CIRCULAR EXTERNA 25 DE 2008
( Junio 26 )
<Fuente: Boletín Ministerio de Hacienda, Capítulo Superintendencia Financiera de Colombia, No. 101>
SUPERINTENDENCIA FINANCIERA DE COLOMBIA
Señores
REPRESENTANTES LEGALES Y REVISORES FISCALES DE LAS ENTIDADES SOMETIDAS A INSPECCIÓN Y VIGILANCIA DE LA SUPERINTENDENCIA FINANCIERA DE COLOMBIA
Referencia: Subrogación de las instrucciones sobre instrumentos financieros derivados y productos estructurados contenidas en el Capítulo XVIII de la Circular Básica Contable y Financiera y expedición del régimen de transición aplicable a dichos instrumentos y productos.
Apreciados señores:
Como es de su conocimiento, el Gobierno Nacional promulgó una reforma integral a la reglamentación de las operaciones con derivados y productos estructurados mediante los Decretos 1796, 1797 y 1121 de 2008, situación que hace necesario que la Superintendencia Financiera de Colombia, de una parte, expida las instrucciones relativas a la implementación de la reforma mencionada, y de otra parte, ajuste su normatividad al contenido de los decretos señalados.
Por lo tanto, este Despacho en uso de sus facultades legales, en especial las previstas en el literal a) del numeral 3º del artículo 326 del Estatuto Orgánico del Sistema Financiero, en concordancia con el literal a) del artículo 6º de la Ley 964 de 2005, el numeral 9º del artículo 11 del Decreto 4327 de 2005, el Decreto 1796 de 2008, los artículos 1.5.3.5. y 2.7.1.4. de la Resolución 400 de 1995 de la Sala General de la Superintendencia de Valores, considera necesario cambiar en su integridad el Capítulo XVIII de la Circular Básica Contable y Financiera, cuyo nuevo texto contiene instrucciones sobre los instrumentos financieros derivados y productos estructurados, las cuales serán aplicables a todas las entidades sometidas a inspección y vigilancia de la Superintendencia Financiera de Colombia.
Así mismo, se considera necesario expedir un régimen de transición para estas instrucciones, con el propósito de permitir un ajuste ordenado por parte de las entidades sometidas a su inspección y vigilancia.
Régimen de transición: Las instrucciones de la Superintendencia Financiera de Colombia sobre instrumentos financieros derivados y productos estructurados estarán sometidas a un régimen de transición integrado por seis (6) reglas del siguiente tenor:
Primera <Regla modificada por la Circular 44 de 29 de agosto de 2008. El nuevo texto es el siguiente:> Las reglas de valoración aplicables a las operaciones con instrumentos financieros derivados y operaciones con derivados, productos estructurados y notas estructuradas que se hayan realizado con antelación al 1 de septiembre de 2008 seguirán rigiendo hasta la terminación de las mismas, bien sea hasta su fecha de vencimiento o antes, si por acuerdo expreso entre las partes contratantes se liquidan y cumplen con anterioridad.
Con excepción de las opciones financieras y sin perjuicio de lo anterior, aquellas entidades sometidas a inspección y vigilancia que de acuerdo con decisiones de política de administración de riesgos, decidan cambiar el régimen de valoración de todos o algunos de los tipos o categorías de instrumentos financieros derivados, independientemente del subyacente, y productos estructurados podrán hacerlo, informando previamente de esta decisión a la Superintendencia Financiera de Colombia.
Segunda <Regla modificada por la Circular 30 de 23 de julio de 2008. El nuevo texto es el siguiente:> La valoración de los instrumentos financieros derivados y productos estructurados que se celebren o negocien a partir del 1 de septiembre de 2008 deberá realizarse de conformidad con las instrucciones previstas en los numerales 7.1, 7.2. y el Anexo 3. del nuevo texto del Capítulo XVIII de la Circular Básica Contable y Financiera.
Tercera. Los instrumentos financieros derivados, las operaciones de derivados, los productos estructurados y las notas estructuradas celebrados o negociados válidamente con anterioridad al 23 de julio de 2008 se regirán hasta su terminación por las disposiciones con base en las cuales fueron pactados, sin que sea posible prorrogarlos con base en esas disposiciones.
Cuarta. Las entidades sometidas a inspección y vigilancia de la Superintendencia Financiera de Colombia continuarán registrando los instrumentos financieros derivados y productos estructurados, que no sean valores, negociados en el mercado mostrador, tal y como lo están haciendo al momento de entrada en vigencia de la presente Circular Externa. Lo anterior hasta cuando entre en funcionamiento un módulo para registrar dichos instrumentos y productos en un sistema de registro de operaciones sobre valores, aprobado por la Superintendencia Financiera de Colombia.
Quinta. Los manuales para la realización de instrumentos financieros derivados previstos en el literal f) del numeral 3., cuyo contenido se establece en el numeral 4.1., del nuevo texto del Capítulo XVIII de la Circular Básica Contable y Financiera, deberán estar aprobados por la junta directiva, o quien haga sus veces, a más tardar el 1 de enero de 2009.
Sexta. <Regla modificada por la Circular 37 de 2009. El nuevo texto es el siguiente:> Todas las demás reglas contenidas en el nuevo texto del Capítulo XVIII de la Circular Básica Contable y Financiera regirán a partir del 1 de julio de 2009, excluyendo (i) lo referente a las instrucciones sobre el Contrato Marco, que regirán a partir del 1 de febrero de 2010, y (ii) las instrucciones sobre el registro contable de los instrumentos financieros derivados, las cuales regirán a partir del 1 de enero de 2010.
Vigencia y derogatorias. La presente Circular Externa rige a partir de su publicación, sin perjuicio del régimen de transición, subroga en su integridad el Capítulo XVIII de la Circular Básica Contable y Financiera y deroga todas las normas que le sean contrarias.
Se anexan las páginas correspondientes al nuevo texto del Capítulo XVIII de la Circular Básica Contable y Financiera (Circular Externa 100 de 1995).
Cordialmente,
CÉSAR PRADO VILLEGAS
Superintendente Financiero de Colombia
050000
200000
230000
-------
<El texto vigente del Capítulo XVIII, antes de mo modificación introducida por la Circular 41 de 2015, es el siguiente:>
INSTRUMENTOS FINANCIEROS DERIVADOS Y PRODUCTOS ESTRUCTURADOS.
<Capítulo XVIII subrogado por la Circular 25 de 2008 de 26 de junio de 2008. El nuevo texto es el siguiente:>
Lo dispuesto en el presente Capítulo aplica a los instrumentos financieros derivados y los productos estructurados que realicen las entidades sometidas a la inspección y vigilancia de la Superintendencia Financiera de Colombia (en adelante se denominarán las entidades vigiladas) cuando estén autorizadas para ello, de conformidad con lo establecido con el artículo 2.1.7.2. de la Resolución 400 de 1995 de la Sala General de la Superintendencia de Valores (Resolución 400 de 1995) y sus respectivos regímenes normativos.
Los instrumentos financieros derivados pueden negociarse, según lo permita el respectivo régimen legal aplicable a cada tipo de entidad vigilada, por alguna de las siguientes finalidades: 1) Cobertura de riesgos de otras posiciones, 2) Especulación, buscando obtener ganancias, ó 3) Realización de arbitraje en los mercados. Para los efectos del presente Capítulo, los instrumentos financieros derivados negociados con intención de arbitraje tendrán el mismo tratamiento contable que los transados con fines de especulación, si bien el arbitraje en sí mismo no constituye una actividad especulativa. Las entidades vigiladas deben dar cumplimiento a las instrucciones que se imparten en el presente Capítulo en relación con tales instrumentos y productos. Lo anterior sin perjuicio, del cumplimiento de las normas y procedimientos del régimen cambiario establecido por el Banco de la República, cuando a ello haya lugar. En consecuencia, en ningún caso debe inferirse del contenido del presente Capítulo que se esté impartiendo autorización, general o particular respecto de algún tipo de entidad vigilada, para negociar instrumentos financieros derivados y productos estructurados distintos a los permitidos por los respectivos regímenes de operaciones e inversiones autorizadas.
El presente Capítulo no aplica a la Dirección General de Crédito Público y del Tesoro Nacional del Ministerio de Hacienda y Crédito Público, de conformidad con lo dispuesto en el Decreto 4646 de 2006 o demás normas que lo modifiquen o sustituyan. Así mismo, tampoco es aplicable a las operaciones que realiza el Banco de la República en calidad de administrador de las reservas internacionales de la República de Colombia, quien está sujeto a su propio régimen normativo y a los tratados o convenios internacionales que haya celebrado válidamente.
Para efectos del presente Capítulo son aplicables las siguientes definiciones:
2.1. ARBITRAJE. Es una estrategia que combina compras y ventas de instrumentos financieros buscando generar utilidad a cero (0) costo y sin asumir riesgos de mercado.
2.2. CARTAS DE CONFIRMACIÓN. <Numeral modificado por la Circular 21 de 2009. El nuevo texto es el siguiente:> Son documentos privados escritos, enviados por medios físicos o electrónicos, contentivos de las condiciones particulares de cada instrumento financiero derivado, las cuales han sido previamente convenidas entre las partes; dichos documentos deberán ser archivados en forma impresa y estar a disposición de la Superintendencia Financiera de Colombia en todo momento.
2.3. COBERTURA. Es una combinación de operaciones mediante la cual uno o varios instrumentos financieros, denominados instrumentos de cobertura, se designan para reducir o anular un riesgo específico que pueda tener impacto en el estado de resultados como consecuencia de variaciones en el precio justo de intercambio, en el flujo de efectivo o en el tipo de cambio de una o varias partidas, denominadas posiciones primarias.
2.4. COBERTURA CONTABLE. La conforman aquellos instrumentos financieros derivados con fines de cobertura y las posiciones primarias objeto de cobertura que cumplan los requisitos exigidos en el numeral 6 del presente Capítulo, cuya contabilización puede efectuarse aplicando los criterios especiales establecidos en el numeral 7.3. del mismo.
2.5. COMPENSACIÓN DE OBLIGACIONES CON INSTRUMENTOS FINANCIEROS DERIVADOS. Es un modo de extinguir las obligaciones recíprocas generadas por instrumentos financieros derivados. Las entidades vigiladas para hacer uso de este modo, en el mercado mostrador, deben pactarlo en un contrato marco en los términos y condiciones establecidos en el Anexo 2. del presente Capítulo.
<Inciso modificado por la Circular 21 de 2009. El nuevo texto es el siguiente:> Lo anterior sin perjuicio de las reglas aplicables dentro de los procesos concursales, tomas de posesión, acuerdos globales de reestructuración de deudas y regímenes de insolvencia, según corresponda.
2.6. COMPENSACIÓN Y LIQUIDACIÓN DE INSTRUMENTOS FINANCIEROS DERIVADOS Y DE PRODUCTOS ESTRUCTURADOS A TRAVÉS DE CÁMARAS DE RIESGO CENTRAL DE CONTRAPARTE. <Numeral modificado por la Circular 25 de 2014. El nuevo texto es el siguiente:> Corresponde al proceso por medio del cual se establecen las obligaciones generadas por la negociación de operaciones con instrumentos financieros derivados y con productos estructurados y se efectúa el cumplimiento definitivo de las mismas, mediante la entrega de efectivo y/o de los respectivos subyacentes de dichos instrumentos financieros, según corresponda, a través de una cámara de riesgo central de contraparte.
Las operaciones que se compensen y liquiden por conducto de una cámara de riesgo central de contraparte estarán sujetas a las reglas previstas para el efecto, en la Ley 964 de 2005, el Decreto 2555 de 2010 y demás normas que las modifiquen o sustituyan; así como a lo dispuesto en el reglamento de funcionamiento de la respectiva cámara.
2.7 CONTRATO MARCO. Es un acuerdo celebrado por escrito entre dos (2) o más partes, el cual es necesario para la negociación de instrumentos financieros derivados en el mercado mostrador. En dicho contrato se consagran las obligaciones generales de cada contraparte y, como mínimo, los aspectos consignados en el Anexo 2. del presente Capítulo, la regulación establecida en el Título VII de la Parte Segunda de la Resolución 400 de 1995 y las normas propias de cada entidad vigilada.
Para la negociación de productos estructurados no es necesario celebrar el contrato marco previsto en el presente Capítulo. Dicho contrato tampoco se requiere para la negociación de instrumentos financieros derivados que se transen en bolsas o sistemas de negociación, independientemente si son o no compensados y liquidados en una cámara de riesgo central de contraparte. Por consiguiente, en estos eventos, no aplican los tratamientos especiales establecidos en el presente Capítulo para las situaciones regidas por las cláusulas del contrato marco.
El contrato marco está conformado por su texto, un suplemento y las cartas de confirmación de las operaciones realizadas.
<Inciso adicionado por la Circular 4 de 2010. El nuevo texto es el siguiente:> En todo caso, cuando se trate de instrumentos financieros derivados que se compensen y liquiden en una cámara de riesgo central de contraparte, los derechos y obligaciones de las partes se sujetarán a las condiciones establecidas en el reglamento de funcionamiento de dicha cámara.
2.8. COSTO DE REPOSICIÓN. Es el precio justo de intercambio de un instrumento financiero derivado cuando éste es positivo, en caso contrario su valor es cero (0). En el evento de haberse pactado con una determinada contraparte la posibilidad de compensar posiciones en instrumentos financieros derivados, el costo de reposición del portafolio de tales instrumentos, negociados con esa contraparte, es la suma de los precios justos de intercambio de los mismos, siempre que ésta sea positiva, siendo su valor cero (0) en caso contrario.
2.9. DERIVADO DE CRÉDITO. Es un instrumento financiero que permite a una parte transferir a otra el riesgo de crédito de uno o varios activos a los que se está o no expuesto, sin vender o negociar dichos activos. El riesgo de crédito transferido o mitigado está determinado por los eventos de crédito recogidos en el contrato contentivo de la operación. Se consideran derivados de crédito las permutas de incumplimiento ('credit default swaps'), los 'total return swaps' con rendimientos dependientes de un riesgo crediticio de un tercero, las opciones y los 'forward' sobre el 'spread' de crédito, los contratos de primer incumplimiento ('first to default'), los contratos de segundo incumplimiento ('second to default'), entre otros.
2.10. EXPOSICIÓN CREDITICIA. <Numeral modificado por la Circular 4 de 2010. El nuevo texto es el siguiente:> Mide la máxima pérdida potencial de una operación con instrumentos financieros derivados en caso de incumplimiento de la contraparte. Para su cálculo tiene en cuenta el costo de reposición y la exposición potencial futura.
2.11. EXPOSICIÓN POTENCIAL FUTURA. Corresponde a la pérdida que podría tener una entidad vigilada en un instrumento financiero derivado, durante el plazo remanente de éste, por un eventual incumplimiento de su contraparte, bajo el supuesto de que el precio justo de intercambio evolucione favorablemente para la entidad vigilada y el mismo sea positivo en la fecha de vencimiento del respectivo instrumento.
Cuando se haya pactado con una determinada contraparte la posibilidad de compensar posiciones en instrumentos financieros derivados, la exposición potencial futura de dicho portafolio corresponde al valor absoluto de la sumatoria de las exposiciones potenciales futuras de cada uno de los instrumentos financieros derivados que lo componen, teniendo en cuenta para ello que las exposiciones de los instrumentos comprados y las exposiciones de los instrumentos vendidos son de signo contrario.
2.12. FACTOR DE CRÉDITO. Es la exposición a riesgo de crédito que tiene una contraparte de un instrumento financiero derivado por cada unidad monetaria de nominal pactado, asociada a un posible comportamiento favorable del precio justo de intercambio del instrumento financiero derivado durante el tiempo remanente del mismo. En la práctica, corresponde a un porcentaje que refleja el incremento máximo probable en el precio justo de intercambio de un instrumento financiero derivado, como consecuencia de variaciones en el valor del subyacente del contrato, en el plazo que resta para el vencimiento (ver Anexo 4.).
2.13. INSTRUMENTO FINANCIERO. Un instrumento financiero es cualquier contrato que genera un activo financiero en una entidad y, al mismo tiempo, un pasivo financiero o un instrumento de capital en otra entidad.
2.14. INSTRUMENTO FINANCIERO DERIVADO.
Es una operación cuya principal característica consiste en que su precio justo de intercambio depende de uno o más subyacentes y su cumplimiento o liquidación se realiza en un momento posterior. Dicha liquidación puede ser en efectivo, en instrumentos financieros o en productos o bienes transables, según se establezca en el contrato o en el correspondiente reglamento del sistema de negociación de valores, del sistema de registro de operaciones sobre valores o del sistema de compensación y liquidación de valores.
Un instrumento financiero derivado permite la administración o asunción, de uno o más riesgos asociados con los subyacentes y cumple cualquiera de las siguientes dos (2) condiciones alternativas: (i) No requerir una inversión neta inicial. (ii) Requerir una inversión neta inicial inferior a la que se necesitaría para adquirir instrumentos que provean el mismo pago esperado como respuesta a cambios en los factores de mercado.
<Inciso modificado por la Circular 21 de 2009. El nuevo texto es el siguiente:> Las Operaciones a Plazo de Cumplimiento Financiero (OPCF) y las Operaciones a Plazo de Cumplimiento Efectivo (OPCE) son instrumentos financieros derivados y en tal calidad les es aplicable la normatividad propia de los instrumentos financieros derivados.
Los instrumentos financieros derivados que reúnan los requisitos previstos en los parágrafos 3 y 4 del artículo 2 de la Ley 964 de 2005 tienen la calidad de valor.
2.15. INSTRUMENTO FINANCIERO DERIVADO CON FINES DE COBERTURA. Es aquél que se negocia con el fin de cubrir una posición primaria de eventuales pérdidas ocasionadas por movimientos adversos de los factores de mercado o de crédito que afecten dicho activo, pasivo o contingencia. Con la negociación de este tipo de instrumentos se busca limitar o controlar alguno o varios de los riesgos financieros generados por la posición primaria objeto de cobertura.
2.16. INSTRUMENTO FINANCIERO DERIVADO CON FINES DE ESPECULACIÓN.
Es aquél que no se enmarca dentro de la definición de instrumento financiero derivado con fines de cobertura, ni satisface todas las condiciones que se establecen en el numeral 6. del presente Capítulo. Se trata de instrumentos cuyo propósito es obtener ganancias por los eventuales movimientos del mercado.
<Inciso adicionado por la Circular 33 de 2010. El nuevo texto es el siguiente:> Para efectos de lo establecido en el presente Capítulo y para los reportes de información a la Superintendencia Financiera de Colombia sobre instrumentos financieros derivados básicos ('Plain Vanilla'), los instrumentos financieros derivados de inversión de que trata el subnumeral 3.5.2 del artículo 2.6.12.1.2 del Título 12 del Libro 6 y el subnumeral 3.4.2 del artículo 2.31.3.1.2 del Título 3 del Libro 31, ambos de la Parte 2 del Decreto 2555 de 2010, así como a los que se refieren los Planes Únicos de Cuentas para el Sector Asegurador, para Fondos de Pensiones y para Fondos de Cesantías, y demás normas que los modifiquen, deberán tener el mismo tratamiento que los instrumentos financieros derivados con fines de especulación.
2.17. INSTRUMENTO SINTÉTICO. Es aquél que replica los pagos o flujos de caja y perfiles de riesgo de un determinado instrumento financiero derivado. Se construye a partir de otros instrumentos financieros.
Los instrumentos financieros derivados suelen tener el mismo valor de los instrumentos sintéticos con los que se replican, ya que las posibilidades de arbitraje en el mercado tienden a producir dicho resultado.
2.18. LLAMADO AL MARGEN. <Numeral adicionado por la Circular 21 de 2009. El nuevo texto es el siguiente:> Para efectos del presente Capítulo, específicamente para la suscripción de contratos marco que regulen de manera general la negociación de instrumentos financieros derivados, en el evento de que los mismos se realicen por fuera de sistemas de negociación de valores o bolsas, es decir, en el mercado mostrador (“Over the Counter” u OTC), se entiende como llamado al margen a la notificación a través de la cual, una parte exige a la otra el restablecimiento del valor inicial de la garantía o de su valor mínimo convenido, en el evento de presentarse, en un sólo día, una pérdida en cualquiera de estos dos valores. En todo caso, siempre que la pérdida del valor inicial de la garantía sea en un porcentaje igual o superior al 5%, la parte correspondiente tendrá que restablecer su valor inicial en los términos aquí establecidos.
<Inciso modificado por la Circular 4 de 2010. El nuevo texto es el siguiente:> El llamado al margen se deberá llevar a cabo máximo en el día hábil siguiente al día en el que la garantía presenta la pérdida de valor. El restablecimiento del valor correspondiente se deberá efectuar en un término máximo de cuarenta y ocho (48) horas ininterrumpidas contadas a partir del día hábil en que se efectúe el llamado al margen so pena de incurrir en un evento de incumplimiento. La notificación deberá efectuarse inmediatamente se tenga conocimiento de la pérdida del valor correspondiente. Cuando dicho término finalice en un día no hábil, el restablecimiento del valor correspondiente deberá ocurrir, a más tardar, a las doce (12) del medio día, hora local, del día hábil siguiente.
2.19. MERCADO MOSTRADOR. Para efectos de los instrumentos financieros derivados y productos estructurados, el mercado mostrador corresponde a los instrumentos o productos que se transen por fuera de bolsas o de sistemas de negociación de valores. También se conocen con la denominación "Over the Counter" (OTC).
2.20. POSICIÓN PRIMARIA (PARTIDA CUBIERTA). Se entiende como tal la exposición a un determinado riesgo generada por: i) Un activo o pasivo, ii) Una porción de un activo o de un pasivo, iii) Un compromiso en firme aún no reconocido en el balance para comprar o vender un activo a un precio fijo, o una contingencia altamente probable, iv) Un portafolio de activos o de pasivos o de compromisos en firme, siempre que tengan características de riesgo similares, o v) Un activo o pasivo en moneda extranjera.
En todos los casos, debe tratarse de posiciones que formen parte del llamado 'Libro Bancario' según se halla definido éste en el Capítulo XXI de la Circular Básica Contable y Financiera (Circular Externa 100 de 1995 de la Superintendencia Financiera de Colombia) y debe haber una designación específica por parte de la entidad vigilada sobre el tipo de riesgo y las partidas cubiertas. Así mismo, es necesario que las partidas que se deseen cubrir estén efectivamente expuestas a riesgos específicamente identificados de variaciones en el precio justo de intercambio, en los flujos de efectivo o en el tipo de cambio, según el tipo de riesgo que se desee cubrir.
En todo caso, una posición primaria suceptible de ser cubierta con instrumentos financieros derivados y de tener el tratamiento contable especial contemplado en el numeral 7.3. del presente Capítulo, debe cumplir los criterios establecidos en el numeral 6.2. del mismo.
2.21. PRECIO JUSTO DE INTERCAMBIO DE UN INSTRUMENTO FINANCIERO DERIVADO O DE UN PRODUCTO ESTRUCTURADO. <Numeral modificado por la Circular 25 de 2014. El nuevo texto es el siguiente:> El valor o precio justo de intercambio es aquél por el cual un comprador y un vendedor están dispuestos a transar el correspondiente instrumento financiero derivado o producto estructurado, de acuerdo con las características particulares del instrumento o producto y dentro de las condiciones prevalecientes en el mercado en la fecha de negociación. Dichas condiciones deberán ser recogidas, según corresponda, por la información para valoración o por los precios de valoración que suministran los proveedores de precios para valoración autorizados por la Superintendencia Financiera de Colombia atendiendo lo señalado en el numeral 7.2 del presente Capítulo.
2.22. PRIMA. Es la suma de dinero que paga el comprador de una opción al emisor o vendedor de la misma.
2.23 PRODUCTO ESTRUCTURADO. Está compuesto por uno o más instrumentos financieros no derivados y uno o más instrumentos financieros derivados, los cuales pueden ser transferibles por separado o no y tener contrapartes diferentes o no, por cada uno de los instrumentos financieros que lo componen.
2.24. SUBYACENTE. Un subyacente de un instrumento financiero derivado es una variable directamente observable tal como un activo, un precio, una tasa de cambio, una tasa de interés o un índice, que junto con el monto nominal y las condiciones de pago, sirve de base para la estructuración y liquidación de un instrumento financiero derivado.
El subyacente en el caso de los derivados de crédito es el riesgo crediticio de un activo o grupo de activos de referencia, el cual es medido por la ocurrencia de uno o varios eventos crediticios, siendo los más frecuentes los incumplimientos de pago de intereses y/o capital, las reestructuraciones unilaterales de deuda, el repudio o moratoria de deuda, el empeoramiento de las calificaciones crediticias y los aumentos del 'spread' de un instrumento de deuda negociado por encima de un nivel prefijado.
2.25. SUPLEMENTO. Es un documento que se suscribe entre las partes de un contrato marco, con el fin de complementar o modificar sus cláusulas. Cuando el suplemento modifique el contrato marco, se considerará un otrosí y, por ende, los cambios deben ser expresados con claridad, haciendo referencia a las cláusulas contractuales objeto de modificación.
Las entidades vigiladas que negocien instrumentos financieros derivados u ofrezcan productos estructurados, como una de sus líneas de negocio, deben cumplir estrictamente con lo establecido en el Capítulo XXI de la Circular Básica Contable y Financiera (incorporado mediante la Circular Externa 051 de 2007) denominado "Reglas relativas al sistema de administración de riesgo de mercado", así como con los requerimientos que se señalan a continuación. Lo anterior no cobija el ofrecimiento de productos estructurados a sus afiliados por parte de las entidades administradoras de fondos de pensiones y de cesantía, de carteras colectivas o suscriptores de las entidades aseguradoras o sociedades de capitalización.
a) Cuando se trate de instrumentos financieros derivados transados por fuera de sistemas de negociación de valores o de bolsas, es decir, en el mercado mostrador, las entidades vigiladas deben elaborar y suscribir con la respectiva contraparte un contrato marco que regule de manera general tales instrumentos, el cual debe contener los estándares mínimos de que trata el Anexo 2. del presente Capítulo;
b) La alta gerencia debe implementar un programa de capacitación y actualización dirigido a los operadores, al personal de apoyo, a las áreas de seguimiento de riesgos y en general a todo el personal involucrado en la administración y control de los instrumentos financieros derivados y/o de los productos estructurados, con la frecuencia que se considere necesaria;
c) Las entidades vigiladas deben tener sistemas de información y herramientas tecnológicas que permitan el procesamiento de los instrumentos financieros derivados y productos estructurados, con su respectiva y adecuada valoración diaria. Igualmente, las entidades vigiladas deben estar en capacidad de realizar controles de riesgos en cualquier momento, mediante la observancia de límites, con prontitud y eficacia, lo cual será verificado por la Superintendencia Financiera de Colombia cuando lo estime oportuno;
d) Las entidades vigiladas deben establecer procedimientos que aseguren oportunamente que todos los instrumentos financieros derivados y los productos estructurados que negocien se encuentren autorizados, tanto por su régimen legal aplicable como por sus normas internas, así como que estén plasmados en contratos escritos (contratos marco en el caso de instrumentos financieros derivados en el mercado OTC) y se hallen debidamente documentados, confirmados y registrados.
<Inciso modificado por la Circular 21 de 2009. El nuevo texto es el siguiente:> Las operaciones con instrumentos financieros derivados no confirmadas, mediante cartas de confirmación a más tardar dentro de los dos (2) días hábiles inmediatamente siguientes al día de la celebración de la operación, así como, aquéllas no informadas por los operadores en ese mismo plazo, deben investigarse inmediatamente al interior de la entidad vigilada, por el comité de riesgos o quien haga sus veces, proceder a registrarlas una vez aclaradas y generar acciones correctivas. Así mismo, se deben realizar las acciones necesarias para evitar la reincidencia de este tipo de irregularidades, incluso la no celebración de nuevas operaciones con instrumentos financieros derivados con una determinada contraparte, cuando ésta no haya confirmado debida y oportunamente alguna operación de forma previa, con independencia de si ésta se cumplió o no. Todo ello sin perjuicio de las actuaciones que le competan a la Superintendencia Financiera de Colombia y en todo caso, en aquellos eventos en que la confirmación de la operación haya sido objetada por alguna de las partes y exista prueba verificable de ello, el término de los dos (2) días hábiles anteriormente mencionado se extenderá en un (1) día hábil adicional;
<Inciso adicionado por la Circular 25 de 2014. El nuevo texto es el siguiente:> Sin perjuicio de lo anterior, cuando una cámara de riesgo central de contraparte se interponga como contraparte de un instrumento financiero derivado en un término igual o inferior a dos (2) días hábiles siguientes a la celebración de la operación, no será necesaria la presentación de cartas de confirmación, dado que a partir de ese momento dicho instrumento se regirá según lo dispuesto en el reglamento de la respectiva cámara;
e) Los sistemas de procesamiento de datos, de administración de riesgos y de valoración deben tener un adecuado respaldo y control, junto con un plan de contingencia, que incluya la posibilidad de recuperar la información, particularmente en situaciones imprevistas;
f) Las entidades vigiladas deben tener y poner en práctica un manual de instrumentos financieros derivados que contenga, como mínimo, los aspectos que se relacionan en el numeral 4.1. del presente Capítulo.
g) Las políticas y procedimientos relacionados con los productos estructurados que negocie la entidad deben estar consignados en el manual de inversiones de la misma.
h) <Literal modificado por la Circular 25 de 2014. El nuevo texto es el siguiente:> Todos los instrumentos financieros derivados y productos estructurados que se negocien en el mercado mostrador deben registrarse en un módulo de registro de instrumentos financieros derivados y productos estructurados de un sistema de registro de operaciones sobre valores que cumpla con las condiciones y requisitos previstos en el Libro 15 y el Título 1 del Libro 35 de la Parte 2 del Decreto 2555 de 2010;
i) Cuando el régimen legal aplicable a la entidad vigilada le permita ofrecer instrumentos financieros derivados de crédito o sobre 'commodities' y dicha actividad sea una de sus líneas de negocio, la entidad vigilada debe cumplir adicionalmente los siguientes requisitos:
i.Tener una mesa de derivados especializada en la negociación de instrumentos financieros derivados, la cual debe contar, al igual que el área de 'middle' y 'back office', con personal experto en esos instrumentos, incluido el funcionario responsable de la mesa, y con la infraestructura y el software necesarios para su adecuado funcionamiento.
ii.Tener políticas de gobierno corporativo específicas para el negocio de instrumentos financieros derivados.
j) <Literal adicionado por la Circular 4 de 2010. El nuevo texto es el siguiente:> Todo instrumento financiero derivado que se negocie en el mercado mostrador y cuyas contrapartes, de común acuerdo, decidan llevarlo a una cámara de riesgo central de contraparte para su compensación y liquidación, deberá regirse por el contrato marco[1] suscrito entre las respectivas contrapartes hasta el día en el que la cámara de riesgo central de contraparte se interponga como contraparte de la operación. A partir de dicho momento, será aplicable el reglamento de la misma y por lo tanto, dejará de regir el contrato marco que se había suscrito previamente entre las contrapartes iniciales de dicho instrumento financiero. Asimismo, la respectiva cámara de riesgo central de contraparte debe asegurar a la Superintendencia Financiera de Colombia el acceso a la información de estas operaciones cuando esta última lo requiera; y
k) <Literal modificado por la Circular 25 de 2014. El nuevo texto es el siguiente:> Cuando una cámara de riesgo central de contraparte haya aceptado interponerse como contraparte de un instrumento financiero derivado o de un producto estructurado negociado en el mercado mostrador, dicha operación debe compensarse y liquidarse por conducto de la cámara hasta el día de su vencimiento. Es decir, una vez es aceptada por la respectiva cámara debe mantenerse allí hasta su vencimiento o extinción.
l) <Literal adicionado por la Circular 25 de 2014. El nuevo texto es el siguiente:> A partir del momento en que una cámara de riesgo central de contraparte acepte un producto estructurado para su compensación y liquidación, le será aplicable el reglamento de la misma.
<Inciso modificado por la Circular 25 de 2014. El nuevo texto es el siguiente:> Es deber y responsabilidad de la junta directiva, de la alta gerencia y de los órganos de control velar porque, más allá de los cumplimientos formales de los requisitos mínimos exigidos en el presente numeral, el cumplimiento se produzca en el ámbito de las prácticas cotidianas de la entidad y que exista en ésta un efectivo control interno independiente. El área de auditoría o control interno de cada entidad vigilada es responsable de verificar y monitorear el cumplimiento de todos los requisitos aquí establecidos, como condición previa para la continuidad en el ofrecimiento de instrumentos financieros derivados y de productos estructurados.
4. DISPOSICIONES ESPECIALES EN MATERIA DE GESTIÓN DE RIESGOS.
Las entidades vigiladas, tanto oferentes como demandantes de instrumentos financieros derivados o de productos estructurados, deben contar con prácticas adecuadas de administración de los riesgos generados por la realización o negociación de los mismos. En desarrollo de lo anterior, éstas deben tener en cuenta las características de tales instrumentos o productos, su objeto y sus perfiles de riesgo.
La determinación de límites por parte de las entidades vigiladas para los instrumentos financieros derivados y productos estructurados debe efectuarse no sólo con base en las contingencias de variaciones de sus precios justos de intercambio, sino también teniendo en cuenta el riesgo de contraparte y el riesgo de concentración. Tales límites deben establecerse antes del comienzo de la operativa de negociaciones y las decisiones sobre los mismos deben estar adecuadamente documentadas.
La exposición a los diferentes riesgos por instrumentos financieros derivados y productos estructurados requiere que las entidades vigiladas pongan en práctica técnicas adecuadas de gestión y mitigación de riesgos, a partir de la identificación, medición, monitoreo y control permanente de los riesgos asociados.
<Inciso modificado por la Circular 25 de 2014. El nuevo texto es el siguiente:> Las entidades vigiladas pueden pactar con sus contrapartes formas de terminación anticipada de las operaciones sobre instrumentos financieros derivados y la posibilidad, en cualquier momento, de llevar dichas operaciones a una cámara de riesgo central de contraparte para su compensación y liquidación cuando éstas hayan sido negociadas inicialmente en el mercado mostrador u OTC, siempre que ello esté contemplado en el contrato marco o en los documentos que establezca para el efecto el reglamento de la cámara y/o en los reglamentos de los respectivos sistemas de negociación de valores o bolsas, según sea el caso, y no les esté prohibido en su régimen normativo especial.
El área de auditoría o de control interno de cada entidad es responsable de verificar y monitorear, al menos una vez por semestre calendario, el cumplimiento de todas las disposiciones establecidas en el presente numeral. Igualmente, la Superintendencia Financiera de Colombia puede verificar el cumplimiento de dichas disposiciones cuando lo considere necesario.
En todo caso, las disposiciones especiales en materia de gestión de riesgos aquí señaladas, así como también las demás medidas que se consideren pertinentes, deben formar parte de los correspondientes Sistemas de Administración de Riesgo (SARs) de la entidad vigilada.
4.1. MANUAL DE INSTRUMENTOS FINANCIEROS DERIVADOS.
Las entidades vigiladas que en el transcurso de un año calendario negocien o vayan a negociar por lo menos una vez al mes, en promedio, uno o varios instrumentos financieros derivados, deben elaborar, actualizar y poner en práctica un manual de instrumentos financieros derivados, el cual debe ser aprobado por su junta directiva o quien haga sus veces y debe contener como mínimo lo siguiente:
a) Políticas en materia de negociación de instrumentos financieros derivados;
b) Perfil de riesgos;
c) Procedimientos y requisitos para la realización, formalización, monitoreo y cumplimiento de los distintos tipos de instrumentos financieros derivados;
d) Límites de concentración de riesgos del portafolio de instrumentos financieros derivados;
e) Políticas para determinar los cupos individuales y consolidados para instrumentos financieros derivados;
f) Técnicas de control o mitigación de riesgos a utilizar;
g) Pérdidas potenciales bajo los distintos escenarios, incluyendo pruebas de estrés;
h) <Literal modificado por la Circular 25 de 2014. El nuevo texto es el siguiente:> El proveedor de precios para valoración autorizado designado como oficial por la entidad vigilada para efectos de la valoración de instrumentos financieros derivados negociados en el OTC, y sólo cuando la entidad tome de éste información para valoración de dichos instrumentos, se deben incluir también las metodologías y procedimientos de valoración empleados por la entidad, incluyendo fuentes de información de los distintos parámetros requeridos, así como las correspondientes notas técnicas de dichas metodologías y procedimientos;
i) Procedimientos que permitan definir el tipo y la forma de gestión de las garantías en la negociación de instrumentos financieros derivados, cuando haya lugar; y
j) Los demás aspectos relevantes que, a juicio de la entidad vigilada, se requieran para la negociación de estos instrumentos.
En todo caso, si alguno de los literales antes mencionados se encuentra claramente contenido en algún Sistema de Administración de Riesgo (SAR) de la entidad vigilada, no es obligatoria su inclusión en el manual de instrumentos financieros derivados, pero sí la remisión en el mismo al SAR específico en el que se encuentre contenido.
Cuando se vayan a transar instrumentos financieros derivados o a ofrecer productos estructurados, las entidades vigiladas deben proveer información clara y suficiente a sus contrapartes o clientes, en particular si éstos son clientes inversionistas de conformidad con lo previsto en el Título Quinto de la Parte Primera de la Resolución 400 de 1995. Dicha información puede incluir ejemplos sobre las implicaciones y los perfiles de riesgo/rendimiento de los instrumentos y productos que negocien; así como de los riesgos de pérdidas potenciales en los cuales pueden incurrir en caso de presentarse determinados eventos o situaciones en el mercado. Todo lo anterior, con el propósito de permitir una adecuada toma de decisiones por las contrapartes o clientes. Dicha divulgación puede efectuarse mediante distintas modalidades, tales como capacitaciones, cartillas, información en Internet, entre otras, a discreción de la entidad vigilada.
5. TIPOS DE INSTRUMENTOS FINANCIEROS DERIVADOS Y PRODUCTOS ESTRUCTURADOS.
<Inciso modificado por la Circular 25 de 2014. El nuevo texto es el siguiente:> De acuerdo con el nivel de complejidad de los instrumentos financieros derivados, éstos pueden ser clasificados en dos (2) categorías: derivados básicos y derivados exóticos.
En ningún caso, este Capítulo se refiere o aplica a las llamadas Opciones Reales o Flexibilidad, en las que el activo subyacente corresponde a un activo real o un proyecto de inversión.
<Inciso modificado por la Circular 49 de 2008. El nuevo texto es el siguiente:> Las entidades vigiladas tendrán la obligación de diligenciar y remitir a esta Superintendencia la Ficha Técnica del Anexo 1. del presente Capítulo cuando se cumplan los siguientes requisitos:
I) Se trate de un nuevo tipo de instrumento financiero derivado o producto estructurado, o se trate de un instrumento financiero derivado cuyo subyacente sea distinto al de otros tipos de instrumentos financieros derivados ya negociados por la correspondiente entidad.
II) Se trate de alguno de los siguientes casos:
a) Instrumentos financieros derivados con fines de cobertura, independientemente del tipo de instrumento.
b) Instrumentos financieros derivados con fines especulativos referidos a la compra o emisión de:
i. Estrategias con instrumentos financieros derivados básicos
ii. Instrumentos financieros derivados exóticos
c) Emisión de productos estructurados.
<Incisos adicionados por la Circular 49 de 2008. El nuevo texto es el siguiente:> El envío de esta información se deberá realizar a más tardar en los diez (10) días hábiles inmediatamente siguientes a la fecha en la cual se celebren las correspondientes operaciones.
Del anterior procedimiento, se excluyen los instrumentos financieros derivados de crédito y los productos estructurados que involucren derivados de crédito, en cuyo caso las entidades vigiladas siempre deben reportar la Ficha Técnica del Anexo 6, de la siguiente manera:
- Reporte inicial: A más tardar en los diez (10) días hábiles inmediatamente siguientes a la fecha en la cual dichos instrumentos financieros o productos se negocien.
- Reporte de seguimiento: Dentro de los primeros diez (10) días calendario de cada mes.
<Inciso modificado por la Circular 21 de 2009. El nuevo texto es el siguiente:> Tanto la Ficha Técnica del Anexo 1. como la del Anexo 6. deben enviarse mediante una comunicación escrita dirigida a la Delegatura para Riesgo de Mercado e Integridad de la Superintendencia Financiera de Colombia, acompañada por los debidos soportes en medio magnético, cuando sea necesario.
5.1. INSTRUMENTOS FINANCIEROS DERIVADOS BÁSICOS ('PLAIN VANILLA').
Un 'forward' es un derivado formalizado mediante un contrato entre dos (2) partes, hecho a la medida de sus necesidades, para comprar/vender una cantidad específica de un determinado subyacente en una fecha futura, fijando en la fecha de celebración las condiciones básicas del instrumento financiero derivado, entre ellas, principalmente el precio, la fecha de entrega del subyacente y la modalidad de entrega. La liquidación del instrumento en la fecha de cumplimiento puede producirse por entrega física del subyacente o por liquidación de diferencias, dependiendo del subyacente y de la modalidad de entrega pactada, pudiendo esta última ser modificada de común acuerdo por las partes durante el plazo del instrumento.
Generalmente, en la fecha de celebración del contrato no hay flujos de dinero entre las partes del mismo.
Los subyacentes de los 'forwards' básicos pueden ser: Tasas de cambio, títulos de deuda, títulos participativos o tasas de interés.
<Inciso adicionado por la Circular 25 de 2014. El nuevo texto es el siguiente:> Dentro de esta categoría se incluyen los Foreign Exchange 'swap' (FX 'swap'), los cuales corresponden a una transacción que involucra el intercambio de dos monedas (solamente el monto principal) en dos momentos distintos, con plazos de vencimiento diferentes. El primer intercambio ('short leg') se realiza a una tasa de cambio que se acuerda en el momento del contrato, la cual difiere generalmente de la tasa del segundo intercambio ('long leg'), cuando se reversa la operación. Tanto las operaciones 'spot - forward swap' como las 'forward - 'forward swap' hacen parte de los FX 'swap'.
Aquellos 'forwards' que tengan cualquier otro tipo de subyacente y que no tengan precio de mercado publicado diariamente, no se consideran en ningún caso como derivados básicos, para los efectos del presente Capítulo.
<Numeral modificado por la Circular 25 de 2014. El nuevo texto es el siguiente:> Un futuro es un contrato estandarizado en cuanto a su fecha de cumplimiento, su tamaño o valor nominal, las características del respectivo subyacente, el lugar y la forma de entrega (en especie o en efectivo). Estos contratos se transan y están inscritos en bolsas o sistemas de negociación y se compensan y liquidan en una cámara de riesgo central de contraparte, en virtud del cual dos (2) partes se obligan a comprar/vender un subyacente en una fecha futura (fecha de vencimiento) a un precio establecido en el momento de la celebración del contrato.
5.1.3. PERMUTAS FINANCIERAS BÁSICAS ('SWAPS' GENÉRICOS).
Un 'swap' es un contrato entre dos (2) partes, mediante el cual se establece la obligación bilateral de intercambiar una serie de flujos por un período de tiempo determinado, en fechas preestablecidas.
Se consideran 'swaps' básicos los denominados 'swaps' de tasas de interés "Interest Rate Swap (IRS)", los 'swaps' de monedas "Cross Currency Swap" (CCS) o una combinación de estos dos (2) tipos. Respecto de lo anterior, es necesario precisar que no constituyen instrumentos financieros derivados las permutas o intercambios de títulos u otros activos. Por ejemplo, el tipo particular de operaciones swaps a las que se refiere el numeral 3.15.1. del Capítulo XV de la Circular Única de la Bolsa de Valores de Colombia y demás disposiciones de cualquier orden en el mismo sentido, donde las partes se proponen cambiar riesgos de emisor y/o liquidez mediante el intercambio de flujos futuros de títulos valores o valores.
Un 'swap' sobre cualquier otro subyacente debe ser considerado como un instrumento financiero derivado exótico (por ejemplo, los 'swaps' asociados a eventos crediticios).
En los 'swaps' de tasas de interés se intercambian flujos calculados sobre un monto nominal, denominados en una misma moneda, pero referidos a distintas tasas de interés. Generalmente, en este tipo de contratos una parte recibe flujos con una tasa de interés fija y la otra recibe flujos con una tasa variable, aunque también se puede dar el caso de intercambios referidos a flujos con tasas variables distintas.
En los 'swaps' de divisas, las partes intercambian flujos sobre montos nominales o nocionales denominados en distintas monedas, los cuales necesariamente están referidos a distintas tasas de interés, fijas o variables.
En algunos casos, además de intercambiar flujos de tasas de interés en distintas divisas se puede pactar el intercambio de los montos nominales durante la vigencia del contrato.
5.1.4. OPCIONES EUROPEAS ESTÁNDAR DE COMPRA O DE VENTA (CALL - PUT).
Las opciones europeas estándar son contratos mediante los cuales se establece para el adquirente de la opción el derecho, más no la obligación, de comprar o vender el subyacente, según se trate de una opción call o de una opción put, respectivamente, a un precio determinado, denominado precio de ejercicio, en una fecha futura previamente establecida, la cual corresponde al día de vencimiento.
En los contratos de opciones intervienen dos (2) partes:
a) La parte quien compra la opción, asume una posición larga en la opción y, por consiguiente, le corresponde pagar una prima con el fin de que su contraparte asuma el riesgo que le está cediendo. El comprador de una opción call obtiene el derecho, más no la obligación, de comprar (recibir) el subyacente en caso de que el precio de ejercicio le sea favorable. El comprador de una opción put obtiene el derecho, más no la obligación, de vender (entregar) el subyacente en caso que desee ejercerla.
b) La parte quien emite la opción, asume una posición corta en la misma y, por consiguiente, tiene el derecho a recibir una prima por asumir los riesgos que el comprador le está cediendo. El vendedor de una opción call tiene la obligación de vender (entregar) el subyacente en caso de que el comprador de la opción la ejerza. El vendedor de una opción put tiene la obligación de comprar (recibir) el subyacente cuando el comprador de la opción la ejerza.
5.1.5. ESTRATEGIAS CON INSTRUMENTOS FINANCIEROS DERIVADOS BÁSICOS.
Se consideran estrategias con instrumentos financieros derivados básicos los instrumentos que combinen, de cualquier manera, los tipos de instrumentos financieros derivados básicos referidos en los numerales anteriores, en cuyo caso la valoración corresponde a la suma de las valoraciones individuales de los instrumentos financieros derivados básicos que la componen. Éstos deben especificarse en el numeral 18 del Anexo 1. del presente Capítulo, que debe remitirse a esta Superintendencia de acuerdo con lo establecido al comienzo del numeral 5 del mismo Capítulo.
Como ejemplo, se pueden mencionar las estrategias denominadas: 'Participating forward', 'straddles', 'strangles', 'spread', 'butterfly' y 'condor'. Para efectos de la gestión de riesgos de este tipo de estrategias, debe tenerse en cuenta que la misma se efectúa muchas veces sobre la cartera constituida por los instrumentos financieros derivados que componen la estrategia, y no necesariamente sobre cada componente considerado en forma individual. En todo caso, debe entenderse que las necesidades de información para la administración de tales estrategias son mayores que en los demás casos.
También se consideran instrumentos financieros derivados básicos todos los instrumentos financieros derivados que se transen en bolsas, sistemas de negociación de valores o aquéllos que se compensen y liquiden en sistemas de compensación y liquidación de valores, en Colombia o en el exterior, siempre que tengan un precio diario de mercado publicado, independientemente del tipo de subyacente del instrumento y de la propia estructura de éste.
<Inciso adicionado por la Circular 4 de 2010. El nuevo texto es el siguiente:> Adicionalmente, en esta categoría se incluyen aquellos instrumentos financieros derivados cuyas respectivas contrapartes hayan decidido, en cualquier momento posterior a su negociación en el mercado mostrador y antes de su vencimiento, que los mismos se compensen y liquiden en una cámara de riesgo central de contraparte que, a su vez, se interponga como contraparte de dichas operaciones.
5.2 INSTRUMENTOS FINANCIEROS DERIVADOS EXÓTICOS.
Son aquéllos que no se enmarcan dentro de las características establecidas en el presente Capítulo para los instrumentos financieros derivados básicos ('plain vanilla'). Entre los instrumentos financieros derivados exóticos se incluyen las opciones denominadas americanas, asiáticas, bermuda, y los 'swaps' asociados con riesgo crediticio, entre otros.
Un producto estructurado puede estar constituido con instrumentos financieros derivados implícitos o separables. Cuando está constituido con derivados implícitos, se considera un producto estructurado híbrido, en el cual algunos de los flujos de efectivo de éste varían de forma similar a los instrumentos financieros derivados que lo conforman, de la manera que lo harían de forma independiente. En efecto, los instrumentos financieros derivados implícitos provocan que algunos de los flujos de efectivo (o todos) del producto estructurado híbrido se modifiquen de acuerdo con el comportamiento del(los) subyacente(s) de los instrumentos financieros derivados que lo conforman.
Cuando el producto estructurado está constituido con instrumentos financieros derivados que se integran al componente no derivado para formar el producto, pero son contractualmente transferibles de manera independiente y/o tienen una contraparte distinta a la del componente no derivado, se considera un producto estructurado separable.
<Inciso adicionado por la Circular 49 de 2008. El nuevo texto es el siguiente:> Siempre que el producto estructurado involucre derivados de crédito, el emisor del producto debe ser una entidad extranjera calificada como grado de inversión por una sociedad calificadora reconocida internacionalmente. No obstante, si el producto estructurado es separable y la entidad que obra como vendedora del mismo no es responsable de su pago, el requisito de calificación será exigible al vendedor del componente derivado de crédito de dicho producto, quien a su vez, debe ser una entidad extranjera.
En todo caso, los títulos TIPS y demás títulos emitidos en procesos de titularización, al igual que todos aquéllos que estén definidos como valor en los términos de la Ley 964 de 2005 y que incorporen opciones simplemente de prepago, no se consideran como instrumentos financieros derivados o productos estructurados para los efectos del presente Capítulo.
6. INSTRUMENTOS FINANCIEROS DERIVADOS CON FINES DE COBERTURA.
6.1. TIPOS DE COBERTURA CONTABLE CON INSTRUMENTOS FINANCIEROS DERIVADOS.
Los instrumentos financieros derivados que se negocien con fines de cobertura deben quedar claramente identificados desde el momento mismo de su celebración y ser adecuadamente documentados, cumpliendo con los requisitos que se establecen en el numeral 6.5. del presente Capítulo.
Para estos efectos, de acuerdo con el perfil de exposición al riesgo que se desee cubrir, se reconocen tres (3) tipos de cobertura con instrumentos financieros derivados, a saber: 1) Cobertura de precio justo de intercambio, 2) Cobertura de flujos de efectivo y 3) Cobertura de activos o pasivos en moneda extranjera. Para ello se deben tener en cuenta los siguientes criterios:
a) Las coberturas de precio justo de intercambio: Cubren la exposición a la variación en el precio justo de intercambio de una posición primaria, siempre y cuando dicha variación sea atribuible a uno o más riesgos en particular y afecten o puedan afectar el estado de resultados de la entidad vigilada.
b) Las coberturas de flujos de efectivo: Cubren la exposición a la variación en los flujos de efectivo de una posición primaria, siempre y cuando dicha variabilidad sea atribuible a uno o más riesgos en particular y afecten o puedan afectar el estado de resultados de la entidad vigilada.
c) Las coberturas de activos o pasivos en moneda extranjera: Cubren exclusivamente el riesgo de tipo de cambio de un determinado valor de activos o pasivos que se hallen denominados o indexados en monedas diferentes al peso colombiano.
Aquellas entidades vigiladas que, de conformidad con su normatividad especial, deban clasificar sus inversiones como negociables y, por consiguiente, registrar las variaciones de las mismas diariamente en el estado de resultados, no les aplica el régimen contable especial de las coberturas con instrumentos financieros derivados que se establece en los numerales 7.3.2.2 y 7.3.2.3 del presente Capítulo. Como ejemplo de estas entidades, se pueden citar los fondos de pensiones obligatorias, los fondos de cesantía y las carteras colectivas previstas en el Decreto 2175 de 2007, con excepción de los fondos de capital privado.
No obstante lo anterior, para aquellas entidades vigiladas cuyo régimen de inversión les permita negociar instrumentos financieros derivados con fines de cobertura y sea necesario distinguirlos frente a los que se negocien con fines de especulación, para efectos de cumplimiento de límites, deben efectuar la medición del cociente de efectividad esperado de la cobertura en la fecha de inicio de ésta ('efectividad prospectiva'), de conformidad con las instrucciones que se imparten en el numeral 6.4. del presente Capítulo, el cual debe situarse en un rango entre el ochenta por ciento (80%) y el cien por ciento (100%) para que pueda demostrarse que son de cobertura.
6.2. POSICIONES PRIMARIAS ACEPTADAS PARA COBERTURA CONTABLE CON INSTRUMENTOS FINANCIEROS DERIVADOS.
Las partidas que se designen como posiciones primarias para ser cubiertas de un(os) riesgo(s) específico(s) deben cumplir los siguientes criterios:
a) Deben formar parte del llamado 'Libro Bancario' según se halla definido éste en el Capítulo XXI de la Circular Básica Contable y Financiera (Circular Externa 100 de 1995 de la Superintendencia Financiera de Colombia);
<Inciso adicionado por la Circular 49 de 2008. El nuevo texto es el siguiente:> Este criterio no será aplicable a las posiciones primarias objeto de cobertura con los instrumentos financieros derivados de crédito que adquieran las entidades vigiladas, de conformidad con lo establecido en la Resolución 8 de 2000, modificada por la Resolución 7 de 2008 de la Junta Directiva del Banco de la República, o demás normas que la modifiquen o sustituyan;
b) Los créditos de bancos y otras obligaciones financieras y los títulos de inversión en circulación (bonos, cédulas, etc.) pueden cubrirse, totalmente o por un determinado importe o porcentaje de sus flujos de efectivo o de su precio justo de intercambio, siempre que pueda medirse la efectividad de la cobertura;
c) Los créditos de bancos y otras obligaciones financieras y los pasivos en títulos de inversión en circulación pueden designarse como posiciones primarias en las coberturas del precio justo de intercambio solamente por el plazo durante el cual el acreedor no pueda disponer contractualmente de su valor;
d) Los activos y obligaciones no financieras, con excepción de productos o bienes transables en sistemas de negociación, sólo pueden ser designados como posiciones primarias para efectos de cubrir su riesgo de tipo de cambio;
e) Un portafolio de activos o de pasivos puede ser cubierto como tal, siempre y cuando los activos individuales o los pasivos individuales del portafolio tengan en común la exposición al mismo riesgo;
f) Un compromiso en firme de adquirir otra empresa sólo puede ser posición primaria para efectos de una cobertura de riesgo de tipo de cambio; y
g) Los títulos de deuda clasificados hasta el vencimiento; así como, las inversiones de capital en entidades filiales, subordinadas o vinculadas pueden considerarse como posición primaria para cobertura con instrumentos financieros derivados solamente cuando se busque cubrir sus flujos de efectivo o su riesgo de tipo de cambio.
En ningún caso, los siguientes instrumentos financieros derivados pueden ser designados como instrumentos de cobertura:
a) Las opciones emitidas o vendidas, salvo que se designen para cubrir opciones compradas, incluso las que se hallen implícitas en productos estructurados; y
b) Las estrategias con instrumentos financieros derivados que combinen opciones emitidas o vendidas y compradas, sobre un mismo subyacente, cuando el riesgo neto que arroje tal combinación no esté limitado.
Para evaluar la efectividad de una cobertura con instrumentos financieros derivados, las entidades vigiladas deben calcular el cociente de efectividad de cobertura, entendido como la razón entre la variación absoluta acumulada en el precio justo de intercambio o en los flujos de efectivo del instrumento financiero derivado, atribuibles exclusivamente a los riesgos que están siendo cubiertos y la variación absoluta acumulada en el valor presente o flujos de efectivo de la posición primaria cubierta, desde la fecha en que inició la cobertura hasta la fecha en que se realiza la evaluación. En todo caso, para el cálculo de dicho cociente, el menor valor de los dos cambios absolutos mencionados anteriormente debe ser siempre el numerador del mismo.
Una cobertura es considerada como altamente efectiva si en la evaluación inicial y en cualquier evaluación durante el plazo de la misma, el cociente de efectividad de cobertura se sitúa en un rango entre el ochenta por ciento (80%) y el cien por ciento (100%), con un comportamiento en sentido opuesto entre las dos variaciones que lo conforman.
Por ejemplo, si el precio justo de intercambio o los flujos de efectivo de un instrumento financiero derivado con fines de cobertura sufre una caída acumulada en términos absolutos de ciento veinte (120) al tiempo que el precio justo de intercambio o los flujos de efectivo de la posición primara cubierta tienen un incremento acumulado en términos absolutos de cien (100), atribuible exclusivamente al riesgo que se desea cubrir, la efectividad de la cobertura debe ser evaluada como 100/120, igual a 83,33 por ciento; por lo cual, acorde con lo dicho anteriormente, se concluye que esa cobertura es altamente eficaz en la fecha en la que se realiza la evaluación.
Al inicio de la cobertura se pueden utilizar técnicas estadísticas para evaluar la efectividad futura (esperada), lo que se conoce como efectividad prospectiva. Por su parte, la medición de la efectividad después del inicio de la cobertura, la cual se denomina efectividad retrospectiva, debe ser realizada por lo menos una vez al mes y, en todo caso, al cierre de cada mes calendario.
Cuando por las características de la posición primaria y del instrumento financiero derivado utilizado para la cobertura, se pueda prever, con un muy alto grado de seguridad, que el cociente de efectividad de cobertura será de cien por ciento (100%) durante toda la vigencia de la cobertura, no es necesario evaluar ni medir la efectividad de la misma. Un ejemplo de esta situación ocurre en la cobertura de activos o pasivos en moneda extranjera, cuando el instrumento financiero derivado utilizado para la cobertura de tipo de cambio se pacte sobre la misma moneda en la que esté expresada la posición primaria que se desea cubrir y por un valor igual al nominal de ésta.
Cuando la efectividad de la cobertura se ubique por fuera del rango arriba establecido (80% - 100%), en dos (2) cierres de mes consecutivos con posterioridad al inicio de la cobertura, el instrumento financiero derivado ya no debe considerarse con fines de cobertura, es decir pierde tal calidad. Lo anterior sin perjuicio de que las entidades vigiladas puedan mantenerlo vigente.
En este orden, el instrumento financiero derivado con fines de cobertura deja de sujetarse al régimen especial de contabilidad establecido en el numeral 7.3.2. del presente Capítulo y debe pasar a cumplir inmediatamente con lo dispuesto por el régimen de contabilidad establecido en el numeral 7.3.1. del mismo Capítulo que hace referencia a la contabilidad de los instrumentos financieros derivados con fines especulativos.
6.5. REQUISITOS PARA APLICAR EL TRATAMIENTO CONTABLE ESPECIAL PREVISTO PARA COBERTURAS CON INSTRUMENTOS FINANCIEROS DERIVADOS. <Título del numeral modificado por la Circular 49 de 2008>
Para que un instrumento financiero derivado con fines de cobertura pueda ser objeto del tratamiento contable especial que se establece en el numeral 7.3.2. del presente Capítulo, debe cumplir los siguientes requisitos:
a) La designación como cobertura contable debe quedar evidenciada por escrito a más tardar en la fecha en la cual se celebre la operación de cobertura, en la cual también se debe fijar su objetivo y estrategia. En consecuencia, no se puede utilizar como cobertura un instrumento financiero derivado en forma retroactiva a su negociación. Dicha documentación debe ajustarse a lo especificado en el numeral 6.6. del presente Capítulo y estar a disposición permanente de la Superintendencia Financiera de Colombia;
b) La efectividad de la cobertura debe ser consistente con la estrategia de gestión del riesgo que la entidad vigilada ha establecido y documentado. Su medición debe realizarse desde el inicio y por lo menos una vez al mes, y en todo caso siempre el último día de cada mes, basándose en los resultados acumulados obtenidos desde el inicio de la cobertura y dejando la evidencia escrita correspondiente. Tal medición debe efectuarse hasta que se extinga la posición primaria cubierta, hasta que la propia entidad vigilada decida extinguir la cobertura o hasta que esta Superintendencia ordene, si hay lugar a ello, la terminación del tratamiento contable especial para el instrumento financiero derivado de cobertura;
c) La cobertura debe ser altamente efectiva, en los términos que se señalan en el numeral 6.4. del presente Capítulo, durante todo el plazo previsto, para compensar las variaciones en el precio justo de intercambio, en los flujos de efectivo o por diferencia de tipo de cambio de la posición primaria que sean atribuibles al riesgo cubierto;
d) Los instrumentos financieros derivados con fines de cobertura deben estar relacionados con el riesgo específicamente identificado y designado, nunca con riesgos generales de la entidad vigilada;
e) En el caso de coberturas de riesgo de crédito denominadas en pesos colombianos, el subyacente del instrumento financiero derivado con el que dicho riesgo es cubierto debe ser un instrumento emitido por la misma contraparte que el emisor de la posición primaria y debe tener las mismas condiciones que éste (plazo, tasa, colateral, prelación, etc.). Si el emisor de la posición primaria es una contraparte distinta al emisor del subyacente, pero tiene un riesgo de crédito similar al del emisor en cuanto a la calificación crediticia vigente y a la actividad económica, entre otras condiciones que garantizan que el comportamiento crediticio es comparable, la cobertura puede ser objeto del tratamiento contable especial si puede demostrarse que los eventos de crédito que influyen sobre la posición primaria afectan el valor del instrumento financiero derivado;
f) En el caso de coberturas de riesgos de mercado (riesgo de tasa de interés, riesgo de precio, entre otros) en donde el subyacente, representado por el monto nominal, difiere de la posición primaria que se pretende cubrir, el instrumento financiero derivado puede ser objeto del tratamiento contable especial, siempre y cuando exista una alta correlación (mayor o igual a 0.8) durante los últimos doce (12) meses entre el valor del subyacente y el precio de la posición primaria, y la cobertura sea altamente efectiva;
g) Un instrumento financiero derivado con fines de cobertura puede ser utilizado para cubrir más de un tipo de riesgo, cuando se cumplan las siguientes condiciones: i) Los riesgos cubiertos estén identificados con claridad; ii) La alta efectividad de la cobertura esté demostrada de manera prospectiva y retrospectiva; iii) Sea posible asignar de manera específica el instrumento financiero derivado a la cobertura de los tipos de riesgo que se busca, y iv) Exista la documentación que soporte el instrumento financiero derivado y las diferentes posiciones de riesgos; y
h) El tratamiento contable especial para las coberturas con instrumentos financieros derivados puede ser aplicado a transacciones entre entidades del mismo grupo económico en los estados financieros individuales de las mismas, pero no en los estados financieros consolidados del grupo que deben presentarse a la Superintendencia Financiera de Colombia, salvo en las dos (2) situaciones siguientes:
(i) Un instrumento financiero derivado denominado en moneda extranjera que ha sido negociado con un vinculado del mismo grupo económico, puede ser designado como instrumento de cobertura en los estados financieros consolidados, sólo si aquel vinculado ha celebrado un contrato con un tercero no vinculado que le permita cubrir la exposición al riesgo adquirido por realizar tal instrumento.
(ii) El riesgo de tipo de cambio de una partida monetaria intragrupo, tal como una cuenta por cobrar o una cuenta por pagar entre dos (2) entidades vinculadas, puede cumplir los requisitos de una posición primaria en los estados financieros consolidados si provoca una exposición al riesgo por tipo de cambio que no se pueda eliminar completamente en la consolidación, porque la transacción se haya realizado entre entidades que tienen monedas funcionales diferentes.
En todo caso, los efectos del tratamiento contable especial en entidades del mismo grupo económico, que se reconozcan en el estado de resultados o en el patrimonio neto de los estados financieros individuales y consolidados, deben ser eliminados en el proceso de consolidación del grupo.
Para determinar la calidad de vinculado cada entidad vigilada debe aplicar la normatividad especial que la rige para el efecto, cuando ésta exista. Por ejemplo, en el caso de las sociedades administradoras de fondos de pensiones y de cesantía es aplicable lo dispuesto en el numeral 7 del Capítulo IV del Título 4 de la Circular Básica Jurídica (Circular Externa 07 de 1996).
Cuando una entidad vigilada proceda a contratar un instrumento financiero derivado con fines de cobertura de cualquier riesgo identificado, tiene que documentar formalmente lo siguiente:
a) La estrategia y el objetivo de la entidad respecto a la administración del riesgo, así como la justificación para llevar a cabo la operación.
b) La naturaleza del riesgo o de los riesgos específicos a cubrir.
c) La identificación de la posición primaria objeto de la cobertura; y
d) La identificación del instrumento financiero derivado a ser utilizado para la cobertura.
La prueba documental debe ir como Anexo al acta respectiva en la que se adopte la decisión por parte de la junta directiva o de la instancia autorizada para ello en la respectiva entidad vigilada y debe estar a disposición de la Superintendencia Financiera de Colombia cuando ésta la requiera.
6.7. INSTRUMENTOS FINANCIEROS DERIVADOS DE CRÉDITO CON FINES DE COBERTURA. <Numeral adicionado por la Circular 49 de 2008. El nuevo texto es el siguiente:> Los instrumentos financieros derivados de crédito deberán realizarse en los términos que establezcan la Junta Directiva del Banco de la República y la Superintendencia Financiera de Colombia, dentro del ámbito de competencias de cada entidad.
En este sentido, para los efectos del presente Capítulo, los derivados de crédito sólo podrán adquirirse con fines de cobertura según lo dispuesto por la Resolución Externa 8 de 2000, modificada por la Resolución Externa 7 de 2008, de la Junta Directiva del Banco de la República, o demás normas que la modifiquen o sustituyan, siempre que su contraparte sea un agente del exterior autorizado en los términos de la Circular Reglamentaria Externa DODM - 144 del Banco de la República, calificado como grado de inversión por una sociedad calificadora reconocida internacionalmente.
La Superintendencia Financiera de Colombia, a través de las delegaturas institucionales correspondientes, autorizará de manera previa y expresa, a cada una de las entidades vigiladas, el programa de cobertura que pretendan realizar de acuerdo con lo previsto en el presente numeral.
Para efectos de la aprobación previa de este tipo de instrumentos financieros derivados por parte de esta Superintendencia, la solicitud de las entidades vigiladas deberá contener como mínimo la siguiente información:
a) La posición primaria que sería objeto de cobertura:
i. Tipo de instrumento;
ii. Emisor;
iii. Monto nominal;
iv. Valor de mercado a la fecha de la solicitud;
v. Fecha de emisión y de vencimiento; y
vi. Otras características faciales relevantes.
b) El programa de cobertura y los mecanismos mediante los cuales se va a realizar incluyendo la información contenida en el Anexo 6 del presente Capítulo. <Notas de Vigencia>
- Numeral 6.7 adicionado al Capítulo XVIII por la Circular 49 de 2008, publicada en el Boletín Ministerio de Hacienda, Capítulo Superintendencia Financiera de Colombia, No. 112 de 26 de septiembre de 2008.
7.1 FACTORES A CONSIDERAR PARA LA GESTIÓN DE RIESGOS. <Título e inciso 1o. modificados por la Circular 25 de 2014. El nuevo texto es el siguiente:>
Para la gestión de riesgos de los distintos tipos de instrumentos financieros derivados y productos estructurados, las entidades vigiladas deben evaluar cada uno de los siguientes factores, según apliquen en cada caso.
7.1.1. Tasas de interés. Deben cuantificarse los riesgos por variaciones de las tasas de interés utilizadas para valorar estos instrumentos y productos; para lo cual la entidad vigilada debe determinar cuál es el efecto en el valor de los contratos como consecuencia del cambio de un (1) punto básico en las tasas de interés correspondientes, con base en medidas idóneas de sensibilidad, dependiendo del tipo específico de instrumento financiero derivado o producto estructurado. Por ejemplo, pueden utilizarse mediciones como la duración o la duración modificada, para algunos instrumentos o productos, u otras diferentes cuando involucren opcionalidades.
7.1.2. Tipo de cambio. Las tasas de cambio de las monedas involucradas en los instrumentos financieros derivados y productos estructurados, tanto en los mercados de contado 'spot' como en los mercados a plazo, son factores de riesgo que deben ser considerados por parte de las entidades vigiladas cuando los instrumentos o productos tengan algún componente distinto a la moneda local.
7.1.3. Plazo. Es un factor fundamental en el cálculo de la exposición potencial futura y, por ende, de la exposición crediticia de cualquier instrumento financiero derivado.
7.1.4. Riesgo de crédito. Las entidades vigiladas deben evaluar el riesgo de crédito de los instrumentos financieros derivados y productos estructurados, es decir, el riesgo de incumplimiento de las contrapartes y emisores, según sea el caso. Tratándose de instrumentos financieros derivados, dicho riesgo se expresa en el cálculo de las exposiciones crediticias, que debe realizarse siguiendo las pautas establecidas en el Anexo 4. del presente Capítulo. Los soportes de tales evaluaciones deben estar a disposición de la Superintendencia Financiera de Colombia al momento que ésta las requiera.
Sin perjuicio de lo anterior, las entidades vigiladas deben prever posibles comportamientos que afecten las exposiciones potenciales futuras y aumenten la exposición crediticia, ya que ello podría repercutir en requerimientos adicionales de capital.
7.1.5. Valor del subyacente. Las entidades vigiladas deben contar con análisis de escenarios que les permitan cuantificar y controlar la sensibilidad de los precios justos de intercambio de los instrumentos financieros derivados y de los productos estructurados ante cambios en el valor del subyacente.
7.1.6. Volatilidad del subyacente. En algunos tipos de instrumentos financieros derivados (opciones, en particular) es esencial la forma de estimar la variabilidad esperada o volatilidad del valor del subyacente. Las entidades vigiladas deben considerar adecuadamente la forma de determinar estas volatilidades para una gestión apropiada del riesgo y de los resultados esperados de los instrumentos financieros derivados o productos estructurados que incorporen dicho factor de riesgo.
7.1.7. Precios de mercado. Las entidades vigiladas deben realizar análisis de comportamiento histórico y previsiones del comportamiento esperado de los precios justos de intercambio de los distintos instrumentos financieros derivados y productos estructurados que tengan en su portafolio, con miras a realizar pruebas de estrés.
7.1.8. <Numeral modificado por la Circular 25 de 2014. El nuevo texto es el siguiente:> Dependiendo del tipo específico de instrumento financiero derivado o producto estructurado, las entidades vigiladas deben evaluar otros posibles riesgos no incluidos en el presente Capítulo, de tal manera que les permita contar con un perfil de riesgos más completo y así poder realizar una adecuada gestión de los riesgos.
<Numeral modificado por la Circular 25 de 2014. El nuevo texto es el siguiente:> En el presente numeral se establecen los principales lineamientos y criterios que deben seguir las entidades vigiladas para valorar los distintos instrumentos financieros derivados y los productos estructurados que negocien.
a) Generalidades de valoración:
La valoración de los instrumentos financieros derivados y de los productos estructurados debe realizarse en forma diaria por su precio justo de intercambio. No obstante, las opciones peso-dólar emitidas por el Banco de la República no requieren valorarse a precio justo de intercambio. Cuando se trate de opciones con características idénticas o muy similares a las emitidas por el Banco de la República, cuyo emisor sea diferente de éste, las entidades vigiladas (tanto vendedoras o emisoras como compradoras) deben cumplir con lo establecido en el presente Capítulo, lo cual exige, entre otros, valorar diariamente tales opciones a precio justo de intercambio.
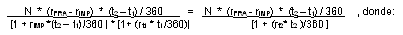
Para efectos de valoración se puede utilizar una base de cálculo de 360 días o, cuando corresponda, de 365 días. Esta última debe utilizarse siempre que se trate de opciones estándar europeas valoradas a través de la metodología de Black-Scholes.
Cuando, por razones de liquidez, exista un precio diario de mercado para un determinado instrumento financiero derivado o para un producto estructurado, resultante de la negociación de los mismos en un mercado secundario, provisto por algún Proveedor de Información del Mercado de Valores, dicho precio debe asumirse directamente como el precio justo de intercambio del instrumento o del producto.
Siempre que se requiera efectuar la conversión a pesos colombianos se deberán utilizar las tasas de cambio correspondientes, siguiendo para ello las siguientes instrucciones:
i) Si se parte del dólar americano, se debe multiplicar por la Tasa de Cambio Representativa del Mercado (TCRM) calculada el día de la valoración y publicada por la Superintendencia Financiera de Colombia.
ii) Si se parte de otra divisa diferente al dólar americano, se debe multiplicar por la correspondiente tasa de cambio (dólar americano / divisa X) en la fecha de valoració y luego por la TCRM calculada el mismo día.
Por su parte, para traer a valor presente los flujos en pesos colombianos de los distintos instrumentos financieros derivados y productos estructurados se deben emplear tasas cero cupón en pesos; mientras que si dichos flujos están denominados en otras monedas, deben descontarse utilizando la tasa de interés más líquida que exista en el Estado al que pertenezca la moneda, para el plazo que se trate.
A su vez, para garantizar una valoración homogénea, no se debe computar dentro de las tasas de descuento ningún tipo de 'swap spread' por riesgo crediticio. No obstante, ello no implica que las entidades vigiladas no puedan estimar y considerar los 'spreads' crediticios con las distintas contrapartes, si así lo estiman conveniente, pero solamente para efectos de su gestión de riesgos y del manejo de límites internos.
Si una entidad vigilada adquirente de una opción o de un producto estructurado toma el precio de referencia del emisor, en concordancia con lo señalado en el numeral 7.2.1. del presente Capítulo, éste debe estar técnicamente sustentado, documentado y aprobado por el comité de riesgos de la misma (entidad adquirente), o quien haga sus veces. Ello debe ser cumplido de manera previa a la realización de dichas operaciones.
Cuando se trate de instrumentos financieros derivados en el mercado 'off shore' o de operaciones 'non delivery' (ND) en el mercado local, en los cuales la liquidación suele efectuarse en el tiempo t+1 o t+2, debe entenderse que ésta ocurre uno o dos días hábiles después de la fecha de vencimiento. Por consiguiente, para este tipo de instrumentos la entidad vigilada debe, desde la fecha de negociación inicial del instrumento y hasta la fecha de su vencimiento, registrar contablemente en las respectivas cuentas de derivados el precio justo de intercambio diario, afectando tanto el balance general como el estado de resultados. Al día siguiente de la fecha de vencimiento y hasta la fecha de liquidación, la entidad vigilada debe registrar el valor del derecho o de la obligación del instrumento financiero en una cuenta por cobrar o por pagar, según corresponda. Dicho valor, debe permanecer en estas cuentas, hasta el día de su liquidación. Cuando el valor de la cuenta por pagar o de la cuenta por cobrar deba liquidarse en moneda extranjera, la entidad vigilada deberá re-expresarlo a pesos colombianos con las tasas correspondientes.
Adicionalmente, cuando se decida modificar, válidamente entre las partes, el plazo del contrato de un determinado instrumento financiero derivado, en cualquier momento de su vigencia, no se debe entender dicho cambio como una nueva operación sino como una reestructuración de las condiciones inicialmente pactadas. Por lo tanto, su revelación contable corresponde a la de la operación original, ajustada a las condiciones de la modificación realizada.
Cuando el precio justo de intercambio de un instrumento financiero derivado o de un producto estructurado provisto por un proveedor de precios para valoración autorizado por la Superintendencia Financiera de Colombia, de acuerdo con las instrucciones que se señalan a continuación, deberá también suministrarle a las entidades vigiladas el valor del derecho y/u obligación, según corresponda, con el propósito de que las mismas puedan revelarlos adecuadamente en sus registros contables. Para el caso de productos estructurados separables (según lo establecido en el numeral 5.3. del presente Capítulo), también deberán suministrar el precio justo de intercambio de cada uno de sus componentes (derivados y no derivados).
b) Instrucciones de valoración cuando los instrumentos financieros derivados y los productos estructurados son compensados y liquidados en una cámara de riesgo central de contraparte:
Con independencia de su compensación y liquidación en una cámara de riesgo central de contraparte, los futuros y demás instrumentos financieros derivados que se transen y estén inscritos en bolsas o sistemas de negociación deben valorarse sobre la base del respectivo precio de mercado en la fecha de valoración o de la información para su valoración, según corresponda, provisto por la bolsa o sistema en donde esté inscrito y la entidad vigilada lo haya negociado. Adicionalmente, cuando el subyacente de los futuros o de tales instrumentos corresponda a un índice bursátil, dicha bolsa o sistema debe, a su vez, señalar el factor de conversión de los puntos del índice en valores monetarios.
El precio justo de intercambio de los instrumentos financieros derivados y de los productos estructurados que se compensen y liquiden en una cámara de riesgo central de contraparte deberá atender las siguientes instrucciones:
i) Cuando se trate de compensación y liquidación diaria y al vencimiento, desde la fecha en la que la cámara se interpone como contraparte hasta la fecha del vencimiento de la operación, dicho precio será informado diariamente de manera simultánea por la respectiva cámara a todos los proveedores de precios para valoración autorizados por la Superintendencia Financiera de Colombia y demás agentes o participantes del mercado, de acuerdo con lo establecido en su respectivo reglamento y/o demás regulación interna. Lo anterior, sin perjuicio de la publicación que le corresponde realizar a los proveedores de precios para valoración a las entidades vigiladas que los contrataron.
ii) Cuando se trate de compensación y liquidación únicamente al vencimiento, desde la fecha en la que una cámara se interpone como contraparte hasta un (1) día antes de la fecha de vencimiento o fecha en la cual ocurre la compensación y liquidación de la operación por parte de la cámara, dicho precio corresponde a aquél que diariamente será calculado por los proveedores de precios para valoración autorizados por la Superintendencia Financiera de Colombia y, con la misma periodicidad, provisto por éstos a las respectivas entidades vigiladas que los contrataron. Sin embargo, la entidad podrá tomar la información para valoración de su proveedor de precios, con base en lo establecido en el Capítulo Décimo Sexto del Título I de la Circular Básica Jurídica.
iii) Cuando se trate de compensación y liquidación únicamente al vencimiento, en la fecha de vencimiento o de compensación y liquidación final de la operación por parte de una cámara, dicho precio corresponde a aquél informado simultáneamente por la respectiva cámara a todos los proveedores de precios para valoración autorizados por la Superintendencia Financiera de Colombia y demás agentes o participantes del mercado, de acuerdo con lo establecido en su respectivo reglamento y/o demás regulación interna. Lo anterior, sin perjuicio de la publicación que le corresponde realizar a los proveedores de precios para valoración a las entidades vigiladas que los contrataron.
c) Instrucciones de valoración cuando los instrumentos financieros derivados y los productos estructurados no son compensados y liquidados en una cámara de riesgo central de contraparte:
Los proveedores de precios para valoración autorizados por la Superintendencia Financiera de Colombia deberán, diariamente, calcular la valoración de estos instrumentos y productos y proveer su precio justo de intercambio a las entidades vigiladas que los contrataron. No obstante, la entidad podrá tomar la información para valoración de su proveedor de precios, con base en lo establecido para el efecto en el Capítulo Décimo Sexto del Título I de la Circular Básica Jurídica.
Sin perjuicio de lo señalado en los literales a, b y c anteriores, la Superintendencia Financiera de Colombia podrá, en cualquier momento, objetar la(s) metodología(s) de valoración empleadas por las entidades vigiladas, así como sus modificaciones, en los casos en que la entidad emplee información para valoración de instrumentos financieros derivados y de productos estructurados suministrada por su proveedor de precios para valoración.
<Numeral modificado por la Circular 25 de 2014. El nuevo texto es el siguiente:> Cuando el proveedor de precios para valoración no cuente con una metodología de valoración para calcular diariamente el precio justo de intercambio para estos instrumentos, se podrá tomar el precio de referencia del emisor de la opción o del producto estructurado -el que se registre a la hora de cierre diario del mercado-, siempre y cuando el mismo (el emisor) esté calificado en sus obligaciones al menos como “grado de inversión”, ya sea por una agencia calificadora de riesgos reconocida internacionalmente, si el emisor es extranjero, o por una agencia calificadora autorizada en Colombia, si el emisor es una persona jurídica domiciliada en el país y ha acordado con los compradores la obligación de proveer diariamente un precio de referencia ('bid') publicado ya sea en las páginas de Bloomberg o Reuters o, en su defecto, en la página web del emisor, y garantice la recompra de la opción o del producto, a discrecionalidad del comprador o tenedor, en determinadas fechas.
Lo anterior no aplica cuando la entidad vigilada adquirente de la opción o del producto estructurado pertenezca al mismo grupo económico del emisor, dados los posibles conflictos de interés y, por consiguiente, la entidad debe utilizar el precio calculado diariamente por el respectivo proveedor de precios para valoración autorizado por la Superintendencia Financiera de Colombia.
Si la entidad vigilada adquirente de la opción o del producto estructurado toma el precio de referencia diario del emisor, debe tener perfecta comprensión y claridad, además de las características contractuales específicas del instrumento, el tipo de precio ('limpio' o 'sucio') y la correcta conversión a pesos colombianos, cuando aplique, entre otros.
7.2.2. VALORACIÓN LOS INSTRUMENTOS FINANCIEROS DERIVADOS BÁSICOS ('PLAIN VANILLA').
<Numeral modificado por la Circular 25 de 2014. El nuevo texto es el siguiente:> En caso de que no exista precio de mercado para un instrumento financiero derivado básico, de acuerdo con lo establecido previamente, el precio justo de intercambio será aquél calculado por el respectivo proveedor de precios para valoración autorizado por la Superintendencia Financiera de Colombia o aquél informado por la cámara de riesgo central de contraparte, en los casos que aplique.
Para las 'estrategias con instrumentos financieros derivados básicos', definidas en el numeral 5.1.5. del presente Capítulo, su valoración corresponde a la suma de los precios justos de intercambio de los instrumentos financieros derivados básicos que las componen.
7.2.3. VALORACIÓN DE LOS INSTRUMENTOS FINANCIEROS DERIVADOS EXÓTICOS.
<Numeral modificado por la Circular 25 de 2014. El nuevo texto es el siguiente:> Para este tipo de instrumentos el precio justo de intercambio será aquél calculado por el respectivo proveedor de precios para valoración autorizado por la Superintendencia Financiera de Colombia.
7.2.4. VALORACIÓN DE PRODUCTOS ESTRUCTURADOS.
<Numeral modificado por la Circular 25 de 2014. El nuevo texto es el siguiente:> Siempre que un proveedor de precios para valoración autorizado por la Superintendencia Financiera de Colombia valore diariamente un producto estructurado, la valoración del mismo debe ser igual a la suma de los precios justos de intercambio de los componentes derivados y no derivados que lo conforman. Ello aplica también cuando la entidad toma la información para valoración de su proveedor de precios.
Si el producto estructurado tiene estipulado algún tipo de cargo o penalización por la redención anticipada del mismo por parte del emisor, ello debe estar explícito en el prospecto del producto al igual que la forma de liquidarlo. Dicho cargo lo deben registrar las entidades vigiladas en sus estados financieros en la fecha en la que ocurra la redención anticipada, si ello ocurriere, sin que entre tanto se afecte de alguna manera la valoración diaria del producto.
Cuando, según las instrucciones establecidas en el presente Capítulo, la entidad vigilada pueda tomar el precio de referencia diario del emisor, los valores de los parámetros que deben incorporarse diariamente en las fórmulas de cálculo son de entera responsabilidad de la entidad vigilada y los mismos debe conocerlos y poderlos informar en el momento que la Superintendencia Financiera de Colombia lo requiera.
Por otra parte, cuando el estructurador y/o emisor incurra en costos o gastos de estructuración y/o administración del producto estructurado que se trasladen a los inversionistas adquirentes del mismo por la vía del precio de venta, tales gastos no deben reflejarse en la valoración del producto como un componente adicional de su valor, sino que deben registrarse por aparte como un gasto en el estado de resultados, independientemente de la valoración del producto. El comprador del producto no debe diferir dicho gasto, pero sí puede, si decide luego venderlo, trasladar todo o una parte del mismo a su comprador si éste así lo acepta y paga.
Desde el punto de vista de una entidad vigilada emisora de un producto estructurado debe valorar el producto estructurado como la suma de los precios justos de intercambio de sus componentes derivados y no derivados.
7.2.5. EXCEPCIONES A LAS REGLAS GENERALES DE VALORACIÓN.
Tratándose de procesos de titularización de cartera, cuando en la estructura autofinanciada se incorporen instrumentos financieros derivados como mecanismo de cobertura del riesgo de tasa de interés entre el activo subyacente y el pasivo correlativo de la estructura y tales instrumentos derivados tengan vocación de permanencia hasta la terminación del proceso de titularización, la valoración de los mismos debe ser mensual y con referencia a la tasa interna de retorno (TIR) del pasivo conformado por los valores emitidos. Lo anterior tendrá lugar siempre que se cumplan todos y cada uno de los siguientes requisitos:
a) En el reglamento de emisión de los títulos que conforman el pasivo correlativo se haya definido expresamente la utilización de instrumentos financieros derivados, desde la misma fecha de la emisión, como un mecanismo de cobertura de la estructura, es decir que la cobertura con instrumentos financieros derivados nazca también en t=0;
b) El instrumento financiero derivado que se haya estructurado efectivamente tenga un cociente de efectividad de la cobertura de cien por ciento (100%) en los términos que se definen en el presente Capítulo; y
c) En el reglamento de emisión se haya estipulado expresamente que el agente de manejo de la emisión no está autorizado para negociar instrumentos financieros derivados adicionales a los que se celebren en la fecha en que nace la emisión de la estructura autofinanciada.
Las entidades vigiladas deben registrar todos sus instrumentos financieros derivados, productos estructurados y posiciones primarias cubiertas en sus estados financieros, utilizando las cuentas PUC disponibles, de acuerdo con los lineamientos y criterios contenidos en el presente numeral. Cuando se trate de las 'estrategias con instrumentos financieros derivados básicos', que se definieron en el numeral 5.1.5. del presente Capítulo, su tratamiento contable es el que corresponda a cada uno de sus componentes por separado, en las respectivas cuentas PUC establecidas para cada uno de éstos.
Los códigos contables para el registro de los instrumentos financieros derivados se han habilitado para distinguir entre aquéllos con fines de especulación o con fines de cobertura. A su vez, al interior de estas clasificaciones se establecen códigos contables para las distintas clases de instrumentos. Los instrumentos financieros derivados que arrojen precio justo de intercambio positivo, es decir favorable para la entidad vigilada, se deben registrar en el activo, separando el valor del derecho y el valor de la obligación, excepto en el caso de las opciones, donde el registro contable se efectúa en una sola cuenta. Por su parte, los que arrojen precio justo de intercambio negativo, es decir desfavorable para la entidad vigilada, deben registrarse en el pasivo, efectuando la misma separación. Tal tratamiento contable debe aplicarse tanto si los instrumentos financieros derivados se realizan con fines de especulación o con fines de cobertura.
<Inciso adicionado por la Circular 4 de 2010. El nuevo texto es el siguiente:> No obstante, cuando una Entidad compra opciones, sea 'call' o 'put', el registro contable tanto de la prima pagada como de sus variaciones diarias a precio justo de intercambio debe efectuarse siempre en las respectivas subcuentas de opciones en el lado del Activo. Por su parte, cuando una Entidad venda opciones, sea 'call' o 'put', el registro contable de la prima recibida y de sus variaciones diarias a precio justo de intercambio debe efectuarse siempre en las respectivas subcuentas de opciones en el lado del Pasivo.
Cuando el precio justo de intercambio del instrumento financiero derivado arroje cero (0), ya sea en la fecha inicial o en otra fecha posterior, su registro contable debe realizarse en el activo si se trata de un instrumento financiero derivado con fines de especulación. Pero si es un instrumento financiero derivado con fines de cobertura, su registro contable, en ese caso, debe realizarse en el lado del balance que corresponda -activo o pasivo- sobre la base de que debe registrarse en el lado opuesto a aquél en el que se encuentra registrada la posición primaria cubierta.
En las cuentas del balance no se deben efectuar neteos entre saldos favorables y desfavorables de diferentes instrumentos financieros derivados, incluso si éstos son del mismo tipo. Así, por ejemplo, no se pueden netear operaciones 'forward' peso-dólar que tengan precios justos de intercambio de signos opuestos, sino que cada una de ellas debe registrarse en el activo o en el pasivo, según corresponda.
Dado que los instrumentos financieros derivados deben valorarse desde el mismo día de su celebración, su precio justo de intercambio puede ser diferente de cero (0) al cierre de la fecha inicial y así debe registrarse en la contabilidad.
<Inciso eliminados por la Circular 50 de 2012>
Por otra parte, comoquiera que en la fecha de celebración de una opción suele tener lugar el pago o recibo de una prima, que corresponde al valor por el cual las partes negocian la opción, las variaciones en el precio justo de intercambio de la opción con respecto a dicho valor inicial, efectivamente pagado, que resulten como producto de la valoración diaria, deben afectar el estado de resultados y/o la cuenta patrimonial correspondiente, según se trate de un instrumento financiero derivado celebrado con fines de especulación o de cobertura.
También, en relación con las opciones, el monto fijo nominal pactado multiplicado por el respectivo precio o tasa de ejercicio acordada por los contratantes, debe reportarse por las entidades vigiladas en las respectivas cuentas de orden contingentes habilitadas para el efecto.
En la fecha de liquidación de los instrumentos financieros derivados se deben cancelar los saldos correspondientes de las cuentas de balance (incluidas las cuentas patrimoniales empleadas cuando se trate del registro de instrumentos financieros derivados con fines de cobertura) y cualquier diferencia se debe imputar como utilidad o pérdida en las respectivas cuentas del estado de resultados, según aplique. Si el saldo acumulado del instrumento financiero derivado en dicha fecha es positivo, debe registrarse inmediatamente en la subcuenta de ingresos, y si es negativo, debe contabilizarse en la respectiva subcuenta de egresos. Este procedimiento debe llevarse a cabo de manera independiente, instrumento por instrumento, cada vez que éstos se liquiden.
En todo caso, cuando se trate de instrumentos financieros derivados con fines de cobertura realizados por fondos o carteras colectivas, cualquier ganancia o pérdida arrojada por dichos instrumentos debe registrarse siempre en el estado de resultados de los mismos.
<Inciso adicionado por la Circular 49 de 2008. El nuevo texto es el siguiente:> Adicionalmente, cuando se adquieran instrumentos financieros derivados de crédito, las entidades vigiladas deben registrar en su contabilidad la prima, 'fee' o 'spread' a pagar por concepto de estos instrumentos financieros, como un gasto en la cuenta definida para dichos efectos.
<Inciso adicionado por la Circular 25 de 2014. El nuevo texto es el siguiente:> Cuando se trate de instrumentos financieros derivados en los cuales una cámara de riesgo central de contraparte se interponga como contraparte de los mismos y su compensación y liquidación se realice diariamente y al vencimiento, el derecho es igual a la obligación y su registro contable debe realizarse en el balance en las cuentas de futuros o en aquéllas habilitadas para el efecto. Si por el contrario, la compensación y liquidación de dichos instrumentos se realiza únicamente al vencimiento, el derecho es diferente de la obligación y su registro contable debe efectuarse en el balance en las respectivas cuentas de derivados, de acuerdo con su finalidad, tipo y subyacente, de la misma forma en que se realiza para el registro de los instrumentos financieros derivados OTC, aplicando las instrucciones contables correspondientes.
<Inciso adicionado por la Circular 25 de 2014. El nuevo texto es el siguiente:> Cuando se trate de productos estructurados en los cuales una cámara de riesgo central de contraparte se interponga como contraparte de los mismos, independientemente de si su liquidación es diaria y al vencimiento o únicamente al vencimiento, su registro contable se debe efectuar en las respectivas cuentas habilitadas para el efecto, aplicando las instrucciones contables correspondientes.
7.3.1. CONTABILIZACIÓN DE INSTRUMENTOS FINANCIEROS DERIVADOS CON FINES DE ESPECULACIÓN.
Los instrumentos financieros derivados con fines de especulación se deben contabilizar en el balance, desde la fecha de celebración de los mismos, por su precio justo de intercambio. Cuando en la fecha inicial el valor de los contratos sea cero (0), es decir que no se realizan pagos ni entregas físicas entre las partes, no debe afectarse el estado de resultados. En las valoraciones subsiguientes, las variaciones en el precio justo de intercambio deben registrarse en el estado de resultados de acuerdo con la regla que se enuncia a continuación.
<Inciso modificado por la Circular 21 de 2009. El nuevo texto es el siguiente:> Independientemente de si la variación acumulada del precio justo de intercambio de un instrumento financiero derivado con fines de especulación es positiva (utilidad) o negativa (pérdida), dicha variación debe quedar revelada diariamente en el estado de resultados en la respectiva subcuenta de ingresos o egresos donde el instrumento financiero derivado deba registrarse, según se trate de una utilidad acumulada o de una pérdida acumulada, de acuerdo con las instrucciones contables correspondientes. De la misma manera, debe procederse con cada uno de los instrumentos financieros derivados que haya negociado la entidad vigilada
7.3.2. CONTABILIZACIÓN DE INSTRUMENTOS FINANCIEROS DERIVADOS CON FINES DE COBERTURA.
La contabilización de los instrumentos financieros derivados con fines de cobertura depende del tipo específico de cobertura de que se trate, tal como se explica a continuación.
<Inciso modificado por la Circular 21 de 2009. El nuevo texto es el siguiente:> Con independencia de si la variación acumulada del precio justo de intercambio de un instrumento financiero derivado con fines de cobertura es positiva (utilidad) o negativa (pérdida), aquella parte de tal variación que se registre diariamente en el estado de resultados debe contabilizarse en la respectiva subcuenta de ingresos o egresos donde el instrumento financiero derivado deba registrarse, según se trate de una utilidad acumulada o de una pérdida acumulada, de acuerdo con las instrucciones contables correspondientes.
A su vez, aquella parte de la variación acumulada del precio justo de intercambio que deba estar registrada diariamente en la cuenta patrimonial habilitada para el efecto debe contabilizarse en ésta con signo positivo o negativo, según corresponda.
<Inciso adicionado por la Circular 25 de 2014. El nuevo texto es el siguiente:> En todo caso, el tratamiento contable descrito en el presente numeral es aplicable a las coberturas realizadas con instrumentos financieros derivados que se transen o estén inscritos en bolsas o sistemas de negociación o cuya negociación haya ocurrido en el OTC, y que se compensen y liquiden en una cámara de riesgo central de contraparte.
7.3.2.1. CONTABILIZACIÓN DE LAS COBERTURAS DEL PRECIO JUSTO DE INTERCAMBIO.
Las coberturas del precio justo de intercambio se deben registrar de la siguiente forma:
a) Instrumentos financieros derivados con fines de cobertura: La totalidad de la ganancia o pérdida que surja al valorar los instrumentos financieros derivados con fines de cobertura de precio justo de intercambio se debe reconocer inmediatamente en el estado de resultados, en forma similar a lo establecido en el numeral 7.3.1. del presente Capítulo, pero utilizando las correspondientes cuentas PUC para instrumentos con fines de cobertura.
b) Posiciones primarias: La totalidad de la ganancia o pérdida atribuible al riesgo cubierto se debe reconocer en el valor en libros de la posición primaria, de tal forma que ésta se halle a precio justo de intercambio. Sus variaciones tienen como contrapartida la subcuenta pertinente del estado de resultados, incluso si se trata de una posición primaria cubierta que se valore al costo.
Cuando una entidad vigilada suscriba un compromiso en firme para adquirir un activo o asumir un pasivo que sea una posición primaria, dentro de una cobertura de precio justo de intercambio, el valor inicial en libros del activo o pasivo que resulte del cumplimiento del compromiso en firme, se debe ajustar para incluir la variación acumulada en el precio justo de intercambio de dicho compromiso que sea atribuible al riesgo cubierto que se haya reconocido en el balance.
7.3.2.2. CONTABILIZACIÓN DE LAS COBERTURAS DE FLUJOS DE EFECTIVO.
Las coberturas de flujos de efectivo se deben contabilizar de la siguiente forma:
a) Instrumentos financieros derivados con fines de cobertura: La ganancia o pérdida acumulada del instrumento financiero derivado con fines de cobertura de flujos de efectivo se debe reconocer directamente en la cuenta patrimonial "Ganancias o pérdidas acumuladas no realizadas en instrumentos financieros derivados con fines de cobertura - Coberturas de flujos de efectivo", con el signo correspondiente.
En la fecha en la que se liquide con la contraparte algún flujo del instrumento financiero derivado, la entidad vigilada debe registrar el valor del flujo neto liquidado, ya sea positivo o negativo, en la subcuenta correspondiente de ingresos o egresos, de acuerdo con las instrucciones del numeral 7.3.2 del presente Capítulo.
En la fecha en la que se termine la cobertura por darse alguno de los supuestos del numeral 7.3.2.4. del presente Capítulo, el resultado acumulado del instrumento financiero derivado utilizado para este tipo de cobertura, que se halle en la subcuenta patrimonial "Ganancias o pérdidas acumuladas no realizadas en instrumentos financieros derivados con fines de cobertura - Coberturas de flujos de efectivo" se debe trasladar al estado de resultados en la respectiva subcuenta para instrumentos financieros derivados.
b) Posiciones primarias: <Inciso modificado por la Circular 25 de 2014. El nuevo texto es el siguiente:> La entidad vigilada deberá proyectar los flujos de efectivo de las posiciones primarias objeto de la cobertura y traerlos a valor presente usando como tasas de descuento las mismas tasas de interés cero cupón utilizadas para la valoración del instrumento financiero derivado empleado para la cobertura.
Los flujos de las posiciones primarias atribuibles al margen pactado sobre la tasa variable (cuando haya), cuyo riesgo no se desee cubrir por la entidad, no deben incluirse para el cálculo del valor presente de la posición primaria, sino que para la cuantificación y registro de los mismos se debe seguir la metodología de contabilidad aplicable, similar a lo que sucede con cualquier posición del Libro Bancario que no se propone cubrir.
<Inciso eliminado por la Circular 25 de 2014>
La contabilización de las posiciones primarias cubiertas debe efectuarse con el siguiente procedimiento:
(i) La posición primaria continúa registrándose por su valor nominal respectivo en cada fecha, en las mismas cuentas de balance y de estado de resultados, con la misma metodología y dinámica como ocurriría si no tuviera cobertura.
ii) <Inciso modificado por la Circular 25 de 2014. El nuevo texto es el siguiente:> Desde la fecha en la que nace la cobertura con instrumentos financieros derivados, simultáneamente con el registro del ordinal i) anterior, debe registrarse el valor presente de la posición primaria en la respectiva subcuenta de orden creada para tal efecto, procedimiento que se mantendrá hasta tanto haya lugar al tratamiento contable especial para el instrumento financiero derivado con fines de cobertura.
De la misma manera antes descrita debe procederse con cada una de las posiciones primarias cubiertas que haya celebrado la entidad vigilada.
7.3.2.3. CONTABILIZACIÓN DE LAS COBERTURAS DE ACTIVOS O PASIVOS EN MONEDA EXTRANJERA.
Las coberturas de activos o pasivos en moneda extranjera se deben contabilizar de la siguiente forma:
a) Instrumentos financieros derivados con fines de cobertura:
<Inciso modificado por la Circular 49 de 2012. El nuevo texto es el siguiente:> Para reconocer el efecto que se propone este tipo de cobertura, se debe registrar el valor de la alícuota diaria que resulte de la causación de la revaluación o devaluación implícita pactada en el instrumento financiero derivado y de los movimientos en la tasa de cambio, en la subcuenta correspondiente del estado de resultados, de acuerdo a la revaluación o devaluación implícita pactada en el derivado, calculada con la tasa representativa del mercado (TRM) vigente para el día de la negociación.
Así mismo, la ganancia o pérdida acumulada del instrumento financiero derivado debe ser reconocida en el estado de resultados según lo establecido en el inciso anterior y la diferencia deberá registrarse en la cuenta patrimonial “Ganancias o pérdidas acumuladas no realizadas en instrumentos financieros derivados con fines de cobertura - Coberturas de activos o pasivos en moneda extranjera”, con el signo correspondiente.
En la fecha en la que se termine la cobertura por darse alguno de los supuestos del numeral 7.3.2.4. del presente Capítulo, el resultado acumulado del instrumento financiero derivado utilizado para este tipo de cobertura, que se halle en la subcuenta patrimonial "Ganancias o pérdidas acumuladas no realizadas en instrumentos financieros derivados con fines de cobertura - Coberturas de activos o pasivos en moneda extranjera" se debe trasladar al estado de resultados en la respectiva subcuenta para instrumentos financieros derivados.
b) Posiciones primarias: La contabilización de las posiciones primarias cubiertas debe efectuarse con el procedimiento descrito en los ordinales i) y ii) del literal b) del numeral 7.3.2.2. del presente Capítulo, con la diferencia de que deben emplearse las subcuentas de orden correspondientes para este tipo de cobertura.
El tratamiento contable especial para las coberturas con instrumentos financieros derivados debe terminar cuando:
a) El instrumento financiero derivado con fines de cobertura expira, cuando el mismo es vendido o, cuando siendo procedente, el mismo es ejercido. Para este efecto, la sustitución o renovación de dicho instrumento por otro no se considera un vencimiento o terminación de la cobertura, a menos que ello esté contemplado en la estrategia de cobertura documentada por la entidad vigilada.
b) La cobertura deje de cumplir los requisitos establecidos en el presente Capítulo para la contabilidad de coberturas.
c) La cobertura no cumpla con una alta efectividad; es decir, que el cociente de efectividad de cobertura no se halle en un rango entre el ochenta por ciento (80%) y el cien por ciento (100%), por lo menos en dos (2) cierres de mes consecutivos, después de iniciada la cobertura.
d) La entidad vigilada revoque la designación del instrumento financiero derivado para efectuar la cobertura.
7.3.3. CONTABILIZACIÓN DE PRODUCTOS ESTRUCTURADOS.
7.3.3.1. CONTABILIZACIÓN POR PARTE DE UNA ENTIDAD VIGILADA ADQUIRENTE DE PRODUCTOS ESTRUCTURADOS.
<Inciso modificado por la Circular 49 de 2008. El nuevo texto es el siguiente:> Cuando se trate de un producto estructurado híbrido (según lo establecido en el numeral 5.3. del presente Capítulo), las entidades vigiladas deben contabilizar su precio justo de intercambio en la respectiva subcuenta del activo Productos estructurados sin derivados de crédito o Productos estructurados con derivados de crédito, según se trate (por ejemplo la cuenta 13 en el PUC para el Sistema Financiero). Las variaciones diarias del mismo afectan la respectiva subcuenta del estado de resultados (cuenta de utilidades o pérdidas por valoración de productos estructurados sin derivados de crédito o productos estructurados con derivados de crédito, según se trate).
<Inciso modificado por la Circular 25 de 2014. El nuevo texto es el siguiente:> Por otra parte, cuando se trate de un producto estructurado separable (según lo establecido en el numeral 5.3. del presente Capítulo), siempre que tenga un precio en un mercado líquido o que, de acuerdo con lo señalado en el numeral 7.2.1., la entidad vigilada tome el precio de referencia diario del emisor, se debe contabilizar el producto de la misma manera que se señaló en el párrafo anterior.
<Inciso modificado por la Circular 25 de 2014. El nuevo texto es el siguiente:> En cualquier otro caso, valga decir, cuando un proveedor de precios para valoración autorizado por la Superintendencia Financiera de Colombia provea el precio de un producto estructurado separable o cuando la entidad tome la información para valoración de su proveedor, según corresponda o, en los casos que aplique, una cámara de riesgo central de contraparte publique el precio del producto,,los distintos componentes del mismo deben reconocerse por su precio justo de intercambio, en forma separada, en las respectivas subcuentas del balance, de acuerdo con las reglas que aplican para cada componente. En todo caso, el componente no derivado siempre se debe contabilizar en el activo (cuenta 13 en el PUC para el Sistema Financiero), mientras que el componente derivado se debe contabilizar en el activo o pasivo según corresponda (cuenta 15 ó 23 del PUC para el Sistema Financiero). Por su parte, los registros en el estado de resultados deben ser los mismos que se hacen para contabilizar por separado la variación en el precio justo de intercambio de cada uno de sus componentes.
7.3.3.2. CONTABILIZACIÓN POR PARTE DE UNA ENTIDAD VIGILADA EMISORA DE PRODUCTOS ESTRUCTURADOS.
<Inciso modificado por la Circular 49 de 2008. El nuevo texto es el siguiente:> Cuando una entidad vigilada por la Superintendencia Financiera de Colombia emita un producto estructurado, es opcional para la entidad registrarlo como un todo por su precio justo de intercambio en una sola cuenta del Pasivo, “Productos Estructurados”, o en forma separada, contabilizando el componente no derivado por su valor nominal en la subcuenta pertinente y el componente derivado por su precio justo de intercambio en las subcuentas de instrumentos financieros derivados (cuenta 15 ó 23 en el PUC del Sistema Financiero).
<Inciso modificado por la Circular 49 de 2008. El nuevo texto es el siguiente:> En el primer caso, cuando el producto estructurado se contabiliza por su precio justo de intercambio, las variaciones diarias del mismo afectan la respectiva subcuenta del estado de resultados (utilidades o pérdidas por valoración de productos estructurados), de acuerdo con las instrucciones contables correspondientes.
<Inciso modificado por la Circular 49 de 2008. El nuevo texto es el siguiente:> Para el segundo caso, cuando los componentes del producto estructurado se registran en forma separada, las variaciones diarias del componente derivado del mismo se deben contabilizar en las respectivas subcuentas de derivados del estado de resultados (cuenta 4129 ó 5129 en el PUC para el Sistema Financiero, de acuerdo con las instrucciones contables correspondientes), es decir, serían los mismos registros que se hacen para contabilizar por separado la variación en el precio justo de intercambio de los instrumentos financieros derivados.
Sin perjuicio de lo anterior, cuando se trate de una entidad vigilada por esta Superintendencia que 'empaqueta' y venda un producto estructurado cuyos componentes provengan de distintas contrapartes, y la entidad vigilada establezca expresamente en el prospecto del producto que se hace responsable del pago del mismo, debe contabilizarlo como un todo por su precio justo de intercambio, de la misma manera que se señaló para el primer caso antes mencionado en el presente numeral.
7.3.4. CONTABILIZACIÓN DE INSTRUMENTOS FINANCIEROS DERIVADOS NEGOCIADOS EN EL MERCADO MOSTRADOR CUANDO SE LLEVAN A UNA CÁMARA DE RIESGO CENTRAL DE CONTRAPARTE. <Numeral adicionado por la Circular 4 de 2010. El nuevo texto es el siguiente:>
<Inciso adicionado por la Circular 25 de 2014. El nuevo texto es el siguiente:> A continuación se señalan las instrucciones contables según el tipo de compensación y liquidación de instrumentos financieros derivados que se negocian inicialmente en el mercado mostrador u OTC y que posteriormente, por acuerdo entre las partes, se llevan a una cámara de riesgo central de contraparte que acepte interponerse como contraparte de la operación.
7.3.4.1. COMPENSACIÓN Y LIQUIDACIÓN DIARIA Y AL VENCIMIENTO DE INSTRUMENTOS FINANCIEROS DERIVADOS. <Título adicionado y texto modificado por la Circular 25 de 2014.El nuevo texto es el siguiente:> Cuando se ha pactado una compensación y liquidación diaria y al vencimiento, dichos instrumentos financieros se deben contabilizar en el balance por su precio justo de intercambio en las respectivas cuentas de derivados según su finalidad, desde la fecha de celebración de los mismos hasta la fecha en la que son aceptados por la respectiva cámara.
Cualquier saldo acumulado que haya en el balance hasta el día en el que la cámara efectivamente acepta la operación debe llevarse ese día a una cuenta por pagar o por cobrar, según corresponda, a nombre de la cámara. Esta cuenta se cancelará en el proceso de compensación y liquidación de tal operación, de conformidad con el reglamento de la misma.
A partir del momento en el que la cámara acepta interponerse como contraparte de dichos instrumentos financieros, los mismos deben registrarse en las cuentas de futuros dependiendo de la finalidad de la operación, del subyacente de que se trate y sobre el cual se pactó la operación en el mercado mostrador, o de las cuentas correspondientes habilitadas para el efecto. Es decir, que desde que el instrumento financiero derivado es aceptado por la respectiva cámara, el valor del derecho y el valor de la obligación coinciden en magnitud, más no en signo, y diariamente se van actualizando de acuerdo con el respectivo precio justo de intercambio o valor de mercado de dicho instrumento financiero derivado.
Por consiguiente, independientemente de la finalidad del instrumento financiero derivado OTC, aceptado por una cámara de riesgo central de contraparte, toda variación en su precio justo de intercambio sea positiva (utilidad) o negativa (pérdida), debe ser revelada diariamente en el estado de resultados en la respectiva subcuenta de ingresos o egresos de futuros o de las cuentas correspondientes habilitadas para el efecto, de acuerdo con las instrucciones contables correspondientes. Adicionalmente, al cierre del día en el que la operación es aceptada por la respectiva cámara de riesgo central de contraparte, al realizar el primer proceso de liquidación de dicha operación, en el cual, además de incluir la variación por concepto de la valoración del precio justo de intercambio del instrumento financiero derivado para ese día, deberá cancelar la cuenta por pagar o por cobrar anteriormente mencionada, y afectar la correspondiente subcuenta de ingresos o egresos de dicho instrumento financiero derivado por efectos de valoración.
7.3.4.2. COMPENSACIÓN Y LIQUIDACIÓN ÚNICAMENTE AL VENCIMIENTO DE INSTRUMENTOS FINANCIEROS DERIVADOS.
<Numeral adicionado por la Circular 25 de 2014. El nuevo texto es el siguiente:> A diferencia de lo señalado en el subnumeral anterior, cuando la liquidación y compensación de dichos instrumentos ocurre únicamente al vencimiento, los valores de derecho y obligación son diferentes, por lo tanto se deben contabilizar en el balance por su precio justo de intercambio en las respectivas cuentas de derivados según su finalidad, tipo y subyacente, desde la fecha de su celebración hasta su fecha de vencimiento, es decir, cuando se realiza la compensación y liquidación por parte de la respectiva cámara de riesgo central de contraparte, independientemente del momento en que la misma haya aceptado interponerse como contraparte de la operación.
Dependiendo de la finalidad de la operación, la variación en su precio justo de intercambio sea positiva (utilidad) o negativa (pérdida), debe ser revelada diariamente en el patrimonio o en el estado de resultados, según corresponda, en la respectiva subcuenta de ingresos o egresos, de acuerdo con las instrucciones contables correspondientes.
En las notas a los estados financieros las entidades vigiladas deben revelar, como mínimo, los siguientes aspectos en relación con instrumentos financieros derivados y productos estructurados:
7.4.1. Cuando los instrumentos financieros derivados y productos estructurados produzcan un nivel significativo, según el criterio de la propia entidad vigilada, de exposición a riesgos financieros (mercado, crédito, liquidez y tipo de cambio), se debe revelar la siguiente información; la cual se debe presentar agrupada por tipo de instrumento financiero derivado o producto estructurado de acuerdo con la clasificación descrita en el numeral 5. del presente Capítulo:
a) Tipo de instrumento o producto estructurado;
b) Tipo de riesgo financiero y su respectiva justificación;
c) El principal, nominal u otro valor similar, que puede ser el valor nocional en que se basen los pagos futuros;
d) Las garantías recibidas y entregadas. Para este último caso, se debe informar el valor en libros, los plazos y condiciones; y
e) En el caso de que el instrumento financiero derivado cuyos flujos de efectivo estén denominados en una moneda diferente al peso colombiano, la divisa en la que se exijan los pagos o cobros.
7.4.2. Cuando la entidad vigilada tenga vigentes instrumentos financieros derivados con fines de cobertura debe, adicionalmente, revelar lo siguiente:
a) Descripción de la cobertura;
b) Descripción de la(s) posición(es) primaria(s) cubierta(s);
c) Descripción de los instrumentos financieros derivados designados como instrumentos de cobertura;
d) Naturaleza de los riesgos que han sido cubiertos; y
e) Para las coberturas de flujo de efectivo, los períodos en los cuales se espera que ocurran estos flujos, los ejercicios en los cuales se espera que formen parte de la determinación del resultado del ejercicio, así como una descripción de cualquier contingencia o compromiso en firme no registrado en el balance que tenga dicha cobertura.
7.4.3. En caso de cualquier impago materializado, por efectos de un instrumento financiero derivado o producto estructurado, ya sea parcial o total, la entidad vigilada debe revelar los detalles correspondientes a dicho incumplimiento, en particular, la contraparte, la fecha de incumplimiento, el tipo de instrumento o producto que se incumple, el valor en libros de tal incumplimiento y la fecha en que el impago fue subsanado, si ello aplica.
Anexo 1.
Ficha técnica de intrumentos financieros derivados y productos estructurados.
<Ficha no incluida, consultar anexo en pdf>
Anexo 2.
Aspectos mínimos de los contratos marco para la realización de instrumentos financieros derivados.
1. Las entidades vigiladas deben elaborar y suscribir con sus contrapartes un contrato marco que regule de manera general la negociación de instrumentos financieros derivados, en el evento de que los mismos se realicen por fuera de sistemas de negociación de valores o bolsas, es decir, en el mercado mostrador ("Over the Counter" u OTC).
La elaboración y suscripción del contrato marco no es necesaria cuando la entidad vigilada suscriba con su contraparte un contrato que incorpore las cláusulas mínimas previstas por ISDA para la celebración de instrumentos financieros derivados, el cual deberá estar disponible para cuando la Superintendencia Financiera de Colombia estime conveniente revisarlo.
2. El contrato marco contendrá los principales términos y condiciones para la negociación de instrumentos financieros derivados, de conformidad con lo previsto en el presente Anexo, los cuales se consideran imperativos por parte de la Superintendencia Financiera de Colombia por la relevancia de estos instrumentos para el orden económico y el sistema financiero colombiano en general.
El contrato marco estará conformado por tres (3) partes a saber:
a) El texto mismo del contrato marco.
b) El suplemento.
c) Cada una de las confirmaciones que se realicen por instrumento financiero derivado que se negocie.
El suplemento no puede modificar ni derogar las condiciones mínimas previstas en este Anexo y demás instrucciones de la Superintendencia Financiera de Colombia aplicables al contrato marco.
Cada carta de confirmación debe establecer la forma en que se calculará el precio justo de intercambio del instrumento financiero derivado para su liquidación y las características pactadas para su cumplimiento.
3. El contrato marco debe contener como mínimo los siguientes aspectos, sin perjuicio de que las entidades vigiladas fijen criterios más exigentes para efectos de control de riesgos:
a) Definiciones: Son aplicables las definiciones contenidas en el Título VII de la Parte Segunda de la Resolución 400 de 1995 y las previstas en el presente Capítulo;
b) Criterios de interpretación: Son aplicables las reglas de interpretación vigentes en Colombia de conformidad con lo previsto en los artículos 1618 al 1624 del Código Civil y demás normas concordantes. Sin embargo, se debe tener en cuenta que los pactos más específicos prevalecen sobre las condiciones más generales, de manera que en caso de discrepancia entre la carta de confirmación y el contrato marco prevalecerá el texto de la carta de confirmación, y entre el suplemento y el contrato marco prevalecerá el texto del suplemento. Lo anterior porque los pactos más concretos reflejan mejor la intención de las partes contratantes, criterio rector de la interpretación de los contratos a voces del artículo 1618 del Código Civil. En todo caso, ni las cartas de confirmación ni los suplementos podrán derogar las condiciones mínimas previstas en el contrato marco porque las mismas son parte integral del presente Capítulo;
c) Declaraciones de capacidad/facultades: Se deben especificar claramente las personas facultadas para firmar cada uno de los documentos (contrato marco / confirmaciones). Para el caso de las entidades vigiladas, se entiende que está facultado para suscribir el contrato marco cualquiera de los representantes legales, debidamente posesionados ante la Superintendencia Financiera de Colombia.
Para autorizar a una persona diferente al representante legal para suscribir las confirmaciones, se debe anexar al contrato marco la lista de personas expresamente autorizadas;
d) Eventos de terminación anticipada: Los contratos marco deben contener como mínimo los siguientes eventos que se consideran como justa causa para la terminación anticipada de los mismos:
i) El retardo en el pago de los flujos de los instrumentos financieros derivados o entrega del subyacente, siempre y cuando dicha omisión no haya sido remediada, como máximo, en o antes del quinto día hábil después de que se haya notificado el mismo. Las partes pueden convenir un término inferior a los cinco (5) días;
ii) Eventos de reorganización empresarial: Se considera que hay lugar a la terminación anticipada cuando como resultado de la reorganización resultare una disminución de la calificación del riesgo de la absorbente o de la nueva entidad que la lleve a perder el grado de inversión. Para los casos de entidades que no estén calificadas por una entidad calificadora de riesgo legalmente autorizada, las partes deben definir el criterio que servirá para determinar la terminación anticipada; v. gr. cuando a criterio de la entidad la contraparte tenga una menor capacidad de endeudamiento o implique mayor riesgo crediticio;
iii) Cambio de control: Para estos efectos se deben tener en cuenta los conceptos de matriz, subordinada y/o controlada contenidos en los artículos 260 y 261 del Código de Comercio, el artículo 28 de la Ley 222 de 1995 y el numeral 2. del Capítulo X de la Circular 100 de 1995 (Circular Básica Contable y Financiera) o demás normas que sean aplicables según el tipo de entidad.
Se considera que se genera esta causal cuando el tercero que llegue a ostentar la calidad de matriz o controlante tenga una calificación de riesgo que no sea grado de inversión. Para los casos de entidades que no estén calificadas por una entidad calificadora de riesgo legalmente autorizada, las partes deben definir el criterio que servirá para determinar la terminación anticipada; v. gr. cuando a criterio de la entidad la contraparte tenga una menor capacidad de endeudamiento o implique mayor riesgo crediticio.
Es tercero, para estos efectos, cualquier persona natural o jurídica diferente a aquélla que detentaba la calidad de matriz o controlante al momento de la negociación de un instrumento financiero derivado; y
iv) Variación en la calificación de la contraparte: Disminución de la calificación de riesgo al menos en dos (2) niveles o "notches" por debajo de la calificación al momento de la negociación de un instrumento financiero derivado. Para los casos de entidades que no estén calificadas por una entidad calificadora de riesgo legalmente autorizada, las partes deben definir el criterio que servirá para determinar la terminación anticipada; v. gr. cuando a criterio de la entidad la contraparte tenga una menor capacidad de endeudamiento o implique mayor riesgo crediticio.
Las causales previstas en los ordinales ii), iii) y iv) pueden ser enervadas por mutuo acuerdo de las partes contratantes siempre y cuando la parte que ha incurrido en la causal ofrezca garantías adicionales a su contraparte de manera tal que se mitigue el riesgo que genera la baja de calificación. En el contrato marco se deben estipular cuáles serán esas garantías adicionales.
e) Eventos de incumplimiento: Los contratos deben contener como mínimo los siguientes eventos de incumplimiento:
i) Mora en el pago de los flujos de los instrumentos financieros derivados o en la entrega del subyacente;
ii) Incumplimiento en la constitución de garantías: Cuando se presente una pérdida de valor de las garantías en un porcentaje de por lo menos cinco por ciento (5%) de las mismas, en un solo día y si el valor inicial de éstas o el valor mínimo convenido no es restablecido en un término máximo de cuarenta y ocho (48) horas contadas a partir de la pérdida de valor; y
iii) Falta de capacidad para contratar instrumentos financieros derivados: Es el incumplimiento o la no observancia de los lineamientos contenidos en el literal c) del numeral 3. del presente Anexo.
f) Efectos de la terminación anticipada:
La terminación anticipada de instrumentos financieros derivados tienen los siguientes efectos:
i) La extinción del plazo de los instrumentos financieros derivados objeto de la terminación anticipada;
ii) La liquidación anticipada de los instrumentos financieros derivados objeto de terminación; y
iii) Cuando las partes del instrumento financiero terminado lleguen a ser deudoras recíprocamente de sumas de dinero exigibles y líquidas se dará aplicación a la extinción de las obligaciones existentes entre ellas, por el mecanismo de compensación, siempre que así se encuentre pactado en el contrato marco. Lo anterior de acuerdo con los criterios generales contenidos en el artículo 1714 y siguientes del Código Civil, así como lo previsto en el artículo 2.7.1.7. de la Resolución 400 de 1995.
g) Efectos del incumplimiento:
Sin perjuicio de las solicitudes por indemnización de perjuicios que se puedan llegar a causar, el incumplimiento de instrumentos financieros derivados tiene los siguientes efectos:
i) La extinción del plazo de los instrumentos financieros derivados objeto de incumplimiento.
Las partes podrán acordar expresamente en el contrato marco que el incumplimiento genere la extinción del plazo de todos los demás instrumentos financieros derivados negociados en el mercado mostrador con la respectiva contraparte, incluso respecto de aquéllas aún no vencidas;
ii) La liquidación anticipada de los instrumentos financieros derivados objeto de incumplimiento.
Las partes podrán acordar expresamente en el contrato marco que el incumplimiento genere la liquidación anticipada de todos los demás instrumentos financieros derivados negociados en el mercado mostrador con la respectiva contraparte, incluso respecto de aquéllas aún no vencidas;
iii) Para el caso en que las partes lleguen a ser deudoras recíprocamente de sumas de dinero exigibles y líquidas se dará aplicación a la extinción de las obligaciones existentes entre ellas, por el mecanismo de compensación, siempre que así se encuentre pactado en el acuerdo marco. Lo anterior de acuerdo con los criterios generales contenidos en el artículo 1714 y siguientes del Código Civil, así como lo previsto en el artículo 2.7.1.7. de la Resolución 400 de 1995.
h) Cláusulas especiales: Además de las cláusulas descritas anteriormente se pueden estipular las siguientes cláusulas:
i) Los pagos o "neteos" periódicos (Recouponing): Se refiere a la cancelación antes del vencimiento, con una frecuencia previamente establecida o cuando se alcanza o supera un determinado monto, de los saldos a favor o en contra que resulten de la valoración de un instrumento financiero derivado. Esta cláusula debe constar dentro del texto del contrato marco.
ii) La compensación de instrumentos financieros derivados.
Anexo 3.
Valoración estándar de instrumentos financieros derivados básicos ('plain vanilla')
Para efectos del presente Anexo, todas las fórmulas de valoración de instrumentos financieros derivados se deben trabajar con tasas de interés nominales simples. Se exceptúan las tasas de interés a aplicar en las fórmulas de valoración de opciones europeas, en cuyo caso deben ser tasas de interés compuestas continuamente.
Las entidades vigiladas pueden utilizar una base de cálculo de 360 días (como se ilustra en las fórmulas del presente Anexo) o, cuando corresponda, una base de 365 días; esta última debe utilizarse, en todo caso, siempre que se trate de opciones europeas valoradas a través de la metodología de Black-Scholes. A su vez, debe recordarse que las tasas de los títulos TES pesos y TES UVR, que deban utilizarse en las fórmulas de valoración, son calculadas por Infoval o quien haga sus veces con base 365 días.
Por otra parte, cuando en este Anexo se haga referencia a la tasa Libor-dólar para un determinado plazo, se debe entender que para plazos hasta un (1) año se empleará la tasa Libor-dólar cotizada en la fecha de la valoración, mientras que para plazos superiores a un (1) año la información se debe tomar de la curva 'swap' dólar, que se publica diariamente en plataformas de información financiera.
Debe tenerse en cuenta que las fórmulas de valoración a utilizar pueden variar frente a las que se hallan en el presente Anexo, dependiendo de si las correspondientes tasas de descuento están expresadas inicialmente en términos nominales o efectivos. En todo caso, las tasas de descuento a utilizar deben sujetarse a lo establecido en los literales a), b) y c) del numeral 7.2. del presente Capítulo.
Cuando se trate de instrumentos financieros derivados en el mercado 'off shore' o de operaciones 'non delivery' (ND) en el mercado local, en las cuales la liquidación suele efectuarse en el tiempo t+1 ó t+2, es decir, uno o dos días después de la fecha de vencimiento, debe entenderse que k=0 ocurre en esta última fecha (t=0). Por consiguiente, para este tipo de instrumentos la entidad vigilada debe, desde la fecha de negociación inicial del instrumento y hasta la fecha de su liquidación, valorar el instrumento financiero derivado teniendo presente el costo de oportunidad del valor del dinero para tener en cuenta los días de diferencia entre la fecha de liquidación y la fecha de vencimiento (1 ó 2 días, según el caso).
Bajo esta situación, para calcular el precio justo de intercambio del instrumento que se habrá de registrar, además de los descuentos que se aplican en las fórmulas del presente Anexo, la entidad vigilada debe descontar el derecho y la obligación con las respectivas tasas de interés 'overnight' aplicadas al número de días que se trate (1 ó 2). Dichas tasas de interés son la tasa IBR 'overnight' publicada diariamente por el Banco de la República, cuando se trate de derechos u obligaciones en pesos, y la correspondiente tasa Libor 'overnight', para derechos u obligaciones en moneda extranjera.
1. Valoración de 'forwards'
1.1. 'Forward' peso-dólar americano
1.1.1. Operaciones con plazo remanente inferior o igual al último plazo para el que exista información diaria publicada
La valoración de las operaciones 'forward' peso-dólar con plazo remanente inferior o igual al último plazo para el que exista información diaria publicada debe efectuarse utilizando las cotizaciones de 'puntos forward' (PIPS, expresados en COP/1USD) registradas al cierre diario del mercado 'forward', publicadas por proveedores autorizados de precios y/o firmas de corretaje autorizadas que abarquen la mayor liquidez de ese mercado; es decir, que ofrezcan cotizaciones permanentemente, durante toda la jornada de negociación, que puedan ser efectivamente ejecutables o agredibles por los agentes participantes. Cuando su contraparte de la transacción resida en Colombia, la entidad vigilada debe utilizar información de proveedores de precios del mercado 'forward' COP/USD local; mientras que cuando su contraparte resida en el exterior, la entidad vigilada puede utilizar información de proveedores de precios del mercado COP/USD internacional ('off shore'), cuando así lo estime relevante, teniendo en cuenta que puede haber diferencias en las cotizaciones a un mismo plazo de uno y otro mercado. En todo caso, para valorar los 'forward' tanto de compra como de venta se debe emplear el promedio de cierre de las cotizaciones de compra ('bid') y de venta ('ask'), vale decir, el precio 'mid'.
Igualmente, cuando una operación 'forward' peso-dólar realizada en el país quiera ser cubierta con un instrumento financiero derivado del exterior, las entidades vigiladas pueden utilizar para la valoración de ambos las cotizaciones de uno u otro mercado, siempre que los dos (2) instrumentos se valoren siguiendo las cotizaciones de un mismo proveedor de precios.
No obstante, cuando se disponga oportunamente, en la misma fecha de valoración y de manera permanente, de la información sobre las distintas operaciones ´forward' peso-dólar negociadas en el mercado, la valoración debe efectuarse utilizando el promedio ponderado para cada uno de los distintos plazos de los precios y montos efectivamente transados durante el día. Cuando se alcance dicho estado de la información, la Superintendencia Financiera de Colombia determinará la fuente de cálculo y de publicación de tales promedios ponderados.
Para efectos de valoración de instrumentos financieros derivados con plazos remanentes que no correspondan directamente a los de las cotizaciones más líquidas publicadas, las entidades vigiladas deben calcular los 'puntos forward' para el respectivo plazo efectuando interpolaciones lineales simples entre las cotizaciones existentes (inferior y superior) más próximas a dicho plazo.
Para cuantificar las ganancias o pérdidas en este tipo de contrato se debe establecer la diferencia entre la tasa 'forward' pactada y la tasa 'forward' en la fecha de valoración que corresponda al plazo restante del instrumento financiero derivado, luego de lo cual se debe traer a valor presente utilizando una tasa de interés cero cupón. Tal cálculo tiene la siguiente expresión (1):
NUSD = Valor nominal del contrato expresado en dólares americanos.
TCF = Tasa de cambio peso/dólar americano fijada en el contrato 'forward', dada en pesos por dólar.
k = Número de días que hay entre la fecha de valoración y la fecha de cumplimiento.
PIPSk = Puntos 'forward' ('mid') del mercado 'forward' peso-dólar americano en la fecha de valoración para un plazo de k días. Se expresa en pesos por unidad de dólar americano.
TCRMspot = Tasa de cambio representativa del mercado calculada el día de la valoración, dada en pesos por dólar americano.
rk = Tasa de interés cero cupón para un plazo de k días, según los lineamientos de tasas de descuento establecidos en los literales a), b) y c) del numeral 7.2. del presente Capítulo.
El valor de la obligación que debe registrar el vendedor en su balance (derecho para el comprador), en pesos colombianos, está dado por la siguiente expresión (2):
![]()
Por su parte, el valor del derecho que debe registrar el vendedor en su balance (obligación para el comprador), en pesos colombianos, está dado por la siguiente expresión (3):
![]()
Si el cálculo de la expresión (1) arroja valor positivo, quien tiene la posición vendedora en el 'forward' debe registrar en el estado de resultados en la fecha de valoración una utilidad por ese valor, al tiempo que su contraparte compradora debe registrar una pérdida por esta misma cuantía.
Si el cálculo de la expresión (1), por el contrario, arroja valor negativo, quien tiene la posición vendedora en el 'forward' debe registrar en el estado de resultados en la fecha de valoración una pérdida por ese valor, al tiempo que su contraparte compradora debe registrar una utilidad por la misma cuantía.
En la fecha de liquidación de la operación (k = 0) la expresión (1) se reduce a NUSD * (TCF - TCRMspot.). En todo caso, según la operación 'forward' se haya pactado con o sin entrega de los dólares americanos, la liquidación del instrumento por las partes puede efectuarse contra la TCRM vigente el día del cumplimiento o contra la TCRM calculada por la Superintendencia Financiera de Colombia en esa fecha o, en general, contra la tasa de cambio específica que hayan acordado las partes.
1.1.2. Operaciones con plazo remanente superior al último plazo para el que exista información diaria publicada
Para la valoración de estas operaciones 'forward' las entidades vigiladas deben realizar diariamente el siguiente procedimiento:
a) Calcular la tasa de devaluación implícita a partir de la tasa del mercado 'Cross Currency Swap', una vez convertida a tasa cero cupón, y de la tasa cero cupón Libor-Swap dólar para el plazo k requerido, empleando para ello la fórmula de la paridad de tasas de interés.
b) A partir de la Tasa Representativa del Mercado en la fecha de la valoración y de la tasa de devaluación estimada en a), se procede a calcular los PIPS que tendría el mercado 'forward' para el plazo k.
c) Con los PIPS estimados en el literal b) se puede efectuar, finalmente, la valoración de la operación 'forward' para el plazo k, aplicando la fórmula de la expresión (1) del literal 1.1.1., y obtener así los correspondientes valores de derechos y obligaciones.
Para plazos comprendidos entre el último para el que existen PIPS a partir del mercado 'forward' COP/USD y el primero para el que se pueden calcular los PIPS mediante el procedimiento descrito previamente, las entidades vigiladas deben utilizar los PIPS correspondientes para el plazo k que resulten de la interpolación lineal de los PIPS conocidos más cercanos al plazo requerido.
1.2. 'Forward' divisa X- divisa Y
En este tipo de operaciones 'forward' la entidad que valora el instrumento financiero derivado puede estar en una de las siguientes situaciones: comprando una divisa Y a cambio de la divisa X, o vendiendo una divisa Y a cambio de la divisa X. Si una de las divisas es el dólar americano, conviene asumir que ésta es la divisa X, para efectos de facilitar los cálculos con las fórmulas de valoración de esta sección.
Para cuantificar las ganancias o pérdidas, en pesos colombianos, en este tipo de instrumentos, se debe establecer la diferencia entre la tasa 'forward' pactada y la tasa 'forward' del mercado en la fecha de valoración que corresponda al plazo restante del instrumento, ambas tasas expresadas en términos de divisa X por unidad de divisa Y. La tasa 'forward' del mercado de divisas, cuando éste es suficientemente líquido, se obtiene sumándole a la tasa 'spot' de valoración los puntos 'forward' del correspondiente mercado, vale decir teniendo en cuenta la devaluación esperada por el mercado. En el caso que no existan puntos 'forward' para el plazo del instrumento que se desea valorar, la entidad debe utilizar una metodología adecuada que esté basada en el diferencial de tasas de interés cero cupón de las dos monedas de la operación (divisa X, divisa Y).
Seguidamente, se debe traer a valor presente utilizando la tasa de interés de bajo riesgo cero cupón de la divisa X para el mismo plazo, multiplicar dicho valor por la tasa de cambio respectiva calculada en la fecha de valoración (para pasar de divisa X a dólares americanos), y luego por la tasa representativa del mercado peso-dólar calculada en la misma fecha (para pasar de dólares americanos a pesos colombianos) y por el nominal del contrato. Lo anterior tiene la siguiente expresión (4):
![]()
NDY = Valor nominal del contrato expresado en divisa Y.
TCF = Tasa de cambio fijada en el contrato 'forward', dada en divisa X por unidad de divisa Y.
k = Número de días que hay entre la fecha de valoración y la fecha de cumplimiento.
TFk = Tasa 'forward' en la fecha de valoración para el plazo k, dada en divisa X por unidad de divisa Y. Su cálculo corresponde a la siguiente expresión (5):
![]()
TCdx/dy = Tasa de cambio en la fecha de valoración, dada en
divisa X por unidad de divisa Y. Se utilizarán para ello las
tasas de conversión de divisas publicadas para el día del
cálculo en la página Web del Banco Central Europeo con
seis (6) decimales, aproximando el último por el sistema de
redondeo.
rDX = Tasa de interés de bajo riesgo cero cupón de la divisa X
para el plazo k, establecida de acuerdo con los criterios señalados
en el numeral 7.2. del presente Capítulo.
rDY = Tasa de interés de bajo riesgo cero cupón de la divisa Y para el
plazo k, establecida de acuerdo con los criterios señalados en el
numeral 7.2. del presente Capítulo.
TCRMspot = Tasa de cambio representativa del mercado calculada el día de la valoración, dada en pesos por dólar americano.
TCUSD/Dx = Tasa de cambio en la fecha de valoración, Su valor es igual a:
i) 1 si la divisa X corresponde al dólar americano, de lo contrario
ii) Tasa de conversión de divisas, dada en dólares americanos por unidad de
divisa X, publicada para el día del cálculo en la página Web del Banco
Central Europeo con seis (6) decimales, aproximando el último por el sistema
de redondeo.
El valor de la obligación que debe registrar el vendedor en su balance (derecho para el comprador), en pesos colombianos, está dado por la siguiente expresión (6):
![]()
Por su parte, el valor del derecho que debe registrar el vendedor en su balance (obligación para el comprador), en pesos colombianos, está dado por la siguiente expresión (7):
![]()
Si el cálculo de la expresión (4) arroja valor positivo, quien tiene la posición vendedora en el 'forward' debe registrar en el estado de resultados en la fecha de valoración una utilidad por ese valor, al tiempo que su contraparte compradora debe registrar una pérdida por esta misma cuantía.
Si el cálculo de la expresión (4), por el contrario, arroja valor negativo, quien tiene la posición vendedora en el 'forward' debe registrar en el estado de resultados en la fecha de valoración una pérdida por ese valor, al tiempo que su contraparte compradora debe registrar una utilidad por la misma cuantía.
El día de cumplimiento de la operación (k = 0) la expresión (4), en pesos colombianos, se reduce a NDY * (TCF - TCDX/DY ) * TCUSD/DX * TCRMspot.
1.3. 'Forward' sobre títulos o valores (incluídos bonos nocionales)
Para efectos de la valoración de las operaciones 'forward' sobre títulos o valores, incluidos los bonos nocionales, debe utilizarse la tasa de interés de la curva correspondiente que aplique al plazo remanente para el cumplimiento del instrumento financiero derivado, como se señala más adelante. Las tasas de interés de los TES B tasa fija en pesos se publican diariamente por la Bolsa de Valores de Colombia (BVC), al tiempo que las tasas en otras monedas se pueden consultar en los administradores de plataformas de suministro de información financiera. En todo caso, las entidades vigiladas deben emplear a lo largo de la vida del instrumento el mismo tipo de tasa de interés de descuento. Las tasas se usarán de igual manera para valorar 'forward' de compra como para valorar 'forward' de venta.
Para cuantificar las ganancias o pérdidas, en pesos colombianos, en este tipo de instrumentos se debe establecer la diferencia entre el precio pactado en la operación y el precio justo de intercambio del 'forward' el día de la valoración, y luego descontar con la tasa cero cupón que corresponda según el plazo. Tal cálculo tiene la siguiente expresión (8):
![]()
PP = Precio fijado en el contrato 'forward'.
PFW = Precio 'forward' del título que no permitiría arbitraje, el cual sigue la siguiente expresión (9):
PFW = Pspot * [1+ (rk * k/360)]
Pspot = Precio justo de intercambio del título subyacente en la fecha de
valoración, calculado siguiendo los lineamientos para valoración
establecidos en el Capítulo I de la Circular Externa 100 de 1995. Dicho
precio es 'limpio' o 'sucio' según el tratamiento que acuerden las partes
sobre los cupones causados hasta la fecha de celebración del 'forward'
y/o que estén pendientes de pago en la fecha de vencimiento del
instrumento.
C = Cupón que presente el título antes de la fecha de cumplimiento del 'forward'. El cupón puede comprender intereses, dividendos o amortización de capital, según sea el caso.
PP, PFW y C deben estar expresados en la misma moneda
F = Factor de conversión a pesos en la fecha de valoración, es igual a:
i) 1 si Pp está expresado en pesos.
ii) TCRMspot, si Pp está expresado en dólares americanos.
iii) TCusd/dx * TCRMspot, si Pp está expresado en una divisa X diferente al
dólar americano.
TCRMspot = Tasa de cambio representativa del mercado calculada el día de
la valoración, dada en pesos por dólar americano.
TCusd/dx = Tasa de cambio en la fecha de valoración, dada en dólares
americanos por unidad de divisa X. Se deben utilizar para ello las tasas de
conversión de divisas publicadas para el día del cálculo en la página Web
del Banco Central Europeo, con seis (6) decimales aproximando el último por
el sistema de redondeo.
k = Número de días que hay entre la fecha de valoración y la fecha de cumplimiento.
z = Número de días que hay entre la fecha de valoración y la fecha de pago del cupón, z menor que k.
rk, rz = Tasa de interés cero cupón correspondiente al plazo k o z, según el caso, en la fecha de valoración.
Las tasas que se deben utilizar son:
i) Si el título subyacente se halla denominado en pesos: la tasa de interés
cero cupón según los lineamientos de tasas de descuento establecidos en
los literales a), b) y c) del numeral 7.2. del presente Capítulo.
ii) Si el título subyacente se halla denominado en moneda extranjera: la tasa
de la curva Libor cero cupón correspondiente, cuando ésta exista. En caso
contrario, la tasa de interés de los bonos soberanos del país al que se refiera
la moneda.
El valor de la obligación que debe registrar el vendedor en su balance (derecho para el comprador), en pesos colombianos, está dado por la siguiente expresión (10):
![]()
Por su parte, el valor del derecho que debe registrar el vendedor en su balance (obligación para el comprador), en pesos colombianos, está dado por la siguiente expresión (11):
![]()
Si el cálculo de la expresión (8) arroja valor positivo, quien tiene la posición vendedora en el 'forward' debe registrar en el estado de resultados en la fecha de valoración una utilidad por ese valor, al tiempo que su contraparte compradora debe registrar una pérdida por esta misma cuantía.
Si el cálculo de la expresión (8), por el contrario, arroja valor negativo, quien tiene la posición vendedora en el 'forward' debe registrar en el estado de resultados en la fecha de valoración una pérdida por ese valor, al tiempo que su contraparte compradora debe registrar una utilidad por la misma cuantía.
El día de cumplimiento de la operación (k = 0) la expresión (8) se reduce a F * (PP - Pspot).
1.4. 'Forward' sobre una tasa de interés a plazo ('Forward Rate Agreement' o FRA)
Para valorar este tipo de instrumento financiero derivado se debe calcular la tasa 'forward' implícita que corresponda al plazo existente entre la fecha de inicio o liquidación del FRA y la fecha de vencimiento. Ambas fechas son posteriores a la fecha de celebración del 'forward'.
Para hallar la tasa 'forward' implícita se aplica la siguiente expresión (12):
![]()
rIMP = Tasa 'forward' implícita para un plazo igual al comprendido entre t1 y t2.
t1 = Plazo en días, comprendido entre la fecha de celebración del 'forward' y la fecha de inicio (o liquidación) del mismo.
t2 = Plazo en días comprendido entre la fecha de celebración del 'forward' y la fecha de vencimiento delmismo.
Los valores de t1 y t2 se van reduciendo en la medida en que se acerca la fecha de liquidación del FRA. Siempre t2 es mayor que t1.
rti = Tasa de interés cero cupón vigente en la fecha de valoración para el plazo ti, donde i = 1, 2.
Para cuantificar las ganancias o pérdidas en un FRA de tasas de interés en pesos colombianos, se debe calcular la diferencia entre la tasa 'forward' implícita y la tasa de interés pactada, luego de lo cual se debe multiplicar por el valor nominal y por el período de vigencia del instrumento (en días); luego de lo cual se debe traer a valor presente. Este cálculo tiene la siguiente expresión (13):
![]()
El valor de la obligación que debe registrar el vendedor en su balance (derecho para el comprador), en pesos colombianos, está dado por la siguiente expresión (14):
![]()
Por su parte, el valor del derecho que debe registrar el vendedor en su balance (obligación para el comprador), en pesos colombianos, está dado por la siguiente expresión (15):
![]()
Si el cálculo de la expresión (13) arroja valor positivo, es decir, cuando rFRA es mayor que rIMP, quien tiene la posición vendedora en el FRA debe registrar en el estado de resultados en la fecha de valoración una utilidad por ese valor, al tiempo que su contraparte compradora debe registrar una pérdida por esta misma cuantía.
Si el cálculo de la expresión (13) arroja valor negativo, es decir, cuando rFRA es menor que rIMP, quien tiene la posición vendedora en el contrato FRA debe registrar en el estado de resultados en la fecha de valoración una pérdida por ese valor, al tiempo que su contraparte compradora debe registrar una utilidad por esta misma cuantía.
En la fecha de liquidación de la operación, la rimp corresponde a la tasa cero cupón vigente para el plazo de (t2 - t1) días y es, a su vez, la tasa contra la cual se liquida el FRA. Con lo cual la expresión (13) se reduce a:
![]()
1.5. Foreing Exchange 'swap' (FX 'swap')
Un FX 'swap' es una transacción que involucra el intercambio de dos monedas (solamente el monto principal) en dos momentos distintos. El primer intercambio ('short leg') se realiza a una tasa de cambio que se acuerda en el momento del contrato, la cual difiere generalmente de la tasa del segundo intercambio ('long leg'), cuando se reversa la operación. Tanto las operaciones 'spot - forward swap' como las 'forward - 'forward swap' se incluyen bajo esta categoría. La valoración de los flujos 'forward' se debe realizar de la manera que se señaló en los numerales 1.1. y 1.2 del presente Anexo.
2. Valoración de futuros
Los futuros deben valorarse sobre la base del correspondiente precio de mercado en la fecha de valoración. Tales precios son provistos por la respectiva bolsa o sistema de negociación donde la entidad haya negociado el instrumento financiero derivado.
Para cuantificar las utilidades o pérdidas en contratos de futuros, se debe calcular la diferencia entre el precio de mercado de cada unidad del contrato respectivo y el precio pactado de la misma, multiplicado por el valor del contrato y por el número de contratos negociados. Para ello se aplica la siguiente expresión (16):
(PFUT - PP) * N * n, donde:
PFUT = Precio de los contratos de futuros idénticos al que se está valorando, reportado en la fecha de valoración por la bolsa o sistema de negociación de valores donde se negocien.
PP = Precio fijado en el contrato de futuro.
N = Valor nominal de cada contrato de futuros.
n = Número de contratos de futuros negociados.
En el caso en que los precios y el nominal del contrato de futuros se hallen denominados en moneda extranjera, debe efectuarse la conversión a pesos utilizando las tasas de cambio correspondiente, siguiendo para ello las siguientes instrucciones:
a) Si se hallan denominados en dólares americanos, se deben multiplicar por la Tasa de Cambio Representativa del Mercado calculada el día de la valoración.
b) Si se hallan denominados en otra moneda extranjera, se deben multiplicar por la correspondiente tasa de cambio (dólar americano / divisa X) en la fecha de valoración -tomada de las tasas de conversión de divisas publicadas para el día del cálculo en la página Web del Banco Central Europeo, con seis (6) decimales aproximando el último por el sistema de redondeo- y luego por la Tasa de Cambio Representativa del Mercado calculada el mismo día.
Tratándose de futuros sobre índices bursátiles, a la bolsa o sistema de negociación de valores en que se negocie el futuro le corresponde señalar el factor de conversión de los puntos del índice en valores monetarios.
El valor de la obligación que debe registrar el vendedor en su balance (derecho para el comprador), en pesos colombianos, corresponde al precio de cada unidad del contrato de futuros reportado en la fecha de valoración por la bolsa o sistema de negociación de valores donde se ha negociado (Pfut), multiplicado por el número de contratos y por el valor nominal de cada contrato.
Por su parte, el valor del derecho que debe registrar el vendedor en su balance (obligación para el comprador), en pesos colombianos, corresponde al precio de cada unidad fijado en el contrato de futuro (PP), multiplicado por el número de contratos y por el valor nominal de cada contrato.
3. Valoración de opciones europeas
Las opciones europeas que se negocien a través de bolsas o sistemas de negociación de valores deben valorarse siempre sobre la base del correspondiente precio de mercado en la fecha de valoración. Tales precios son provistos por la respectiva bolsa o sistema de negociación de valores donde la entidad vigilada haya negociado el instrumento financiero derivado.
Tratándose de opciones europeas negociadas en el mercado mostrador se debe utilizar el modelo de valoración de Black-Scholes/Merton, indistintamente del tipo de subyacente. Debe recalcarse que dicho modelo exige que las tasas de interés a utilizar correspondan a tasas compuestas continuamente y el uso de una base año de 365 días.
3.1. Modelo de valoración de Black-Scholes/Merton
La valoración de una opción de compra (Call) se realiza con la siguiente expresión (17):
![]()
La valoración de una opción de venta (Put) se realiza con la siguiente expresión (18):
![]()
Donde:
ct = Prima o precio de una opción europea de compra (Call) en la fecha de valoración.
pt = Prima o precio de una opción europea de venta (Put) en la fecha de valoración.
S = Precio del subyacente.
b = Costo de mantenimiento (Cost of carry). Su valor se define según el tipo de opción a valorar:
b = r Opciones sobre acciones sin dividendos durante la vida de la
opción.
b = r-q Opciones sobre acciones con dividendos durante la vida de la
opción.
b = 0 Opciones sobre futuros.
b = r - rf Opciones sobre monedas.
r = Tasa de interés en pesos libre de riesgo, calculada como se señala en el numeral 3.2.2. del presente Anexo.
q = Tasa de rentabilidad continua por dividendos de la acción. Corresponde a la siguiente expresión (19)
![]()
donde:
Div = Dividendos a recibir en la fecha t, calculados para el total de acciones
del subyacente.
rd = Tasa de descuento para calcular el valor presente de los dividendos. Es
igual a r ó rf, según la moneda en la que estén expresadas las acciones
del subyacente.
t = Tiempo restante hasta la fecha de pago de los dividendos.
rf = Tasa de interés en moneda extranjera libre de riesgo, calculada como se señala en el numeral 3.2.3. del presente Anexo.
k = Tiempo restante para la expiración de la opción, expresado en años.
N(di) = Función de probabilidad acumulada para una variable normal estandarizada. Para di igual a las expresiones (20) y (21) así:
![]()
= Volatilidad anualizada del valor del subyacente calculada como se señala en el numeral 3.2.1. del presente Anexo.
X = Precio de ejercicio (contratado).
3.2. Parámetros de valoración de opciones europeas
La forma de estimar los parámetros a utilizar para la valoración de una opción europea, dependiendo de cuál sea el subyacente, se describe a continuación:
3.2.1. Volatilidad del valor del subyacente. Para efectos de efectuar la valoración de una opción a precio justo de intercambio, si se trata de una opción para la cual existe liquidez se pueden tomar las volatilidades explícitas a distintos plazos que se transan en el mercado o también las volatilidades implícitas a partir de las primas negociadas en el mercado.
En todo caso, la volatilidad que requiere el modelo de valoración de opciones es la volatilidad futura y, como tal, no existe un método único para la predicción de la misma; por consiguiente, tampoco un único valor de volatilidad a incluir en los modelos por parte de las distintas entidades vigiladas. En este orden, las entidades vigiladas tienen discrecionalidad pero también completa responsabilidad, por parte del comité de riesgos y de la junta directiva, para establecer el valor que utilizarán para dicho parámetro a efectos de valorar adecuadamente las opciones. Debe resaltarse que la volatilidad esperada a incluir en las fórmulas para valoración debe ser la volatilidad anualizada, considerando para ello 252 días hábiles en un (1) año.
Un primer punto de partida para ello, sólo a manera de guía, puede ser analizar el comportamiento de la volatilidad histórica del subyacente, correspondiente a un período de tiempo igual al plazo faltante para la expiración de la opción a valorar. Así, si dicha volatilidad mantiene un nivel más o menos estable (una desviación estándar por arriba o por abajo), podría ser válido asumir su valor para la estimación del modelo. También se podría aceptar - en el caso en que una entidad haya negociado en el transcurso de un (1) año un número significativo de opciones (por lo menos veinte (20)) sobre un mismo subyacente y bajo condiciones más o menos similares, y siempre que pueda soportarse razonablemente- que la entidad utilice en su modelo de valoración las volatilidades implícitas que resultan a partir de los precios (primas) de las opciones negociadas, ya sea en forma directa o las que se obtengan a partir de ellas con un modelo estadístico robusto.
Cualquiera sea el punto de partida y/o la metodología adoptada para estimar las volatilidades de los subyacentes a incluir en los modelos, la entidad debe dejar siempre, por escrito, totalmente justificadas y documentadas las razones por las cuales ha escogido y aceptado una determinada metodología y los supuestos y resultados de la misma.
La discrecionalidad por parte de las entidades vigiladas para 'escoger' la volatilidad a incluir en los modelos implica, necesariamente, que deben cumplir los siguientes criterios y requisitos, los cuales en cualquier momento pueden ser objeto de verificación por parte de esta Superintendencia:
a) La responsabilidad de la estimación de la volatilidad es enteramente de la entidad;
b) La volatilidad se debe estimar con criterios de prudencia, lo cual significa elegir entre diversas alternativas la que menos utilidades proporcione o la que mayores pérdidas genere;
c) La metodología utilizada para la estimación debe estar, en ese caso, documentada y aprobada internamente por el comité de riesgos de la entidad o quien haga sus veces, y someterse al control de auditoría interna;
d) La metodología debe mantenerse por lo menos durante un (1) año, contado a partir de la escogencia o modificación de la misma, o por un plazo inferior, en el caso de que la operación se termine antes de dicho plazo;
e) Las modificaciones a la metodología, si las hay, deben justificarse; y
f) El proceso de estimación de la volatilidad debe privilegiar la información obtenida de los mercados.
3.2.2. Tasa de interés libre de riesgo en pesos. Se debe utilizar la tasa de interés de la curva de TES B tasa fija en pesos que corresponda a un plazo igual al que resta para la expiración de la opción, una vez recalculada como una tasa compuesta continuamente, tal como lo exige la fórmula de Black-Scholes para la valoración de opciones europeas.
3.2.3. Tasa de interés libre de riesgo en moneda extranjera. Se debe utilizar la tasa más líquida que exista en el país al que pertenezca la moneda, para el plazo que se trate, expresada en forma compuesta continuamente. En muchos casos corresponde a la tasa de interés de los bonos soberanos del respectivo país. En otros, por ejemplo, para dólares americanos, corresponde a la tasa Libor-dólar, para el plazo pertinente, publicada a las 11 (once) de la mañana, hora oficial colombiana, en cualquiera de los sistemas de negociación (Bloomberg o Reuters).
3.3. Cuantificación de utilidades o pérdidas en la valoración de opciones europeas
Para establecer el monto de las utilidades o pérdidas en la valoración de una opción europea se deben calcular las siguientes expresiones, según corresponda:
(22) ct - Prima 'call' pagada , (23) pt - Prima 'put' pagada
Donde ct y pt es el precio justo de intercambio de la opción, 'call' y 'put' respectivamente, en la fecha de valoración, suministrado por la bolsa o sistema de negociación de valores en que se negocie, o estimado de acuerdo con las expresiones (17) y (18) del numeral 3.1. del presente Anexo, según corresponda. Dado que ct y pt nunca es negativo, sino que su valor mínimo es cero (0), el monto máximo de pérdida que puede tener el comprador de la opción europea ('call' o 'put'), equivalente a la utilidad máxima del emisor de la opción, es siempre el valor de la prima pagada. Ello sólo ocurre en la fecha de expiración de la opción europea y únicamente en el caso en que la misma no sea ejercida por el comprador.
La prima pagada por el comprador de la opción ('call' o 'put') no necesariamente es igual al valor co o po, es decir al valor teórico de la opción ('call' o 'put') en la fecha de negociación del instrumento (en t=0). Particularmente, si se tiene en cuenta que la prima pagada pudo haber sido calculada por las partes contratantes utilizando, para algunos parámetros, valores diferentes a los que se establecen en el presente Anexo. Tal puede ser el caso, por ejemplo, de la volatilidad del valor del subyacente y las tasas de interés correspondientes.
Si el cálculo de la expresión (22) ó (23), dependiendo del tipo de opción europea, arroja valor positivo, el comprador de la opción europea debe registrar en el estado de resultados, en la fecha de valoración, una utilidad por ese valor, al tiempo que el emisor de la opción debe registrar una pérdida por la misma cuantía en esa fecha.
Si por el contrario, el cálculo de la expresión (22) ó (23), dependiendo del tipo de opción europea, arroja valor negativo, el comprador de la opción europea debe registrar en el estado de resultados, en la fecha de valoración, una pérdida por ese valor, al tiempo que el emisor de la opción debe registrar una utilidad por la misma cuantía en esa fecha.
4. Valoración de permutas financieras o 'swaps'
4.1. 'Swap' de tasa de interés ('interest rate 'swap' - IRS)
La valoración de un 'swap' de tasa de interés en el que las dos (2) puntas se hallan en la misma moneda puede efectuarse con la metodología estándar aceptada, de acuerdo con la cual se asemeja a la forma de establecer el precio justo de intercambio de un portafolio de dos (2) bonos, uno (1) como posición corta y otro como posición larga, ambos en la misma moneda, incluyendo en cada caso el capital de la operación. La distinción fundamental entre la forma de valorar el 'swap' IRS y un bono cualquiera radica en dos aspectos: 1) Que la valoración de un bono en el mercado de contado se hace mediante el descuento a la tasa de interés que negocia el mercado en la fecha de valoración, mientras que la valoración de los flujos del 'swap' se hace utilizando como tasas de descuento las tasas cero cupón que correspondan, y 2) Que la proyección de los flujos futuros de bonos a tasa variable se efectúa con las tasas vigentes en el mercado en la fecha de la valoración, mientras que la proyección de los flujos de los swaps se realiza utilizando tasas futuras implícitas.
Se procede entonces a obtener el valor neto de dicho portafolio como la diferencia entre los valores presentes de los dos (2) 'bonos'. Dicha metodología debe aplicarse, tanto en el caso de los 'swaps' de tasa fija contra tasa variable, como en el caso de los 'swaps' donde las partes intercambien flujos a tasa variable. Cuando la moneda en la que se denominan los flujos no sea pesos colombianos, debe efectuarse la correspondiente conversión de los valores presentes a pesos, utilizando para ello las tasas de cambio que correspondan, calculadas en la fecha de valoración, conforme se indicó ya en los numerales 1.1. y 1.2. del presente Anexo.
A partir del valor neto del portafolio de los dos 'bonos', establecido como se indicó anteriormente, las entidades vigiladas deben seguir el procedimiento que se señala en el numeral 4.4. del presente Anexo para estimar, finalmente, el precio justo de intercambio del 'swap' y registrarlo en los estados financieros.
Para efectuar la valoración, las entidades vigiladas deben proyectar los flujos futuros, estimar el valor presente de los mismos y determinar el precio justo de intercambio de los 'swaps' siguiendo los lineamientos que se precisan a continuación.
4.1.1. Proyección de flujos a tasa variable cuando existe curva de tasas
Para efectos de las proyecciones de los flujos a tasa variable de los 'swaps' de tasas de interés, cuando exista una curva cero cupón para la tasa variable que se trate, las entidades vigiladas deben calcular a partir de ésta las tasas futuras implícitas que correspondan para los plazos de los flujos y utilizarlas en las respectivas proyecciones. Tal es el caso, por ejemplo, cuando se trata de flujos a tasa Libor, en donde a partir de la curva Libor-swap correspondiente, publicada en Bloomberg o Reuters, se deben calcular las tasas 'forward' implícitas para proyectar los flujos indexados a la Libor.
4.1.2. Proyección de flujos a tasa variable cuando no existe curva de tasas
Cuando el mercado de los 'swaps' IRS se haya desarrollado localmente, tal que permita la generación de curvas 'swaps' del mercado (DTF-tasa fija; IPC-tasa fija; IBR-tasa fija) las entidades vigiladas deben utilizar dichas referencias para la valoración diaria.
Dado que para la proyección de flujos pactados a tasa variable en pesos no existen curvas de tasas cero cupón a partir de las cuales se puedan obtener las tasas futuras implícitas necesarias para estimar los flujos futuros, las entidades vigiladas deben seguir las instrucciones que se presentan a continuación para efectos de estimar dichos flujos:
4.1.2.1. Para flujos a DTF
En el caso de los 'swaps' en los que una de las puntas se halle pactada a la tasa DTF, la metodología a utilizar para efecto de las proyecciones de los correspondientes flujos es la que se indica a continuación, salvo que para cumplir lo pactado deba utilizarse una tasa DTF de una fecha anterior para el cálculo del flujo inmediatamente siguiente:
a) Obtener las tasas futuras implícitas de la curva cero cupón de TES tasa fija en pesos, de acuerdo con la expresión (12) del numeral 1.4. del presente Anexo.
b) A la tasa DTF efectiva anual vigente en la fecha de valoración, restarle la tasa cero cupón de la curva TES tasa fija en pesos para el plazo de noventa (90) días. Si la diferencia es positiva, dicho diferencial debe sumarse a cada una de las tasas futuras implícitas obtenidas en el literal a) precedente. Si la diferencia es negativa, por el contrario, debe restarse el valor absoluto de la misma a las tasas futuras implícitas.
c) Utilizando las nuevas tasas futuras implícitas obtenidas con el anterior procedimiento, se proyectan los distintos flujos del 'swap' correspondientes a la punta denominada en DTF. Se le debe agregar, si hay lugar, el margen sobre DTF acordado en el contrato 'swap'.
4.1.2.2. Para flujos a IBR
En el caso de los 'swaps' en los que una de las puntas se halle pactada con el indicador IBR, las proyecciones de los correspondientes flujos deben realizarse utilizando las últimas tasas conocidas de dicho indicador. Para los plazos superiores a aquéllos en los que existen cotizaciones del IBR, las proyecciones deben efectuarse siguiendo un procedimiento similar al que se señaló en el numeral 4.1.2.1. del presente Anexo, con el fin de tener en cuenta el diferencial entre la tasa cero cupón de la curva TES tasa fija en pesos y la tasa IBR, en términos efectivos anuales, para el último plazo para el que exista cotización de la IBR.
4.1.2.3. Para flujos a IPC
En el caso de los 'swaps' en los que una de las puntas se halle pactada con el indicador IPC, la metodología a utilizar, para efecto de las proyecciones de los correspondientes flujos, es la siguiente:
a) Estimar la curva 'cero cupón' de tasas de inflación anual, a partir de las curvas cero cupón de TES tasa fija en pesos y de TES UVR, publicadas ambas por Infoval o quien haga sus veces. Dicha estimación, para cada plazo, se hace con la siguiente expresión (24):
![]()
donde:
TINF = Tasa de inflación anual estimada a partir de las curvas de tasas TES pesos y tasas TES UVR.
TES$ = Tasa cero cupón de TES tasa fija en pesos.
TESUVR = Tasa cero cupón de TES en UVR.
b) Obtener la tasa de inflación futura implícita a partir de la curva de tasas de inflación ('cero cupón') hallada previamente, siguiendo la fórmula de la expresión (12) del numeral 1.4. del presente Anexo.
c) Utilizar la tasa de inflación futura implícita calculada con el procedimiento anterior, como una aproximación de la variación anual del IPC, para efectuar las proyecciones de cada uno de los flujos del 'swap' que se hallen pactados con este indicador. Se le debe agregar, si hay lugar, el margen sobre IPC acordado en el contrato 'swap'.
4.1.3. Tasas de descuento de los flujos
Para cada una de las puntas de los 'swaps' las entidades vigiladas deben utilizar como tasas de descuento de los flujos las tasas que fueron señaladas en el numeral 7.2. del presente Capítulo, según la moneda en la que estén pactados.
Para efectos de una valoración homogénea por parte de todas las entidades vigiladas, no se debe computar dentro de las tasas de descuento ningún tipo de 'swap spread' por riesgo crediticio. No obstante, ello no implica que las entidades vigiladas no puedan estimar y considerar los 'spreads' crediticios con las distintas contrapartes, si así lo estiman conveniente, pero solamente para efectos de su gestión de riesgos y del manejo de límites internos.
Cuando el mercado de 'swaps' de tasas de interés y/o tasas de cambio sea tal que diariamente produzca precios de mercado y/o curvas 'swap', provistos por plataformas de información financiera reconocidas, las entidades vigiladas pueden migrar hacia tales indicadores de mercado para la valoración de los 'swaps', atendiendo las instrucciones impartidas en el último párrafo del numeral 7.2. del presente Capítulo.
4.2. 'Swap' de monedas ('Cross Currency Swap' - CCS)
4.2.1. Valoración cuando los flujos de las dos (2) puntas del 'swap' coinciden en el tiempo
La valoración de un 'swap' de monedas en el que una punta esté denominada en moneda extranjera y la otra punta esté en pesos colombianos y cuando los flujos en una moneda coincidan en el tiempo con los flujos en la otra moneda, puede efectuarse con la metodología estándar aceptada, de acuerdo con la cual se valora como un portafolio o sucesión de 'forwards'. Una parte actúa como si vendiera los 'forwards' y la otra parte como si los comprara. Luego se obtiene el valor neto del portafolio de 'forwards', mediante la suma de las valoraciones de los distintos 'forward' en los que puede descomponerse el 'swap' de monedas; las cuales, a su vez, deben establecerse siguiendo las instrucciones impartidas en el numeral 1.1. del presente Anexo.
A partir del valor neto del portafolio de 'forwards' establecido como se indicó anteriormente, las entidades vigiladas deben seguir el procedimiento que se señala en el numeral 4.4. de este Anexo para estimar, finalmente, el precio justo de intercambio del contrato 'swap', el cual deben registrar en los estados financieros.
4.2.2. Valoración cuando los flujos de las dos puntas del 'swap' no coinciden en el tiempo
La valoración de un 'swap' de monedas en el que una punta está denominada en moneda extranjera y la otra en pesos colombianos, y los flujos en una moneda no necesariamente coinciden en el tiempo con los flujos en la otra moneda, puede efectuarse con la metodología estándar aceptada, de acuerdo con la cual se valora como un portafolio de dos (2) bonos, uno (1) en cada moneda, incluyendo para ello los respectivos montos de capital de la operación. De esta manera, un bono corresponde a la posición corta y el otro a la posición larga, dependiendo de la punta que se esté valorando. El valor neto del portafolio de los dos (2) 'bonos' es la diferencia de las valoraciones de las dos puntas.
A partir del valor neto del portafolio establecido como se indicó anteriormente, las entidades vigiladas deben seguir el procedimiento que se señala en el numeral 4.4. del presente Anexo para estimar, finalmente, el precio justo de intercambio del contrato 'swap', el cual deben registrar en los estados financieros.
4.2.3. Proyección de flujos, tasas de descuento a utilizar y fuente de información
Para la proyección de los flujos de la punta en moneda extranjera y/o de la punta en pesos colombianos, cuando las mismas se hallen pactadas a tasa variable, las entidades vigiladas deben seguir los procedimientos señalados en los numerales 4.1.1. y 4.1.2. del presente Anexo, según corresponda. Por otra parte, para descontar los distintos flujos, las entidades vigiladas deben utilizar como tasas de descuento las tasas que fueron señaladas en el numeral 7.2. del presente Capítulo, según la moneda en la que estén pactados.
El valor presente de la punta en moneda extranjera debe convertirse a pesos utilizando para ello la tasa de cambio que corresponda, calculada en la fecha de valoración, conforme se indicó en los numerales 1.1. y 1.2. del presente Anexo.
Para la valoración del 'swap' de monedas celebrados por una entidad vigilada por la Superintendencia Financiera de Colombia con una entidad del extranjero, se deben utilizar las cotizaciones de 'puntos forward' registradas al cierre diario del mercado 'forward' dólar americano/peso colombiano en Nueva York, publicadas diariamente en Bloomberg o Reuters por una firma de corretaje autorizada que esté en capacidad de proveer dicho servicio. En todos los casos se debe emplear el promedio de cierre de las cotizaciones de compra ('bid') y de venta ('ask'), vale decir la cotización 'mid'.
Por otra parte, para la aplicación de las fórmulas señaladas en el numeral 1.1. del presente Anexo, con el propósito de valorar los CCS, debe tenerse en cuenta que los puntos 'forward' deben convertirse a COP/USD.
4.3. Tratamiento de un contrato 'swap' (IRS o CCS) pactado con reprecio diario de la tasa variable
En el caso específico en el que la liquidación de los flujos de la punta variable de un 'swap', ya sea de tasas de interés o de monedas (IRS o CCS) cumpla con las siguientes dos condiciones: 1) Se pacte con capitalización diaria de intereses, y 2) Se estipule el reprecio diario de la tasa de interés variable (por ejemplo, cuando la liquidación del flujo variable se calcula con la tasa promedio correspondiente al número de días del período), el valor presente de los flujos a tasa variable es siempre igual al valor nominal o nocional más los intereses causados a la fecha de valoración.
Este tratamiento simplificado de valoración, cuando los flujos a tasa variable se pactan de la forma antes señalada, es válido y resulta más sencillo, ya que no requiere ningún supuesto o curva de tasas para proyectar los flujos.
4.4. Precio justo de intercambio de un contrato 'swap' (IRS o CCS)
Cuando no exista pago alguno entre las partes en la fecha de celebración (como ocurre en la generalidad de los casos), el valor inicial del 'swap' es cero (0) y así debe registrarse en los estados financieros. Dado que no es común que los 'swaps' pactados tengan mercado secundario líquido ni que tampoco se encuentren en el mercado 'swaps' pactados exactamente con las mismas condiciones y flujos que, al mismo tiempo, tengan un pago inicial diferente de cero, las entidades vigiladas deben asumir que el precio justo de intercambio del 'swap' en la fecha de celebración (día 0) es también cero (0), independientemente del resultado que pudiera obtenerse con las metodologías de valoración señaladas anteriormente.
Si bien las metodologías para la proyección de los flujos a tasa variable dispuestas en los numerales 4.1.1. y 4.1.2. del presente Anexo no garantizan que el valor inicial de los 'swaps', es decir en la fecha de celebración (día 0), sea siempre igual a cero, sí permiten, efectuar una valoración que puede considerarse adecuada a partir del día inmediatamente siguiente (día 1); ya que el precio justo de intercambio del 'swap' este día corresponde, precisamente, a la diferencia de valor que arroja la metodología de valoración entre el día 0 y el día 1.
De esta manera, el precio justo de intercambio de un 'swap' (IRS o CCS) en cualquier fecha posterior a su celebración debe ser igual a la diferencia entre el valor que arroja el modelo en la fecha de valoración y el correspondiente valor obtenido con el modelo el día 0, cada uno de ellos calculado con los valores de los parámetros en esas fechas. Así, por ejemplo, si el valor arrojado por el modelo de valoración en la fecha de celebración del 'swap' es veinte (20) y en alguna fecha posterior el modelo arroja cincuenta (50), debe asumirse que el precio justo de intercambio del contrato 'swap' en la fecha de la nueva valoración es treinta (30) y así debe registrarse.
Una vez establecido el precio justo de intercambio del contrato 'swap' y dado que éste debe ser igual a la diferencia entre el valor del derecho y el valor de la obligación en la fecha de valoración, debe procederse a calcular estos dos valores, ya que se requieren para el asiento contable. Así, el valor de la obligación que debe registrar la entidad en su balance corresponde entonces a la diferencia entre el valor presente en la fecha de valoración de los flujos a pagar y el valor presente de éstos en la fecha de celebración del 'swap' (día 0), calculados ambos con el modelo de valoración. Por su parte, el valor del derecho corresponde a la diferencia entre el valor presente en la fecha de valoración de los flujos a recibir y el valor presente de éstos en la fecha de celebración del 'swap' (día 0), calculados ambos con el modelo.
Si el valor del derecho es mayor que el valor de la obligación, la entidad debe registrar en el estado de resultados una utilidad igual a la diferencia entre ambos valores, que corresponde a su vez a la pérdida que debe registrar su contraparte. En caso contrario, si el valor del derecho es menor que el valor de la obligación, la entidad debe registrar una pérdida por la diferencia de dichos valores, que es igual a la utilidad a registrar por la contraparte.
Anexo 4.
Cálculo de la exposición crediticia de instrumentos financieros derivados y de productos estructurados.
Para efectos del cómputo de los cupos individuales y consolidados de crédito, de los niveles de concentración de riesgos y de la relación de solvencia, los instrumentos financieros derivados y los productos estructurados deben computar por su exposición crediticia, siguiendo las reglas establecidas en el presente Anexo.
Por otro lado, cuando una cámara de riesgo central de contraparte haya aceptado interponerse como contraparte de entidades vigiladas por esta Superintendencia en instrumentos financieros derivados, la exposición crediticia de las entidades vigiladas, por concepto de dichas operaciones, es igual a cero (0) para efectos de los cómputos antes mencionados.
1. Exposición crediticia de un instrumento financiero derivado
Mide la máxima pérdida potencial por un instrumento financiero derivado en caso de incumplimiento de la contraparte, sin tener en cuenta las garantías otorgadas. Corresponde a la suma del costo de reposición y la exposición potencial futura.
1.1. Exposición crediticia cuando no se ha pactado compensación de instrumentos financieros derivados con la contraparte
La exposición crediticia de un instrumento financiero derivado se debe medir de la siguiente manera:
EC = CR + EPF, donde:
EC = Exposición crediticia
CR = Costo de reposición = Máximo (Precio justo de intercambio del instrumento financiero derivado, 0)
EPF = Exposición potencial futura
La exposición potencial futura (EPF) se define como:
EPF = Valor nominal (o saldo del mismo sobre el que aplique) * FC, donde:
Valor nominal = Valor nominal del instrumento financiero derivado, expresado en pesos colombianos, o el saldo remanente del mismo sobre el cual el instrumento financiero derivado tenga una exposición potencial futura. Si se encuentra denominado en una divisa diferente al dólar americano, se debe efectuar primero la conversión a esta moneda con base en las tasas de conversión de divisas publicadas para el día del cálculo en la página web del Banco Central Europeo, con seis (6) decimales, aproximando el último por el sistema de redondeo. Las cifras en dólares americanos, a su turno, deben convertirse a pesos utilizando la Tasa de Cambio Representativa del Mercado (TCRM) calculada por la Superintendencia Financiera de Colombia en esa misma fecha.
FC = Factor de Crédito. Es un porcentaje que refleja el incremento máximo probable en el precio justo de intercambio de un instrumento financiero derivado, como consecuencia de variaciones en el valor del subyacente del contrato, en el plazo que resta para el vencimiento. Su forma cálculo se establece en el numeral 1.3. del presente Anexo.
1.2. Exposición crediticia cuando se ha pactado compensación de instrumentos financieros derivados con la contraparte
Cuando la entidad haya pactado con una contraparte un acuerdo de compensación de instrumentos financieros derivados, vale decir que se contemple la posibilidad jurídica de compensar obligaciones con derivados, sujeto a las restricciones que contempla la ley, la exposición crediticia del portafolio de instrumentos financieros derivados con dicha contraparte debe calcularse con la siguiente fórmula:
ECp = CRp + ( Valor nominali * FCi * Ji )
Tal fórmula aplica siempre que el segundo sumando de la misma sea positivo. En caso contrario la ECp se reduce solamente al primer sumando de la expresión.
![]()
Donde:
ECp = Exposición crediticia del portafolio de instrumentos financieros derivados con la contraparte con la que se haya pactado la compensación.
CRp = Costo de reposición del portafolio de instrumentos financieros derivados con la contraparte con la que se haya pactado la compensación. Es el máximo entre cero (0) y la suma de los precios justos de intercambio de todos los instrumentos financieros derivados (con su respectivo signo) negociados con dicha contraparte.
i = i-ésima operación del portafolio de instrumentos financieros derivados celebrada con la contraparte.
N = Número de instrumentos financieros derivados que conforman el portafolio con la contraparte.
FCi = Factor de Crédito de la i-ésima operación del portafolio de instrumentos financieros derivados celebrada con la contraparte. Su forma cálculo se establece en el numeral 1.3. del presente Anexo.
Ji = Indicador de la naturaleza de la i-ésima operación con instrumentos financieros derivados del portafolio, es igual a:
i) 1, si se trata de una operación de compra
ii) -1, si se trata de una operación de venta
La entidad debe tener a disposición de esta Superintendencia la documentación relacionada con los acuerdos de compensación suscritos y el libro de operaciones con instrumentos financieros derivados por contraparte, en el cual se pueda verificar el correcto cálculo de las exposiciones potenciales futuras.
1.3. Factor de Crédito (FC)
El Factor de Crédito es un porcentaje que refleja el incremento máximo probable en el precio justo de intercambio de un instrumento financiero derivado, como consecuencia de variaciones en el valor del subyacente del contrato, en el plazo que resta para el vencimiento.
El Factor de Crédito a aplicar de acuerdo con el tipo de subyacente y el plazo remanente de cada instrumento financiero derivado se obtiene de la siguiente tabla, valores que serán actualizados e informados semestralmente por esta Superintendencia sobre la base de la evolución de las variables que sirven de fuente para el cálculo de dichos factores:

Cuando el plazo remanente del instrumento financiero derivado exceda de doce (12) meses, el Factor de Crédito a aplicar es el que resulte de escalar el Factor de Crédito para este último plazo, multiplicándolo por la raíz cuadrada del número de años remanente (incluida la fracción). Así, por ejemplo, si el plazo remanente es de 3 años y medio, se debe multiplicar el correspondiente Factor de Crédito hasta 12 meses por la raíz cuadrada de 3.5.
Para efectos de la aplicación del FC, se debe entender como instrumentos financieros derivados de tasa de interés aquéllos en los cuales el subyacente es una tasa de interés o un título de deuda, independientemente del emisor del título y de la especie del título que se trate. Esta categoría incluye 'swaps' de tasa de interés en la misma moneda, 'forward' sobre tasas de interés, 'forward' sobre títulos de deuda, 'forward' sobre bonos nocionales y opciones compradas sobre tasa de interés negociadas en el mercado mostrador.
Para los instrumentos financieros derivados sobre tipo de cambio, se debe aplicar el Factor de Crédito definido en la tabla anterior, independientemente de la divisa sobre la cual se haya estructurado cada instrumento. Este factor se aplica en el caso de operaciones de 'swaps' sobre divisas, 'forwards' sobre divisas, y opciones compradas sobre divisas que se negocien en el mercado mostrador.
Cuando el contrato marco suscrito entre las partes incluya una cláusula de neteo periódico ('recouponing'), vale decir que las partes pacten explícitamente la cancelación con una determinada periodicidad de la totalidad de los saldos a favor o en contra que resulten de la valoración de un instrumento financiero derivado, de tal manera que con dicha periodicidad el precio justo de intercambio de éste vuelve a cero (0), las entidades vigiladas pueden utilizar el Factor de Crédito que corresponda al plazo remanente hasta la siguiente fecha de neteo en lugar del que aplicaría para el plazo remanente total del instrumento. El Factor de Crédito se puede aplicar de esta manera solamente durante el tiempo que esté en vigor la cláusula del neteo periódico pactada por las partes y siempre que efectivamente, en cada fecha de neteo prevista, las partes liquiden y cancelen el precio justo de intercambio del instrumento financiero derivado a esa fecha.
Si el 'recouponing' pactado por las partes es solamente parcial, en el sentido que cobija la cancelación de sólo una parte del precio justo de intercambio del instrumento financiero derivado en la fecha del neto, la reducción de la exposición crediticia solamente se puede reflejar en la disminución del costo de reposición en una cuantía igual al valor que las partes cancelen en la fecha del 'recouponing'. En cuanto al Factor de Crédito a utilizar para el cálculo de la Exposición Potencial Futura en dicha fecha es el que corresponde para el plazo remanente de todo el instrumento.
Lo dicho en el párrafo inmediatamente precedente aplica también cuando las partes acuerden que el compromiso de neteo o 'recouponing' tenga lugar cuando el instrumento financiero derivado alcance o supere un determinado precio justo de intercambio; es decir, no con una periodicidad previamente establecida.
2. Exposición crediticia de un producto estructurado
Para determinar la exposición crediticia de un producto estructurado se contemplan los siguientes eventos:
a) Para una entidad vigilada de la Superintendencia Financiera de Colombia que emite un producto estructurado, la exposición crediticia por éste es siempre igual a cero (0).
b) Para el caso de una entidad vigilada de la Superintendencia Financiera de Colombia que realice una inversión en un producto estructurado, cuyos componentes de instrumentos financieros derivados y no derivados provienen de un mismo emisor y no tienen existencia jurídica en forma separada, la exposición crediticia en la fecha de vencimiento del producto debe corresponder al capital pactado al vencimiento más los rendimientos que contractualmente debería recibir en dicha fecha. En cualquier fecha anterior al vencimiento, la exposición crediticia por el producto estructurado es igual al precio justo de intercambio del instrumento financiero no derivado más la exposición crediticia de los instrumentos financieros derivados que lo conforman.
Cuando la entidad vigilada valora diariamente el producto estructurado tomando el precio de mercado publicado o el precio provisto por el emisor, el cómputo de la exposición crediticia no implica ni requiere que la entidad conozca y valore en forma separada cada uno de los componentes -derivados y no derivados- del producto. Ello debido a que la exposición crediticia, en este caso, equivale a la suma del precio tomado más la exposición potencial futura del componente derivado del producto, la cual se calcula según lo establecido en el numeral 1. del presente Anexo.
c) Cuando una entidad vigilada no sea emisora del producto estructurado, sino que adquiera los distintos componentes de instrumentos financieros derivados y no derivados para generar un producto estructurado para la venta, la exposición crediticia de esa entidad por concepto del mismo es cero (0) una vez lo haya vendido, siempre y cuando la entidad establezca expresamente en el prospecto del producto estructurado que ella obra como un vendedor pero no tiene la calidad de emisor del respectivo producto estructurado y no es responsable del pago del mismo, y deje allí también explícito quiénes son los proveedores de los instrumentos financieros que conforman el producto.
En caso contrario, es decir, cuando la entidad vigilada sea responsable del pago del producto estructurado, ésta no tiene exposición crediticia frente al adquirente del producto estructurado, pero sí frente a los proveedores de los instrumentos financieros componentes del producto, de la siguiente manera:
i. Una exposición crediticia con el vendedor de los instrumentos financieros derivados igual a la exposición crediticia de éstos, y
ii. Una exposición crediticia con el vendedor del instrumento financiero no derivado igual al precio justo de intercambio del mismo.
d) Cuando una entidad vigilada realice inversiones en un producto estructurado, cuyos componentes provengan de distintas contrapartes y tengan existencia jurídica separada, y dicha entidad haya adquirido el producto estructurado a otra que obra como vendedor no responsable de su pago, la entidad inversionista no tiene exposición crediticia frente a la entidad que obra como vendedor del producto estructurado, pero sí frente a los proveedores de los instrumentos financieros componentes del mismo, de la siguiente manera:
i. Una exposición crediticia con el vendedor de los instrumentos financieros derivados igual a la exposición crediticia de éstos, y
ii. Una exposición crediticia con el vendedor del instrumento financiero no derivado igual al precio justo de intercambio del mismo.
En caso contrario, es decir, cuando una entidad vigilada realice inversiones en un producto estructurado, cuyos componentes provengan de distintas contrapartes y tengan existencia jurídica separada, y dicha entidad haya adquirido el producto estructurado a otra que además de ser vendedora sea responsable de su pago, la entidad inversionista sólo tiene exposición crediticia frente a la entidad vendedora, por un monto igual al valor justo de intercambio del instrumento financiero no derivado más la exposición crediticia de los instrumentos financieros derivados que conforman el producto.
Anexo 5.
Modificaciones de valoración de instrumentos financieros derivados y productos estructurados.
<Formato no incluido, consultar anexo en PDF>