RESOLUCIÓN 35152 DE 2023
(junio 26)
Diario Oficial No. 52.439 de 27 de junio de 2023
SUPERINTENDENCIA DE INDUSTRIA Y COMERCIO
Por la cual se modifica el Capítulo Noveno del Título VI de la Circular Única de la Superintendencia de Industria y Comercio.
LA SUPERINTENDENTE DE INDUSTRIA Y COMERCIO,
en ejercicio de sus facultades constitucionales y legales, en particular, las previstas en la Ley 1480 de 2011, en los Decretos números 4886 de 2011 y 1074 de 2015, y
CONSIDERANDO:
Que el artículo 78 de la Constitución Política, dispone que “[l]a ley regulará el control de calidad de bienes y servicios ofrecidos y prestados a la comunidad, así como la información que debe suministrarse al público en su comercialización. Serán responsables, de acuerdo con la ley, quienes en la producción y en la comercialización de bienes y servicios atenten contra la salud, la seguridad y el adecuado aprovisionamiento a consumidores y usuarios”.
Que el artículo 334 de la Constitución Política faculta al Estado para intervenir, por mandato de la ley, en la producción, distribución, utilización y consumo de los bienes para racionalizar la economía con el fin de conseguir el mejoramiento de la calidad de vida de los habitantes, los beneficios del desarrollo y la prevención de un ambiente sano, entre otras materias.
Que el artículo 3o de la Ley 155 de 1959 dispone que, “[e]l Gobierno intervendrá en la fijación de normas sobre pesas y medidas, calidad, empaque y clasificación de los productos, materias primas y artículos o mercancías con miras a defender el interés de los consumidores y de los productores de materias primas”.
Que el artículo 71 de la Ley 1480 de 2011 establece que, “[t]oda persona que use o mantenga un equipo patrón de medición sujeto a reglamento técnico o norma metrológica de carácter imperativo es responsable de realizar o permitir que se realicen los respectivos controles periódicos o aleatorios sobre los equipos que usa o mantiene, tal como lo disponga la norma. Los productores, expendedores o quienes arrienden o reparen equipos y patrones de medición deben cumplir con las normas de control inicial y realizar o permitir que se realicen los controles metrológicos antes indicados sobre sus equipos e instalaciones. Se presume que los instrumentos o patrones de medición que están en los establecimientos de comercio se utilizan en las actividades comerciales que se desarrollan en dicho lugar. Igualmente se presume que los productos preempacados están listos para su comercialización y venta”.
Que mediante la Ley 1514 de 2012, Colombia aprobó la “Convención para Constituir una Organización Internacional de Metrología Legal, firmada en París el 12 de octubre de 1955”.
Que en Sentencia C-621 de 2012, la Corte Constitucional declaró la exequibilidad de la Ley 1514 de 2012, explicando que “(…) la adhesión de Colombia a la Convención que se analiza, permite que tales disposiciones recogidas en recomendaciones de la OIML sean parte de nuestro sistema de calidad, otorgando al país un reconocimiento internacional de sus instrumentos de medición y de los resultados producidos, lo que ubica a Colombia en un nivel de competencia técnica que resulta acorde con los artículos 6-3 y 9o de la Ley 170 de 1994, en virtud de los cuales, como un claro lineamiento de la Organización Mundial del Comercio, se adquirió el compromiso que institucionalizar los sistemas internacionales de evaluación de la conformidad y de calidad confiable, para superar los obstáculos técnicos al comercio. Adicionalmente, ceñirse a los estándares internacionales en materia de metrología legal reporta como importancia que (i) los productos sean examinados para garantizar que cumplan los reglamentos de seguridad de protección contra características peligrosas; (ii) a los productos se les haga una medición cuantitativa para brindarle seguridad y confianza al consumidor, y (iii) se fomenta la normalización de los productos y de sus características en el plano internacional a través de las recomendaciones de la OIML, lo cual garantiza la adopción de los más estrictos y actuales estándares de calidad en beneficio de los productores y consumidores”.
Que mediante la Recomendación OIML R126:2021, “Evidential Breath Analyzers” (Alcoholímetros Evidenciales), de la Organización Internacional de la Metrología Legal (OIML), se estandarizaron los requisitos técnicos y metrológicos que deben cumplir los instrumentos de medición denominados analizadores de aliento evidenciales, con el fin de garantizar la calidad de las mediciones que proveen. Estándar internacional que fue actualizado en el año 2021 y constituye el fundamento técnico del presente reglamento técnico metrológico.
Que según lo previsto en el literal f) del artículo 131 de la Ley 769 de 2002, adicionado por el artículo 4o de la Ley 1696 de 2013, “(l)os infractores de las normas de tránsito serán sancionados con la imposición de multas, de acuerdo con el tipo de infracción así: (...) [c]onducir bajo el influjo del alcohol o bajo los efectos de sustancias psicoactivas. Esta conducta será sancionada con las multas establecidas en el artículo 152 de este Código. Si se trata de conductores de vehículos de servicio público, de transporte escolar o de instructor de conducción, la multa y el período de suspensión de la licencia se duplicarán. En todos los casos de embriaguez o alcoholemia el vehículo será inmovilizado. El estado de embriaguez o alcoholemia se establecerá mediante una prueba que no cause lesión, la cual será determinada por el Instituto de Medicina Legal y Ciencias Forenses”.
Que el artículo 26 de la Ley 769 de 2002, modificado por el artículo 7o de la Ley 1383 de 2010, fijó como causal de suspensión y de cancelación de la licencia de conducción, las siguientes: (…) [p]or encontrarse en estado de embriaguez o bajo efecto de drogas alucinógenas determinado por la autoridad competente (y) (…) [r]eincidencia al encontrarse conduciendo en cualquier grado de estado de embriaguez o bajo el efecto de drogas alucinógenas determinado por la autoridad competente”.
Que el parágrafo del artículo 26 de la Ley 769 de 2002, modificado por el artículo 3o de la Ley 1696 de 2013, dispuso que la resolución mediante la cual se impone la suspensión o cancelación de la licencia de conducción debe contener la prohibición expresa al conductor de conducir vehículos automotores durante el tiempo que se le suspenda o cancele la licencia. Igualmente estableció que aquella persona cuya licencia de conducción haya sido cancelada, podrá solicitar que se expida una nueva licencia luego de que hayan transcurrido veinticinco (25) años(1).
Que el artículo 152 de la Ley 769 de 2002, modificado el artículo 5o de la Ley 1696 de 2013, estableció los grados de alcoholemia que configuran las infracciones de tránsito que ameritan la imposición de una sanción, así: “(...) [g]rado cero de alcoholemia, entre 20 y 39 mg de etanol/100 ml de sangre total, (…) [p]rimer grado de embriaguez, entre 40 y 99 mg de etanol/100 ml de sangre total,(…) [s]egundo grado de embriaguez, entre 100 y 149 mg de etanol/100 ml de sangre total [y] (…) [t]ercer grado de embriaguez, desde 150 mg de etanol/100 ml de sangre total en adelante (…)”.
Que, del mismo modo, el artículo 152 de la Ley 769 de 2002, modificado por el parágrafo 4 del artículo 5o de la Ley 1696 de 2013 señaló que, “[e] n el evento en que la alcoholemia sea igual o superior a 20 mg de etanol/100 ml de sangre, se aplicarán las sanciones establecidas sin que sea necesario realizar pruebas adicionales para la determinación de la presencia de otras sustancias psicoactivas”.
Que de acuerdo con los numerales 6 y 7 del artículo 36 de la Ley 938 de 2004, el Instituto Nacional de Medicina Legal y Ciencias Forenses, en desarrollo de su misión, debe servir de organismo de verificación y control de las pruebas periciales y exámenes forenses practicados por los cuerpos de policía judicial del Estado y otros organismos, a solicitud de autoridad competente; y servir como centro científico de referencia nacional en asuntos relacionados con medicina legal y ciencias forenses, respectivamente.
Que mediante el Decreto número 1074 de 2015, Decreto Único Reglamentario del Sector Comercio, Industria y Turismo, se organizó el Subsistema Nacional de la Calidad, en lo que se refiere a las actividades de normalización, reglamentación técnica, acreditación, evaluación de la conformidad, metrología, vigilancia y control.
Que mediante el Decreto número 1595 de 2015, se adicionó y modificó el Capítulo VII del Título 1 de la Parte 2 del Libro 2 del Decreto número 1074 de 2015, en lo que se refiere a las disposiciones relativas al Subsistema Nacional de la Calidad.
Que mediante el Decreto número 1468 de 2020 se modificaron las Secciones 2, 5 y 6 del Capítulo VII del Título 1 de la Parte 2 del Libro 2 del Decreto número 1074 de 2015, particularmente en lo relacionado a las buenas prácticas de regulación.
Que el numeral 22 del artículo 2.2.1.7.2.1 del Decreto número 1074 de 2015, define el control metrológico legal como “[t]odas las actividades de metrología legal que contribuyen al aseguramiento metrológico, es decir, las actividades de supervisión efectuadas por la entidad competente o por quien haya sido designada por ella, de las tareas de medición previstas para el ámbito de aplicación de un instrumento de medida, por razones de interés público, salud pública, seguridad, protección del medio ambiente, recaudación de impuestos y tasas, protección de los consumidores, lealtad de las prácticas comerciales o actividades de naturaleza periciales, administrativas o judiciales(…)”.
Que el numeral 40 del artículo 2.2.1.7.2.1 del Decreto número 1074 de 2015 define el instrumento de medición como el “[d]ispositivo utilizado para realizar mediciones, solo o asociado a uno o varios dispositivos suplementarios”.
Que el artículo 2.2.1.7.14.1 del Decreto número 1074 de 2015 precisa que “[l] a Superintendencia de Industria y Comercio es la Entidad competente para instruir y expedir reglamentos técnicos metrológicos para instrumentos de medición sujetos a control metrológico (…). La Superintendencia de Industria y Comercio podrá además implementar las herramientas tecnológicas o informáticas que considere necesarias para asegurar el adecuado control metrológico e instruirá la forma en que los productores, importadores, reparadores y responsables de los instrumentos de medición reportarán información al sistema (…). La Superintendencia de Industria y Comercio reglamentará las condiciones y los requisitos de operación de los Organismos Autorizados de Verificación Metrológica y Organismos Evaluadores de la Conformidad que actúen frente a los instrumentos de medición”.
Que el artículo 2.2.1.7.14.2 del Decreto número 1074 de 2015, señala que “[t]odos los equipos, aparatos, medios o sistemas que sirvan como instrumentos de medida o tengan como finalidad la actividad de medir, pesar o contar y que sean utilizados en el comercio, en la salud, en la seguridad o en la protección del medio ambiente o por razones de interés público, protección al consumidor o lealtad en las prácticas comerciales deberán cumplir las disposiciones y los requisitos establecidos en el presente decreto y con los reglamentos técnicos metrológicos que para tal efecto expida la Superintendencia de Industria y Comercio y, en su defecto, con las recomendaciones de la Organización Internacional de la Metrología Legal (OIML) para cada tipo de instrumento”.
Que el artículo 2.2.1.7.14.3 del Decreto número 1074 de 2015 establece que “[e] n especial, están sujetos al cumplimiento de lo establecido en el presente capítulo los instrumentos de medida que sirvan para medir, pesar o contar y que tengan como finalidad, entre otras (…) [e]jecutar actos de naturaleza pericial, judicial o administrativa (…)”.
Que el numeral 1 del artículo 2.2.1.7.14.4 del Decreto número 1074 de 2015 establece las fases de control metrológico por las que deben pasar los instrumentos de medición que ingresen al mercado nacional; esto es la fase de evaluación de la conformidad y la fase de instrumentos en servicio.
Que mediante la Resolución número 1844 del 2015 del Instituto Nacional de Medicina Legal y Ciencias Forenses se adoptó la segunda versión de la “[g]uía para la Medición Indirecta de Alcoholemia a través de aire espirado” y, con ella, se determinó que para comprobar el estado de embriaguez se debe realizar un ensayo de medición de etanol en aire espirado, utilizando un analizador de alcohol denominado alcohosensor que mide la cantidad de etanol presente en un determinado volumen de aire espirado, para luego estimar la cantidad de etanol en sangre a partir de esta medida.
Que de acuerdo con lo ordenado en los numerales 41, 42, 44, 45, 48 y 49 del artículo 1o del Decreto número 4886 de 2011, entre otras funciones, le corresponde a la Superintendencia de Industria y Comercio, respectivamente: “41. Organizar e instruir la forma en que funcionará la metrología legal en Colombia.”, “42. Ejercer funciones de control metrológico de carácter obligatorio en el orden nacional”, “44. Establecer el procedimiento e instruir la forma en que se hará la aprobación de modelo para los instrumentos de medida que cuenten con la respectiva aprobación de modelo (…)”, “45. Ejercer el control sobre pesas directamente o en coordinación con las autoridades del orden territorial”, “48. Fijar las tolerancias permisibles para efectos del control metrológico”, y “49. Expedir la reglamentación para la operación de la metrología legal”.
Que en los numerales 2 y 9 del artículo 14 del Decreto número 4886 de 2011 se confieren facultades al Superintendente Delegado para el Control y Verificación de Reglamentos Técnicos y Metrología Legal de la Superintendencia de Industria y Comercio, respectivamente, para “[v]elar por el cumplimiento de las normas y leyes vigentes y proponer nuevas disposiciones” y “[e]standarizar métodos y procedimientos de medición y calibración y establecer un banco de información para su difusión”.
Que a efectos de desarrollar lo dispuesto en los artículos 2.2.1.7.14.1 y subsiguientes del Decreto número 1074 de 2015, como lo previsto en el Capítulo Tercero del Título VI de la Circular Única de esta Superintendencia, y con el objetivo de fortalecer el ejercicio de las funciones a cargo de las Direcciones Territoriales de Tránsito, de la Policía Nacional y del Instituto Nacional de Medicina Legal y Ciencias Forenses, relacionadas con la verificación y control de las pruebas periciales y exámenes forenses practicados para determinar el estado de embriaguez de una persona al momento de conducir vehículos automotores, mediante la Resolución número 88919 de 2017 se adicionó el Capítulo Noveno en el Título VI de la Circular Única de esta Entidad y se reglamentó el control metrológico aplicable a alcoholímetros, etilómetros o alcohosensores evidenciales, para efectos de ser declarada su conformidad, y también para ser utilizados con fines periciales, judiciales o administrativos y, con ello, contribuir a la reducción de la accidentalidad vial.
Que el artículo 2.2.1.7.6.7 del Decreto número 1074 de 2015 establece que los reglamentos técnicos expedidos serán sometidos a revisión por parte de la autoridad reguladora, con el fin de determinar su permanencia, modificación o derogatoria, por lo menos, una vez cada cinco (5) años, contados a partir de su entrada en vigor, o antes, si cambian las causas que le dieron origen.
Que en el marco de la política de mejora normativa, y en cumplimiento de lo dispuesto en el artículo 2.2.1.7.6.2 del Decreto número 1074 de 2015, en la vigencia 2020 esta Superintendencia realizó un Análisis de Impacto Normativo (AIN) ex post de la Resolución número 88919 de 2017 y concluyó que “(…) una vez evaluadas las calificaciones obtenidas a través del ejercicio, así como los posibles efectos de cada alternativa en los criterios a evaluar, es posible concluir, de acuerdo con la participación de los agentes interesados, que resulta viable aplicar la alternativa 2, esto es, implementar una modificación a la Resolución 88919 de 2017 y permitir, así, la actualización de la regulación. Tal estrategia permitirá articular la normatividad vigente emitida por distintas entidades, con los controles metrológicos exigibles por cuenta del reglamento técnico, y con ello se facilitará el desarrollo de actividades de control metrológico a instrumentos en servicio. Tal curso de acción, si bien puede acarrear unos costos y esfuerzos de parte de las entidades y agentes interesados, resultará pertinente para la defensa de la salud y la protección de la vida en todo el territorio nacional”.
Que el mencionado AIN fue publicado para consulta en la página web de esta Superintendencia, entre el 28 de mayo y el 11 de junio de 2020 en su fase de definición de problema, y se otorgaron 10 días adicionales para aceptar aportes de los interesados. Además, se publicó entre el 1 y el 8 de septiembre de 2020, para la evaluación de impacto y análisis final de las alternativas de solución propuestas.
Que mediante Resolución número 32074 del 26 de junio de 2020, esta Superintendencia extendió la vigencia del término de transición para el control metrológico de alcoholímetros en servicio dispuesto en el numeral 9.19 del Capítulo Noveno del Título VI de la Circular Única, hasta el 30 de junio de 2022.
Que, en atención al concepto inicial remitido por el Grupo de Mejora Regulatoria del Departamento Nacional de Planeación, recibido el 24 de febrero de 2022, se realizaron ajustes al documento de AIN durante el primer semestre de la vigencia 2022.
Que mediante Resolución número 38984 del 21 de junio de 2022, esta Superintendencia extendió la vigencia del término de transición para el control metrológico de alcoholímetros en servicio dispuesto en el numeral 9.19 del Capítulo Noveno del Título VI de la Circular Única, hasta el 30 de junio de 2023.
Que el referido AIN, en su versión final, fue publicado para consulta en la página web de esta Superintendencia entre el 23 de septiembre y el 2 de octubre de 2022, para recibir comentarios de los interesados y, posteriormente, fue remitido al Departamento Nacional de Planeación para la correspondiente revisión metodológica, obteniendo concepto favorable de fecha 15 de septiembre de 2022.
Que de acuerdo con el parágrafo 1 del artículo 2.2.1.7.5.5 del Decreto número 1074 de 2015, no se debe realizar notificación o consulta pública internacional cuando la modificación del reglamento técnico haga menos gravosa la situación para los regulados, conforme a los términos definidos en dicha norma. Para el caso concreto, el resultado del AIN permite evidenciar que las modificaciones a realizar no hacen más gravosa la situación para los sujetos obligados, teniendo en cuenta que estas pretendieron aclarar y precisar la aplicación de los requisitos, especialmente respecto de las unidades de medida y la fórmula de conversión de unidades de aire espirado a sangre. Adicionalmente, acogieron opciones para facilitar la demostración de la conformidad con el reglamento técnico metrológico.
Que además de lo anterior, mediante radicado número 22-477463- -3 del 20 de diciembre de 2022, el Superintendente Delegado para la Protección de la Competencia de la Superintendencia de Industria y Comercio, rindió concepto previo de abogacía de la competencia, manifestando que: “Las disposiciones introducidas por las cinco modificaciones tienen efectos procompetitivos toda vez que incentivan la concurrencia en el mercado a través de la reducción de los costos que deben enfrentar los agentes económicos (menores barreras a la entrada) y la simplificación normativa, que afecta a las expectativas de los usuarios. Adicionalmente, el Proyecto reduce los costos de transacción, así como los de cumplimiento, lo que permite una menor carga regulatoria para el mercado. La actualización e inclusión de normas o estándares internacionales equivalentes dentro del Reglamento Técnico es procompetitiva en atención a que incorpora los estándares actuales del mercado en materia de alcohosensores con lo cual se mitiga el riesgo de que el reglamento técnico colombiano se constituya en una barrera de entrada o limitante para competir en el mercado”. En consecuencia, concluyó: “Por las razones expuestas, esta Superintendencia no presentará recomendaciones de cara a la iniciativa regulatoria”.
Que el presente proyecto fue publicado en la página web de la Superintendencia de Industria y Comercio entre el 29 de octubre y el 12 de noviembre de 2022, y entre el 17 y el 26 de mayo de 2023, siendo objeto de observaciones y comentarios que fueron debidamente analizados.
RESUELVE:
ARTÍCULO 1o. Modificar el Capítulo Noveno del Título VI de la Circular Única de esta Superintendencia, el cual quedará así:
Capítulo noveno
Reglamento técnico metrológico aplicable a alcoholímetros evidenciales
9.1. Objeto. El presente reglamento técnico metrológico tiene por objeto prevenir la inducción a error, con la finalidad de asegurar la calidad de las mediciones que proveen los alcoholímetros evidenciales.
Para cumplir este objetivo, el presente reglamento fija requisitos técnicos, metrológicos y administrativos que deben cumplir los alcoholímetros evidenciales, establece el procedimiento de evaluación de la conformidad, define las obligaciones para productores e importadores y dicta disposiciones frente a la inspección y/o verificación metrológica de estos instrumentos cuando se encuentran en servicio.
9.2. Ámbito de aplicación
a) Instrumentos de medición
Los requisitos técnicos, metrológicos y administrativos de este reglamento técnico son aplicables a los alcoholímetros evidenciales que son instrumentos cuantitativos que proporcionen un resultado de medición de la concentración de alcohol en el aliento humano espirado, y que tienen como finalidad la ejecución de actividades de naturaleza pericial, judicial o administrativa, y de actividades que pueden afectar la vida, la salud o la integridad física. La subpartida arancelaria se define a continuación:
| Ítem número | Partida número | Descripción Arancelaria | Productos |
| 1 | 9027.10.90.00 | Instrumentos y aparatos para análisis físicos o químicos (por ejemplo: polarímetros, refractómetros espectrómetros, analizadores de gases o humos); instrumentos y aparatos para ensayos de viscosidad, porosidad, dilatación, tensión superficial o similares o para medidas calorimétricas, acústicas o fotométricas (incluidos los exposímetros); micrótomos. Analizadores de gases o de humos. | Los demás |
| 2 | 9027.89.90.00 | Instrumentos y aparatos para análisis físicos o químicos (por ejemplo, polarímetros, refractómetros espectrómetros, analizadores de gases o humos); instrumentos y aparatos para ensayos de viscosidad, porosidad, dilatación, tensión superficial o similares o para medidas calorimétricas, acústicas o fotométricas (incluidos los exposímetros); micrótomos. | Los demás |
b) Personas
El presente reglamento técnico es exigible a los productores, importadores, comercializadores y distribuidores de alcoholímetros evidenciales, así como a Organismos Autorizados de Verificación Metrológica (OAVM), organismos evaluadores de la conformidad, titulares, reparadores y técnicos reparadores de los instrumentos objeto del presente reglamento.
PARÁGRAFO. Si un alcoholímetro evidencial ingresa al país bajo una subpartida arancelaria distinta de aquella descrita en este numeral, está sujeto al cumplimiento de las disposiciones contempladas en este reglamento.
9.2.1. Exclusiones y excepciones
9.2.1.1. Exclusiones: El presente Reglamento Técnico no aplica para productos que, a pesar de encontrarse incluidos en la subpartida arancelaria descrita previamente, no son alcoholímetros evidenciales. Se excluyen de la aplicación del presente reglamento técnico a alcohosensores, alcoholímetros o etilómetros que suministren un resultado preliminar, o que indiquen un resultado cualitativo, verbigracia “pasa” o “no pasa”, o a aquellos como los denominados alcoholímetros, alcohosensores o etilómetros para “screening”.
Para estos efectos, dichos alcoholímetros, cuyos resultados no podrán ser utilizados con fines periciales, judiciales ni administrativos por no encontrarse sujetos a control metrológico, deberán ser rotulados con una etiqueta indeleble adherida en una parte visible del instrumento que cubra al menos el 30% del área de este, en idioma español, cuyas características son las siguientes:
Este instrumento de medición no podrá ser utilizado con fines periciales, judiciales o administrativos.
9.2.1.2. Excepciones
Se exceptúan de la aplicación del presente Reglamento Técnico los alcoholímetros evidenciales cuyos fines no sean de tipo pericial, judicial o administrativo, por no encontrarse sujetos a control metrológico.
Para estos efectos deberán ser rotulados con una etiqueta indeleble adherida en una parte visible del instrumento que cubra al menos el 30% del área de este, en idioma español, cuyas características son las siguientes:
Este instrumento de medición no podrá ser utilizado con fines periciales, judiciales o administrativos.
PARÁGRAFO. Excepción de Demostración de conformidad. Sin perjuicio de lo dispuesto en el numeral 9.2., podrán ingresar al mercado nacional una cantidad determinada de alcoholímetros evidenciales de producción extranjera sin demostrar conformidad de acuerdo con lo previsto el numeral 9.8.1. Requisitos para la expedición del certificado de examen de tipo o aprobación de modelo, cuando vayan a ser objeto de certificación por parte de un Organismo de Evaluación de la Conformidad (OEC), siempre que se haya celebrado un contrato entre el productor/importador y el OEC respectivo para este propósito.
En aplicación de esta excepción, el productor/importador deberá declarar bajo la gravedad de juramento que ninguno de los instrumentos ingresados al país será utilizado en actividades sujetas a control metrológico, o puesto en circulación, hasta que obtenga los certificados de conformidad correspondientes.
9.3. Definiciones. Para efectos de la aplicación e interpretación del presente Reglamento Técnico metrológico se deberán tener en cuenta las definiciones incluidas en el Decreto número 1074 de 2015, con sus modificaciones y adiciones, y aquellas incluidas en el Capítulo Tercero del Título VI de la Circular Única de la Superintendencia de Industria y Comercio.
También se deben considerar las definiciones contenidas en la recomendación de la OIML R 126:2021 y en el Vocabulario Internacional de Términos en Metrología Legal (VIML) OIML V1:2022, así como las siguientes:
- Alcohol: Para los propósitos de este reglamento la palabra “alcohol” es usada para referirse al alcohol etílico o al etanol.
- Alcoholímetro: Instrumento que mide y muestra la concentración en masa de alcohol en el aliento humano espirado dentro de límites de error específicos. Siempre que en este Reglamento Técnico se haga referencia a etilómetro, alcohosensor, analizador evidencial de aliento, Evidential Breath Analyser (o por sus siglas en inglés, ESA) instrumento de medición o simplemente instrumento, se está haciendo referencia indistintamente al instrumento alcoholímetro evidencial.
- Alcoholímetro evidencial: instrumento que mide y muestra la concentración en masa de alcohol en el aire espirado, utilizado para propósitos de evidencia y de prueba. Los resultados del análisis son indicados en lecturas numéricas no ambiguas.
- Alcoholímetro estacionario: Alcoholímetro diseñado únicamente para su uso en ubicaciones fijas al interior de edificios o lugares, que proporcionen condiciones de operación estables.
- Alcoholímetro móvil: Alcoholímetro diseñado para su uso en aplicaciones móviles (por ejemplo, en vehículos).
- Alcoholímetro portátil: Alcoholímetro diseñado para su uso dentro o fuera de edificios y en aplicaciones móviles (por ejemplo, dispositivos manuales, generalmente alimentados con una batería autónoma).
- Aire alveolar: Aire contenido en los alvéolos pulmonares, donde el intercambio gaseoso entre sangre y los gases contenidos dentro de los alvéolos tiene lugar.
- Aliento espirado final: Aire considerado lo suficientemente representativo del aire alveolar (en oposición al volumen anatómico muerto).
- Deriva: Cambio continuo o incremental en el tiempo de la indicación, debido a cambios en las propiedades metrológicas de un instrumento de medición.
- Dispositivo de ajuste: Dispositivo para ajustar el alcoholímetro cuando está en modo de mantenimiento.
- Dispositivo de verificación automática: Dispositivo o proceso interno que verifica si el alcoholímetro está ajustado adecuadamente. Dicho dispositivo puede incluir elementos internos de verificación (por ejemplo, de estabilidad de la señal o estabilidad de la temperatura) o elementos externos adicionales que se conectan al instrumento, tales como filtros ópticos o eléctricos o un cilindro con un gas de prueba con concentración conocida.
- Equipo bajo prueba (EBP): Muestra(s) del modelo de alcoholímetro evidencial que es entregado por el productor/importador al Organismo Evaluador de la Conformidad (OEC), con el fin de ser sometido a las pruebas y ensayos establecidos en este Reglamento Técnico.
- Error de medición: Valor de la magnitud medida menos el valor de cantidad de referencia.
- Error intrínseco: Error de un instrumento de medición, determinado bajo las condiciones de referencia.
- Efecto residual de la memoria: Diferencia entre los resultados de la medición para la misma concentración de alcohol cuando las muestras entregadas se intercalan con una muestra que contiene una concentración de alcohol más alta específica.
- Estabilización del alcohol: La estabilización comienza cuando la concentración de alcohol (representativa del aire alveolar) alcanza el 99% del valor de referencia del gas utilizado para la prueba y permanece estable.
- Fallo significativo: Diferencia entre el error (en la indicación) y el error intrínseco que sea mayor que el valor especificado en este Reglamento Técnico. Los fallos significativos solo son relevantes para los sistemas de medición electrónicos.
- Material de referencia: Material suficientemente homogéneo y estable con respecto a propiedades especificadas, establecido como apto para su uso previsto en una medición o en un examen de propiedades cualitativas.
- Material de referencia certificado (MRC): Material de referencia acompañado por la documentación emitida por un organismo autorizado, que proporciona uno o varios valores de propiedades especificadas, con incertidumbres y trazabilidades asociadas, empleando procedimientos válidos.
- Modo de medición: Modo claramente definido en el que el alcoholímetro puede hacer mediciones a la tasa que normalmente se esperaría durante la operación y en el cual debe cumplir con los requisitos de desempeño de este Reglamento Técnico.
- Modo de mantenimiento: Modo en el cual el alcoholímetro se puede ajustar y está sujeto a control metrológico. A este modo se le denomina también modo de prueba metrológica.
- Modo de espera: Modo del alcoholímetro en el que únicamente ciertos circuitos están activados con el fin de conservar energía y/o prolongar la vida del componente, y de lograr el modo de medición más rápidamente de lo que sería posible si se inicia desde el estado sin energía.
- Nombre del importador: Corresponde al nombre comercial o razón social de la empresa que importa a Colombia el alcoholímetro o sus componentes.
- Nombre del Fabricante: Se debe entender como el nombre comercial o razón social de la empresa que diseñó, produjo o fabricó en Colombia el alcoholímetro o sus componentes.
- Perturbación: Cantidad de influencia que tiene un valor dentro de los límites especificados en este reglamento, pero por fuera de las condiciones de operación especificadas para el instrumento de medición. Una cantidad de influencia es una perturbación si las condiciones de operación establecidas para esa magnitud no están especificadas.
- Volumen anatómico muerto: Área de conducción de flujo de gas conocida como el área de conducción sin intercambio significativo de un volumen definido. Este volumen varía según el individuo.
9.4. Requisitos técnicos y metrológicos.
9.4.1. Unidad de medida. Las unidades de medida que debe utilizar el alcoholímetro evidencial deben ser aquellas que están contempladas en el Sistema Internacional de Unidades (SI).
Salvo que se especifique lo contrario, las unidades en este documento corresponderán a alcohol en aire, expresadas en miligramos de alcohol por litro de aire (mg/L). El marcador decimal en la pantalla o en el impreso, será una coma sobre el renglón o un punto sobre el renglón.
El alcoholímetro debe ser capaz de convertir la medición de alcohol en aire espirado en unidades equivalentes de contenido de alcohol en masa por unidad de volumen de sangre.
En concordancia con lo establecido en el artículo 5o de la Ley 1696 de 2013, el alcoholímetro debe permitir el ajuste de la unidad de medida en miligramos de etanol por cien mililitros de sangre (mg etanol/100 ml de sangre), en adelante denominada concentración de alcohol en sangre equivalente.
Para transformar las unidades de masa de alcohol por volumen de aire espirado en unidades de masa de alcohol por volumen de sangre, la equivalencia es la siguiente:

PARÁGRAFO 1o. Para la presente resolución, se mostrarán los valores de concentración de aire y su correspondiente equivalente en sangre. El marcador decimal aplica para el modo mantenimiento o ajuste para los equipos que muestren resultados en sangre equivalente.
PARÁGRAFO 2o. Para efectos de la demostración de la conformidad de este tipo de instrumentos de medición producidos o importados al país, se podrán realizar las pruebas y los ensayos establecidos en este Reglamento Técnico, o en sus normas equivalentes, utilizando como unidad de medida la prevista en el numeral 5 de la recomendación OIML R126-1:2021.
9.4.2. Requisitos metrológicos
9.4.2.1. Intervalo de medición. El alcoholímetro debe tener la capacidad de medir, como mínimo, todas las concentraciones de masa en el intervalo de 0 mg/L hasta 2 mg/L de alcohol por volumen de aire.
Lo cual corresponde en unidades de sangre equivalente a:
La capacidad de medir, como mínimo, todas las concentraciones de masa en el intervalo de 0 mg/L hasta 420 mg/100 ml.
Sin perjuicio de lo anterior, el productor/importador puede definir un límite superior mayor al intervalo de medición mínimo requerido.
El alcoholímetro debe indicar cuando se haya excedido su límite superior de medición.
9.4.2.2. Errores Máximos Permitidos (EMP). Los siguientes EMP aplicarán dentro de las condiciones nominales de operación.
9.4.2.2.1. EMP para alcoholímetros en fase de evaluación de la conformidad (examen de tipo y/o aprobación de modelo y verificación inicial) y de después de reparación. El error máximo permitido, positivo o negativo, es 0,020 mg/L o 5% del valor de referencia de la concentración de alcohol, cualquiera que sea mayor.
Si el límite superior del intervalo de medición es mayor a 2,00 mg/L, el error máximo permitido será:
![]()
(Para todas las concentraciones de alcohol mayores de 2 mg/L)
Lo cual corresponde en unidades de sangre equivalente a:
El error máximo permitido, positivo o negativo, es 4,2 mg/100 ml o 5% del valor de referencia de la concentración de masa, cualquiera que sea mayor.
Si el límite superior del intervalo· de medición es mayor que 420 mg/100 ml, el error máximo permitido será:
![]()
(Para todas las concentraciones de masa mayores que 420 mg/100 ml)
9.4.2.2.2. EMP para alcoholímetros en fase de instrumentos en servicio (para la inspección o verificación periódica). El error máximo permitido, positivo o negativo, es 0,030 mg/L o 7,5% del valor de referencia de la concentración de alcohol, cualquiera que sea mayor.
Si el límite superior del intervalo de medición es mayor a 2,00 mg/L, el error máximo permitido será:
![]()
(Para las concentraciones de alcohol mayores de 2 mg/L)
Lo cual corresponde en unidades de sangre equivalente a:
El error máximo permitido, positivo o negativo, es 6,3 mg/100 ml o 7,5 % del valor de referencia de la concentración de masa, cualquiera que sea mayor.
Si el límite superior del intervalo de medición es mayor que 420 mg/100 ml, el error máximo permitido será:
![]()
(Para todas las concentraciones de masa mayores que 420 mg/100 ml)
9.4.2.3. División de escala. La división de escala del alcoholímetro debe ser al menos 0,01 mg/L en el modo de medición.
Un valor de medición de tres decimales debe ser redondeado hacia abajo a dos decimales. Por ejemplo, un valor de medición de 0,427 mg/L se redondea hacia abajo a 0,42 mg/L.
Sin embargo, en el modo de mantenimiento, debe ser posible mostrar una división de escala igual a 0,001 mg/L. Esta división de escala es utilizada para la prueba metrológica.
Para el caso de unidades de sangre equivalente, la división de escala del alcoholímetro debe ser al menos 1 mg/100 ml en el modo de medición.
Un valor de medición de un decimal debe ser redondeado hacia abajo a un número entero. Por ejemplo, un valor de medición de 89,6 mg/100 ml se redondea hacia abajo a 89 mg/100 ml.
Sin embargo, en el modo de mantenimiento, debe ser posible mostrar una división de escala igual a 0,1 mg/100 ml. Esta división de escala es utilizada para la prueba metrológica.
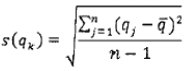
9.4.2.4. Repetibilidad. La repetibilidad del instrumento se expresa como la desviación estándar experimental de un número determinado de resultados de medición.
La desviación estándar experimental se da según la siguiente fórmula:

Siendo: qk el resultado de la k-ésima medición y la media aritmética de los n resultados considerados
La desviación estándar experimental para todas las concentraciones de masa será menor o igual a un tercio del error máximo permitido.
El alcoholímetro debe cumplir con los requisitos de este reglamento para la totalidad del Intervalo de medición especificado.
9.4.2.5. Deriva
9.4.2.5.1. Deriva cero. Bajo condiciones de referencia, el valor absoluto para la deriva cero no debe exceder 0,010 mg/L en un período de cuatro horas.
Lo cual corresponde en unidades de sangre equivalente a:
- Bajo condiciones de referencia, el valor absoluto para la deriva cero no debe exceder 2,1 mg/100 ml en un período de cuatro horas.
9.4.2.5.1.1. Deriva a corto plazo. Bajo condiciones de referencia, el valor absoluto de la deriva a corto plazo determinado en 0,40 mg/L no debe exceder 0,015 mg/L en un período de cuatro horas.
Lo cual corresponde en unidades de sangre equivalente a:
- Bajo condiciones de referencia, el valor absoluto de la deriva a corto plazo determinado en 84 mg/100 ml no debe exceder 3,15 mg/100 ml en un período de cuatro horas.
9.4.2.5.1.2. Deriva a largo plazo. Bajo condiciones de referencia, el valor absoluto de la deriva a largo plazo determinado cada dos semanas en 0,40 mg/L no debe exceder 0,020 mg/L en un período de seis meses, usando el mismo alcoholímetro.
Lo cual corresponde en unidades de sangre equivalente a:
- Bajo condiciones de referencia, el valor absoluto de la deriva a largo plazo determinado cada dos semanas en 84 mg/100 ml no debe exceder 4,2 mg/100 ml en un período de seis meses, usando el mismo alcoholímetro.
9.4.2.6. Efectos de memoria
9.4.2.6.1. Efectos de memoria con grandes diferencias en la concentración de la masa.
Bajo condiciones de referencia el efecto de memoria será menor que 0,010 mg/L (2,1 mg /100 ml).
9.4.2.6.2. Efecto de memoria con pequeñas diferencias en la concentración de masa.
Bajo condiciones de referencia el efecto de memoria será menor que 0,010 mg/L (2,1 mg /100 ml).
9.4.2.6.3 Efecto del vapor de agua. El alcoholímetro deberá ser diseñado y fabricado para que sus errores no superen los Errores Máximos Permitidos especificados en el numeral 9.4.2.2 cuando sean probados con gas de prueba húmedo en la respectiva condición de baja temperatura ambiente, como se indica en el numeral 9.4.2.7.1.
9.4.2.7. Condiciones de operación
9.4.2.7.1 Factores de influencia física. Los alcoholímetros deben estar diseñados y fabricados de tal manera que sus errores no superen los EMP indicados en el numeral 9.4.2.2 bajo las siguientes condiciones nominales de operación:
| a | Temperatura ambiente | Baja | 0 °C para alcoholímetros estacionarios -5 °C para alcoholímetros móviles, -10 °C para alcoholímetros portátiles |
| Alta | +40 °C para alcoholímetros estacionarios +45 °C para alcoholímetros móviles +45 °C para alcoholímetros portátiles | ||
| b | Humedad relativa | Hasta 85% a temperatura ambiente alta | |
| c | Presión atmosférica | 700 hPa – 1 060 hPa | |
| d | Vibración aleatoria | No se espera que los alcoholímetros estacionarios estén sujetos a vibraciones durante su rutina de uso. 10 Hz – 150 Hz, 7 m.s-2, 1m2 s-3, - 3 dB/octava únicamente para alcoholímetros móviles y portátiles | |
| e | Voltaje de CC | Según lo indicado por el productor | |
| f | Voltaje de CA. | Unom- 15% a Unom + 10% | |
| g | Frecuencia de la red de CA | Fnom- 2% a fnom + 2% | |
| h | Voltaje de la batería interna | Todos los voltajes entre una batería nueva o reciente cargada, hasta el voltaje más bajo al que el instrumento funcione correctamente dentro de los EMP de conformidad con las especificaciones dadas por el productor. | |
| i | Voltaje de la batería de un vehículo terrestre | Batería de 12 V | 9 V – 16 V |
| Batería de 24 V | 16 V – 32 V | ||
| j | Fracción molar de hidrocarburos (como equivalente de metano) en el ambiente | O ímol/mol a 5 ímol/mol | |
| k | Concentración molar de dióxido de carbón en el aire espirado | Hasta 80 mmol/mol | |
Estas disposiciones se aplican por separado a cada factor de influencia y a cada determinación de error.
PARÁGRAFO. El productor de aquellos alcoholímetros que sean usados en condiciones diferentes a las nominales de operación deberá informar, en el manual de usuario del instrumento de medición o mediante una declaración de primera parte, lo siguiente:
- Condiciones no nominales en las que se ha puesto en funcionamiento el alcoholímetro para las cuales las mediciones del instrumento son confiables y se encuentran dentro de los errores máximos permisibles descritos en el numeral 9.4.2.2.2.
- Modelos que han sido puestos en funcionamiento en dichas condiciones no nominales;
- Frecuencias de mantenimiento, calibración o verificación extraordinarias en caso de uso en condiciones no nominales, si aplica;
- Instrucciones de uso específicas para el manejo del alcoholímetro en condiciones no nominales, si aplica.
9.4.2.7.2 Condiciones de espiración. Para una medición representativa, se deben cumplir ciertas condiciones de espiración (por ejemplo, continuidad y flujo).
El alcoholímetro debe proporcionar un mensaje de error si una o varias de las siguientes condiciones de exhalación no se cumplen.
Estas condiciones, especificadas por el productor, deben cumplir con los siguientes valores:
| - Volumen espirado: | Igual o mayor a 1,2 L; |
| - Caudal: | Igual o mayor a 0,1 L/s; |
| - Tiempo de espiración: | Igual o mayor a 3 s |
9.4.2.8. Perturbaciones y sustancias de influencia fisiológica
9.4.2.8.1. Perturbaciones. Los alcoholímetros deben ser diseñados y fabricados de tal manera que cuando se expongan a las perturbaciones indicadas en las tablas previstas en los numerales 9.4.2.8.1.1. y 9.4.2.8.1.2. de este reglamento técnico:
- No ocurran fallos significativos o;
- Se detecten dichos fallos y se actúe conforme a ello por medio de un dispositivo de verificación.
Estas disposiciones pueden aplicarse por separado a:
- Cada causa de perturbación y;
- Cada parte del instrumento de medición.
La elección de cuál disposición será aplicada estará a cargo del fabricante.
En la tabla a continuación se especifican las perturbaciones y su máximo nivel para el cual el alcoholímetro será inmune mientras sea expuesto durante su operación. La “inmunidad” se interpretará de manera que no ocurra una falla significativa a menos que se detecte esta falla y se actúe respecto de ella.
9.4.2.8.1.1. En presencia de cualquiera de las siguientes perturbaciones
| a | Radiofrecuencia (RF), campos electromagnéticos | En el intervalo de frecuencia de 0,15 MHz a 6000 MHz* Intensidad de campo 10 V/m; 80% AM modulado sinusoidal | |||
| b | Descargas electrostáticas | Descarga de contacto de hasta 6 kV o descarga de aire de 8 kV | |||
| c | Ráfagas en CA o CC líneas de suministro* de red | Amplitud 1kV Tasa de repetición 5 kHz | |||
| d | Sobretensiones en CA o CC líneas de suministro* de red | Red CA o CC | Línea a línea | Línea a tierra | |
| 1 kV | 2 kV | ||||
| e | Ráfagas de señal, datos y líneas de control | Amplitud 1kV Tasa de repetición 5 kHz | |||
| f | Ondulación en la red de CC puerto de energía eléctrica | Onda | Armónicos sinusoidales | ||
| Frecuencia armónica | Frecuencia de origen rectificada 2, 3 o 6 veces | ||||
| Amplitud | 2% | ||||
| g | Caídas de tensión | CC | Amplitud de la nominal Voltaje | Duración | |
| de alimentación de | Caídas de voltaje | 40% 70% | 0.01 s y 1 s | ||
| red* y breves interrupciones y | Interrupciones cortas | 0% | 0.001 s y 1 s | ||
| variaciones cortas | Variaciones de voltaje | 85% 120% | 0.1 s y 10 s | ||
| AC | Amplitud de la nominal Voltaje | Duración | |||
| Caídas de voltaje | 0% 70% | 0.5 Y 1 ciclo 25 ciclos | |||
| Interrupciones cortas | 0% | 250 ciclos | |||
| Subidas de señal, datos y | Línea a línea | Línea a tierra | Shield to ground | ||
| H | líneas de control | Líneas asimétricas | 1 kV | 2 kV | |
| Líneas simétricas | 2 kV | ||||
| Shielded I/O lines | 2 kV | ||||
| i | Transitorios eléctricos conducción a lo largo de | Suministro de voltaje de la batería | = 12 V | = 24 V | |
| líneas de suministro desde la | Pulso 2a | 112 V | 112 V | ||
| batería a bordo de un vehículo | Pulso 2b | 10 V | +20 V | ||
| Pulso 3a | -220 V | -300 V | |||
| Pulso 3b | 150 V | 300 V | |||
| j | Transitorios eléctricos conducción a través de líneas | Suministro de voltaje de la batería | = 12 V | = 24 V | |
| que no sean líneas de | Pulso a | -60 V | -80 V | ||
| suministro | Pulso b | 40 V | 80 V | ||
* El suministro de red solo se refiere al suministro de energía eléctrica directamente desde una red de red (no local). Por lo tanto, lo que implica que el uso de energía eléctrica de fuentes transportables o móviles, como baterías de vehículos o generadores no se considera suministro de una fuente de red.
También implica que la red de CC no se refiere a la CC proporcionada por el puerto de salida del adaptador de CA a CC aplicado para suministrar la electricidad poder al Alcoholímetro Evidencial. En este caso, el adaptador se considera parte del instrumento y, por lo tanto, se aplican los requisitos para la red de CA.
9.4.2.8.1.2. Después de haber experimentado cualquiera de las siguientes perturbaciones
La siguiente tabla especifica los fenómenos perturbadores y el nivel máximo al que estará expuesto el Alcoholímetro Evidencial. Pruebas para la inmunidad se producirán después de la exposición. “Inmune” se interpretará de tal manera que no ocurrirá ninguna falla significativa a menos que esta falla sea detectada y ejecutada.
| a | Choques mecánicos | EBA Estacionarios | EBA móviles | EBA portátiles | |
| Altura de caída | 25 mm | 50 mm | 1 m | ||
| Número de caídas (en cada fondo borde) | 1 | 1 | 6 | ||
| b | Sacudidas | 10 g, 6 ms, 2 Hz, en 3 ejes, 1000 sacudidas para cada eje | |||
| c | Calor húmedo, cíclico (condesando) | EBA Estacionarios | EBA móviles | EBA portátiles | |
| Temperatura | No aplica | 55 °C | 55 °C | ||
| Duración | 2 ciclos | 4 ciclos | |||
| d | Temperatura de alucinamiento | - 25 °C, 6 horas + 70 °C, 6 horas | |||
| e | Vibración | Para EBA estacionarios: 10 Hz – 150; 1,6 m. s -2, 0,05 m2 s-3; -3 dB/octava | |||
9.4.2.8.1.3. Aplicación. El alcoholímetro debe operar conforme a lo establecido en el numeral 9.4.2.8.1 a elección del productor, por separado frente a cada causa individual de perturbación y/o frente a cada parte del instrumento de medición.
9.4.2.8.2. Sustancias de influencia fisiológicas. Los alcoholímetros evidenciales deben ser diseñados y fabricados de manera que cuando se expongan a las cantidades fisiológicas de influencia indicadas a continuación, la sensibilidad se limite a los valores indicados en la siguiente tabla.
| Sustancia de Interferencia | Valor nominal para masa de vapor Concentración mg/L(±5%) |
| Acetona | 0,2 |
| Metanol | 1 |
| Isopropanol | 1 |
| Monóxido de carbono | 0,5 |
9.4.2.9. Durabilidad. El alcoholímetro deberá cumplir de manera permanente, durante la vida útil del instrumento, con las disposiciones contenidas en los numerales 9.4.2.2, 9.4.2.4, 9.4.2.5, 9.4.2.6, 9.4.2.7 y 9.4.2.8.
El alcoholímetro debe ser diseñado para mantener la estabilidad de sus características metrológicas durante un periodo de tiempo (a ser especificado por el productor) el cual será al menos tan largo como la vigencia de la verificación periódica.
9.4.2.10. Conformidad con el reglamento técnico. Será conforme con este reglamento técnico el tipo o modelo de alcoholímetro evidencial que cumpla con los requisitos metrológicos definidos en los numerales 9.4.2.1 a 9.4.2.9, y que haya aprobado satisfactoriamente el procedimiento de evaluación de la conformidad conforme a lo dispuesto en este reglamento técnico.
9.5. Requisitos técnicos
9.5.1. Presentación de los resultados de la medición
9.5.1.1 Visualización.
Los resultados mostrados o impresos deben ser fiables, fáciles de leer e inequívocos en condiciones normales de uso.
Todas las indicaciones (pantallas, impresiones, datos almacenados, datos transmitidos, etc.) de un resultado de medición deben mostrar el mismo valor.
En las pantallas, el resultado de la medición se presentará en formato digital mediante cifras alineadas, las cuales deben corresponder con lo señalado en la división de escala (ver numeral 9.4.2.3).
La altura de las cifras en la pantalla será igual o superior que:
- 5 mm para pantallas iluminadas y;
- 10 mm en todos los demás casos.
La unidad de medida o su símbolo debe aparecer muy cerca del resultado, con caracteres de al menos 3 mm de altura.
Los caracteres deberán ser fácilmente legibles en todas las condiciones de luz ambiental. Si los caracteres no están iluminados, la pantalla deberá tener un dispositivo de iluminación.
No será posible confundir una indicación cero antes de la medición de la muestra del sujeto, y un resultado del sujeto.
9.5.1.2. Disponibilidad de los resultados de medición. Debe ser posible que el alcoholímetro conserve los resultados en una forma legible o accesible durante al menos 15 minutos. Si se pueden realizar otras mediciones durante este periodo, el resultado anterior debe ser accesible sin ambigüedades.
Si este requisito solo se puede cumplir mediante la impresión de los resultados, el instrumento debe ser diseñado y fabricado de tal forma que la ausencia de papel en la impresora impida que se realicen mediciones adicionales.
9.5.1.3. Presentaciones en modo de prueba metrológica. Cuando el alcoholímetro se encuentre en el modo de mantenimiento, la indicación de este, así como la impresión de información serán claramente distinguibles de las indicaciones en el modo de medición.
9.5.2. Protección contra fraude. El alcoholímetro debe ser diseñado y construido de tal manera que, al ser utilizado de manera normal, no posea características que puedan facilitar su uso fraudulento, bien sea de manera accidental o deliberada, y debe garantizar que las posibilidades de mal uso intencional sean mínimas. Las posibilidades de uso inadecuado no intencional deben ser contempladas en la fabricación (hardware y software) específicamente, se deben tener en cuenta los siguientes aspectos:
- El acceso al modo de prueba metrológica debe estar restringido;
- Será imposible hacer ajuste alguno sin romper los sellos;
- Solo se podrán hacer ajustes mediante el software en el modo de prueba metrológica.
9.5.3. Operaciones de comprobación. Al encenderse, el alcoholímetro debe verificar su correcto funcionamiento de manera automática. Cuando se detecte cualquier defecto o señal de error en su operación, el instrumento debe generar un mensaje de error y no debe permitir mediciones adicionales.
El alcoholímetro debe verificar su correcta operación de manera automática tanto antes de cada medición como después de cualquier medición.
9.5.4. Tiempo de calentamiento. Bajo condiciones de referencia (ver numeral 9.4.2.7.1), el alcoholímetro usado en diferentes situaciones debe tener la capacidad de alcanzar el modo de medición después de haber sido encendido en un tiempo no mayor al tiempo de calentamiento dado en la siguiente tabla:
| Descripción del alcoholímetro | Tiempo máximo de calentamiento |
| Caso 1: Alcoholímetro estacionario | 15 min |
| Caso 2: Alcoholímetro móvil | 15 min |
| Caso 3: Alcoholímetro portátil | 5 min |
Los alcoholímetros equipados con un modo de espera deberán poder regresar al modo de medición en 5 minutos desde el modo de espera.
9.5.5. Disponibilidad para la toma de la medición. Desde el momento en el que el alcoholímetro indique que está listo para recibir la espiración, deberá estar disponible durante al menos un minuto.
El alcoholímetro debe indicar su disposición para iniciar una medición y no debe realizar mediciones hasta que esté listo para hacerlo. Cuando después de un periodo de tiempo específico, el instrumento ya no esté listo para realizar mediciones, deberá indicar su estado.
9.5.6. Duración de las baterías internas. Si un alcoholímetro portátil es alimentado solo por baterías internas, recargables o no, debe ser capaz de realizar al menos 50 mediciones bajo las condiciones de referencia, seguido de 20 mediciones a -10 °C sin que se requiera recarga o intercambio de baterías cuando sea usado en condiciones nominales de operación.
9.5.7. Continuidad en la espiración. El alcoholímetro debe monitorear la continuidad de la espiración en las condiciones nominales de operación del instrumento, y debe indicar si el flujo de aire espirado se interrumpe entre el comienzo y el final de la toma de la muestra. Mediante una señal el alcoholímetro debe indicar la continuidad de la espiración o exhalación. La espiración se considerará interrumpida si el flujo se encuentra por debajo del establecido en el numeral 9.4.2.7.2.
9.5.8. Alcohol en el tracto respiratorio superior. El alcoholímetro podrá estar equipado con una función para detectar automáticamente si el resultado de una medición es afectado por la presencia de alcohol en el tracto respiratorio superior. Los documentos técnicos deberán describir claramente cuál es el método aplicado para cada alcoholímetro.
9.5.9. Boquillas. El alcoholímetro estará equipado con boquillas para muestreo. En particular, los siguientes requisitos aplican para las boquillas:
- El uso de la boquilla para el muestreo debe ser obligatorio (el manual del modelo del alcoholímetro dará instrucciones claras de cómo insertar y usar las boquillas);
- La boquilla debe ser fácilmente reemplazable.
9.5.10. Software. Los siguientes requerimientos (9.5.10.1 a 9.5.10.7) deben ser cumplidos. La severidad del ensayo será seleccionada independientemente para cada requerimiento.
Todo el software del alcoholímetro será considerado como legalmente relevante. Si el software es separado en partes, cada parte individual deberá estar conforme con estos requerimientos.
9.5.10.1. Identificación del software. De acuerdo con la OIML D 31:2019, el software del alcoholímetro debe estar claramente identificado con su número de versión y con el resultado de una función resumen (función hash) o una suma de verificación (checksum). La identificación debe estar inexorablemente relacionada con el software mismo y se debe calcular, presentar o imprimir a solicitud o mostrarse durante la operación o durante el encendido.
El documento de demostración de la conformidad debe indicar claramente la identificación del software y sus partes.
9.5.10.2. Corrección de algoritmos y funciones. Los resultados de las mediciones y cualquier otra información adjunta será presentada, grabada o impresa correctamente.
Los algoritmos de medición y operación de un alcoholímetro deben funcionar correctamente. Deberá ser posible examinar los algoritmos y funciones mediante un método de validación adecuado (es decir, pruebas metrológicas, pruebas de software o análisis de software, como se describe en la OIML D 31:2019).
9.5.10.3. Protección de software contra el fraude. Para prevenir el uso fraudulento del equipo, se debe cumplir con los siguientes requerimientos:
a. El software deberá estar protegido contra modificaciones, cargas o cambios no autorizados de programación mediante el intercambio del dispositivo de memoria. Además del precintado mecánico, pueden ser necesarios medios técnicos para asegurar los alcoholímetros que tengan un sistema operativo o una opción de carga del software. La protección del software comprende un precintado adecuado por medios mecánicos, electrónicos y/o criptográficos, haciendo imposible o evidente una intervención no autorizada.
b. El instrumento sólo puede permitir activar las funciones claramente documentadas a través de la interfaz del usuario, lo cual debe ocurrir de tal manera que no facilite su uso fraudulento. Para efectos del examen de tipo o de la aprobación de modelo, el productor del instrumento de medición debe declarar y documentar todas las funciones del programa que pueden activarse a través de la interfaz del usuario. No deben existir funciones escondidas. El productor debe declarar exhaustivamente en la documentación que prepara para este efecto, la totalidad de estas funciones de programación de software del instrumento.
c. Los parámetros que fijan las características metrológicas de un alcoholímetro deben estar protegidos contra modificaciones. Para los efectos de la verificación periódica, el alcoholímetro debe permitir mostrar o imprimir la configuración de los parámetros que posee en ese momento.
9.5.10.4. Detección de defectos significativos. Para la detección de defectos significativos, se implementarán acciones de control en el alcoholímetro.
El software deberá ser revisado al menos en la puesta en marcha del instrumento. Ante la ocurrencia de un cambio en el software, este deberá ser detectado por el alcoholímetro. El instrumento deberá abortar la medición en curso y evitar su uso en mediciones posteriores. Un error significativo detectado debería ser consignado en el registro de errores.
9.5.10.5. Interfaces. Si el alcoholímetro está provisto de interfaces, se deberá cumplir con los siguientes requisitos:
a. Las funciones, parámetros y resultados de medición no deben verse influenciados por comandos recibidos a través de una interfaz;
b. Habrá una asignación inequívoca de cada comando a todas las funciones iniciales o cambios de información en el software;
c. Solo los comandos autorizados y documentados son permitidos para activar funciones mediante las interfaces.
9.5.10.6. Mantenimiento y verificación del software del alcoholímetro. La instalación de software en un alcoholímetro en servicio será considerada como:
- Una modificación, cuando se cambie el software por una versión actualizada y aprobada;
- Una reparación, cuando se instala la misma versión.
El software de un EBA no puede ser modificado ni instalado a través de ninguna interfaz o por otros medios sin romper el precintado. Después de la instalación o modificación del software del EBA, el instrumento no se debe utilizar para fines legales hasta que se haya renovado el precinto.
9.5.10.7. Documentación del software.
En adición a la documentación general requerida en la R 126-2 versión 2021, numeral 2.2, el productor debe entregar la siguiente documentación:
a. Descripción del software y cómo se cumplen los requisitos con:
i. lista de módulos del software que realizan funciones relevantes legalmente;
ii. descripción de las interfaces del software que realizan funciones relevantes legalmente y de los comandos y flujos a través de esta interfaz;
iii. el código fuente debe estar a disposición de la autoridad de evaluación de tipo;
iv. lista de parámetros a proteger y descripción de los medios de protección.
b. Descripción del sistema de configuración y los recursos mínimos requeridos.
c. Descripción de los medios de seguridad del sistema operativo (contraseña, etc. si aplica).
d. Descripción del (los) método(s) de precintado (del software).
e. Resumen del hardware, p. ej. diagrama de bloques de topología, tipo de computador(es), tipo de red, etc.
f. Descripción de la precisión de los algoritmos (p. ej. filtro de los resultados de conversión A/D, cálculo del resultado, redondeo de algoritmos, etc.).
g. Descripción de la interfaz de usuario, menús y diálogos. Los comandos que se comunican a través de las interfaces deben estar documentados.
h. Descripción de la identificación del software, incluida la descripción de todos los medios de cifrado (si los hubiera), e instrucciones para obtener la identificación de un instrumento de uso.
i. Lista de comandos de cada interfaz del hardware del EBA.
j. Lista de errores de durabilidad detectados por el software y, si es necesario para su comprensión, una descripción de los algoritmos de detección.
k. Descripción de los “datasets” almacenados o transmitidos (si aplica)
l. Si la detección de fallas es realizada en el software, una lista de fallas que son detectadas y una descripción del algoritmo de detección.
m. Si un plan de auditoría es realizado en el software, una descripción de cómo acceder a ese plan de auditoría.
9.5.11. Registro de los resultados de la medición en el tiempo.
9.5.11.1. Dispositivo de impresión. Si el alcoholímetro está equipado con un dispositivo de impresión (interno o externo), este deberá cumplir con los siguientes requisitos:
a. La altura mínima de las cifras impresas es de 2 mm
b. La información impresa debe incluir al menos:
i. marca, modelo y número serial del alcoholímetro con el que se tomó la muestra;
ii. fecha y hora de la medición;
iii. resultados de la medición y sus unidades; e,
iv. identificación de la persona a la que se realizó la prueba.
c. La división de escala de impresión debe cumplir con los requerimientos definidos en el numeral 9.4.2.3. División de escala.
d. El dispositivo de impresión debe contar con dispositivos de verificación que permitan detectar defectos importantes y actuar sobre ellos. Cuando se habla de actuar sobre, significa que en caso de fallo de este dispositivo, el instrumento debe dar una advertencia o en su defecto no permitir la impresión de los resultados de la medición. En particular, la verificación de un dispositivo de impresión busca garantizar que los datos recibidos por el dispositivo de impresión correspondan con los mostrados por el dispositivo indicador del instrumento. Se debe verificar, al menos, lo siguiente:
i. la presencia de papel y tinta (si aplica);
ii. el estado de la impresora y su preparación para el funcionamiento.
e. Cuando el dispositivo de impresión interno está expuesto a las perturbaciones del numeral 9.4.2.8. Perturbaciones y sustancias de influencia fisiológica, no se producen fallas significativas o se detectan fallas significativas y se actúa sobre ellas por medio de un servicio de comprobación.
f. La transmisión de datos a dispositivos de impresión externos deberá cumplir con los requisitos del numeral 9.5.11.2 Almacenamiento de datos.
9.5.11.2. Almacenamiento y transmisión de datos. El alcoholímetro puede almacenar datos de medición para:
a. El resultado de la medición almacenado o transmitido debe ir acompañado de toda la información relevante que sea necesaria para un uso futuro.
b. Los datos de medición deben almacenarse o transmitirse automáticamente cuando se completa la medición. Cuando el resultado final de la medición deriva de un cálculo, las mediciones individuales que son necesarias para el cálculo deben almacenarse automáticamente o transmitirse con el resultado final.
c. El EBA tendrá la permanencia suficiente para almacenar los datos hasta que dejen de ser requeridos. La capacidad de almacenamiento debe ser de al menos 1000 mediciones. Está permitido eliminar los datos almacenados, pero esto no será posible en el uso normal. Los datos se pueden eliminar en una de las siguientes formas:
i. cuando se alcanza la capacidad de la memoria, los datos se borran en el mismo orden que el orden de grabación;
ii. la eliminación se realiza después de una operación manual especial que puede requerir derechos de acceso específicos;
iii. se debe dar una advertencia antes de que se eliminen los datos.
d. Los datos almacenados o transmitidos estarán protegidos por medio de hardware/software para garantizar la autenticidad e integridad de los datos y, en su caso, también para garantizar la correcta información sobre los tiempos de medición.
e. El software que muestra o procesa los datos debe verificar en el momento de la medición, la autenticidad e integridad de los mismos. Si se detecta una irregularidad, los datos se marcarán como inutilizables.
f. El software que muestra o procesa los datos transmitidos con fines legales debe estar protegido y comprobará la autenticidad e integridad de los datos.
g. La medición no debe ser influenciada inadmisiblemente por una transmisión. Si en esta situación la pérdida de datos de medición solo puede evitarse deteniendo el proceso de medición, esta información debe ser de fácil acceso para el usuario (por ejemplo, en el manual o marcado en el instrumento) y el EBA deberá dar un mensaje de error apropiado.
9.6. Instrucciones de operación.
9.6.1. Manual de usuario. El comercializador, importador y/o productor del instrumento debe proporcionar, por cada alcoholímetro individualmente considerado, el manual de usuario, el cual debe contener las instrucciones para el uso del instrumento en idioma español, debe ser de fácil comprensión y como mínimo debe desarrollar los siguientes temas:
- Instrucciones de uso, incluyendo las instrucciones para el uso de la boquilla;
- Temperaturas de almacenamiento máximas y mínimas;
- Condiciones nominales de operación;
- Tiempo de calentamiento después del encendido del alcoholímetro;
- Todas las otras condiciones mecánicas, electromagnéticas y ambientales relevantes;
- Clases de ambientes mecánicos y electromecánicos;
- Condiciones de seguridad; e,
- Identificación del software e instrucciones sobre su utilización.
9.7. Etiquetado y precintado.
9.7.1. Etiquetado. El alcoholímetro evidencial debe estar marcado con una etiqueta, código QR o una combinación de los dos (etiqueta y código QR) ubicado en una parte visible del instrumento, que sea resistente a la manipulación, confeccionada con un material resistente a los agentes externos, tanto atmosféricos, como abrasivos y a los impactos; y que contenga como mínimo la siguiente información:
- Identificación del productor
a. Nombre o razón social del fabricante o importador
b. NIT del fabricante o importador
c. Marca comercial del fabricante o importador
d. Teléfono de contacto, dirección física y electrónica del fabricante o importador
- Identificación del alcoholímetro
a. Designación de tipo o modelo
b. Número de serie del instrumento
c. Año de fabricación para alcoholímetros de producción nacional
d. Año de importación para alcoholímetros de producción extranjera
e. Número con el que se identifica el documento de demostración de la conformidad y quién lo expide
- Características técnicas
a. Intervalo de medición en mg/L
b. División de escala en mg/L
c. Detalles sobre la alimentación eléctrica:
i. en el caso de la red eléctrica: la tensión nominal de la red, la frecuencia y la energía requerida;
ii. en el caso de alimentación mediante una batería de vehículo de carretera: la tensión nominal de la batería y la energía requerida;
iii. en el caso de una batería interna extraíble: el tipo y la tensión nominal de la batería
d. Intervalo de medición
e. Intervalo de operación en temperatura ambiente
Nota: La identificación del software será presentada a petición, a través del dispositivo indicador.
9.7.2. Precintado. El productor y/o importador del alcoholímetro debe suministrar, en cada instrumento, dispositivos de sellamiento (precintado) para todas las partes del alcoholímetro que no estén protegidas de otra manera en contra de operaciones que puedan afectar su precisión o integridad. Sin importar el material del que esté hecho, el precintado debe ser lo suficientemente durable y tendrá que dejar evidencia de su alteración o manipulación si existe. Esto aplica en particular a:
a. Medios de ajuste del alcoholímetro;
b. el remplazo de partes específicas si se espera que dicho remplazo cambie las características metrológicas; y,
c. la integridad del software.
9.8. Documentos para demostración de la conformidad de alcoholímetros nuevos. La conformidad de los alcoholímetros evidenciales de producción nacional y extranjera con los requisitos definidos en el presente reglamento técnico, se demostrará mediante:
i) Una certificación de examen de tipo o aprobación de modelo del instrumento emitido en cumplimiento de los requisitos establecidos en el numeral 9.8.1, y;
ii) Una declaración de conformidad del proveedor del alcoholímetro individualmente considerado, emitida en cumplimiento de los requisitos previstos en el numeral 9.8.2 de este Capítulo.
9.8.1. Requisitos para la expedición del certificado de examen de tipo o aprobación de modelo. La certificación de examen de tipo deberá ser emitida bajo el esquema de certificación 1A definido en la norma ISO/IEC 17067, con alcance al presente reglamento técnico o sus normas equivalentes definidas en el numeral 9.8.3., i) por parte de un organismo de certificación de producto acreditado ante el Organismo Nacional de Acreditación de Colombia (ONAC) bajo la norma ISO/IEC 17065 con alcance al presente reglamento técnico metrológico, o ii) por parte de un organismo evaluador de la conformidad reconocido en el marco de los acuerdos de reconocimiento multilateral de los que haga parte el ONAC, o iii) por parte de un organismo notificado.
También se podrá demostrar conformidad con certificaciones de examen de tipo emitidos por autoridades emisoras de certificados de conformidad en el marco del sistema de certificación de la OIML.
Adicionalmente se permite demostrar la conformidad del modelo del instrumento, mediante la aprobación de modelo emitida por una Autoridad de Metrología Legal de un país con base en los ensayos efectuados por parte de un Instituto Nacional de Metrología, cuyas capacidades de calibración y medición (CMC) en la magnitud relacionada con el instrumento de medición, hayan sido publicadas ante la Oficina Internacional de Pesas y Medidas (BIPM).
La certificación de examen de tipo y la aprobación de modelo estarán vigentes mientras el productor no modifique ninguna de las características y/o propiedades del instrumento que fueron evaluadas. En caso de que se efectúe cualquier modificación, se deberá volver a certificar o aprobar el modelo del alcoholímetro.
9.8.1.1. Ensayos y exámenes para la expedición del certificado de examen de tipo. Para efectos de expedir el certificado de conformidad de tipo, se deberán efectuar los ensayos establecidos en la OIML R126-2:2021, numerales 2.2 al 2.5, bajo las condiciones allí establecidas en laboratorios acreditados ante el Organismo Nacional de Acreditación de Colombia (ONAC), conforme a la norma ISO/IEC 17025, cuyo alcance de acreditación corresponda al ensayo respectivo; o practicar los ensayos previstos en las normas equivalentes al presente reglamento técnico metrológico en laboratorios de ensayo, siempre que ostenten acreditación vigente bajo la norma ISO/IEC 17025 emitida por un miembro signatario del acuerdo de reconocimiento mutuo de la Cooperación Internacional para la Acreditación de Laboratorios (por sus siglas en inglés ILAC).
9.8.2. Requisitos para la expedición de la declaración de conformidad del alcoholímetro. Con este requisito, el productor o importador proporciona una declaración de que el alcoholímetro está en conformidad con los requisitos especificados en el presente Reglamento Técnico Metrológico y construido con los mismos criterios del modelo aprobado. Esta declaración debe ser expedida de conformidad con los requisitos establecidos en la norma internacional ISO/IEC 17050:2004, utilizando el modelo de declaración de conformidad incluido en el Anexo del Capítulo Noveno del Título VI de la Circular Única de la Superintendencia de Industria y Comercio, y debe ir acompañada del informe de resultados de los ensayos que se señalan en el numeral 9.8.2.1 de este Capítulo.
La declaración de conformidad debe identificar individualmente cada instrumento con número serial.
9.8.2.1. Ensayos y exámenes para la expedición de la declaración de conformidad del analizador evidencial de aliento. Para efectos de expedir la declaración de conformidad del alcoholímetro, en al menos el diez por ciento (10%) de los instrumentos que ingresan al mercado nacional con el mismo certificado de tipo o aprobación de modelo, se deberán efectuar los ensayos establecidos en la OIML R126-2:2021, numeral 2.5.5., bajo las condiciones allí propuestas, i) en uno o más laboratorios de ensayos y/o de calibración, acreditados en la magnitud concentración de sustancia/fracción de cantidad ante el Organismo Nacional de Acreditación de Colombia (ONAC) bajo la norma ISO/ IEC 17025 cuyo alcance de acreditación corresponda a alcoholímetro o ii) en laboratorios extranjeros igualmente acreditados en la magnitud concentración de sustancia/fracción de cantidad, y siempre que ostenten acreditación vigente bajo la norma ISO/IEC 17025 emitida por un miembro signatario del acuerdo de reconocimiento mutuo de la Cooperación Internacional para la Acreditación de Laboratorios (por sus siglas en inglés ILAC), cuyo alcance de acreditación corresponda a alcoholímetro.
PARÁGRAFO. En ausencia de laboratorios de ensayo o calibración en el territorio nacional acreditados para adelantar ensayos como los propuestos en la OIML R 126-2:2021, numeral 2.5.5 bajo las condiciones allí establecidas, se podrá efectuar una calibración para los analizadores evidenciales de aliento, que cumpla con los siguientes requisitos:
a. Debe realizarse en: i) laboratorios de calibración acreditados ante el Organismo Nacional de Acreditación de Colombia (ONAC) bajo la norma ISO/IEC 17025 cuyo alcance de acreditación corresponda a las magnitudes relacionadas con el instrumento de medición objeto del ámbito de aplicación del presente reglamento técnico metrológico, o en ii) laboratorios extranjeros siempre que ostenten acreditación vigente bajo la norma ISO/IEC 17025 emitida por un miembro signatario del acuerdo de reconocimiento mutuo de la Cooperación Internacional para la Acreditación de Laboratorios (por sus siglas en inglés ILAC), cuyo alcance de acreditación corresponda a las magnitudes relacionadas con el instrumento de medición objeto del ámbito de aplicación del presente reglamento técnico metrológico o iii) en el Instituto Nacional de Metrología de Colombia o iv) en un Instituto Nacional de Metrología cuyas capacidades de calibración y medición (CMC) en la magnitud relacionada con el instrumento de medición, hayan sido publicadas ante la Oficina Internacional de Pesas y Medidas.
b. Los errores de los ensayos realizados no deberán superar los Errores Máximos Permitidos (EMP) estipulados en el numeral 9.4.2.2.2. “EMP para alcoholímetros en fase de instrumentos en servicio (para la inspección o verificación periódica)” de la presente resolución.
c. Se realizará una prueba de repetibilidad. Se realizarán mediciones* de forma consecutiva para cada concentración.
La calibración se debe realizar en al menos tres (3) concentraciones diferentes que se encuentren dentro del siguiente intervalo:
0,045 mg de etanol/L de aire = concentración = 0,950 mg de etanol/L de aire
10 mg de etanol/100 ml de sangre = concentración = 200 mg de etanol/100 ml de sangre
*El número de repeticiones será el establecido en el procedimiento de calibración con el cual fue acreditado el laboratorio.
9.8.3. Normas equivalentes. Se consideran equivalentes al presente reglamento técnico las siguientes normas internacionales:
a. Recomendación de la Organización Internacional de la Metrología Legal (OIML) R- 126:2012 “Evidentia/ Breath Analyzers” (Alcoholímetros Evidenciales).
b. Recomendación de la Organización Internacional de la Metrología Legal (OIML) R- 126:2021 “Evidential Breath Analyzers” Alcoholímetros Evidenciales).
c. La Orden Española ITC/3707/2006, de 22 de noviembre, “por la que se regula el control metrológico del Estado de los instrumentos destinados a medir la concentración de alcohol en el aire espirado”.
d. La WELMEC Software Guide (Measuring lnstruments Directive 2014/32/EU)(2).
e. La Orden Española ITC/155/2020, de 7 de febrero, “por la que se regula el control metrológico del Estado de determinados instrumentos de medida”, Anexo XIII “Instrumentos destinados a medir la concentración de alcohol en el aire espirado”.
f. Norma Oficial Mexicana NOM-214/1-SCFl-2018, Instrumentos de medición- Alcoholímetros evidenciales-Especificaciones y métodos de prueba.
g. 58 FR 48705 “Model Specifications for Devices to Measure Breath Alcohol”; Highway Safety Programs; National Highway Traffic Safety Administration, DOT, USA, 1993, vol 58.
9.8.4. Disposición transitoria. Mientras no exista al menos un (1) organismo de certificación de producto acreditado ante el Organismo Nacional de Acreditación de Colombia (ONAC) cuyo alcance de certificación corresponda al presente reglamento técnico metrológico o a sus normas equivalentes, se aceptará, como medio para demostrar la conformidad del alcoholímetro con los requisitos establecidos en esta norma, la declaración de conformidad del productor y/o importador expedida de conformidad con los requisitos establecidos en la norma internacional ISO/IEC 17050:2004, utilizando el modelo de declaración de conformidad incluido en el Anexo del Capítulo Noveno del Título VI de la Circular Única de esta Superintendencia.
Esta declaración debe estar soportada sobre la base de haberse observado las reglas y efectuado los ensayos señalados en el presente reglamento, por parte de uno o varios laboratorios de ensayos y/o de calibración, acreditados ante el Organismo Nacional de Acreditación de Colombia (ONAC) bajo la norma ISO/IEC 17025 cuyo alcance de acreditación corresponda a alcoholímetros, y que tenga la capacidad de realizar los ensayos respectivos; o por parte de un laboratorio extranjero que practique los ensayos previstos en las normas equivalentes a la OIML R126-2:2021, numeral 2.3, siempre que ostenten acreditación vigente bajo la norma ISO/IEC 17025 emitida por un miembro signatario del acuerdo de reconocimiento mutuo de la Cooperación Internacional para la Acreditación de Laboratorios (por sus siglas en inglés ILAC).
PARÁGRAFO. El certificado de examen de tipo o aprobación de modelo previsto en este reglamento técnico como medio para la evaluación de la conformidad con alcance al presente reglamento técnico o a sus normas equivalentes, expedido por un organismo de certificación de producto acreditado ante el Organismo Nacional de Acreditación de Colombia (ONAC), sólo será exigible transcurridos tres (3) meses de haberse acreditado el primer organismo ante ONAC.
9.9. Obligaciones del productor e importador. Son obligaciones del productor y/o importador de instrumentos nuevos, en relación con el cumplimiento del presente reglamento técnico las siguientes:
9.9.1. Introducir al mercado nacional únicamente alcoholímetros que se encuentren conformes con los requisitos establecidos en el presente reglamento técnico.
9.9.2. Incorporar al alcoholímetro la información especificada en el numeral 9.7.1. Etiquetado.
9.9.3. Elaborar y preparar la documentación técnica necesaria para efectos de evaluar la conformidad de alcoholímetros.
9.9.4. Elaborar la declaración de conformidad a que se refiere los numerales 9.8.2 y 9.8.2.1 del presente reglamento técnico según corresponda, bajo los parámetros establecidos en la norma ISO/IEC 17050:2004.
9.9.5. Conservar copia de la documentación técnica que soporta la demostración de la conformidad, por el término que se establece para la conservación de los papeles de comercio previsto en el artículo 60 del Código de Comercio, contado a partir de la fecha de introducción del alcoholímetro al mercado.
9.9.6. Entregar al titular del alcoholímetro las instrucciones de operación y manual de usuario en español, como también copia de los certificados y declaraciones de conformidad obtenidos para efectos de demostrar la conformidad de sus instrumentos.
9.9.7. Tomar las medidas correctivas necesarias para recoger o retirar del mercado aquellos alcoholímetros en uso que estando sujetos al cumplimiento del presente reglamento no estén conformes con los requisitos aquí establecidos.
9.9.8. Permitir a la Superintendencia de Industria y Comercio el acceso a toda clase de información y documentación que sea necesaria para efectos de demostrar la conformidad de los alcoholímetros que introdujo al mercado.
9.9.9. Previo a la puesta en circulación, si es fabricado en el país, o importación, el importador o productor de un alcoholímetro deberá registrar en el Sistema de Información de Metrología Legal (SIMEL) el modelo y características metrológicas de dicho instrumento de medición, adjuntando los siguientes documentos:
a. certificado de examen de tipo o aprobación de modelo;
b. manual de usuario del modelo del alcoholímetro registrado, en español; y,
c. esquema de precintos del alcoholímetro donde se especifique: su ubicación en el cuerpo del instrumento, sus características y codificación.
9.9.10. Todo importador de alcoholímetros debe presentar y adjuntar los documentos mencionados en el numeral 9.9.9 a la licencia de importación que se presente a través de la Ventanilla Única de Comercio Exterior (VUCE).
Así mismo, se deberá indicar en dicha licencia de importación el número de registro en el Sistema de Información de Metrología Legal (SIMEL) del tipo o modelo de los alcoholímetros objeto de importación.
9.9.11. Inscribirse en el Registro de Productores, Importadores y Prestadores de Servicios de reglamentos técnicos vigilados por la Superintendencia de Industria y Comercio.
9.9.12. Precintar los alcoholímetros de acuerdo con el esquema de precintos cargado en el Sistema de Información de Metrología Legal (SIMEL).
9.10. Prohibición de comercialización y uso del alcoholímetro. Los alcoholímetros sujetos a control metrológico que no superen la evaluación de la conformidad en los términos establecidos en esta reglamentación técnica no podrán ser utilizados dentro del territorio nacional en actividades de naturaleza pericial, judicial y/o administrativa. De igual manera, dichos modelos no podrán ser registrados en el Sistema de Información de Metrología Legal (SIMEL).
Quedará retirado del servicio y por tanto no podrá ser utilizado en ninguna de las actividades sujetas a control metrológico y deberá ser dado de baja en el Sistema de Información de Metrología Legal (SIMEL), aquel alcoholímetro que haya sido puesto en servicio con posterioridad a la entrada en vigencia de este reglamento técnico y no haya demostrado su conformidad en los términos señalados en el numeral 9.8.
9.11. Control metrológico legal de alcoholímetros en servicio.
9.11.1. Requisitos generales. Los titulares de alcoholímetros sujetos al cumplimiento del presente reglamento técnico deben mantenerlos ajustados en todo momento, es decir, son responsables del buen funcionamiento y de la conservación del alcoholímetro, en cuanto a sus características metrológicas obligatorias y a la confiabilidad de sus mediciones.
9.11.2. Inspección metrológica. La Superintendencia de Industria y Comercio y las Alcaldías vigilarán el cumplimiento de los requisitos metrológicos aplicables a alcoholímetros en servicio, según lo establecido en el presente reglamento técnico. El incumplimiento de los requisitos metrológicos dará lugar a la imposición de sanciones según los artículos 61 y 62 de la Ley 1480 de 2011, así como de las medidas administrativas que corresponda según el artículo 59 de la Ley 1480 de 2011.
El procedimiento de inspección metrológica es aplicable a todo tipo de alcoholímetros sujetos a control metrológico en los términos establecidos en el Título VI de la Circular Única de la Superintendencia de Industria y Comercio.
9.11.2.1. Examen administrativo. Consiste en la identificación del alcoholímetro y la comprobación de que reúne los requisitos para estar válidamente en servicio, Igualmente, mediante este examen se comprobará que el instrumento de medición superó satisfactoriamente la evaluación de la conformidad o que fue sometido a regularización con los marcados correspondientes.
A excepción de los instrumentos en operación, si se encuentra que un alcoholímetro sujeto a control metrológico ingresó al mercado nacional sin demostrar satisfactoriamente su conformidad con el presente reglamento técnico, la Superintendencia de Industria y Comercio podrá inhabilitarlo para el servicio de manera preventiva e iniciar la investigación administrativa a que haya lugar.
9.11.2.1.1. Examen visual. Antes de iniciar el examen técnico, deben ser revisados los siguientes aspectos:
- Una inspección visual para determinar que el instrumento coincide con el modelo aprobado, de acuerdo con su diseño y construcción
- Integridad de los accesorios esenciales y subsidiarios (por ejemplo, boquillas y dispositivos de impresión) y su correspondencia con el modelo aprobado
- Correspondencia del software con el modelo aprobado
- Integridad del etiquetado y precintado exigido en el numeral 9.7. del presente reglamento técnico
- Presencia, integridad e idioma de la documentación destinada al usuario
- Fecha y hora correctas
9.11.2.1.2. Verificación de precintos. Se deberá verificar la correspondencia en número, codificación y posición de los precintos del alcoholímetro respecto de los que fueron registrados en la documentación obtenida por el productor o importador para efectos de demostrar la conformidad del mismo, la consignada en el esquema de precintos o la información en el Sistema de Información de Metrología Legal (SIMEL) de la última verificación realizada al instrumento de medición. Del mismo modo, si el alcoholímetro ha sido objeto de reparación o modificación por parte de un reparador en los términos señalados en el presente reglamento técnico, se deberá verificar el número y posición de los precintos que fueron colocados por este último, de acuerdo con la información del procedimiento de reparación o modificación consignada en Sistema de Información de Metrología Legal (SIMEL).
Si se encuentran precintos rotos se entiende no superado el ensayo administrativo, sin perjuicio de las facultades en cabeza de esta Superintendencia y de las Alcaldías Municipales para adelantar la investigación administrativa que consideren pertinente.
Igualmente, se debe verificar i) la integridad de los precintos tirando ligeramente de los alambres y de los propios precintos, como también ii) comprobar que son funcionales.
9.11.2.1.3. Comprobación de precintos. Se comprobará que los precintos que son exigidos en la presente reglamentación garanticen la integridad del instrumento frente a manipulaciones y que coincidan con los especificados en el examen de modelo o en el documento de regularización, así como el número del precinto. En el caso de existir precintos electrónicos se tomará nota del número correlativo de control.
9.11.2.2. Examen técnico.
9.11.2.2.1. Condiciones metrológicas para el ensayo. Antes de comenzar las pruebas, se verificará que el EBA esté encendido durante el tiempo necesario para el calentamiento.
Las pruebas de rendimiento se ejecutarán bajo las siguientes condiciones de referencia:
| Condición | Intervalo del valor nominal | Máxima variación durante cada prueba |
| Temperatura ambiente | 23 °C ± 5 °C | 5 °C en total con una derivación de menos de 3 °C por hora |
| Humedad relativa ambiental | 50% ± 30% | 10% |
| Presión atmosférica | 700 hPa a 1060 hPa | 20 hPa (no aplicable a pruebas de deriva a largo plazo) |
| Concentración de hidrocarburo en el ambiente | 0 ímol/mol a 5 ímol/mol en fracción de volumen total (como metano equivalente) | |
| Tensión de red CA y frecuencia (si corresponde) | Valores nominales especificados en numeral 9.4.2. | Dentro de los valores nominales especificados en numeral 9.4.2 |
9.11.2.2.2. Gases de prueba. Los gases usados para la inspección o verificación deben cumplir con los siguientes requisitos:
| Parámetro | Valor nominal con desviación permitida |
| Volumen entregado | 2 L ± 0,3L |
| Duración total de cada inyección en el alcoholímetro | Igual o superior a 5 s |
| Tipo de perfil | Caudal constante |
| Concentración de etanol | De acuerdo con el ensayo correspondiente (En caso de que no se especifique: 0,4 mg/L) con una desviación del valor objetivo de +/- (2/3 EMP) |
| Temperatura del gas | 34 °C ± 0.5 °C |
| Humedad relativa del gas | 95 % ± 5% (sin condensación) |
| Gas portador | Aire con contenido insignificante de impurezas relevantes con una fracción molar de CO2 de: (50 +/- 5) mmol/mol |
9.11.2.2.3. Ensayo de exactitud. Se deberán realizar al menos tres repeticiones para cada concentración. Los ensayos deberán adelantarse dentro de las concentraciones que se encuentran en el siguiente intervalo:
0,045 mg de etanol/L de aire concentración = concentración = 0,950 mg de etanol/L de aire
10 mg de etanol/100 ml de sangre = concentración = 200 mg de etanol/100 ml de sangre
Los resultados de cada ensayo deberán estar dentro de los EMP dispuestos en el numeral 9.4.2.2.2.
9.11.2.3. Documentación del procedimiento de inspección metrológica. Se debe documentar la totalidad del procedimiento adelantado para cada alcoholímetro.
En el acta de inspección metrológica se deberán anotar los resultados de los ensayos descritos en este reglamento técnico, indicando así mismo el error máximo permitido en cada uno de ellos.
Adicionalmente, se deberá contar con todas las pruebas documentales que resulten de la inspección efectuada, tales como: copia del acta de inspección firmada por la autoridad y fotografías de los establecimientos de comercio visitados, los instrumentos de medición verificados y de sus placas de características, donde conste el número serial de cada uno; todos los ensayos efectuados y sus resultados, la medición de temperatura en cada caso, y todas las demás que resulten ser conducentes y/o pertinentes.
9.11.2.4. No superación de la inspección metrológica. El alcoholímetro evidencial que no supere el procedimiento de inspección como consecuencia de deficiencias detectadas, deberá ser puesto fuera de servicio hasta que se subsanen las fallas encontradas previa orden administrativa impartida por esta Superintendencia.
Se debe entregar al titular del alcoholímetro el acta suscrita, en la cual consten las no conformidades encontradas y los resultados de las pruebas y los ensayos efectuados. El acta debe ser impresa o entregada digitalmente, y debe estar firmada por quien practicó la inspección metrológica y por el titular o quien este hubiere asignado para presidir la inspección, si aplica. En caso de que el titular del instrumento o la persona asignada por este se niegue a firmar el acta, se dejará constancia de dicha circunstancia en el documento.
Todo alcoholímetro que no haya superado la inspección metrológica dispuesta deberá llevar adherida una etiqueta fijada en un lugar visible del instrumento de medición o en algún elemento de la instalación que lo soporta, cuyas características, formato y contenido, serán los siguientes:
SUPERINTENDENCIA DE INDUSTRIA Y COMERCIO CONTROL METROLÓGICO Titulo VI Circular Única Superintendencia de Industria y Comercio
| Nombre y firma de la autoridad: | Fecha de Inspección: AAAA-MM-DD |
| Serial del alcoholímetro/NII: | Resultado de la Inspección: NO SUPERADA |
Descripción de los campos:
1. Encabezado. La etiqueta siempre deberá llevar como encabezado el texto “SUPERINTENDENCIA DE INDUSTRIA Y COMERCIO”, y a renglón seguido “CONTROL METROLÓGICO” en mayúscula.
2. Resultado de la Inspección. Este campo siempre deberá contener la palabra “NO SUPERADA”.
3. Fecha de Inspección. Corresponde a la fecha exacta en la que se efectuó la Inspección metrológica del instrumento de medición, la cual deberá ser fijada de la siguiente manera:
Año / Mes / Día
4. Nombre y firma de la autoridad. En la parte inferior izquierda de la etiqueta, deberá fijarse el nombre y firma del responsable de la entidad que efectuó el procedimiento correspondiente.
5. Serial del alcoholímetro. Hace referencia al serial del alcoholímetro, si el instrumento se encuentra registrado en el Sistema de Información de Metrología Legal (SIMEL) se podrá incluir el Número de Identificación del Instrumento (NII).
9.11.2.4.1. Características de la etiqueta. La etiqueta de marcado de no conformidad del alcoholímetro debe estar confeccionada con un material resistente a los agentes externos, tanto atmosféricos como abrasivos y a los impactos. Será de tipo adhesivo y autodestructiva al desprendimiento; debe tener forma rectangular, fondo de color rojo y sus dimensiones deben ser suficientemente grandes para permitir que los consumidores y usuarios del alcoholímetro se informen sobre su no conformidad con el presente reglamento técnico.
9.11.3. Verificación metrológica.
El control metrológico también podrá ser ejercido a través de la verificación metrológica que realicen los Organismos Autorizados de Verificación Metrológica (OAVM) que designe la Superintendencia.
Los OAVM son organismos evaluadores de la conformidad acreditados por el Organismo Nacional de Acreditación de Colombia (ONAC) y designados por la Superintendencia de Industria y Comercio de acuerdo con el procedimiento de selección objetiva que se adopte para tal fin. Los OAVM verificarán los alcoholímetros en la fase de instrumentos de medición en servicio. Sus obligaciones, regiones autorizadas para el ejercicio de sus funciones e instrumentos de medición autorizados para verificar, serán señaladas en el acto administrativo de autorización que expida esa Superintendencia.
PARÁGRAFO. La designación administrativa de que trata el presente numeral se entiende sin perjuicio de las facultades de inspección, vigilancia y control a cargo de la Superintendencia de Industria y Comercio y las Alcaldías Municipales en materia de control metrológico, entidades que ejercerán sus funciones en cualquier momento y lugar.
Las actividades de verificación metrológica se realizan después de que el OAVM haya creado la tarjeta de control metrológico (TCM) del alcoholímetro en el Sistema de Información de Metrología Legal (SIMEL).
Todo titular de alcoholímetros que se encuentren en servicio deberá permitir y sufragar de manera anticipada el costo de la verificación metrológica de sus instrumentos por parte del Organismo Autorizado de Verificación Metrológica (OAVM) designado.
9.11.4. Requisitos de elegibilidad y obligaciones del OAVM. El OAVM que se designe para verificar alcoholímetros en servicio, debe cumplir las obligaciones establecidas en los Capítulos Tercero y Quinto del Título VI de la Circular Única, con sus modificaciones y adiciones, así como los demás requisitos que defina la Superintendencia de Industria y Comercio a través de convocatoria pública.
9.11.5. Ciclo de verificación metrológica. El ciclo de verificación metrológica está compuesto por los procedimientos de regularización, de verificación metrológica periódica y de verificación metrológica de después de reparación o modificación, los cuales constan de la realización de un examen administrativo y de un examen técnico de carácter metrológico mediante la ejecución de los ensayos que se señalan más adelante. También incluye la actividad de reparación. En este ciclo intervienen los OAVM, reparadores, técnicos reparadores, y titulares de alcoholímetros.
9.11.5.1. Regularización. Se denomina regularización a la primera verificación metrológica que se le realiza a un alcoholímetro que se encontraba en servicio al 28 de junio de 2017.
El procedimiento de regularización se debe llevar a cabo por el OAVM dentro del término que se determine en la convocatoria pública de designación. En caso de no determinarse, se realizará máximo a los 12 meses de haberse censado el instrumento de medición.
En el procedimiento de regularización, y siempre que el resultado sea conforme, el OAVM debe precintar los alcoholímetros en los puntos definidos por el mismo organismo, los cuales como mínimo deberán ser los que se indican en el numeral 9.11.6.3.4.
Durante la regularización, el verificador debe hacer el plano del esquema de precintos y registrarlo en el Sistema de Información de Metrología Legal (SIMEL) junto con el número de serie de cada precinto colocado para complementar el acta de verificación correspondiente. Cuando se requiera, en posteriores verificaciones se debe actualizar el esquema de precintos.
Únicamente se podrá modificar el número de serie de los precintos como consecuencia de la realización de un procedimiento de verificación metrológica de después de reparación o verificación periódica.
Cuando el procedimiento de verificación metrológica con fines de regularización arroje resultado NO CONFORME, el OAVM no tendrá que precintar el alcoholímetro. Sin embargo, el titular deberá realizar la reparación del alcoholímetro a través de un reparador inscrito en el Sistema de Información de Metrología Legal (SIMEL), o suspender el uso del alcoholímetro. Lo anterior, en un término de 30 días calendario desde el momento en que no se supere la regularización, dentro del cual el titular deberá informar al OAVM el evento en que se decida el retiro del instrumento.
9.11.5.2. Verificación metrológica periódica.
La verificación metrológica periódica se realiza con la finalidad de comprobar y confirmar que los alcoholímetros mantienen las características esenciales, metrológicas, técnicas y administrativas desde su última verificación metrológica.
Sin perjuicio de la obligación del titular del instrumento de mantenerlo ajustado metrológicamente en todo momento, la verificación metrológica periódica de los alcoholímetros en servicio se debe realizar cada año, es decir, cada verificación periódica se debe realizar al cabo de doce (12) meses.
No obstante, el OAVM podrá efectuar la verificación metrológica periódica de los alcoholímetros entre el mes once (11) o hasta el mes trece (13) contados a partir de la fecha en la que se practicó la última verificación metrológica.
PARÁGRAFO. La primera verificación metrológica de los alcoholímetros nuevos que hayan demostrado la conformidad según lo establecido en el numeral 9.8., es decir, aquellos que ingresaron al mercado nacional con posterioridad a la entrada en vigencia del reglamento técnico, será realizada bajo el mismo procedimiento de verificación metrológica señalado en el numeral 9.11.6., y el precintado se realizará conforme lo estipulado en el numeral 9.11.6.3., siempre que el resultado sea conforme. Se deberá realizar entre el mes once (11) y trece (13) siguientes de la fecha de su puesta en servicio. Lo anterior, sin perjuicio de que el titular pueda solicitar hacerlo previamente a este término.
9.11.5.3. Reparación.
Cuando con ocasión de una regularización, verificación periódica, o por iniciativa del titular, un alcoholímetro deba ser sometido a reparación, dicha actividad deberá ser realizada por un reparador registrado en SIMEL, siguiendo los deberes y obligaciones determinados en el numeral 9.12.
Si el reparador rompe precintos para ajustar o modificar el alcoholímetro, deberá colocar sus precintos en los mismos puntos en que los removió.
Los alcoholímetros que han sido reparados o modificados podrán ser utilizados de nuevo, únicamente cuando el reparador que los intervenga haya registrado dicha reparación en el Sistema de Información de Metrología Legal (SIMEL) y retirado la etiqueta de no conformidad de que trata el numeral 9.11.6.6.
La reparación que se realice luego del resultado NO CONFORME del procedimiento de regularización, en el cual el OAVM no precinta el alcoholímetro, deberá ser realizada por un reparador inscrito en el Sistema de Información de Metrología Legal (SIMEL). Este será el único evento en el que se podrán cargar reparaciones en el Sistema de Información de Metrología Legal (SIMEL) sin la ruptura de precintos.
9.11.5.4. Verificación metrológica después de reparación.
Verificación que se realiza después de una reparación o modificación en la que se requirió rotura de precintos, con el objeto de comprobar que el alcoholímetro conserva las características metrológicas que le son aplicables conforme a su diseño y a su reglamentación técnica específica.
Siempre que se efectúe una reparación o modificación a un alcoholímetro evidencial que implique la rotura de precintos de seguridad, el OAVM debe realizar una verificación metrológica de acuerdo con lo establecido en el numeral 9.11.6. después de reparación, y debe registrar dicho procedimiento en el Sistema de Información de Metrología Legal (SIMEL).
En esta verificación el OAVM debe colocar sus precintos encima de los puestos por el reparador, luego de haber verificado las condiciones de la reparación y el adecuado funcionamiento del alcoholímetro.
9.11.6. Procedimiento de verificación metrológica. Este procedimiento es aplicable a todo tipo de alcoholímetros, sujetos a control metrológico en los términos establecidos en el Título VI de la Circular Única de la Superintendencia de Industria y Comercio, en las etapas de regularización, verificación periódica y verificación después de reparación.
9.11.6.1. Examen administrativo. Consiste en la identificación del alcoholímetro y la comprobación de que reúne los requisitos para estar válidamente en servicio, tomando como base la información aportada por el OAVM en la Tarjeta de Control Metrológico (TCM) del Sistema de Información de Metrología Legal (SIMEL). Igualmente, mediante este examen se comprobará que el instrumento de medición superó satisfactoriamente la evaluación de la conformidad o que fue sometido a regularización con los marcados correspondientes.
A excepción de los alcoholímetros que se encuentren en operación, si el OAVM encuentra que un alcoholímetro sujeto a control metrológico ingresó al mercado nacional sin demostrar satisfactoriamente su conformidad con el presente reglamento técnico, informará a la Superintendencia de Industria y Comercio quien podrá inhabilitarlo para el servicio de manera preventiva e iniciar la investigación administrativa a que haya lugar.
Aquellos alcoholímetros que se encuentren en operación a la fecha de entrada en vigencia de este reglamento técnico serán sometidos a regularización por parte del OAVM, quien verificará que el instrumento provee mediciones dentro de los errores máximos permitidos en este reglamento técnico.
Asimismo, se debe comprobar, por cada alcoholímetro, los datos de identificación del mismo en la tarjeta de control metrológico en el Sistema de Información de Metrología Legal (SIMEL), y en caso de estar incompletos o incorrectos deberán ser actualizados por parte del OAVM.
9.11.6.1.1. Examen visual. Antes de iniciar la prueba, deben ser revisados los siguientes aspectos:
- Una inspección visual para determinar que el instrumento coincide con el modelo aprobado, de acuerdo con su diseño y construcción;
- Integridad de los accesorios esenciales y subsidiarios (por ejemplo, boquillas y dispositivos de impresión) y su correspondencia con el modelo aprobado;
- Correspondencia del software con el modelo aprobado;
- Integridad del etiquetado y precintado exigido en los numerales 9.7. del presente reglamento técnico;
- Presencia, integridad e idioma de la documentación destinada al usuario;
- Fecha y hora correctas.
9.11.6.1.2. Comprobación de la placa de características y de los datos contenidos en la tarjeta de control metrológico del alcoholímetro. El OAVM deberá comprobar y/o complementar si faltaran, los datos contenidos en la TCM del alcoholímetro en el Sistema de Información de Metrología Legal (SIMEL). Tales datos son:
a. Titular del alcoholímetro;
b. Marca;
c. Modelo;
d. Número de serie del alcoholímetro; y,
e. Condiciones nominales de funcionamiento del alcoholímetro.
La placa de características que debe poseer el alcoholímetro debe cumplir los requisitos e inscripciones exigibles que le sean aplicables conforme a su TCM. En cualquier caso, si faltara la placa de características el OAVM se la debe colocar.
También se debe comprobar si las marcas e inscripciones corresponden con las que figuran en la documentación que demuestra la conformidad del alcoholímetro frente a esta norma.
9.11.6.1.3. Marca de regularización. La regularización es el procedimiento que lleva a cabo el Organismo Autorizado de Verificación Metrológica (OAVM), con el objeto de establecer si un alcoholímetro que se encuentra en uso se ajusta a los requisitos dispuestos en este reglamento técnico, pese a que no se evaluó la conformidad de dicho instrumento de medición de manera previa a su entrada al mercado o puesta en servicio.
Para efectos de regularizar un alcoholímetro el OAVM deberá realizar el examen técnico previsto en el numeral 9.11.6., y en caso de superar satisfactoriamente las pruebas allí descritas, éste deberá: i) incorporar en el Sistema de Información de Metrología Legal (SIMEL) la información que se señala en el numeral 9.11.6.4. del presente reglamento técnico, y ii) precintar el instrumento en todas aquellas partes, electrónicas o no, que puedan afectar la determinación de los resultados de medición.
La realización de este procedimiento implica el pago de la tarifa asociada a la actividad de verificación metrológica a cargo del OAVM, y deberá ser asumida por el titular del alcoholímetro.
PARÁGRAFO. El alcoholímetro que se encuentre en uso a la fecha de entrada en vigencia de esta norma, que no logre ser regularizado por no estar conforme con los requisitos establecidos en este reglamento técnico y que no sea reparable, no podrá ser utilizado en ninguna de las actividades sujetas a control metrológico y deberá ser dado de baja en el Sistema de Información de Metrología Legal (SIMEL).
9.11.6.1.4. Verificación de precintos. El OAVM deberá verificar la correspondencia en número, codificación y posición de los precintos del alcoholímetro respecto de los que fueron registrados en la documentación obtenida por el productor o importador para efectos de demostrar la conformidad de este, la consignada en el esquema de precintos o la información en el Sistema de información de Metrología Legal (SIMEL) de la última verificación realizada al instrumento de medición. Del mismo modo, si el alcoholímetro ha sido objeto de reparación o modificación por parte de un reparador en los términos señalados en el presente reglamento técnico, el OAVM deberá verificar en número y posición los precintos que fueron colocados por este último, de acuerdo con la información del procedimiento de reparación o modificación consignada en el Sistema de Información de Metrología Legal (SIMEL).
Si el OAVM encuentra precintos rotos se entiende no superado el ensayo administrativo, sin perjuicio de las facultades en cabeza de esta Superintendencia y de las Alcaldías Municipales para adelantar la investigación administrativa que consideren pertinente.
Igualmente, el OAVM debe verificar: i) la integridad de los precintos tirando ligeramente de los alambres y de los propios precintos, como también ii) comprobar que son funcionales.
9.11.6.1.5. Comprobación de precintos. El OAVM debe comprobar que los precintos que son exigidos en la presente reglamentación garanticen la integridad del instrumento frente a manipulaciones y que coincidan con los especificados en el examen de modelo o en el documento de regularización, así como el número del precinto. En el caso de existir precintos electrónicos se tomará nota del número correlativo de control.
9.11.6.2. Examen técnico.
9.11.6.2.1. Condiciones metrológicas para el ensayo. Antes de comenzar las pruebas, se verificará que el EBA esté encendido durante el tiempo necesario para el calentamiento.
Las pruebas de rendimiento se ejecutarán bajo las siguientes condiciones de referencia.
| Condición | Intervalo del valor nominal | Máxima variación durante cada prueba |
| Temperatura ambiente | 20 °C ± 5 °C | 5 °C en total con una derivación de menos de 3 °C por hora |
| Humedad relativa ambiental | 50% ± 30% | 10% |
| Condición | Intervalo del valor nominal | Máxima variación durante cada prueba |
| Presión atmosférica | 700 hPa a 1060 hPa | 20 hPa (no aplicable a pruebas de deriva a largo plazo) |
| Concentración de hidrocarburo en el ambiente | 0 ímol/mol a 5 ímol/mol en fracción de volumen total (como metano equivalente) | |
| Tensión de red CA y frecuencia (si corresponde) | Valores nominales especificados en numeral 9.4.2. | Dentro de los valores nominales especificados en numeral 9.4.2. |
9.11.6.2.2. Gases de prueba usados para la verificación. Los gases usados para la verificación deben cumplir con los siguientes requisitos:
| Parámetro | Valor nominal con desviación permitida |
| Volumen entregado | 2 L ± 0,3L |
| Duración total de cada inyección en el alcoholímetro | Igual o superior a 5 s |
| Tipo de perfil | Caudal constante |
| Concentración de etanol | De acuerdo con el ensayo correspondiente (en caso de que no se especifique: 0,4 mg/L) con una desviación del valor objetivo de +/- (2/3 EMP) |
| Temperatura del gas | 34 °C ± 0,5 °C |
| Humedad relativa del gas | 95% ± 5% (sin condensación) |
| Gas portador | Aire con contenido insignificante de impurezas relevantes con una fracción molar de CO2 de: (50 +/- 5) mmol/mol |
9.11.6.2.3. Ensayo de exactitud. Se deberán realizar al menos tres repeticiones para cada concentración. Deberá adelantarse al menos un ensayo en cada uno de los cinco (5) intervalos de concentración que se encuentran en la siguiente tabla:
| Gas de prueba número | Concentración en unidades mg de etanol/L de aire | Concentración en unidades equivalentes de mg de etanol/100 ml de sangre |
| 1 | 0 = concentración < 0,095 | 0 = concentración < 20 |
| 2 | 0,095 = concentración < 0,190 | 20 = concentración < 40 |
| 3 | 0,190 = concentración < 0,480 | 40 = concentración < 100 |
| 4 | 0,480 = concentración< 0,710 | 100 = concentración < 150 |
| 5 | 0,710 = concentración = 0,950 | 150 = concentración = 200 |
Los resultados de cada ensayo deberán estar dentro de los EMP dispuestos en el numeral 9.4.2.2. de acuerdo con el tipo de verificación metrológica.
9.11.6.3. Precintos de seguridad.
9.11.6.3.1. Requisitos mínimos. Los precintos que sean utilizados por el OAVM y los reparadores de alcoholímetros en el ejercicio de sus funciones, deberán ser de tipo etiqueta de papel o material plástico autoadhesivo.
Asimismo, deberán como mínimo cumplir los siguientes requisitos:
a. Debe ser durable y resistente a ruptura accidental, a los agentes externos tanto atmosféricos como abrasivos y a los impactos;
b. Su diseño debe garantizar que sólo pueda ser utilizado una vez;
c. Debe destruirse en sus partes esenciales cuando se abra o altere, o que de cualquier forma deje rastro del acceso al alcoholímetro precintado;
d. Debe ser lo suficientemente complejo para evitar la duplicación, y si ello no fuere posible, la numeración no deberá ser reproducida en un periodo inferior a cuatro (4) años;
e. Debe contener la siguiente información:
i. Identificación del OAVM o reparador (Nombre, NIT, dirección y teléfono de contacto),
ii. Número serial del precinto de seguridad asignado en orden consecutivo, compuesto por una codificación alfanumérica que combine máximo veinte (20) caracteres escogidos por el OAVM.
PARÁGRAFO. En el cuerpo del precinto, la información del literal e. podrá estar indicada directamente o mediante un código QR.
9.11.6.3.2. Registro de precintos de seguridad. El OAVM debe registrar en el Sistema de Información de Metrología Legal (SIMEL) la serie de numeración de los precintos de seguridad que utilizará en el ejercicio de sus funciones.
9.11.6.3.3. Responsabilidad en uso de los precintos. Cuando el alcoholímetro incorpore precintos de dispositivos electrónicos como son la asignación de nombre de usuario y contraseña para efectos de ajustar los parámetros de determinación de los resultados de medición del instrumento, su titular es responsable por la custodia e integridad del precinto electrónico. Del mismo modo, el titular del instrumento también es responsable de la integridad de los precintos que fueron puestos por el fabricante del alcoholímetro, por el OAVM o reparador en ejercicios de sus respectivas funciones. Asimismo, tanto el OAVM como reparadores son responsables de la custodia de los precintos que utilizan en el ejercicio de sus funciones.
9.11.6.3.4. Imposición de precintos. El OAVM debe colocar los precintos de seguridad en el alcoholímetro en el procedimiento de regularización, en todas las verificaciones después de reparación o modificación, y en la primera verificación metrológica periódica de un instrumento nuevo que haya demostrado la conformidad de acuerdo con los requisitos del numeral 9.11.6., siempre que el resultado en cada caso sea conforme.
Todo alcoholímetro deberá estar precintado en los puntos que se hayan definido en el esquema de precintos cargado por el productor/importador en el Sistema de Información de Metrología Legal (SIMEL) para el modelo correspondiente o, para aquellos que se encontraban en servicio, según el esquema de precintos creado por el OAVM para el modelo correspondiente.
Además de los elementos mencionados atrás, el OAVM podrá precintar otros elementos del alcoholímetro cuando lo considere necesario para asegurar la calidad de los resultados de medida, siempre y cuando presente una justificación técnica al respecto.
9.11.6.4. Documentación del procedimiento de verificación metrológica. El OAVM debe documentar a través del Sistema de Información de Metrología Legal (SIMEL) de la Superintendencia de Industria y Comercio, la totalidad del procedimiento de verificación metrológica adelantado por cada alcoholímetro.
En el acta de verificación metrológica se deberán anotar los resultados de los ensayos descritos en este reglamento técnico, indicando, así mismo, el error máximo permitido en cada uno de ellos.
Adicionalmente, el OAVM deberá incorporar en el Sistema de Información de Metrología Legal (SIMEL) todas las pruebas documentales que resulten de la verificación efectuada, tales como copia del acta de verificación metrológica firmada por el verificador metrológico, y fotografías de los establecimientos de comercio visitados, los instrumentos de medición verificados y de sus placas de características, donde conste el número serial de cada uno, los precintos instalados, cada uno de los ensayos efectuados y sus resultados, la medición de temperatura en cada caso, y todas las demás que resulten ser conducentes y/o pertinentes.
El OAVM debe sincronizar en línea el acta de verificación metrológica con el Sistema de Información de Metrología Legal (SIMEL) máximo al día calendario siguiente de haber realizado la visita de verificación.
El OAVM debe entregar al titular del alcoholímetro el acta de verificación metrológica dentro de los dos (2) días hábiles siguientes a la ejecución de la verificación, en la cual consten los resultados de las pruebas y los ensayos efectuados. Así como también si fuere el caso, las no conformidades encontradas.
El acta debe ser impresa o entregada digitalmente, y debe estar firmada por el verificador metrológico y por el titular o quien este hubiese asignado para presidir la verificación, si aplica. En caso de que el titular del instrumento o la persona asignada por este se niegue a firmar el acta, se dejará constancia de dicha circunstancia en el documento.
PARÁGRAFO. En caso de que el titular del instrumento desee atestar el proceso de verificación metrológica o delegar una persona para este fin, el acta de verificación que se cargue en el Sistema de Información de Metrología Legal (SIMEL) deberá contar con una observación o nota que señale el acompañamiento del titular o su encargado, su información (nombre, identificación, cargo) y su firma.
9.11.6.5. Superación de la verificación metrológica. Cuando el resultado de la verificación metrológica sea satisfactorio, el OAVM adherirá en lugar visible del alcoholímetro evidencial una “etiqueta de verificación” cuyas características, formato y contenido serán los siguientes:
SUPERINTENDENCIA DE INDUSTRIA Y COMERCIO1
CONTROL METROLÓGICO.
Título VI Circular Única Superintendencia de Industria y Comercio
| OAVM2: | Resultado de la verificación4: | |
| CONFORME | ||
| NII3: | Fecha verificación5 | Próxima verificación6 |
| AÑO | ||
| Nombre y firma del Verificador7: | MES | |
| DÍA | ||
Descripción de los campos:
1. Encabezado. La etiqueta de marcado de conformidad metrológica siempre deberá llevar como encabezado el texto “SUPERINTENDENCIA DE INDUSTRIA Y COMERCIO”, y a renglón seguido “CONTROL METROLÓGICO” en mayúscula.
2. Organismo de verificación. Este campo contiene el nombre o razón social del OAVM que efectuó la verificación metrológica del alcoholímetro.
3. NII. Hace referencia al número de identificación alfanumérico del alcoholímetro en el Sistema de Información de Metrología Legal (SIMEL) (Número de Identificación del Instrumento). Este número de identificación lo obtiene el OAVM al momento de crear la tarjeta de control metrológico del alcoholímetro necesaria para efectuar el control metrológico posterior.
4. Resultado de la Verificación: Este campo siempre deberá contener la palabra “CONFORME” en color verde.
5. Fecha de verificación: Corresponde a la fecha exacta en que se efectuó la verificación metrológica del alcoholímetro.
6. Próxima verificación: Corresponde a la fecha límite en la cual se debe realizar la siguiente verificación metrológica periódica.
7. Nombre y firma del verificador. En la parte inferior izquierda de la etiqueta, deberá fijarse el nombre y firma del verificador del OAVM que efectuó el procedimiento correspondiente.
9.11.6.5.1. Características de la Etiqueta. La etiqueta debe estar confeccionada con un material resistente a los agentes externos, tanto atmosféricos como abrasivos y a los impactos. Será de tipo adhesivo y autodestructiva al desprendimiento; debe tener forma rectangular, fondo de color amarillo y sus dimensiones deben ser suficientemente grandes para permitir que los usuarios del instrumento se informen sobre su conformidad con el presente reglamento técnico.
9.11.6.6. No superación de la verificación metrológica. El alcoholímetro evidencial que no supere el procedimiento de verificación como consecuencia de deficiencias detectadas, deberá ser puesto fuera de servicio hasta que se subsanen las fallas encontradas previa orden administrativa impartida por esta Superintendencia.
Todo alcoholímetro que no haya superado la verificación metrológica dispuesta en este reglamento técnico metrológico deberá llevar adherida una etiqueta fijada en un lugar visible del instrumento de medición o en algún elemento de la instalación que lo soporta, cuyas características, formato y contenido, serán los siguientes:
SUPERINTENDENCIA DE INDUSTRIA Y COMERCIO1
CONTROL METROLÓGICO
Titulo VI Circular Única Superintendencia de Industria y Comercio
| OAVM2: | Fecha de verificación4: |
| Nombre y firma del verificador5: | Resultado de la verificación3 |
| NII6: | NO CONFORME |
Descripción de los campos:
1. Encabezado. La etiqueta siempre deberá llevar como encabezado el texto
“SUPERINTENDENCIA DE INDUSTRIA Y COMERCIO”, y a renglón seguido “CONTROL METROLÓGICO” en mayúscula.
2. Organismo de verificación. Este campo contiene el nombre o razón social del OAVM que efectuó el procedimiento de verificación del alcoholímetro.
3. Resultado de la Verificación. Este campo siempre deberá contener la palabra “NO CONFORME'”.
4. Fecha de verificación: Corresponde a la fecha exacta en que se efectuó la verificación metrológica del instrumento de medición, la cual deberá ser fijada de la siguiente manera:
Año/ Mes / Día
5. Nombre y firma del verificador. En la parte inferior izquierda de la etiqueta, deberá fijarse el nombre y firma del verificador del OAVM que efectuó el procedimiento correspondiente.
6. NII. Hace referencia al número de identificación alfanumérico del alcoholímetro registrado en el Sistema de Información de Metrología Legal (SIMEL) de la Superintendencia de Industria y Comercio, al momento de crear la tarjeta de control metrológico necesaria para efectuar el control metrológico posterior.
9.11.6.6.1. Características de la Etiqueta. La etiqueta de marcado de no conformidad (NO SUPERADA) del alcoholímetro debe estar confeccionada con un material resistente a los agentes externos, tanto atmosféricos como abrasivos y a los impactos. Será de tipo adhesivo y autodestructiva al desprendimiento; debe tener forma rectangular, fondo de color rojo y sus dimensiones deben ser suficientemente grandes para permitir que los consumidores y usuarios del alcoholímetro se informen sobre su no conformidad con el presente reglamento técnico.
9.12. Reparadores y técnicos reparadores. Las reparaciones o modificaciones de los alcoholímetros evidenciales que impliquen la rotura de precintos, deben ser realizadas por una persona natural o jurídica inscrita como reparador en el registro de reparadores del Sistema de Información de Metrología Legal (SIMEL) de la Superintendencia de Industria y Comercio, conforme a lo establecido en el Capítulo Tercero del Título VI de la Circular Única y sus modificaciones, y demás disposiciones establecidas por esta Superintendencia. Los técnicos reparadores son las personas naturales encargadas de reportar la información sobre las reparaciones realizadas, registradas en el Sistema de Información de Metrología Legal (SIMEL) por los reparadores. Los reparadores y técnicos reparadores deben cumplir lo dispuesto en el Anexo del Capítulo Tercero del Título VI de la Circular Única.
Los titulares de los alcoholímetros evidenciales que deban reparar sus equipos, bien sea de manera preventiva o como consecuencia de una orden impartida por la Superintendencia de Industria y Comercio, podrán contratar los servicios de cualquier reparador y técnico reparador que se encuentre inscrito en Sistema de Información de Metrología Legal (SIMEL).
9.12.1. Información de carácter administrativo y técnico. Para efectos de las reparaciones que se propone llevar a cabo, el reparador que se inscriba en Sistema de Información de Metrología Legal (SIMEL) deberá precisar, en ese mismo registro, la información que se detalla a continuación.
En la inscripción se deberá incorporar la siguiente información:
a. Nombre y apellido de la persona natural o razón social de la persona jurídica;
b. Número de identificación (N.I.T, C.C. o su equivalente);
c. Domicilio principal y secundarios donde realiza sus actividades de reparación o modificación de alcoholímetros evidenciales;
d. La(s) marca(s), modelo(s) y tipo(s) de instrumento(s) que repara; e,
e. Indicación de la experiencia y conocimientos que posee en la reparación de alcoholímetros evidenciales.
Adicionalmente, el reparador deberá registrar en el Sistema de Información de Metrología Legal (SIMEL), los Técnicos Reparadores quienes son los responsables de registrar la reparación en el sistema; indicando:
a. Nombre y apellido de la persona;
b. Número de identificación (C.C. o su equivalente);
c. Domicilio principal;
d. Anexar todos los documentos que sirvan de soporte para demostrar su idoneidad, capacidad, experticia y experiencia en la reparación de alcoholímetros.
Una vez inscrito, el Sistema de Información de Metrología Legal (SIMEL) le asignará un número de identificación al reparador. La codificación de los precintos que ponga el reparador inscrito deberá iniciar con el número de identificación que le asignó Sistema de Información de Metrología Legal (SIMEL) seguido de caracteres alfanuméricos que al ser unidos no excedan veinte (20) caracteres. No puede haber precintos con codificación repetida.
El registro del reparador en el Sistema de Información de Metrología Legal (SIMEL) tendrá carácter público respecto del nombre, dirección y teléfono del reparador.
9.12.2. Actuaciones de los reparadores. Cualquier intervención de un alcoholímetro que implique el remplazo o sustitución de una de sus piezas, siempre que para acceder a ella se haya tenido que romper un precinto, está supeditada a que los reparadores actúen dentro del alcance del tipo o modelo certificado o aprobado, de manera que las piezas remplazadas o sustituidas sean compatibles con el tipo o modelo cuya evaluación de conformidad ha sido demostrada frente a este reglamento técnico.
Quien desempeñándose como técnico reparador haya intervenido un alcoholímetro para repararlo o ajustarlo y con ello, haya tenido que remover precintos de seguridad, una vez comprobado su correcto funcionamiento y que sus mediciones se hagan dentro de los errores máximos permitidos (EMP), deberá (i) dar de alta el instrumento en el Sistema de Información de Metrología Legal (SIMEL), (ii) retirar la etiqueta de no superación de la verificación metrológica de que trata el numeral 9.11.6.6. cuando haya lugar a ello y (iii) colocar nuevamente los precintos que haya tenido que levantar para llevar a cabo la reparación o ajuste.
Una vez reparado o modificado el alcoholímetro evidencial de manera satisfactoria, el reparador deberá registrar la actuación adelantada en Sistema de Información de Metrología Legal (SIMEL) de acuerdo con el formato establecido en el Anexo del Capítulo Tercero del Título VI de la Circular Única, con sus modificaciones y adiciones, con indicación del objeto de la reparación o modificación, especificación de los elementos sustituidos, los ajustes y controles efectuados, la indicación de los elementos precintados en el instrumento, la codificación de los precintos retirados y utilizados y la fecha de la reparación o modificación. Desde Sistema de Información de Metrología Legal (SIMEL) se generará una alerta al OAVM para la realización de la verificación metrológica subsecuente.
El reparador deberá poseer las herramientas y equipos idóneos y necesarios que le permitan desarrollar adecuadamente su labor, presentando el certificado de calibración correspondiente de acuerdo con la frecuencia que señale el fabricante y con errores que no superen los máximos permitidos en la Recomendación OIML aplicable.
Si la actuación de un reparador en un alcoholímetro no implica la rotura de precintos, esta operación no estará sujeta a posterior verificación por parte del OAVM, excepto cuando la reparación se realice como consecuencia del resultado NO SUPERADA de un procedimiento de regularización, caso en el que el reparador inscrito en Sistema de Información de Metrología Legal (SIMEL) debe realizar la reparación aún sin la ruptura de precintos, y el OAVM deberá realizar la verificación para completar la regularización.
PARÁGRAFO. Con independencia del registro del procedimiento efectuado por el reparador en Sistema de Información de Metrología Legal (SIMEL), este deberá conservar la documentación necesaria que soporte las reparaciones realizadas, por el mismo término que se establece para la conservación de los papeles comerciales, previsto en el artículo 60 del Código de Comercio, contado a partir de la reparación efectuada.
9.12.3. Régimen de responsabilidad de los reparadores y técnicos reparadores. Los reparadores y técnicos reparadores son responsables del cumplimiento de sus obligaciones dentro del marco establecido en los capítulos tercero y noveno del Título VI de la Circular Única de la Superintendencia de Industria y Comercio.
Con independencia de la imposición de sanciones administrativas a las que haya lugar, si después de verificar la información incorporada en Sistema de Información de Metrología Legal (SIMEL) por parte del reparador se establece su falsedad o inexactitud, la Superintendencia de Industria y Comercio podrá adoptar medidas tendientes a proteger los derechos de los consumidores en el marco de la Ley 1480 de 2011.
9.13. Obligaciones del titular del alcoholímetro evidencial en servicio
Son obligaciones del titular del alcoholímetro evidencial en servicio, las siguientes:
a. Crear una hoja de vida de cada alcoholímetro evidencial en servicio la cual debe contener como mínimo los siguientes datos:
1. Descripción del equipo (marca, modelo y número de serie);
ii. Fecha en que se ha puesto en servicio;
iii. Documentos que demuestran la conformidad del instrumento antes de ser puesto en servicio (certificado de examen de tipo o aprobación de modelo y declaración de conformidad junto con la documentación de apoyo);
iv. Informes de mantenimiento; e,
v. Informe sobre las verificaciones intermedias hechas al instrumento antes de ser utilizado.
b. Efectuar periódicamente los mantenimientos y ajustes que se requieran en el alcoholímetro evidencial a fin de asegurar la calidad de la medición en todo momento, y guardar registro documental de cada procedimiento efectuado.
c. Permitir y sufragar el costo del procedimiento de verificación metrológica periódica y de después de reparación o modificación.
d. Presidir o designar quien acompañe los procedimientos de inspección y/o verificación metrológica y firmar el acta resultado de esta.
PARÁGRAFO. Los alcoholímetros que venían siendo utilizados en actividades sujetas a control metrológico, antes de la fecha de entrada en vigencia de este reglamento técnico metrológico, podrán continuar proporcionando los resultados de medida en las unidades en que se encuentran configurados, salvo que el instrumento permita el ajuste de la unidad de medida en mg de etanol/100ml de sangre con el factor de conversión señalado en el numeral 9.4.1.
9.14 Autoridad de inspección, vigilancia y control. En concordancia con lo establecido en los numerales 3.4.1 y 3.4.2 del Capítulo Tercero del Título VI de la Circular Única, con sus modificaciones y adiciones, la Superintendencia de Industria y Comercio y la Dirección de Impuestos y Aduanas Nacionales (DIAN), ejercerán como autoridades administrativas encargadas de vigilar el cumplimiento del presente reglamento técnico metrológico en la fase de evaluación de la conformidad.
La Superintendencia de Industria y Comercio, directamente, o con el apoyo de Organismos Autorizados de Verificación Metrológica, vigilará el cumplimiento del presente reglamento técnico respecto de los alcoholímetros en servicio. En ejercicio de esas facultades podrá, según lo previsto en los numerales 8 y 9 del artículo 59 de la Ley 1480 de 2011, ordenar; (i) que se detenga la comercialización o puesta en servicio de un alcoholímetro que no cumpla con los requisitos definidos en este reglamento técnico, (ii) la no utilización temporal o definitiva de lo(s) alcoholímetro(s) que no apruebe(n) la inspección y/o verificación metrológica descrita en los numerales 9.11.2. y 9.11.6. de este reglamento, (iii) adoptar las medidas procedentes para asegurar que se ajuste metrológicamente el instrumento que se encuentre en servicio fuera de los errores máximos permitidos e (iv) imponer las sanciones contempladas en el artículo 61 de la Ley 1480 de 2011 a que haya lugar previa investigación administrativa, sin perjuicio de las competencias que en esta materia poseen los entes territoriales.
9.15 Régimen sancionatorio. La inobservancia a lo dispuesto en el presente Reglamento Técnico Metrológico dará lugar a la imposición de las sanciones previstas en el artículo 61 de la Ley 1480 de 2011, previa investigación administrativa.
9.16 Transitoriedad en el control metrológico de alcoholímetros en servicio. Hasta tanto se haya acreditado el primer Organismo de Verificación de Alcoholímetros evidenciales ante el Organismo Nacional de Acreditación de Colombia (ONAC) los alcoholímetros que se utilizan en actividades sujetas a control metrológico deberán ser calibrados al menos una vez cada doce (12) meses, esta actividad se deberá adelantar entre el mes (11) o hasta el mes trece (13) contados a partir de la fecha en la que se practicó la última calibración, teniendo en cuenta los siguientes parámetros:
a. Debe realizarse en: (i) laboratorios de calibración acreditados ante el Organismo Nacional de Acreditación de Colombia (ONAC) bajo la norma ISO/IEC 17025 cuyo alcance de acreditación corresponda a las magnitudes relacionadas con el instrumento de medición objeto del ámbito de aplicación del presente reglamento técnico metrológico, o en (ii) laboratorios extranjeros siempre que ostenten acreditación vigente bajo la norma ISO/IEC 17025 emitida por un miembro signatario del acuerdo de reconocimiento mutuo de la Cooperación Internacional para la Acreditación de Laboratorios por sus siglas en inglés (ILAC), cuyo alcance de acreditación corresponda a las magnitudes relacionadas con el instrumento de medición objeto del ámbito de aplicación del presente reglamento técnico metrológico o (iii) en el Instituto Nacional de Metrología de Colombia (INM) o (iv) en un Instituto Nacional de Metrología cuyas capacidades de calibración y medición (CMC) en la magnitud relacionada con el instrumento de medición, hayan sido publicadas ante la Oficina Internacional de Pesas y Medidas.
b. Los errores de los ensayos realizados no deberán superar los Errores Máximos Permitidos (EMP) estipulados en el numeral 9.4.2.2.2. “EMP para alcoholímetros en fase de instrumentos en servicio (para la inspección o verificación periódica)” de la presente resolución.
c. Se realizará una prueba de repetibilidad. Se realizarán mediciones* de forma consecutiva para cada concentración.
La calibración se debe realizar en al menos tres (3) concentraciones diferentes que se encuentren dentro del siguiente intervalo:
i. 0,045 mg de etanol/L de aire = concentración = 0,950 mg de etanol/L de aire.
ii. 10 mg de etanol/100 ml de sangre = concentración = 200 mg de etanol/100 ml de sangre.
*El número de repeticiones será el establecido en el procedimiento de calibración con el cual fue acreditado el laboratorio.
Transcurridos seis meses de la acreditación del primer Organismo de Verificación de Alcoholímetros evidenciales ante el Organismo Nacional de Acreditación de Colombia (ONAC) los alcoholímetros que sean utilizados en actividades periciales, judiciales y/o administrativas, deberán ser verificados metrológicamente en la forma que se señala en el numeral 9.11.3 y siguientes de este reglamento técnico.
Sin perjuicio de lo anterior, con la entrada en vigor del presente Reglamento Técnico Metrológico, la Superintendencia de Industria y Comercio podrá adelantar inspecciones metrológicas a alcoholímetros evidenciales en servicio que sean utilizados en actividades periciales, judiciales y/o administrativas.
ARTÍCULO 2o. El Anexo “MODELO DE DECLARACIÓN DE LA CONFORMIDAD PARA ALCOHOLÍMETROS EVIDENCIALES”, hace parte integral del Capítulo Noveno del Título VI de la Circular Única de esta Superintendencia y es obligación del productor y/o importador utilizarlo conforme a las instrucciones que allí se describen para demostrar la conformidad de sus productos en la forma que lo establece este reglamento técnico.
ARTÍCULO 3o. Ampliar la vigencia del Reglamento Técnico Metrológico aplicable a alcoholímetros, etilómetros o alcohosensores evidenciales expedido por la Resolución número 88919 del 28 de diciembre de 2017 y modificado por las Resoluciones número 32074 del 26 de junio de 2020 y número 38984 del 21 de junio de 2022, hasta el 31 de diciembre de 2023.
ARTÍCULO 4o. Modificar el numeral 9.19 del Reglamento Técnico Metrológico aplicable a alcoholímetros, etilómetros o alcohosensores evidenciales expedido por la Resolución número 88919 del 28 de diciembre de 2017, el cual quedará así:
“9.19 Transitoriedad en el control metrológico de alcoholímetros en servicio. Hasta tanto se haya acreditado el primer organismo de verificación de alcoholímetros evidenciales ante el ONAC, los alcoholímetros evidenciales que se utilizan en actividades sujetas a control metrológico deberán ser calibrados en la forma y periodicidad que se establece en la Resolución 1844 de 2015 del Instituto Nacional de Medicina Legal y Ciencias Forenses, o cualquier otra norma que la modifique”.
PARÁGRAFO. Este artículo quedará sin efectos, con la entrada en vigor del presente reglamento técnico metrológico.
ARTÍCULO 5o. La presente Resolución se publica en el Diario Oficial de conformidad con el artículo 119 de la Ley 489 de 1998, los artículos 3o y 4o de este acto administrativo entrarán a regir a partir de su publicación en el Diario Oficial y el artículo 1 entrará a regir a partir del día 1 de enero de 2024 derogando la Resolución número 88919 del 28 de diciembre de 2017.
Publíquese y cúmplase.
Dada en Bogotá, D. C., a 26 de junio de 2023.
La Superintendente de Industria y Comercio,
MARÍA DEL SOCORRO PIMIENTA CORBACHO
MODELO DE DECLARACIÓN DE LA CONFORMIDAD PARA ALCOHOLÍMETROS EVIDENCIALES.
A. Orientación para completar el formulario de declaración de conformidad
NOTA: Los números 1) a 7) se refieren al modelo de declaración de conformidad del literal B de este anexo.
1. Es obligatorio identificar cada declaración unívocamente.
2. Se debe especificar en forma inequívoca al emisor responsable. Persona natural: nombre y número de identificación. Persona jurídica: razón social y NIT. Para grandes organizaciones, puede ser necesario especificar grupos operativos o departamentos.
3. Se debe describir el “objeto” en forma inequívoca de modo que la declaración de conformidad pueda relacionarse con el objeto en cuestión.
4. Se debe identificar el número de serie del alcoholímetro evidencial y su modelo según certificado de examen de tipo o aprobación de modelo.
5. Para productos, una declaración de conformidad alternativa puede ser: “Tal como se entrega, el objeto de la declaración descrito anteriormente está en conformidad con los requisitos de los siguientes documentos”.
6. Es obligatorio que los documentos normativos que establecen los requisitos sean listados con sus números de identificación, título y fecha de emisión.
7. Se recomienda que aquí aparezca texto únicamente si se proporciona alguna limitación en la validez de la declaración de conformidad y/o cualquier información adicional. Esta información puede, por ejemplo, corresponder al apartado 6.2 de la norma ISO/IEC 17050:2004 o puede hacer referencia al marcado del producto de acuerdo con el capítulo 9 de esa misma norma. Dicho marcado del producto u otra indicación (por ejemplo, sobre el producto) puede ser un adjunto a la declaración de conformidad.
8. Es obligatorio proporcionar el nombre completo y la función de la o las personas que firman y están autorizadas por la dirección del emisor para firmar en su nombre. El número de firmas o equivalentes que se incluyan será el mínimo determinado por la forma legal de la organización del emisor.
B. Modelo de declaración de conformidad.


NOTAS AL FINAL:
1. Corte Constitucional. Sentencia C-428 de 2019. “(…) se aplica única y exclusivamente a la causal contemplada en el numeral 4 de la segunda parte del artículo 26 de la Ley 769 de 2002, referida a la reincidencia en la conducción en estado de embriaguez o bajo el efecto de drogas alucinógenas”.
2. Únicamente en relación con el cumplimiento de los requisitos de software que de acuerdo con este reglamento técnico debe cumplir el alcoholímetro.