Buscar search
Índice developer_guide

CIRCULAR EXTERNA 39 DE 2006

(agosto 23)

Diario Oficial No. 46.370 de 24 de agosto de 2006

SUPERINTENDENCIA NACIONAL DE SALUD

Para: Representantes legales, juntas directivas y revisores fiscales de Entidades Promotoras de salud, entidades <sic> programas y dependencias de medicina prepagada y servicios de ambulancia prepagados.

De: Superintendente Nacional de Salud.

Asunto: Autorización de funcionamiento de entidades que ofrecen planes adicionales de salud, aprobación, modificación, suspensión y cancelación de planes adicionales de salud.

Este despacho, en ejercicio de las facultades conferidas por el numeral 5 del artículo 3o, numerales 3 y 4 del artículo 4o, numerales 16 y 23 del artículo 5o, numerales 5 y 6 del artículo 7o del Decreto 1259 de 1994, en concordancia con lo dispuesto en el literal c), numeral 12 del artículo 14 del mismo y con lo establecido en los numerales 3 y 4 del artículo 15 del Decreto 1570 de 1993 y el numeral 3 del artículo 22 del Decreto 1486 de 1994 en lo relacionado con la organización y funcionamiento de la medicina prepagada, se permite impartir las siguientes instrucciones y resaltar algunos aspectos en materia de autorización de entidades que ofrecen planes adicionales de salud, aprobación, modificación, suspensión y cancelación de planes y contratos.

A. Obtención de autorizacion de funcionamiento como empresa de medicina prepagada y servicios de ambulancia prepagados.

En desarrollo de las disposiciones contenidas en los Decretos 1570 de 1993 y 1486 de 1994, las entidades que pretendan prestar servicios de medicina prepagada, incluidas aquellas cuyo objeto social sea o contenga servicios de ambulancia prepagados, deberán remitir a esta Superintendencia:

1. Carta de solicitud suscrita por el representante legal donde se defina la intención.

2. Copia de los estatutos sociales, donde conste que la vigencia de la empresa será mayor a 10 años, a partir de la presentación de la solicitud.

3. Certificación expedida por la Cámara de Comercio, con una vigencia no mayor a treinta (30) días, o su equivalente para cada entidad según su naturaleza jurídica.

4. Hoja de vida de las personas que se han asociado y de las que actuarían como administradores, así como información que permita establecer su carácter, responsabilidad, idoneidad y situación patrimonial.

5. Acreditación del patrimonio mínimo de acuerdo a la normativ idad vigente.

6. Certificación suscrita por el representante legal y el revisor fiscal mediante la cual se haga constar la viabilidad financiera y su fundamento en estudios y análisis adelantados por la entidad.

7. Estudio de factibilidad que incluya estudio técnico, financiero y de mercados, en los términos que se señalan en la presente circular.

8. Acreditación del cumplimiento del Sistema Obligatorio de Garantía de Calidad.

9. Estados financieros proyectados a cinco (5) años.

10. Presentación del organigrama de la entidad, descripción de cargos, políticas y planes de la empresa.

11. Los demás estándares de habilitación que la regulación exija.

Las entidades que pretendan ofrecer servicios de ambulancia prepagados deberán adicionalmente enviar registro único de habilitación o certificado de la unidad de transporte, expedido por la Secretaría de Salud respectiva.

En particular, el estudio financiero y la acreditación del Sistema Obligatorio de Garantía de Calidad deberá ajustarse a los siguientes lineamientos:

1. ESTUDIO FINANCIERO

El estudio debe considerar los siguientes aspectos:

1. Estados Financieros Proyectados a cinco (5) años. En el evento que la entidad viniera operando bajo las formas sociales señaladas en el artículo segundo del Decreto 1570 de 1993, debe anexar, adicionalmente, los estados financieros con corte a diciembre 31 de los dos (2) años anteriores a la fecha de presentación de la solicitud.

2. Discriminación de los diferentes ingresos a obtener: Venta de planes, pagos moderadores, copagos, cuotas de inscripción, exámenes médicos, carnés, etc.

3. Discriminación de los costos operacionales, gastos administrativos y de ventas.

4. Indicadores financieros.

5. Certificación del Patrimonio Mínimo Saneado, suscrita por el representante legal y el revisor fiscal.

6. Proyección y variación de usuarios para cinco (5) años.

7. Las empresas que pretendan ofrecer servicios de ambulancia prepagado deberán incluir el número de ambulancias requerido de acuerdo al número de usuarios proyectados, conforme a lo establecido en la normatividad vigente.

La proyección del estado de resultados y del número de usuarios debe presentarse en forma trimestral para los tres (3) primeros años del estudio.

El patrimonio mínimo saneado se determinará de la siguiente manera:


Cuenta

Valor

Capital social (*)

XXXXX

Reserva legal

XXXXX

Prima en colocación de acciones

XXXXX

Revalorización del patrimonio

XXXXX

Patrimonio mínimo antes de deducir pérdidas

XXXXXX

Menos: Pérdidas acumuladas a la fecha de corte

XXXXXX

Patrimonio mínimo saneado

XXXXX

(*) El capital social es equivalente a: Capital suscrito y pagado o capital asignado a un programa o fondo social mutual

2. SISTEMA OBLIGATORIO DE GARANTIA DE CALIDAD

2.1 Relación de documentos que deben presentar las Entidades Promotoras de Salud que ofrecen planes complementarios de salud

2.1.1. Sobre situaciones administrativas y contractuales.

1. Nombre del Plan o Planes de Atención Complementaria.

2. Contenido del Plan. Incluye la siguiente información relacionada con el plan o planes a ofrecer:

2.1 Metodología que la empresa utilizará para la operación del plan.

2.2 Descripción de los servicios que conforman el plan (promoción y prevención, consulta externa, general y especializada, medicina diagnóstica y terapéutica, hospitalización, urgencias, cirugía, exámenes diagnósticos y odontología).

2.3 Descripción y comparación de los beneficios y de las condiciones de atención adicionales, ofrecidas por el plan de atención complementario (comodidad y red de prestación de servicios y/o actividades, intervenciones o procedimientos adicionales a los previstos en el Plan Obligatorio de Salud, POS, o expresamente excluidos de este) y comparación con los demás planes que estén comercializando.

2.4 Coberturas económicas incluyendo los servicios y valores de la cobertura, si el plan así lo refiere.

2.5 Modalidades de prestación de los servicios. Especificar la forma como será prestado el servicio, bien de forma directa, a través de profesionales de la salud y/o de IPS adscritas, o a través de la libre elección por parte de los usuarios.

2.6 En el evento en que el plan o planes lo prevean, deberá presentarse la relación de periodos de carencia, y definición de exclusiones y preexistencias.

3. Contenido de la minuta del contrato: Incluye la siguiente información relacionada con la minuta del contrato:

3.1 Definiciones relacionadas en el contrato. Deben ser concordantes con las previstas en la normatividad vigente que regula el Sistema General de Seguridad Social en Salud.

3.2 Señalar si están previstos exámenes de ingreso, qué tipo de exámenes y la autorización del usuario que pretende contratar los servicios y sus valores expresados en salarios diarios.

4. Requisito de verificación: Incluye la siguiente información relacionada con mecanismos de verificación de la afiliación obligatoria al Sistema General de Seguridad Social en Salud y la prestación del Plan Obligatorio de Salud, POS:

4.1 Mecanismo de verificación permanente de la afiliación activa al Sistema General de Seguridad Social en Salud, de quienes hayan contratado o deseen acceder a los beneficios adicionales de un plan de atención complementario.

4.2 Mecanismo de coordinación para la prestación de los servicios de salud incluidos en el Plan Obligatorio de Salud y el Plan de Atención Complementaria.

2.1.2. Del sistema obligatorio de garantía de calidad.

1. Red de prestación de servicios de salud y habilitación de los prestadores:

1.1 Presentar la red de prestación de servicios de salud, indicando los servicios de salud que serán contratados.

1.2 Relación comparativa de la red prestadora de servicios de salud del nuevo plan con la red de servicios de los planes autorizados y la red del plan obligatorio de salud.

1.3 Indicar los mecanismos que serán implementados para garantizar que los prestadores de servicios de salud que hacen parte de la red, se encuentren habilitados para la prestación de los servicios.

1.4 La entidad promotora de salud debe verificar que la red de prestación de servicios de salud, cumple con los requisitos legales definidos en la norma y listados en el numeral 2.19 de la Circular 018 de 2005 y las que la modifiquen en los siguientes aspectos:

– Verificar el cumplimiento de la habilitación de los servicios de salud que se vayan a contratar con las instituciones, mediante la declaración de habilitación de los servicios presentada ante la Dirección Territorial de Salud correspondiente.

Verificar que la institución prestadora de servicios de salud, tenga posesionado el revisor fiscal ante la Superintendencia Nacional de Salud, mediante la presentación de la copia del acta de posesión del revisor fiscal expedida por la Secretaría General de la Superintendencia Nacional de Salud.

Verificar que las Instituciones Prestadoras de Salud, se encuentren a paz y salvo con el pago de la tasa anual que deben pagar a la Superintendencia Nacional de Salud por concepto del desarrollo de las funciones de supervisión, mediante la presentación de la copia de la resolución de liquidación de la tasa y del último recibo de consignación.

Verificar que dentro del objeto social de las Instituciones Prestadoras de Salud, se encuentre la Prestación de Servicios de Salud, y en el caso de las Empresas Sociales del Estado, este debe ser único, aspecto que se comprobará mediante la solicitud del registro ante Cámara y Comercio.

Verificar que la IPS esté al día con el reporte de información que debe enviar a la Superintendencia Nacional de Salud en la Circular Externa 11 del 2004 las IPS de naturaleza privada y la Circular 12 de 2004 las IPS de naturaleza pública; a través del registro de envío publicado en la página web de esta Superintendencia.

Definir como parte de la relación contractual, las condiciones de atención de los afiliados, el sistema de referencia y contrarreferencia de pacientes, así como los procesos de Auditoría para el mejoramiento de la calidad de la atención, los indicadores y estándares de calidad que garanticen la accesibilidad, oportunidad, seguridad, pertinencia y continuidad de la atención en salud.

Verificar que las Instituciones Prestadoras de Salud, garanticen el acceso a la atención en salud para lo cual la consulta médica general no debe s er menor de veinte (20) minutos, así mismo, la atención en salud no puede ser condicionada al pago de los servicios, conforme la normatividad vigente.

2. Programa de Auditoría para el Mejoramiento de la Calidad de la Atención en Salud. El programa debe presentarse a la Superintendencia Nacional de Salud, con los siguientes contenidos:

2.1 Niveles de auditoría de calidad (autocontrol, auditoría interna y auditoría externa). La entidad promotora de salud debe desarrollar cada uno de estos niveles.

2.2 Identificación de los procesos definidos como prioritarios, y diseño de las actividades de evaluación, seguimiento y mejoramiento de los procesos prioritarios.

2.3 Guías y normas técnicas, científicas y administrativas, donde se establezcan los parámetros de calidad y los mecanismos de evaluación.

2.3 Acciones preventivas, de seguimiento y coyunturales dirigidas a corregir las desviaciones que se detecten y a mantener las mejoras implementadas.

2.4 Procesos de auditoría relacionados con atención al usuario por parte de la red de prestación de servicios, que contemplen como mínimo, los siguientes aspectos:

– Evaluación de la red de prestadores, incluyendo accesibilidad, seguridad, oportunidad, pertinencia y continuidad en la atención en salud.

– Suficiencia de la red.

– Desempeño del sistema de referencia y contrarreferencia.

– Habilitación de la red prestadora de servicios de salud atención de salud.

– Proceso de auditoría externa que se diseñe en coordinación con los prestadores de servicios de salud, para evaluar sistemáticamente la atención que le sea garantizada a los usuarios, especialmente respecto de los procesos prioritarios de atención, el cual deberá contemplar las características del Sistema Obligatorio de Garantía de Calidad.

2.5 Procesos de auditoría relacionados con acciones de atención al usuario. Debe evaluarse, como mínimo, lo siguiente:

– La satisfacción de sus usuarios respecto al ejercicio de sus derechos.

– El acceso y contenido de la atención personalizada, telefónica y por medios electrónicos.

– El suministro de información oportuna y adecuada, y la resolución oportuna y completa de las peticiones.

– Las acciones que se implementen frente a negación de servicios y la consecuente coordinación con las entidades promotoras de salud para la prestación del servicio con cargo al plan obligatorio de salud, garantizando la continuidad de la atención.

2.6 Criterios, indicadores y estándares que midan el cumplimiento de sus funciones para la materialización de las características propias del sistema (oportunidad, acceso, seguridad, pertinencia y continuidad) y la satisfacción del usuario.

2.2. Relación de documentos que deben presentar las empresas de medicina prepagada:

2.2.1 Sobre situaciones administrativas y contractuales.

1. Nombre del Plan o Planes Adicionales de Salud (PAS).

2. Contenido del Plan Adicional de Salud. Incluye la siguiente información relacionada con el plan o planes a ofrecer:

2.1 Metodología que la empresa utilizará para la operación del plan.

2.2 Descripción y comparación de los servicios que conforman el plan adicional de salud (promoción y prevención, consulta externa, general y especializada, medicina diagnóstica y terapéutica, hospitalización, urgencias, cirugía, exámenes diagnósticos y odontología) y comparación con los demás planes que comercialicen.

2.3 Descripción de los beneficios y de las condiciones de atención adicionales, ofrecidas por el plan adicional de salud (comodidad y red de prestación de servicios y/o actividades, intervenciones o procedimientos adicionales a los previstos en el Plan Obligatorio de Salud (POS) o expresamente excluidos de este).

2.4 Coberturas económicas incluyendo los servicios y valores de la cobertura, si el plan así lo refiere.

2.5 Modalidades de prestación de los servicios. Especificar la forma como será prestado el servicio, bien de forma directa, a través de profesionales de la salud y/o de IPS adscritas, o a través de la libre elección por parte de los usuarios.

2.6 En el evento en que el plan o planes lo prevean, deberá presentarse la relación de periodos de carencia, y definición de exclusiones y preexistencias.

3. Contenido de la minuta del contrato. Incluye la siguiente información relacionada con la minuta del contrato:

3.1 Definiciones relacionadas en el contrato. Deben ser concordantes con las previstas en la normatividad vigente que regula el Sistema General de Seguridad Social en Salud.

3.2 Señalar si están previstos exámenes de ingreso, qué tipo de exámenes y la autorización del usuario que pretende contratar los servicios, y sus valores expresados en salarios diarios.

4. Requisito de verificación. Incluye la siguiente información relacionada con mecanismos de verificación de la afiliación obligatoria al Sistema General de Seguridad Social en Salud y la prestación del Plan Obligatorio de Salud, POS, o del régimen de excepción:

4.1 Mecanismo de verificación permanente de la afiliación activa al Sistema General de Seguridad Social en Salud, de quienes hayan contratado o deseen acceder a los beneficios del Plan Adicional de Salud, PAS.

4.2 Programa de coordinación con las entidades promotoras de salud a las cuales se encuentren afiliados los beneficiarios de los Planes Adicionales de Salud, PAS, para que las actividades, intervenciones y procedimientos no cubiertos de los planes y contratos, cuya cobertura esté prevista en el Plan Obligatorio de Salud, POS, sean asumidos por la entidad promotora de salud, garantizando la continuidad en la prestación.

2.2.2. Del Sistema Obligatorio de Garantía de Calidad.

1. Red de prestación de servicios de salud y habilitación de los prestadores

1.1 Presentar la red de prestación de servicios de salud, indicando los servicios de salud que serán contratados.

1.2 Relación comparativa de la red prestadora de servicios del nuevo plan, con la red de los planes ya autorizados y la red del Plan Obligatorio de Salud.

1.3 Indicar los mecanismos que serán implementados para garantizar que los prestadores de servicios de salud que hacen parte de la red, se encuentren habilitados para la prestación de los servicios de salud.

1.4 La entidad promotora de salud debe verificar que la red de prestación de servicios de salud, cumple con los requisitos legales definidos en la norma y listados en el numeral 2.19 de la Circular 018 de 2005 y las que la modifiquen en los siguientes aspectos:

– Verificar el cumplimiento de la habilitación de los servicios de salud que se vayan a contratar con las instituciones, mediante la declaración de habilitación de los servicios presentada ante la Dirección Territorial de Salud correspondiente.

Verificar que la institución prestadora de servicios de salud, tenga posesionado el revisor fiscal ante la Superintendencia Nacional de Salud, mediante la presentación de la copia del acta de posesión d el revisor fiscal expedida por la Secretaría General de la Superintendencia Nacional de Salud.

Verificar que las Instituciones Prestadoras de Salud, se encuentren a paz y salvo con el pago de la tasa anual que deben pagar a la Superintendencia Nacional de Salud por concepto del desarrollo de las funciones de supervisión, mediante la presentación de la copia de la Resolución de liquidación de la tasa y del último recibo de consignación.

Verificar que dentro del objeto social de las Instituciones Prestadoras de Salud, se encuentre la Prestación de Servicios de Salud, y en el caso de las Empresas Sociales del Estado, este debe ser único, aspecto que se comprobará mediante la solicitud del registro ante Cámara y Comercio.

Verificar que la IPS esté al día con el reporte de información que debe enviar a la Superintendencia Nacional de Salud en la Circular Externa 11 del 2004 las IPS de naturaleza privada y la Circular 12 de 2004 las IPS de naturaleza pública; a través del registro de envío publicado en la página web de esta Superintendencia.

Definir como parte de la relación contractual, las condiciones de atención de los afiliados, el sistema de referencia y contrarreferencia de pacientes, así como los procesos de Auditoría para el mejoramiento de la calidad de la atención, los indicadores y estándares de calidad que garanticen la accesibilidad, oportunidad, seguridad, pertinencia y continuidad de la atención en salud.

Verificar que las Instituciones Prestadoras de Salud, garanticen el acceso a la atención en salud para lo cual la consulta médica general no debe ser menor de veinte (20) minutos, así mismo, la atención en salud no puede ser condicionada al pago de los servicios, conforme la normatividad vigente.

2. Programa de Auditoría para el Mejoramiento de la Calidad de la Atención en Salud. El programa debe presentarse a la Superintendencia Nacional de Salud, con los siguientes contenidos:

2.1 Niveles de auditoría de calidad (autocontrol, auditoría interna y auditoría externa). La empresa de medicina prepagada debe desarrollar cada uno de estos niveles.

2.2 Identificación de los procesos definidos como prioritarios, y diseño de las actividades de evaluación, seguimiento y mejoramiento de los procesos prioritarios.

2.3 Guías y normas técnicas, científicas y administrativas, donde se establezcan parámetros de calidad y mecanismos de evaluación.

2.4 Acciones preventivas, de seguimiento y coyunturales dirigidas a corregir las desviaciones que se detecten y a mantener las mejoras implementadas.

2.5 Procesos de auditoría relacionados con atención al usuario por parte de la red de prestación de servicios, que contemplen como mínimo, los siguientes aspectos:

– Evaluación de la red de prestadores, incluyendo accesibilidad, seguridad, oportunidad, pertinencia y continuidad en la atención en salud.

– Suficiencia de la red.

– Desempeño del sistema de referencia y contrarreferencia.

– Habilitación de la red prestadora de servicios de salud atención de salud.

– Proceso de auditoría externa que se diseñe en coordinación con los prestadores de servicios de salud, para evaluar sistemáticamente la atención que le sea garantizada a los usuarios, especialmente respecto de los procesos prioritarios de atención, el cual deberá contemplar las características del Sistema Obligatorio de Garantía de Calidad.

2.6 Procesos de auditoría relacionados con acciones de atención al usuario. Debe evaluarse, como mínimo, lo siguiente:

– La satisfacción de sus usuarios re specto al ejercicio de sus derechos, oportunidad y calidad de los servicios, oportunidad y calidad de los servicios.

– El acceso y contenido de la atención personalizada, telefónica y por medios electrónicos.

– El suministro de información oportuna y adecuada, y la resolución oportuna y completa de las peticiones.

– Las acciones que se implementen frente a negación de servicios y la consecuente coordinación con las entidades promotoras de salud para la prestación del servicio con cargo al plan obligatorio de salud, y/o regímenes de excepción garantizando la continuidad de la atención.

2.7 Criterios, indicadores y estándares que midan el cumplimiento de sus funciones para la materialización de las características propias del sistema (oportunidad, acceso, seguridad, pertinencia y continuidad) y la satisfacción del usuario.

2.3. Relación documentos que deben presentar las empresas de servicios de ambulancia prepagada

2.3.1. Sobre situaciones administrativas y contractuales.

1. Nombre del Plan o Planes Adicionales de Salud, PAS.

2. Contenido del Plan Adicional de Salud. Incluye la siguiente información relacionada con el plan o planes a ofrecer:

2.1 Metodología que la empresa utilizará para la operación del plan.

2.2 Descripción de los servicios que conforman el plan adicional de salud.

2.3 Descripción de los beneficios y de las condiciones de atención adicionales, ofrecidas por el plan adicional de salud (comodidad y/o actividades, intervenciones o procedimientos adicionales a los previstos en el Plan Obligatorio de Salud, POS, o expresamente excluidos de este).

2.4 Modalidades de prestación de los servicios. Especificar la forma como será prestado el servicio y la capacidad de atención.

3. Contenido de la minuta del contrato. Incluye la siguiente información relacionada con la minuta del contrato:

Definiciones relacionadas en el contrato. Deben ser concordantes con las previstas en la normatividad vigente que regula el Sistema General de Seguridad Social en Salud.

4. Requisito de verificación. Incluye la siguiente información relacionada con mecanismos de verificación de la afiliación obligatoria al Sistema General de Seguridad Social en Salud y la prestación del Plan Obligatorio de Salud, POS:

Mecanismo de verificación permanente de la afiliación activa al Sistema General de Seguridad Social en Salud, de quienes hayan contratado o deseen acceder a los beneficios del Plan Adicional de Salud, PAS, y regímenes de excepción.

2.3.2. Del Sistema Obligatorio de Garantía de Calidad.

1. Estándares de habilitación de ambulancias y coordinación para la atención en salud.

1.1 Remitir la copia del formulario de inscripción en el registro especial de prestadores de servicios de salud de cada una de las ambulancias.

1.2 Relación entre beneficiarios y número de ambulancias.

1.3 Informar sobre la ubicación de las ambulancias, disponibilidad y el perímetro a cubrir.

1.4 Remitir el sistema de comunicaciones que debe implementarse entre las ambulancias y la red de prestadores de servicios de salud, que garantice la adecuada referencia y contrarreferencia para la atención adecuada y oportuna al usuario. Este sistema debe disponer de una red de prestación de servicios de salud, incluyendo la que tenga disponible la entidad promotora de servicios de salud a la que esté afiliado el usuario.

1.5 Remitir el plan de atención permanente a los usuarios, que debe contener como mínimo, una línea telefónica de atención 24 horas, horarios de atención personalizada y línea gratuita de atención.

1.6 Remitir el sistema de información para implementar el funcionamiento de la entidad.

2. Programa de Auditoría para el Mejoramiento de la Calidad de la Atención en Salud. El programa debe presentarse a la Superintendencia Nacional de Salud, con los siguientes contenidos:

2.1 Niveles de auditoría de calidad (autocontrol, auditoría interna y auditoría externa). La empresa de servicios de ambulancia prepagada debe desarrollar cada uno de estos niveles.

2.2 Identificación de los procesos definidos como prioritarios, y diseño de las actividades de evaluación, seguimiento y mejoramiento de los procesos prioritarios.

2.3 Guías y normas técnicas, científicas y administrativas, donde se establezcan los parámetros de calidad y mecanismos de evaluación.

2.4 Acciones preventivas, de seguimiento y coyunturales dirigidas a corregir las desviaciones que se detecten y a mantener las mejoras implementadas.

2.5 Proceso de auditoría externa para evaluar sistemáticamente el proceso de atención que le sea garantizada a los usuarios, especialmente respecto de los procesos prioritarios de atención, el cual deberá contemplar las características del Sistema Obligatorio de Garantía de Calidad.

2.6 Procesos de auditoría relacionados con acciones de atención al usuario. Debe evaluarse, como mínimo, lo siguiente:

– La satisfacción de sus usuarios respecto al ejercicio de sus derechos.

– El acceso y contenido de la atención personalizada, telefónica y por medios electrónicos.

– El suministro de información oportuna y adecuada, y la resolución oportuna y completa de las peticiones.

– El sistema de comunicaciones entre las ambulancias y la red de prestadores de servicios de salud, que garantice la adecuada referencia y contrarreferencia para la atención oportuna al usuario.

2.7 Criterios, indicadores y estándares que midan el cumplimiento de sus funciones para la materialización de las características propias del sistema (oportunidad, acceso, seguridad, pertinencia y continuidad) y la satisfacción del usuario;

B. Aprobación de planes de medicina prepagada1, complementarios2 y de servicios de ambulancia prepagados3.

Todos los planes de medicina prepagada, complementarios y servicios de ambulancia prepagados, que se pretendan comercializar en el país, atendiendo lo establecido en el artículo 15 del Decreto 1570 de 1993, deberán ser aprobados previamente por la Superintendencia Nacional de Salud.

Para la aprobación de planes adicionales, la entidad deberá remitir a esta Superintendencia la respectiva solicitud, adjuntando la información y documentación que se relaciona a continuación:

1. Carta de solicitud suscrita por el representante legal donde se defina la intención.

2. Descripción del plan.

3. Viabilidad financiera del plan.

4. Minuta del contrato.

5. Nota técnica actuarial.

6. Sistema obligatorio de garantía de calidad.

1. Descripción del Plan

Se presentará la descripción del plan a ofrecer en el mercado.

2. Viabilidad Financiera del Plan

Este aspecto debe ser presentado adjuntando la siguiente información:

1. Proyección y variación de usuarios para cinco (5) años.

2. Estado de resultados por plan.

3. Minuta del Contrato

Se deberá allegar la minuta del contrato la cual se sujetará a las exigencias mínimas establecidas en el artículo 15 del Decreto 1570 de 1993, el artículo 8o del Decreto 1486 de 1994, y considerar los siguientes aspectos:

1. Nombre del plan.

2. Encabezado. Debe colocar número y fecha del acto administrativo mediante el cual la entidad fue autorizada por la Superintendencia Nacional de Salud como entidad promotora de salud, empresa de medicina prepagado y/o servicio de ambulancia prepagado, así como la misma información referente al plan que comercializa mediante esa minuta, en todas las hojas del contrato.

3. Objeto del contrato.

4. Obligaciones de las partes.

5. Definiciones.

6. Clases de servicios a prestar.

7. Redacción clara.

8. En castellano.

9. Fácil comprensión para el usuario.

10. Caracteres legibles.

11. Vigencia del contrato: Se debe mencionar expresamente que su vigencia no podrá ser menor de un (1) año. Los planes y contratos deben utilizar el término contratación. Frente a los planes complementarios, el contrato será totalmente independiente al de afiliación y en este no se podrá insinuar aquel.

12. Precio acordado: Debe especificarse el valor del contrato según tarifas vigentes previamente establecidas para el plan de acuerdo con las características consideradas en los estudios actuariales como: grupos etarios, género (masculino, femenino), número de usuarios, modalidad de contratación (individual, familiar, colectivo), etc. El valor que pagará el usuario debe quedar señalado en forma expresa en el contrato o sus anexos.

13. Descuentos: Deberá incluirse una cláusula en la que expresamente se indiquen los descuentos aplicados a las tarifas vigentes del contrato, los cuales deben indicarse tanto en porcentaje como en valor con la clara identificación de su concepto (afiliación al POS, forma de pago, comerciales, etc.). Igualmente, indicará que los descuentos se mantendrán al usuario mientras este se encuentre vinculado a la entidad siempre que no se modifiquen las condiciones que dieron origen al descuento.

14. Examen médico: En los eventos que la entidad tenga previstos exámenes médicos de ingreso, deberá señalarse expresamente en el contrato el valor de este y la condición de que puede realizarse, previo consentimiento del contratante.

15. Forma y Periodo de Pago: En el contrato deberá quedar claramente establecida la forma y la periodicidad con la cual el usuario pagará las tarifas vigentes del plan, señalándose si el pago se hará en efectivo, con cheque, tarjeta de crédito, etc. También deberá quedar expresamente señalado el periodo de cada pago con cargo al valor total o tarifa del contrato, es decir, si corresponde a instalamentos mensuales, bimestrales, trimestrales, semestrales u otro periodo diferente, o si por el contrario se paga la anualidad en su totalidad.

16. Fecha de solicitud: Corresponde al momento en que el potencial usuario presenta ante la entidad el formato diligenciado de solicitud por medio del cual manifiesta su intención de contratar los servicios de prepago.

17. Fecha de aceptación por parte de la entidad contratista: Corresponde al momento en el cual la entidad directamente o a través del promotor le informa al usuario que ha sido aceptada su solicitud y le indica con anticipación la fecha, hora y lugar para la firma del contrato.

18. Fecha de contratación: Es la fecha de la firma o suscripción del contrato. Esta es la que debe tomarse como de iniciación de la relación contractual, por lo tanto, es a partir de ese momento en que se derivan para las partes las obligaciones.

19. Exclusiones: Deben estar expresamente señaladas en el contrato precisándose las patologías, procedimientos, exámenes de diagnóstico específicos que se excluyan y el tiempo durante el cual no serán cubiertos y que por ser el resultado de estudios de carácter técnico científico y análisis de costos y/o criterios de comercialización se consideran como tales. Solamente las exclusiones relacionadas en el contrato, serán oponibles al usuario según lo estipula el Decreto 1222 de 1994. Las exclusiones referenciadas no podrán hacer alusión a las enfermedades, malformaciones o afecciones derivadas de preexistencias, las cuales dan origen a un anexo por dicho concepto.

20. Concepto de preexistencia: El cual deberá ajustarse al pronunciamiento de la Corte Constitucional en Sentencia SU 039 del 19 de febrero de 1998.

21. Terminación del contrato: Adicional a las causales de terminación del contrato, debe quedar claramente expresa la forma como se hará la devolución de los valores que se entienden no causados, por el factor y porción de tiempo en el cual no hubo cubrimiento de la siniestralidad o posible utilización de los servicios. Para la determinación de los valores que serán deducidos por concepto de administración debe considerarse la proporción que representan los gastos administrativos de la entidad respecto de los ingresos operacionales por concepto de la venta de planes al cierre del ejercicio contable inmediatamente anterior a la fecha de terminación del contrato.

22. Modificación al contrato: Deberá incluirse cláusula que señale que cualquier modificación del mismo mientras esté vigente, solo podrá hacerse de común acuerdo, por escrito entre las partes y cuando implique modificación del plan deberá contar con la previa aprobación de la Superintendencia Nacional de Salud. Igualmente, que la cancelación de la autorización del plan, por parte de esta Superintendencia, será causal de terminación del contrato.

23. Afiliación al régimen contributivo: Es preciso informar al usuario en cláusula dedicada a este aspecto su obligación de estar afiliado al régimen contributivo, acogiendo los principios señalados en la Carta Circular 039 de 2000 y el artículo 20 del Decreto 806 de 1998.

24. Identificación de los usuarios: Para efectos de evitar errores deben señalarse con precisión los nombres y apellidos completos de los usuarios del plan, incluido el contratante, con el correspondiente número del documento de identidad.

25. Tipo de plan: Está relacionado con la agrupación de contratantes, por lo cual ésta puede realizarse en forma individual, familiar o colectiva, indicando las características y limitantes del mismo.

26. Renovación de contratos: La renovación de los contratos es obligatoria a menos que medie incumplimiento por parte de los usuarios, condición que debe quedar expresa en la cláusula.

27. Resolución de controversias: Los contratos deben contener una cláusula en la que se dé a conocer al usuario de los servicios que cualquier controversia en cuanto a preexistencias, será resuelta bajo los postulados de la normatividad vigente.

28. Responsabilidad civil y administrativa: Debe ajustarse a los términos d el artículo 17 del Decreto 1570 de 1993.

29. Negación del servicio: Es preciso que la minuta contenga relación expresa a los postulados que sobre este aspecto desarrollan tanto la Carta Circular 039 de 2000 como la Circular Externa 021 de 2005 expedidas ambas por la Superintendencia Nacional de Salud, o las normas que las modifiquen.

30. Trámite de quejas: Se incluirá cláusula que incluya el procedimiento que se dará a las quejas presentadas por los usuarios, acogiendo los términos de la Circular Externa 009 de 1996 y la Carta Circular 039 de 2000, expedidas ambas por la Superintendencia Nacional de Salud, o las disposiciones que las modifiquen.

31. Inclusión de usuarios: Es preciso indicar el procedimiento y los términos en que se incluirán y excluirán usuarios del contrato inicial.

32. Régimen de períodos mínimos de cotización o de carencia, según el caso, y de copagos y cuotas moderadoras. Es indispensable que se incluya en el clausulado de la minuta, estipulación que defina, si hay lugar a ello, los períodos mínimos de cotización o carencia y de copagos y cuotas moderadoras, así como los servicios afectados con los mismos.

33. Requerimientos para constituir en mora: Se debe redactar una cláusula que señale que cuando el contratante incurra en mora se le informará por escrito, a la dirección de facturación, el término de que dispone para ponerse al día previo a la suspensión y cancelación del contrato.

34. Variación de tarifas: La variación de tarifas de un grupo etario al siguiente no podrá superar al setenta y dos (72%) por ciento.

Anexos Obligatorios

1. Solicitud del contratante.

2. Declaración de salud.

3. Tarifas vigentes y pagos moderadores: Entendidas estas como los valores del contrato establecidos para ser pagados por el usuario de acuerdo con las características consideradas en el estudio actuarial, tales como: grupos etarios, género (masculino, femenino), número de usuarios, tipo de plan (individual, familiar, colectivo), etc. Adicionalmente, debe incluirse sin lugar a equívocos o interpretaciones, la información sobre los programas de pagos moderadores y copagos, el valor unitario de los pagos moderadores (cuotas moderadoras, bonos, vales, tiquetes, etc.) indicando la cantidad para cada uno de los servicios contemplados.

4. Directorios Médicos o Red de Prestadores de las ciudades donde se prestarán los servicios.

5. Preexistencias: En este anexo se relacionarán todas las enfermedades, malformaciones o afecciones identificadas al inicio del contrato.

6. Firma de los contratantes y copia para las partes. En él se dejará constancia que el usuario suscribió el contrato y recibió copia del mismo.

7. Relación de documentos que integran y conforman el contrato.

8. Procedimiento administrativo para la utilización y acceso a los servicios del plan.

9. Procedimiento administrativo para autorizaciones.

10. Procedimiento administrativo para reembolsos.

11. Información sobre la línea 24 horas.

12. Solicitud y entrega de carnés.

13. Horarios y puntos de atención.

14. Procedimiento administrativo para la atención en urgencias.

15. Procedimiento administrativo para la práctica del examen médico.

16. Procedimiento administrativo para acceder al programa de pagos moderadores.

Igualmente, debe tenerse en cuenta que solamente procede el cobro de cuotas de inscripción, si este valor está representando el retorno de gastos incurridos por la entidad durante el proceso de contratación, siempre y cuando estos gastos no hayan estado incluidos en la proyección para determinar el valor del contrato o tarifa vigente, lo cual deberá ser demostrado por la entidad a solicitud de la Superintendencia Nacional de Salud.

De otro lado, se recuerda a las entidades sujeto de esta circular, que es obligación de la empresa expedir certificación de antigüedad a los contratantes siempre que estos lo soliciten.

En relación con la historia clínica se insiste en que esta es reservada, de acuerdo con lo previsto en la Ley 23 de 1981, y la Resolución 1995 de 1999 del entonces Ministerio de Salud, de manera que de ser necesario por parte de la entidad acceder a ella, deberá requerirse la autorización del usuario para cada caso particular.

4. Nota técnica actuarial

Cualquier tarifa que pretendan cobrar en los planes de medicina prepagada, ambulancia en prepago o complementarios que tenga diferenciación en su valor por sexo o grupo etario, genera una Nota Técnica Actuarial, NTA, independiente.

La NTA, tanto para modificaciones a planes existentes como para nuevos planes, deberá calcularse por lo menos para tres (3) años.

Cuando las entidades objeto de esta instrucción pretendan modificar las tarifas previamente aprobadas por esta Superintendencia, antes de vencerse el período del cálculo actuarial previamente aprobado, deberá obtener nueva autorización de esta Superintendencia, de acuerdo con las especificaciones aquí establecidas.

Para renovar el período del cálculo actuarial se deberá remitir al Organismo de Control, la NTA, de conformidad con los criterios señalados en esta circular, para la evaluación y aprobación respectiva, con mínimo sesenta (60) días de antelación a su vencimiento.

Los términos en que debe ser presentada la nota técnica actuarial son los siguientes:

4.1. Criterios.

4.1.1 Clasificación por plan de salud.

La NTA debe calcularse por separado para cada uno de los planes de salud ofrecidos por la entidad y soportada en la proyección anual del número de usuarios.

4.1.2. Clasificación por grupo etario y sexo.

La información que sustente la NTA debe estar referenciada según grupo etáreo y sexo, cuando a ello haya lugar, de acuerdo con la siguiente clasificación:

Grupos Etarios

Rangos de edadDescripciónRangos de edad
Descripción
1-4
Hombres1-4Mujeres
5-14
Hombres5-14Mujeres
15-44
Hombres15-44Mujeres
45-59
Hombres45-59Mujeres
> 60Hombres> 60 Mujeres

4.1.3. Información de los servicios que se incluyen en el plan de salud.

4.1.4.3.1 Servicios prestados.

La NTA debe relacionar la cobertura de servicios incluidos en el plan de salud, para lo cual se utilizará el detalle de servicios descrito en el punto 2.3.2 del anexo técnico de la Circular Externa 038 de 2006.

4.3.1.4.3.2 Número de casos por servicio de salud.

Corresponde a la cantidad de eventos prestados por la empresa durante un año, cuantificados con base en la unidad de medida definida en la tabla de conceptos.

Para los planes nuevos lo anterior se calculará con base en proyecciones.

4.3.1.4.3.3. Unidad de medida de los servicios de salud.

Es la unidad que permite cuantificar el número de casos ocurridos en la prestación de servicios de salud, de acuerdo con la clasificación definida en la tabla de conceptos:

Tabla de Conceptos

Código
Servicio ( concepto )Unidad de medida
010
Fomento y prevenciónPacientes
021
Consulta médica generalConsultas
022
Consulta médica especializadaConsultas
023
Consulta domiciliariaConsultas
031
Consulta odontológicaConsultas
032
Tratamientos odontológicosTratamientos
040
UrgenciasConsultas
050
Hospitaliz. no quirúrgica normalDías
060
Hospitaliz. no quirúrgica U.C.I.Días
070
Hospitaliz. quirúrgica normalDías
080
Hospitaliz. quirúrgica U.C.I.Días
090
ObstetriciaAtención del parto
100
Cirugía ambulatoriaProcedimientos
110
Apoyo diagnósticoExámenes
120
Apoyo terapéuticoSesiones
130
Procedimientos alto costoPacientes

Otros

4.3.1.4.3.4. Costo de los casos atendidos por la EPS o entidad de prepago.

Se refiere al costo de cada servicio multiplicado por el número de casos atendidos y mencionados en los numerales 1, 2, 3 y 4 del literal b) de la presente circular. Para los planes nuevos, lo anterior se calculará con base en proyecciones.

4.2. Procedimientos.

4.2.1 Cálculo de la frecuencia de utilización de los servicios de salud.

La frecuencia, calculada para cada uno de los servicios ofrecidos por plan, resulta de dividir el número de casos que fueron atendidos durante un período (año) entre el promedio de población expuesta al riesgo para el plan en el mismo período.

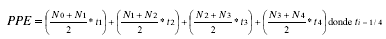
Para calcular la variable “promedio de población expuesta al riesgo” se debe seguir el siguiente procedimiento:

 No: Número de afiliados a diciembre 31 del año anterior al de referencia.

 N1: Número de afiliados a marzo 30 del año de referencia.

 N2: Número de afiliados a junio 30 del año de referencia.

 N3: Número de afiliados a septiembre 30 del año de referencia.

 N4: Número de afiliados a diciembre 31 del año de referencia.

Para los casos de planes nuevos, las anteriores variables se determinarán con base a proyecciones.

Para i = 1,2,3 y 4, representa el trimestre i-ésimo del año.

Reemplazando y agrupando se obtiene:   

Este cálculo se debe hacer para cada grupo etario y si es del caso discriminado por sexo, si tiene tarifa diferencial.

4.2.2. Cálculo del costo unitario promedio por servicio.

El costo unitario promedio, por servicio, corresponde al resultado de dividir el costo total de los casos atendidos por servicio entre el número de casos por servicio.

Este cálculo se debe hacer para cada grupo etario y si es del caso discriminado por sexo, si tiene tarifa diferencial.

4.2.3. Estimación del margen de riesgo por servicio y por usuario.

Con el margen de riesgo se refleja el costo bruto de los servicios del plan por cada usuario. El margen de riesgo corresponde al producto entre FRECUENCIA y COSTO UNITARIO PROMEDIO por servicio.

4.2.4. Estimación del margen de riesgo del plan por usuario.

Corresponde a la sumatoria de todos los servicios del plan ofrecido para cada usuario. Representa el costo bruto esperado del plan por usuario.

4.2.5. Determinación de la tarifa básica.

Con el propósito de incorporar debidamente en la tarifa el pago de bonos o vales o cualquier otra forma de pago moderador, cuyo propósito es racionalizar la frecuencia de utilización de los servicios ya valorados en su integridad, la tarifa básica del plan, representa el resultado de disminuir el margen de riesgo con los recaudos de estos pagos; si corresponde a un nuevo plan el valor a disminuir será la proyección de pagos moderadores considerando las frecuencias antes determinadas.

Este cálculo se debe hacer para cada grupo etareo y si es del caso discriminado por sexo, si tiene tarifa diferencial.

4.2.6. Cálculo de la tarifa total.

Teniendo en cuenta el principio de suficiencia contemplado en el numeral 4 del artículo 26 del Decreto 1570 de 1993, la tarifa total incluye además de la tasa de riesgo del plan, el cubrimiento de los costos propios de la operación tales como los gastos administrativos y de ventas y la posible utilidad.

Para el efecto, la tarifa total se calcularía de la siguiente forma:

*1 De acuerdo con el numeral 4 del artículo 26 del Decreto 1570 de 1993, el porcentaje de utilidad no podrá ser superior al 15%.

Los porcentajes a aplicar para gastos administrativos y de ventas corresponderán a los reportados en el estado de ingresos y gastos de cada plan respecto a los ingresos operacionales, de acuerdo con el concepto establecido en la Circular Externa 016 de 2005.

Con el objeto de unificar la metodología en la presentación de la NTA de los diferentes PAS, cada uno de los pasos indicados en los numerales 4.2.1 al 4.2.6 de la presente circular, se deberán desarrollar y presentar para cada año de proyección en aplicativo de la hoja de cálculo en medio magnético.

La variación de tarifas de un grupo etario al siguiente no podrá superar el veinticuatro (24%). Para variaciones superiores al porcentaje señalado se deberá presentar a esta Superintendencia, un cálculo de tarifa basado en estadísticas históricas del grupo etario afectado, de por lo menos tres (3) años.

5. Sistema Obligatorio de Garantía de Calidad

Para dar cumplimiento a este aspecto, deberán incluirse la totalidad de lineamientos señalados en el numeral 1.2 de la presente circular, de acuerdo con e l tipo de plan adicional a ofrecer.

C. Modificación de Planes de Medicina Prepagada y Complementarios.

Para la modificación de planes y contratos de medicina prepagada, complementarios y servicios de ambulancia prepagados, la entidad deberá remitir a esta Superintendencia la respectiva solicitud adjuntando la información y documentación que se relaciona a continuación:

1. Descripción de los cambios a efectuar en el plan.

2. Viabilidad Financiera del Plan en los casos en que se modifiquen las tarifas o las coberturas, inicialmente aprobadas.

3. Minuta del contrato en los casos en que se modifique la misma.

4. Nota técnica actuarial.

Estos aspectos deberán ser presentados en los mismos términos señalados en los numerales 1 del literal A) y 2, 3 y 4 del literal B) de la presente circular.

Adicionalmente, en la descripción del plan se indicarán las modificaciones que se pretenden incluir en el plan comparándolas con lo aprobado anteriormente, e indicando, tanto la ubicación de la propuesta dentro del documento, como el efecto que tendrá dicha modificación para los usuarios y un comparativo de la modificación con relación al POS. Igualmente, se definirá la clase de servicios de medicina prepagada, sobre la cual se solicita la modificación, en los términos definidos en el artículo 6o del Decreto 1570 de 1993 y los artículos 15, 16 y 20 del Decreto 1486 de 1994.

Una vez aprobadas las modificaciones por parte de la Superintendencia Nacional de Salud, la entidad promotora de salud o de medicina prepagada deberá suscribir un acuerdo con el titular del contrato afectado, en el que se señalen los aspectos objeto de modificación y la aceptación por parte de este. El original del documento anterior debe ser entregado al contratante y copia del mismo con la constancia de su entrega al usuario, debe reposar en los archivos de la entidad contratista.

D. Ampliación de cobertura de los Planes de Ambulancia en Prepago

Para efectos de la ampliación de cobertura de los planes, se presentará la siguiente información:

1. Descripción de los cambios a efectuar en el plan.

2. Viabilidad Financiera del plan para cada una de las ciudades involucradas en la ampliación.

3. Minuta del contrato en los casos en que se modifique como consecuencia de la ampliación de la cobertura.

4. Nota técnica actuarial.

Estos aspectos deberán ser presentados en los mismos términos señalados en los numerales 2, 3 y 4 del literal B) de la presente circular.

E. Suspensión y cancelación de planes

Cuando una entidad promotora de salud o empresa de medicina prepagada tenga

previsto suspender la comercialización o cancelar un plan deberá informar previamente de este hecho a la Superintendencia Nacional de Salud con el fin de evaluar la procedencia de la solicitud. Para el efecto deberán remitir:

1. Carta de solicitud.

2. Estudio técnico que justifique esta decisión.

3. Estudio de viabilidad financiera del plan de los últimos tres años.

4. Procedimiento a seguir con los usuarios que a la fecha tienen contratos vigentes.

5. Copia del acta de la junta directiva o del órgano social que haga sus veces, en la que se tomó la decisión. En caso de que esta decisión esté en cabeza el representante legal, será suficiente que así lo demuestre.

F. Forma de presentación

Para adelantar cualquiera de los trámites definidos en la presente circular, excepto la cancelación de p lanes, la entidad, deberá remitir a la Dirección de Entidades Promotoras de Salud y Entidades en Prepago, la respectiva solicitud con los documentos anteriormente indicados, debidamente foliados, con índice documental, por escrito en un (1) original y tres (3) copias acompañadas de medio magnético en donde se encuentre cada uno de los documentos remitidos.

G. Términos del trámite

El término con el que cuenta la Superintendencia Nacional de Salud para el estudio de la solicitud será de treinta (30) días, al cabo de los cuales si son pertinentes observaciones al proyecto presentado, se devolverá la documentación recibida, con el fin de que la entidad ajuste la propuesta. Es importante aclarar que el radicado en esta Superintendencia de documentos posteriores a las observaciones elevadas, se entenderá como una nueva solicitud.

H. Sanciones

Cuando la Superintendencia Nacional de Salud compruebe que la entidad promotora de salud, empresa, programa, dependencia de medicina prepagada o servicio de ambulancias prepagado se encuentran infringiendo las instrucciones aquí impartidas, podrá imponer las sanciones previstas en los numerales 23 y 24 del artículo 5o y numeral 8 del artículo 7o del Decreto 1259 de 1994 en concordancia con la Resolución 1320 de 1996.

I. Vigencia

La presente circular rige a partir de la fecha de su publicación y deroga las Circulares Externas 34 de 1994, 15 de 1995, 14 de 1994, 77 de 1998 y el literal B) y C) de la Circular Externa 16 de 1995.

23 de agosto de 2006.

El Superintendente Nacional de Salud,

CÉSAR AUGUSTO LÓPEZ BOTERO.

1. Numeral 3, artículo 15, Decreto 1570 de 1993

2. Parágrafo 2o del numeral 2 del artículo 17 del Decreto 1485 de 1994.

3. Artículo 22 Decreto 1486 de 1994.

×
Volver arriba