplicable a los alcoholímetros, etilómetros o alcohosensores evidencíales que son utilizados en todas aquellas actividades de naturaleza pericial, judicial o administrativa, destinados a determinar la concentración de alcohol en sangre a través de la medición de alcohol en aire espirado. Esta norma se adopta con el fin de asegurar la calidad de las mediciones que proveen este tipo de instrumentos, y con ello brindar confianza a la ciudadanía frente a las mediciones que sirven de fundamento para tomar decisiones de tipo administrativo y judicial.
Para cumplir este objetivo, el presente reglamento fija requisitos técnicos, metrológicos y administrativos que deben cumplir los alcoholímetros, etilómetros o alcohosensores evidencíales, establece el procedimiento de evaluación de la conformidad, define las obligaciones para productores e importadores y dicta disposiciones frente a la verificación metrológica de estos instrumentos cuando se encuentran en servicio en actividades judiciales, periciales o administrativas.
9.2. Ámbito de aplicación Los requisitos técnicos, metrológicos y administrativos de este reglamento técnico son aplicables a los alcoholímetros, etilómetros o alcohosensores evidencíales que son utilizados en todas aquellas actividades de naturaleza pericial, judicial o administrativa, para determinar la concentración de alcohol en sangre a través de la medición de alcohol en aire espirado de una persona, y cuya sub partida arancelaria se define a continuación:
| ítem No. | Partida No. | Descripción Arancelaria | Productos |
| 1 | 9027.80.90.00 | Instrumentos de medida, control o precisión; Instrumentos y aparatos para análisis físicos o químicos. | Alcoholímetro, etilómetros o alcohosensores evidencíales. |
| 2 | 9027.10.90.00 | Instrumentos de medida, control o precisión; Instrumentos y aparatos para análisis físicos o químicos. Analizadores de gases o de humos. | Alcoholímetro, etilómetros o alcohosensores evidencíales. |
PARÁGRAFO 1. El presente reglamento técnico no aplica para productos que a pesar de encontrarse incluidos en la sub partida arancelaria descrita atrás, no son alcoholímetros, etilómetros o alcohosensores evidencíales. No obstante, si un alcoholímetro, etilómetro o alcohosensor evidencial ingresa al país bajo una sub partida arancelaria distinta de aquella descrita en este numeral, está sujeto al cumplimiento de las disposiciones contempladas en este reglamento.
PARÁGRAFO 2. Se exceptúan de la aplicación del presente reglamento técnico a alcohosensores o etilómetros que suministren un resultado preliminar, o que indiquen un resultado cualitativo, verbigracia “pasa” o “no pasa”, o a aquellos que no suministren resultados suficientemente exactos para determinar la concentración de alcohol en sangre a través del alcohol en aliento como los denominados alcohosensores o etilómetros para “screening”.
Para estos efectos, los etílómetros no evidencíales, cuyos resultados no podrán ser utilizados con fines periciales, judiciales ni administrativos por no encontrarse sujetos a control metrológico, deberán ser rotulados con una etiqueta indeleble adherida en una parte visible del instrumento que cubra al menos el 30% del área del mismo, en idioma castellano, cuyas características son las siguientes:
Este instrumento de medición no podrá ser utilizado con
fines periciales, judiciales ni para imponer sanciones
administrativas.
Los efectos fisiológicos asociados con el alcohol, tampoco están dentro del alcance de este reglamento técnico.
PARÁGRAFO 3. Excepción de demostración de conformidad. Sin perjuicio de lo dispuesto en este numeral, podrán ingresar al mercado nacional una cantidad determinada de etílómetros evidencíales de producción extranjera sin demostrar conformidad, cuando vayan a ser objeto de certificación por parte de un Organismo de Evaluación de la Conformidad -OEC-, siempre que se haya celebrado un contrato en el productor / importador y el OEC respectivo para este propósito.
En aplicación de esta excepción, el productor/importador deberá declarar bajo la gravedad de juramento, que ninguno de los instrumentos ingresados al país será utilizado en actividades sujetas a control metrológico, o puesto en circulación, hasta que obtenga los certificados de conformidad correspondientes.
9.3. Definiciones. Para efectos de la aplicación e interpretación del presente reglamento técnico metrológico, se deberán tener en cuenta las definiciones incluidas en el artículo 2.2.1.7.2.1 del Decreto 1074 de 2015, y aquellas incluidas en el numeral 3.3 de la Resolución SIC 64190 de 2015 que le sean aplicables.
También se deben considerar las definiciones contenidas en el Vocabulario Internacional de Términos en Metrología Legal (VIML) OIML V1:2013, así como las siguientes:
- Alcohol. Para los propósitos de este reglamento la palabra “alcohol” es usada para referirse al alcohol etílico o al etanol.
- Alcoholímetro. Instrumento que mide y muestra la concentración en masa de alcohol en el aliento humano espirado dentro de límites de error específicos.
Siempre que en este reglamento técnico se haga referencia al alcoholímetro, etilómetro, alcohosensor, instrumento de medición o simplemente instrumento, se está haciendo referencia indistintamente al instrumento alcoholímetro evidencial.
- Alcoholímetro estacionario. Alcoholímetro diseñado únicamente para su uso en ubicaciones fijas al interior de edificios o lugares, que proporcionen condiciones ambientales estables.
- Alcoholímetro móvil. Alcoholímetro diseñado para su uso en aplicaciones móviles (por ejemplo, en vehículos).
- Alcoholímetro portátil. Alcoholímetro diseñado para su uso dentro o fuera de edificios y en aplicaciones móviles (por ejemplo, dispositivos manuales, generalmente alimentados con una batería autónoma).
- Aire alveolar. Aire contenido en los alvéolos pulmonares, donde el intercambio gaseoso entre sangre y los gases contenidos dentro de los alveolos tiene lugar.
- Aliento aspiratorio final. Aire considerado lo suficientemente representativo del aire alveolar (en oposición al volumen anatómico muerto).
- Volumen anatómico muerto. Área de conducción de flujo de gas conocida como el área de conducción sin intercambio significativo de un volumen definido. Este volumen varía según el individuo.
- Material de referencia. Material suficientemente homogéneo y estable con respecto a propiedades especificadas, establecido como apto para su uso previsto en una medición o en un examen de propiedades cualitativas. Generalmente se usa en la verificación y en la calibración de un instrumento, la evaluación de un método de medición o para la asignación de valores a los materiales
- Material de referencia certificado (MRC). material de referencia acompañado por la documentación emitida (certificado) por un organismo autorizado, que proporciona uno o varios valores de propiedades especificadas, con incertidumbres y trazabilidades asociadas, empleando procedimientos validados.
- Modo de medición. Modo claramente definido en el que el alcoholímetro puede hacer mediciones a la tasa que normalmente se esperaría durante la operación y en el cual debe cumplir con los requisitos de desempeño de este reglamento técnico.
- Modo de mantenimiento: Modo en el cual el alcoholímetro se puede ajustar y está sujeto a control metrológico.
- Modo de espera: Modo del alcoholímetros en el que únicamente ciertos circuitos están activados con el fin de conservar energía y/o prolongar la vida del componente, y de lograr el modo de medición más rápidamente de lo que sería posible si se inicia desde el estado sin energía.
- Dispositivo de ajuste: Dispositivo para ajustar el alcoholímetro cuando está en modo de mantenimiento.
- Error de medición: Valor de la magnitud medida menos el valor de cantidad de referencia.
- Equipo bajo prueba (EBP): Muestra(s) del modelo de alcoholímetro evidencial que es entregado por el productor/importador al Organismo Evaluador de la Conformidad -OEC, con el fin de ser sometido a las pruebas y ensayos establecidos en este reglamento técnico.
- Perturbación: Magnitud de influencia que tiene un valor dentro de los límites especificados en este reglamento, pero por fuera de las condiciones de operación especificadas para el instrumento de medición.
Nota: Una magnitud de influencia es una perturbación si las condiciones de operación establecidas para esa magnitud no están especificadas.
- Dispositivo de verificación automática: Dispositivo o proceso interno que verifica si el alcoholímetro está ajustado adecuadamente. Dicho dispositivo puede incluir elementos internos de verificación (por ejemplo, de estabilidad de la señal o estabilidad de la temperatura) o elementos externos adicionales que se conectan al instrumento, tales como filtros ópticos o eléctricos o un cilindro con un gas de prueba con concentración conocida.
- Deriva: Cambio en las indicaciones dei instrumento para la misma concentración de alcohol que ocurre durante un periodo de tiempo determinado, a una concentración de masa de alcohol en el aire específica.
- Efecto residual de la memoria: Diferencia entre los resultados de la medición para la misma concentración de alcohol cuando las muestras entregadas se intercalan con una muestra que contiene una concentración de alcohol más alta específica.
- Fallo significativo: Diferencia entre el error (en la indicación) y el error intrínseco que sea mayor que el valor especificado en esta norma. Los fallos significativos solo son relevantes para los sistemas de medición electrónicos.
- Estabilización del alcohol: La estabilización comienza cuando la concentración de alcohol (representativa del aire alveolar) alcanza el 99% del valor de referencia del gas utilizado para la prueba y permanece estable.
- Error intrínseco: Error de un instrumento de medición, determinado bajo las condiciones de referencia.
9.4. Requisitos técnicos y metrológicos
9.4.1. Unidad de medida. Las unidades de medida que debe utilizar el alcoholímetro evidencial deben ser aquellas que están contempladas en el Sistema Internacional de Unidades (SI).
El alcoholímetro debe ser capaz de expresar la medición de alcohol en aire espirado en unidades equivalentes de contenido de alcohol en masa por unidad de volumen de sangre.
En concordancia con lo establecido en el artículo 5o de la Ley 1696 de 2013, el alcoholímetro debe permitir el ajuste de la unidad de medida en miligramos de alcohol por decilitro de sangre, equivalente igual a miligramos de etanol por cien mililitros de sangre (mg etanol/100 mL de sangre), en adelante denominada concentración de alcohol en sangre equivalente.
Esta función únicamente debe estar habilitada en el modo de mantenimiento o ajuste del alcoholímetro.
Para transformar las unidades de masa de alcohol por volumen de aire espirado en unidades de masa de alcohol por volumen de sangre, se debe aplicar la siguiente fórmula:

![]()
El marcador decimal en la pantalla o en el impreso, será una coma sobre el renglón o un punto sobre el renglón.
PARÁGRAFO. Para efectos de la demostración de la conformidad de este tipo de instrumentos de medición producidos o importados al país, se podrán realizar las pruebas y los ensayos establecidos en este reglamento técnico, o en sus normas equivalentes, utilizando como unidad de medida la prevista en el numeral 4 de la norma técnica internacional OIML R-126.
9.4.2. Requisitos metrológicos
9.4.2.1. Intervalo de medición. El alcoholímetro debe tener la capacidad de medir, como mínimo, todas las concentraciones de masa en el intervalo de 0 mg/100 ml_ hasta 200 mg/100 mL de alcohol en sangre equivalente o total.
En el modo de operación para medición, se permite que el alcoholímetro indique los resultados de medición en un valor de 0 mg/100 mL en sangre equivalente para concentraciones menores o iguales a 10 mg de etanol /100 mL de sangre. Sin embargo, el alcoholímetro debe permitir que se cancele esta función de ocultamiento en el modo de operación en mantenimiento.
Sin perjuicio de lo anterior, el productor/importador puede definir un límite superior mayor al intervalo de medición mínimo requerido.
El alcohosensor debe indicar cuando se haya excedido su límite superior de medición.
9.4.2.2. Errores máximos permitidos (EMP). Los siguientes EMP aplicarán dentro de las condiciones nominales de operación.
9.4.2.2.1. EMP para alcoholímetros en fase de evaluación de la conformidad (examen de tipo y/o aprobación de modelo y verificación inicial) y de después de reparación. El error máximo permitido, positivo o negativo, es 0,020 mg/L o 5% del valor de referencia de la concentración de masa, cualquiera que sea mayor.
Si el límite superior del intervalo de medición es mayor a 2,00 mg/L, el error máximo permitido será:
![]()
9.4.2.2.2. EMP para alcoholímetros en fase de instrumentos en servicio (para la verificación periódica y de después de reparación). El error máximo permitido, positivo o negativo, es 0,030 mg/L o 7,5% del valor de referencia de la concentración de masa, cualquiera que sea mayor.
Si el límite superior del intervalo de medición es mayor a 2,00 mg/L, el error máximo permitido será:
![]()
9.4.2.3. División de escala. La división de escala del alcoholímetro debe ser al menos 0,01 mg/L en el modo de medición. Sin embargo, en el modo de mantenimiento, debe ser posible mostrar un intervalo de escala igual a 0,001 mg/L. Este intervalo de escala es utilizado para la prueba metrológica.
Un valor de medición de tres decimales debe ser redondeado hacia abajo a dos decimales. Es decir, un valor de medición de 0,427 mg/L se redondea hacia abajo a 0,42 mg/L.
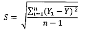
9.4.2.4. Repetibilidad. La repetibilidad del instrumento se expresa como la desviación estándar experimental de un número determinado de resultados de medición.
La desviación estándar experimental se da según la siguiente fórmula:

Donde:
n = el número de mediciones realizadas a cualquier concentración de masa específica,
Yi = la medición x (de n) para la concentración de masa específica,
= La media aritmética de los valores de n.
La desviación estándar experimental para todas las concentraciones de masa será menor o igual a un tercio del error máximo permitido.
El alcoholímetro debe cumplir con los requisitos de este reglamento para la totalidad del Intervalo de medición especificado.
El productor podrá definir un intervalo de medición más amplio.
El alcoholímetro debe indicar un error cuando se exceda su límite superior de medición.
9.4.2.5. Deriva
9.4.2.5.1. Deriva cero. La deriva medida bajo condiciones de referencia (numeral 9.9.4.1. Condiciones de referencia para la realización de pruebas y ensayos) a 0,00 mg/L será menor que 0,010 mg/L en 4 horas. Deriva a 0,40 mg/L
9.4.2.5.1.1. Deriva a corto plazo. La deriva medida bajo condiciones de referencia (numeral 9.9.4.1. Condiciones de referencia para la realización de pruebas y ensayos) a 0,40 mg/L será menor que 0,010 mg/L en 4 horas.
9.4.2.5.1.2. Deriva a largo plazo. La deriva medida bajo condiciones de referencia (numeral 9.9.4.1. Condiciones de referencia para la realización de pruebas y ensayos) a 0,40 mg/L será menor que 0,020 mg/L en dos meses.
9.4.2.6. Efectos de memoria
9.4.2.6.1. Efectos de memoria con grandes diferencias en la concentración de la masa. El efecto de memoria será menor que 0,010 mg/L cuando la prueba se realice de conformidad con lo señalado en el literal c) del numeral 9.9.4.4.1.
9.4.2.6.2. Efecto de memoria con pequeñas diferencias en la concentración de masa. El efecto de memoria será menor que 0,010 mg/L cuando la prueba se realice de conformidad con lo establecido en el literal c) del numeral 9.9.4.4.1.
9.4.2.7. Múltiples dispositivos indicadores. Si el alcoholímetro está provisto de varios dispositivos indicadores, todos deben mostrar el mismo resultado.
9.4.2.8. Requisitos mínimos para condiciones nominales de operación
9.4.2.8.1. Factores de influencia física. Los alcoholímetros deben estar diseñados y fabricados de tal manera que sus errores no superen los EMP indicados en el numeral 9.4.2.2 bajo las siguientes condiciones nominales de operación:


Estas disposiciones aplican por separado a cada factor de influencia y a cada determinación de error.
9.4.2.8.2. Condiciones de espiración. El alcoholímetro debe proporcionar un mensaje de error si las condiciones de exhalación (ejemplo continuidad y flujo) indicadas por el productor para garantizar la medición no se cumple; verbigracia continuidad y flujo del aire exhalado
Estas condiciones, especificadas por el productor, deben cumplir con los siguientes valores:
| • Volumen espirado: | Igual o mayor a 1,2 L; |
| • Contrapresión: | No excede 25 hPa (a un caudal de 12 L/min); |
| • Caudal: | Igual o mayor a 6 L/min; |
| • Tiempo de espiración: | Igual o mayor a 5 s. |
9.4.2.9. Fallo significativo. Es el Fallo mayor a la magnitud del EMP definido en el numeral 9.4.2.2.1.
9.4.2.10. Perturbaciones y otras cantidades de influencia
9.4.2.10.1. Perturbaciones. Los alcoholímetros deben ser diseñados y fabricados de tal manera que cuando se expongan a las perturbaciones indicadas a continuación, (a) no ocurran fallos significativos o (b) se detecten dichos fallos y se actúe conforme a ello por medio de un dispositivo de verificación, así:
9.4.2.10.1.1. En presencia de cualquiera de las siguientes perturbaciones

9.4.2.10.1.2.Después de haber experimentado cualquiera de las siguientes perturbaciones


9.4.2.10.1.3. Aplicación. El alcoholímetro debe operar conforme a lo establecido en los literales a y b del numeral 9.4.2.10.1 a elección del productor, por separado frente a cada causa individual de perturbación y lo frente a cada parte del instrumento de medición.
9.4.2.10.2. Cantidades fisiológicas de influencia. Los alcoholímetros evidencíales deben ser diseñados y fabricados de manera que cuando se expongan a las cantidades fisiológicas de influencia indicadas a continuación, la variación en la indicación no supere 0,1 mg/L.
| Sustancia de Interferencia | Valor nominal para masa de vapor Concentración mg/L (± 5 %) |
| Acetona | 0,5 |
| Metanol | 0,1 |
| Isopropanol | 0,1 |
| Monóxido de carbono | 0,2 |
9.4.2.11. Durabilidad El alcoholímetro deberá cumplir de manera permanente, durante la vida útil del instrumento, con las disposiciones contenidas en los numerales 9.4.2.2, 9.4.2.4, 9.4.2.5, 9.4.2.6, 9.4.2.8 y 9.4.2.10.
El alcoholímetro debe ser diseñado para mantener la estabilidad de sus características metrológicas durante un periodo de tiempo (a ser especificado por el productor) el cual será al menos tan largo como la vigencia de la verificación periódica.
9.4.2.12. Presunción de cumplimiento Será conforme con este reglamento técnico el tipo o modelo de alcoholímetro evidencial que cumpla con los requisitos metrológicos definidos en los numerales 9.4.2.1 a 9.4.2.11, y que haya aprobado satisfactoriamente el procedimiento de evaluación de la conformidad conforme a lo dispuesto en este reglamento técnico.
9.5. Requisitos técnicos
9.5.1. Presentación de los resultados de la medición
9.5.1.1. Visualización. La lectura de los resultados en la pantalla del instrumento y en el soporte impreso debe ser confiable, fácil e inequívoca bajo condiciones normales de uso.
El resultado de la medición se mostrará digitalmente mediante cifras alineadas.
En el modo de medición, lo mínimo que la pantalla del alcoholímetro debe mostrar es dos cifras decimales. Por ejemplo, un valor medido de 0,427 mg/L será mostrado como 0,42 mg/L en modo de medición, es decir, redondeado hacia abajo.
En modo de mantenimiento debe ser posible mostrar al menos tres cifras decimales (por ejemplo, un valor medido de 0,427 mg/L será mostrado como 0,427 mg/L en el modo de mantenimiento).
La altura de las cifras en la pantalla debe ser igual a, al menos
- 5 mm para pantallas iluminadas, y
- 10 mm en todos los demás casos.
El nombre de la unidad de medida o su símbolo deben aparecer cerca de la indicación de la medición. El carácter utilizado debe tener una altura de al menos 3 mm.
Si los caracteres no están iluminados, la pantalla debe tener un dispositivo de iluminación.
Cuando el resultado de una medición es cero, no debe ser posible confundir dicho resultado con la indicación de cero antes de una medición.
9.5.1.2. Disponibilidad de los resultados de medición. Debe ser posible que el alcoholímetro conserve los resultados en una forma legible o accesible durante al menos 5 minutos. Si se pueden realizar otras mediciones durante este periodo, el resultado anterior debe ser accesible sin ambigüedades.
Si este requisito solo se puede cumplir mediante la impresión de los resultados, el instrumento debe ser diseñado y fabricado de tal forma que la ausencia de papel en la impresora debe impedir que se realicen mediciones adicionales.
9.5.2. Protección contra fraude El alcoholímetro debe ser diseñado y construido de tal manera que al ser utilizado de manera normal, no posea características que puedan facilitar su uso fraudulento, bien sea de manera accidental o deliberada, y debe garantizar que las posibilidades de mal uso intencional sean mínimas. El requisito general esencial de evitar el uso fraudulento del instrumento se debe cumplir de manera tal que se protejan los intereses de todas las partes involucradas en la operación.
Específicamente, se deben tener en cuenta los siguientes aspectos:
- Excepto en el modo de mantenimiento (con acceso restringido), no debe ser posible realizar ajustes sin romper los sellos o precintos;
- La posibilidad de cambiar el software debe cumplir con el requisito previsto en el numeral 9.5.4;
- El riesgo de la influencia (deliberada) con teléfonos digitales o imanes estáticos debe minimizarse, (para perturbaciones por campos electromagnéticos radiados de radiofrecuencia, ver también el numeral 9.4.2.10.1.1);
- La transmisión de datos debe cumplir con el requisito señalado en el numeral 9.5.5;
- El acceso al modo de mantenimiento debe ser restringido.
9.5.3. Dispositivo de verificación de operación. Al encenderse, el alcoholímetro debe verificar su correcto funcionamiento de manera automática. Cuando se detecte cualquier defecto o señal de error en su operación, el instrumento debe generar un mensaje de error y no debe permitir mediciones adicionales.
El alcoholímetro debe verificar su correcta operación de manera automática tanto antes de cada medición como después de cualquier medición que de un resultado mayor que un valor predeterminado de concentración de masa (este valor puede ser cero).
9.5.3.1. Tiempo de calentamiento. Bajo condiciones de referencia (ver numeral 9.9.4.1), el alcoholímetro debe tener la capacidad de alcanzar e, modo de medición después de un periodo de calentamiento especificado por el productor, sin que sea mayor a 15 minutos después de encenderse, o en menos de 5 minutos después de pasar de modo en espera a modo de medición.
9.5.3.2. Disponibilidad para la toma de la medición. Después de efectuado un proceso de verificación de operaciones del alcoholímetro, como el que se realiza antes de ser utilizado en actividades sujetas a control metrológico por parte del operador del instrumento, (incluyendo la verificación automática del ajuste) utilizando el dispositivo de verificación automática incorporado desde el momento en el que el alcoholímetro indique que está listo para recibir la exhalación, el alcoholímetro debe estar disponible durante al menos un minuto.
El alcoholímetro debe indicar su disposición para iniciar una medición y o debe realizar mediciones hasta que esté listo para hacerlo. Cuando, después de un periodo de tiempo específico, el instrumento ya no esté listo para realizar mediciones, debe indicar su estado.
9.5.3.3. Continuidad en la espiración. El alcoholímetro debe monitorear la continuidad de la espiración en las condiciones nominales de operación del instrumento, y debe indicar si el flujo de aire espirado se interrumpe entre el comienzo y el final de la toma de la muestra. Mediante una señal el alcoholímetro debe indicar la continuidad de la espiración o exhalación. La espiración se considerará interrumpida si el flujo se encuentra por debajo deí establecido en el numeral 9.4.2.8.2.
9.5.3.4. Dispositivo de detección de alcohol en el tracto respiratorio superior. El alcoholímetro puede estar equipado con una función para detectar automáticamente si el resultado de una medición es afectado por la presencia de alcohol en el tracto respiratorio superior.
9.5.4. Software. La totalidad del software del alcoholímetro evidencial está sujeto a control metrológico.
9.5.4.1. Identificación del software(2). El software del alcoholímetro debe estar claramente identificado, por lo menos mediante una comprobación de sus características. La identificación debe estar inexorablemente relacionada con el software mismo y se debe calcular, presentar o imprimir a solicitud o mostrarse durante la operación o durante el encendido.
El algoritmo de suma de comprobación será un algoritmo normalizado. Los algoritmos CRC16, MD5, SHA-1 y SHA-2 son soluciones aceptables para este cálculo.
El certificado de examen de tipo o la aprobación de modelo debe indicar claramente ia identificación de software y los medios de identificación.
9.5.4.2. Protección de software contra el fraude. El software debe estar asegurado contra modificación, carga o cambios no autorizados de programación mediante el intercambio del dispositivo de memoria. Además del precinto mecánico, pueden ser necesarios otros medios mecánicos para asegurar los instrumentos de medición que tienen un sistema operativo o la opción de cargar software.
La protección de software incluye el seliamiento por medios mecánicos, electrónicos y/o criptográficos, haciendo que cualquier intervención no autorizada sea imposible o evidente.
El instrumento sólo puede permitir activar las funciones claramente documentadas a través de la interfaz del usuario, lo cual debe ocurrir de tal manera que no facilite su uso fraudulento.
Para efectos del examen de tipo o de la aprobación de modelo, el productor del instrumento de medición debe declarar y documentar todas las funciones del programa que pueden activarse a través de la interfaz del usuario. No deben existir funciones escondidas. El productor debe declarar exhaustivamente en la documentación que prepara para este efecto, la totalidad de estas funciones de programación de software del instrumento.
Los parámetros que fijan las características metrológicas de un alcoholímetro deben estar protegidos contra modificaciones no autorizada. Para los efectos de la verificación periódica, el alcoholímetro debe permitir mostrar o imprimir la configuración de los parámetros que posee en ese momento.
9.5.5. Registro de los resultados de la medición en el tiempo
9.5.5.1. Dispositivo de impresión. Si el alcoholímetro está equipado con un dispositivo de impresión, este deberá cumplir con los siguientes requisitos:
La información impresa debe incluir, al menos:
- Número serial del alcoholímetro con el que se tomó la muestra;
- Los resultados de la medición y sus unidades;
- Las cifras de ios resultados de la medición al utilizar papel pre impreso; y,
- La hora y fecha de la medición.
Cuando el símbolo de la unidad de medida esté pre impreso, se utilizará un papel específico para el dispositivo de impresión según especificaciones del productor.
La altura mínima de las cifras del dispositivo de impresión es de 2 mm.
La división de escala impresa debe ser al menos 0,01 mg/L en el modo de medición, y debe ser posible imprimir a un intervalo de escala igual a 0,001 mg/L en el modo de mantenimiento.
El alcoholímetro debe ser diseñado y producido de tal manera que los resultados de la medición impresos no deben ser diferentes a los resultados de la medición suministrados por el dispositivo indicador.
El dispositivo de impresión debe contar con dispositivos de verificación y cumplir con los requisitos definidos en el numeral 9.4.2.10, y en caso de fallo de este dispositivo, el instrumento debe dar una advertencia o en su defecto no permitir la impresión de los resultados de la medición.
En particular, la verificación de un dispositivo de impresión busca garantizar que los datos recibidos por el dispositivo de impresión correspondan con los mostrados por el dispositivo indicador del instrumento. Se debe verificar, al menos, lo siguiente:
- La presencia de papel y tinta (si aplica); y
- Los circuitos electrónicos de control (excepto por los circuitos principales del mecanismo de impresión).
9.5.5.2. Almacenamiento de datos. El alcoholímetro deberá almacenar datos de medición para su uso posterior. En dicho caso, aplicarán los requisitos definidos a continuación:
Los resultados de las mediciones deben estar acompañados de toda la información que sea relevante y necesaria para su posterior utilización con fines judiciales y administrativos.
Los datos (resultados de las mediciones) deben protegerse por medio de funciones de software que garanticen la autenticidad, integridad y exhaustividad de la información recolectada al momento de la medición.
El software debe verificar la hora de la medición, la autenticidad y la integridad de los datos. Si se detecta alguna irregularidad, la información debe descartarse o marcarse como no útil.
Las funciones de acceso o claves de ingreso a los resultados de medición almacenados en el alcoholímetro, deben mantenerse secretas y aseguradas en todo momento para garantizar la confidencialidad de la información. Para ello, el alcohosensor debe poseer medios que identifiquen y hagan evidente cualquier acceso no autorizado mediante el rompimiento de un sello o precinto, electrónico o no.
9.5.5.3. Almacenamiento automático de datos. El alcoholímetro debe almacenar de forma automática los datos de las mediciones una vez se complete el ensayo. Cuando los resultados finales provengan de un cálculo, toda la información que sea necesaria para el cálculo debe almacenarse automáticamente con el resultado final.
El dispositivo de almacenamiento debe garantizar que (i) los datos no se estropeen bajo condiciones normales de almacenamiento y (ii) que tenga suficiente memoria de almacenamiento para cualquier aplicación particular.
Los datos almacenados podrán ser eliminados una vez no se requieran por la autoridad competente.
Si los datos ya no son requeridos y la capacidad de almacenamiento del instrumento está llena, se debe permitir, eliminar datos memorizados cuando se cumplan las siguientes dos condiciones:
-La información se borra en el mismo orden en el que se registró, respetando las reglas establecidas para la aplicación particular;
-La eliminación se lleva a cabo automáticamente o después de una operación manual especial que puede requerir derechos de acceso específicos.
9.6. Etiquetado del alcoholímetro. El alcoholímetro evidencia! debe estar marcado con una etiqueta o placa ubicada en una parte visible del instrumento, que sea resistente a la manipulación, confeccionada con un material resistente a los agentes externos, tanto atmosféricos, como abrasivos y a los impactos; y que contenga como mínimo la siguiente información:
a) marca comercial/ razón social del productor y/o importador;
b) año de fabricación;
c) Identificación del tipo o número de modelo;
d) Número serial def instrumento;
e) intervalo de medición;
f) detalles de la energía eléctrica; y,
- en caso de conexión a la red eléctrica: el voltaje nominal, frecuencia y energía requerida;
- en caso de alimentación mediante una batería de vehículos terrestres: el voltaje nominal de la batería y la energía requerida; y
- en caso de una batería interna removible: el tipo y voltaje nominal de la batería.
g) Rango de temperatura ambiente.
La identificación det software debe aparecer a solicitud en el dispositivo indicador. Si el tamaño del instrumento no es suficiente, la información indicada en los literales (f) y (g) podrá ser ubicada en el manual de instrucciones.
9.7. Instrucciones de uso
9.7.1. Manual de usuario. El comercializador, importador y/o productor del instrumento debe proporcionar un manual de instrucciones por cada alcoholímetro individualmente considerado.
El manual de usuario debe contener las instrucciones para el uso del instrumento en idioma español, debe ser de fácil comprensión y como mínimo debe desarrollar los siguientes temas:
a) Instrucciones de uso;
b) Temperaturas de almacenamiento máximas y mínimas;
c) Condiciones de operación establecidas por el productor;
d) Tiempo de calentamiento después del encendido del alcoholímetro;
e) Todas las otras condiciones mecánicas, electromagnéticas y ambientales relevantes;
f) Clases de ambientes mecánicos y electromecánicos;
g) Condiciones de seguridad; e,
h) Identificación del software e instrucciones sobre su utilización.
9.7.2. Instrucciones adicionales. El alcoholímetro debe ser diseñado y producido para ser utilizado bajo condiciones higiénicas satisfactorias. En tal sentido, debe estar equipado para utilizar una boquilla desechable para cada medición y las boquillas deben estar empaquetadas individualmente.
El sistema de muestreo del alcoholímetro, incluyendo la boquilla, debe estar diseñado de tal manera que la persona que es sujeto de la medición no pueda inhalar aire contaminado de mediciones previas y que se evite la entrada de gotas al alcoholímetro.
Sin perjuicio de que el alcoholímetro posea una función automática que detecta si el resultado de una medición fue afectado por la presencia de alcohol en el tracto respiratorio superior o no, los productores deben estipular en sus procedimientos operativos, cuando así se requiera por el tipo de tecnología que incorpore el alcoholímetro, que el sujeto sometido a la toma de la muestra no debe introducir nada en su boca durante al menos 15 minutos antes de la recolección de la muestra de aire espirado.
9.8. Precintos electrónicos. El productor y/o importador del alcoholímetro debe suministrar, en cada instrumento, dispositivos de sellamiento efectivos para todas las partes del alcoholímetro que no estén protegidas materialmente de otra manera en contra de operaciones que puedan afectar su precisión o integridad.
Esto aplica en particular a:
a) Medios de ajuste del alcoholímetro;
b) El remplazo de partes específicas si se espera que dicho remplazo cambie las características metrológicas; y,
c) la integridad del software.
Si el alcoholímetro cuenta con filtros de aire, el productor debe diseñar el dispositivo de manera tal que sea posible cambiar los filtros sin romper un sello de seguridad.
Cuando no haya filtros de aire instalados, el alcoholímetro debe mostrar un mensaje de error y la medición no debe ser posible.
Todos los demás tipos o filtros deben estar en una parte sellada del alcoholímetro.
9.9. Pruebas y ensayos
9.9.1. Examen de tipo y/o aprobación de modelo. El examen de tipo y/o aprobación de modelo se llevará a cabo en al menos una unidad que represente el tipo o modelo definitivo del productor. La evaluación consistirá de la inspección y la realización de las pruebas indicadas en los numerales 9.9.3 y 9.9.4.
El solicitante debe suministrar una o varias muestras de producción del instrumento para el examen de tipo o modelo.
Con el fin de acelerar el procedimiento de pruebas, el laboratorio de pruebas y ensayos podrá llevar a cabo diferentes pruebas simultáneamente en dos unidades representativas del mismo tipo o modelo. En este caso, el laboratorio debe garantizar que todos los instrumentos presentados cumplan con el tipo o modelo evaluado.
Todas las pruebas de precisión e influencia se deben realizar en la misma unidad. Sin embargo las pruebas de perturbación se podrán realizar en uno o más instrumentos adicionales. Este instrumento adicional debe ser presentado con anterioridad a las pruebas.
Si una determinada unidad cuyo modelo o tipo está siendo evaluada no aprueba un ensayo específico, y como resultado de esto tiene que modificarse o repararse, el solicitante tiene que realizar esta modificación a todos los instrumentos enviados para ser probados. Si el laboratorio tiene motivos razonables para concluir que la modificación tiene una influencia negativa sobre las pruebas que ya han tenido un resultado positivo, se deben repetir estas pruebas.
Con el fin de minimizar los errores de medición, puede ser necesario ajustar el alcoholímetro antes de que comiencen las pruebas de examen de tipo o aprobación de modelo. Posteriormente, no se realizará ningún ajuste hasta que se completen las pruebas de aprobación de tipo.
9.9.2. Documentación técnica del alcoholímetro. La documentación que debe presentar el productor/importador ante el organismo de evaluación de la conformidad para el examen de tipo y/o aprobación de modelo debe incluir como mínimo lo siguiente:
a) Una descripción de su principio general de medición,
b) Una lista de las piezas y componentes esenciales, junto con sus características;
c) Planos mecánicos,
d) Diagramas eléctricos/electrónicos,
e) Requisitos de instalación,
f) Esquema de precintos de seguridad,
g) Disposición del panel,
h) Información general sobre el software (en particular cubriendo los requisitos expresados en el numeral 9.5.5),
i) Salidas de prueba, su uso y su relación con los parámetros siendo medidos,
j) Instrucciones de operaciones,
k) Documentos u otra evidencia que apoye la suposición de que el diseño y características del instrumento de medición cumplen con los requisitos de este reglamento técnico
l) La documentación solicitada en OIML D 31:2008, 9.5.1.1 y
m) Una muestra de impresión.
Si el alcoholímetro cuenta con un dispositivo de impresión, el productor debe presentar información sobre la calidad del papel de impresión para cumplir con los requisitos de legibilidad definidos en el numeral 9.5.5.1.
Si el laboratorio de prueba y ensayos lo considera necesario, puede exigir documentación más detallada, ya sea para poder estudiar la calidad del instrumento, o para fijar el tipo aprobado, o ambos.
9.9.3. Inspecciones y pruebas
9.9.3.1. Inspección visual. El instrumento y la documentación serán estudiados y sometidos a una inspección visual para obtener una valoración general de su diseño y construcción. En particular, se examinarán los siguientes aspectos:
a) Unidades de medida y signo decimal (numeral 9.4.1);
b) Intervalos de medición (numeral 9.4.2.1);
c) División de escala (numeral 9.4.2.3);
d) Presentación del resultado (numeral 9.5.1);
e) Dispositivos de ajuste (numeral 9.5.2);
f) Protección contra fraude (numeral 9.5.2);
g) Dispositivos de verificación (numeral 9.5.3);
h) Protección de durabilidad (numeral 9.5.2);
i) Software (numeral 9.5.4);
j) Dispositivo de impresión (numeral 9.5.5.1);
k) Almacenamiento de resultados de medición (numerales 9.5.5.2 y 9.5.5.3);
l) Transmisión de datos (numerales 9.4.2.7 y 9.5.5);
m) Etiquetado (numeral 9.6);
n) Instrucciones de uso (numeral 9.7.);
o) Precintos electrónicos (numeral 9.8); y
p) Aptitud para pruebas (numerales 9.9.1 y 9.9.2).
9.9.3.2. Pruebas y ensayos. Las pruebas y ensayos definidos aquí, constituyen los procedimientos mínimos de prueba para efectos de examinar el tipo o aprobar el modelo del instrumento. En caso de ser necesario, se pueden realizar pruebas adicionales con el fin de clarificar problemas de cumplimiento del alcoholímetro con los requisitos de esta resolución.
Adicionalmente, el/los instrumento(s) que entrega el solicitante para el examen de tipo o para la aprobación de modelo, será(n) sometidos a la realización de las pruebas mencionadas en el numeral 9.9.4 de este reglamento técnico.
9.9.3.3. Procedimiento de validación de software. El procedimiento de validación para las funcionalidades relacionadas con el software del alcoholímetro se establece en la siguiente tabla:
| Requisito | Procedimiento de validación | Inspección Nivel | |
| Identificación de software | 9.5.4.1 | AD + VFTSw | A |
| Protección contra fraude | 9.5.4.2 | AD+VFTM | A |
| Almacenamiento de datos | 9.5.5.2 | AD + VFTSw | A |
| Almacenamiento automático | 9.5.5.3 | AD + VFTSw | A |
Donde:
| AD: | Análisis de la documentación y validación del diseño. (ver Documento OIML D 31:2008; 6.3.2.1) |
| VFTM: | Validación mediante prueba funcional de las funciones de software,(ver Documento OIML D 31:2008; 6.3.2.2) |
| VFTSw: | Validación mediante prueba funcional de las funciones de software, (ver Documento OIML D 31:2008; 6.3.2.3) |
9.9.4. Pruebas de desempeño
9.9.4.1. Condiciones de referencia para la realización de las pruebas y ensayos de desempeño
| Temperatura ambiente | 23 °C ± 5 °C |
| Humedad relativa | 50 % ± 30 % |
| Presión atmosférica | Presión ambiente dentro de las condiciones nominales de operación |
| Fracción total por volumen de hidrocarburos (como metano equivalente) en el ambiente | > 2 mg/L |
Durante cada prueba llevada a cabo en condición de referencia, la temperatura, la humedad relativa y la presión atmosférica no deben cambiaren más de 5 °C, 10% y 20 hPa, respectivamente, dentro del intervalo de referencia. El voltaje de CA y la frecuencia (si aplica) se mantendrán en sus valores nominales.
9.9.4.2. Perfil del aire espirado. El aire espirado por el hombre con contenido de alcohol será considerado según las siguientes características:
- Evolución de la curva de flujo de la exhalación de aliento(3);
- Evolución de la concentración de alcohol durante la exhalación de aliento; y,
- La evolución del aire espirado por un ser humano se caracteriza por una planicie en la curva de concentración de masa en contra del tiempo durante la última parte de la espiración. La concentración de masa de está planicie, representa la concentración de masa en el final de la espiración de aliento.
9.9.4.3. Aparato de entrega de muestras de prueba. El aparato que se utilice para la realización de la pruebas debe tener la capacidad de entregar un valor objetivo para la concentración de masa con una incertidumbre menor o igual que un tercio del error máximo permitido (por ejemplo, expresado con un nivel de confianza de cerca del 95%, calculado con k = 2).
Teniendo en cuenta el ciclo de trabajo del aparato de prueba, las pruebas se realizarán con la máxima frecuencia permitida por el alcoholímetro.
9.9.4.3.1. Valores de referencia característicos del gas de prueba (material de referencia) A menos que se indique lo contrario, el gas de prueba inyectado continuamente al alcoholímetro se caracterizará por los siguientes valores parametrizados:
a) Volumen entregado: 2 L ± 0,3 L;
b) Duración total de la inyección (al alcoholímetro): 5 s ± 0,5 s;
c) Tipo de perfil: caudal constante;
d) Humedad relativa del gas: 95 % ± 5 % RH (sin condensación);
e) Temperatura del gas 34 °C ± 0,5 °C; y,
f) Gas portador: aire que contiene concentraciones insignificantes de impurezas relevantes con una fracción de volumen de CO2: 5 % ± 0,5 % vol.
Los informes de prueba o ensayos que han sido practicados, deben indicar qué clase de medios de prueba han sido utilizados para cada prueba.
Los informes de pruebas o ensayos deben indicar cuándo se utilizaron otros gases y cómo se estableció su equivalencia con los gases de referencia.
Para efectos de la realización de los ensayos, se permite el uso de gases de calibración producidos por medios simplificados para algunas pruebas. Dichos medios pueden consistir en el uso de gases secos o húmedos generados mediante métodos simples de prueba (por ejemplo, la ausencia de CO2 en gases de prueba para la concentración de masa constante durante la inyección). Los informes de pruebas o ensayos que han sido realizados deben indicar si se implementaron pruebas alternativas.
Los medios simplificados (un gas o gases sin CO2) pueden ser utilizados después de las pruebas y para demostrar la capacidad del alcoholímetro de realizar mediciones sobre el aire espirado final:
- Gases secos para las pruebas definidas en los numerales 9.9.4.4.2, 9.9.4.4.6 a 9.9.4.4.14, 9.9.4.4 (excepto aquellas establecidas en los numerales 9.9.4.5.11 y 9.9.4.5.12) y el numeral 9.9.4.6 con la prueba de repetibilidad preliminar realizada con gases húmedos;
- Gases sin CO2 que se puedan utilizar para las pruebas definidas en 9.9.4.4.2. a 9.9.4.4.13 y 9.9.4.5. En todos los casos (excepto en 9.9.4.4.2), la evolución de la concentración y el caudal durante la inyección puede ser constante.
Para casos que involucran gases secos en cilindros;
- Se deben tener en cuenta las variaciones en la presión atmosférica y en el factor de compresibilidad entre las condiciones de uso y llenado,
- Se debe tener en cuenta la calidad de los reguladores de gases y la manera en la que el gas es enviado al alcoholímetro para minimizar la contaminación y el cambio en la composición de etanol durante su ciclo, y
- Se deben tener encuentra las incertidumbres de medición del aparato de pruebas en los cálculos de incertidumbres en la medición.
9.9.4.3.2. Competencia de los aparatos de prueba. Con el fin de demostrar la competencia del alcoholímetro para hacer mediciones sobre el aliento espiratorio final, el aparato utilizado por el laboratorio debe tener la capacidad de proporcionar una muestra de prueba según lo señalado en el numeral 9.9.4.3, y un perfil de aire espirado de acuerdo con lo previsto en el numeral 9.9.4.2.
9.9.4.3.3. Tipo de aparato de prueba. El aparato debe ser de alguno de los siguientes tipos:
-Tipo 1: El aparato entrega gases de prueba constantes con concentraciones de masa de alcohol constantes;
- Tipo 2: El aparato entrega un gas de prueba que es capaz de cumplir con el perfil de aire espirado definido en el numeral 9.9.4.2. Ambos tipos son necesarios para un programa de prueba completo.
Nota: Para ciertas pruebas, los procedimientos de prueba pueden especificar el uso de uno de los tipos específicos arriba mencionados.
9.9.4.4. Errores bajo condiciones establecidas de operación. Se presume que el tipo de instrumento de medición cumple con las disposiciones establecidas en los numerales 9.4.2.2. a 9.4.2.10 de esta resolución si aprueba satisfactoriamente las pruebas señaladas en los numerales 9.9.4.4.1. a 9.9.4.4.13, confirmando que el error del instrumento de medición no supere los EMP tras la verificación inicial indicada en el numeral 9.4.2.2 bajo las condiciones de referencia mencionadas en el numeral 9.9.4.1.
Condición previa: Energía eléctrica normal suministrada y el instrumento “encendido" durante un periodo de tiempo igual o mayor que el tiempo de calentamiento indicado por el productor.
Para los alcoholímetros que tienen más de una opción de suministro de energía, las pruebas indicadas en los numerales 9.9.4.4.1 a 9.9.4.4.14 se realizarán con cada una de las opciones.
Condición del instrumento alcoholímetro que se está sometiendo a las pruebas y ensayos del reglamento técnico: El suministro de energía debe estar “encendido” durante toda la prueba.
El alcoholímetro bajo prueba no debe ser reajustado en ningún momento durante las pruebas. La siguiente información debe ser registrada durante la realización de cada prueba:
a) Fecha y hora;
b) Temperatura
c) Humedad relativa
d) Los valores del mensurando e. Indicaciones
f) Errores
g) Desempeño funcional.
9.9.4.4.1. Pruebas de exactitud
a) Errores máximos permitidos y repetibilidad
El cumplimiento con los requisitos previstos en los numerales 9.4.2.2 y 9.4.2.4 para los errores máximos permitidos y repetibilidad se verificará, al menos, con los siguientes valores nominales:
| Gas de prueba No. | Concentración de masa (mg/L) |
| 1 | 0 a 0,05 |
| 2 | 0,10 |
| 3 | 0,25 |
| 4 | 0,40 |
| 5 | 0,70 |
| 6 | 0,95 |
| 7 | 1,50 |
| 8 | 1,95 |
9 | Si el valor superior especificado por el productor es mayor que 2 mg/L, la concentración de masa del gas de prueba debe ser igual a 90% del límite superior. |
Se deben realizar al menos 20 mediciones consecutivas para cada concentración de gas.
Para cada gas de prueba, cada uno de los 20 resultados de la medición debe cumplir con los EMP definidos en el numeral 9.4.2.2.1.
b) Deriva
El cumplimiento con los requisitos de deriva debe ser probado a las siguientes concentraciones de gas:
I. Deriva cero: gas de prueba No. 1.
II. Deriva a 0,4 mg/L: gas de prueba No. 4.
Procedimientos de prueba para cada gas de prueba:
I. 10 mediciones subsiguientes.
II. Después de los intervalos de tiempo indicados en 9.4.2.5, otras 10 mediciones subsiguientes.
Para cada prueba de deriva, la diferencia entre la media de los errores de medición de dos series de mediciones debe cumplir con los requisitos de deriva.
Durante las pruebas de deriva se podrán realizar otras pruebas para la aprobación de tipo.
c) Efectos de memoria
- Efecto de memoria con grandes diferencias en la concentración de masa.
El alcoholímetro está sujeto a una prueba inicial que incluye 10 mediciones utilizando el gas de prueba No. 2. Se calcula el valor medio de estas 10 mediciones.
Luego, el alcoholímetro será sometido 10 veces al siguiente ciclo:
- Una medición utilizando el gas de prueba No. 7 o No. 8.
- Una medición utilizando el gas de prueba No. 2.
Cada medición individual debe cumplir con los EMP definidos en 9.4.2.2.1.
Se calcula el valor medio de las 10 mediciones con el gas de prueba No. 2 durante el ciclo.
Para el gas No. 2 la diferencia entre dos valores medios calculados debe ser menor que el límite indicado en el numeral 9.4.2.6.1.
Nota: El gas de prueba No. 7 se usa en caso de que la concentración máxima del intervalo de medición del alcoholímetro sea 2 mg/L. El gas No. 8 se utiliza cuando es mayor que 2 mg/L.
- Efecto de memoria con pequeños cambios en la concentración de masa.
El alcoholímetro estará sujeto a una prueba inicial que incluye 10 mediciones utilizando el gas de prueba No. 3. Se calcula el valor medio de estas 10 mediciones.
Luego, el alcoholímetro será sometido 10 veces al siguiente ciclo:
- una medición utilizando el gas de prueba No. 4.
- una medición utilizando el as de prueba No. 3.
Cada medición individual debe cumplir con los EMP definidos en 9.4.2.2.1.
Se calcula el valor medio de estas 10 mediciones con el gas de prueba No. 3 durante el ciclo.
Para el gas de prueba No. 3 la diferencia entre dos valores medios calculados debe ser menor que el límite indicado en el numeral 9.4.2.2.2.
9.9.4.4.2. Factores de influencia de las condiciones de inyección. Para cada prueba se realizarán 10 mediciones utilizando el gas de prueba No. 4. Cada una de estas 10 mediciones debe cumplir con el requisito del error máximo permitido definido en el numeral 9.4.2.2.1. Cada prueba se caracteriza por 4 parámetros:
- volumen entregado;
- duración de la inyección;
- variación de la presión como una función de tiempo;
- variación de la concentración de alcohol como una función de tiempo.
a) Influencia del volumen entregado y duración de la espiración
Primera prueba:
- volumen entregado: 1,5 L ± 0,1 L;
- duración de la inyección: 5 s ± 0,5 s;
- variación de la presión como función de tiempo: sin variación;
- variación de la concentración de alcohol como función de tiempo: sin variación (aparato de prueba tipo 1) o planicie en la curva de duración igual a 3 s (aparato de prueba tipo 2).
Segunda prueba:
- volumen entregado: 4,5 L ± 0,3 L;
- duración de la inyección: 15 s ± 0,5 s;
- variación de la presión como función de tiempo: sin variación;
- variación de la concentración de alcohol como función de tiempo: sin variación (aparato de prueba tipo 1) o planicie en la curva de duración igual a 3 s (aparato de prueba tipo 2).
b) Influencia del caudal y la duración de la inyección
Primera prueba:
- volumen entregado: 1,5 L ± 0,1 L;
- duración de la inyección: 10 s ± 0,5 s;
- variación de la presión como función de tiempo: sin variación;
- variación de la concentración de alcohol como función de tiempo: sin variación (aparato de prueba tipo 1) o planicie en la curva de duración igual a 4,5 s (aparato de prueba tipo 2).
Segunda prueba:
- volumen entregado: 3 L ± 0,2 L:
- duración de la inyección: 15 s ± 0,5 s:
- variación de la presión como función de tiempo: sin variación:
- variación de la concentración de alcohol como función de tiempo: sin variación (aparato de prueba tipo 1) o planicie en la curva de duración igual a 6 s (aparato de prueba tipo 2).
Tercera prueba:
- volumen entregado: 4,5 L ± 0,3 L:
- duración de la inyección: 7,5 s ± 0,5 s:
- variación de la presión como función de tiempo: sin variación:
- variación de la concentración de alcohol como función de tiempo: sin variación (aparato de prueba tipo 1) o planicie en la curva de duración igual a 3,5 s (aparato de prueba tipo 2).
c) Influencia de las variaciones en el caudal durante la espiración
Primera prueba:
- volumen entregado: 3 L ± 0,2 L;
- caudal 0,6 L/s;
- variación del caudal como función del tiempo: sin variación;
- variación de la concentración de alcohol como función de tiempo: sin variación (aparato de prueba tipo 1) o la misma duración de la planicie en la curva en la primera y segunda pruebas (aparato de prueba tipo 2).
Segunda prueba:
- volumen entregado: 3 L ± 0,2 L;
- variación en el caudal como función del tiempo; Caudal inicial: 0,6 L/s durante 1,5 s, entre 1,5 s y 5 s de inyección el caudal se reduce hasta 0,2 L/s. Después de 5 s, el caudal permanece igual a 0,2 L/s hasta el final de la inyección;
- variación de la concentración de alcohol como función de tiempo: sin variación (aparato de prueba tipo 1) o la misma duración de la planicie en la curva en la primera y segunda pruebas (aparato de prueba tipo 2).
d) Influencia de la duración de la planicie en la curva durante la inyección
Primera prueba:
- volumen entregado: 3 L ± 0,2 L;
- duración de la inyección: 5 s ± 0,5 s;
- variación en la presión como función del tiempo: sin variación;
- duración de la planicie en la curva: 3 s (aparato de prueba tipo 1)
Segunda prueba:
- volumen entregado: 3 L ± 0,2 L;
- duración de la inyección: 5 s ± 0,5 s;
- variación en la presión como función del tiempo: sin variación;
- duración de la planicie en la curva: 1,5 s (aparato de prueba tipo 1)
e) Influencia de una interrupción en el flujo de aire espirado
Primera prueba: La inyección de gas usualmente requerida para las condiciones de referencia indicadas en el numeral 9.9.4.3.1 se detendrá 1 s ± 0,5 s después del comienzo de la inyección. El caudal es 0,4 L/s.
Segunda prueba: La inyección de gas usualmente requerida durante al menos 15 s se detendrá 6 s ± 1 s después del comienzo de la inyección. El caudal es 0,2 L/s.
Tercera prueba: Verificación del final de la detección de una espiración. La inyección de un gas suministrado a un caudal igual a 0,15 L/s se reduce a un caudal igual a 0,03 L/s.
Cuarta prueba: Interrupción de flujo corto. La inyección del caudal de gas a las condiciones de flujo mencionadas en el numeral 9.9.4.3.1 se interrumpirá durante un corto periodo (por ejemplo, 0,5 s) y luego continuará.
Para estas cuatro pruebas, el alcoholímetro no debe entregar ningún valor.
9.9.4.4.3. Prueba de calor seco. Esta prueba se realiza para verificar la conformidad del tipo o modelo de instrumento con el requisito establecido en el literal a) del numeral 9.4.2.8.1 bajo condiciones de calor seco (alta temperatura ambiente).
La prueba se realiza según lo establecido en la norma internacional IEC 60068-2-2 [9] e IEC 60068-3- 1 [23]. Además de la información en los procedimientos de prueba IEC se debe aplicar el siguiente procedimiento de prueba abreviado:
| Condición previa | Energía eléctrica normal suministrada y “encendido” durante un periodo de tiempo igual o mayor que el tiempo de calentamiento indicado por el productor. |
| Condición del EBP | El suministro de energía debe estar “encendido” durante toda la prueba. El EBP se debe manejar de tal manera que no ocurra condensación de agua en su interior. |
| Estabilización | 2 horas a cada temperatura bajo condiciones al "aire libre" |
| Temperatura | Alta temperatura, segun se indica en el literal a) numeral 9.4.2.8.1 |
| Secuenci de temperatura | Temperatura de referencia, Temperatura especificada |
| Prueba | El EBP no debe ser reajustado en ningún momento durante la prueba. El EBP se mantiene bajo las condiciones definidas en el numeral 9.4.2.8.1 literal b). Al final de este periodo, y continuando bajo esta condición, realizar 5 mediciones utilizando el gas de prueba No. 4 definido en el numeral 9.9.4.4.1 y registrar: fecha y hora, temperatura, humedad relativa, mensurandos, indicaciones, errores, desempeño funcional. |
| Variaciones máximas permitidas | El error del alcoholímetro se determina una vez al día bajo condiciones de prueba y al final de una prueba después de un periodo de recuperación de una hora. Todas las funciones deben operar según su diseño. Todos los errores deben estar dentro de los EMP especificados en el numeral 9.4.2.2. |
9.9.4.4.4. Prueba de Frío. Esta prueba se realiza para verificar la conformidad del Tipo o modelo de instrumento con el requisito establecido en el literal a) del numeral 9.4.2.8.1 bajo condiciones de frío (baja temperatura ambiente).
La prueba se realiza según lo establecido en la norma internacional IEC 60068-2-1 [8] e IEC 60068-3- 1 [23].
Además de la información en los procedimientos de prueba IEC se debe aplicar el siguiente procedimiento de prueba abreviado:
| Condición previa | Energía eléctrica normal suministrada y “encendido” durante un periodo de tiempo igual o mayor que el tiempo de calentamiento indicado por el productor. |
| Condición del EBP | El suministro de energía debe estar “encendido" durante toda la prueba. |
| Estabilización | 2 horas a cada temperatura bajo condiciones al “aire libre”. |
| Temperatura | Baja temperatura, según se indica en el literal a) del numeral 9.4.2.8.1. |
| Secuencia de temperatura | Temperatura de referencia, Temperatura especificada. |
| Prueba | El EBP no debe ser reajustado en ningún momento durante la prueba. Después de la estabilización a la temperatura relevante, realizar 5 mediciones con el gas de prueba No. 4 definido en el literal a) del numeral 9.9.4.4.1, y bajo las condiciones definidas en el numeral 9.9.4.4.2 primera prueba y registrar: fecha y hora, temperatura, humedad relativa, a) mensurandos, b) indicaciones, c) errores, d) desempeño funcional. |
| Variaciones máximas permitidas | Todas las funciones deben operar según su diseño. Todos los errores deben estar dentro de los EMP especificados en el numeral 9.4.2.2 |
9.9.4.4.5. Prueba de Calor húmedo, estado continuo (sin condensación). Esta prueba se realiza para verificar la conformidad del tipo o modelo de instrumento con el requisito establecido en el literal b) del numeral 9.4.2.8.1 bajo condiciones de humedad en el ambiente sin condensación.
La prueba se realiza según lo establecido en la norma internacional IEC 60068-2-78 [13].
Además de la información en los procedimientos de prueba IEC se debe aplicar el siguiente procedimiento de prueba abreviado:
| Condición previa | Energía eléctrica normal suministrada y “encendido” durante un periodo de tiempo igual o mayor que el tiempo de calentamiento indicado por el productor. |
| Condición del EBP | El suministro de energía debe estar “encendido” durante toda la prueba. El EBP se debe manejar de tal manera que no ocurra condensación de agua en su interior. |
| Prueba | El EBP no debe ser reajustado en ningún momento durante la prueba. El EBP se mantiene bajo las condiciones definidas en el numeral 9.4.2.8.1 literal b). Al final de este periodo, y continuando bajo esta condición, realizar 5 mediciones utilizando el gas de prueba No. 4 definido en el numeral 9.9.4.4.1 y registrar: fecha y hora, temperatura, humedad relativa, mensurandos, indicaciones, errores, desempeño funcional. |
| Variaciones máximas permitidas | El error del alcoholímetro se determina una vez al día bajo condiciones de prueba y al final de una prueba después de un periodo de recuperación de una hora. Todas las funciones deben operar según su diseño. Todos los errores deben estar dentro de los EMP especificados en el numeral 9.4.2.2. |
9.9.4.4.6. Prueba de presión atmosférica. Esta prueba se realiza para verificar la conformidad del tipo o modelo de instrumento con el requisito establecido en el literal c) del numeral 9.4.2.8.1 bajo condiciones de cambio en la presión atmosférica.
Se aplicará el siguiente procedimiento de prueba abreviado:
| Condición previa | Energía eléctrica normal suministrada y “encendido” durante un periodo de tiempo igual o mayor que el tiempo de calentamiento indicado por el productor. |
| Condición del EBP | El suministro de energía debe estar “encendido" durante toda la prueba. |
| Estabilización | 10 minutos a cada presión. |
| Secuencia de presión | Presión de referencia (presión del ambiente ver numeral 9.9.4.1; 860 hPa±10hPa, 1.060 hPa ± 10 hPa, Presión de referencia (presión del ambiente, ver numeral 9.9.4.1). |
| Prueba | El EBP no debe ser reajustado en ningún momento durante la prueba. Después de estabilizar a la presión relevante, realizar 5 mediciones utilizando el gas de prueba No. 4 definido en el numeral 9.9.4.4.1 y registrar: fecha y hora, temperatura, humedad relativa, mensurandos, indicaciones, errores, desempeño funcional. |
| Todas las funciones deben operar según su diseño. Todos los errores deben estar dentro de los EMP especificados en el numeral 9.4.2.2. | |
9.9.4.4.7. Prueba de vibración aleatoria. Esta prueba se realiza para verificar la conformidad del tipo o modelo de instrumento con el requisito establecido en el literal d) del numeral 9.4.2.8.1 bajo condiciones de vibraciones moderadas.
La prueba se realiza de acuerdo con lo establecido en la norma internacional IEC 60068-2-1 [8], IEC 60068-2-64 [12] e IEC 60068-3-8 [14],
Además de la información en los procedimientos de prueba IEC se debe aplicar el siguiente procedimiento de prueba abreviado:
| Prueba preliminar | Se deben determinar los EMP antes de las vibraciones. |
| Condición del EBP | El suministro de energía debe estar “apagado” durante toda la prueba. |
| Prueba | El EBP no debe ser reajustado en ningún momento durante la prueba. Después de apagarlo, se debe aplicar el siguiente nivel de vibración en 3 ejes mutuamente perpendiculares durante al menos 2 minutos por eje, con el EBP montado en una estructura rígida mediante sus medios normales de montaje, de manera que la fuerza gravitacional actúe en la misma dirección en la que lo haría en condiciones normales de uso. - Intervalo total de frecuencia 10 Hz - 150 Hz - Nivel RMS total: 7 m s'2 - Nivel ASD 10 Hz -20 Hz: 1 m2.S'3 - Nivel ASD 20 Hz - 150 Hz: - 3 dB/octava Después de las vibraciones, el EBP debe encenderse y, después de un tiempo de estabilización, se deben realizar 5 mediciones utilizando el gas de prueba No. 4 definido en el literal a) del numeral 9.9.4.4.1. Registrar: a) fecha y hora, b) temperatura, c) humedad relativa, d) mensurandos, e) indicaciones If) errores, g) desempeño funcional. |
| Variaciones máximas permitidas | El error del alcoholímetro se determina después de haber realizado ía prueba completa. Todas las funciones deben operar según su diseño. Todos los errores deben estar dentro de los EMP especificados en el numeral 9.4.2.2, |
9.9.4.4.8. Prueba de variación en el voltaje de la red central de CD. Esta prueba aplica únicamente a EBP que pueden alimentarse con CD.
Esta prueba se realiza para verificar la conformidad del tipo o modelo de instrumento con el requisito establecido en el literal e) del numeral 9.4.2.8.1 bajo condiciones de variaciones en el voltaje de la red central de CD.
La prueba se realiza de acuerdo con lo señalado en la norma internacional IEC 60654-2 [29].
Además de la información en los procedimientos de prueba IEC se debe aplicar el siguiente procedimiento de prueba abreviado:
| Condición previa | Energía eléctrica normal suministrada y “encendido” durante un periodo de tiempo igual o mayor que el tiempo de calentamiento indicado por el productor. |
| Condición del EBP | El suministro de energía debe estar “encendido” durante toda la prueba. |
| Secuencia de voltaje | Voltaje de referencia (voltaje nominal especificado por el productor). Alto voltaje: el límite inferior es el nivel de CD al cual se ha fabricado el EBP para detectar automáticamente condiciones de niveles altos. Bajo voltaje: el nivel de CD al cual se ha fabricado el EBP para detectar automáticamente condiciones de niveles bajos. Voltaje de referencia (voltaje nominal especificado por el productor). |
| Prueba | El EBP no debe ser reajustado en ningún momento durante la prueba. Después de estabilizar al voltaje relevante, realizar 5 mediciones utilizando el gas de prueba No. 4definidio en el numeral 9.9.4.4.1 y registrar: a) fecha y hora; l)) Temperatura; c) voltaje de referencia al comienzo y al final, alto voltaje y bajo voltaje; d) Mensurandos; e) Indicaciones; f) Errores; y, ?) desempeño funcional. |
| Variaciones máximas permitidas | Los errores se determinarán al encender el alcoholímetro al nivel superior de voltaje y al encenderlo al nivel inferior de voltaje. Todas las funciones deben operar según su diseño. Todos los errores deben estar dentro de los EMP especificados en 9.4.2.2. |
9.9.4.4.9. Prueba de variación en el voltaje de la red central CA. Esta prueba aplica únicamente a EBP que pueden alimentarse con CA.
Esta prueba se realiza para verificar la conformidad del tipo o modelo de instrumento con el requisito establecido en el literal f) del numeral 9.4.2.8.1 bajo condiciones de variaciones en el voltaje de la red central de energía.
La prueba se realiza de acuerdo con lo establecido en la norma Internacional IEC/TR 61000-2-1 [26] e IEC 61000-4-1 [28].
Además de la Información en los procedimientos de prueba IEC se debe aplicar el siguiente procedimiento de prueba abreviado:
| Condición previa | Energía eléctrica normal suministrada y “encendido” durante un periodo de tiempo igual o mayor que el tiempo de calentamiento Indicado por el productor. |
| Condición del EBP | El suministro de energía debe estar “encendido” durante toda la prueba. |
| Secuencia de voltaje | Voltaje nominal (de referencia), Voltaje alto: L/nom + 10 %, Bajo voltaje: Unm - 15 %, Voltaje nominal (de referencia), |
| Prueba | El EBP no debe ser reajustado en ningún momento durante la prueba. Después de estabilizar al voltaje relevante, realizar 5 mediciones utilizando el gas de prueba No. 4 y registrar: a) fecha y hora; b) temperatura; c) voltaje de referencia al comienzo y al final, alto voltaje y bajo voltaje; d) mensurandos; e) lndicac¡ones, f) errores; y, g) desempeño funcional. |
| Variaciones máximas permitidas | Los errores se determinarán al encender el alcoholímetro al nivel superior de voltaje y al encenderlo al nivel Inferior de voltaje. Todas las funciones deben operar según su diseño. Todos los errores deben estar dentro de los EMP especificados en el numeral 9.4.2.2. |
| Notas | Los valores de UnOm son aquellos marcados en el Instrumento de medición En caso de que se especifique un Intervalo, el se relaciona con el valor más bajo y el “+” con el valor más alto del Intervalo. |
9.9.4.4.10. Prueba de variación en la frecuencia de la red central CA. Esta prueba aplica únicamente a EBP que pueden alimentarse con CA (directamente o mediante un generador).
Esta prueba se realiza para verificar la conformidad del tipo o modelo de Instrumento con el requisito establecido en el literal g) del numeral 9.4.2.8.1 bajo condiciones de variaciones la frecuencia de energía de CA.
La prueba se realiza de acuerdo con lo establecido en la norma Internacional IEC/TR 61000-2-1 [26], IEC 61000-2+-2 [27] e IEC 61000-4-1 [28].
Además de la información en los procedimientos de prueba IEC se debe aplicar el siguiente procedimiento de prueba abreviado:
| Condición previa | Energía eléctrica normal de voltaje y frecuencia nominal suministrada y “encendido” durante un periodo de tiempo Igual o mayor que el tiempo de calentamiento indicado por el productor. |
| Condición del EBP | La alimentación de energía debe estar “encendida” durante la prueba, y el voltaje se debe mantener al voltaje nominal. |
| Secuencia de voltaje | Frecuencia nominal (de referencia), Voltaje alto: fnom +2 % Voltaje bajo: fnom -2 % Frecuencia nominal (de referencia). |
| Prueba | El EBP no debe ser reajustado en ningún momento durante la prueba. Después de estabilizar a la frecuencia relevante, realizar 5 mediciones utilizando el gas de prueba No. 4 definido en el numeral 9.9.4.4.1 y registrar: a) fecha y hora, b) temperatura, c) voltaje, d) frecuencia de referencia al comienzo y al final, frecuencia alta y frecuencia baja, e) mensurandos, f) indicaciones, g) errores, h) desempeño funcional. |
| Variaciones máximas permitidas | Todas las funciones deben operar según su diseño. Todos los errores deben estar dentro de los EMP especificados en el numeral 9.4.2.2. |
| Notas | Los valores de fnOm son aquellos marcados en el instrumento de medición. En caso de que se especifique un intervalo, el “-“se relaciona con el valor más bajo y el “+” con el valor más alto del intervalo. |
9.9.4.4.11. Prueba de bajo voltaje de la batería interna. Esta prueba se realiza para verificar la conformidad del tipo o modelo de instrumento con el requisito establecido en el literal h) del numeral 9.4.2.8.1 cuando el alcoholímetro se alimenta con una batería interna.
| Condición previa | Antes de la prueba, se debe encender el alcoholímetro durante un periodo de tiempo igual o mayor que el tiempo de calentamiento indicado por el productor. |
| Condición del EBP | El suministro de energía debe estar “encendido” durante toda la prueba. |
| Límite inferior del voltaje de prueba | El voltaje más bajo al cual el EBP funciona correctamente según las indicaciones dadas por el productor. |
| Procedimiento de prueba | La prueba consiste en la exposición a la condición especificada de la batería durante un periodo suficiente para lograr estabilidad en la temperatura y para realizar las mediciones requeridas. Secuencia de prueba: Estabilizar la fuente de energía a un voltaje dentro de los límites definidos y aplicar la medición y/o condición de carga. Después de estabilizar al voltaje relevante, realizar 5 mediciones utilizando el gas de prueba No. 4 definido en el numeral 9.9.4.4.1 y registrar: a) fecha y hora; b) Temperatura; c) voltaje de suministro de energía; d) modo funcional; e) mediciones y/o condición de carga; 0 Indicaciones; g) Errores; y, h) desempeño funcional. Reducir el voltaje de energía al EBP hasta que el equipo claramente deje de funcionar correctamente de conformidad con las especificaciones y requisitos metrológícos, y anotar la siguiente información: a) voltaje de suministro de energía; b) Indicaciones; c) Errores; d) otras respuestas relevantes del instrumento; |
| Variaciones máximas permitidas | Todas las funciones deben operar según su diseño. Todos los errores deben estar dentro de los EMP especificados en el numeral 9.4.2.2. |
| Notas | Si una fuente de energía alterna (suministro de energía estándar con suficiente capacidad de corriente) es utilizada en las pruebas de referencia para simular una batería, es importante que la impedancia interna del tipo de batería especificado también se simule. |
9.9.4.4.12. Prueba de variaciones en el voltaje de la batería de un vehículo terrestre.Esta prueba se realiza para verificar la conformidad del tipo o modelo de instrumento con el requisito establecido en el literal i) del numeral 9.4.2.8.1 bajo condiciones de voltaje alto y bajo en la batería (durante la carga).
La prueba se realiza de acuerdo con lo establecido en la norma internacional ISO 16750-2 [30], Además de ia información en los procedimientos de prueba ISO, se debe aplicar el siguiente procedimiento de prueba abreviado:
La prueba consiste de dos pruebas separadas. Entre estas, el suministro de energía debe estar apagado.
| Condición previa | Antes de cada prueba, el EBP se apaga durante un periodo de tiempo lo suficientemente largo para estar térmicamente estable a la temperatura ambiente. Para cada prueba (bajo voltaje y alto voltaje, respectivamente) el suministro de energía se enciende a dicho voltaje de prueba. |
| Condición del EBP | El EBP se enciende al voltaje de prueba durante un periodo de tiempo igual 0 mayor que el tiempo de calentamiento indicado por el productor. |
| Voltajes de prueba | Voltajes según se indica en el literal i del numeral 9.4.2.8.1. |
Prueba | El EBP no debe ser reajustado en ningún momento durante la prueba. Después de estabilizar al voltaje relevante, realizar 5 mediciones utilizando el gas de prueba No. 4 definido en el numeral 9.9.4.4.1 y registrar: a) fecha y hora; b) Temperatura; c) Voltaje; d) Mensuran dos; e) Indicaciones; f) Errores; y g) desempeño funcional. |
| Variaciones máximas permitidas | Los errores se determinarán al encender el alcoholímetro al nivel superior de voltaje y al encenderlo al nivel inferior de voltaje. Todas las funciones deben operar según su diseño. Todos los errores deben estar dentro de los EMP especificados en 9,4.2.2. |
9.9.4.4.13. Prueba de fracción total por volumen de hidrocarburos (como equivalente de metano) en el ambiente. Esta prueba se realiza para verificar la conformidad del tipo o modelo de instrumento con el requisito establecido en el literal j) del numeral 9.4.2.8.1 bajo condiciones de hidrocarburos en el ambiente.
Se aplicará el siguiente procedimiento de prueba abreviado:
| Condición previa | Energía eléctrica normal suministrada y “encendido” durante un periodo de tiempo igual 0 mayor que el tiempo de calentamiento indicado por el productor. |
| Condición del EBP | El suministro de energía debe estar “encendido” durante toda la prueba. |
| Prueba | El EBP no debe ser reajustado en ningún momento durante la prueba. Después de estabilizar a 5 mg/L de hidrocarburos, realizar 5 mediciones utilizando el gas de prueba No. 4 definido el numeral 9.9.4.4.1 y registrar: a) fecha y hora; b) temperatura; c) humedad relativa; d) mensurandos; e) indicaciones; f) errores; y, g) desempeño funcional. |
| Variaciones máximas permitidas | Todas las funciones deben operar según su diseño. Todos los errores deben estar dentro de los EMP especificados en 9.4.2.2. |
9.9.4.4.14. Prueba de influencia de la concentración de masa de CO2. Esta prueba se realiza para verificar la conformidad del tipo o modelo de instrumento con el requisito establecido en el literal k) del numeral 9.4.2.8.1 bajo condiciones de CO2 en el gas de prueba.
| Condición previa | Energía eléctrica normal suministrada y “encendido” durante un periodo de tiempo igual 0 mayor que el tiempo de calentamiento indicado por el productor. |
| Condición del EBP: | El suministro de energía debe estar “encendido” durante toda la prueba. |
| Prueba | El EBP no debe ser reajustado en ningún momento durante la prueba. Después de estabilizar a 10% del CO2, realizar 5 mediciones utilizando el gas de prueba No. 4 definido el numeral 9.9.4.4.1 con 10% (concentración de masa) de CO2 y registrar: a) fecha y hora; b) temperatura; c) humedad relativa; d) mensurandos; e) indicaciones; f) errores; y, g) desempeño funcional. |
| Variaciones máximas permitidas | Todas las funciones deben operar según su diseño. Todos los errores deben estar dentro de los EMP especificados en el numeral 9.4.2.2. |
9.9.4.5. Pruebas de perturbación. Las pruebas se realizarán utilizando el gas de prueba No. 4 definido en el numeral 9.9.4.4.1.
Para cada prueba de perturbación, el error intrínseco se determina como la media de los errores de cinco mediciones.
La aplicación de cada prueba será lo suficientemente larga para aplicar un ciclo completo de medición del alcoholímetro.
Se asume que el tipo de instrumento de medición cumple con las disposiciones especificadas en el numeral 9.4.2.10 si aprueba las siguientes pruebas.
9.9.4.5.1. Prueba de campos electromagnéticos radiados de radiofrecuencia (Ver OIML D 11; 12.1.1). Esta prueba se realiza para verificar la conformidad del tipo o modelo de instrumento con el requisito establecido en el literal a) del numeral 9.4.2.10.1.1 bajo condiciones de campos electromagnéticos radiados.
Esta prueba se realiza de acuerdo con lo establecido en la norma internacional IEC 61000-4-3 [16],
El procedimiento de prueba aplicado por el laboratorio de pruebas será informado detalladamente en el Informe de ensayos, incluyendo la definición del ciclo de medición y el método utilizado para cubrir el intervalo de frecuencia.
Además de la información en los procedimientos de prueba de IEC, se deben aplicar los siguientes procedimientos de prueba abreviados:
| Condición previa | Antes de la prueba, se debe encender el alcoholímetro durante un periodo de tiempo igual 0 mayor que el tiempo de calentamiento indicado por el productor. |
| Condición del EBP: | El EBP no podrá ser reajustado en ningún momento durante la prueba, excepto para reiniciarla si se ha encontrado un fallo significativo. |
| Campo Electromagnético | Radiado 10 V/m, modulado 80% AM, onda sinusoidal. |
| Intervalo de frecuencia | De 80 MHz a 3.000 MHz |
| Prueba de Desempeño | Los factores de influencia se fijarán a las condiciones de referencia definidas en el numeral 9.9.4.1. Registrar lo siguiente con y sin los campos electromagnéticos radiados: a) fecha y hora; b) temperatura; c) humedad relativa; d) valor del mensurando; e) indicaciones y errores; y, f) desempeño funcional. |
| Desempeño del instrumento | Que cada uno de los fallos significativos definidos en el numeral 9.4.2.9 no ocurra, 0 que se detecten y se tomen acciones mediante un dispositivo de verificación. Es aceptable que el alcoholímetro no de ningún resultado durante la prueba de perturbación. |
9.9.4.5.2. Prueba de campos de radiofrecuencia conducidos (Ver OIML D 11; 12.1.2).Esta prueba no aplica si el alcoholímetro no tiene puertos de conexión a la red central u otros puertos de entrada.En caso contrario, se realizará sobre las líneas de suministro y sobre todos los cables de conexión si el instrumento está compuesto por varios elementos conectados entre sí. Para los cables de conexión, la prueba se realizará en cada extremo de los cables si ambos elementos son parte del instrumento.
Esta prueba se realiza para verificar la conformidad del tipo o modelo de instrumento con el requisito establecido en el literal b) del numeral 9.4.2.10.1.1 bajo condiciones de campos electromagnéticos conducidos.
Esta prueba se realiza de acuerdo con lo establecido en la norma internacional IEC 61000-4-6 [19].
Además de la información en los procedimientos de prueba de IEC, se deben aplicar los siguientes procedimientos de prueba abreviados:.
| Condición previa | Antes de la prueba, se debe encender el alcoholímetro durante un periodo de tiempo igual o mayor que el tiempo de calentamiento indicado por el productor. |
| Condición del EBP: | El EBP no podrá ser reajustado en ningún momento durante la prueba, excepto para reiniciarla si se ha encontrado un fallo significativo. |
| Campo Electromagnético | Radiado 10 V/m, modulado 80% AM, onda sinusoidal. |
| Intervalo de frecuencia | De 0,15 MHz a 80 MHz |
| Prueba de Desempeño | Los factores de influencia se fijarán a las condiciones de referencia definidas en el numeral 9.9.4.1. Registrar lo siguiente con y sin los campos electromagnéticos radiados: a) fecha y hora; b) Temperatura; c) humedad relativa; d) valor del mensurando; e) fuerza del campo; f) indicaciones y errores; y, g) desempeño funcional. |
| Por convención se realizan 3 ciclos de prueba, comenzando cada prueba en un punto diferente del ciclo de medición. | |
| Desempeño del instrumento | Que cada uno de los fallos significativos definidos en el numeral 9.4.2.9 no ocurra, o que se detecten y se tomen acciones mediante un dispositivo de verificación. Es aceptable que el alcoholímetro no de ningún resultado durante la prueba de perturbación. |
9.9.4.5.3. Prueba de descargas electrostáticas (VerOIML D 11; 12.2). Esta prueba se realiza para verificar la conformidad del tipo o modelo de instrumento con el requisito establecido en el literal c) del numeral 9.4.2.10.1.1 bajo condiciones de descargas electrostáticas.
Esta prueba se realiza de acuerdo con lo establecido en la norma internacional IEC 61000-4-2 [15], Además de la información en los procedimientos de prueba de IEC, se debe aplicar ios siguientes procedimientos de prueba abreviados.
| Condición previa | Antes de la prueba, se debe encender el alcoholímetro durante un periodo de tiempo igual o mayor que el tiempo de calentamiento indicado por el productor. |
| Condición del EBP | El EBP no podrá ser reajustado en ningún momento durante la prueba, excepto para reiniciarla si se ha encontrado un fallo significativo. |
| Descargas | Modo de contacto: 6 kV, modo de aire: 8 kV. |
| Prueba de Desempeño | Los factores de influencia se fijarán a las condiciones de referencia definidas en el numeral 9.9.4.1. La prueba consiste en exponer el EBP a descargas electrostáticas directas e indirectas. Las descargas de contacto son el método de prueba preferido. No obstante, se utilizarán descargas de aire cuando no se pueda aplicar la descarga de contacto (por ejemplo, en superficies no conductoras). Se aplicarán al menos diez descargas sucesivas con un intervalo de tiempo entre descargas de al menos diez segundos en cada punto de aplicación. El número de puntos de aplicación en cada superficie depende del tamaño del instrumento y se definirá de conformidad con IEC 61000-4-2. Los puntos probados se describirán en el informe de prueba. Las descargas se aplicarán sobre cada superficie accesible durante la operación normal. Se realizarán 5 mediciones en cada superficie. Registrar lo siguiente con y sin descargas: a) fecha y hora; b) Temperatura; c) humedad relativa; d) valor del mensurando; e) Descargas; f) indicaciones y errores; y, g) desempeño funcional. Por convención se realizan 3 ciclos de prueba, comenzando cada prueba en un punto diferente del ciclo de medición. |
| Desempeño del Instrumento | Que cada uno de los fallos significativos definidos en el numeral 9.4.2.9 no ocurra, o que se detecten y se tomen acciones mediante un dispositivo de verificación. Es aceptable que el alcoholímetro no de ningún resultado durante la prueba de perturbación. |
9.9.4.5.4. Prueba de picos de energía en las líneas de suministro (Ver OIML D 11:13.5) Esta prueba solo aplica a alcoholímetros alimentados por conexión a la red de CA o CD.
Esta prueba se realiza para verificar la conformidad del tipo o modelo de instrumento con el requisito establecido en el literal d) del numeral 9.4.2.10.1.1 bajo condiciones de picos en las líneas de suministro.
Esta prueba se realiza de acuerdo con lo establecido en la norma internacional IEC 61000-4-1 [28] e IEC 61000-4-4 [17]. Además de la información en los procedimientos de prueba de IEC, se deben aplicar los siguientes procedimientos de prueba abreviados:
| Condición previa | Antes de la prueba, se debe encender el alcoholímetro durante un periodo de tiempo igual o mayor que el tiempo de calentamiento indicado por el productor. |
| Condición del EBP | El EBP no podrá ser reajustado en ningún momento durante la prueba, excepto para reiniciarla si se ha encontrado un fallo significativo. |
| Prueba de Desempeño | Los factores de influencia se fijarán a las condiciones de referencia definidas en el numeral 9.9.4.1. La prueba consiste en exponer el EBP a picos de voltaje de 1 kV con una tasa de repetición d e5 kHz. Se aplicarán por lo menos 10 picos positivos y negativos con fases aleatorias. Registrar lo siguiente: a) fecha y hora; b) Temperatura; c) humedad relativa; d) valor del mensurando; e) indicaciones y errores; y, f) desempeño funcional. |
| Desempeño del instrumento | Que cada uno de los fallos significativos definidos en el numeral 9.4.2.9 no ocurra, o que se detecten y se tomen acciones mediante un dispositivo de verificación. Es aceptable que el alcoholímetro no de ningún resultado durante la prueba de perturbación. |
9.9.4.5.5. Prueba de picos en las líneas de señal, datos y control (Ver OIML D 11; 12.4) Esta prueba se realiza para verificar la conformidad del tipo o modelo de instrumento con el requisito establecido en el literal e) del numeral 9.4.2.10.1.1 bajo condiciones de picos en las líneas de señal, datos y control.
Esta prueba se realiza de acuerdo con lo establecido en la norma internacional IEC 61000-4-1 [28] e IEC 61000-4-4 [17]. Además de la información en los procedimientos de prueba de IEC, se deben aplicar los siguientes procedimientos de prueba abreviados:
| Condición previa | Antes de la prueba, se debe encender el alcoholímetro durante un periodo de tiempo igual o mayor que el tiempo de calentamiento indicado por el productor. |
| Condición del EBP | El EBP no podrá ser reajustado en ningún momento durante la prueba, excepto para reiniciarla si se ha encontrado un fallo significativo. |
| Prueba de Desempeño | Los factores de influencia se fijarán a ías condiciones de referencia definidas en el numeral 9.9.4.1. La prueba consiste en exponer el EBP a picos de voltaje de 1 kV con una tasa de repetición d e5 kHz. Se aplicarán por lo menos 10 picos positivos y negativos con fases aleatorias. Registrar lo siguiente: a) fecha y hora; b) Temperatura; c) humedad relativa; d) valor del mensurando; e) indicaciones y errores; y, f) desempeño funcional. |
| Desempeño del instrumento | Que cada uno de los fallos significativos definidos en el numeral 9.4.2.9 no ocurra, o que se detecten y se tomen acciones mediante un dispositivo de verificación. Es aceptable que el alcoholímetro no de ningún resultado durante la prueba de perturbación. |
9.9.4.5.6. Prueba de subidas de tensión en las líneas de señal, datos y control (Ver OIML D 11; 12.5). Esta prueba se aplica para verificar la conformidad del tipo o modelo de instrumento con las disposiciones contenidas en el literal f) del numeral de 9.4.2.10.1.1 bajo condiciones de subidas de tensión en las líneas de señal, datos y control.
Esta prueba se realiza de acuerdo con lo establecido en la norma internacional IEC61000-4-5(18), Ademas de la informacion en los procedimientos de prueba de IEC, se deben aplicar los siguientes procedimientos de prueba abreviados.
| Condición previa | Antes de la prueba, se debe encender el alcoholímetro durante un periodo de tiempo igual o mayor que el tiempo de calentamiento indicado por el productor. |
| Condición del EBP | El EBP no podrá ser reajustado en ningún momento durante la prueba, excepto para reiniciarla si se ha encontrado un fallo significativo. |
| Prueba de Desempeño | Los factores de influencia se fijaran a la condiciones de referencia definidad en el numeral 9.9.4.1 La prueba consiste en exponer el EBP a subidas de tensión de la siguiente manera: ![]() Se aplicarán por lo menos 3 subidas de tensiones positivas y negativas. Registrar lo siguiente: a) fecha y hora; b) temperatura; c) humedad relativa; d) valor del mensurando; e) línea; f) indicaciones y errores; y, g)desempeño funcional. |
| Desempeño del instrumento | Que cada uno de los fallos significativos definidos en el numeral 9.4.2.9 no ocurra, o que se detecten y se tomen acciones mediante un dispositivo de verificación. Es aceptable que el alcoholímetro nodeningún resultado durante la prueba de perturbación. |
9.9.4.5.7. Prueba de caídas del voltaje de CA, cortas interrupciones y variaciones en el voltaje (Ver OIML D 11; 13.4). Esta prueba se realiza para verificar la conformidad del tipo o modelo de instrumento con el requisito establecido en el literal g) del numeral 9.4.2.10.1.1 bajo condiciones de caídas en el voltaje de CA, interrupciones cortas y variaciones de voltaje.
La prueba se realiza de acuerdo con lo establecido en la norma internacional IEC 61000-4-11 [20], IEC 61000-6-1 [21] e IEC 61000-6-2 [22], Además de la información en los procedimientos de prueba de IEC, se debe aplicar los siguientes procedimientos de prueba abreviados.
| Condición previo | Antes de la prueba, se debe encender el alcoholímetro durante un periodo de tiempo igual o mayor que el tiempo de calentamiento indicado por el productor. |
| Condición del EBP | El EBP no podrá ser reajustado en ningún momento durante la prueba, excepto para reiniciarla si se ha encontrado un fallo significativo. |
| Prueba de Desempeño | Los factores de influencia se fijarán a las condiciones de referencia definidas en el numeral La prueba consiste en exponer el EBP reducciones en el voltaje principal de la siguiente manera: Prueba de Las reducciones del voltaje de la red central se repetirán 10 veces, con un intervalo de al Desempeño menos 10 segundos. El error del alcoholímetro se determina para cada configuración de la prueba. Registrar lo siguiente: a) fecha y hora; b) Temperatura; c) humedad relativa; d) valor del mensurando; e) reducción del voltaje; f) indicaciones y errores; y, g) desempeño funcional. |
| Desempeño del instrumento | Que cada uno de los fallos significativos definidos en el numeral 9.4.2.9 no ocurra, o que se detecten y se tomen acciones mediante un dispositivo de verificación. Es aceptable que el alcoholímetro no de ningún resultado durante la prueba de perturbación. |
9.9.4.5.8. Prueba de conducción de transitorios eléctricos para baterías externas de vehículos (Ver OIML D 11; 14.2.2). Esta prueba se aplicará a los alcoholímetros alimentados por baterías externas de vehículos terrestres de 12 V o de 24 V.
Esta prueba se realiza para verificar la conformidad del tipo o modelo de instrumento con el requisito establecido en el literal h) del numeral 9.4.2.10.1.1 bajo condiciones de conducción de transitorios eléctricos para las baterías externas de un vehículo.
La prueba se realiza de conformidad según lo establecido en la norma internacional ISO 7637-2 [31]. Además de la información en los procedimientos de prueba ISO, se debe aplicar el siguiente procedimiento de prueba abreviado:
| Condición previa | Antes de la prueba, se debe encender el alcoholímetro durante un periodo de tiempo igual o mayor que el tiempo de calentamiento indicado por el productor. |
| Condición del EBP: | El EBP no podrá ser reajustado en ningún momento durante la prueba, excepto para reiniciarla si se ha encontrado un fallo significativo. |
| Prueba de Desempeño | Los factores de influencia se fijarán a las condiciones de referencia definidas en el numeral 9.9.4.1. Esta prueba consiste en exponer el EBP a perturbaciones en el voltaje de energía mediante el acoplamiento directo a las líneas de suministro de la siguiente manera: Uiom = 12 V ![]() Registrar lo siguiente: a) fecha y hora; b) Temperatura; c) humedad relativa; d) valor del mensurando; e) Voltaje; f)indicaciones y errores; y, g) desempeño funcional. |
| Desempeño del instrumento | Que cada uno de los fallos significativos definidos en el numeral.9.4.2.9 no ocurra, o que se detecten y se tomen acciones mediante un dispositivo de verificación. Es aceptable que el alcoholímetro no de ningún resultado durante la prueba de perturbación. |
9.9.4.5.9. Prueba de choques mecánicos (Ver OIML D 11; 11.2). Esta prueba se realiza para verificar la conformidad del tipo o modelo de instrumento con el requisito establecido en el literal a) del numeral 9.4.2.10.1.2 bajo condiciones de choques mecánicos.
Esta prueba se realiza de acuerdo con lo señalado en la norma internacional IEC 60068-2-31 [10], Además de la información en los procedimientos de prueba de IEC, se deben aplicar los siguientes procedimientos de prueba abreviados: .
| Condición previa | Antes de la prueba, se debe encender el alcoholímetro durante un periodo de tiempo igual o mayor que el tiempo de calentamiento indicado por el productor. |
| Condición del EBP: | El EBP no podrá ser reajustado en ningún momento durante la prueba, excepto para reiniciarla sí se ha encontrado un fallo significativo. Si el instrumento se opera desde un estuche portátil entonces está prueba se debe realizar con el instrumento en su interior. |
| Prueba de Desempeño | Los factores de influencia se fijarán a las condiciones de referencia definidas en el numeral 9.9.4.1.La prueba consiste en exponer el EBP a choques mecánicos de la siguiente manera: Para alcoholímetros estacionarios y/o móviles: El alcoholímetro se coloca en una superficie rígida en la posición en la que se utiliza normalmente, inclinado sobre una esquina inferior y luego se deja caer libremente sobre la superficie de prueba. Esta prueba se repetirá para cada esquina sucesivamente (sujeto a una inclinación máxima de 30°). Para alcoholímetros portátiles: Se eligen 3 posiciones arbitrarias. La altura de la caída mencionada a continuación es la de la esquina opuesta ![]() Registrar lo siguiente: a) fecha y hora; b) temperatura; c) humedad relativa; d) valor del mensurando; e) altura de la caída; f)indicaciones y errores; y, g)desempeño funcional. |
| Desempeño del instrumento | Que cada uno de los fallos significativos definidos en el numeral 9.4.2.9 no ocurra, o que se detecten y se tomen acciones mediante un dispositivo de verificación. |
9.9.4.5.10. Prueba de agitaciones. Esta prueba s se realiza para verificar la conformidad del tipo o modelo de instrumento con el requisito establecido en el literal b) del numeral 9.4.2.10.1.2, bajo condiciones de agitaciones.
Esta prueba simula los golpes en la cajuela de un automóvil, y se aplicará el siguiente procedimiento de prueba abreviado:
| Condición previa | El suministro de energía debe estar “apagado" durante toda la prueba. |
| Prueba | Los factores de influencia se fijarán a las condiciones de referencia definidas en el numeral 9.9.4.1. Después de apagarlo, el EBP se coloca en la posición de referencia sobre una mesa que puede generar agitaciones en las siguientes condiciones: forma de onda: semi-sinusoidal amplitud: 10 g (g = 9.81 m/s2) pulso: 6 ms frecuencia: 2 Hz número de ejes: 3 ejes perpendiculares número de agitaciones: 1.000 por cada eje Después de las agitaciones, se enciende el EBP y se realizan 5 mediciones utilizando el gas de prueba No. 4 definido en el numeral 9.9.4.4.1 Registrar: a) fecha y hora; b) temperatura; c) humedad relativa; d) valordel mensurando; e) indicaciones; f) errores; y, g) desempeño funcional. |
| Variaciones maximas permitidas | Que cada uno de los fallos significativos definidos en el numeral 9.4.2.9 no ocurra, o que se detecten y se tomen acciones mediante un dispositivo de verificación. |
9.9.4.5.11. Prueba de calor húmedo cíclico (con condensación) (OIML D 11; 10.2.2). Esta prueba se realiza para verificar la conformidad del tipo o modelo de instrumento con el requisito establecido en el literal c) del numeral 9.4.2.10.1.2 bajo condiciones de calor húmedo cíclico (con condensación).
Esta prueba se efectúa de acuerdo con lo señalado en la norma internacional IEC 60068-2-30 [25] e IEC 60068-3-4 [24]. Además de la información en los procedimientos de prueba de IEC, se debe aplicar los siguientes procedimientos de prueba abreviados
| Condición previa | Antes de la prueba, se debe encender el alcoholímetro durante un periodo de tiempo igual o mayor que el tiempo de calentamiento indicado por el productor. |
| Condición del EBP | El EBP no podrá ser reajustado en ningún momento durante la prueba, excepto para reiniciarla si se ha encontrado un fallo significativo. |
| Prueba de Desempeño | El alcoholímetro se debe exponer a una variación cíclica de entre 25 °C y la temperatura indicada a continuación. La humedad relativa debe estar por encima del 95% durante el cambio en la temperatura y las fases de baja temperatura y en 93% en las fases de temperatura superior. Debe haber condensación sobre el alcoholímetro durante el aumento de temperatura. El ciclo de 24 horas consiste de: 1) aumento de temperatura durante 3 h, 2) la temperatura se mantiene en el valor superior durante 9 h. 3) la tempera se reduce al valor inferior durante 3 h. 4) la temperatura se mantiene en el valor Inferior durante 9 h. Registrar lo siguiente: ![]() a) fecha y hora; b) temperatura; c) humedad relativa; d) valor del mensurando; e) indicaciones y errores; y, f) desempeño funcional. |
| Desempeño del instrumento | Que cada uno de los fallos significativos definidos en el numeral 9.4.2.9 no ocurra, o que instrumento se detecten y se tomen acciones mediante un dispositivo de verificación. |
9.9.4.5.12. Prueba de almacenamiento. Esta prueba se realiza para verificar la conformidad del tipo o modelo de instrumento con el requisito establecido en el literal d) del numeral 9.4.2.10.1.2 bajo condiciones de almacenamiento. Se aplicará el siguiente procedimiento de prueba abreviado;
| Condición previa | El suministro de energía debe estar “apagado” durante toda la prueba. |
| Condición del EBP | El EBP no debe ser reajustado en ningún momento durante la prueba. |
| Prueba de Desempeño | Después de haberlo apagado, el EBP se expone a una temperatura baja de -25 °C durante no menos de 2 horas y a una temperatura alta de 70 °C durante no menos de 2 horas. El cambio en la temperatura no debe superar 1 °C/min durante el calentamiento y el enfriamiento. Después, se enciende el EBP. Después de un periodo de estabilización de una hora bajo condiciones de referencia, realizar 5 mediciones utilizando el gas de prueba No. 4 definido en el numeral 9.9.4.4.1 y registrar: a) fecha y hora, b) temperatura, c) humedad relativa, d) valor del mensurando, e) indicaciones y errores, f) desempeño funcional. |
| Desempeño del instrumento | Que cada uno de los fallos significativos definidos en el numeral 9.4.2.9 no ocurra, o que se detecten y se tomen acciones mediante un dispositivo de verificación. |
9.9.4.5.13. Prueba Durabilidad. El instrumento se considera conforme con el requisito definido en el numeral 9.4.2.11, si aprueba satisfactoriamente cada una de las pruebas de precisión y perturbaciones establecidas en este reglamento técnico.
9.9.4.6. Cantidades fisiológicas de influencia. El alcoholímetro será probado según el siguiente procedimiento;
- Determinación de la indicación de un gas seco y un gas húmedo con un contenido de etanol de 0,4 mg/L ± 5 % sin ninguna sustancia de interferencia;
- Determinar la indicación para el mismo gas de prueba con una y solo con una de las sustancias de interferencia relacionadas en la tabla del numeral 9.4.2.10.2 a la concentración de masa indicada.
Si la variación en la indicación no es mayor que ef valor máximo definido en el numeral 9.4.2.10.2 (0,1 mg/L para ¡as sustancias de interferencia actuales de la tabla anterior), el alcoholímetros ha aprobado la prueba para la respectiva sustancia de interferencia.
Si la variación es mayor que el valor definido en el numeral 9.4.2.10.2 y no se da ningún mensaje de error, el alcoholímetro no ha pasado la prueba. Si se muestra un mensaje de error, se debe realizar otra prueba con la misma sustancia de interferencia a una concentración de masa 5 veces menor. En dicho caso, la variación no debe ser mayor que un quinto del valor máximo definido en el numeral 9.4.2.10.2.
Esta prueba se debe realizar al menos 5 veces para cada sustancia de interferencia. El requisito debe cumplirse cada una de estas veces.
9.10. Documentos para demostración de la conformidad. La conformidad de los alcoholímetros evidencíales de producción nacional y extranjera con los requisitos definidos en el presente reglamento técnico, se demostrará mediante un (i) certificado de examen de tipo o aprobación de modelo del instrumento emitido en cumplimiento de los requisitos establecidos en el numeral 9.10.1 de este reglamento técnico, y (ii, una declaración de conformidad del productor o importador del alcoholímetro individualmente considerado, basada en la verificación inicial de acuerdo con los requisitos previstos en el numeral 9.10.2 de esta resolución.
9.10.1. Requisitos para la expedición del certificado de examen de tipo. El certificado de examen de tipo del alcoholímetro deberá ser emitido bajo el esquema de certificación 1A definido en la norma ISO/IEC 17067:2013, con alcance al presente reglamento técnico o sus normas equivalentes y en concordancia con las opciones de evaluación de la conformidad de producto previstas en el artículo 2.2.1.7.9.2 del Decreto 1074 de 2015.
Adicionalmente, se permite demostrar la conformidad del modelo del instrumento, mediante la aprobación de modelo que emita el Instituto Nacional de Metrología de Colombia -INM, o un Instituto de Metrología cuyas capacidades de calibración y medición(4), hayan sido publicadas ante la Oficina Internacional de Pesas y Medidas(5).
El certificado de examen de tipo o la aprobación de modelo estará vigente mientras el productor no modifique ninguna de las características y/o propiedades del alcoholímetro que fueron evaluadas. En caso de que se efectúe cualquier modificación, se deberá volver a certificar o aprobar el modelo del instrumento.
PARÁGRAFO 1. Pruebas y ensayos para el examen de tipo o la aprobación de modelo. Para efectos de expedir el certificado de conformidad de modelo del alcoholímetro, se deberán efectuar los ensayos establecidos en el numeral 9.9 del presente reglamento técnico bajo las condiciones allí establecidas. El organismo de certificación debe soportar el certificado que emite en los resultados de los ensayos realizados en laboratorios acreditados ante el Organismo Nacional de Acreditación de Colombia - ONAC bajo la norma ISO/IEC 17025:2005 cuyo alcance de acreditación corresponda al ensayo respectivo; o en las pruebas y ensayos previstos en las normas equivalentes al presente reglamento técnico metroiógico en laboratorios extranjeros siempre que ostenten acreditación vigente bajo la norma ISO/IEC 17025:2005 emitida por un miembro signatario del acuerdo de reconocimiento mutuo del International Laboratory Acreditation Cooperation -ILAC, salvo que para un requisito en particular no exista al menos un (1) laboratorio acreditado, caso en el cual el organismo de certificación podrá actuar conforme a lo establecido en el artículo 2.2.1.7.9.5 del Decreto 1074 de 2015.
PARÁGRAFO 2. Disposición transitoria (Declaración de conformidad del tipo o modelo de alcoholímetro evidencial). Hasta tanto exista al menos un (1) organismo de certificación acreditado ante el Organismo Nacional de Acreditación de Colombia -ONAC cuyo alcance de certificación corresponda al presente reglamento técnico metroiógico, se aceptará, como medio para demostrar la conformidad de los alcoholímetros evidenciales con los requisitos establecidos en este reglamento técnico, la declaración de conformidad del productor y/o importador soportada sobre la base de (i) haberse verificado que el instrumento de medición provee mediciones dentro de los errores máximos permitidos establecidos en el numeral 9.4.2.2.1, mediante la ejecución de la totalidad de los ensayos establecidos en el numeral 9.9 por parte de un laboratorio de pruebas y ensayos acreditado, o de calibración acreditado, por el Organismo Nacional de Acreditación de Colombia -ONAC bajo la norma ISO/IEC 17025:2005, cuyo alcance de acreditación corresponda a alcoholímetros, etilómetros y/o aicohosensores, o por parte de un laboratorio extranjero que practique las pruebas y ensayos previstos en las normas equivalentes a este reglamento técnico definidas en el numeral 9.10.3, siempre que ostenten acreditación vigente bajo la norma ISO/IEC 17025:2005 emitida por un miembro signatario del acuerdo de reconocimiento mutuo del International Laboratory Acreditation Cooperation -ILAC.
El productor/importador que haya demostrado la conformidad de sus alcoholímetros evidencíales bajo lo dispuesto en este numeral, no tendrá que demostrar nuevamente la conformidad de sus instrumentos así ya se haya acreditado el primer organismo de certificación de este tipo de productos ante el ONAC.
El certificado de conformidad de tipo o modelo del alcoholímetro evidencia! de que trata este numeral, sólo será exigióle transcurridos tres (3) meses de haberse acreditado el primer organismo de certificación de producto con alcance al presente reglamento técnico por parte del ONAC.
9.10.2. Requisitos para la expedición de la declaración de conformidad del alcoholímetro. Con la declaración de conformidad del alcoholímetro, el productor o importador garantiza la conformidad del instrumento individualmente considerado con el modelo certificado. Esta declaración debe ser expedida de conformidad con los requisitos establecidos en la norma internacional ISO/IEC 17050:2004, utilizando el modelo de declaración de conformidad incluido en el Anexo No. 1 de esta resolución.
Los errores máximos permitidos aplicables para estos ensayos son los definidos en el numeral 9.4.2.2.1.
La declaración de conformidad debe identificar individualmente cada etilómetro evidencial, con número serial.
PARÁGRAFO. Pruebas y ensayos para la verificación inicial del alcoholímetro. Se deben realizar los ensayos del numeral 9.9.4.4.1 (i) en laboratorios acreditados para la realización del ensayo respectivo por parte del Organismo Nacional de Acreditación de Colombia -ONAC bajo la norma ISO/IEC 17025:2005 cuyo alcance de acreditación corresponda a alcoholímetros, etilómetros y/o aicohosensores evidencíales, o (ii) en el Instituto Nacional de Metrología -INM, o (iii) en laboratorios extranjeros siempre que ostenten acreditación vigente bajo la norma ISO/IEC 17025:2005 emitida por un miembro signatario del acuerdo de reconocimiento mutuo del International Laboratory Acreditation Cooperation -ILAC.
9.10.3. Normas equivalentes. Se consideran equivalentes al presente reglamento técnico las siguientes normas internacionales:
a) Recomendación de la Organización Internacional de la Metrología Legal -OIML R-126 “Evidential Breath Analyzers”',
b) La Orden Española ITC/3707/2006, de 22 de noviembre, “por la que se regula el control metroiógico del Estado de los instrumentos destinados a medir la concentración de alcohol en el aire espirado”.
c) WELMEC Software Guide (Measuring Instruments Directive 2014/32/EU)(6).
9.10.4. Obligaciones del productor e importador. Son obligaciones del productor y/o importador, en relación con el cumplimiento del presente reglamento técnico las siguientes:
9.10.4.1. Introducir al mercado nacional únicamente etilómetros que se encuentren conformes con los requisitos establecidos en el presente reglamento técnico;
9.10.4.2. Fijar un código de barras a cada alcoholímetro el cual deberá cumplir con el estándar de captura de información establecido en la norma internacional ISO /IEC 15417:2007. Los datos que debe contener el código de barras son los siguientes:
a) Número serial alfanumérico de veinte (20) dígitos.
9.10.4.3. Elaborar y preparar la documentación técnica señalada en el numeral 9.9.2 de este reglamento, para efectos de evaluar la conformidad de alcoholímetros;
9.10.4.4. Elaborar la declaración de conformidad a que se refiere el numerales 9.10.2 del presente reglamento técnico según corresponda, bajo los parámetros establecidos en la norma ISO/IEC 17050:2004;
9.10.4.5. Conservar copia de la documentación técnica señalada en el numeral 9.9.2 del presente reglamento técnico, por el término que se establece para la conservación de los papeles de comercio previsto en el artículo 60 del Código de Comercio, contado a partir de la fecha de introducción al mercado del alcoholímetro al mercado;
9.10.4.6. Identificar los alcoholímetros que son introducidos al mercado nacional, en su cubierta exterior, con su nombre comercial o marca, dirección física y electrónica y teléfono de contacto;
9.10.4.7. Entregar al titular del alcoholímetro las instrucciones de operación y manual de uso en castellano, como también copia de los certificados y declaraciones de conformidad obtenidos para efectos de demostrar la conformidad de sus instrumentos;
9.10.4.8. Tomar las medidas correctivas necesarias para recoger o retirar del mercado aquellos alcoholímetros respecto de los cuales se tenga motivos para pensar que no están conformes con los requisitos establecidos en el presente reglamento técnico metrológico;
9.10.4.9. Permitir a la Superintendencia de Industria y Comercio o a la Entidad que haga sus veces, el acceso a toda clase de información y documentación que sea necesaria para efectos de demostrar la conformidad de los alcoholímetros que introdujo al mercado.
9.10.4.10 Incorporar al Sistema de Información de Metrología Legal -SIMEL de la Superintendencia de Industria y Comercio, de manera anticipada al momento de introducir los alcoholímetros evidencíales al mercado nacional, y/o de reportar la importación de los mismos a través de la Ventanilla Única de Comercio Exterior -VUCE, la información que se relaciona a continuación:
a) Certificado de conformidad de modelo;
b) Manuel de instalación y de usuario del modelo del instrumento registrado; y,
c) Esquema de precintos del alcoholímetro evidencial donde se especifique el lugar de instalación de los mismos, sus características, codificación y ubicación.
9.10.4.11. Indicar a través de la Ventanilla Única de Comercio Exterior -VUCE, el número de registro en el SIMEL del tipo o modelo del alcoholímetro evidencial cuyos documentos incorporados en dicho sistema demuestren la conformidad de las unidades importadas.
9.11. Prohibición de comercialización y uso del alcoholímetro. Los alcoholímetros sujetos a control metrológico que no superen la evaluación de la conformidad en los términos establecidos en esta reglamentación técnica, no podrán ser utilizados dentro del territorio nacional en actividades de naturaleza pericial, judicial y/o administrativa.
9.12. Autoridad de inspección, vigilancia y control. En concordancia con lo establecido en los numerales 3.4.1 y 3.4.2 de la Resolución SIC 64190 de 2015, la Superintendencia de Industria y Comercio y la Dirección de Impuestos y Aduanas Nacionales -DIAN-, ejercerán como autoridades administrativas encargadas de vigilar el cumplimiento del presente reglamento técnico metrológico en la fase de evaluación de la conformidad; y será autoridad administrativa que vigile el cumplimiento de este reglamento técnico respecto de ios alcoholímetros en servicio, esta Entidad, y, en ejercicio de esas facultades podrá, según lo previsto en los numerales 8 y 9 del artículo 59 de la Ley 1480 de 2011, ordenar; (i) que se detenga la comercialización o puesta en servicio de un alcoholímetro que no cumpla con los requisitos definidos en este reglamento técnico, (ii) la no utilización temporal o definitiva de lo(s) alcoholímetro(s) que no apruebe(n) la verificación metrológica descrita en el numeral 9.13 de este reglamento, (iii) adoptar las medidas procedentes para asegurar que se ajuste metrológicamente el instrumento que se encuentre en servicio fuera de los errores máximos permitidos e (iv) imponer las sanciones contempladas en el artículo 61 de la Ley 1480 de 2011 a que haya lugar previa investigación administrativa, sin perjuicio de las competencias que en esta materia poseen los entes territoriales.
9.13. Fase de control metrológico de alcoholímetros en servicio. El control metrológico de los alcoholímetros en uso, tiene por objeto comprobar y confirmar que el instrumento que aprobó satisfactoriamente la etapa de evaluación de la conformidad, mantiene sus características metrológicas y continúa proveyendo mediciones de calidad y dentro de los errores máximos permitidos definidos en el presente reglamento técnico.
9.13.1. Verificación metrológica periódica, de después de reparación y extraordinaria.
La verificación metrológica periódica, de después de reparación y extraordinaria se realiza de conformidad con lo dispuesto en el numeral 9.13.4, teniendo en consideración el cumplimiento de los EMP definidos en el numeral 9.4.2.2.2 para un alcoholímetro evidencial en servicio. Esta verificación está a cargo del Organismo Autorizado de Verificación Metrológica -OAVM designado por la Superintendencia de Industria y Comercio mediante convocatoria pública, quien deberá acreditarse ante el Organismo Nacional de Acreditación de Colombia -ONAC con alcance al presente reglamento técnico, de acuerdo con los requisitos que establezca el ONAC a través del Criterio Específico de Acreditación -CEA correspondiente.
9.13.2. Requisitos de elegibilidad y obligaciones del OAVM. El OAVM designado para verificar alcoholímetros, etilómetros y/o alcohosensores evidencíales en servicio, debe cumplir las obligaciones establecidas en la Resolución SIC 64189 del 16 de septiembre de 2015 así como los demás requisitos que defina la Superintendencia de Industria y Comercio a través de convocatoria pública.
9.13.3. Obligaciones del organismo de verificación. Son obligaciones del organismo de verificación de alcoholímetros evidencíales las siguientes:
a) Expedir el certificado de verificación del alcoholímetro examinado, únicamente cuando se haya agotado el procedimiento de verificación establecido en el numeral 9.13.4 de este reglamento técnico, y haya aprobado la totalidad de las pruebas administrativas y técnicas;
b) Reportar a través del Sistema de Información de Metrología Legal -SIMEL de la Superintendencia de Industria y Comercio, las actividades de verificación metrológica que realiza, identificando plenamente las eventuales inconsistencias encontradas en el alcoholímetro Inspeccionado y el nombre e identificación del titular del mismo;
c) Mantener vigente la acreditación reconocida por el ONAC para efectos de permitirse su operación;
d) Almacenar y custodiar la información de los resultados de la verificación metrológica de los alcoholímetros, y dar acceso a dicha información a la autoridad competente cuando así se requiera;
e) Constituir y mantener vigente, una póliza de responsabilidad civil extracontractual en la forma que lo defina el ONAC para efectos de reconocer la acreditación.
f) Las demás que determine el ONAC en el CEA correspondiente.
9.13.4. Procedimiento de regularización, de verificación metrológica periódica y de después de reparación o modificación. Los procedimientos de regularización, de verificación metrológica periódica o de verificación metrológica de después de reparación o modificación constan de la realización de un examen administrativo y de un examen técnico de carácter metrológico mediante la ejecución de los ensayos que se señalan más adelante.
Todo titular del alcoholímetro evidencial que se encuentren en servicio a la fecha de entrada en vigencia del presente reglamento técnico, deberá permitir y sufragar de manera anticipada el costo de la verificación metrológica de sus instrumentos por parte del OAVM designado, de acuerdo con el precio que determine la Superintendencia de Industria y Comercio mediante acto administrativo.
Se denomina regularización a la primera verificación metrológica de un alcoholímetro evidencial que se encontraba en servicio a la fecha de entrada en vigencia de este reglamento técnico, y se realiza después de que el OAVM ha creado la tarjeta de control metrológico (TCM) de dicho instrumento de en el SIMEL.
Sin perjuicio de la obligación del titular del instrumento de mantenerlo ajustado metrológicamente en todo momento según lo señalado en el parágrafo 2 del artículo 2.2.1.7.14.4 del Decreto 1074 de 2015, la verificación metrológica periódica de los alcoholímetros en servicio se realiza cada año a partir de su regularización.
El OAVM podrá efectuar la verificación metrológica periódica dentro del mes anterior o hasta el último día del mes siguiente contado a partir de la fecha en que se practicó la última verificación metrológica.
Siempre que se efectúe una reparación o modificación a un alcoholímetro evidencia! que implique la rotura de precintos de seguridad, se deberá realizar un nuevo procedimiento de verificación metrológica por parte del OAVM para comprobar que ese instrumento continúa proveyendo mediciones dentro de los errores máximos permitidos señalados en este reglamento técnico.
Los alcoholímetros evidencíales que han sido reparados o modificados podrán ser utilizados de nuevo, únicamente cuando el reparador que los intervenga haya registrado dicha reparación en el SIMEL y retirado la etiqueta de no conformidad de que trata el numeral 9.15.
PARÁGRAFO. Todo procedimiento de regularización, de verificación metrológica periódica y/o de verificación metrológica de después de reparación o modificación, genera la obligación de pagar dichos servicios a cargo del titular del instrumento y a favor del OAVM designado, de manera anticipada a la realización de los mismos y de conformidad con los precios que sean establecidos por la Superintendencia de Industria y Comercio a través de acto administrativo.
9.13.4.1. Examen administrativo. El examen administrativo constará de las siguientes actuaciones:
9.13.4.1.1. Comprobación de las características del alcoholímetro evidencia!. El organismo de verificación debe comprobar que el alcoholímetro analizado posee la placa de características señalada en el numeral 9.6 de este reglamento técnico.
9.13.4.1.2. Comprobación de demostración de conformidad. El organismo de verificación debe comprobar que el alcoholímetro evidencial inspeccionado demuestra conformidad en la forma establecida en el numeral 9.10 del presente reglamento técnico.
9.13.4.1.3. Comprobación de precintos. El organismo de verificación debe comprobar que se mantiene la integridad de los precintos de seguridad que son exigidos en la presente reglamentación de manera que no se ha puesto en riesgo la integridad del instrumento frente a manipulaciones intencionales o no, y que estos coinciden con los especificados en el examen de tipo o aprobación de modelo (si lo tiene) o en la declaración de conformidad de acuerdo con lo señalado en el numeral 9.10.1.2.
En el caso de existir precintos electrónicos se tomará nota del número correlativo de control. Del mismo modo si el instrumento ha sido objeto de reparación, ajuste o modificación, el organismo de inspección deberá verificar en número y posición los precintos que fueron colocados por el reparador.
9.13.4.2. Examen metrológíco
9.13.4.2.1. Condiciones de referencia. El examen metrológíco debe realizarse bajo las siguientes condiciones de referencia:
Temperatura ambiente: 20 °C ± 5 °C.
Humedad relativa: 60 % ± 15 %.
Tensión de alimentación: tensión nominal (Vnom).
Frecuencia de alimentación: Frecuencia nominal (FnOm).
Fracción total de hidrocarburos en ambiente (equivalente en metano): 2.10'6.
9.13.4.2.1.1. Valores característicos del gas utilizado para los ensayos. El gas de ensayo inyectado de forma continua en el alcoholímetro a verificar deberá tener los siguientes parámetros:
a) Volumen liberado: 3 L ± 0.3 L.
b) Duración total de la inyección: 5s± 1 s.
c) Humedad relativa del gas: al menos 95 %.
d) Temperatura del gas: 34 °C ± 0.5 °C.
e) Gas portador: aire puro con una fracción de CO2 del 5 % ± 1 %.
9.13.4.2.1.2. Repetibilidad. Ver el numeral 9.4.2.4 de este reglamento técnico metrológíco.
Requerimientos de cumplimiento:
a) La desviación típica experimental para toda concentración menor o igual de 1 mg/L debe ser menor de 0.007 mg/L; y,
b) La desviación típica experimental para toda concentración mayor de 1 mg/L debe ser menor de 1.75 % del valor verdadero de la concentración másica.
9.13.4.2.1.3. Equipos utilizados para la realización de los ensayos. Los medios utilizados para la verificación de los alcoholímetros deben proveer de un gas de ensayo con la adecuada concentración másica de etanol, con un caudal de entre 0.2 L/s y 1 L/s, durante un tiempo mínimo de 5 s, así como permitir determinar el valor verdadero de la concentración con una incertidumbre expandida (k = 2) menor o igual de un tercio del error máximo permitido.
Teniendo en cuenta el alcoholímetro a verificar, los ensayos se deben realizar con la máxima frecuencia que permita el instrumento.
9.13.4.2.1.4. Ensayo de exactitud y repetibilidad. Para la comprobación de los errores máximos permitidos de alcoholímetros en servicio, los ensayos deben realizarse en los intervalos de concentración que se encuentren en la siguiente tabla, en concordancia con lo establecido en el artículo 5o de la Ley 1696 de 2013;
| Gas de prueba No. | Concentración en unidades equivalentes de mg de etanol/100 mL de sangre |
| 1 | 20 |
| 2 | 40 |
| 3 | 100 |
| 4 | 150 |
| 5 | 200 |
En el caso de la verificación periódica se realizarán cinco inyecciones de cada gas de ensayo y para la verificación después de reparación o modificación diez inyecciones
9.13.4.2.1.5. Factores de influencia en los parámetros que caracterizan los gases de ensayo. Para estos ensayos los valores de los parámetros que no están especificados deben ser los establecidos en el numeral 9.13.4.2.1.3 de esta resolución, modificándose solamente el parámetro objeto del ensayo especificado. Para cada ensayo se realizarán cinco medidas usando el gas de ensayo n.° 4 del numeral 9.13.4.2.1.4. Cada una de estas medidas debe respetar los errores máximos permitidos.
9.13.4.2.1.6. Influencia del volumen liberado
a) Volumen liberado: 1.5 L ± 0.3 L
b) Volumen liberado: 4.5 L ± 0.3 L
9.13.4.2.1.7. Influencia de la duración de la exhalación
Duración total de la inyección: 15 s ± 1 s.
9.13.4.3. Colocación de precintos. Al finalizar el procedimiento de regularización, el OAVM debe precintar el instrumento en los puntos definidos en el examen de tipo o aprobación de modelo, o en todos aquellos que sea necesario para impedir el acceso a la parametrización de funciones metrológicas.
9.14. Superación de la verificación metrológica. Cuando el resultado de la verificación metrológica sea satisfactorio, el OAVM adherirá en lugar visible del alcoholímetro evidencial una “etiqueta de verificación” cuyas características, formato y contenido serán los siguientes:

Descripción de los campos:
1. Encabezado. La etiqueta de marcado de conformidad metrológica siempre deberá llevar como encabezado el texto “SUPERINTENDENCIA DE INDUSTRIA Y COMERCIO”, y a renglón seguido “CONTROL METROLÓGICO” en mayúscula.
2. Organismo de verificación. Este campo contiene el nombre o razón social del OAVM que efectuó la verificación metrológica del alcoholímetro.
3. Resultado de la Verificación: Este campo siempre deberá contener la palabra “CONFORME” en color verde.
4. Fecha de verificación: Corresponde a la fecha exacta en que se efectuó la verificación metrológica del alcoholímetro, la cual deberá ser fijada de la siguiente manera:
Año / Mes / Día
5. Próxima verificación: Corresponde a la fecha límite en la cual se vence la verificación metrológica periódica practicada por el OAVM. En este campo, se deberá perforar las casillas correspondientes al día, mes y año en que se vence la verificación periódica.
6. Número serial del alcoholímetro: Este campo debe contener el número de serie del alcoholímetro evidencial verificado, el cual debe corresponder con la información consignada en los documentos que demuestran la conformidad del instrumento de medición frente al reglamento.
7. Nombre y firma del verificador. En la parte inferior izquierda de la etiqueta, deberá fijarse el nombre y firma del verificador del OAVM que efectuó el procedimiento correspondiente.
Características de la Etiqueta. La etiqueta debe estar confeccionada con un material resistente a los agentes externos, tanto atmosféricos como abrasivos y a los impactos. Será de tipo adhesivo y autodestructiva al desprendimiento; debe tener forma rectangular, fondo de color amarillo y sus dimensiones deben ser suficientemente grandes para permitir que los usuarios del instrumento se informen sobre su conformidad con el presente reglamento técnico.
Se deberán mantener las proporciones de la fuente y tamaño dependiendo del alcoholímetro en el cual deba fijarse la etiqueta.
9.15. No superación de la verificación metrológica. El alcoholímetro evidencial que no supere el procedimiento de verificación como consecuencia de deficiencias detectadas, deberá ser puesto fuera de servicio hasta que se subsanen las fallas encontradas previa orden administrativa impartida por esta Superintendencia.
Quedará retirado del servicio y por tanto no podrá volver a utilizarse en actividades sujetas a control metrológico, aquel alcoholímetro que (i) haya sido puesto en servicio con posterioridad a la entrada en vigencia del presente reglamento técnico metrológico y no haya demostrado su conformidad en los términos señalados en el numeral 9.10, y también (ii) cuando no se haya informado de la realización de una reparación o modificación que implicó la rotura de precintos y se detecten irregularidades en los precintos instalados por el organismo de inspección.
En este caso el procedimiento a seguir es el siguiente:
Se debe entregar al titular del alcoholímetro el acta de verificación metrológica donde consten las no conformidades encontradas y los resultados de las pruebas y los ensayos efectuados. En el acta se debe advertir al titular que el instrumento no puede ser utilizado con fines periciales, judiciales y/o administrativos.
El acta debe ser impresa y posteriormente firmada por el verificador.
La Superintendencia de Industria y Comercio podrá, si lo considera necesario, expedir el acto administrativo de suspensión de uso del instrumento.
En caso de que el alcoholímetro ya haya sido reparado o modificado, el OAVM debe realizar la verificación metrológica de después de reparación o modificación antes de ser puesto en servicio por parte de su titular.
Todo alcohosensor que no haya superado la verificación metrológica dispuesta en este reglamento técnico metroiógico, deberá llevar adherida una etiqueta fijada en un lugar visible del instrumento de medición, ya sea en el visor o en algún elemento de la instalación que lo soporta, cuyas características, formato y contenido, serán los siguientes:

Descripción de los campos:
1. Encabezado. La etiqueta siempre deberá llevar como encabezado el texto "SUPERINTENDENCIA DE INDUSTRIA Y COMERCIO”, y a renglón seguido "CONTROL METROLÓGICO” en mayúscula.
2. Organismo de verificación. Este campo contiene el nombre o razón social del OAVM que efectuó el procedimiento de verificación del alcoholímetro.
3. Resultado de la Verificación. Éste campo siempre deberá contener la palabra “NO CONFORME'.
4. Fecha de verificación: Corresponde a la fecha exacta en que se efectuó la verificación metrológica del instrumento de medición, la cual deberá ser fijada de la siguiente manera:
Año / Mes / Día
5. Nombre y firma del verificador. En la parte inferior izquierda de la etiqueta, deberá fijarse el nombre y firma del verificador del OAVM que efectuó el procedimiento correspondiente.
6. Número serial del alcoholímetro: Este campo debe contener el número de serie del alcoholímetro evidencial verificado, el cual debe corresponder con la información consignada en los documentos que demuestran la conformidad del instrumento de medición frente al reglamento.
Características de la Etiqueta. La etiqueta de marcado de no conformidad del instrumento de medición debe estar confeccionada con un material resistente a los agentes externos, tanto atmosféricos como abrasivos y a los impactos. Será de tipo adhesivo y autodestructiva al desprendimiento; debe tener forma rectangular, fondo de color rojo y sus dimensiones deben ser suficientemente grandes para permitir que los usuarios del instrumento se informen sobre su no conformidad con el presente reglamento técnico.
Se deberán mantener las proporciones de la fuente y tamaño dependiendo del alcoholímetro en el cual deba fijarse la etiqueta.”
9.16. Reparadores. Únicamente respecto de las reparaciones o modificaciones de los alcoholímetros evidencíales que impliquen la rotura de precintos, deben ser realizadas por una persona natural o jurídica inscrita como reparador en el registro de reparadores de SIMEL de la Superintendencia de Industria y Comercio, conforme a lo establecido en el numeral 3.7 de la Resolución 64190 de 2015 y demás disposiciones establecidas por esta Superintendencia. El registro se hace por una sola vez.
Los titulares de los alcoholímetros evidencíales que deban reparar sus equipos, bien sea de manera preventiva o como consecuencia de una orden impartida por la Superintendencia de Industria y Comercio, podrán contratar los servicios de cualquier reparador que se encuentre inscrito en SIMEL.
Para efectos de las reparaciones que se propone llevar a cabo, el reparador que se inscriba en SIMEL deberá precisar, en ese mismo registro, la información que se detalla a continuación.
9.16.1. Información de carácter administrativo y técnico. En la inscripción se deberá incorporar la siguiente información:
a) Nombre y apellido de la persona natural o razón social de la persona jurídica;
b) Número de identificación (C.C. o N.I.T);
c) Domicilio principal y secundarios donde realiza sus actividades de reparación o modificación de alcoholímetros evidencíales;
d) La(s) marca(s), modelo(s) y tipo(s) de instrumento(s) que repara, precisando sus características fundamentales; y,
e) Indicación de la experiencia y conocimientos que posee en la reparación de alcoholímetros evidencíales.
Adicionalmente deberá anexar en SIMEL todos los documentos que sirvan de soporte para demostrar su idoneidad, capacidad, experticia y experiencia en la reparación de alcoholímetros evidencíales.
Una vez inscrito, SIMEL le asignará un número de identificación. Los precintos que ponga el reparador inscrito deberán identificarse con ese número.
El registro del reparador en SIMEL tendrá carácter público respecto del nombre, dirección y teléfono del reparador.
9.16.2. Actuaciones de los reparadores. El reparador que haya reparado o modificado un alcoholímetro evidencial, una vez comprobado su correcto funcionamiento y que sus mediciones se hagan dentro de los errores máximos permitidos (EMP), deberá retirar la etiqueta de no superación de la verificación metrológica cuando haya lugar a ello y colocar nuevamente los precintos que haya tenido que levantar para llevar a cabo la reparación o la modificación.
Una vez reparado o modificado el alcoholímetro evidencial de manera satisfactoria, el reparador deberá registrar la actuación adelantada en SIMEL con indicación del objeto de la reparación o modificación, especificación de los elementos sustituidos, los ajustes y controles efectuados, la indicación de los elementos precintados en el instrumento, la codificación de los precintos utilizados y la fecha de la reparación o modificación. Desde SIMEL se generará una alerta al OAVM para la realización de la verificación metrológica subsecuente.
El reparador deberá poseer los medios técnicos adecuados y necesarios para realizar correctamente su trabajo.
Si la actuación de un reparador en un alcoholímetro evidencial no implica la rotura de precintos que hayan sido puestos por el OAVM, esta operación no estará sujeta a posterior verificación por parte del OAVM ni a registro en SIMEL.
PARÁGRAFO. Con independencia del registro del procedimiento efectuado por el reparador en SIMEL, éste deberá conservar pruebas documentales de la reparación efectuada tales como copia del acta de reparación donde se incorporen los resultados de los ensayos efectuados, piezas remplazadas si las hubo, fotografías de los instrumentos reparados y de los precintos colocados, etc. Esta documentación deberá conservarse por un término no inferior a tres (3) años contados a partir del momento en que realizó el procedimiento de reparación.
9.16.3. Régimen de responsabilidad de los reparadores. Los reparadores son responsables del cumplimiento de sus obligaciones dentro del marco establecido en este reglamento técnico.
Con independencia de la imposición de sanciones administrativas a las que haya lugar, si después de verificar la información incorporada en SIMEL por parte del reparador se establece su falsedad o inexactitud, la Superintendencia de Industria y Comercio podrá cancelar el registro del reparador en el SIMEL.
9.17. Precintos de seguridad
9.17.1. Requisitos mínimos. Los precintos utilizados por el OAVM y los reparadores deberá ser de tipo etiqueta de papel o material plástico hechos de acetato destructible.
Asimismo deberán como mínimo cumplir los siguientes requisitos:
a) Ser fácil de usar;
b) Debe ser durable y resistente a ruptura accidental, a los agentes externos tanto atmosféricos como abrasivos y a los impactos;
c) Su diseño debe garantizar que sólo pueda ser utilizado una vez;
d) Debe destruirse en sus partes esenciales cuando se abra o altere, o que de cualquier forma deje rastro del acceso al alcoholímetro precintado;
e) Debe ser lo suficientemente complejo para evitar la duplicación, y si ello no fuere posible, la numeración no deberá ser reproducida en un periodo inferior a cuatro (4) años;
f) Debe Poseer un código de barras que cumpla con el estándar de captura de información establecido en la norma internacional ISO /IEC 18004:2015 incluyendo identificadores de aplicación y Función 1. La información que debe contener el código de barras es la siguiente:
(i) Identificación única, global e inequívoca del OAVM o reparador; de trece (13) números, que no sea asignado de forma unilateral,
(ii) Número serial del precinto de seguridad asignado en orden consecutivo, compuesto por una codificación alfanumérica que combine máximo veinte (20) caracteres escogidos por el OAVM.
9.18. Obligaciones del titular del alcoholímetro evidencial en servicio
Son obligaciones del titular del alcoholímetro evidencial en servicio, las siguientes:
a. Crear una hoja de vida de cada alcoholímetro evidencial en servicio la cual debe contener como mínimo los siguientes datos:
- Descripción del equipo (marca, modelo y número de serie);
- Fecha en que se ha puesto en servicio;
- Documentos que demuestran la conformidad del instrumento antes de ser puesto en servicio (certificado de examen de tipo o aprobación de modelo y declaración de conformidad junto con los resultados de los ensayos de la verificación inicial);
- Informes de mantenimiento; y,
- Informe sobre las verificaciones intermedias hechas al instrumento antes de ser utilizado.
b. Efectuar periódicamente los mantenimientos y ajustes que se requieran en el alcoholímetro evidencial a fin de asegurar la calidad de la medición en todo momento, y guardar registro documental de cada procedimiento efectuado.
c. Realizar verificaciones metrológicas intermedias a los alcoholímetros evidencíales, o al menos en las fechas en que son utilizados en actividades periciales, judiciales o administrativas, las cuales deben quedar registradas en la hoja de vida del instrumento con indicación de la fecha de la verificación, la identificación del material de referencia certificado que fue utilizado y el resultado de esa validación.
d. Permitir y sufragar el costo del procedimiento de verificación metrológica periódica y de después de reparación o modificación.
PARÁGRAFO. Los alcoholímetros que venían siendo utilizados en actividades sujetas a control metrológico, antes de la fecha de entrada en vigencia de este reglamento técnico metrológico, podrán continuar proporcionando los resultados de medida en las unidades en que se encuentran configurados, salvo que el instrumento permita el ajuste de la unidad de medida en mg de etanol/100mL de sangre con el factor de conversión señalado en el numeral 9.13.1.
9.19. Transitoriedad en el control metrológico de alcoholímetros en servicio. <Numeral modificado por el artículo 4 de la Resolución 35152 de 2023. El nuevo texto es el siguiente:> Hasta tanto se haya acreditado el primer organismo de verificación de alcoholímetros evidenciales ante el ONAC, los alcoholímetros evidenciales que se utilizan en actividades sujetas a control metrológico deberán ser calibrados en la forma y periodicidad que se establece en la Resolución 1844 de 2015 del Instituto Nacional de Medicina Legal y Ciencias Forenses, o cualquier otra norma que la modifique.
PARÁGRAFO. Este artículo quedará sin efectos, con la entrada en vigor del presente reglamento técnico metrológico.
9.20. Régimen sancionatorio. La inobservancia a lo dispuesto en la presente Resolución, dará lugar a la imposición de las sanciones previstas en el artículo 61 de la Ley 1480 de 2011, previa investigación administrativa.
9.21. Régimen de transición. Los alcoholímetros, etilómetros y/o alcohosensores evidencíales producidos en el país o importados antes de la fecha de entrada en vigencia del presente reglamento técnico, únicamente podrán ser comercializados hasta seis (6) meses después de la fecha señalada en el artículo 3 de esta resolución.
ARTÍCULO 2o. El Anexo No. 1 “MODELO DE DECLARACIÓN DE LA CONFORMIDAD PARA ALCOHOLÍMETROS, ETILÓMETROS Y/O ALCOHOSENSORES EVIDENCIALES”, hace parte integral de esta norma y es obligación del productor y/o importador utilizarlo conforme a las instrucciones que allí se describe para demostrar la conformidad de sus productos en la forma que lo establece este reglamento técnico.
ARTÍCULO 3o. La presente Resolución entrará en vigencia seis (6) meses después de la fecha de su publicación en el Diario Oficial.
PUBLÍQUESE Y CÚMPLASE
Dada en Bogotá D.C., a los, 28 DIC. 2017
El superintendente de Industria y Comercio
PABLO FELIPE ROBLEDO DEL CASTILLO
MODELO DE DECLARACIÓN DE CONFORMIDAD PARA ALCOHOLÍMETROS EVIDENCIALES.
RESOLUCIÓN 88919 DEL 28 DE DICIEMBRE DE 2017
1.Orientación para completar el formulario de declaración de conformidad
NOTA Los números 1) a 7) se refieren al modelo de declaración de conformidad del numeral 2.1 de este anexo.
1. Es obligatorio identificar cada declaración unívocamente. I
2. Se debe especificar en forma inequívoca al emisor responsable. Persona natural: nombre y número de identificación. Persona jurídica: razón social y NIT. Para grandes organizaciones, puede ser necesario especificar grupos operativos o departamentos.
3. Se debe describir el "objeto” en forma inequívoca de modo que la declaración de conformidad pueda relacionarse con el objeto en cuestión.
4. Se debe identificar el número de serie del alcoholímetro evidencial y su modelo según certificado de examen de tipo o aprobación de modelo.
5. Para productos, una declaración de conformidad alternativa puede ser: "Tal como se entrega, el objeto de la declaración descrito anteriormente está en conformidad con los requisitos de los siguientes documentos”.
6. Es obligatorio que los documentos normativos que establecen los requisitos sean listados con sus números de identificación, título y fecha de emisión.
7. Se recomienda que aquí aparezca texto únicamente si se proporciona alguna limitación en la validez de la declaración de conformidad y/o cualquier información adicional. Esta información puede, por ejemplo, corresponder al apartado 6.2 de la norma ISO/IEC 17050:2004 o puede hacer referencia al marcado del producto de acuerdo con el capítulo 9 de esa misma norma. Dicho marcado del producto u otra indicación (por ejemplo, sobre el producto) puede ser un adjunto a la declaración de conformidad.
8. Es obligatorio proporcionar el nombre completo y la función de la o las personas que firman y están autorizadas por la dirección del emisor para firmar en su nombre. El número de firnías o equivalentes que se incluyan será el mínimo determinado por la forma legal de la organización del emisor.
2.2. Modelo de declaración de conformidad.
1) N° ................................................................
2) Nombre del emisor:...............................................................
Dirección del emisor:..............................................................
3) Objeto de la declaración: La presente declaración tiene por objeto demostrar que el alcoholímetro evidencial con número de serial _______________ es conforme con el tipo o modelo __________ marca ___________, cuyo certificado de examen de tipo y/o aprobación de modelo No. hace parte integral de esta declaración, y que además cumplió satisfactoriamente las pruebas metrológicas descritas en los documentos normativos descritos en el numeral ____________ del reglamento técnico metrológico aplicable a alcoholímetros evidencíales.
4) El objeto de la declaración anteriormente descrito está en conformidad con los requisitos de los siguientes documentos:
Documento n° ______________ Título
Edición/Fecha de emisión
5) _______________________________________
Información adicional:
6) Como soporte de esta declaración de conformidad, se adjunta a la misma el informe de ensayos No. ___________________ emitido por el laboratorio ________________ con certificado de acreditación _____________vigente No.________________
Firmado por y en nombre de:
____________________________
(Lugar y fecha de emisión)
7) _____________________________
(Nombre, función)
(Firma o equivalente autorizada por el emisor)
NOTAS AL FINAL:
1. Sentencia C-621 de 2012. M. P. Luis Ernesto Vargas Silva. Revisión de constitucionalidad de la "CONVENCIÓN PARA CONSTITUIR UNA ORGANIZACIÓN INTERNACIONAL DE METROLOGÍA LEGAL", y de la Ley 1514 del 6 de febrero de 2012, por medio de la cual fue aprobada. Expediente LAT-382. Bogotá 9 de agosto de 2012.
2. Ver OIMLD 31:2008; 5.1.1).
3. El Anexo B1 de la Recomendación OIML R 126 publicado en la página web de la Superintendencia de Industria y Comercio, incluye información explicativa y curvas de flujo generalmente aceptadas para ser utilizadas al establecer el desempeño del aparato de prueba.
4. Calibration and Measurements Capabílities (CMC).
5. Bureau International des Poids et Mesures -BIPM.
6. Únicamente en relación con el cumplimiento de los requisitos de software que de acuerdo con este reglamento técnico debe cumplir el alcoholímetro.



