RESOLUCIÓN 1 DE 2022
(marzo 23)
Diario Oficial No. 51.987 de 25 de marzo de 2022
FONDO DE GARANTÍAS DE INSTITUCIONES FINANCIERAS
<NOTA DE VIGENCIA: Resolución derogada por el artículo 20 de la Resolución 1 de 2024>
Por medio de la cual la Junta Directiva del Fondo de Garantías de Instituciones Financieras regula el Seguro de Depósitos.
LA JUNTA DIRECTIVA DEL FONDO DE GARANTÍAS DE INSTITUCIONES FINANCIERAS
en uso de sus facultades legales, en especial de las que le confieren el literal d) del numeral 2 del artículo 316, el literal c) del numeral 2 del artículo 318, los literales d) y f) del numeral 2 del artículo 319 y el artículo 323 del Estatuto Orgánico del Sistema Financiero,
CONSIDERANDO:
Primero. Que de conformidad con lo dispuesto en el literal d) del numeral 2 del artículo 316 del Estatuto Orgánico del Sistema Financiero, una de las funciones que debe cumplir el Fondo de Garantías de Instituciones Financieras es la de organizar y desarrollar el Sistema de Seguro de Depósitos.
Segundo. Que el literal c) del numeral 2 del artículo 318 del Estatuto Orgánico del Sistema Financiero, en concordancia con el artículo 323 de dicho Estatuto, atribuyó a la Junta Directiva, como máximo órgano de dirección y administración del Fondo, la potestad de regular el Seguro de Depósitos con observancia de los principios allí enunciados; y que, dentro de esa potestad, y en la forma prevista en la ley y los Estatutos, la Junta puede delegar en otras instancias del Fondo los aspectos del Seguro de Depósitos que considere pertinentes.
RESUELVE:
DISPOSICIONES GENERALES.
ARTÍCULO 1o. OBJETO. <Resolución derogada por el artículo 20 de la Resolución 1 de 2024> El objeto de la presente resolución es regular el sistema de Seguro de Depósitos administrado por el Fondo de Garantías de Instituciones Financieras, el cual comprende la inscripción, las acreencias amparadas, las primas, la cobertura y el pago que procede cuando una institución financiera inscrita en el Fondo sea objeto de liquidación forzosa administrativa.
(Modificado por el artículo primero de la Resolución número 004 de 2009, el artículo primero de la Resolución número 005 de 2014 y el artículo primero de la Resolución número 002 de 2016)
ARTÍCULO 2o. INSTITUCIONES FINANCIERAS QUE DEBEN INSCRIBIRSE. <Resolución derogada por el artículo 20 de la Resolución 1 de 2024> Sin perjuicio de lo dispuesto en las normas especiales que establezcan un régimen particular de Seguro de Depósitos para algunas instituciones financieras, deben inscribirse en el Fondo de Garantías de Instituciones Financieras los establecimientos bancarios, las corporaciones financieras y las compañías de financiamiento.
(Modificado por el artículo segundo de la Resolución número 004 de 2009, el artículo segundo de la Resolución número 004 de 2010, el artículo segundo de la Resolución número 005 de 2014 y el artículo segundo de la Resolución número 003 de 2019)
ARTÍCULO 3o. PROCEDIMIENTO DE INSCRIPCIÓN. <Resolución derogada por el artículo 20 de la Resolución 1 de 2024> Las instituciones financieras indicadas en el artículo anterior, que obtengan la autorización de constitución de la Superintendencia Financiera de Colombia, deberán solicitar su inscripción conforme al siguiente procedimiento:
1º) Diligenciar, a través de la página web dispuesta para el efecto, el formato de solicitud de inscripción, adjuntando digitalizado el documento en el que se acredite la calidad con la que actúa el solicitante (representante legal o apoderado).
Una vez recibida la solicitud, el Fondo deberá solicitar a la Superintendencia Financiera de Colombia el certificado de existencia y representación legal expedido por dicha entidad o copia de la resolución o del documento mediante el cual la mencionada Superintendencia autorice su constitución.
2°) Pagar, por una sola vez, una cuota equivalente al 0.115 por mil del capital suscrito que tenga la institución al momento de su constitución, de acuerdo con la autorización impartida por la Superintendencia Financiera de Colombia.
3°) Los derechos de inscripción deberán pagarse, a través del Servicio Electrónico del Banco de la República (SEBRA), acreditando la cuenta única de depósito número 62090014 portafolio 0 (cero) a nombre del Fondo de Garantías de Instituciones Financieras, dentro de los treinta (30) días calendario siguientes a la fecha en que el Fondo le comunique por medio electrónico sobre la autorización de inscripción que haya impartido.
Las instituciones financieras que no cuenten directamente con el Servicio Electrónico del Banco de la República (SEBRA), podrán utilizar intermediarios, para lo cual estos deben cumplir con todos los requisitos aplicables para tales efectos.
4°) Acreditado el pago de los derechos correspondientes, el Fondo comunicará por medio electrónico a la institución financiera sobre la inscripción.
PARÁGRAFO 1o. El Fondo informará a la Superintendencia Financiera de Colombia sobre las inscripciones de instituciones, que autorice.
PARÁGRAFO 2o. Las instituciones financieras inscritas en el Fondo, que obtengan autorización de conversión para desarrollar el objeto social de cualquiera otra clase de institución que deba estar inscrita conforme a la presente resolución, no requerirán adelantar gestión de inscripción adicional.
(Modificado por el artículo tercero de la Resolución número 004 de 2011 y el artículo tercero de la Resolución número 001 de 2015)
ARTÍCULO 4o. ACREENCIAS AMPARADAS. <Resolución derogada por el artículo 20 de la Resolución 1 de 2024> Salvo disposición legal en contrario, deben tomar obligatoriamente el Seguro de Depósitos los establecimientos bancarios, las corporaciones financieras, y las compañías de financiamiento inscritas o que llegaren a inscribirse en el Fondo de Garantías de Instituciones Financieras.
Únicamente las acreencias que se mencionan a continuación, constituidas en establecimientos bancarios, corporaciones financieras y compañías de financiamiento, están amparadas por el Seguro de Depósitos:
a) Depósitos en Cuenta Corriente
b) Depósitos Simples
c) Certificados de Depósitos a Término (CDT)
d) Depósitos de Ahorro
e) Cuentas de Ahorro Especial
f) Bonos Hipotecarios
g) Depósitos Especiales
h) Servicios Bancarios de Recaudo
i) Depósitos de Bajo Monto y Depósitos Ordinarios
PARÁGRAFO. Las acreencias a que hace referencia este artículo comprenden las acreencias en moneda legal y extranjera que se posean en Colombia, de acuerdo con la reglamentación cambiaria vigente expedida por la Junta Directiva del Banco de la República.
(Modificado por el artículo cuarto de la Resolución número 004 de 2010, el artículo cuarto de la Resolución número 001 de 2012, el artículo cuarto de la Resolución número 005 de 2014, el artículo cuarto de la Resolución número 002 de 2016, el artículo cuarto de la Resolución número 003 de 2019 y el artículo cuarto de la Resolución número 002 de 2020)
PRIMAS.
ARTÍCULO 5o. PRIMAS A CARGO DE LAS INSTITUCIONES FINANCIERAS. <Resolución derogada por el artículo 20 de la Resolución 1 de 2024> Los establecimientos bancarios, las corporaciones financieras y las compañías de financiamiento inscritos deberán pagar una prima anual por Seguro de Depósitos, correspondiente al cero punto tres por ciento (0.3%) anual del monto de los pasivos a cargo de cada institución, relacionados en el artículo cuarto de la presente resolución.
Así mismo, con el fin de alcanzar el valor objetivo de la reserva del Seguro de Depósitos(1), Fogafín podrá cobrar un componente anual denominado coeficiente de ajuste.
El coeficiente de ajuste hará parte de la prima y se calculará en el último trimestre de cada año. Su valor será informado a las entidades inscritas en ese mismo periodo.
PARÁGRAFO 1o. Las primas establecidas en el presente artículo se liquidarán con base en el promedio simple de las cifras del balance de cierre de los meses que comprenden el trimestre calendario objeto de pago. La forma de pago será por trimestre calendario vencido y deberán ser entregadas al Fondo dentro de los tres (3) últimos días hábiles de los meses de junio, septiembre, enero y marzo, de la siguiente manera:
| Trimestre base de cálculo | Mes de pago |
| enero-marzo | junio año en curso |
| abril-junio | septiembre año en curso |
| julio-septiembre | enero año siguiente |
| octubre-diciembre | marzo año siguiente |
Si el pago se hace el último día hábil, este deberá ser realizado a más tardar a las 5 p. m.
En caso de que una situación de carácter general lo haga necesario, el Fondo, mediante circular dirigida a todas las instituciones inscritas, podrá modificar las fechas antes indicadas.
PARÁGRAFO 2o. Entiéndase por trimestre calendario aquel que termina en marzo, junio, septiembre y diciembre de cada año.
PARÁGRAFO 3o. Las instituciones calcularán el valor de la prima que deben pagar, con base en sus balances transmitidos a la Superintendencia Financiera de Colombia, correspondientes al trimestre objeto de pago de la prima, disponibles al momento del pago.
En caso en que la entidad no tenga balances transmitidos a la Superintendencia Financiera de Colombia, al momento del pago, deberá calcular y pagar el valor de la prima, con base en los balances que tenga disponibles a dicha fecha.
Lo anterior, sin perjuicio de los intereses moratorios que podrá cobrar el Fondo, por las diferencias que se originen entre las cifras de los balances transmitidos y disponibles, de acuerdo con lo dispuesto en el artículo decimoprimero de esta resolución.
PARÁGRAFO 4o. Los pagos realizados el último día hábil de los meses de junio, septiembre, enero y marzo después de las 5 p. m. se entenderán realizados el día hábil siguiente y, por lo tanto, darán lugar al cobro de intereses moratorios por parte del Fondo, en aplicación de lo dispuesto en el artículo decimoprimero de esta resolución.
PARÁGRAFO 5o. Si la cifra que resulta del cálculo de la prima de que trata el parágrafo tercero del presente artículo incluye decimales, el valor por pagar deberá aproximarse a un número entero, así: (i) si el primer decimal es igual o superior a cinco (5), se deberá aproximar al número entero superior siguiente y (ii) si el primer decimal es inferior a cinco (5), se deberá aproximar al número entero inmediatamente anterior.
PARÁGRAFO 6o. Para efecto del cálculo de la prima establecida en el presente artículo, se entenderá que, en la medida en que aplique, la información de los balances corresponde a la información reportada por las entidades de acuerdo con el Catálogo Único de Información Financiera con fines de Supervisión expedido por la Superintendencia Financiera de Colombia.
PARÁGRAFO 7o. Para efectos del cálculo de la prima establecida en el presente artículo, las instituciones inscritas excluirán del cálculo los valores reportados en las cuentas del pasivo indicadas en la Circular Externa 026 del 28 de julio de 2016 de la Superintendencia Financiera de Colombia, en relación con las cuentas abandonadas de las que trata la Ley 1777 de 2016 y el Decreto número 953 de 2016.
(Modificado por el artículo quinto de la Resolución número 004 de 2009, el artículo quinto de la Resolución número 005 de 2009, el artículo quinto de la Resolución número 001 de 2014, el artículo quinto de la Resolución número 001 de 2015, el artículo quinto de la Resolución número 002 de 2016 y el artículo quinto de la Resolución número 003 de 2019)
ARTÍCULO 6o. SISTEMA DE DEVOLUCIÓN DE PRIMAS Y PRIMA ADICIONAL. <Resolución derogada por el artículo 20 de la Resolución 1 de 2024>
1. La devolución de primas o el cobro de prima adicional, trimestral, se hará con base en la calificación calculada por cada una de las instituciones inscritas, de conformidad con el procedimiento que se defina en la circular externa que expida el fondo, para cuyo efecto se usarán los indicadores financieros que se establecen a continuación:
Tabla 1. Indicadores financieros para Bancos y Compañías de financiamiento


Atendiendo el tiempo de transición para la implementación completa de los requerimientos de capital de Basilea III, para los años 2023 y 2024 los rangos para la variable de solvencia total serán:

La calificación mensual de cada categoría está determinada por la suma ponderada de las variables que la componen.
![]()
Donde
Ck = Calificación de la categoría k
Dvij= Calificación de la variable i en el mes j
Pvi = Peso de la variable i
n = Número de variables en cada categoría
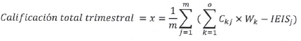
La calificación trimestral de cada entidad está determinada por el promedio trimestral de la calificación mensual. La calificación mensual corresponde a la suma ponderada de todas las categorías que componen la calificación menos el Indicador de entidades con importancia sistémica publicado por la Superintendencia Financiera de Colombia.

Donde
Ckj = Calificación de la categoría k en el mes j
Wk = Peso de la categoría k
m = número de meses
o = número de categorías
IEIS= Indicador de entidades con importancia sistémica
La calificación total trimestral se aproximará a dos decimales, de acuerdo con lo establecido en el parágrafo quinto del artículo quinto de la presente resolución.
2. El porcentaje de devolución que se aplicará al valor total de las primas pagadas, durante el trimestre evaluado, se calculará aplicando la siguiente fórmula, según corresponda, a la calificación trimestral obtenida por la entidad:

Donde

El porcentaje de devolución se aproximará a dos decimales, de acuerdo con lo establecido en el parágrafo quinto del artículo quinto de la presente resolución.
3. Si el porcentaje resultante de aplicar las fórmulas descritas en el numeral anterior resulta negativo, se aplicará, expresado en valor absoluto, al monto total de las primas pagadas durante el trimestre evaluado; el valor que arroje dicha operación corresponderá al monto adicional que por concepto de prima de Seguro de Depósitos deberá pagar la respectiva entidad.
Si el porcentaje resultante de aplicar las fórmulas descritas en el numeral anterior resulta positivo, se aplicará, expresado en valor absoluto, al monto total de las primas pagadas durante el trimestre evaluado; el valor que arroje dicha operación corresponderá al monto que devolverá el Fondo a la respectiva entidad.
PARÁGRAFO 1o. El cálculo de las variables, de que trata el numeral 1 de este artículo, para evaluar el comportamiento de la situación financiera de las instituciones inscritas, se hará principalmente con base en la información reportada por las entidades inscritas a la Superintendencia Financiera de Colombia.
En todo caso, para efectos de la validación del cálculo realizado por cada entidad, el Fondo tendrá en cuenta información entregada por la Superintendencia Financiera a Fogafín.
PARÁGRAFO 2o. En el caso de que no sea posible calcular alguna de las variables, dada su inexistencia o porque el denominador de alguna razón sea cero, la misma se entenderá matemáticamente inexistente y, por lo tanto, se procederá a distribuir en forma proporcional la ponderación de la variable faltante entre las variables existentes de la categoría. Así mismo, en el evento en que no se pueda calcular ninguna variable de alguna categoría, su ponderador se distribuirá proporcionalmente entre las demás categorías de la calificación.
PARÁGRAFO 3o. Cuando se trate de instituciones que hayan reportado estados financieros a la Superintendencia Financiera de Colombia por un término inferior a 24 meses o que lleven menos de 24 meses inscritas en el Fondo, para efectos de cualquiera de los cálculos requeridos en la calificación trimestral total, la calificación no obedecerá al cálculo descrito en el numeral 1 de este artículo sino será de 3.00.
PARÁGRAFO 4o. En el caso de que a una institución financiera le falten datos de un indicador, debido a la falta de aprobación de los estados financieros por parte de la Superintendencia Financiera, se aplicará la calificación más baja posible y con base en esta calculará el monto de prima adicional.
PARÁGRAFO 5o. Si al momento del cálculo de las variables a que se refiere el numeral 1 del presente artículo, la entidad no cuenta con la información requerida para realizar el respectivo cálculo, este se hará con base en la última información reportada a la Superintendencia Financiera de Colombia, disponible a dicha fecha.
PARÁGRAFO 6o. Cuando se trate de instituciones financieras inscritas en el Fondo que se hayan convertido, durante el trimestre evaluado, en cualquier otra institución que deba estar inscrita, el promedio trimestral de la calificación se calculará con base en la información correspondiente a los meses anteriores y posteriores a la conversión, asumiendo que no hubo solución de continuidad.
PARÁGRAFO 7o. En el caso de que una entidad financiera durante el trimestre evaluado haya registrado un patrimonio total negativo, haya sido objeto de alguno de los institutos de salvamento contemplados en el Estatuto Orgánico del Sistema Financiero y/o haya sido objeto de toma de posesión por parte de la Superintendencia Financiera de Colombia, su calificación será de 1.
PARÁGRAFO 8o. Para efecto del cálculo de los indicadores del numeral 1 de este artículo, se entenderá que, en la medida en que aplique la información de estados financieros corresponde a la información reportada por las entidades de acuerdo con el Catálogo Único de Información Financiera con fines de Supervisión expedido por la Superintendencia Financiera de Colombia.
PARÁGRAFO 9o. Para efectos del cálculo de los indicadores, se tendrá en cuenta la información retransmitida por la respectiva entidad inscrita a la Superintendencia Financiera de Colombia, siempre que dicha retransmisión se realice hasta el día hábil anterior a la fecha de inicio del periodo de pago previsto en el parágrafo primero del artículo quinto de la presente resolución, lo cual deberá ser informado por la entidad inscrita al Fondo dentro del mismo término.
PARÁGRAFO 10. En el evento de fusión por absorción de instituciones inscritas, se tendrán en cuenta para efectos de la calificación los últimos estados financieros presentados por la entidad de menor tamaño y, en el evento en que sus activos sean superiores al 30% de los activos registrados en los últimos estados financieros de la institución de mayor tamaño antes de la fusión, se aplicará a la entidad que resulte de la fusión una calificación mensual de 3, para los 12 meses siguientes a la fusión. De lo contrario se tomará la información histórica de la entidad de mayor tamaño.
PARÁGRAFO 11. En caso de que el valor total de la prima y el porcentaje de devolución o cobro adicional respectivo, calculado por la entidad inscrita no coincida con el valor calculado por Fogafín y no fuera posible resolver la diferencia hasta el día hábil anterior a la fecha de inicio del periodo de pago a que se refiere el parágrafo primero del artículo quinto de la presente resolución, Fogafín realizará el cálculo y lo informará a la entidad para que esta realice el pago correspondiente.
(Modificado por el artículo sexto de la Resolución número 004 de 2009, el artículo sexto de la Resolución número 003 de 2012, el artículo sexto de la Resolución número 001 de 2013, el artículo sexto de la Resolución número 002 de 2014, el artículo sexto de la Resolución número 001 de 2015, el artículo sexto de la Resolución número 002 de 2016, el artículo sexto de la Resolución número 001 de 2019, el artículo sexto de la Resolución número 003 de 2019 y el artículo sexto de la Resolución número 002 de 2020)
ARTÍCULO 7o. <Resolución derogada por el artículo 20 de la Resolución 1 de 2024> Requisitos para determinar la devolución o cobro adicional de primas por seguro de depósitos.
A. REQUISITOS PARA LA DEVOLUCIÓN DE PRIMAS
Para que una institución financiera sea acreedora de devolución de primas por Seguro de Depósitos, se requiere que la respectiva institución cumpla con tres requisitos:
1. Que en ningún momento del trimestre evaluado haya contado con capital garantía otorgado por el Fondo de Garantías de Instituciones Financieras.
2. Que en ningún mes del trimestre evaluado haya registrado una relación de solvencia inferior a 9.00%, calculada según lo dispuesto en el artículo 2.1.1.1.2 del Decreto número 2555 de 2010 o las normas que lo modifiquen o sustituyan.
3. Que la calificación trimestral obtenida por la institución financiera en el trimestre evaluado sea mayor a 3.00.
B. REQUISITOS PARA EL COBRO ADICIONAL DE PRIMAS POR SEGURO DE DEPÓSITOS
Toda institución financiera está sujeta al cobro adicional de primas por Seguro de Depósitos, cuando la calificación total obtenida por la institución sea menor a 3.00.
El cobro de la prima adicional opera aún en el evento en que la institución financiera haya registrado una relación de solvencia superior a 9.00% en el período trimestral evaluado, o aun cuando no haya contado con capital garantía otorgado por el Fondo de Garantías de Instituciones Financieras.
(Modificado por el artículo séptimo de la Resolución número 004 de 2010 y el artículo séptimo de la Resolución número 001 de 2013)
ARTÍCULO 8o. OPORTUNIDAD PARA LA DEVOLUCIÓN DE PRIMAS Y PAGO DE LA PRIMA ADICIONAL. <Resolución derogada por el artículo 20 de la Resolución 1 de 2024> La devolución de primas establecida en el numeral 3 del artículo sexto de la presente resolución se hará descontándola del pago al que se refiere el parágrafo primero del artículo quinto de esta resolución.
El pago de la prima adicional, establecida en el numeral 3 del artículo sexto, deberá efectuarse por parte de las instituciones financieras simultáneamente con el pago al que se refiere el parágrafo primero del artículo quinto de esta resolución.
PARÁGRAFO. En caso de retardo en el pago de la prima adicional la respectiva institución financiera pagará al Fondo intereses de mora liquidados a la tasa más alta permitida para las operaciones comerciales y vigente a la fecha en que se realice efectivamente el pago.
Los pagos que se realicen el último día hábil de los meses de junio, septiembre, enero y marzo después de las 5 p.m., se entenderán realizados el día hábil siguiente y, por lo tanto, darán lugar al cobro de intereses moratorios por parte del Fondo, en aplicación de lo dispuesto en el artículo decimoprimero de esta resolución.
(Modificado por el artículo octavo de la Resolución número 004 de 2009 y el artículo octavo de la Resolución número 001 de 2013)
ARTÍCULO 9o. PAGO DE LA PRIMA. <Resolución derogada por el artículo 20 de la Resolución 1 de 2024> Las instituciones financieras pagarán las primas y las primas adicionales, cuando estas últimas procedan, a través del Servicio Electrónico del Banco de la República (SEBRA), acreditando la cuenta única de depósito número 62090022 portafolio 1 (uno) a nombre del Fondo de Garantías de Instituciones Financieras.
En el campo de descripción de transferencia registrar los siguientes datos: nombre de la entidad responsable del pago, número del Nit de la entidad responsable del pago y concepto: “pago prima” o “pago prima adicional”, según corresponda.
Las instituciones financieras que no cuenten directamente con el Servicio Electrónico del Banco de la República (SEBRA) podrán utilizar intermediarios, para lo cual estos deben cumplir con todos los requisitos aplicables para tales efectos.
(Modificado por el artículo noveno de la Resolución número 004 de 2009 y el artículo noveno de la Resolución número 002 de 2011)
ARTÍCULO 10. RESTITUCIÓN DE PAGOS EN EXCESO. <Resolución derogada por el artículo 20 de la Resolución 1 de 2024> En caso de que una institución financiera efectúe un pago en exceso de lo que le corresponde pagar por prima de Seguro de Depósitos, podrá solicitar por escrito y obtener del Fondo la devolución de las sumas correspondientes. Con tal fin, la institución respectiva deberá probar el error y la base correcta de la liquidación, mediante certificación suscrita por el representante legal y el revisor fiscal. La solicitud de restitución deberá presentarse dentro del año siguiente a la fecha en que se produjo el pago en exceso.
Si la respectiva institución no solicita la devolución y la suma pagada en exceso supera el cero punto uno por ciento (0.1%) del valor que le correspondería pagar a la institución financiera, durante el trimestre objeto de pago, el Fondo enviará una comunicación al representante legal de la institución, informándole sobre el pago en exceso e indicándole que para efectos que proceda la devolución deberá solicitarla por escrito y adjuntar la certificación suscrita por el representante legal y el revisor fiscal, sobre la base correcta de la liquidación.
El Fondo girará las sumas pagadas en exceso, previa deducción de los gravámenes tributarios y costos transaccionales a que haya lugar y que se originen en el hecho de la restitución de los pagos en exceso.
No habrá lugar al pago de intereses por parte del Fondo a favor de la institución que por cualquier causa haya cancelado una suma mayor a la que le corresponde. En cualquier caso, las devoluciones se realizarán una vez compensadas las obligaciones de plazo vencido a cargo de la respectiva institución financiera.
(Modificado por el artículo décimo de la Resolución número 004 de 2009 y el artículo décimo de la Resolución número 004 de 2010)
ARTÍCULO 11. RETARDO EN EL PAGO DE LA PRIMA. <Resolución derogada por el artículo 20 de la Resolución 1 de 2024> Cuando una institución financiera retarde el pago de las primas a su cargo, conforme a la presente resolución, se causarán a favor del Fondo intereses de mora liquidados a la tasa más alta permitida para las operaciones comerciales y vigente a la fecha en que se realice efectivamente el pago.
PARÁGRAFO. La institución financiera deberá pagar al Fondo intereses de mora liquidados como lo dispone este artículo, en el evento de que realice un pago por un monto inferior al que corresponde, para lo cual el Fondo podrá realizar el cobro pertinente.
(Modificado por el artículo decimoprimero de la Resolución número 004 de 2009 y el artículo decimoprimero de la Resolución número 004 de 2010)
COBERTURA Y PAGO DEL SEGURO DE DEPÓSITOS.
ARTÍCULO 12. VALOR MÁXIMO ASEGURADO. <Resolución derogada por el artículo 20 de la Resolución 1 de 2024> El valor máximo asegurado que reconocerá el Fondo de Garantías de Instituciones Financieras por concepto de Seguro de Depósitos será de cincuenta millones de pesos ($50.000.000) por persona, en cada institución, independientemente del número de acreencias de las cuales sea titular esa persona, bien sea en forma individual o con otras.
Con el fin de ofrecer una garantía adecuada a ahorradores y depositantes, conforme lo establece el literal a) del artículo 323 del Estatuto Orgánico del Sistema Financiero, el valor máximo asegurado se revisará cada tres (3) años.
PARÁGRAFO 1o. Cuando una acreencia amparada tenga un número plural de titulares, el Fondo pagará el Seguro de Depósitos correspondiente por partes iguales a cada uno de los titulares, hasta por el monto máximo de cincuenta millones de pesos ($50.000.000) por persona.
PARÁGRAFO 2o. Cuando el titular de la acreencia sea una institución administradora de patrimonios autónomos, de mandatos o de encargos fiduciarios, cada patrimonio autónomo, cada mandato o cada encargo fiduciario se considerará individualmente para efectos del reconocimiento del Seguro de Depósitos. En cualquier caso, los fondos y patrimonios autónomos se tratarán, cada uno, como una sola persona.
PARÁGRAFO 3o. Para efectos de brindar protección a los depositantes de cuentas abandonadas cuyos recursos se encuentren bajo la administración del Instituto Colombiano de Crédito y Estudios Técnicos en el Exterior (Icetex), este tendrá derecho a recibir hasta cincuenta millones de pesos ($50.000.000), por los recursos de cada una de las cuentas abandonadas que se encuentren agregados en una de las acreencias amparadas, a las que se refiere el artículo cuarto de esta resolución.
Lo anterior en los términos de la Ley 1777 de 2016 y el Decreto 953 de 2016, y demás normas que los modifiquen, adicionen o sustituyan.
Para el pago del Seguro de Depósitos, el Instituto Colombiano de Crédito y Estudios Técnicos en el Exterior Icetex deberá transmitir al Fondo la información de las cuentas abandonadas, en los términos, plazos y condiciones que se establezcan mediante Circular Externa.
(Modificado por el artículo decimosegundo de la Resolución número 002 de 2016 y el artículo decimosegundo de la Resolución número 003 de 2018)
ARTÍCULO 13. ALCANCE DE LA COBERTURA. <Resolución derogada por el artículo 20 de la Resolución 1 de 2024> Cuando se trate de acreencias remuneradas, el Seguro de Depósitos amparará el valor del capital y los intereses corrientes, pero sólo aquellos causados y no pagados a la fecha de expedición de la resolución de toma de posesión para liquidar, todo dentro de los límites establecidos en el artículo decimosegundo de la presente resolución y sobre la base de lo previsto en el artículo primero de la misma.
ARTÍCULO 14. PAGO DEL SEGURO DE DEPÓSITOS. <Resolución derogada por el artículo 20 de la Resolución 1 de 2024> El Fondo realizará el pago del Seguro de Depósitos respecto de las acreencias amparadas vigentes a la fecha de la toma de posesión para liquidar, de acuerdo con la información contenida en la base de datos de los depositantes de la entidad intervenida con corte al día de la toma de posesión para liquidar, en los términos, plazos y condiciones establecidos en la Circular Externa que para tales efectos expida el Fondo.
PARÁGRAFO. Serán causales de suspensión de pago las contempladas en el artículo 323 literal d) del Estatuto Orgánico del Sistema Financiero.
(Incluido por el artículo decimocuarto de la Resolución número 004 de 2010, modificado por el artículo decimocuarto de la Resolución número 002 de 2011, el artículo decimocuarto de la Resolución número 004 de 2012, el artículo primero de la Resolución número 003 de 2014, el artículo decimocuarto de la Resolución número 005 de 2014 y el artículo decimocuarto de la Resolución número 002 de 2016)
ARTÍCULO 15. SUBROGACIÓN A FAVOR DEL FONDO. <Resolución derogada por el artículo 20 de la Resolución 1 de 2024> De conformidad con el numeral 3 del artículo 9.1.3.2.4 del Decreto número 2555 de 2010 o las normas que lo modifiquen o sustituyan y el numeral 1 del artículo 300 del Estatuto Orgánico del Sistema Financiero, modificado por el artículo 25 de la Ley 510 de 1999, cuando el Fondo de Garantías de Instituciones Financieras pague el Seguro de Depósitos, en las resoluciones de reconocimiento de acreencias a cargo de la institución financiera en liquidación, el liquidador dejará expresa constancia de que el Fondo se subroga hasta por el monto de que trata el numeral 4 al artículo 9.1.3.2.2 del Decreto número 2555 de 2010, por lo cual tendrá derecho a obtener el pago de las sumas que haya cancelado, con la misma prelación y en las mismas condiciones que los depositantes o ahorradores a los que hizo el pago.
(Modificado por el artículo decimoctavo de la Resolución número 004 de 2010, el artículo decimoctavo de la Resolución número 004 de 2011 y el artículo decimoquinto de la Resolución número 002 de 2016)
ARTÍCULO 16. ACREENCIAS NO AMPARADAS POR EL SEGURO DE DEPÓSITOS. <Resolución derogada por el artículo 20 de la Resolución 1 de 2024> El Seguro de Depósitos no amparará en ningún caso intereses de mora a cargo de la institución financiera en liquidación ni otorgará derecho a sus beneficiarios para exigir tal clase de intereses al Fondo de Garantías de Instituciones Financieras.
Están excluidas del amparo del Seguro de Depósitos las acreencias cuyo(s) titular(es) las haya(n) adquirido en pago de pasivos a cargo de la institución financiera en liquidación, no cubiertos por el mencionado seguro.
ARTÍCULO 17. TRANSMISIÓN DE INFORMACIÓN PARA LA PREPARACIÓN Y EL PAGO DEL SEGURO DE DEPÓSITOS. <Resolución derogada por el artículo 20 de la Resolución 1 de 2024> Con el propósito de proteger a los depositantes mediante un pago oportuno del Seguro de Depósitos, las instituciones inscritas deberán transmitir al Fondo la información de los saldos de las acreencias amparadas en los términos, plazos y condiciones que establezca el Fondo mediante la Circular Externa.
La mencionada información deberá ser transmitida en el “Formato de Depósitos Individuales”, cuyo detalle y características se encuentran descritos en la Circular Externa que expida el Fondo. El mencionado formato deberá ser firmado digitalmente por el representante legal de la entidad.
PARÁGRAFO 1o. La información recibida de las entidades inscritas, en cualquier evento, será utilizada única y exclusivamente con propósitos institucionales, para efectos de la preparación que se requiere para el pago del Seguro de Depósitos, para realizar este cuando sea procedente y para cualquier otra actividad misional del Fondo que haga parte de las funciones del mismo. En consecuencia, el Fondo velará por la confidencialidad, integridad, custodia y buen manejo de dicha información, garantizando la aplicación de las leyes, normas y principios constitucionales que regulan la reserva bancaria y el manejo de las bases de datos.
PARÁGRAFO 2o. El Fondo informará a la Superintendencia Financiera de Colombia sobre las entidades inscritas que incumplan el envío y calidad de la información contemplada en este capítulo.
(Incluido por el artículo vigesimoprimero de la Resolución número 004 de 2012, modificado por el artículo vigesimoprimero de la Resolución número 001 de 2013, por el artículo decimoséptimo de la Resolución número 005 de 2014, el artículo decimoséptimo de la Resolución número 002 de 2016 y el artículo decimoséptimo de la Resolución número 002 de 2020)
ARTÍCULO 18. <Resolución derogada por el artículo 20 de la Resolución 1 de 2024> En caso de toma de posesión para liquidar, el liquidador deberá transmitir al Fondo el “Formato de Depósitos Individuales”, con corte al día en que es ordenada la toma de posesión para liquidar, a más tardar dentro de los cinco (5) días calendario siguientes a esa fecha.
Para la entrega de la información a la que se refiere el presente artículo, no se requerirá la firma digital del archivo por parte del liquidador de la entidad.
(Incluido por el artículo vigesimoquinto de la Resolución número 004 de 2012, modificado por el artículo decimoctavo de la Resolución número 005 de 2014 y por el artículo decimoctavo de la Resolución número 002 de 2016)
DISPOSICIONES VARIAS.
ARTÍCULO 19. SEGUIMIENTO. <Resolución derogada por el artículo 20 de la Resolución 1 de 2024> El Fondo de Garantías de Instituciones Financieras organizará un sistema de obtención y análisis continuo de información que le permita evaluar periódicamente el estado y modificación de los riesgos asegurados.
ARTÍCULO 20. VIGENCIA. <Resolución derogada por el artículo 20 de la Resolución 1 de 2024> La presente resolución rige a partir de su publicación y deroga la Resolución número 002 de 2020, salvo los numerales 1 y 2 del artículo sexto de la mencionada Resolución, los cuales permanecerán vigentes para efectos del cálculo de la prima correspondiente al primer trimestre de 2022.
En ese sentido, los numerales 1 y 2 del artículo sexto de la presente resolución entrarán a regir a partir del cálculo de la prima correspondiente al segundo trimestre de 2022.
Dada en Bogotá, D. C., a 23 de marzo de 2022.
Publíquese y cúmplase.
El Presidente,
José Manuel Restrepo Abondano.
La Secretaria,
Dina María Olmos Aponte.
NOTAS AL FINAL:
1. Actualmente y de acuerdo con criterios técnicos, revisados periódicamente, el valor objetivo está en el rango medio entre el 4.7% y el 5.9% del total de las acreencias amparadas, es decir 5.3% de dichas acreencias.